GIM 120 Professional - Multimeter BOSCH - Gratis gebruiksaanwijzing en handleiding
Vind de handleiding van het apparaat gratis GIM 120 Professional BOSCH in PDF-formaat.
Veelgestelde vragen - GIM 120 Professional BOSCH
Gebruikersvragen over GIM 120 Professional BOSCH
0 vraag over dit apparaat. Beantwoord die u kent of stel uw eigen vraag.
Stel een nieuwe vraag over dit apparaat
Download de handleiding voor uw Multimeter in PDF-formaat gratis! Vind uw handleiding GIM 120 Professional - BOSCH en neem uw elektronisch apparaat weer in handen. Op deze pagina staan alle documenten die nodig zijn voor het gebruik van uw apparaat. GIM 120 Professional van het merk BOSCH.
GEBRUIKSAANWIJZING GIM 120 Professional BOSCH
Veiligheidsaanwijzingen

Alle aanwijzingen要去en gelezen en in acht genommen worden. Wonneer het meetgereedschap nicht volgens de beschikbare aanwijzin gebruikt worden, kunnen de geintegreerde veiligheidsvoortzieningen in het meetgereed
44|Nederland|
schap belemmerd worden. BEWAAR DEZE AANWIJZINGER ZORGVULDIG.
Laat het meetgereedschap alleen repareren door gekwalificeerd geschoodl personeel en alleen met originele verrangingsonderdelen. Daarmee worden gewaarborgd dat de veiligheid van het meetgereedschap in stand blift.
Werk met het meetgereedschap Niet in een omgeving waar ontploffingsgevaar heerst en zich brandbare vloeistoffen, brandbare gassen of brandaar stof bevinden. In het meetgereedschap kuren vonden ontstaan die het stof de dampen tot ontsteking brengen.
Beschrijving van producten werking
Neem goofnota van de afbeeldingen in het voorste deel van de gebruiksaanwijzing.
Beoogd gebruik
Het meetgereedschap is bestemd voor het nsel en precies meten van hellingen.
Het meetgereedschap is geschikt voor gebruik binnenshuis en buitenshuis.
Afebeelde componenten
De componenten zich genummerd zoals op de afbeelding van het meetgereedschap op de pagina met afbeeldingen.
(1)Libel voor horizontaal uitlijnen
(2) Seriennummer
(3) Batterijyakdeksel
(4) Vergrendeling van het batterijvakdeksel
(5)Display
(6)Libel voor verticala uitlijnen
(7) Toets geluidssignaal
(8) Toets voor maatenheid wisselen
(9)Aan/uit-toets
(10) Toets kalibratie Cal
(11) Toets Hold
(12) Opbergetui
Aanduidingselementen
(a) Uitlijnhulpmiddelen
(b) Maateenheden ^ %
(c) Maateenheid mm/m
(d) Indicator H voor opgeslagen waarde HOLD
(e) Meetwaarde
(f) Batterij-aanduiding
(g) Aanduiding voor geluidssignaal
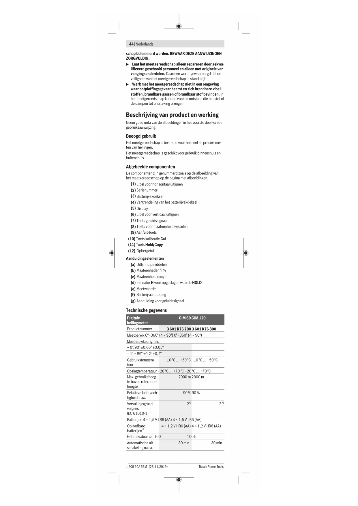
Technische gegevens
| Digitalehellingmeter | GIM 60 GIM 120 | |
| 3601 K76 700 3601 K76 800 | ||
| Productnummer | 3601 K76 700 3601 K76 800 | |
| Meetbereik 0°-360° (4 × 90°) 0°-360° (4 × 90°) | ||
| Meetnauwkeurigheid | ||
| - 0°/90° ±0,05° ±0,05° | ||
| - 1° - 89° ±0,2° ±0,2° | ||
| Gebruikstempera-tuur | -10 °C ... +50 °C -10 °C ... +50 °C | |
| Opslagtemperatur | -20 °C ... +70 °C -20 °C ... +70 °C | |
| Max. gebruikshoog-te boven referentie-hoogte | 2000 m 2000 m | |
| Relatieve luchtv och-tigheid max. | 90 % 90 % | |
| Vervuilingsgraad volgensIEC 61010-1 | 2A) | 2A) |
| Batterijen 4 × 1,5 VLR6 (AA) 4 × 1,5 VLR6 (AA) | ||
| Oplaadbare BatterijenB) | 4 × 1,2 V HR6 (AA) 4 × 1,2 V HR6 (AA) | |
| Gebruidsduur ca. 100 h | 100 h | |
| Automatische uitschakeling na ca. | 30 min. | 30 min. |
| Digitalehellingmeter | GIM 60 GIM 120 |
| Gewicht volgensEPTA-Procedure01:2014 | 0,77 kg 1,4 kg |
| Afmetingen (length × bredte ×hoogte) | 608 × 27 × 59 mm 1250 × 27 ×59 mm |
| IP 54 (stof- en spat-waterbeschermd) | ● ● |
A) Er ontstaat slechts een net geleidende vervuiling, waar bijchalder som eien tjindelijke geleidbhaarid wort verwacht door bedauwing. B Vanwege de geringere spanning van de oplaadbare batterijen za de batterij-aanduiding geen volle lading aangeven. Het seriernummer (2) op hetypeplaatjeClient voor eenuidelijk identificatie van uw meetgeredeeschap.
Montage
Batterijenplaatsen/verwisselen
Voor het gebruik van het meetgereedschap worden alkalin-gaanbatterijen of accu's geadviseerd.
Voor het openen van het batterijvakdeksel (3) drukt u op de vergrendeling (4) en klapt u het batterijvakdeksel open. Plaats de (oplaadbare) batterijen.
Let er hierbij op dat de polen juist worden geplaatst volgens de afbeelding op het batterijvakdeksel.
Batterij-aanduiding
De batterij-aanduiding (f) geeft altijd de actuèle status van de (oplaadbare) batterijen aan:
| Aandui-ding | Capaciteit |
| 90-100% | |
| 60-90% | |
| 30-60% | |
| 10-30% | |
| 0-10% | |
| De lege batterij-aanduiding knippert. Nadat de aan-duiding begint te knipperen tot aan het uitschakelenkunt u nog ongeveer 15-20 min meten. |
Verwissel alsid alle batterijen of accu's tegelijkertijd. Gebruik alleen batterijen of accu's van een fabrikant en met bezelfde capaciteit.
Haal de (oplaadbare) batterijen uit het meetgereedschap, wannear u dit langereijd Niet gebruikt. De (oplaadbare) batterijen kunnen bij een langereperiode van opslag in hetmeetgereedschap corroderen en zichelf ontladen.
Gebruik
Ingebruikname
Beschem het meetgereedschap gegen vocht en felzonlicht.
Stel het meetgereedschap Niet bloot aan extreme temperaturen of temperatuurschommelingen. Laat het bijv. niedegurende langere tijd in de auto litgen. Laat het meetgereedschap bij grotere temperatuurschommelingen eerst op temperatuur komen,voordat u het in gebruik neemt.Bij extreme temperaturen of temperatuurschommelingen kan denauwkeurigheid van het meetgereedschap nadelig beinvloed worden.
Houd de oplegvlakken en aanlegkanten van het meetgeredschap schoon. Beschem het meetgereedschap tegen stoten en schokken. Vuildeeljtes of verrormingen kunnen tot verkeerde metingen leiden.
Vermijd heftige stoten of vallen van het meetgereedschap. Na sterke invloeden van buitenaf op het meetgereedschap, moet u voor het verder werken altijd een nauweurigheidscontrole uitvoeren(zie, Nauweurigheidscontrole en kalibratie van het meetgereedschap", Page 46).
In-/uitschakelen
Druk voor het in- of uitschakelen van het meetgereedschap op de aan/uit-toets (9).
Als er ca. 30 min lang geen toets op het meetgereedschap worden ingedrukt of als de helling van het meetgereedschap Niet meer dan 1,5^ worden gewijzigd, dan worden hellingmeting en display automatisch uitgeschakeld om de batterijen te sparen.
46|Nederland|
Maateenheid wisselen (zie afbeeding A)
U kunt op elk moment tussen de maateenheden 串 _ 串 ^ 串 1 % en mm/ m" wisselen. Druk waarvo zo vaak op de toets voor maateen
heid wisselen (8) tot de gewenste maateenheid in de aandui
ding (c) of (b) verschijnt. De actuèle meetwaarde (e) worden
tomatisch omgerekend.
De instelling van de maateenheid blijft bewaard bij het uit- en
inschakenen van het meetgereedschap.
Geluidssignaal in- en uitschakelen
Met de toets geluidssignaal (7) sunt u het geluidssignaal in- enuitschaken. Bij ingeschakeld geluidssignaal verschijt op het displaye daanduiding voor geluidssignaal (g).
Wanner u het meetgereedschap inschakelt, is het geluidssignaal standard ingeschakeld.
Meetwaarde-aanduiding en uitlijnhulpmiddelen
De meetwaarde (e) worden bij elkbe beweging van het meetgereedschap bijgewerkt. Wacht na een sterke beweging van het meetgereedschap met het aflezen van de meetwaarde tot deze Nieteerverandert.
Afhankelijk van positie van het meetgereedschap verschijnen meetwaarde en maateenheid 180^ gedraaid op het display. Daardoor kan de aanduiding ook bij bovenhandse werkzaamheden worden aufgelezen.
Het meetgereedschap geeft door de uitlijnhulpmiddelen (a) op het display aan in welke richting het schuin moet worden gezhonden om de doelwaarde te bereeken. De doelwaarde is bij standaardmethingen de loodlijn of horizontale lijn, in de functie Hold/ Copy de opgeslagen meetwaarde.
Als de doelwaarde is bereikt, dan verwijnen de pijelen van de uitlijnhulpmiddelen (a) en bij ingeschakeld geluidssignaal is een permanent signaal te horen.
Meetfunctions
Met de toets Hold/Copy (11) können 2 functies worden gere-geld:
- vastleggen (Hold) van een meetwaarde, ook wanner het meetgereedschap later wordt bewogen (bijv. maar het meetgereedschap zich in een positie bevindt waarin het display slecht kan worden afgelezen);
-overbrenngen (Copy) van een meetwaarde.
Functie Hold: - Druk kort op de toets Hold/Copy (11). De huidige meetwaarde (e) worden op het display vastgelegd en opgeslagen, de indicator H knippert.
- Druop opnieuw op de toets Hold/Copy (11) om de functie Hold te beeindigen. De opgeslagen waarde wordt gewist. De normale meding worden voortgezet.
Functie Copy - Druk lang op de toets Hold/Copy (11). De huidige meetwaarde (e) worden gekopieerd en de indicator H verschijnt permanent op het display.
- Druk kort op de toets Hold/Copy (11). De opgeslagen meetwaarde (e) verschijnt op het display en de indicator H knippert.
Leg het meetgereedschap op de doellatie aan waarnaar de meetwaarde moet worden overgebracht. Het uutiljenen van het meetgereedschap iselijk bij onbelangrijck. De uilijnhulpmiddelen (a) geven de richting aan waarin het meetgereedschap moet worden bewogen om de te kopieren helling te bereiken. Bij het bereiken van de opeglasagen helling is een geluidssignaal te horen, de uilijnhulpmiddelen (a) verwijnen.
Druk opnieuw kort op de toets Hold/Copy (11) om terug te keren maar de normale meting. De indicator H verschijnt permanent op het display.
Druk lang op de toets Hold/Copy (11) om een neue waar- de op te slaan. - Om een Hold-waarde te wissen, drukt u kort op de aan/uittoets (9).
Nauwkeurigheidscontrole en kalibratie van het meetgereedschap
Meetnauwkeurigheid controlleren (zie afbeelding B)
Controleer de nauwkeurigheid van het meetgereedschap alsijd voör kritische metingen, na große temperatuurveranderingen en na sterke schokken.
Vór het meten van hellingen < 45^ moet de controle op een plat, ongeveer horizontal vlak gebeuren, vór het meten van hellingen >45^ op een plat, ongeveer vertical vlak.
Schakel het meetgereedschap in en leg het op het horizontale of verticale vlak.
Kies de maateenheid (zie, Maateenheid wisselen (zie afbeeling A), Page 46).
Wacht 10 s en noteer cervolgens de meetwaarde.
Draai het meetgereedschap 180^ om de verticale as. Wacht op-nieuw 10 s en noteer de tweede meetwaarde.
▶ Kalibreer het meetgereedschap alleen, wanner het verschilussenbeidemeetwaarden groter dan 0,1^ is.
Kalibreeer het meetgereedschap in de positie (vertical of horizontal) waarin het verschil van de meetwaarden werd vastgesteld.
Kalibreren van de horizontale oplegvlakken (zie afbeelding C)
Het vlak waarup u het meetgereedschap legt, mag niet meer dan 5^ van de horizontale lijn afwijk. Als de afwijking groter is, dan worden de kalibratie met die aanduiding -- afgebroken.
Schakel het meetgereedschap in en leg het zodanig op het horizontale vlak dat de libel voor horizontaal uittijnen (1) maar boven wijst en het display (5) maar u gericht is. Wacht 10 s.
Druk daarna gedurende ca. 2 s op de kalibratietoets Cal (10) tot kort CAL1 op het display verschijnt. Daarna knippert de meetwaarde in het display.
Draai het meetgereedschap 180^ om de verticale as, zo dat de libel nog steeds maar boven wijst, maar het display (5) zich aan de van u af geekerde zijde bevindt. Wacht 10 s.
Druk daarna opniew op op kalibratietoets Cal (10). Op het display verschijnt kort CAL2. Daarna verschijnt de meetwaarde (niet meer knipperend) in het display. Hetmeetgereedschap is nu voor dit oplegvlak opniewu gekalibreerd.
Vervolgens moet u het meetgereedschap voor het tegenoverligfgeende oplegvlak kalibreren. Draai hiervoort hetmeetgereedschap zodanig om de horizontale as dat de bel voor horizontaal uitlijnen (1) maar beneden en het display (5) maar u wijst. Leg het meetgereedschap op het horizontale vlak. Wacht 10 s.
Druk daarna gedurende ca. 2 s op de kalibratietoets Cal (10) tot kort CAL1 op het display verschijnt. Daarna knippert de meetwaarde op het display.
Draai het meetgereedschap 180^ om de verticale as, zo dat de libel nog steeds maar beneden wijst, maar het display (5) zich aan de van u af gekeerde zijde bevindt. Wacht 10 s.
Druk daarna opniew op de kalibratietoets Cal (10). Op het display verschijnt kort CAL2. Daarna verschijnt de meetwaarde (niet meer knipperend) op het display. Hetmeetgereedschap is nu voor beiden horizontale oplegvlakken opniewe gekalibreerd.
Aanwijzing: Als het meetgereedschap bij de stappen ③ en ⑦ Niet om de in de afbeelding getoonde as wordt gedraaid, kan de kalibratie zich worden afgesloten (CAL2 verschijnt zich op het display).
Kalibreren van de verticale oplegvlakken (zie afbeeding D)
Het vlak waarup u het meetgereedschap legt, mag Niet meer dan 5^ van de loodlijn afwijken. Als de afwijking groter is, dan wordt de kalibratie met die aanduiding --- afgebroken.
① Schakel het meetgereedschap in en leg het zodanig op het verticale vlak dat de libel voor verticaal uutilijnen (6) maar boven wijst en het display (5) maar u gericht is. Wacht 10 s.
Druk daarna gedurende ca. 2 s op de kalibratietoets Cal (10) tot kort CAL1 op het display verschijnt. Daarna knippert de meetwaarde op het display.
3 Draai het meetgereedschap 180^ om de verticale as, zo dat de libel nog steeds maar boven wijst, maar het display (5) zich aan de van u af geekerde zijde bevindt. Wacht 10 s.
Druk daarna opniew op op kalibratietoets Cal (10). Op het display verschijnt kort CAL2. Daarna verschijnt de meetwaarde (niet meer knipperend) op het display. Hetmeetgereedschap is nu voor dit oplegvlak opniewe gekalibreerd.
Vervolgens moet u het meetgereedschap voor het tegen-overlieggende oplegvlaak kalibreren. Draai hiervoor het meetgereedschap zodanig de horizontale as dat de li-bel voor vertaaluiijen (6) maar beneden en het dis
48|Nederland
play (5) maar u wijst. Leg het meetgereedschap gegen het verticale vlak. Wacht 10 s.
Druk daarna gedurende ca. 2 s op de kalibratietoets Cal (10) tot kort CAL1 op het display verschijt. Daarna knippert de meetwaarde op het display.
Draai het meetgereedschap 180^ om de verticale as, zo-dat de libel nog steeds maar beneden wijst, maar het display (5) zich aan de van u af gekeerde zijde bevindt. Wacht 10 s.
Druk daarna opniew op op kalibratietoets Cal (10). Op het display verschijnt kort CAL2. Daarna verschijnt de meetwaarde (nietmeer knipperend) op het display. Hetmeetgereedschap is nu voor beiden verticale oplegvlakken opniew gekalibreerd.
Aanwijzing: Als het meetgereedschap bij de stappen ③ en ⑦ Niet om de in de afbeeling getoonde as wordt gedraaid, kan de kalibratie nods worden afgesloten (CAL2 verschijnt nicht op het display).
Onderhoud en service
Onderhoud en reiniging
Houd het meetgereedschap algtd schoon.
Dompel het meetgereedschap Niet in water of andere vloeistofen.
Verwijder vuii met een vochtige, zachte doek. Gebruik geen renigings- of oplosmiddelen.
Als het meetgeredschap langdurig aan de regen worden bloatge-steld, kan de werkung nadelig worden beinvloed. Nadat het meetgeredschap volledig is afgedroogd, kan het echter waar onbeperkt worden gebruikt. Kalibreren is nied nodig.
Bewaar en transporteer het meetgereedschap alleen in het op bergetui (12).
Stuur het meetgereedschap voor reparatie in het opbergetui (12) op.
Klantenservice en gebruiksadsvies
Onze klantenservice beantwoordt uw vragen over reparatie en onderhoud van uw product en over verrangingsonderdelen. Explosietekingen en informatie over verrangingsonderdelen vindt u ook op: www.bosch-pt.com
Het Bosch-gebruiksadviesteam helpt u graag bij vragen over onze producten en accessoires.
Vermeld bij vragen en bestellingen van verrangingsonderdelen als het het uit tiem cijfers bestande productnummer volgens het typeplaatje van het product.
Nederland
Tel.: (076) 579 54 54
Fax: (076) 579 54 94
E-mail: gereedschappen@nl.bosch.com
Belgie
Tel.: (02) 588 0589
Fax: (02) 588 0595 E-Mail: outillage.geredschap@be.bosch.com
Afvalverwijdering
Meetgereedschappen, accu's/batterijen, accessoires en verpakkingen要去en op een voor het milieu verantwoordere wijze worden gerecycled.

meetgereedschappen en accu's/batterijen nicht huisvuil!
Alleen voor landen van de EU:
Volgens de Europese richtlij 2012/19/EU moeten nicht meer bruikbare meetgereedschappen en volgens de Europese richtlij 2006/66/EG moeten defecte of verbruikte accu's/batterijen apart worden ingezameld en op een voor het milieu verantwoorde wijze worden gerecycled.
Dansk
Prikaz Napolijnenost

0-10%
aannnnnnaeennnnne aannnnnnnne
(1)
(2)
(3)
(4) = ( x1,y1) , = ( x2,y2)
(5)
(6)
(7)
(8)
180|n
(9)
(10)
(11) Hohl/Copy
(12) nssnnnns
yuaan
)agwlliggaoaiaagdgjgoo
(gSj) aaiI I aaiI aS
aJJI aSlaJ-21431 0-1049:g
sgawl
433 -00966(0)126920770:
30/34/39-00966(0)114093976:JUJI
00966 (0) 13833 9565 :pLoJl
M.Zreik@eajb.com.sa:jjgjjJJJ
UJgW
auiuuiuuiuuiuuaa awwggo
jolc u EJw -aSolulg Jw.
009631122414009 g] +963112241006 :
00963991141005:JgJI
rita.dallal@ hotmail.com:gjjSj
u
p.0.3.()()
UgjUwZ.l.abgbjuiAaj7
yduu
UgJc U| 2014
:2167142749
+21671428621:μsLg
sav.outillage@tn.bosch.com:gjSJ
Sdaiiuijai jla
Jg jssj
26255
00971(0)43090920/3090930:
71(0)24017745:
00971(0)65932777:ajwJ
00971 (0) 3 7157419 :ü
gjgjSJx
Mallappa.Madari@centralmotors.ae
#
aJgU UgU awwgo
yJoljI yoIol. jJg
+967-1-202010:
+967-1-471917:μuSLg
/tech-tools@abualrejal.com:gJgS!
yahya@abualrejal.com
202|
auiyjoo jol
yIaIyIyIyIyIyIyIyIyIyIyIyIyIyIyIyIyIyIyIyIyIyIyIyIyIyIyIyIyIyIyIyIyIyIyIyIyIyIyIyIyIyIyIyIyIyIyIyIyIyIyI
aaii iiaii jsljol qalw jc aiil
guill lck
jduuul/pslglg wll dsc g
laJ1aJ1

:JgXlaJXJgJb
2012/19/EU
gill wag. JaoiwW aai jie wol oj
2006/66/EC/pSj
pui 000015 uS aIgaiuill g daiuill ljuaill
gjcb aaii jc abaloo ayjb qio yali
guaill 65c yuall uai jslj qalw
203
wJ
GaiIgws

jLg jlgjI L olaim J daa
sJg jil sll j1l as ggs J.
SgW OJy JkJgJgws
sgg Gblas cglg CwJ Soo
Iqlaom J I.
JJg
Juaiaio 1
JU 15 JIwglg0gEgjSd
.
.
山
g jjLw
aJgjOdSjJUgog (sOjJjIjIbWgj
joggoggljg jgcjjwdi
.ugw!g
JgJg g Jgaa o
laolj aqjg jgl gaiu jggl slug
aagj
olssjIolawlJg0
w g yu w (y) oJ u J
CwO aaij jL