Emos E5005 - Vremenska Postaja

E5005 - Vremenska Postaja Emos - Brezplačna navodila za uporabo

Brezplačno poiščite navodila za napravo E5005 Emos v formatu PDF.

📄 112 strani Slovenščina SL 💬 Vprašanje AI
Notice Emos E5005 - page 34

Vprašanja uporabnikov o E5005 Emos

0 vprašanje o tej napravi. Odgovorite na tiste, ki jih poznate, ali zastavite svoje.

Zastavite novo vprašanje o tej napravi

L'email reste privé : il sert seulement à vous prévenir si quelqu'un répond à votre question.

Še ni vprašanj. Bodite prvi, ki postavi vprašanje.

Prenesite navodila za vaš Vremenska Postaja v formatu PDF brezplačno! Poiščite svoja navodila E5005 - Emos in vzemite svojo elektronsko napravo nazaj v roke. Na tej strani so objavljeni vsi dokumenti, potrebni za uporabo vaše naprave. E5005 znamke Emos.

NAVODILA ZA UPORABO E5005 Emos

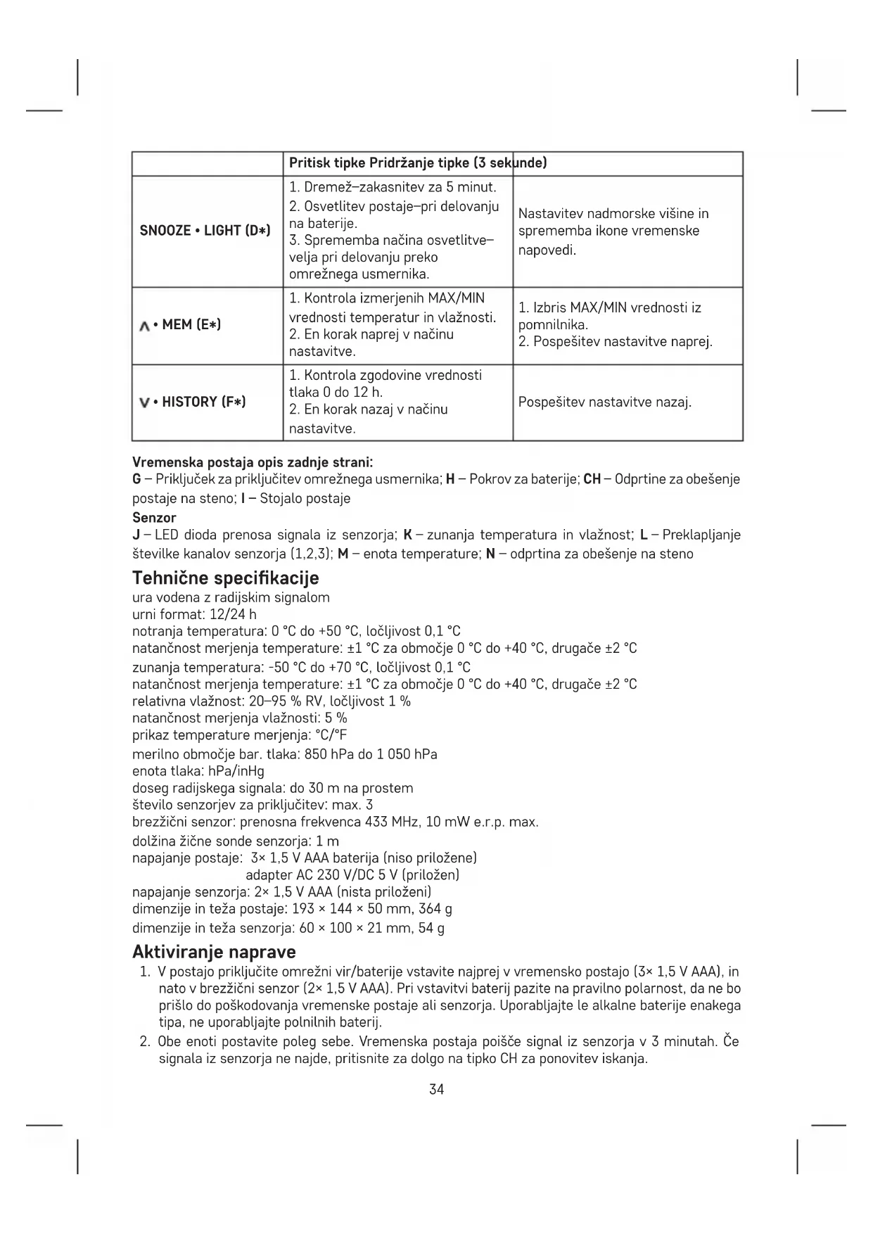
1. Dremež–zakasnitev za 5minut.

2. Osvetlitev postaje–pri delovanju

1. Kontrola izmerjenih MAX/MIN

1. Izbris MAX/MIN vrednosti iz

2. Pospešitev nastavitve naprej.

1. Kontrola zgodovine vrednosti

nastavitve. Pospešitev nastavitve nazaj. Vremenska postaja opis zadnje strani: G – Priključek za priključitev omrežnega usmernika; H – Pokrov za baterije; CH – Odprtine za obešenje postaje na steno; I – Stojalo postaje Senzor J – LED dioda prenosa signala iz senzorja; K – zunanja temperatura in vlažnost; L – Preklapljanje številke kanalov senzorja (1,2,3); M – enota temperature; N – odprtina za obešenje na steno Tehnične specikacije ura vodena z radijskim signalom urni format: 12/24 h notranja temperatura: 0 °C do +50 °C, ločljivost 0,1 °C natančnost merjenja temperature: ±1 °C za območje 0 °C do +40 °C, drugače ±2 °C zunanja temperatura: -50 °C do +70 °C, ločljivost 0,1 °C natančnost merjenja temperature: ±1 °C za območje 0 °C do +40 °C, drugače ±2 °C relativna vlažnost: 20–95 % RV, ločljivost 1 % natančnost merjenja vlažnosti: 5 % prikaz temperature merjenja: °C/°F merilno območje bar. tlaka: 850 hPa do 1 050 hPa enota tlaka: hPa/inHg doseg radijskega signala: do 30 m na prostem število senzorjev za priključitev: max. 3 brezžični senzor: prenosna frekvenca 433 MHz, 10 mW e.r.p. max. dolžina žične sonde senzorja: 1 m napajanje postaje: 3× 1,5 V AAA baterija (niso priložene) adapter AC 230 V/DC 5 V (priložen) napajanje senzorja: 2× 1,5 V AAA (nista priloženi) dimenzije in teža postaje: 193 × 144 × 50 mm, 364 g dimenzije in teža senzorja: 60 × 100 × 21 mm, 54 g Aktiviranje naprave

1. V postajo priključite omrežni vir/baterije vstavite najprej v vremensko postajo (3× 1,5 V AAA), in

nato v brezžični senzor (2× 1,5 V AAA). Pri vstavitvi baterij pazite na pravilno polarnost, da ne bo prišlo do poškodovanja vremenske postaje ali senzorja. Uporabljajte le alkalne baterije enakega tipa, ne uporabljajte polnilnih baterij.

2. Obe enoti postavite poleg sebe. Vremenska postaja poišče signal iz senzorja v 3 minutah. Če

postaji. Vremenska postaja izbriše vse vrednosti in signal iz senzorja ponovno poišče.

4. Senzor priporočamo namestiti na severno stran hiše. Doseg senzorja v gosto pozidanih območjih

5. Senzor je odporen na kapljajočo vodo, vendar ga ne izpostavljajte stalnim vplivom dežja.

6. Namestitev senzorja na kovinske predmete zniža doseg njegovega oddajanja.

7. Če se prikaže ikona izpraznjene baterije, baterije v senzorju ali vremenski postaji zamenjajte.

Sprememba kanala in priključitev drugih senzorjev

3. Z večkratnim pritiskom na tipko CH nastavite želeno številko kanala senzorja (1, 2, 3), ki je

nameščena v prostoru za baterije senzorja. Številka kanala bo prikazana na zaslonu senzorja. V 3 minutah pride do naložitve podatkov iz senzorja.

4. Če signala iz senzorja ne najde, baterije odstranite in spet vstavite.

Nastavitev prikaza podatkov iz več senzorjev, avtomatska rotacija vrednosti priključenih senzorjev Z večkratnim pritiskom tipke CH na vremenski postaji boste postopoma prikazali podatke iz vseh priključenih senzorjev. Lahko aktivirate tudi avtomatsko rotacijo podatkov iz priključenih senzorjev:

Postopoma se bodo avtomatsko in ponovno prikazovali podatki iz vseh priključenih senzorjev.

Pritisnite večkrat tipko CH, dokler ikona ne izgine. Radijsko vodena ura (DCF77) Vremenska postaja začne po registraciji z brezžičnim senzorjem avtomatsko iskati signal DCF77 (v nadaljevanju DCF) 7 minut, utripa ikona . Med iskanjem ne bo posodobljen noben drug podatek na zaslonu in tipke ne bodo delovale (razen SNOOZE•LIGHT). Ko je signal najden, ikona neha utripati in prikaže se trenutni čas z ikono DCF. Če signal DCF ne bo najden, ikona DCF ne bo prikazana. Za ponovno iskanje signala DCF pritisnite hkrati tipki MEM in HISTORY. Za prekinitev iskanja signala DCF držite ponovno hkrati tipki MEM in HISTORY. DCF signal bo sinhroniziran dnevno vsako uro med 2:00 do 3:00 zjutraj. Opomba: V primeru, da postaja signal DCF sprejme, vendar prikazan trenutni čas ni pravilen (npr. premaknjen za ±1 uro), je treba vedno nastaviti pravilen časovni zamik v državi, kjer se postaja uporablja, glej. Ročna nastavitev. V normalnih pogojih (v varni razdalji od virov motenja, kot so npr. televizijski sprejemniki, zasloni računalnikov) traja iskanje časovnega signala nekaj minut. V primeru, da termometer signala ne najde, postopajte po naslednjih korakih:

Oddaljenost pri sprejemu tega signala naj bi bila vsaj 1,5 do 2 metra.

3. Vremenske postaje med sprejemom DCF signala ne nameščajte v bližino kovinskih vrat, okenskih

okvirov ali drugih kovinskih konstrukcij ali predmetov (pralni stroji, sušilniki, hladilniki itn.).

4. V prostorih z železobetonsko konstrukcijo (kleti, visoke gradnje itn.) je sprejem signálu DCF

odvisno od pogojev šibkejši. V skrajnih primerih namestite vremensko postajo v bližino okna v smeri oddajnika. Na sprejem radijskega signala DCF 77 vplivajo naslednji dejavniki:

  • debele stene in izolacije, pritlični ali kletni prostori;
  • neprimerni lokalni geografski pogoji (le težko možno predvidevati vnaprej);36
  • atmosferske motnje, nevihte, električne naprave, televizorji in računalniki brez odpravljenih radijskih motenj, nameščeni v bližini radijskega sprejemnika DCF. Ročna nastavitev

1. Pritisnite za dolgo na tipko MODE.

2. Z večkratnim pritiskom na tipko MODE lahko izbirate nastavitev: urni format 12/24 – časovni

premik – format datuma – leto –mesec – dan – uro – minute – jezik koledarja – enoto bar. tlaka (hPa, InHg) – skalo merjenja temperature °C/°F. Med posameznimi vrednostmi se premikate s pritiskom MODE, nastavitev izvedete s pomočjo tipk MEM in HISTORY. Jeziki koledarja so naslednji: EN – angleščina; GE – nemščina; DA – danščina; SP – španščina; DU – nizozemščina; FR – francoščina; IT – italijanščina Nastavitev nadmorske višine Za natančnejši izračun vrednosti tlaka je primerno ročno nastaviti nadmorsko višino lokacije, kjer se vremenska postaja uporablja.

1. Držite tipko SNOOZE•LIGHT, dokler ne začne utripati vrednost nadmorske višine.

2. S tipkama MEM in HISTORY nastavite želeno nadmorsko višino. Območje nastavitve je od

-190m do 2 000 m, ločljivost 10 m. Atmosferski tlak – zgodovina Postaja prikazuje atmosferski tlak v hPa ali inHg, pa tudi zgodovino tlaka za preteklih 12 ur v polju št. 16. Premestitev vremenske postaje na drugo mesto vpliva na izmerjene vrednosti. Merjenje se stabilizira v 12-ih urah od vstavitve baterije ali premestitve. Z večkratnim pritiskom tipke HISTORY boste postopoma prikazali vrednosti tlaka za preteklih 12 ur. Izmerjena vrednost + časovni premik bosta prikazana v poljih št. 15, 16. Opomba Ko postopek nastavljanja končate, se vremenska postaja po 20 sekundah vrne iz načina nastavitve v standardni način. Trend temperature, vlažnosti in tlaka kazalec trenda temperature, vlažnosti in tlaka zaslon naraščajoč trajen padajoč Lunine faze Lunina faza je prikazana v polju št. 14. Ikone glavnih luninih faz so naslednje: mlaj odhajajoči mlaj prvi krajec naraščajoča polna luna polna luna izginjajoča polna luna zadnji krajec bližajoči se mlaj Prikaz maksimalnih in minimalnih namerjenih vrednosti temperature in vlažnosti Z večkratnim pritiskom tipke MEM bodo postopoma prikazane maksimalne in minimalne izmerjene vrednosti temperature in vlažnosti. S pridržanjem tipke MEM v načinu prikaza MAX/MIN izmerjene vrednosti iz pomnilnika izbrišete. Nastavitev budilke Vremenska postaja omogoča nastaviti 2 budilki. S pritiskom MODE se prikaže čas budilke A1. Izbira bo prikazana v polju št. 21. Pri prikazu časa budilke držite tipko MODE in s tipkama MEM in HISTORY nastavite želen čas bujenja.37 Aktivacijo budilke izvedete s pritiskom tipke MEM ali HISTORY, pri prikazu časa budilke v polju št. 21. Po aktivaciji bo v polju št. 19 prikazana ikona budilke A1

S ponovnim pritiskom tipk MEM ali HISTORY pri prikazu časa budilke boste budilko izklopili, ikona budilke izgine. Enak postopek velja za nastavitve budilke A2 (ikona ). Funkcija dremež in osvetlitev zaslona (SNOOZE/LIGHT) Zvonjenje budilke premaknete za 5 minut s pritiskom na tipko SNOOZE•LIGHT, nameščeno v zgornjem delu vremenske postaje. To pritisnite, ko se zvonjenje sproži. Ikona budilke bo utripala. Za prekinitev funkcije SNOOZE pritisnite katerokoli drugo tipko – ikona neha utripati in ostane prikazana. Budilka se spet aktivira naslednji dan. Vremenska napoved Postaja napoveduje vreme na podlagi sprememb atmosferskega pritiska za naslednjih 12–24 ur za okolje oddaljeno 15–20 km. Natančnost vremenske napovedi je 70–75 %. Ikona napovedi je prikazana v polju št. 11. Ker vremenska napoved ne more biti vedno 100 % natančna, ne more biti proizvajalec niti prodajalec odgovoren za kakršne koli izgube povzročene zaradi nenatančne vremenske napovedi. Pri prvem nastavljanju ali po ponastavitvi vremenske postaje, traja približno 12 ur preden začne vremenska postaja pravilno napovedovati. Ikone vremenske napovedi: sončno delno oblačno oblačno dež nevihta – ikona se prikaže pri zunanji temperaturi na območju -3 °C do +1 °C. Ikona udobja – smeško Ikona udobja je prikazana v polju št. 30. Če je vlažnost med 40–70 % RV in temperatura med 20–28 °C, prikaže se ikona COMFORT – udobno okolje. Če je vlažnost nižja kot 40 % RV, prikaže se ikona DRY – suho okolje. Če je vlažnost višja kot 70 % RV, prikaže se ikona WET – vlažno okolje. Če temperatura ni v območju 20–28 °C in 40–70 % RV, ne bo prikazana nobena ikona. Nastavitev temperaturnih limitov maksimalne in minimalne zunanje temperature Temperaturne limite je možno nastaviti ločeno vse za 3 senzorje zunanje temperature. Z dolgim pritiskom tipke ALERT (C) začne utripati vrednost za nastavitev maksimalne temperature alarma. S tipkama MEM in HISTORY nastavite želeno vrednost od -49 °C do 70 °C. Nato pritisnite tipko ALERT (C) in nastavite minimalno temperaturo alarma od -50 °C do 69 °C

Za aktivacijo/deaktivacijo funkcije temperaturnega alarma pritisnite tipko ALERT. Prikaže se ikona v polju št. 26. S pridržanjem tipk se v nastavitvi premikate hitreje. Območje temperaturnega limita je -50 °C do +70 °C, ločljivost 1 °C. Pri prekoračitvi nastavljenega limita se oglasi zvočni signal in vrednost začne utripati. S pritiskom tipke ALERT opozorilni zvočni signal izklopite. Opozorilo na zamenjavo baterij KO se na zaslonu postaje ali zaslonu senzorja prikaže ikona izpraznjene baterije , baterije v postaji ali senzorju zamenjajte.38 Osvetlitev zaslona postaje Pri napajanju iz adapterja Avtomatsko je nastavljena stalna osvetlitev zaslona. Z večkratnim pritiskom tipke SNOOZE•LIGHT se lahko nastavijo 3 načini stalne osvetlitve (izklopljeno, sredinski nivo osvetlitve, maksimalen nivo osvetlitve). Pri napajanju z baterijami 3× 1,5 V AAA Osvetlitev zaslona je izklopljena, po pritisku tipke SNOOZE•LIGHT se zaslon za 10 sekund prižge in nato se izklopi. Pri napajanju samo na baterije ni možno stalne osvetlitev zaslona aktivirati! Opomba: Vstavljene baterije služijo kot rezervna kopija izmerjenih/nastavljenih podatkov. Če baterije ne bodo vstavljene in omrežni vir izklopite, se vsi podatki izbrišejo. Skrb in vzdrževanje Izdelek je zasnovan tako, da ob primerni uporabi zanesljivo deluje vrsto let. Tu je nekaj nasvetov za pravilno uporabo:

  • Preden začnete izdelek uporabljati, pozorno preberite navodila za uporabo.
  • Izdelka ne izpostavljajte neposredni sončni svetlobi, skrajnemu mrazu, vlagi in naglim spremem- bam temperature. To bi znižalo natančnost snemanja. Izdelka ne nameščajte na mesta, ki so nagnjena k vibracijam in pretresom – to lahko povzroči poškodbe.
  • Izdelka ne izpostavljajte prekomernemu tlaku, sunkom, prahu, visokim temperaturam ali vlagi – lahko povzročijo poškodbe na kateri izmed funkcij izdelka, krajšo energetsko vzdržljivost, poškodbo baterij in deformacije plastičnih delov.
  • Izdelka ne izpostavljajte dežju ali vlagi, ni predviden za zunanjo uporabo.
  • Na izdelek ne postavljajte virov ognja, npr. prižgane svečke ipd.
  • Izdelka ne postavljajte na mesta, kjer ni zadostnega kroženja zraka.
  • V prezračevalne odprtine ne vtikajte nobenih predmetov.
  • Ne posegajte v notranjo električno napeljavo izdelka – lahko ga poškodujete in s tem prekinite veljavnost garancije. Izdelek sme popravljati le usposobljen strokovnjak.
  • Za čiščenje uporabljajte zmerno navlaženo blago krpo. Ne uporabljajte raztopin ali čistilnih izdelkov – lahko poškodujejo plastične dele in električno napeljavo.
  • Naprave ne smejo uporabljati osebe (vključno otrok), ki jih zična, čutna ali mentalna nespo- sobnost ali pomanjkanje izkušenj, in znanj ovirajo pri varni uporabi naprave, če pri tem ne bodo nadzorovane, ali če jih o uporabi naprave ni poučila oseba, ki je odgovorna za njihovo varnost. Nujen je nadzor nad otroki, da bo zagotovljeno, da se ne bodo z napravo igrali. Opozorilo
  • Proizvajalec si pridržuje pravico do spremembe tehničnih parametrov izdelka.
  • Proizvajalec in dobavitelj ne neseta odgovornosti za nekorektno delovanje na mestu, kjer se pojavljajo motnje.
  • Izdelek ni namenjen za zdravniške in komercialne namene.
  • Izdelek vsebuje drobne dele, zato ga hranite izven dosega otrok.

1. Izjavljamo, da jamčimo za lastnosti in brezhibno delovanje v garancijskem roku.

2. Garancijski rok prične teči z datumom izročitve blaga in velja 24 mesecev.

3. EMOS SI d.o.o jamči kupcu, da bo v garancijskem roku na lastne stroške odpravil vse pomanjkljivosti

na aparatu zaradi tovarniške napake v materialu ali izdelavi.

4. Za čas popravila se garancijski rok podaljša.

5. Če aparat ni popravljen v roku 45 dni od dneva prijave okvare lahko prizadeta stranka zahteva

novega ali vračilo plačanega zneska.

6. Garancija preneha, če je okvara nastala zaradi:

  • nestrokovnega-nepooblaščenega servisa
  • predelave brez odobritve proizvajalca
  • neupoštevanja navodil za uporabo aparata

7. Garancija ne izključuje pravic potrošnika, ki izhajajo iz odgovornosti prodajalca za napake na blagu.

8. Če ni drugače označeno, velja garancija na ozemeljskem območju Republike Slovenije.

9. Proizvajalec zagotavlja proti plačilu popravilo, vzdrževanje blaga, nadomestne dele in priklopne

aparate tri leta po poteku garancijskega roka.

10. Naravna obraba aparata je izključena iz garancijske obveznosti. Isto velja tudi za poškodbe zaradi

nepravilne uporabe ali preobremenitve.

NAVODILA ZA REKLAMACIJSKI POSTOPEK

Lastnik uveljavlja garancijski zahtevek tako, da ugotovljeno okvaro prijavi pooblaščeni delavnici (EMOS SI, d.o.o., Rimska cesta 92, 3311 Šempeter v Savinjski dolini) pisno ali ustno. Kupec je odgovoren, če s prepozno prijavo povzroči škodo na aparatu. Po izteku garancijskega roka preneha pravica do uveljavljanja garancijskega zahtevka. Priložen mora biti potrjen garancijski list z originalnim računom. EMOS SI d.o.o. se obvezuje, da bo aparat zamenjal z novim, če ta v tem garancijskem roku ne bi deloval brezhibno. ZNAMKA: Brezžična meteorološka postaja TIP: E5005 DATUM IZROČITVE BLAGA: Servis: EMOS SI, d.o.o., Rimska cesta 92, 3311 Šempeter v Savinjski dolini, Slovenija tel: +386 8 205 17 21 e-mail: reklamacije@emos-si.si

Pomočnik za navodila
Powered by Anthropic
Čakam na vaše sporočilo
Informacije o izdelku

Znamka : Emos

Model : E5005

Kategorija : Vremenska Postaja