DIR3605MSBT - медиаплеер HAMA - Бесплатное руководство пользователя

Найдите руководство к устройству бесплатно DIR3605MSBT HAMA в формате PDF.

📄 82 страниц Русский RU 💬 Вопрос ИИ
Notice HAMA DIR3605MSBT - page 22

Скачайте инструкцию для вашего медиаплеер в формате PDF бесплатно! Найдите своё руководство DIR3605MSBT - HAMA и возьмите своё электронное устройство обратно в руки. На этой странице опубликованы все документы, необходимые для использования вашего устройства. DIR3605MSBT бренда HAMA.

РУКОВОДСТВО ПОЛЬЗОВАТЕЛЯ DIR3605MSBT HAMA

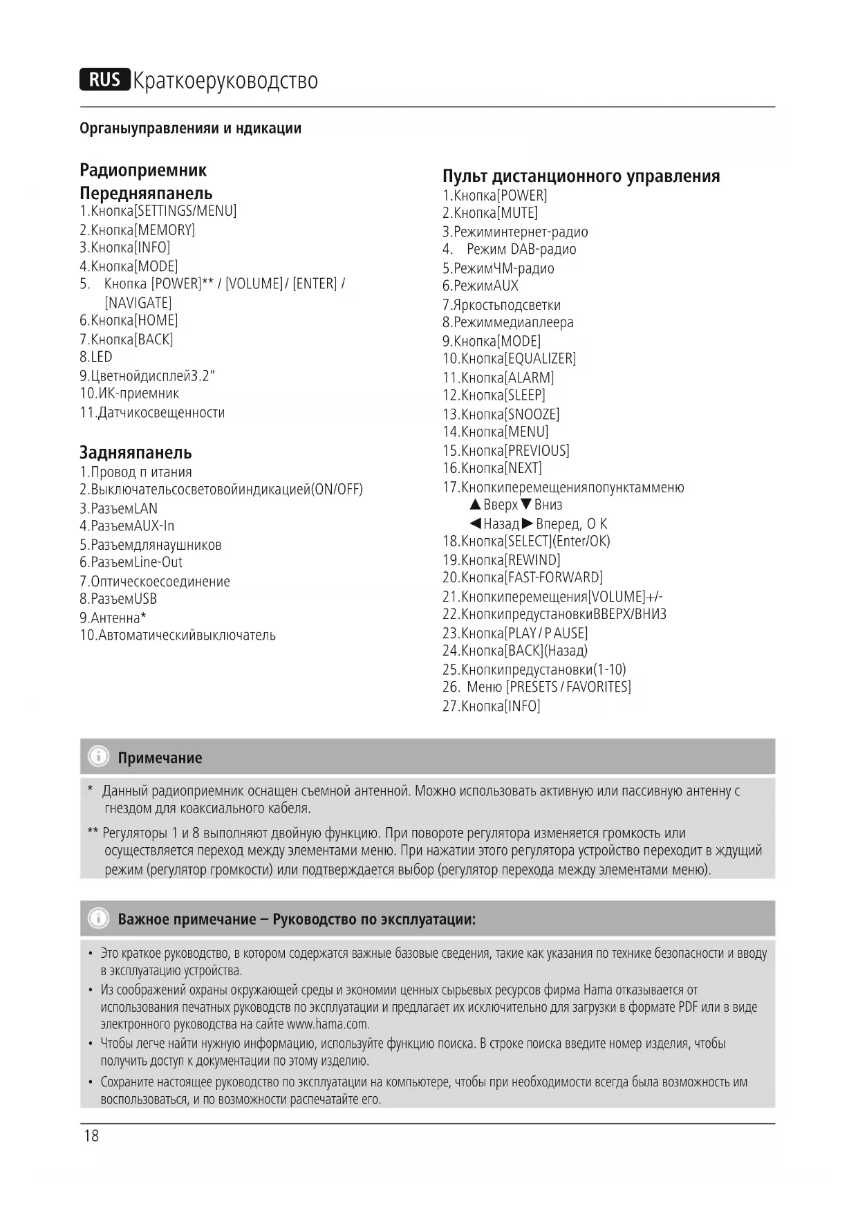
9. Цветной дисплей 3.2"

11. Датчик освещенности

2. Выключатель со световой индикацией (ON/OFF)

5. Разъем для наушников

7. Оптическое соединение

10. Автоматический выключатель

  • Данный радиоприемник оснащен съемной антенной. Можноиспользовать активную или пассивную антенну с гнездом для коаксиальногокабеля. ** Регуляторы 1 и 8 выполняют двойную функцию. Приповороте регулятораизменяется громкость или осуществляется переход между элементамименю. Принажатииэтого регулятораустройствопереходит вждущий режим (регулятор громкости) илиподтверждается выбор (регуляторпереходамеждуэлементами меню). Важное примечание – Руководство по эксплуатации:
  • Этократкое руководство, вкотором содержатсяважные базовые сведения, такие как указания по техникебезопасности ивводу вэксплуатацию устройства.
  • Из соображений охраны окружающей среды иэкономии ценных сырьевых ресурсов фирма Hama отказывается от использования печатных рук ово дств по эк сплуа тации ипредлагает их исключительно для загрузки вформате PDF или ввиде электронногоруководства на сайте www.hama.com.
  • Чтобы легче найти нужную информацию, используйте функцию поиска. Встрокепоиска введите номер изделия, чтобы получить доступ кдокументации по этому изделию.
  • Сохраните настоящее руководство по эксплуатации на компьютере, чтобы при необходимости всег да была возмо жность им воспользоваться, иповозможности распечатайте его. Пультдистанционногоуправления

3. Режим интернет-радио

7. Яркость подсветки

8. Режим медиаплеера

17. Кнопки перемещения по пунктам меню

▲ Вверх ▼ Вниз ◄ Назад ► Вперед,OK

21. Кнопки перемещения [VOLUME] +/-

22. Кнопки предустановки ВВЕРХ / ВНИЗ

1. Предупредительные пиктограммы и

Данным значком отмечены инструкции, несоблюдение которых можетпривести копасной

Дополнительная или важная информация. Опасность поражения электрическим

Значок предупреждает об опасности пораж

высоким напряжением вслучае касания неизолированных токоведущих деталей.

2. Комплект поставки

  • Пультдистанционногоуправления
  • Краткое руководство пользователя

3. Техника безопасности

  • Изделие предназначено толькодля домашнего применения.
  • Беречь от грязи, влаги иперегревания. Эксплуатировать тольковсухих помещениях.
  • Не ронять. Беречь от сильных ударов.
  • Соблюдатьтехнические характеристики.
  • Упаковку не давать детям: опасность асфиксии.
  • Утилизировать упаковку всоответствии сместными
  • Запрещается вносить изменения вконструкцию. Впротивном случае гарантийные обязательства аннулируются. Опасность поражения током
  • Изделие не открывать. Запрещается эксплуатировать неисправное изделие.
  • Запрещается эксплуатация при неисправном блоке питания или поврежденном кабеле питания.
  • Запрещается самостоятельно выполнять техническое обслуживание или ремонт устройства. Любые работы по техническому обслуживанию или ремонту разрешается выполнять только квалифицированному персоналу. Предупреждение – Батареи
  • Загружая батареи, соблюдайте полярность (+ и -). Несоблюдение полярности можетстать причиной вытекания или взрыва батарей.
  • Детям запрещается заменять батареи без присмотра взрослых.
  • Не применять батареи разных типов, разных производителей или новые истарые батареи
  • Вслучае большогоперерыва вэксплуатации извлечь батареи из устройства.
  • Не закорачивать контакты батарей.
  • Обычные батареи не заряжать.
  • Не бросать батареи вогонь.
  • Хранить батареи вместе, недоступном для детей.

4. Действия перед началом работы

Подробное описание приложения UNDOK иего функциональных возможностей смотрите всправке UNDOK по адресу: www.hama.com-

Downloads20 Инструкции по эксплуатации

  • Кнопка [OK] или ► на пульте дистанционного управления соответствует кнопке [ENTER] на передней панели радиоприемника.
  • Кнопка ◄ на пуль те дистанционногоуправления соответствует кнопке [BACK] на передней панели радиоприемника.
  • Кнопки ▲ ▼ на пульте дистанционного управления соответствуютповороту влево ивправо регулятора переходамежду элементами меню на передней панели радиоприемника Начало работы спультом дистанционного

Снимите крышку отсека батарей. Она находится на задней стороне пульта дистанционногоуправления. Для открытия сдвиньте ее вобозначенном направлении. В комплект поставки входят две батареи AAA, которые перед началом работы необходимо вставить вотсек батарей. Вставляя батареи, соблюдайте полярность. Нужная полярность (+/-) обозначена вотсеке батарей. Создание сетевогосоединения

4.1 LAN (проводная сеть)

  • Соедините кабелем разъем LAN маршрутизатора с аналогичным разъемом радиоприемника. Для этого необходимо использовать кабель Ethernet, который не входит вкомплект поставки.
  • Убедитесь, чтомаршрутизаторвключен, правильно работает иесть подключение кинтернету.
  • Для обеспечения правильной работы соединения LAN соблюдайте руководство по эксплуатации маршрутизатора.
  • Затем непосредственно переходите квыполнению действий, описанных вразделе 5. «Вводв эксплуатацию».

4.2 WLAN (беспроводная сеть)

  • Убедитесь, чтомаршрутизаторвключен, правильно работает иесть подключение кинтернету.
  • Активируйте функцию WLAN маршрутизатора.
  • Для обеспечения правильной работы соединения WLAN соблюдайте руководство по эксплуатации маршрутизатора.
  • Затем переходите квыполнению действий, описанных вразделе 5. «Вводвэксплуатацию».

5. Ввод вэксплуатацию

Указание – Оптимальный прием

  • Данное изделие оснащено разъемом для подключения внешней антенны сразъемом для коаксиальногокабеля. Вкомплект поставки входит подходящая телескопическая антенна, обеспечивающая прием DAB, DAB+ и FM. В качестве альтернативы можно использовать активную или пассивную антенну, способную повысить мощность принимаемогосигнала или удовлетворить конкретные потребности.
  • Всегда полностью раскладывайте антенну.
  • Для оптимальногоприема мы рекомендуем располагатьантенну вертикально.
  • Дополнительные источники светаили датчики освещенности во включенном состоянии увеличиваютпотребление энергии.
  • Подсоедините сетевой кабель кнадлежащим образом установленной розетке. Предупреждение
  • Прибор разрешается подключать толькок соответствующей розеткеэлектросети. Розетка электросети должна быть легкодоступна.
  • Отключайте устройство спомощью выключателя электросети, апри егоотсутствии вытащите провод из розетки.
  • Дождитесь, пока завершится инициализация радио.
  • Нажмите кнопку [POWER], чтобы включить радиоприемник. Примечание — При первом включении
  • При первом включении автоматически запускается мастер настройки (Setup Wizard).
  • Мастер настройки выполняется на английском
  • Работу мастера можно пропустить изатем вновь вызвать его.21

5.2 Язык имастер настройки

При первом запускерадиоприемника используется английский язык. Чтобы подтвердить свой выбор, нажмитекнопку [ENTER] или [OK].

  • На выбор доступны следующие языки: английский, немецкий, датский, голландский, финский, французский, итальянский, норвежский, польский, португальский, испанский, шведский, турецкий, Чешская иСловацкая

6. Уход итехобслуживание

  • Чистку изделия производить толькобезворсовой слегка влажной салфеткой. Запрещается применять агрессивные чистящие средства.
  • Если изделие не используется на протяжении долгоговремени, выключите егоиотключите от сети. Храните еговчистом сухом месте, недоступном для прямогосолнечногоизлучения.

7. Отказ от гарантийных обязательств

Компания Hama GmbH &CoKGне несет ответственность за ущерб, возникший вследствие неправильногомонтажа, подключения и использования изделия не по назначению, атакже вследствие несоблюдения инструкции по эксплуатации итехники безопасности.

8. Отдел техобслуживания

По вопросам ремонтаили замены неисправных изделий обращайтесь кпродавцу или всервисную службукомпании Hama. Горячая линия отдела техобслуживания: +49 9091 502-115 (немецкий, английский) Подробнее смотрите здесь:www.hama.com

9. Инструкции по утилизации

Охрана окружающей среды: Смоментапереходанационального законода тельства на европейские нормативы 2012/19/EU и 2006/66/EU действительно следующее: Электрические иэлектронные приборы, атакже батареи запрещается утилизировать с обычным мусором. Потребитель, согласно закону, обязан утилизировать электрические иэлектронные приборы, а такжебатареи иаккумуляторы после их использования в специально предназначенных для этого пунктах сбора, либо впунктах продажи. Детальная рег ламентация этих требований осуществляется соответствующим местным законода тельством. Необходимость соблюдения данных предписаний обозначается особым значком на изделии, инструкции по эксплуатации или упаковке. При переработке, повторном испо льзовании материалов или при другой форме утилизации бывших вупотреблении приборов Вы помог

ране окружающей среды. В соответствии спредписаниями по обращению с батареями, вГермании вышеназванные нормативы действуютдля утилизации батарей иаккумуляторов.

10. Декларация производителя

Настоящим компания Hama GmbH &CoKG заявляет, чторадиооборудование типа [00054885] отвечает требованиям директивы 2014/53/ЕС. Сполным текстом декларации о соответствии требованиям ЕС можно ознакомиться

Downloads. Диапазон/диапазоны

Bluetooth: 2.402 -2.480GHz WiFi: 2.412 -2.472GHz WiFi: 5.150 -5.350 GHz WiFi: 5.470 -5.725 GHz Максимальная излучаемая мощность Bluetooth: 6dBm (EIRP) WiFi: 2.4GHz /17dBm (EIRP) WiFi: 5GHz /16.5dBm (EIRP) Ограничения или требования в Бельгия, Болгария, Чешская Республика, Дания, Германия, Эстония, Ирландия, Греция, Испания, Франция, Хорватия, Италия, Кипр, Латвия, Литва, Люксембург, Венгрия, Мальта, Нидерланды, Австрия, Польша, Португалия, Румыния, Словения, Словакия, Финляндия, Швеция, Великобритания

При использовании каналов 36—64 (частота 5,150—5,350 ГГц) вбеспроводной сети (WLAN) с частотой 5 ГГцизделие разрешено применять только взакрытых помещениях.22 I Istruzioni brevi Elementi di comando eindicazioni Radio Lato anteriore

Помощник по руководству
Работает на ChatGPT
Ожидание вашего сообщения
Информация о продукте

Марка : HAMA

Модель : DIR3605MSBT

Категория : медиаплеер