CG306 - Ekspres do kawy FAGOR - Bezpłatna instrukcja obsługi
Znajdź bezpłatnie instrukcję urządzenia CG306 FAGOR w formacie PDF.
Pytania użytkowników dotyczące CG306 FAGOR
0 pytanie dotyczące tego urządzenia. Odpowiedz na te, które znasz, lub zadaj własne.
Zadaj nowe pytanie dotyczące tego urządzenia
Pobierz instrukcję dla swojego Ekspres do kawy w formacie PDF za darmo! Znajdź swoją instrukcję CG306 - FAGOR i weź swoje urządzenie elektroniczne z powrotem w ręce. Na tej stronie opublikowane są wszystkie dokumenty niezbędne do korzystania z urządzenia. CG306 marki FAGOR.
INSTRUKCJA OBSŁUGI CG306 FAGOR
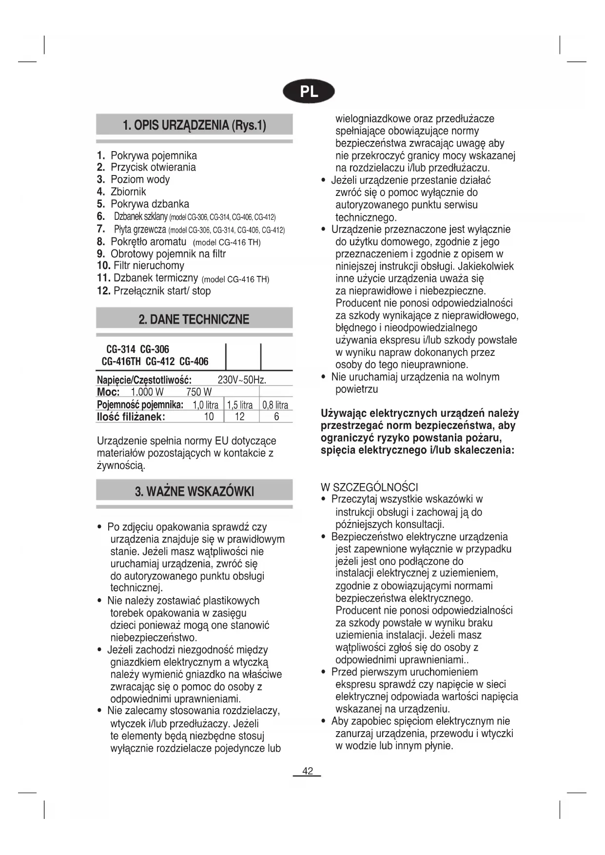
1. OPIS URZADZENIA (Rys.1)
- Pokrywa pojemnika
- Przycisk otwierania
- Poziom wody
- Zbiornik
- Pokrywa dzbanka
- Dzbanek szklany (model CG-306, CG-314, CG-406, CG-412)
- Plyta grzewcza (model CG-306, CG-314, CG-406, CG-412)
- Pokretto aromatu (model CG-416 TH)
- Obrotowy pojemnik na filtr
- Filtr hieruchomy
- Dzbanek termiczny (model CG-416 TH)
- Przelacznik start/stop
2. DANE TECHNICZNE
| CG-314 CG-306 CG-416TH CG-412 CG-406 | |||
| Napięcie/Czȩstotliwość: 230V~50Hz. | |||
| Moc: 1.000 W 750 W | |||
| Pojemność pojemnika: 1,0 litra | 1,5 litra | 0,8 litra | |
| Ilość filizanek: 10 | 12 | 6 | |
Urzadzenie spelnia normy EU dotyczematerialow pozostajacych w kontakcie zzywnoscia.
3. WAZNE WSKAZÓWKI
- Po zdęciu opakowania sprawdźczy urzadzenia znejduje są w prawidówym stanie. Jeźeli masz wąpliwość nie uruchamiaz urzadzenia, zworć są do autoryzowanego punktu ob.§ugi technicznej.
- Nie nalezy zestawiać plastikowych torebek opakowania w zasięgu daneci poniewaz moga one stanowic niebezmieczędwo.
- Jeźeli zachodzi niedzgodnosć między gniażdkiem elektrycznym a wtyczkan aleź wymiencni gniażdko na wąsciwe zwracȩc są o pomoc do osoby z odpowiednimi uprawnieniami.
- Nieazolecamy stosowania rozdzielaczy, wtyczek i/lub przydłuczazy. Jeźeli te elementy są niedźne stosuj wyłącznie rozdzielacze pojedyncze lub
wielogniazdkowe oraz przydłuczace spęniajace obowiaźucie normy bezpieczędwa zwracajć uwage aby nie przykroczyc granicy mocy wskazanje na Rozdzielaczu i/lub przydłuczazu.
- Jeźeli urzadzenia przystaniaość zworć są pomoc wyłącznych do autoryzowanego punktu serwis techniczność.
- Urzadzenie przyznaczone jest wyłącznych do uzytku domowego, zgodnie z seinen przyznaczeniem i zgodnie z opisem w nimiejszej instrukcji obstugi. Jakiekolwiek innate uzycie urzadzenia uwaza są za nieprawidlowe iNiebezpieczne. Producent nie ponosi odpowiedzialnosci za szkody winikajace z nieprawidlowego, będngo i niedopowiezialnego uzywania ekspresu i/lub szkody powstates w winiku napraw dokonanych przyez osoby do tego nieuprawnione.
- Nie uruchamaj urzadzenia na wolnym powietruz
Uzywajc elektrycznych urzadzenNSE nalezy
przestrzegać norm bezpieczentwa, aby
ogranicyc ryzykogowstania pożaru,
spięcia elektrycznégo i/lub skaleczenia:
W SZCZEGOLNOSCI
- Przechytaj wszystkie wskazowyki w instrukcji obslugi i zachowaj ja do poźniejszych konsultaci.
- Bezpieczne stwo elektryczne urzadzenia jest zapewnione wylacznie w przyypadku jezeli jest ono podlaczone do instalacji elektrycznej z uziemieniem, zgodnie z obowiazujacymi normami bezpieczne stwa elektryczneo. Producent nie ponosi odpowiedzialnosci za szkody powstate wwyniku braku uziemienia instalacji. Jezeli masz wąpliwość zgólś sie do osoby z odpwiednimi uprawnieniami..
- Przed pierwszym uruchomieniem ekspresu sprawdźczy napięcie w sieci elektrycznej odpowa diar wartość napiȩcia wskazanej na urzadzeniu.
-
Aby zapobiec spięciom elektrycznym nie zanurzaj urzadzenia, przywodu i wtyczki w wodzie lub innym plynyie.
-
Nie pozwalaj abypanicu lub osoby niepehnosprawne obstugiwaly urzadzenie.
- Ježeli nie bedziesz uzywał urzadzenia, przyzdęsze ekspres z sieci elektrycznej. Prźed zamontowaniem i zdemontowaniem ekspresu oraz przyzdęsze myciem odczekaj chwie aż urzadzenia ostygniie.
- Nie poddawaj urzadzenia na dziatanie czynnikow atmosferycznych (deszcz, słonce, lód, etc.).
- Nie uzywaj ani nie ustawiaj zadnej czeci urzadzenia na lub w povlizu goracych powierzchni (gazowych lub elektrycznych pły t kuchennych lub piekarnika).
- Przewód nieMZe zwaśc z powierzchni, na ktorej sie znajduje. Wybierz najmiejsza dlugosć kabla potrzebną do podlącenia ekspresu do gniazdka elektrycznego.
- Nie dotykaj goracych powierzchni. Uzyj tapek lub rekawic ochronnych. Kabel nie要去 dotykac pty grzewczej
- Jeźeli kabel elektryczny ulegnie zniszczeniu wymiem go w autoryzowanym serwisie technicznym.
- Nie uruchamiaz odznego urzadzenia elektrycznego jezeli przywod elektryczny lub wyczka sa uszkodzone, jezeli urzadzenie nie dziatra prawidlowo lub zostato uszkodzone. Zanieś urzadzenie do autoryzowanego serwisu technicznego aby dokonać przyglady lub naprawy.
- W przypadku awarii i/lub nieprawidłowego dzialania wyłacz urzadzenie i nie probuj go naprawiac. Zanieś urzadzenie do autoryzowanego serwisu technicznégo i wymiem czeci zamienne i akcesoria na oryginalne.
- Jeźeli zdecydujesz pozbyc są definitywnie urzadzenia, wyłącz urzadzenia z sieci elektrycznej i przyznij kabel zasilajczy.
Gorący pląn znajdućy sie w dzbanku要去 spowodować poparzenia w przypadku seinen pękniȩcia. Aby nie zbieczdzbanka zachowaj następułące srodki ostrożnosci:
-
Pilnuj aby woda nie wyparowa. Nie podgrzewaj dzbanka przyeli nie ma w nim plynu.
-
Nie uzywaj dzbanka jeźeli jest on pękniety lub uchwyt jest obluzowy. Wymiędzychy zauwaźysz jakiekolwiek uszkodzenie. Pękniȩcie lub rysa na dzbanku są zaoprasyc日常工作 do plęnud.
- Nie myj dzbanka za pomocá szorstkiej szczoteczki lub szmatek, ktore moga porysować i osląbic szkło.
- Nie podgrzewaj dzbanka w mikrofalowce. Do przygotowania wody stosuj zimna wode.
Dzbanek przyznaczony jest do uzytku w ekspresie. Nie stawiaj dzbanka na lub w poblizu goracych powierzchni (piecyk grzejny, palenisko, blat do gotowania, Rozgrzany piekarnik, mikrofalowska, etc.) - Nie ustawiaj dzbanka na mokrej i zimnej powierzchni.
- Nie obstuguj ekspresu w sposob gwaltowny iunikaj wzelkich uderzen.
- Urzadzenia nie jest przyznaczone do obstugi przy czȩci i osoby z jaburzeniami sprawnosci fizycznej, zmyśtów, zdolnosci umysłowych, oraz przyez osoby bez odpowiedniago dośćwiedzenia lub wiedzy; z wyjmakiem obstugi pod nadzorem opiekuna prawnego, po otrzymaniu przyszkolenia w zakresie obstugi urzadzenia.
Uwacz na daneci - urzadzenia nie jest przyznaczone do zapawy.
Zaleca sie zabezpieczenie urzadzenia wyłacznikiem roznicowopradowym (RCD) z przem znamionowym roznicowym nie wyźyszym od 30mA . Aby uzyskać wiecj informaci, nalezy skontaktoać sie z elektrykiem.
4. PRZED PIERWSZYM URUCHOMIENIEM
- Przed pierwszym uruchomieniem ekspresu do kawy zapoznej sie z了我的 budowa. Przechytaj uwaznie wszystkie instrukcje obstugi.
Zdemontuj pojemnik na filtr (8) (rys. 2,3) iPokrywę dzbanka (5) (tak jak jest toPokazane na rys.4 dla modelu CG-306,CG-314,CG-406,CG-412)i
umyj je wraz dzbankiem (6) i filtrm hieruchomym (10) oraz wspornikiem zaworu przyciw skraplaniu w letniej wodzie z plynem, wyplucz dokladnie, wysusz i ponownie zamontuj mocujac prwidlowo wspornik zaworu przyciw skraplaniu w povemniku na filtr (rys. 4)
- Aby umyć ekspres od wewnatrix uruchom dwa razy ekspres bez wsypywania kawy do filtra. Patrz wskazówki w punkcie „Przygotowanie kawy".
5. PRZYGOTOWANIE KAWY
Przy wyłaczonym urzadzeniu z gniażdka elektrycznégo:
- Ustaw ekspres na plaskiej i stabilnej powierzchni.
Podniesz Pokrywe pojemnika (1) przyciskajc przycisk otwierania (2) i sprawdzczy pojemnik jest pusty. Napelnij pojemnik czysta i zimna woda do zadanego poziomu. Nie przyekraczaj dozwolonego poziomu pojemnika. - Wsyp do filtra (10) zadana ilosc kawy i przykryj Pokrywa. Zalecamy wsypac jederna lyzek kawy na kaźda filizankę kawy. Po wielokrotnym użciu ekspresu budziesz mogt dostosowej ilosc wsypwanej kawy do wąsnych upodoban.
- Wstaw dzbanek (6) wraz z Pokrywa (5) prawidlowo zamocowan na phtegrzewcza (7). SprawdźczyPokrywa dzbanka otwiera zawor przyciw skraplaniu poniewaz w przyciwnym razie filtrowna kawa nie przyeleci do dzbanka i wyleje sie z filtra.
Podlacz ekspres do gniazdka elektrycznego. - Właczk ekspres naciskaję przelacznik (12). Lampka kontrlna sie zastawicy
W modelu CG-306,CG-314,CG-406, CG-412,po zaparzeniu kawy,dzbanek z kawa bedzie nadal podgrzewany za pomocaply grzewczej.Nalezy wylaczyc ekspres, naczkajac przycisk (12).
W modelu CG-416 TH, ekspres wyłacza sie automatycznie, termiczny dzbanek (11) utrzymuje kaweciepla. Jesli chce
sie wylaczy dziatanie ekspresu, nalezy nacinac przycisk (12).
Kiedy dzbanek jest pusty wyłucz urzadzenia z sieci elektrycznej i odczekaj około 10 minut aby ekspres ostygędź ponownym przygotowaniem kawy lub przyded myciem ekspresu.
6. JAK PRZYGOTOWAÇ SMACZNA KAWE
Aby kawa bya smaczna i aromatyczna zalecamy stosowanie swiezo zmielonej kawy.
Ziarna powinny byc srednio zmielone, nie moga byc zmielone zbyt drobno.
Przechowuj kawe w suchym.), Aby kawa zachowa swoj aromat opakowanie kawy przechowuj szczelnie zamkniete w lodowce.
Plyta grzewcza utrzymuje ciepla kawe\ jednak najsmaczniejsza kawa to kawa\ swiezo zaparzona.
7. DZBANEK TERMICZNY (mod. CG-416 TH)
Dzbanek utrzymuje ciepla kawe.
W celu otwarcia, nalezy przykrecić przykrywkę przyciwnie do wskazowej zagara aź do ustawuminium w jedernej linii oznaczenia na dzbanku i przykrywce, w celu jej poluzowania i!");
W celu zamkięcia dzbanka i uzycia go,
ustawić ponownie oznaczenia w jedernej linii i przykrećci zgodnie ze wskazówkami zagara.
W celu nalania kawy, nacinść leukko na przycisk w celu uniesienia przykrywki.
8. POKRETLO AROMATU (mod. CG-416 TH)
PrzekrecajcPokretlo8) mozymuustawic smak kawy i intensywnosc kawy.
Słaba kawe osiagniemy ustawiajacPokretto w pozycji natomiast mocniejsza kawe w pozycji
9. MYCIE EKSPRESU
Przed Rozpoczeciem mycia wyłacz
przelacznik start/stop, wyłacz ekspres z sieci elektrycznej i odczekaj chwilę az ekspres ostygnie.
Pojemnik na filtr, filtr, dzbanek i pokrywedgezbanka myj w letniej wodzie z plynem, wypłucz w czystej wodzie i wytrzyj czȩci zanim zamontujesz je ponownie.
Wszystkie wciagane czeci moza myc w zmywarce.
Obudowę ekspresu要去źmyc wilgotna sciereczka. Nie stosuj detergentów i srodków sciernych.
Nie zanurzaj urzadzenia w wodzie i niewstawiaz pod kran z woda.
10. USUWANIE KAMIENIA
Wazoleński od stopnia twardosci wody i czestotliwosci uzywania ekspresu, przywodny wodne moga ulec zniszczeniu z powodu zawartosci kamienia w wodzie. jest to odczuwalne, jejeli proces filtracji trwa dluzej niz zazwyczaj. Aby temu zapobiec nalezy konieczne usunac kamien z ekspresu. Mozesz uzyc w tym celu srodkow usuwajych kamien przyznaczonych do ekspresow i dostepnych w sklepach lub usunac kamien w nastepujczy spośb:
- Napelnij dzbanek plynem w proportcji jedernej czwartej octu i trzech czwartych wody.
- Wlej roztwor wody i octu do pojemnika i wącz ekspres. Odczekaj az caly roztwor przyeplynie do dzbanka.
- Powtórz czynnosć 2 lub 3 razy w zależnosci od ilosci kamenia w ekspresie.
- Po usunieciu kamenia z ekspresu, aby usunac resztki octu, wącz 2 lub 3 razy ekspres tylko wlewajac wode
Zalecamy usuwac kamien jeder raz w miesiacu
11. INFORMACJA DOTYCZACA PRAWIDŁOWEGO ZARZADZANIA ODPADAMI URZADZEN ELEKTRYCZNYCH I ELEKTRONICZNYCH"

Na koniec okresu
uzytecznosci produktu nie
naleź y wyrzuć do opadów
miejskich. Można go
dostarczyc do odpowiednich
osrodków segregujacych
odpady przygotawanych
przez w遑 zmejskie lub do Jednostek zapewniajacyt takie uslugi. Osobne usuwanie sprzetu AGD pozwala uniknac negatywnych skutkow dla srodowiska naturalneo i zdrowia z powodu为其 nieodpowediego usuwania i umozliwia odzyskiwanie materiałow, z ktorch jest zlozony, w celu uzyskania znaczacej oszczejnosci energii izasobow.
Aby podkreślic koniecznosć wspołpracy z osrodkami segregującymi odpady, na produktcie znajduje są informacja przypominajęca,ź nieNSE wyrzucć urzadzenia do zwykthy kontenerów na odpady.
Wiecej informaci maybe zasięgnac kontaktujac sie z lokalnymi wędzami lub ze sprzedawca skepu, w ktorym zostato zakupione urzadzenia.
BG
1.ОПИСАНЕHA YPEДA(Cx.1)
- Kanak ha pe3epBoapa
- ByToH 3a OTBapAHe
- HbO Ha BODaTa
- Pe3epBoap
- Kanak Ha KaHaTa
- CTbKJIeHa KaHa (MoTeJCG-306, CG-314, CG-406, CG-412)
- Harpbaa nlaaka (moden CG-306, CG-314, CG-406, CG-412)
- KoHTpOHa apOMaTa(MoDen CG-416 TH)
- Onopa Ha BbpTAAe ce qnnTbp
- NocToRHeH cHnTbP
- TepMNHa KaHaMOeJI CG-416 TH)
- PpeBKnIOuBaTeJ BkJI./n3KJI.