T11 - στεγνωτήριο ρούχων Eudora - Δωρεάν εγχειρίδιο χρήσης

Βρείτε δωρεάν το εγχειρίδιο της συσκευής T11 Eudora σε μορφή PDF.

📄 240 σελίδες Ελληνικά EL 💬 Ερώτηση AI
Notice Eudora T11 - page 221
Προβολή του εγχειριδίου : Français FR Dansk DA Deutsch DE Ελληνικά EL English EN Español ES Suomi FI Italiano IT Nederlands NL Português PT Svenska SV

Questions des utilisateurs sur T11 Eudora

0 question sur cet appareil. Repondez a celles que vous connaissez ou posez la votre.

Poser une nouvelle question sur cet appareil

L'email reste privé : il sert seulement à vous prévenir si quelqu'un répond à votre question.

Aucune question pour l'instant. Soyez le premier à en poser une.

Κατεβάστε τις οδηγίες για το στεγνωτήριο ρούχων σε μορφή PDF δωρεάν! Βρείτε το εγχειρίδιό σας T11 - Eudora και πάρτε ξανά την ηλεκτρονική σας συσκευή στα χέρια σας. Σε αυτή τη σελίδα δημοσιεύονται όλα τα έγγραφα που απαιτούνται για τη χρήση της συσκευής σας. T11 της μάρκας Eudora.

ΕΓΧΕΙΡΊΔΙΟ ΧΡΉΣΗΣ T11 Eudora

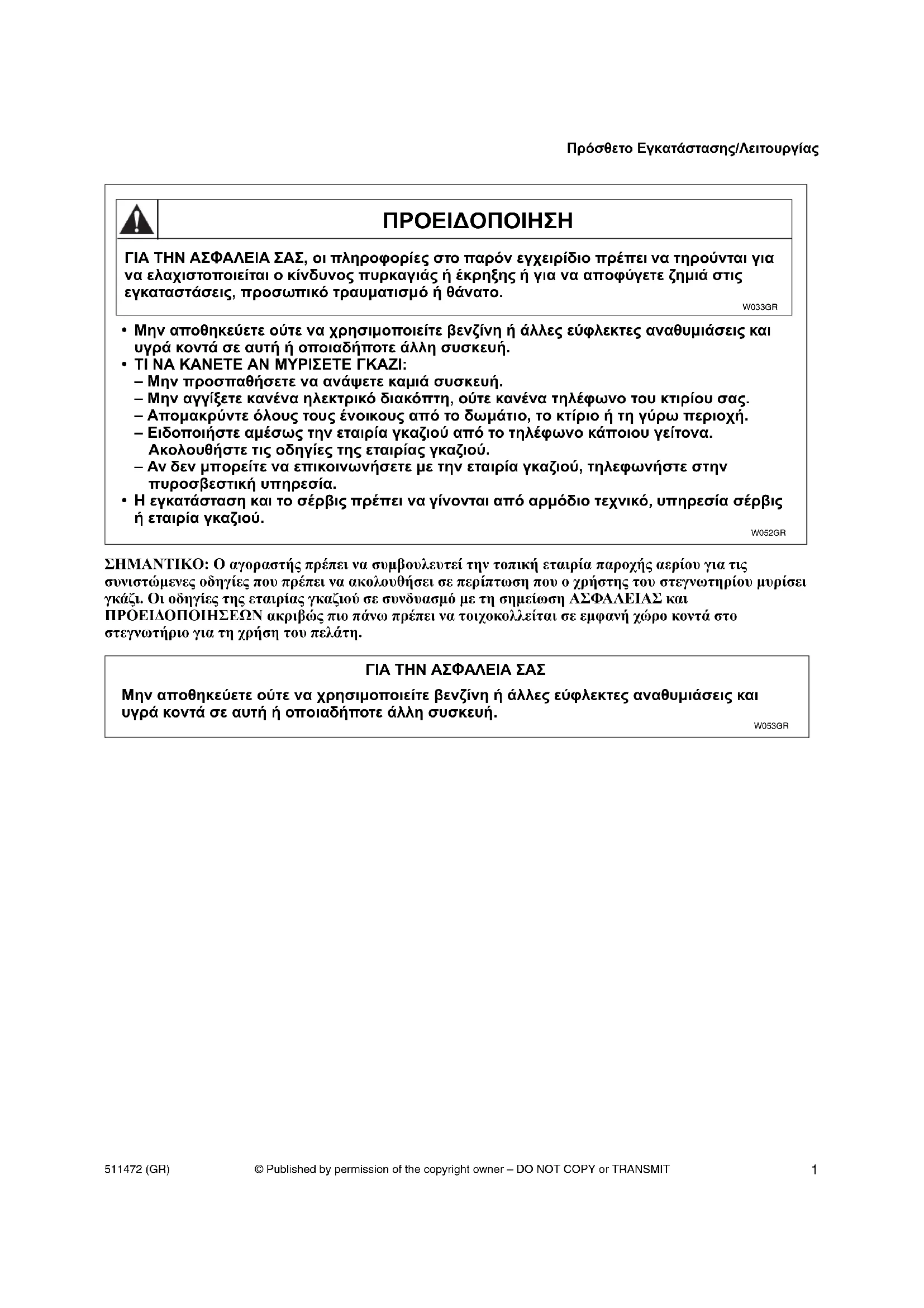
Μοντέλα Ηλεκτρικού και Αερίου D715IΑρ. Εξαρτ. 511472R2GRΔεκέμβριοςp 2007 Φυλάξτε αυτές τις οδηγίες για τυχόν χρήση στο μέλλον. (Εάν η συσκευή αλλάξει ιδιοκτήτη, φροντίστε να συνοδεύεται από το παρόν εγχειρίδιο.)© Published by permission of the copyright owner – DO NOT COPY or TRANSMIT Πρόσθετο Εγκατάστασης/Λειτουργίας 511472 (GR)

ΣΗΜΑΝΤΙΚΟ: Ο αγοραστής πρέπει να συμβουλευτεί την τοπική εταιρία παροχής αερίου για τις συνιστώμενες οδηγίες που πρέπει να ακολουθήσει σε περίπτωση που ο χρήστης του στεγνωτηρίου μυρίσει γκάζι. Οι οδηγίες της εταιρίας γκαζιού σε συνδυασμό με τη σημείωση ΑΣΦΑΛΕΙΑΣ και ΠΡΟΕΙΔΟΠΟΙΗΣΕΩΝ ακριβώς πιο πάνω πρέπει να τοιχοκολλείται σε εμφανή χώρο κοντά

στεγνωτήριο για τη χρήση του πελάτη.

  • Μην αποθηκεύετε ούτε να χρησιμοποιείτε βενζίνη ή άλλες εύφλεκτες αναθυμιάσεις και υγρά κοντά σε αυτή ή οποιαδήποτε άλλη συσκευή.
  • ΤΙ ΝΑ ΚΑΝΕΤΕ ΑΝ ΜΥΡΙΣΕΤΕ ΓΚΑΖΙ: – Μην προσπαθήσετε να ανάψετε καμιά συσκευή. – Μην αγγίξετε κανένα ηλεκτρικό διακόπτη, ούτε κανένα τηλέφωνο του κτιρίου

– Απομακρύντε όλους τους ένοικους από το δωμάτιο, το κτίριο ή τη γύρω περιοχή. – Ειδοποιήστε αμέσως την εταιρία γκαζιού από το τηλέφωνο κάποιου γείτονα. Ακολουθήστε τις οδηγίες της εταιρίας γκαζιού. – Αν δεν μπορείτε να επικοινωνήσετε με την εταιρία γκαζιού, τηλεφωνήστε στην πυροσβεστική υπηρεσία.

  • H εγκατάσταση και το σέρβις πρέπει να γίνονται από αρμόδιο τεχνικό, υπηρεσία σέρβις ή εταιρία γκαζιού. W052GR ΓΙΑ ΤΗΝ ΑΣΦΑΛΕΙΑ ΣΑΣ, οι πληροφορίες στο παρόν εγχειρίδιο πρέπει να τηρούνται για να ελαχιστοποιείται ο κίνδυνος πυρκαγιάς ή έκρηξης ή για να αποφύγετε ζημιά στις εγκαταστάσεις, προσωπικό τραυματισμό ή θάνατο. W033GR ΠΡΟΕΙΔΟΠΟΙΗΣΗ ΓΙΑ ΤΗΝ ΑΣΦΑΛΕΙΑ ΣΑΣ Μην αποθηκεύετε ούτε να χρησιμοποιείτε βενζίνη ή άλλες εύφλεκτες αναθυμιάσεις και υγρά κοντά σε αυτή ή οποιαδήποτε άλλη συσκευή. W053GR© Published by permission of the copyright owner. Πρόσθετο Εγκατάστασης/Λειτουργίας © Published by permission of the copyright owner – DO NOT COPY or TRANSMIT
  • Περιεχομένων Πληροφορίες Ασφάλειας p. 3
  • Εξήγηση των μηνυμάτων ασφαλείας p. 3
  • Σημαντικές οδηγίες ασφάλειας p. 3
  • Εγκατάσταση p. 6
  • Διαστάσεις και προδιαγραφές p. 6
  • Εγκατάσταση του στεγνωτηρίου p. 7
  • Βήμα 1: Τοποθετήστε και ευθυγραμμίστε το στεγνωτήριο p. 7
  • Βήμα 2: Σύνδεση του συστήματος εξόδου του στεγνωτηρίου p. 7
  • Βήμα 3: Συνδέστε το σωλήνα παροχής αερίου (μόνο για στεγνωτήριο αερίου) p. 8
  • Βήμα 4: Σκουπίστε το εσωτερικό του στεγνωτηρίου p. 9
  • Βήμα 5: Συνδέστε το στεγνωτήριο στην ηλεκτρική πρίζα p. 9
  • Βήμα 6: Ελέγξτε την εγκατάσταση p. 9
  • Έλεγχος πηγής θερμότητας p. 10
  • Ηλεκτρικά στεγνωτήρια p. 10
  • Στεγνωτήρια αερίου p. 10
  • Απαιτούμενη ηλεκτρική παροχή p. 10
  • Ηλεκτρικά στεγνωτήρια p. 10
  • Στεγνωτήρια αερίου p. 11
  • Απαιτήσεις αερίου p. 12
  • Στεγνωτήρια αερίου p. 12
  • Απαιτήσεις θέσης τοποθέτησης p. 13
  • Απαιτήσεις εξόδου αερίων στεγνωτηρίου p. 14
  • Υλικά συστήματος εξαερισμού p. 14
  • Απαιτήσεις αναπληρωματικού αέρα p. 14
  • Κατεύθυνση Εξαερισμού p. 16
  • Ροή αέρα στεγνωτηρίου p. 17
  • Λειτουργία p. 18
  • Οδηγίες λειτουργίας p. 18
  • Βήμα 1: Καθαρίστε το φίλτρο χνουδιού p. 18
  • 2: Τοποθετήστε τα ρούχα p. 18
  • Βήμα 3: Κλείστε την πόρτα φόρτωσης p. 18
  • Βήμα 4: Επιλέξτε ρύθμιση θερμοκρασίας p. 18
  • Βήμα 5: Ρυθμίστε το κουμπί του χρονοδιακόπτη p. 19
  • Βήμα 6: Ξεκινήστε το στεγνωτήριο p. 19
  • Βήμα 7: Αφαιρέστε τα ρούχα p. 19
  • Σήμα τέλους κύκλου p. 19
  • Απόρριψη της συσκευής © Published by permission of the copyright owner – DO NOT COPY or TRANSMIT 511472 (GR) Πρόσθετο Εγκατάστασης/Λειτουργίας Πληροφορίες Ασφάλειας Εξήγηση των μηνυμάτων p. 20

Σε όλο το παρόν εγχειρίδιο και στα αυτοκόλλητα του μηχανήματος, θα βρείτε προληπτικές δηλώσεις (“ΚΙΝΔΥΝΟΣ”, “ΠΡΟΕΙΔΟΠΟΙΗΣΗ” και “ΠΡΟΣΟΧΗ”) που ακολουθούνται από συγκεκριμένες οδηγίες. Αυτές οι προειδοποιήσεις έχουν ως σκοπό την προσωπική ασφάλεια του χειριστή, χρήστη, συντηρητή και των ατόμων που συντηρούν το μηχάνημα. Πρόσθετες προειδοποιητικές δηλώσεις (“ΣΗΜΑΝΤΙΚΟ” και “ΣΗΜΕΙΩΣΗ”) ακολουθούνται από συγκεκριμένες οδηγίες. ΣΗΜΑΝΤΙΚΟ: Η λέξη “ΣΗΜΑΝΤΙΚΟ” χρησιμοποιείται για να πληροφορήσει τον αναγνώστη σχετικά με συγκεκριμένες διαδικασίες όπου μπορεί να συμβεί μικρή ζημιά του μηχανήματος αν δεν ακολουθηθεί η διαδικασία. ΣΗΜΕΙΩΣΗ: Η λέξη “ΣΗΜΕΙΩΣΗ” χρησιμοποιείται για να κοινοποιήσει πληροφορίες εγκατάστασης, λειτουργίας, συντήρησης ή σέρβις που είναι σημαντικές αλλά δεν σχετίζονται

Σημαντικές οδηγίες ασφάλειας Φυλάξτε αυτές τις οδηγίες

1. Διαβάστε όλες τις οδηγίες πριν από τη χρήση του

2. Ανατρέξτε στις ΟΔΗΓΙΕΣ ΓΕΙΩΣΗΣ στο

εγχειρίδιο ΕΓΚΑΤΑΣΤΑΣΗΣ για τη σωστή γείωση του στεγνωτηρίου.

3. Μη στεγνώνετε αντικείμενα τα οποία έχουν ήδη

καθαριστεί, μουσκέψει, βραχεί ή λερωθεί με βενζίνη, διαλυτικά στεγνού καθαρισμού, άλλες εύφλεκτες ή εκρηκτικές ουσίες, καθώς εκπέμπουν ατμούς που θα μπορούσαν να προκαλέσουν σπίθες ή έκρηξη.

4. Μην αφήνετε τα παιδιά να παίζουν επάνω ή μέσα

στο στεγνωτήριο. Προσέχετε τα παιδιά όταν αυτά βρίσκονται κοντά στο στεγνωτήριο. Αυτό ο κανόνας ασφάλειας ισχύει για όλες τις συσκευές.

5. Προτού αποσύρετε ή πετάξετε το στεγνωτήριο,

αφαιρέστε το κάλυμμα του κάδου πλύσης.

6. Μη βάζετε το χέρι σας μέσα στο στεγνωτήριο

όταν περιστρέφεται ο κύλινδρος.

7. Μην τοποθετείτε και μη φυλάσσετε το

στεγνωτήριο σε μέρη όπου θα εκτίθεται σε νερό ή/και τις καιρικές συνθήκες.

8. Μην πειράζετε άσκοπα τους διακόπτες.

9. Μην επισκευάζετε ή αντικαθιστάτε οποιοδήποτε

μέρος του στεγνωτηρίου, ή μην επιχειρείτε οποιοδήποτε είδος σέρβις εκτός εάν αυτό συνιστάται ειδικά στις οδηγίες συντήρησης από το χρήστη ή σε εκτυπωμένες οδηγίες συντήρησης από τον χρήστη, τις οποίες κατανοείτε και μπορείτε να ακολουθήσετε.

10. Μη χρησιμοποιείτε μαλακτικό ή αντιστατικά

προϊόντα εάν αυτό δεν συνιστάται από τον κατασκευαστή του μαλακτικού ή του προϊόντος. Εννοεί μια κατάσταση άμεσου κινδύνου που, αν δεν αποφευχθεί, θα προκαλέσει σοβαρό τραυματισμό ή θάνατο.

Εννοεί μια επικίνδυνη κατάσταση που, αν δεν αποφευχθεί, θα μπορούσε να προκαλέσει σοβαρό τραυματισμό ή

ΠΡΟΕΙΔΟΠΟΙΗΣΗ Εννοεί μια επικίνδυνη κατάσταση που, αν δεν αποφευχθεί, είναι δυνατόν να προκαλέσει σοβαρό τραυματισμό ή ζημιά περιουσίας.

Για να μειώσετε τον κίνδυνο πυρκαγιάς, ηλεκτροπληξίας ή τραυματισμού σε άτομα όταν χρησιμοποιούν το στεγνωτήριό σας, ακολουθήστε αυτές τις βασικές προφυλάξεις: W034GR ΠΡΟΕΙΔΟΠΟΙΗΣΗ© Published by permission of the copyright owner – DO NOT COPY or TRANSMIT Πρόσθετο Εγκατάστασης/Λειτουργίας 511472 (GR)

11. Για να ελαχιστοποιήσετε τον κίνδυνο πυρκαγιάς,

ΜΗ ΣΤΕΓΝΩΝΕΤΕ πλαστικά ή αντικείμενα που περιέχουν πλαστικό αφρό ή παρόμοια υλικά επικαλυμμένα με πλαστικό.

12. ΠΑΝΤΟΤΕ να καθαρίζετε το φίλτρο μετά από

κάθε φορτίο. Μία στρώση χνουδιού στο φίλτρο μειώνει την αποτελεσματικότητα στεγνώματος και μακραίνει το χρόνο στεγνώματος.

13. Να διατηρείτε το χώρο γύρω

από την έξοδο αερίων και τον παραπλήσιο χώρο καθαρό από χνούδια, σκόνες και ακαθαρσίες.

14. Ο εσωτερικός χώρος του στεγνωτηρίου και ο

σωλήνας εξόδου αερίων πρέπει να καθαρίζεται κατά περιόδους από εγκεκριμένο προσωπικό συντήρησης.

15. Αν δεν εγκατασταθεί, δεν χρησιμοποιηθεί και δεν

συντηρείται σύμφωνα με τις οδηγίες του κατασκευαστή ή εάν έχει προκληθεί ζημιά ή λάθος χειρισμός στα εξαρτήματα του προϊόντος, η χρήση αυτού του προϊόντος μπορεί να σας εκθέσει σε καύσιμες ουσίες ή παράγωγα καύσης τα οποία είναι δυνατόν να προκαλέσουν θάνατο ή σοβαρή ασθένεια και τα οποία είναι γνωστά στην Πολιτεία της Καλιφόρνια ότι προκαλούν καρκίνο, γενετικά ελαττώματα ή άλλο

16. Το στεγνωτήριο δεν πρόκειται να λειτουργήσει

με ανοιχτή την πόρτα. ΜΗΝ παρακάμπτετε το διακόπτη ασφάλειας της πόρτας αφήνοντας να λειτουργεί το στεγνωτήριο με ανοιχτή την πόρτα. Το στεγνωτήριο θα σταματήσει να περιστρέφεται όταν ανοίξει η πόρτα. Μη χρησιμοποιείτε το στεγνωτήριο αν δεν σταματάει να περιστρέφεται όταν ανοίγετε την πόρτα ή αρχίζει να περιστρέφεται χωρίς να πατήσετε το μηχανισμό START [ΕΚΚΙΝΗΣΗ]. Σταματήστε τη χρήση του στεγνωτηρίου και καλέστε τον τεχνικό.

17. Μην τοποθετείτε ρουχισμό που έχει λερωθεί με

μαγειρικό λάδι στο στεγνωτήριο καθώς αυτά τα λάδια μπορεί να μην έχουν καθαριστεί κατά το πλύσιμο. Το ύφασμα μπορεί να πιάσει φωτιά ή

αυτοαναφλεχθεί από τα λάδια που παραμένουν.

18. Για να μειώσετε τον κίνδυνο πυρκαγιάς, ΜΗΝ

τοποθετείτε ρούχα τα οποία έχουν υπολείμματα εύφλεκτων ουσιών, όπως μηχανέλαιο, εύφλεκτα χημικά, διαλυτικά, κ.λπ. ή οτιδήποτε περιέχει κηρό ή χημικά όπως σφουγγαρόπανα και καθαριστικά πανιά, ή ο,τιδήποτε στεγνοκαθαρίζεται στο σπίτι με στεγνοκαθαριστικό διαλυτικό στο στεγνωτήριο.

19. Χρησιμοποιήστε το στεγνωτήριό σας μόνο για το

σκοπό για τον οποίο προορίζεται, το στέγνωμα

20. Πάντοτε να αποσυνδέετε τον ηλεκτρισμό από το

στεγνωτήριό σας πριν προσπαθήσετε να το συντηρήσετε. Αποσυνδέστε το καλώδιο ρεύματος τραβώντας το από το βύσμα, όχι από το καλώδιο.

21. Εάν το καλώδιο παροχής ρεύματος έχει

καταστραφεί, πρέπει να το αντικαταστήσετε με ένα ειδικό καλώδιο ή σύστημα που παρέχεται από τον κατασκευαστή ή τον εξουσιοδοτημένο τεχνικό του.

22. Εγκαταστήστε το στεγνωτήριο σύμφωνα με τις

ΟΔΗΓΙΕΣ ΕΓΚΑΤΑΣΤΑΣΗΣ. Όλες οι συνδέσεις ηλεκτρικού ρεύματος, γείωσης και παροχής αερίου πρέπει να συμμορφώνονται με τους τοπικούς κώδικές και να πραγματοποιούνται από εξουσιοδοτημένο προσωπικό όταν αυτό απαιτείται. Μην το κάνετε μόνοι σας, εκτός εάν γνωρίζετε τί να κάνετε!

23. Αφαιρέστε τα ρούχα μόλις σταματήσει το

24. Διαβάζετε και ακολουθείτε πάντοτε τις οδηγίες

του κατασκευαστή στα πακέτα των απορρυπαντικών και των καθαριστικών. Μην ξεχνάτε τις προειδοποιήσεις ή προφυλάξεις. Προκειμένου να αποφύγετε τη δηλητηρίαση ή

χημικά εγκαύματα, κρατήστε τα προϊόντα αυτά μακριά από παιδιά (κατά προτίμηση σε ένα κλειδωμένο ντουλάπι).

25. Μη στεγνώνετε κουρτίνες και κουρτινάκια από

υαλοβάμβακα αν δεν υπάρχει οδηγία προς αυτό στην ετικέτα του υφάσματος. Αν έχουν στεγνώσει, σκουπίστε τον κύλινδρο με ένα υγρό ύφασμα για να αφαιρέσετε τα υπολείμματα υαλοβάμβακα.

ακολουθείτε ΠΑΝΤΟΤΕ τις οδηγίες φροντίδας του υφάσματος που παρέχονται από τους κατασκευαστές των ρούχων.

27. Ποτέ μη λειτουργείτε το στεγνωτήριο αν έχουν

αφαιρεθεί οι προφυλακτήρες και/ή τα πλευρικά

28. ΜΗ χρησιμοποιείτε το στεγνωτήριο εάν λείπουν

ή έχουν σπάσει οποιαδήποτε εξαρτήματα.

29. ΜΗΝ παρακάμπτετε τυχόν συσκευές ασφάλειας.© Published by permission of the copyright owner – DO NOT COPY or TRANSMIT

Πρόσθετο Εγκατάστασης/Λειτουργίας

30. Τυχόν εγκατάσταση, συντήρηση ή/και

λειτουργία αυτής της συσκευής που δεν συμφωνεί με τις οδηγίες του κατασκευαστή μπορεί να προκαλέσει τραυματισμούς ή/και υλικές καταστροφές. ΣΗΜΑΝΤΙΚΟ: Οι ατμοί του διαλυτικού από τα μηχανήματα στεγνοκαθαρισμού δημιουργούν οξέα όταν αναρροφώνται μέσω του θερμαντή της μονάδας στεγνώματος. Τα οξέα αυτά είναι διαβρωτικά ως προς το στεγνωτήριο και στα ρούχα που στεγνώνετε. Να βεβαιωθείτε ότι ο αέρας αναπλήρωσης δεν έχει ατμούς διαλυτικών. ΣΗΜΑΝΤΙΚΟ: Το στεγνωτήριο πρέπει να εγκαθιστάται σωστά. Μην το κάνετε μόνοι σας, εκτός εάν γνωρίζετε τί να κάνετε! ΣΗΜΕΙΩΣΗ: ΟΙ ΠΡΟΕΙΔΟΠΟΙΗΣΕΙΣ ΚΑΙ ΟΙ ΣΗΜΑΝΤΙΚΕΣ ΟΔΗΓΙΕΣ ΑΣΦΑΛΕΙΑΣ που περιλαμβάνονται στο παρόν εγχειρίδιο δεν

όλες τις πιθανές καταστάσεις που ενδέχεται να παρουσιαστούν. Κατά την εγκατάσταση, συντήρηση ή λειτουργία του στεγνωτηρίου πρέπει να γίνονται βάσει κοινής λογικής, προσοχής και φροντίδας. Να επικοινωνείτε πάντοτε με τον αντιπρόσωπο, διανομέα, εξουσιοδοτημένο τεχνικό για τυχόν προβλήματα ή καταστάσεις που δεν καταλαβαίνετε.© Published by permission of the copyright owner – DO NOT COPY or TRANSMIT 511472 (GR)

Πρόσθετο Εγκατάστασης/Λειτουργίας Εγκατάσταση Διαστάσεις και προδιαγραφές DRY2199N *Με τα ποδαράκια ευθυγράμμισης στραμμένα προς τη βάση. DRY2200N *Με τα ποδαράκια ευθυγράμμισης στραμμένα προς τη βάση. 1 Σύνδεση Αερίου ΝΡΤ 3/8 ίν. DRY2199N ΗΛΕΚΤΡΙΚΑ ΣΤΕΓΝΩΤΗΡΙΑ 597 χιλ. (23,5 ίν.) *1022 χιλ. (40,25 ίν.) 711 χιλ. (28 ίν.) *1092 χιλ. (43 ίν.) 683 χιλ. (26,9 ίν.)11 χιλ. (0,4 ίν.)*114 χιλ. (4,5 ίν.)*102 χιλ. (4,0 ίν.)391 χιλ. (15,4 ίν.)*392 χιλ. (15,44 ίν.)203 χιλ. (8,0 ίν.) *914 χιλ. (36 ίν.) 569 χιλ. (22,38 ίν.)DRY2200N

ΣΤΕΓΝΩΤΗΡΙΑ ΑΕΡΙΟΥ 597 χιλ. (23,5 ίν.) *1022 χιλ. (40,25 ίν.) 711 χιλ. (28 ίν.) *1092 χιλ. (43 ίν.) 683 χιλ. (26,9 ίν.)11 χιλ. (0,4 ίν.)*114 χιλ. (4,5 ίν.)*102 χιλ. (4,0 ίν.)391 χιλ.(15,4 ίν.) *392 χιλ. (15,44 ίν.) *70 χιλ. (2,8 ίν.)569 χιλ. (22,38 ίν.) 60 χιλ. (2,3 ίν.) 203 χιλ. (8,0 ίν.) *914 χιλ. (36 ίν.)© Published by permission of the copyright owner – DO NOT COPY or TRANSMIT Πρόσθετο Εγκατάστασης/Λειτουργίας

511472 (GR) Εγκατάσταση του στεγνωτηρίου ΣΗΜΕΙΩΣΗ: Το παρόν εγχειρίδιο είναι απλώς συμπληρωματικό. Για πλήρεις οδηγίες ανατρέξτε στο εγχειρίδιο εγκατάστασης/λειτουργίας. Βήμα 1: Τοποθετήστε και ευθυγραμμίστε το στεγνωτήριο

Σχήμα 1 Βήμα 2: Σύνδεση του συστήματος εξόδου του στεγνωτηρίου

Σχήμα 2 D707I1 Βάση στεγνωτηρίου2 Επίπεδο3 Πόδι ευθυγράμμισηςD707I

D314I D315I Τα στεγνωτήρια δημιουργούν εύφλεκτο χνούδι. Για να μειώσετε τον κίνδυνο πυρκαγιάς και έκρηξης, η συσσώρευση γκαζιού στο στεγνωτήριο ΠΡΕΠΕΙ ΝΑ εξαερώνεται σε εξωτερικό χώρο. W116GR ΠΡΟΕΙΔΟΠΟΙΗΣΗ ΤΙ ΝΑ ΚΑΝΕΤΕ ΤΙ ΝΑ ΜΗΝ ΚΑΝΕΤΕ© Published by permission of the copyright owner – DO NOT COPY or TRANSMIT Πρόσθετο Εγκατάστασης/Λειτουργίας 511472 (GR)

Βήμα 3: Συνδέστε το σωλήνα παροχής αερίου (μόνο για στεγνωτήριο αερίου) Για περαιτέρω βοήθεια, αναφερθείτε στην ενότητα που αναφέρεται στις Απαιτήσεις Αερίου.

1. Βεβαιωθείτε ότι το στεγνωτήριό σας διαθέτει τα

εξαρτήματα για χρήση με αυτό τον τύπο αερίου στο πλυσταριό.

2. Αφαιρέστε το καπάκι αποστολής από τη σύνδεση

αερίου στο πίσω μέρος του στεγνωτηρίου.

3. Συνδέστε με σωλήνα παροχής υγραερίου.

5. Για τη σύνδεση με L.P. (υγραέριο), αναφερθείτε

στην ενότητα Απαιτήσεις Αερίου. Σχήμα 3 D233I 1 Καινούργια εύκαμπτη σύνδεση ανοξείδωτου χάλυβα – Να χρησιμοποιείτε μόνο όταν επιτρέπεται από τους τοπικούς κώδικες 4 Μαύρος σιδερένιος σωλήνας Μικρότερος από 6,1 μ. (20 ποδ.) – Χρήση σωλήνα 9,5 χιλ. (3/8 ίν.) 2 Προσαρμογή σωλήνα ΝΡΤ 1/8 ιντσών (Για τον έλεγχο της πίεσης εισερχόμενου αερίου) Μακρύτερος από 6,1 μ. (20 ποδ.) – Χρήση σωλήνα 12,7 χιλ. (1/2 ίν.) 3 Βαλβίδα παύσης μηχανήματος – Να εγκαθίσταται εντός 1,8 μ. (6 ποδ.) από το στεγνωτήριο 5 Σύνδεση Αερίου ΝΡΤ 3/8 ιντσών D233I

5© Published by permission of the copyright owner – DO NOT COPY or TRANSMIT Πρόσθετο Εγκατάστασης/Λειτουργίας

511472 (GR) Βήμα 4: Σκουπίστε το εσωτερικό του στεγνωτηρίου Σχήμα 4 Βήμα 5: Συνδέστε το στεγνωτήριο στην ηλεκτρική πρίζα Σχήμα 5 Σχήμα 6 Βήμα 6: Ελέγξτε την εγκατάσταση D618ID723ID618I ΗΛΕΚΤΡΙΚΑ ΣΤΕΓΝΩΤΗΡΙΑ D210IE1CD210IE1C GAS DRYERS ΣΤΕΓΝΩΤΗΡΙΑ ΑΕΡΙΟΥ© Published by permission of the copyright owner – DO NOT COPY or TRANSMIT Πρόσθετο Εγκατάστασης/Λειτουργίας 511472 (GR)

Έλεγχος πηγής θερμότητας ΣΗΜΕΙΩΣΗ: Το παρόν εγχειρίδιο είναι απλώς συμπληρωματικό. Για πλήρεις οδηγίες ανατρέξτε στο εγχειρίδιο εγκατάστασης/λειτουργίας. Ηλεκτρικά στεγνωτήρια Κλείστε την πόρτα φόρτωσης και εκκινήστε το στεγνωτήριο σε ρύθμιση χαμηλής θερμοκρασίας (αναφερθείτε στην ενότητα Λειτουργία). Αφού λειτουργήσει το στεγνωτήριο για τρία λεπτά, τα αέρια εξόδου ή η σωλήνωση εξόδου πρέπει να είναι θερμή. Στεγνωτήρια αερίου ΣΗΜΑΝΤΙΚΟ: Αυτή η λειτουργία πρέπει να πραγματοποιείται μόνο από πιστοποιημένο

Απαιτούμενη ηλεκτρική παροχή ΣΗΜΕΙΩΣΗ: Το παρόν εγχειρίδιο είναι απλώς συμπληρωματικό. Για πλήρεις οδηγίες ανατρέξτε στο εγχειρίδιο εγκατάστασης/λειτουργίας. Ηλεκτρικά στεγνωτήρια Αναφερθείτε στην πινακίδα σειριακού αριθμού για τις απαιτήσεις. ΜΟΝΟΦΑΣΙΚΑ ΜΟΝΤΕΛΑ (Εγκατάσταση 230 Volt, 50 Hertz, 2 καλωδίων συν τη γείωση, 30 Amp) ΤΡΙΦΑΣΙΚΑ ΜΟΝΤΕΛΑ (Εγκατάσταση 400/240 Volt, 50 Hertz, 4 καλωδίων συν τη γείωση , 10 Amp) ΣΗΜΕΙΩΣΗ: Ανατρέξτε στο Κιτ 756P3 για οδηγίες μετατροπής από Delta σε Wye. Για να μειώσετε τον κίνδυνο σοβαρού τραυματισμού ή θανάτου, το κάτω μέρος του εμπρόσθιου πίνακα πρέπει να βρίσκεται στη θέση του κατά τη συνήθη λειτουργία. W158GR ΠΡΟΕΙΔΟΠΟΙΗΣΗ Για να μειώσετε τον κίνδυνο πυρκαγιάς, ηλεκτροπληξίας, σοβαρού τραυματισμού ή θανάτου, όλες οι καλωδιώσεις και οι γειώσεις ΠΡΕΠΕΙ ΝΑ συμμορφώνονται με τους τοπικούς ηλεκτρικούς κώδικες. Αποτελεί ευθύνη του πελάτη να ελέγξει τις καλωδιώσεις και τις ασφάλειες από διπλωματούχο ηλεκτρολόγο για να βεβαιωθεί ότι η αίθουσα πλυντηρίων έχει επαρκή ηλεκτρική ισχύ για

λειτουργήσει το στεγνωτήριο. W458GR ΠΡΟΕΙΔΟΠΟΙΗΣΗ© Published by permission of the copyright owner – DO NOT COPY or TRANSMIT Πρόσθετο Εγκατάστασης/Λειτουργίας

511472 (GR) Για να προσαρτήσετε το τριφασικό καλώδιο που παρέχεται από τον πελάτη (400 Volt WYE):

1. Αφαιρέστε τον πίνακα πρόσβασης ηλεκτρικού

στο πίσω μέρος του μηχανήματος.

2. Προσαρτήστε τα καλώδια όπως παρουσιάζεται

στην εικόνα Σχήμα 7.

3. Προσαρτήστε το ελαστικό εξάρτημα προστασίας

καλωδίου, που παρέχεται με το μηχάνημα, στο καλώδιο σύμφωνα με όλους τους τοπικούς κώδικες και

4. Επανεγκαταστήστε τον πίνακα πρόσβασης.

Σχήμα 7 Οδηγίες γείωσης και καλωδίωσης Το στεγνωτήριο πρέπει να είναι συνδεδεμένο με ένα γειωμένο μεταλλικό, μόνιμο σύστημα καλωδίωσης, ή ένας αγωγός γείωσης για μηχανήματα πρέπει να εγκατασταθεί με τους αγωγούς κυκλώματος και να συνδεθεί στο τερματικό ή καλώδιο γείωσης του στεγνωτηρίου. ΣΗΜΕΙΩΣΗ: Η υποδοχή ηλεκτρικού πρέπει να είναι τοποθετημένη σε τέτοιο σημείο όπου να υπάρχει εύκολη πρόσβαση σε αυτήν ακόμα και όταν η συσκευή είναι στη θέση της. Εάν η συσκευή είναι ενσύρματη, τότε απαιτείται άμεση απομόνωση με κενό 3 χιλ. [335-1 (22.2)]. Στεγνωτήρια αερίου ΣΗΜΕΙΩΣΗ: Το παρόν εγχειρίδιο είναι απλώς συμπληρωματικό. Για πλήρεις οδηγίες ανατρέξτε στο εγχειρίδιο εγκατάστασης/λειτουργίας. (Εγκατάσταση 230 Volt, 50 Hertz, 2 καλωδίων συν τη γείωση, 10 Amp) Το στεγνωτήριο είναι σχεδιασμένο να λειτουργεί με κύκλωμα δύο καλωδίων συν τη γείωση, 230 Volt, 50 Hertz, με ασφάλειες κατάλληλες για την τάση που αναγράφεται στην πινακίδα. Σχήμα 8 ΣΗΜΕΙΩΣΗ: Η υποδοχή ηλεκτρικού πρέπει να είναι τοποθετημένη σε τέτοιο σημείο όπου να υπάρχει εύκολη πρόσβαση σε αυτήν ακόμα και όταν η συσκευή είναι στη θέση της. DRY1931N L 1 L 2 L 3 N 400 Volt400 Volt400 Volt230 Volt230 Volt230 VoltD210I1 Ασφάλεια 13 Amp Για να μειώσετε τον κίνδυνο πυρκαγιάς, ηλεκτροπληξίας, σοβαρού τραυματισμού ή θανάτου, όλες οι το ηλεκτρικό σέρβις του στεγνωτηρίου πρέπει να συμμορφώνονται με τους τοπικούς ηλεκτρικούς κώδικες. Το σέρβις γκαζιού στο στεγνωτήριο πρέπει να συμμορφώνεται με τους τοπικούς κώδικες και οδηγίες, ή αν δεν υπάρχουν κώδικες και οδηγίες, με την τελευταία

του Κώδικα National Fuel Gas Code ANSI Z223.1. W238GR ΠΡΟΕΙΔΟΠΟΙΗΣΗ 1© Published by permission of the copyright owner – DO NOT COPY or TRANSMIT Πρόσθετο Εγκατάστασης/Λειτουργίας 511472 (GR)

Απαιτήσεις αερίου ΣΗΜΕΙΩΣΗ: Το παρόν εγχειρίδιο είναι απλώς συμπληρωματικό. Για πλήρεις οδηγίες ανατρέξτε στο εγχειρίδιο εγκατάστασης/λειτουργίας. Στεγνωτήρια αερίου (6,2 kW) Ρυθμός Ροής Αερίου = 0,55 μ.

ΣΗΜΕΙΩΣΗ: Η συσκευή αυτή πρέπει να εγκατασταθεί σύμφωνα με τους υπάρχοντες κανονισμούς. ΣΗΜΕΙΩΣΗ: Το μηχάνημα παρέχεται από το εργοστάσιο για λειτουργία με Φυσικό Αέριο [2η Οικογένεια, Ομάδα Η(Ε)] σε ονομαστική πίεση εισόδου 20 mbar για χρήση στις χώρες GB/IE/PT/ ES/IT. Για εγκατάσταση σε άλλες Χώρες της ΕΙΝΑΙ και/ή για μετατροπή σε L.P. (

συμβουλευτείτε το διανομέα. ΜΗΝ συνδέετε το στεγνωτήριο σε αέριο L.P. χωρίς πρώτα να συμβουλευτείτε το διανομέα και/ή χωρίς να πραγματοποιήσετε τη σωστή μετατροπή σύμφωνα με τις οδηγίες μετατροπής (Κιτ Μετατροπής 599P3). Το στεγνωτήριο πρέπει να είναι απομονωμένο από το σύστημα παροχής υγραερίου κλείνοντας τη βαλβίδα κατά τη δοκιμή πίεσης του συστήματος παροχής αερίου σε πιέσεις δοκιμής ίσες ή χαμηλότερες από 50 mbar. Ρυθμίσεις Φυσικού Αερίου για Υψόμετρο Υψόμετρο Μέγεθος οπής

Εξαρτήματοςμ. ποδ.# χιλ. ίν. 915 3000 43 2,26 0,0890 503778 1830 6000 44 2,18 0,0860 58719 2440 8000 45 2,08 0,0820 503779 2740 9000 46 2,06 0,0810 503780 3050 10.000 47 1,99 0,0785 503781 Πίνακας 1 Για να μειώσετε τον κίνδυνο διαρροών γκαζιού, πυρκαγιάς ή έκρηξης:

  • Το στεγνωτήριο πρέπει να συνδέεται με τον τύπου γκαζιού που αναγράφεται στην πινακίδα του που βρίσκεται στην εσοχή της πόρτας.
  • Να χρησιμοποιείτε καινούργιο εύκαμπτο σύνδεσμο από ανοξείδωτο
  • Να χρησιμοποιείτε στεγανοποιητικό που δεν είναι διαλυτό από Υγραέριο, ή

από Τεφλόν σε όλες τις σπειρώσεις σωλήνωσης.

  • Εκκενώστε τον αέρα και τα κατάλοιπα από τη γραμμή παροχής γκαζιού πριν τη συνδέσετε στο στεγνωτήριο. Πριν σφίξετε τη σύνδεση, εκκενώστε τον υπόλοιπο αέρα από τη γραμμή μέχρι που να μυρίσετε την οσμή του γκαζιού. Αυτό το βήμα απαιτείται για να αποφευχθεί η μόλυνση της βαλβίδας
  • Μη χρησιμοποιείτε φλόγα για να ελέγξετε για διαρροές γκαζιού. Να χρησιμοποιείτε ένα μη διαβρωτικό υγρό επισήμανσης διαρροών.
  • Η οποιαδήποτε αποσυναρμολόγηση που απαιτεί τη χρήση εργαλείων πρέπει να πραγματοποιείται από κατάλληλα πιστοποιημένο τεχνικό. W316GR ΠΡΟΕΙΔΟΠΟΙΗΣΗ© Published by permission of the copyright owner – DO NOT COPY or TRANSMIT Πρόσθετο Εγκατάστασης/Λειτουργίας

511472 (GR) Απαιτήσεις θέσης τοποθέτησης ΣΗΜΕΙΩΣΗ: Το παρόν εγχειρίδιο είναι απλώς συμπληρωματικό. Για πλήρεις οδηγίες ανατρέξτε στο εγχειρίδιο εγκατάστασης/λειτουργίας. Σχήμα 9 D823I 1 Πόρτα Ντουλαπιού 3 Εξωτερικός τοίχος κοιλώματος 2 Κεντρικά ανοίγματα αέρα (ελάχιστο 2 ανοιγμάτων) ΕΜΠΡΟΣΘΙΑ ΟΨΗ (χωρίς πόρτα ντουλαπιού)

(πόρτα ντουλαπιού) ΕΜΠΡΟΣΘΙΑ ΟΨΗ (πόρτα ντουλαπιού)

Εγκατάσταση Αυτόνομη / Εντοιχισμένη Εγκατάσταση σε ντουλάπι A0 χιλ. (0 ίν.) ελάχιστο 0 χιλ. (0 ίν.) ελάχιστο B304,8 χιλ. (12 ίν.) ελάχιστο 304,8 χιλ. (12 ίν.) ελάχιστο C Δεν Ισχύει 50,8 χιλ. (2 ίν.) ελάχιστο D 50,8 χιλ. (2 ίν.) ελάχιστο 50,8 χιλ. (2 ίν.) ελάχιστο E304,8 χιλ. (12 ίν.) ελάχιστο 304,8 χιλ. (12 ίν.) ελάχιστο F Δεν Ισχύει 76,2 χιλ. (3 ίν.) G Δεν Ισχύει 1016 χιλ

Απαιτήσεις εξόδου αερίων στεγνωτηρίου ΣΗΜΕΙΩΣΗ: Το παρόν εγχειρίδιο είναι απλώς συμπληρωματικό. Για πλήρεις οδηγίες ανατρέξτε στο εγχειρίδιο εγκατάστασης/λειτουργίας. ΣΗΜΑΝΤΙΚΟ: Αν δεν παρέχετε τον κατάλληλο εξαερισμό αερίων θα ακυρώσετε την εγγύηση. Υλικά συστήματος εξαερισμού ΣΗΜΕΙΩΣΗ: Τα υλικά εξαερισμού δεν παρέχονται με το στεγνωτήριο (αγοράστε τοπικά). Συνιστώνται άκαμπτοι μεταλλικοί αγωγοί. Μη- εύφλεκτοι εύκαμπτοι μεταλλικοί αγωγοί είναι

Απαιτήσεις αναπληρωματικού αέρα Το στεγνωτήριο εκπέμπει 85 λίτρα/δευτερόλεπτο (180 cfm) (μετράται στο πίσω μέρος του στεγνωτηρίου) και πρέπει να παρέχεται επαρκής αέρας αναπλήρωσης για να αντικαθιστάται ο αέρας που εξαερώθηκε από το στεγνωτήριο. Τα στεγνωτήρια δημιουργούν εύφλεκτο χνούδι. Για να μειώσετε τον κίνδυνο πυρκαγιάς και έκρηξης, η συσσώρευση γκαζιού στο στεγνωτήριο ΠΡΕΠΕΙ ΝΑ εξαερώνεται σε εξωτερικό χώρο. W116GR Η συσκευή γκαζιού αυτή περιέχει ή δημιουργεί χημικό ή χημικά τα οποία μπορεί να προκαλέσουν θάνατο ή σοβαρό νόσημα και τα οποία είναι γνωστά στην Πολιτεία της Καλιφόρνια ότι προκαλούν καρκίνο, γενετικά ελαττώματα ή άλλο αναπαραγωγικό κίνδυνο. Για να μειώσετε τον κίνδυνο από υλικά καυσίμων ή παράγωγα από υλικά καυσίμων, βεβαιωθείτε ότι αυτή η συσκευή έχει εγκατασταθεί και συντηρείται σύμφωνα με τις οδηγίες που περιέχονται στο παρόν εγχειρίδιο. W115GR Για να μειώσετε τον κίνδυνο πυρκαγιάς και τη συσσώρευση εύφλεκτων αερίων, ΜΗΝ εξαερώνετε τα παράγωγα αέρια του στεγνωτηρίου σε φωταγωγό, αεραγωγό, καμινάδα ή κλεισμένο χώρο που δεν εξαερώνεται, όπως σοφίτα , τοίχο, ταβάνι, χαμηλό υπόγειο κάτω από το κτίριο ή κρυφό χώρο εντός του κτιρίου. W045GR Για να μειώσετε τον κίνδυνο πυρκαγιάς, ΜΗ χρησιμοποιείτε πλαστικούς αγωγούς ή αγωγούς από λεπτό μέταλλο για να εξαερώσετε το στεγνωτήριο. W354GR ΠΡΟΕΙΔΟΠΟΙΗΣΗ© Published by permission of the copyright owner – DO NOT COPY or TRANSMIT Πρόσθετο Εγκατάστασης/Λειτουργίας

511472 (GR) Σχήμα 10 D314I D315I ΤΙ ΝΑ ΚΑΝΕΤΕ ΤΙ ΝΑ ΜΗΝ ΚΑΝΕΤΕ© Published by permission of the copyright owner – DO NOT COPY or TRANSMIT Πρόσθετο Εγκατάστασης/Λειτουργίας 511472 (GR)

Κατεύθυνση Εξαερισμού Το στεγνωτήριο πρέπει να εξαερώνεται σε εξωτερικούς χώρους από την πίσω, αριστερή, δεξιά ή κάτω πλευρά του στεγνωτηρίου. ΕΞΑΙΡΕΣΗ: Τα στεγνωτήρια αέρα δεν μπορεί να εξαερωθούν στην αριστερή πλευρά λόγω του περιβλήματος του

Αριθμόςγωνιών 90° Τύπος καλύμματος καιρού Προτεινόμενες Να χρησιμοποιείτε μόνο σε εγκαταστάσεις μικρής απόστασης Μέγιστο μήκος μεταλλικής άκαμπτης σωλήνωσης διαμέτρου 102 χιλ. (4 ίν.) 0 19,8 μ (65 πόδια) 16,8 μ (55 πόδια) 1 16,8 μ (55 πόδια) 14,3 μ (47 πόδια) 2 14,3 μ (47 πόδια) 12,5 μ (41 πόδια) 3 11,0 μ (36 πόδια)9,1 μ (30 πόδια) 48,5 μ (28 πόδια)6,7 μ (22 πόδια) Μέγιστο μήκος μεταλλικής εύκαμπτης σωλήνωσης διαμέτρου 102 χιλ. (4 ίν.) 0 13,7 μ (45 πόδια) 10,7 μ (35 πόδια) 1 10,7 μ (35 πόδια)8,2 μ (27 πόδια) 29,1 μ (30 πόδια)6,4 μ (21 πόδια) 37,6 μ (25 πόδια)5,2 μ (17 πόδια) 46,1 μ (20 πόδια)4,5 μ (15 πόδια) ΣΗΜΕΙΩΣΗ: Αφαιρέστε 1,8 μ (6 πόδια) για κάθε πρόσθετη γωνία. Πίνακας 2 102 χιλ. (4 ίν.) 102 χιλ. (4 ίν.) D673I 64 χιλ. (2-1/2 ίν.) D802I© Published by permission of the copyright owner – DO NOT COPY or TRANSMIT Πρόσθετο Εγκατάστασης/Λειτουργίας

511472 (GR) Ροή αέρα στεγνωτηρίου Σχήμα 11 D012IE0A 1 Μανόμετρο 2 Αγωγός εξαέρωσης D012IE0A MANOMETER EXHAUST DUCT M i St ti P ΜΕΓΙΣΤΗ ΣΤΑΤΙΚΗ ΠΙΕΣΗ ΣΕ ΣΤΗΛΗ ΝΕΡΟΥ 50 Hertz 10 χιλ. (0,4 ίν.)

Πρόσθετο Εγκατάστασης/Λειτουργίας

Οδηγίες λειτουργίας ΣΗΜΕΙΩΣΗ: Το παρόν εγχειρίδιο είναι απλώς συμπληρωματικό. Για πλήρεις οδηγίες ανατρέξτε στο εγχειρίδιο εγκατάστασης/λειτουργίας. Βήμα 1: Καθαρίστε το φίλτρο χνουδιού Σχήμα 12 Βήμα 2: Τοποθετήστε τα ρούχα Γεμίστε το στεγνωτήριο μέχρι τη μέση με ρούχα (μέγιστη χωρητικότητα στεγνών ρούχων 7,8 Χγ). Σχήμα 13 Βήμα 3: Κλείστε την πόρτα φόρτωσης Σχήμα 14 Βήμα 4: Επιλέξτε ρύθμιση θερμοκρασίας D689ID716ID689ID716iD688IDRY472N Χωρίς θερμότητα DRY473N Μεσαία θερμοκρασία/Ευαίσθητα

DRY474N Υψηλή θερμοκρασία/Κανονική λειτουργία – Ατσαλάκωτα ρούχα D688I© Published by permission of the copyright owner – DO NOT COPY or TRANSMIT Πρόσθετο Εγκατάστασης/Λειτουργίας

511472 (GR) Βήμα 5: Ρυθμίστε το κουμπί του χρονοδιακόπτη Επιλέξτε ρύθμιση υφάσματος/θερμοκρασίας Βήμα 6: Ξεκινήστε το στεγνωτήριο Πιέστε το κουμπί του χρονοδιακόπτη για να ξεκινήσετε το στεγνωτήριο. Σχήμα 15 Βήμα 7: Αφαιρέστε τα ρούχα Σχήμα 16 Σήμα τέλους κύκλου DRY477N Ύφασμα που δεν τσαλακώνει DRY481N DRY484N DRY485N Χρόνος στεγνώματος DRY478N Θερμοκρασία. DRY479N Χωρίς θερμότητα DRY482N Λιγότερο στεγνά DRY483N Περισσότερο στεγνά

Πρόσθετο Εγκατάστασης/Λειτουργίας Απόρριψη της συσκευής Η συσκευή αυτή φέρει σήμανση σύμφωνα με την Ευρωπαϊκή οδηγία 2002/96/EK για την Απόρριψη Ηλεκτρικού και Ηλεκτρονικού Εξοπλισμού. Το σύμβολο αυτό στο προϊόν ή στη συσκευασία του υποδεικνύει ότι αυτό το προϊόν δεν πρέπει να απορριφθεί όπως τα οικιακά απορρίμματα. Ανατρέξτε στην Σχήμα 17. Αντιθέτως, πρέπει να δοθεί στο κατάλληλο σημείο συλλογής για την ανακύκλωση ηλεκτρικού και ηλεκτρονικού εξοπλισμού. Η επιβεβαίωση κατάλληλης απόρριψης αυτού του προϊόντος θα αποτρέψει ενδεχόμενες αρνητικές επιπτώσεις στο περιβάλλον και στην υγεία των ανθρώπων, που θα μπορούσαν διαφορετικά να προκληθούν από τον ακατάλληλο χειρισμό αυτού του προϊόντος. Η ανακύκλωση των υλικών θα βοηθήσει στη φύλαξη φυσικών πηγών. Για περισσότερες πληροφορίες σχετικά με την ανακύκλωση αυτού του προϊόντος, παρακαλούμε να επικοινωνήσετε με τις τοπικές αρχές, την υπηρεσία απόρριψης οικιακών απορριμμάτων ή το μέρος από το οποίο αγοράσατε αυτό το προϊόν. Σχήμα 17 MIX1N

Βοηθός εγχειριδίου
Με τεχνολογία ChatGPT
Αναμονή για το μήνυμά σας
Πληροφορίες προϊόντος

Μάρκα : Eudora

Μοντέλο : T11

Κατηγορία : στεγνωτήριο ρούχων