SR 4322 CDMP3 - Cd-spiller/innspiller AEG - Gratis bruksanvisning og manual

Finn enhetens veiledning gratis SR 4322 CDMP3 AEG i PDF-format.

📄 78 sider Norsk NO 💬 AI-spørsmål
Notice AEG SR 4322 CDMP3 - page 41

Questions des utilisateurs sur SR 4322 CDMP3 AEG

0 question sur cet appareil. Repondez a celles que vous connaissez ou posez la votre.

Poser une nouvelle question sur cet appareil

L'email reste privé : il sert seulement à vous prévenir si quelqu'un répond à votre question.

Aucune question pour l'instant. Soyez le premier à en poser une.

Last ned instruksjonene for din Cd-spiller/innspiller i PDF-format gratis! Finn veiledningen din SR 4322 CDMP3 - AEG og ta den elektroniske enheten tilbake i hendene. På denne siden er alle dokumenter som er nødvendige for bruken av enheten din publisert. SR 4322 CDMP3 av merket AEG.

BRUKSANVISNING SR 4322 CDMP3 AEG

Generelle sikkerhetsanvisninger Les nøye gjennom bruksanvisningen før du tar apparatet i bruk. Ta godt vare på bruksanvisningen, garantibe- viset, kassalappen og helst også esken med innvendig emballasje. Gis apparatet videre til en tredjeperson, må bruksanvisningen også følge med.

  • For å unngå fare for brann eller støt bør du ikke utsette apparatet for regn eller fuktighet. Ikke bruk apparatet i umiddelbar nærhet til vann (f.eks. på badet, ved et badebasseng, i en fuktig kjeller).
  • Sørg for riktig polaritet og spenning ved bruk av eksterne strømadaptere, legg alltid batterier inn riktig vei.
  • Sett apparatet slik at ventilasjonsåpningene ikke blir tildekket.
  • Åpne aldri apparathuset. Feilaktige reparasjoner kan medføre stor fare for brukeren. Ved skader på apparatet, spesielt på strømledningen, må du ikke lenger bruke det, men få det reparert av en fagmann. Kontroller strømledningen regelmessig for å se etter eventuelle skader.
  • De eneste som har tillatelse til å skifte ut en defekt strømledning, er produsenten, vår kundeservice eller en lignende kvali sert person. Ledningen skal da byttes ut med en tilsvarende strømledning, for å unngå fare.
  • Ikke bruk apparatet lenger, trekk støpselet ut av stikkontakten eller ta ut batteriene. Disse symbolene kan ev. nnes på apparatet. De skal henvise til følgende: Lyn-symbolet skal gjøre brukeren oppmerk- som på deler inni apparatet som har farlig høy spenning. Symbolet med utropstegn skal gjøre brukeren oppmerksom på viktige betjenings- eller ved- likeholdstips i de medfølgende papirene. På apparater med dette symbolet foregår den optiske avlesningen av CD-en med en “klasse 1-laser”. De innebygde sikkerhetsbryterne skal forhindre at brukeren blir utsatt for farlige laserstråler som ikke er synlige for det menneskelige øyet, når CD-spilleren er åpen. Disse sikkerhetsbryterne bør aldri kortsluttes eller mani- puleres med, det kan medføre fare for at du blir utsatt for laserstrålene. Barn og skrøpelige personer
  • La aldri emballasjedeler ligge innenfor barns rekke- vidde (plastposer, kartong, styropor, osv.). ADVARSEL! Ikke la små barn leke med plast. De kan kveles!
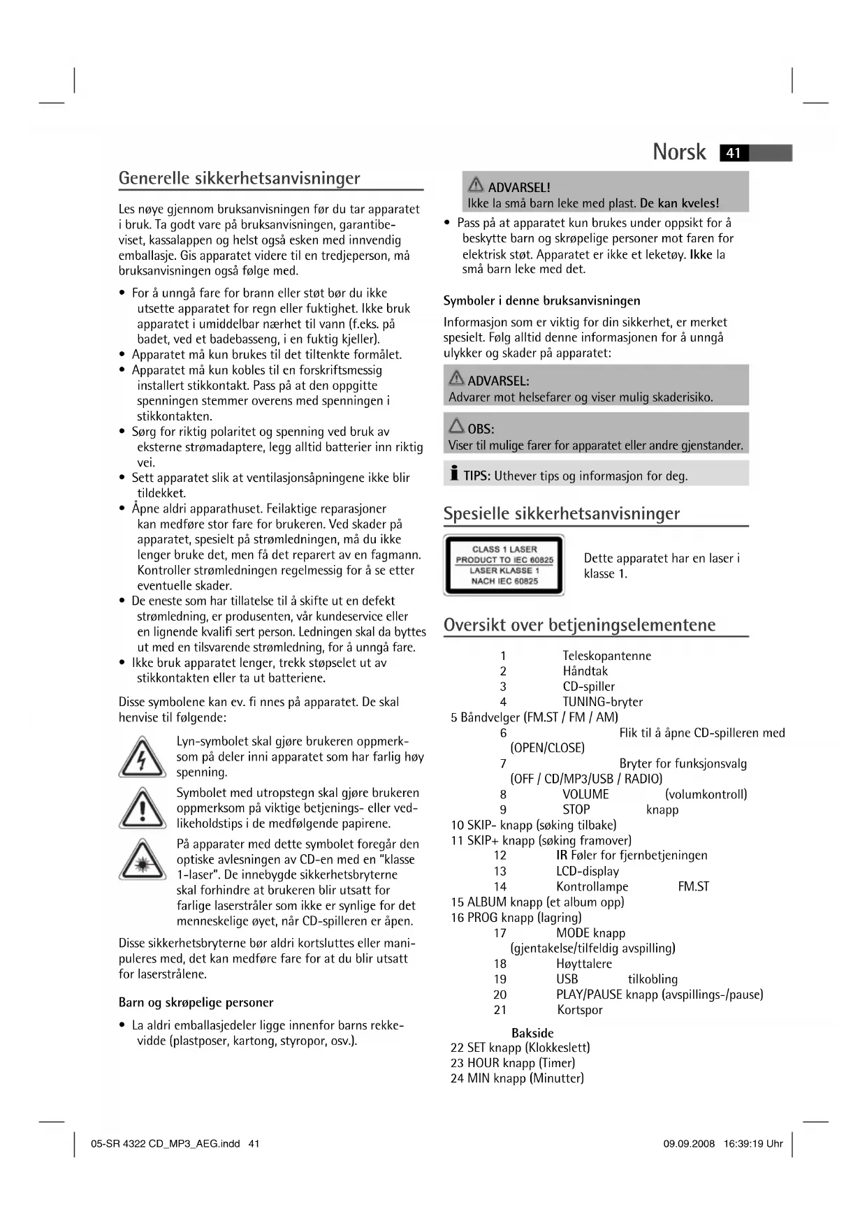
  • Pass på at apparatet kun brukes under oppsikt for å beskytte barn og skrøpelige personer mot faren for elektrisk støt. Apparatet er ikke et leketøy. Ikke la små barn leke med det. Symboler i denne bruksanvisningen Informasjon som er viktig for din sikkerhet, er merket spesielt. Følg alltid denne informasjonen for å unngå ulykker og skader på apparatet: ADVARSEL: Advarer mot helsefarer og viser mulig skaderisiko. OBS: Viser til mulige farer for apparatet eller andre gjenstander. TIPS: Uthever tips og informasjon for deg. Spesielle sikkerhetsanvisninger Dette apparatet har en laser i klasse 1. Oversikt over betjeningselementene 1 Teleskopantenne 2 Håndtak 3 CD-spiller 4 TUNING-bryter 5 Båndvelger (FM.ST / FM / AM) 6 Flik til å åpne CD-spilleren med (OPEN/CLOSE) 7 Bryter for funksjonsvalg (OFF / CD/MP3/USB / RADIO) 8 VOLUME (volumkontroll) 9 STOP knapp 10 SKIP- knapp (søking tilbake) 11 SKIP+ knapp (søking framover) 12 IR Føler for fjernbetjeningen 13 LCD-display 14 Kontrollampe FM.ST 15 ALBUM knapp (et album opp) 16 PROG knapp (lagring) 17 MODE knapp (gjentakelse/tilfeldig avspilling) 18 Høyttalere 19 USB tilkobling 20 PLAY/PAUSE knapp (avspillings-/pause) 21 Kortspor Bakside 22 SET knapp (Klokkeslett) 23 HOUR knapp (Timer) 24 MIN knapp (Minutter) 05-SR 4322 CD_MP3_AEG.indd 4105-SR 4322 CD_MP3_AEG.indd 41 09.09.2008 16:39:19 Uhr09.09.2008 16:39:19 UhrNorsk
  • avspilling av lyd-/MP3-CD-er/ ler. Det er utelukkende ment for dette formål og må bare brukes til dette. Det må kun brukes på den måten som er beskrevet i denne bruksanvisningen. Apparatet må ikke brukes kommersielt. Enhver annen bruk gjelder som ikke hensiktsmessig, og kan føre til skader på apparatet og også på personer. ETV – Elektro-Technische Vertriebsgesellschaft mbH overtar ikke ansvar for skader som oppstår på grunn av ikke hensiktsmessig bruk. Ta i bruk apparatet / Innføring
  • Les nøye gjennom bruksanvisningen før du tar anleg- get i bruk!
  • Velg et egnet sted der apparatet kan stå. Et tørt, jevnt og sklisikkert underlag der det er enkelt å bruke apparatet, egner seg godt.
  • Sørg for at apparatet blir tilstrekkelig ventilert!
  • Fjern eventuell beskyttelsesfolie fra displayet. Strømforsyning
  • Koble den vedlagte ledningen (se ev. batterirom (27)) til en forskriftsmessig installert jordet kontakt, 230 V / 50 Hz, og strømtilkoblingen AC ~ (26) på baksiden av apparatet.
  • Sjekk at nettspenningen stemmer med opplysningene på merkeplaten. Stille inn klokka (i standby-modus (OFF))
  • Hold inne SET-knappen (22).
  • Trykk på HOUR-knappen (23) for å stille inn timene. Hold knappen inne til du får fram ønsket time.
  • For å stille inn minuttene trykker du på MIN-knappen (24). Hold knappen inne til du får fram ønsket antall minutter.
  • Klokkeslettet lagres automatisk. TIPS: Klokka har 12-timers visning. AM = formiddag; PM = ettermiddag. TIPS: Lagring/anvisning av klokkeslettet går tapt når strømforsyningen avbrytes. Ønsker du at klokkeslettet vises også når strømmen er avbrutt, må du legge inn to batterier av typen UM2/R14 1,5 V i fordypningen i bat- terihuset (batterier er ikke del av leveringsinnholdet). Åpne batterihusdekselet på apparatets underside. Legge inn batterier (batterier leveres ikke med)
  • Åpne lokket på batterirommet (27) på undersiden.
  • Legg inn 6 batterier av typen UM 2/R14 1,5 V. Pass på at de ligger riktig vei (se bunnen av batterirommet)!
  • Hvis apparatet blir stående utbrukt over lengre tid, bør du ta ut batteriene for å unngå at det “renner ut” batterisyre.
  • Lukk batterirommet. TIPS: Hvis du har koblet til en strømledning, kobles batterie- ne automatisk ut. OBS:
  • Det er ikke tillatt å bruke forskjellige batterityper eller nye og brukte batterier sammen.
  • Batterier hører ikke hjemme i husholdningsavfallet. Brukte batterier skal leveres på ansvarlige oppsam- lingssteder eller hos en forhandler. ADVARSEL: Ikke utsett batterier for sterk varme eller direkte sollys. Kast aldri batterier på åpen amme. Da kan det oppstå eksplosjonsfare! Transportsikring CD-spiller
  • Åpne CD-spilleren (3) ved å trekke opp dekselet etter iken (6).

USB-tilkobling (19) Dette apparatet er produsert i henhold til de siste teknis- ke utviklingene på USB-området, men i dag tilbys det så mange forskjellige typer USB-lagringsmedier at det dessverre ikke er mulig å sikre full kompatibilitet med alle slike medier. På grunn av dette, kan det i sjeldne tilfeller oppstå problemer med avspilling av USB-lagringsmedia. Dette skyldes ikke feil på apparatet.

1. Sett funksjonsbryteren (7) i posisjonen CD/MP3/USB.

3. Koble til et USB-lagringsmedium. Etter noen sekun-

2. Sett funksjonsbryteren (7) i posisjonen CD/MP3/USB.

  • Hvis et USB-lagringsmedium også er tilkoblet, er det ikke mulig å velge minnekortet.
  • Hvis det samtidig ikke er noen CD i CD-spilleren, velges kortsporet automatisk. Høre radio

1. Sett funksjonsbryteren (7) i posisjonen RADIO.

2. Velg ønsket frekvensbånd ved hjelp av båndvalgtasten (5).

Kortbølge (stereo) = FM ST., Kortbølge = FM, mellombølge = AM (Mono)

3. Still inn ønsket stasjon med TUNING-bryteren (4).

4. Kontrollampen FM.ST (14) lyser bare når du har valgt

kortbølge stereo og mottar stasjonen i stereokvalitet. Hvis mottaket er for svakt og det er støy på stas- jonen, står lyset og imrer. Hvis mottaket er dårlig, anbefaler vi å koble om til FM.

5. Hvis du hører FM-radio, trekker du ut teleskopanten-

nen (1) og vrir på den for å forbedre mottaket.

6. Det er integrert en antenne i apparatet til mottak av

AM-stasjoner. Du kan stille inn apparatet mot stas- jonen ved å vri og ytte på det. I dette frekvensbån- det sendes programmene bare i “mono”. Spille av CD-er/MP3 Slik spiller du av en CD

1. Sett funksjonsbryteren (7) i posisjonen „CD/MP3/

USB“. Klokkeslettet vises.

2. Åpne CD-spilleren (3) ved å trekke opp dekselet etter

på sentreringskjeglen slik at den går mekanisk i lås, og lukk deretter dekselet til CD-spilleren.

4. Etter noen sekunder vises totalt antall sanger/spor i

åpner CD-spilleren og løfter CD-en forsiktig opp. Hold alltid CD-dekselet lukket. TIPS:

  • Når det byttes til en annen mappe for CD-er i MP3- format med mappe, vises 001 for den første sangen i den nye mappen.
  • Hvis en disk legges inn gal vei eller det ikke er lagt inn noen disk, blinker meldingen „- - -“, og på displayet vises „no“ (nei).
  • Hvis du holder knappen inne, starter et sporsøk. SKIP --knappen kan brukes på følgende måter: 1 x trykk = Hopper til forrige spor. 2 x trykk = Spiller sangen før der igjen osv. Holder du knappen inne, starter et sporsøk. TIPS: Når det byttes til en annen mappe for CD-er i MP3- format med mappe, vises 001 for den første sangen i den nye mappen. STOP (9/7) CD-en stanses. MODE (17/6) Mens en lyd-CD eller en CD i MP3-format går: 1x trykk = (REP lyser) den aktuelle sangen gjentas hele tiden. 2x trykk = ( ALL lyser) hele CD-en gjentas. 3x trykk = på displayet vises RAND og første sangnummer, som blir spilt av først. Alle sporene spilles av i tilfeldig rek- kefølge. 4x trykk = alle funksjonene oppheves og CD-en spilles videre i normal modus. Bare for CD-er i MP3-format 1x trykk = den låten som spilles for øyeblikket gjentas kontinuerlig (i displayet vises REP). 2x trykk = den valgte mappen for MP3 CD repeteres om og om igjen (i displayet vises REP ALBUM). Mappene kan velges enkeltvis ved hjelp av ALBUM UP tasten (15/4). 3x trykk = hele CDen gjentas kontinuerlig (i displayet vises ALL). 4x trykk = på displayet vises RAND, MP3 og første sangnummer, som blir spilt av først. Alle sporene spilles av i tilfeldig rekkefølge. 5x trykk = Funksjonen deaktiveres og CDen spilles i normal modus. ALBUM UP (15/4) Trykk på denne knappen under avspillingen for å skifte til mappen under. Visningen, f.eks. ALBUM 001, blinker kort. Deretter spilles CD-en av automatisk. Hvis du trykker på knappen i stopp-modus, blinker også visningen på displayet. Start deretter avspillingen med knappen II PLAY/PAUSE. +10 TRACK (5 på fjernbetjeningen) Trykk på denne tasten for å hoppe 10 titler fram (så sant det er mer enn 10 titler lagret på CD-en). Programmert avspilling Gjør det mulig å programmere en ønsket rekkefølge av sanger.

1. Trykk på STOP-knappen (9/7).

2. Trykk på PROG(RAM)-knappen (16/2). I displayet

  • Når det byttes til en annen mappe for CD-er i MP3-format med mappe, vises 001 for den første sangen i den nye mappen.

3. Velg neste spor med SKIP+/SKIP- -knappene og trykk

en gang til på PROG(RAM)-knappen. Gjenta dette til du har valgt alle de sporene du vil ha med.

6. For å spille av programmet på nytt, trykker du på

II PLAY/PAUSE-tasten.

7. For å slette kanalen trykker du i stopp-modus først

på PROG(RAM)-tasten og deretter på STOP-tasten. Indikatoren PROG slukkes. Apparatet stopper automatisk etter at alle de program- merte titlene er avspilt. Anvisningen PROG slukker, og den programmerte rekkefølgen slettes fra minnet. Du kan også kombinere de programmerte sporene med REPEAT-funksjonen. Etter at du har programmert og har startet apparatet, trykker du inntil 3 x på MODE-knappen (17/6). Funksjonene kan brukes slik det er beskrevet under avsnittet „MODE)“. 05-SR 4322 CD_MP3_AEG.indd 4405-SR 4322 CD_MP3_AEG.indd 44 09.09.2008 16:39:20 Uhr09.09.2008 16:39:20 UhrNorsk

Avspilling av musikk i MP3-format Med dette apparatet kan du spille av musikkstykker i MP3-format. Apparatet støtter dessuten de alminnelige CD-typene: CD, CD-RW, CD-R. Med dette apparatet kan du spille av MP3-CD-er. På slike CD-er kan inntil 200 spor lagres komprimert. Apparatet gjenkjenner en MP3-CD automatisk (på displayet vises totalt antall spor MP3). For å spille av disse CD-ene går du fram slik det er beskrevet for avspilling av CD-er/MP3. Du kan programmere spor på samme måte som det er beskrevet under “Programmert avspilling”. NB! Det nnes mange brenne- og komprimeringsmetoder, og det er kvalitetsforskjell på ferdigkjøpte CD-er og brente CD-er. I tillegg følger ikke musikkindustrien noen fast standard (kopisperre). Derfor kan det i sjeldne tilfeller oppstå problemer ved avspilling av CD-er og MP3-disker. Dette skyldes ikke feil på apparatet. Rengjøring og vedlikehold

  • Trekk ut støpselet før rengjøring.
Veiledningsassistent
Drevet av ChatGPT
Venter på meldingen din
Produktinformasjon

Merke : AEG

Modell : SR 4322 CDMP3

Kategori : Cd-spiller/innspiller