IR3000DAB - Radio Soundmaster - Gratis bruksanvisning og manual
Finn enhetens veiledning gratis IR3000DAB Soundmaster i PDF-format.
Questions des utilisateurs sur IR3000DAB Soundmaster
0 question sur cet appareil. Repondez a celles que vous connaissez ou posez la votre.
Poser une nouvelle question sur cet appareil
Last ned instruksjonene for din Radio i PDF-format gratis! Finn veiledningen din IR3000DAB - Soundmaster og ta den elektroniske enheten tilbake i hendene. På denne siden er alle dokumenter som er nødvendige for bruken av enheten din publisert. IR3000DAB av merket Soundmaster.
BRUKSANVISNING IR3000DAB Soundmaster
Ikke kast dette produktet sammen med vanlig husholdningsavfall ved slutten av dets livssyklus. Returner det til et innsamlingspunkt for resirkulering av elektrisk og elektronisk utstyr. Dette indikeres på produktsymbolet, i bruksanvisningen eller på emballasjen.
Materialene kan gjenvinnes i henhold til deres merkinger. Ved gjenbruk, resirkulering eller andre former for utnyttelse av gamle enheter, gjør du et viktig bidrag til miljøvern.
Ta kontakt med lokale myndigheter for informasjon om innsamlingspunkter.

ADVARSEL
Fare for elektrisk stø! Ikke åpne!

Forsiktig: For å redusere risikoen for elektrisk støt, må du ikke ta av dekslet (eller baksiden). Det er ingen deler inni som kan repareres. Overlat service til kvalifisert personell.

Dette symbolet indikerer tilstedeværelse av farlig spenning i huset, tilstrekkelig til å forårsake elektrisk støt.

Dette symbolet indikerer viktige drifts- og vedlikeholdsinstruksjoner for enheten.
Sikkerhets-, miljø- og oppsettsinstruksjoner
- Bruk enheten kun i tørre innendørsmiljøer.
- Beskytt enheten mot fuktighet.
- Ikke åpne enheten. FARE FOR ELEKTRISK ST∅T! Overlat åpning og service til kvalifisert personell.
- Kun koble denne enheten til en riktig installert og jordet stikkontakt. Kontroller at nettspenningen stemmer med spesifikasjonene på typeskiltet.
- Kontroller at nettkabelen holder seg tørr under drift. Ikke klemme eller skade strømkabelen på noen måte.
- Advarsel om frakobling av enheten: Hovedpluggen brukes som tilkobling og må derfor alltid være driftsklar.
- Støpselet brukes til frakobling og må derfor være lett tilgjengelig.
- En skadet strømkabel eller støpsel må straks byttes av et autorisert servicesenter.
- I tilfelle av lyn må du umiddelbart koble apparatet fra strømnettet.
- Barn bør være under oppsyn av foreldre når de bruker enheten.
- Kun rengjøre enheten med en tørr klut.
IKKE bruk RENGJ∅RINGSMIDLER eller SLIPENDE KLUTER!
- Ikke utsett enheten for direkte sollys eller andre varmekilder.
• Installer enheten på et sted med god ventilasjon for å hindre varmeopphoping. - Ikke dekk til ventilasjonsåpningene!
- Ventilasjonen må ikke hindres ved å dekke til ventilasjonsåpninger med gjenstander som aviser, duker, gardiner osv.
- Enheten må ikke utsettes for drypp eller sprut, og ingen gjenstander fylt med væske, som vaser, må plasseres på den.
- Enheten bør ikke utsettes for direkte sollys, svært høye eller lave temperaturer, fuktighet, vibrasjoner eller støvete omgivelser.
- Aldri forsøk å sette inn ledninger, stifter eller andre slike gjenstander i hullene eller åpningene på enheten.
- Installer enheten på et sikkert og vibrasjonsfritt sted.
- Ingen åpen flamme, som tente stearinlys, bør settes på apparatet.
• Installer enheten så langt unna som mulig fra datamaskiner og enheter som utstråler mikrobølger, ellers kan radiomottak bli forstyrret. - Ikke åpne eller reparere huset. Det er utrygt å gjøre det og garantien vil bli ugyldig. Reparasjoner må bare utføres av autorisert servicepersonell/kundesenter.
- Bare bruk kvikksølv- og kadmiumfrie batterier.
- Batteriene må ikke utsettes for sterk varme, som sol, ild eller lignende.
- Brukte batterier er farlig avfall og må IKKE kastes sammen med husholdningsavfallet! Returner batterier til forhandleren eller innsamlingspunkter i ditt lokalsamfunn.
- Hold batteriene unna barn. Barn kan svelge batterier. Kontakt lege umiddelbart hvis et batteri svelges.
- Sjekk batteriene regelmessig for å unngå batterilekkasje.

Brukte batterier er farlig avfall og må IKKE kastes sammen med
husholdningsavfallet! Som forbruker er du juridisk forpliktet til å
returnere alle batterier for miljøvennlig resirkulering – uansett
hvorvidt batteriene inneholder skadelige stoffer*).
Returner batterier gratis til offentlige innsamlingspunkter i ditt lokalsamfunn eller til
butikker som selger batterier av de respektive slag.
Bare returner helt utladede batterier.
*) Merket Cd = kadmium, Hg = kvikksølv, Pb = bly
Innhold
1. Fjernkontroll liste kontrolltaster.... 3
2.1. Oppsettsveiviser.... 5
3. Drift...... 6
3.1. Menynavigering.... 6
3.2. Forhåndsinnstillinger.... 8
4. Oppsett.... 9
4.1. Equalizer....9
4.2. Nettverk....9
4.2.1. Nettverkveiviser 10
4.2.2. PBC-oppsett (Wi-Fi beskyttet oppsett).... 11
4.2.3. Vis oppsett.... 12
4.2.4. Wlan-region....12
4.2.5. Manuelt oppsett.... 12
4.2.6. Nettverkprofil.... 12
4.3. Tid/dato....12
4.3.1. Angi tid/dato (veiviser).... 13
4.3.2. Auto-oppdater (fra DAB, FM eller nettverk) (veiviser).... 13
4.3.3. Angi format.... 13
4.4.
4.5. Språk.... 14
4.6. Gjenopprett fabrikkoppsett....14
4.7. Programvare oppdater....14
4.8. Oppsettsveiviser....14
4.9. Info 15
4.10. Bakgrunnsbelysning.... 15
5. Internettradio-modus.... 15
5.1. Sist hørt på.... 16
5.2. Favoritter 16
5.3. Bla gjennom.... 16
5.4.Søk 17
5.5. Stasjoner lagt til av meg.... 17
5.6. Nå spilles informasjon.... 17
5.7. Internettradiportal registrering.... 18
6. Musikkspiller-modus (nettverk).... 19
6.1.Delte medier 20
6.1.1. Wake-on-LAN 21
6.1.2. Renseservere....21
6.2. Min spilleliste.... 21
6.3. Repeter/tilfeldig rekkefølge 21
6.4. Nå spilles informasjon.... 21
6.5. Sette opp en musikkserver 22
6.6. Dele medier med Windows Media Player.... 22
6.7. Bruke «Play To»-funksjonen i Windows 7 til å strømme medier.... 23
6.8. Bruke «Play To» i Windows Media Player.... 23
6.9. Bruke «Play To» andre steder i Windows 7.... 24
6.10. Nå spilles informasjon.... 24
7. DAB-radio-modus.... 24
7.1. Søke etter stasjoner.... 24
7.2. Velge stasjoner.... 25
7.3. Nå spilles informasjon.... 25
7.4. Oppsett.... 25
8. FM-radio-modus.... 26
8.1. Velge stasjoner....26
8.2. Nå spilles informasjon.... 26
8.3. Oppsett....27
9. Aux in modus.... 27
10. Alarmer og Sleep.... 27
10.1. Alarmer....27
10.2. Sleep.... 28
11. Tekniske data.... 29
12. Ordliste....29
IR3000DAB Internettradio
| Nr. | Knapp | Funksjon/Bruk |
| 1 | På/Av | Slå på eller slå av enheten. |
| 2 | Innsovning | Ved avspilling, standby etter en angitt tid. Når alarmen går, slumre i en angitt tid. |
| 3 | Meny | Vis meny for aktuell modus. Trykk igjen for å vise Spilles nå-skjermen. |
| 4 | Modus | Gå gjennom modiene: Internettradio, musikkspiller, DAB, FM, Aux in. |
| 5 | Tilbake | Gå tilbake til forrige skjerm. I avspillingsmodus kan denne knappen brukes til å gå tilbake til siste sporliste eller stasjonsliste. |
| 6 | Vol- | Reduser volum. |
| 7 | Vol+ | ∅k volum. |
| 8 | Informasjon | Se mer informasjon om stasjonen eller spor som spilles. Trykk igjen for å gå gjennom ytterligere informasjonsskjermer, gå deretter tilbake til den normale Spilles nå-skjermen. |
| 9 | Forvalg | Trykk for forhåndsinnstilt hent eller lagre meny. Bla opp eller ned for å velge forhåndsinnstilt nummer, trykk «Velg» for å bekrefte. |
| 10 | Alarm | Entres alarmveiviseren slås alarmen av (når alarmen går), og i standby settes hvilke alarmer som er aktive. |
| Roteringskontroll | Funksjon/Bruk |
| Tuning/Velg | Drei med eller mot klokken for å bla opp eller ned gjennom en meny, liste over elementer eller stasjonsliste. Gjeldende element er markert i revers tekst (mørke tegn på hvit bakgrunn). Trykk for å velge markert element. |
Merk: Noen knapper har alternative funksjoner avhengig av om de trykkes kort eller holdes nede i noen sekunder.
Fjernkontrollen opereres på samme måte som hovedenhetens kontrolltaster.
| Knapp | Funksjon | Fjernkontrollbilde |
| Standby: Slå på eller tilbake til standby-modus (viser klokke og dato). Avbryt sleep-funksjon. | ||
| Mode | Gå gjennom modiene: Internettradio, musikkspiller, DAB, FM, Aux in. | |
| Sleep | Sleep/Snooze: Ved avspilling, standby etter en angitt tid. Når alarmen går, slumre i en angitt tid. | |
| Mute | ||
| Vol+ | ∅k volum. | |
| Menu | Meny: Vis meny for aktuell modus. Trykk igjen for å vise Spilles nå-skjermen. | |
| |◄◄ Down | Tune opp stasjon og hopp tilbake. | |
| ►►| Up | Tune ned stasjon og hopp fremover. | |
| Info | Info: Se mer informasjon om stasjonen eller spor som spilles. . Gjenta trykk for å bla gjennom flere informasjonsskjermer. | |
| Select | Trykk for å velge markert element. | |
| Alarm | Entres alarmveiviseren slås alarmen av (når alarmen går), og i standby settes hvilke alarmer som er aktive. | |
| Preset | Trykk for forhåndsinnstilt hent eller lagre meny. Bla opp eller ned for å velge forhåndsinnstilt nummer, trykk «Velg» for å bekrefte. | |
| Vol- | Reduser volum. | |
| Back | Gå tilbake til forrige skjerm. I avspillingsmodus kan denne knappen brukes til å gå tilbake til siste sporliste eller stasjonsliste. | |
| Shift | Skift: Musikkspiller eller radio skifter forhåndsinnstilte sanger. | |
| 5 | Sett eller hent forhåndsinnstilt 5 eller 10. | |
| 4 | Sett eller hent forhåndsinnstilt 4 eller 9. | |
| 3 | Sett eller hent forhåndsinnstilt 3 eller 8. | |
| 2 | Sett eller hent forhåndsinnstilt 2 eller 7. | |
| 1 | Sett eller hent forhåndsinnstilt 1 eller 6. |
2. Komme i gang/sette opp
De forskjellige lyttemodiene har ulike krav:
- Internettradio krever egnet bredbåndstilkobling (som regel via et lokalt kablet eller trådløst nettverk).
- Musikkspilleren krever tilkobling til et kablet eller trådløst nettverk.
● DAB/FM krever et DAB-/FM-signal via innebygd antenne. - Aux-In krever tilkobling via Aux-In-kontakten.
Koble enheten til egnet strømkilde med strømforsyningen som følger med. Etter å ha vist en startskjermen vil den gå til sist brukte lyttemodus. Når enheten startes for første gang, startes oppsett automatisk.
2.1 Oppsettsveiviser
Når enheten startes for første gang, går den gjennom en oppsettsveiviser for å konfigurere innstillingene for dato/tid og nettverk. Når denne
er ferdig, er systemet klart til bruk i de fleste modi.

MERK: For å endre disse innstillingene, velg Meny> Systeminnstillinger > og velg ønsket(e) innstillingsalternativ(er) (se kapittel 4 innstillinger for flere detaljer.

text_image
Oppsettsveiviser Starte nå? JA NEIFor å kjøre oppsettsveiviseren igjen, velg Meny> Systeminnstillinger> Oppsettsveiviser
Velg Ja for å starte oppsettsveiviseren.
Hvis du velger NEI, spør neste skjerm om du ønsker å kjøre veiviseren neste gang enheten startes. Systemet startes uten konfigurering av tid/dato og nettverksinnstillinger og går til hovedmenyen.
Merk: Hvis strømmen slås av mens veiviseren er i gang, vil veiviseren kjøres på nytt neste gang enheten startes.
Oppsettsveiviseren leder deg gjennom de grunnleggende oppsettsparametrene for tid/dato og nettverkstilkobling. For flere detaljer, se aktuelle innstillinger i kapittel 4 Innstillinger. For senere endring av en innstilling, er alle innstillingsfunksjonene tilgjengelige fra menyen Innstillinger.
3. Drift
For å velge modus, trykk Modus inntil velkomstbilde for ønsket modus vises. Etter kort tid skifter enheten til denne modusen. Siste stasjon eller tidligere spor brukt i denne modusen velges. Er dette ikke mulig, skannes enheten for relevante stasjoner, nettverk eller brukeren bes oppgi passende inngang. Se relevant Modusseksjon for detaljer om bruk av hvert lyttemodus.
3.1 Menynavigering
Primærkontrollen for å bevege seg gjennom menyer og alternativer er Velg kontroll. Roter kontrollen for å bevege deg opp eller ned en meny. Når ønsket alternativ eller verdi er markert, trykk Velg kontroll. Alle menyer og lister fungere som looper - ved å skru på kontrollen slik at den går forbi første eller siste oppføring i en meny eller liste tar deg til motsatt ende en av meny eller liste. Så å gå opp fra den første oppføringen i en meny vil ta deg til det siste alternativet i menyen osv.
Det dukker opp et rullefelt på høyre side av skjermen hvis det er flere alternativer over eller under de som er synlige.
For gå inn i menytreet i en bestemt modus, trykk Meny. For å gå et menynivå tilbake, trykk Tilbake.
For å gå ut av menysystemet, trykk Meny på nytt.
For eksempel har FM-modusmenyen to modusspesifikke alternativer: Skanneinnstilling og lydinnstilling.

Systemoppsettmenyen viser systemoppsettfunksjoner som lar brukeren sette opp hvordan enheten skal fungere. Dette inkluderer nettverk, tid, språk og programvareparametere

text_image
Hovedmeny Internet radio > Musikkavspilling > DAB FM >Hovedmenyen viser alternativ metode for valg av lyttemodus pluss sleep og alarmfunksjoner.
Noen menyer, f.eks. Systemoppsettmenyen, har flere undermenyer
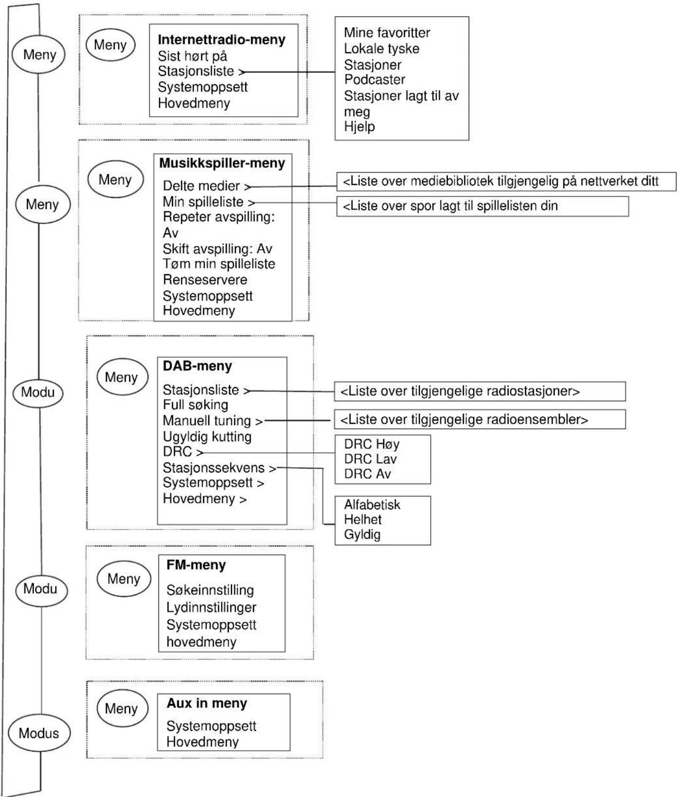
En menyoversikt over de ulike lyttemodiene og systemoppsettene
og hovedmenyen vises på neste side.

flowchart
graph TD
A["Meny"] --> B["Internettradio-meny"]
B --> C["Sist hørt på Stasjonsliste > Systemoppsett Hovedmeny"]
C --> D["Mine favoritter Lokale tyske Stasjoner Podcaster Stasjoner lagt til av meg Hjelp"]
E["Meny"] --> F["Musikkspiller-meny"]
F --> G["Delte medier > Min spilleliste > Repeter avspilling: Av Skift avspilling: Av Tøm min spilleliste Renseservere Systemoppsett Hovedmeny"]
G --> H["<Liste over mediebibliotek tilgjengelig på nettverket ditt"]
G --> I["<Liste over spor lagt til spillelisten din"]
J["Modu"] --> K["DAB-meny"]
K --> L["Stasjonsliste > Full søking Manuell tuning > Ugyldig kutting DRC > Stasjonssekvens > Systemoppsett > Hovedmeny >"]
L --> M["<Liste over tilgjengelige radiostasjoner>"]
L --> N["<Liste over tilgjengelige radioensembler>"]
O["Modu"] --> P["FM-meny"]
P --> Q["Søkeinnstilling Lydinnstillinger Systemoppsett hovedmeny"]
Q --> R["DRC Høy DRC Lav DRC Av"]
Q --> S["Alfabetisk Helhet Gyldig"]
T["Modus"] --> U["Aux in meny"]
U --> V["Systemoppsett Hovedmeny"]
flowchart
graph TD
A["Info"] --> B["Systemoppsett"]
B --> C["Equalizer"]
B --> D["Nettverk"]
B --> E["Tid/dato"]
B --> F["Språk"]
F --> G["Fabrikkoppsett Programvare oppdater"]
F --> H["Oppsettsveiviser Info"]
F --> I["Bakgrunnsbelysning"]
B --> J["Normal|Flat|Jazz|Rock|Film|Klassisk|Pop|Nyheter|Min mikser|Mitt mikserprofil-oppsett"]
B --> K["Nettverkmeny"]
K --> L["Nettverkveiviser SPBC Wlan-oppsett Vis innstill Wlan-region Manuelle innst Nettverkprofil"]
B --> M["Angi tid/dato Auto oppdatering Angi format"]
B --> N["Språk 1| Språk 2| Språk 3| osv."]
B --> O["Timeout På nivå Dim nivå"]
A --> P["Hovedmeny"]
P --> Q["Internettradio Musikkspiller DAB FM Aux in Innsovning Alarm"]
P --> R["Alarmmeny"]
R --> S["Aktiver: Av | Daglig | En gang | Helger | Ukedager Tid: tt: mm AM Modus: Internettradio | Musikkspiller | DAB | FM | Aux In Forvalg: Sist hørt på Volum: 0-32 Lagret"]
Figur 2 Systemoppsett og hovedmeny
3.2 Forhåndsinnstillinger
I Internettradio-, DAB- og FM-modus, kan opp til ti forhåndsinnstilte stasjoner lagres og hentes.
Forhåndsinnstillingene lagres i radioen og er ikke tilgjengelige fra andre radioer.
For å lagre gjeldende radiostasjon som forhåndsinnstilt, trykk og hold Forhåndsinnstill til displayet viser skjermbildet Lagre forhåndsinnstilt. Velg en av 10 forhåndsinnstilte for å lagre gjeldende kanal.
For å velge en forhåndsinnstilt, trykk kort på Forhåndsinnstilt og velg en av de forhåndsinnstilte stasjonene på listen. Når en forhåndsinnstilt stasjon spilles, vises forhåndsinnstilt lagret nummer Pn (P1, P2 osv.) nederst på skjermen.
4.Oppsett
Alle oppsettsparametrene for enheten er tilgjengelige på oppsettmenyen.
Merk: Oppsett inkludert i oppsettsveiviseren angis v «veiviser».
Oppsett menyalternativer:
Equalizer
Nettverkveiviser
Tid/dato-veiviser
Språk
Fabrikkoppsett
Programvare oppdater
Oppsettsveiviser
Info
Bakgrunnsbelysning
4.1 Equalizer
Flere forhåndsinnstilte EQ-modier er tilgjengelige, også et brukerdefinert oppsett (min EQ)
For å velge EQ-oppsett, velg Meny > System
Oppsett> Equaliser.
Du kan velge mellom en rekke forhåndsinnstilte modier Min EQ

text_image
Equalizer Normal Flat Jazz Rock Film Mitt mikserprofil-oppsett Bass: 0 Diskant: 0Det siste alternativet (Mitt mikserprofil-oppsett) lar deg definere ditt eget oppsett for « Min mikser » med tilpasset bass og diskantoppsett.

- Nettverkveiviser-veiviser
- WPS-oppsett
- Vis oppsett
● Wlan-region veiviser - Manuelt oppsett
- Nettverkprofil
Denne enheten er kompatibel med alle vanlige nettverkprotokoller og krypteringmetoder, inkludert Wi-Fi beskyttet oppsett (WPS).
For å koble enheten til et nettverk, trengs en av følgende:
- En kablet ruter og en Ethernet (RJ45-nettverk) kabel.
- En trådløs Wi-Fi-ruter sammen med passordnøkkel hvis angitt.
Bruk enten nettverkveiviseren eller manuelle innstillinger til å velge nettverk.
4.2.1 Nettverkveiviser
Den guider deg gjennom nødvendige trinn for å bli med i et nettverk. Den kjøres også automatisk som en del av oppsettsveiviseren. Skjermbilder og valgmuligheter vil avhenge av hvilken type nettverk og nettverkbeskyttelse som brukes.
Velge nettverk
Når nettverkveiviser er valgt søker enheten automatisk etter tilgjengelige trådløse nettverk og viser en liste over SSID (Service Set Identifier for nettverket). De alternativene som starter med WPS i parentes indikerer krypterte nettverk som tilbyr Wi-Fi beskyttet oppsett (WPS) alternativer, for flere detaljer se punkt 4.2.2 PBC oppsett (Wi-Fi beskyttet oppsett).
Enheten husker innloggingsdetaljer for de fire siste trådløse nettverkene den har koblet til, og vil automatisk koble seg til disse når de er tilgjengelige. Hvis tilkoblingen til et nettverk brytes midlertidig, vil enheten automatisk koble til igjen.
Wi-Fi-nettverk (SSID). Velg et nettverk fra listen.
For å koble til et kablet nettverk, velg [Kablet], pass på at Ethernet-kabel fra kablet ruter er koblet til Ethernet-kontakten på enheten.

Hvis nettverket er åpent (ikke-kryptert), koble enheten og det er ikke nødvendig med flere detaljer, se Fullføring nedenfor.
Standard kryptert nettverk
Er det trådløse nettverket beskyttet, viser neste skjermbilde alternativer for å angi nettverksnøkkel eller passord.
Merk: Standard passord for de fleste trådløse rutere er trykt på en etikett på ruteren.
For å skrive inn nettverksnøkkel (passord), bruk Velg kontroll for å markere neste relevante tegn og trykk for å velge hvert tegn etter tur. Når alle tegn er valgt er nøkkelen bygd opp og vises i feltet øverst på displayet.
De tre alternativene -Tilbake, OK og Avbryt er inkludert i valg-loopen. Disse nås enkelt ved hjelp av valgkontroll, eller et kort kutt er tilgjengelig ved trykk på Info-tasten, som beveger valgmarkeringen til alternativet Tilbake.

text_image
Nøkkel: 0 1 2 3 4 5 6 [BKSP] 7 8 9 . _ - @ , a b c d e f g h i j k l m n o p q r s OK CANCELPå Fullføring
Enheten kobles til valgt nettverk.
Hvis tilkobling ikke lykkes, returnerer enheten til det forrige skjermbildet og prøver igjen. For å avslutte prosessen, bruk Back/Menyknappen.
SSID
Vennligst vent Kobler opp.
Hvis nettverkforbindelsen blir borte, vil enheten automatisk kobles til på nytt.
4.2.2 PBC-oppsett (Wi-Fi beskyttet oppsett)
WPS krypterte nettverk blir identifisert av «WPS» i starten av nettverknavnet, og har to metoder for tilkobling. Velg en og følg anvisningene Når du bruker nettverkveiviseren, er tilleggsalternativet hopp over WPS tilgjengelig.
WPS-meny
Trykk knapp
PIN
Hopp over WPS
Trykk knapp
Enheten ber deg trykke tilkoblingsknappen på ruteren og så trykke valgkontrollen
Pin> (kodenummer) denne enheten genereres på et 8-sifret kodenummer som skrives inn i den trådløse ruteren.
WPS-oppsett

Trykk WPS-
knappen på den andre siden Trykk VELG for å fortsette
Hopp over WPS>
Skriv inn nøkkel for et standard kryptert nettverk, som ovenfor.
Enheten kobles til nettverket, se «På Fullføring» ovenfor.
For mer informasjon om oppsett av et WPS-kryptert nettverk, Se WPS-ruterens instruksjoner.
WPS-oppsett

Skriv inn PIN
40128764 på den andre siden
Trykk VELG for å
4.2.3 Vis oppsett
Viser oppsettdetaljer for gjeldende nettverkoppsett inkludert
- Aktive koblinger
- Mac-adresse
- Wlan-region
DHCP - SSID
- IP-adresse
- Nettverksmaske
- Gateway-adresse
- Primær DNS
- Sekundær DNS
4.2.4 Wlan-region
Viser en liste over regioner for konfigurering av hvordan gjeldende wlan for enheten skal oppføre seg. Velg aktuell region for stedet der enheten skal brukes.
4.2.5 Manuelt oppsett
Det finnes også andre alternativer for visning og manuell endring av nettverksoppsett fra Meny > Systemoppsett> Nettverk >(f. eks. sette opp et kablet nettverk).
Erfarne nettverksbrukere kan finne disse alternativene nyttige for å diagnostisere og reparere nettverksproblemer.
Kablet/trådløst
Dette viser en liste over nettverk husket av enheten (opp til maks. 4). Du kan se listen over registrerte nettverk via Meny> Systemoppsett> Nettverk > Nettverkprofil>Herfra kan du slette uønskede nettverk ved å vri og trykke Velg deretter bekreft slett Ja.
4.3. Tid/dato
- Angi tid/dato
- Auto-oppdater
- Angi format
4.3.1 Angi tid/dato (veiviser)
Dato og tid vises som dd-mm-åååå og tt:mm AM/PM med første verdi, dd, aktiv (blinker).
Juster hver verdi med Valg kontroll. Når en verdi er satt ved å trykke på valgkontrollen, blir neste verdi aktiv og klar for justering
4.3.2 Auto-oppdater (fra DAB, FM eller nettverk) (veiviser)
Auto-oppdater jobber med data sendt over DAB, FM eller Internett. Klokken oppdateres bare når den er i en tilsvarende modus, så det er best å velge en modus du bruker regelmessig.
Angi tid/dato
05-02-2013 1:15 PM
Angi tid/dato
Oppdater fra DAB Oppdater fra FM Oppdat. Fra net Ingen oppdater.
DAB og FM bruker tidssignaler sendt sammen med radiosendinger.
Nettverket bruker et tidssignal sendt fra Internettradiportalen Frontier Silicon när du er i nettverkkoblet modus.
- Velg oppdater fra DAB, oppdater fra FM, oppdater fra nettverk eller ikke oppdater.
- Oppdaterer du fra nettverket, sett tidssonen din.
- Hvis landet ditt benytter sommertid, kan automatisk oppdatert tid fra nettverket vise en time feil. Når sommertid er trådt i kraft (om vinteren), slå på alternativet sommertid for å rette på dette.
Merk at hvis du oppdaterer tiden fra DAB eller FM, har alternativet Sommertid ingen effekt på klokkens tid.
Enheten vil oppdatere automatisk fra valgt kilde når informasjon er tilgjengelig.
4.3.3 Angi format
Lar deg velge mellom 12 og 24 timers visning.
4.5. Språk
Standardspråk er engelsk. For å velge, velg Meny > Systemoppsett > Språk >velg språk.
Liste over språk
| No | Språk | No | Språk | No | Språk | No | Språk | No | Språk |
| 1 | Engelsk | 4 | Finsk | 7 | Italiensk | 10 | Spansk | 13 | Tyrkisk |
| 2 | Dansk | 5 | Fransk | 8 | Norsk | 11 | Portugisisk | ||
| 3 | Hollandsk | 6 | Tysk | 9 | Polsk | 12 | Svensk |
4.6 Gjenopprett fabrikkoppsett
Gjenopprett fabrikkoppsett tilbakestiller alle brukerinnstillinger til standardverdier, så tid/dato, nettverkkonfigurasjon og forhåndsinnstillinger går tapt. Radioens gjeldende programvareversjon opprettholdes, da den er registrert med Internettradiportalen. Internettradioens favoritter er derfor intakte med mindre du omregistrerer radioen med en annen konto på portalens nettside.
For å gjenopprette fabrikkinnstillinger, velg Meny > Systemoppsett> Fabrikkinnstilling gjenopprett fortsett> Ja,
4.7 Programvare oppdater
Av og til er programvareoppdateringer med feilrettinger og/eller tilleggsfunksjoner tilgjengelig fra Frontier Silicon. Du kan enten sjekke manuelt eller stille inn enheten til regelmessig å sjekke dette automatisk (dette er standard). Hvis enheten registrerer at nyere programvare er tilgjengelig, spør den om du ønsker å gå videre og oppdatere. Hvis du er enig, blir ny programvare lastet ned og installert. Etter en programvareoppgradering, opprettholdes alle brukerinnstillinger.
FORSIKTIG: Før du starter programvareoppgradering, sikre at enheten er koblet til en stabil hovedstrømtilkobling. Frakobling av strøm under programvareoppdatering, kan permanent skade enheten.
For å slå automatisk kontroll av eller på, velg Meny > Systemoppsett> Programvare oppdater> Auto
Kontroller oppsett.
4.8 Oppsettsveiviser
Dette gjør det mulig å kjøre oppsettsveiviseren når som helst. Leder deg gjennom de essensielle innstillingene i følgende rekkefølge:
- Dato/tid - Angi format
- Auto -oppdater-velger oppdateringskilde til klokken eller Ikke oppdater.
- Angi tid/dato (dette trinnet er kun nødvendig hvis alternativet Ikke oppdater er valgt i Auto - oppdater).
- Nettverkveiviser kjøres automatisk (se avsnitt 4.2.1 Nettverkveiviser).
Når du er koblet til et nettverk, er veiviseren fullført.
4.9 Info
Viser detaljer for gjeldende system inkludert:
- SW versjon: Programvare versjonsnummer
- Radio ID: Unik kode brukt til å identifisere denne bestemte radioenheten.
- Vennlig navn: (navn som radioen identifiseres med i et nettverk).
4.10 Bakgrunnsbelysning
Enhetens display kan settes til å dimme i standby etter en tidsavbruddsperiode. Dette valget gjør det mulig å stille inn tidsavbruddsperiode og lysstyrke før (På-nivå) og etter (Dim-nivå) tidsavbruddsperioden.
For På-nivå er Høy, Middels og Lav, pluss en Auto-innstilling tilgjengelig.
For Dim-nivå er Middels, Lav og Av, pluss en Auto-innstilling tilgjengelig.
5. Internettradio-modus
Enheten kan spille tusenvis av radiostasjoner og podcaster fra hele verden via en bredbåndstilkobling.
Når du velger Internett-radio-modus, kontakter enheten nettradiportalen for å få en liste over stasjoner organisert i forskjellige kategorier som land, mest populær og sjanger. Når stasjon er valgt, kobles enheten direkte til denne stasjonen.
Portalen aktiverer også flere lister med favorittstasjon som kan personliggjøres, f. eks, Andys stasjoner, Jos favoritt-talkshow. For å bruke favorittfunksjonen, registreres radioen på portalens nettside som beskrevet i punkt 5.7 registrering Internettradiportalen. Har du flere Frontier Silicon-radioer, kan disse registreres på samme konto slik at hver radio har tilgang til dine favorittlister. Det er mulig å legge til favoritter, enten direkte via enheten, eller gjennom en hvilken som helst datamaskin med nettleser.
For å gå til Internettradio-modus, trykk enten Modus til displayet viser Internettradio eller velg Meny>Hovedmeny >Internettradio.
Merk: Menyen stasjonsliste er levert av nettradiportalen, så den er kun tilgjengelig når enheten er koblet til Internett. Stasjonslister og undermenyer kan av og til endres.
Det er flere måter for å velge stasjoner.
- Sist hørt på
- Forhåndsinnstillinger

text_image
Internettradio Sist hørt på > Stasjonsliste Systemoppsett Hovedmeny >Fra portalen via Meny > Stasjonsliste >meny:
- Sted - finn radiostasjon basert på sted i verden.
- Sjanger - søk etter stasjoner som sender den type musikk du liker.
- Søk stasjoner - søk på stasjonsnavn.
- Populære stasjoner - viser de mest populære, mest hørt på stasjonene på Internett.
- Nye stasjoner - viser de nyeste stasjonene som sender.
5.1 Sist hørt på
Når modus Internettradio startes igjen, velges stasjonen man sist hørte på. For å velge en annen nylig brukt stasjon, velg Meny > Sist hørt på og en av stasjonene på listen. Den siste stasjonen vises øverst på listen.
5.2 Favoritter
Favoritter lagres på Internettradiportalen. Før du setter opp en konto på portalen fra dens webgrensesnitt (www.wifiradio-frontier.com), favorittene knyttes ene og alene til den radioen du angir. Når portal-kontoen er satt opp, blir alle favorittene fra de ulike radioene dine slått sammen til en kombinert favorittliste. Denne kombinerte listen er tilgjengelig for alle radioene på kontoen din.
For å lagre stasjonen som spilles som favoritt, trykk og hold Velg inntil displayet viser «Favoritt lagt til». Stasjonen vises i standard favorittliste Stasjoner.
For å velge en favoritt, velg Meny >Stasjonsliste >Mine favoritter > [Favorittliste] >> [Stasjon].
5.3. Bla gjennom
For å bla gjennom Internettsendinger, velg Meny > Stasjonsliste > Bla gjennom menyene for å finne passende sendinger. F. eks.: Velg stasjoner:

text_image
Internettradio Mine favoritter Lokal Tyskland Stasjoner PodcasterOg menyen stasjoner vises, velg sjanger:

text_image
Stasjoner Sted > Sjanger Søk stasjoner > Populære stasjoner > Nye stasjoner >For å se sjangermenyen, velg blues:

text_image
Sjanger Alternativ > Ambient Storband Bluegrass BluesOg bluesmenyen lar deg velge en stasjon fra en komplett liste eller fra spesifikke land.

text_image
Blues Alle stasjoner > Markerte stasjoner > Brasil Bulgaria CanadaVelg radiostasjon fra listen for å stille inn denne stasjonen.
5.4 Søk
Du kan også søke gjennom Internettsendinger etter stasjoner eller podcaster med spesielle nøkkelord i tittelen.
For søk, velg Meny > Stasjonsliste>så enten Søk stasjoner >

text_image
Stasjoner Sted > Sjanger Søk stasjoner > Populære stasjoner > Nye stasjoner >Skriv inn et nøkkelord ved å velge tegn, trykk OK
Skjermbildene for inntasting av søk er like i bruk som skjermbildet for inntasting av Wi-Fi-passord.

text_image
Nøkkel: 0 1 2 3 4 5 6 [BKSP] 7 8 9 . _ - @ , a b c d e f g h i j k l m n o p q r s OK CANCELVelg sending fra listen.
For podcaster kan det være mulig å velge en spesiell episode.
| Søk stasjoner |
| 1.fm Bay Smooth Jazz |
| 1.fm Bombay Beats Inc.... 89.7 Bay |
| Antenne Bayern |
| Antenne Bayern 80er.... |
5.5 Stasjoner lagt til av meg
Selv om nettradiportalen inneholder tusenvis av stasjoner, ønsker du kanskje å lytte på stasjoner som ikke er oppført. Du kan legge til dine egne stasjoner via portalen. Stasjoner som legges til er tilgjengelig fra enheten, velg Meny> Stasjonsliste >
5.6 Nå spilles informasjon
Mens strømmingen spilles, viser skjermen navn og beskrivelse. Hvis artist og sporinformasjon er tilgjengelig vises også dette. For å se mer informasjon, trykk Info.
Hver gang du trykker Info vises et annet sett med informasjon, og blar gjennom følgende detaljer:
Artist og spornavn (standard; hvis tilgjengelig)
Stasjonsbeskrivelse
Stasjonsjanger og sted
Signalpålitelighet
Kodek og samplingsfrekvens
Avspillingsbuffer
Dagens dato:
5.7 Internettradiportal registrering
Nettsiden til Internettradiportalen Frontier Silicon lar deg organisere egne favorittlister og høre på Internettradio på en datamaskin.

text_image
FRONTIER SILICON Radio Portal Access global stations Personalise favourites Search. Stations Podcasts Browse Stations By location By genre By language New stations Most popular Mark's radio Station name Location Genre Stream ► 2 Ten FM Reading United Kingdom Electronica WMA 128K ► BBC Radio 2 London United Kingdom Variety RealPlayer 44K ► Capital Radio London United Kingdom Top 40 WMA 128K ► Virgin Radio London United Kingdom Pop MP3 128K ► On Air Power Internet Only World Asia MP3 128K ► Antenna Uno Catania Italy Dance MP3 96K ► BBC Radio 1 London United Kingdom Top 40/Dance/Rock RealPlayer 16K ► Radio Dzair Internet Only World Middle East MP3 128K ► 108 Xtra United Kingdom Electronica MP3 256K ► Capital FM 98.4 Nairobi Kenya Pop WMA 20K ► BBC R5LiveSportX International London United Kingdom Sports WMA 48K ► Classic FM London United Kingdom Classical WMA 128K English Dansk Português Español Norsk Italiano Français Svensk Nederlands Deutsch Suomi About us Contact us Logout © Frontier Silicon 2008 | Legal
text_image
Få tilgangskode Tilgangskode FYXT8PPFor å registrere enheten på portalen, skift til Internettradio-modus som beskrevet i avsnitt, og deretter innhent radioens unike portal tilgangskode ved å velge Meny >Stasjonsliste >Hjelp >Få tilgangskode>.Skriv ned tilgangskoden.
Merk: Vist tilgangskode er bare gyldig i noen få minutter. Hvis du ikke klarer å registrere radioen innenfor tidsvinduet må du gjenta trinnene ovenfor for ny tilgangskode og prøve igjen.
Ikke forveksle portalens tilgangskode med Radio ID (fra) Besøk portalens hjemmeside www.wifiradio-frontier.com.
Er dette ditt første besøk på portalen, registreres ny konto ved å oppgi følgende informasjon: tilgangskode e-postadresse, passord radiomodell (RD1363DAB).
Har du allerede en konto og ønsker å legge til en ekstra radio, logg inn på kontoen og velg Mine preferanser>Legg til annen Wi-Fi-radio. Når radioen er registrert på portalen, kan du straks bruke Internettradioens favoritter og funksjonene til stasjoner som er lagt til.
6. Musikkspiller-modus (nettverk)
Musikkspiller-modus spiller av lydfiler som MP3, AAC, WMA eller FLAC fra en datamaskin på lokalt nettverk eller harddisk.
For å gå til Musikkspiller-modus, trykk enten Modus inntil displayet viser Musikkspiller eller velg
Meny >Hovedmeny >Musikkspiller.
En gang i musikkspiller-modus, trykk Meny, velg Delte medier.

text_image
Musikkspiller Delte medier > Min spilleliste > Repeter avspilling: Av Tilfeldig avspilling: AvHvis du allerede spiller en musikkfil, trykk Tilbake i stedet for Meny for rask retur til sist besøkte gren på menytreet. F.eks. lytter til spor 1 av et album ved å bla gjennom delte medier som beskrevet i avsnitt 6.1 nedenfor.
- Trykk Tilbake for å returnere til albumets sporliste.
- Trykk Tilbake igjen for å vise alle tilgjengelige album av samme artist.
- Trykk Tilbake igjen for å vise alle albumartister, og så videre.
6.1 Delte medier
Velg Meny > Delte medier
Har du satt opp delte medier (se pkt. 6.5 Sette opp en musikkserver for detaljer), skal du se en oppføring bestående av
Fra dette punktet er menyene generert fra den delte mediaserveren (vanligvis Windows Media Player). Den første menyen viser liste over medietyper, f.eks. musikk, video, bilder og spillelister. Enheten kan bare spille musikk og spillelister.

text_image
CAM-VISTA-PC:Vista-P Musikk >Spillelister >Det er også en søkefunksjon som finner spor på samme måte som Internettradio-søk, beskrevet på side 13

text_image
Musikk All musikk Sjanger Alle artister Medvirkende artister > Album artister >I musikkmenyen er det mange alternativer for valg av spor. Velg ett av alternativene for å finne musikken du vil lytte til.
Når du har funnet et spor du vil spille, trykk Velg. Et kort trykk spiller av sporet umiddelbart og et langt trykk legger sporet til «Min spilleliste». Du kan også legge hele album til «Min spilleliste».
Spillelister som er opprettet på delt mediaserver har man tilgang til og kan spille av via alternativet spillelister i menyen delte medier.
6.1.1 Wake-on-LAN
Når delte medier er valgt, vises en liste over tilgjengelige musikkservere.
Hvis et spørsmålstegn vises før servernavnet, indikerer dette at serveren har vært sett før og støtter funksjonaliteten Wake-on-LAN, men kan for øyeblikket ikke finnes på nettverket. Hvis brukeren har valgt en server med et spørsmålstegn, vil enheten prøve å vekke opp serveren og koble seg til. I enkelte tilfeller er dette kanskje ikke mulig da serveren ikke kan kobles til nettverket mer eller er slått av.
6.1.2 Renseservere
Fra tid til annen er det nødvendig å fjerne servere med et spørsmålstegn foran servernavnet fra serverlisten. Hvis enheten f.eks. er flyttet til et nytt nettverk eller hvis en Wake-on-LAN server er fjernet fra nåværende nettverk.
For å utføre denne funksjonen, gå til Meny > Renseservere > Ja.
6.2 Min spilleliste
Enheten kan ha en kø med opptil 500 spor i Min spilleliste.
- For å vise spillelisten, bla gjennom den ved å dreie Velg. UPnP-spor viser sine spornavn.
- For å spille av spillelisten fra et bestemt spor, kort Velg.
- For å slette et spor fra spillelisten, lang Velg. bekreft med JA.
Hvis du velger et spor/album/mappe for øyeblikkelig avspilling (uten å bruke spillelisten), bevares spillelisten. Spillelisten bevares også under standby.
6.3 Repeter/tilfeldig rekkefølge
Du kan repetere spor eller spille de av i tilfeldig rekkefølge ved å velge Meny > Repeter avspilling eller Meny> Tilfeldig rekkefølge
6.4 Nå spilles informasjon
Mens et spor spilles av, viser skjermen spor og artist (UPnP).
Det er også en fremdriftslinje med tall for medgått og total spor
tid. Nederst på skjermen er det et ikon som indikerer UPnP. For å vise mer informasjon, trykk Info.
Hver gang du trykker Info, vises et annet sett med informasjon, blar gjennom
- UPnP: fremdriftslinje avspilling (standard), artist, album, kodek/samplingsfrekvens, bufferlinje avspilling, dagens dato.
For at enheten skal spille av musikkfiler fra en datamaskin, må datamaskinen være satt opp for å dele filer og medier.
UPnP mediedeling lar enheter som RD1363DAB spille musikk fra et delt mediebibliotek, navigere gjennom etikett-menyer som artist, album eller sjanger. Hvis du kjører et egnet serversystem som f. eks. PC med Windows Media Player 10 eller nyere (WMP), og musikkbiblioteket er godt merket, anbefales det å bruke mediedeling. Kun UPnP-serveren må settes opp.
Merk: iTunes fungerer i øyeblikket ikke som en UPnP-mediaserver, men det er add-ons tilgjengelig for å jobbe med et iTunes-bibliotek.
6.6 Dele medier med Windows Media Player
Den vanligste UPnP-serveren er Windows Media Player (10 eller nyere). Alternativt kan andre UPnP plattformer og servere benyttes. For å sette opp WMP for mediedeling, utfør følgende trinn:
- Sikre at PC-en er koblet til nettverket.
- Sikre at radioen er slått på og koblet til samme nettverk.
- IWMP, aktiver mediedeling (Bibliotek> Mediedeling).
- I WMP, legg til lydfiler og mapper du vil dele med enheten i mediebiblioteket (Bibliotek> Legg til bibliotek).
Sørg for at radioen har tilgang til delte medier ved å velge dette og klikk Tillat. Du kan også angi et navn for det delte mediet i Innstillinger. Klikk OK for å lukke dialogboksene.
PC-en er nå klar til å strømme musikk til radioen. WMP UPnP tjenesten kjører i bakgrunnen, og det er ikke nødvendig å starte WMP eksplisitt.

6.7 Bruke «Play To»-funksjonen i Windows 7 til å strømme medier.
En av de nye Windows 7-funksjonene inkluderer en funksjon kalt «Play To», og dette lar din PC som kjører Windows 7 kontrollerer enheten for å dytte medier og brukes som universell fjernkontroll for mediesamlingen din.
Denne enheten støtter industristandarden DLNA (Digital Living Network Alliance) 1.5 for digital mediagjengivelse. Dette gjør at du kan «Play To» andre enheter i hjemmet og kombinere mediastrømming med kontroll av tilkoblet mediemottaker mens du strømmer innhold til denne fra en annen Windows 7-PC i hjemmenettverket.
6.8 Bruke «Play To» i Windows Media Player
Windows Media Player gjør det enkelt å administrere mediene dine, finne elementer som du ønsker å spille og åpne Play To
. For å velge elementer du ønsker å spille, følg disse trinnene:
- Klikk Start-knappen, klikk Alle programmer og klikk deretter Windows Media Player.
Hvis spilleren allerede er åpnet og du er i Spilles nå-modus, klikk Bytt til bibliotek-knappen i øvre, høyre hjørne på spilleren. - Hvis listepanelet er lukket eller brenne- eller synk-fanene er eksponert, klikk spill-fanen.
- Finn elementene du ønsker å spille i spiller-biblioteket, og trekk deretter disse elementene fra detaljpanelet til listepanelet.
- Klikk Play To-knappen øverst i listepanelet, klikk enheten på nettverket som skal motta mediet.
- Bruk avspillingskontrollene i dialogboksen Play To til å spille av, pause eller stoppe mediastrømmen og for å skifte til neste eller forrige element i listen.
6.9 Bruke «Play To» andre steder i Windows 7
Utenfor Windows Media Player kan du strømme medier til denne enheten med «Play To» ved å høyreklikke musikkfiler. For å velge musikkfiler og strømme de til denne enheten, følg disse trinnene:
- Klikk filene du vil strømme til denne enheten.
- Høyreklikk valgte filer, velg «Play To» og klikk så enheten på nettverket som skal motta mediene.
- Bruk avspillingskontrollene i dialogboksen Play To til å spille av, pause eller stoppe mediastrømmen og for å skifte til neste eller forrige element i listen.
6.10 Nå spilles informasjon
Mens et spor spilles av, viser skjermen spornavn (UpnP). Det er også en fremdriftslinje med tall for medgått og total sportid. Nederst på skjermen er det et ikon som indikerer UPnP. For å vise mer informasjon, trykk Info.

text_image
Musikkavspilling 4:30PM lazed and Confused 0:10:1 6:26 UPxPHver gang du trykker Info, vises et annet sett med informasjon, og blar gjennom følgende
- Artist, album, kodek/samplingsfrekvens, bufferlinje avspilling
7. DAB-radio-modus
DAB-radio-modus mottar DAB/DAB+ digitalradio og viser informasjon om stasjon, strøm og spor som spilles.
For å gå til DAB-modus, trykk enten Modus inntil displayet viser DAB-radio, eller velg Meny > Hovedmeny > DAB.

7.1 Søke etter stasjoner
Første gang du velger DAB-radio-modus, eller hvis stasjonslisten er tom utfører enheten automatisk fullt søk for å se hvilke stasjoner som er tilgjengelige. Det kan også være nødvendig å starte et manuelt søk for å oppdatere listen med stasjoner av en av følgende grunner:

text_image
FullStasjoner: 0 Søker : 0 Scanning- Tilgjengelige stasjoner skifter fra tid til annen.
- Hvis mottaksforholdene var dårlige for opprinnelig søk (f.eks antennen var ikke oppe), kan føre til tom eller ufullstendig liste over tilgjengelige stasjoner.
- Har du dårlig mottak av noen stasjoner (spraking), ønsker du kanskje å liste bare stasjoner med god signalstyrke.
For å starte er manuelt søk, velg Meny > Søk.
Når søket er fullført, viser radioen en liste med tilgjengelige stasjoner.
Et spørsmålstegn foran en stasjon i en liste angir at stasjonen er utilgjengelig i øyeblikket. Avhengig av årsak til tap av signal kan dette være kun midlertidig.
Stasjoner det er lite sannsynlig vil bli tilgjengelige igjen (f.eks flyttet utenfor rekkevidde for sendingene til en stasjon), kan fjernes fra stasjonslisten.
For å fjerne stasjoner som er listet, men ikke tilgjengelige, velg Meny > Rens ugyldig.
7.2 Velge stasjoner
For å lytte til eller endre en stasjon, vri på Velg-kontrollen for å presentere en liste over stasjoner du kan velge. Stasjoner listet med et ? spørsmåltegn foran seg er ikke tilgjengelige. Straks du har valgt, spiller stasjonen og skjermen viser informasjon om stasjonen, spor eller viser stasjonens sendinger.
Alternativt kan du trykke på enten hurtig fremover eller bakover tasten for å hoppe til neste kanal, eller opp eller ned i stasjonslisten.
Forhåndsinnstilte stasjoner kan lagres og hentes frem som beskrevet i Forhåndsinnstillinger.
7.3 Nå spilles informasjon
Mens strømmen spilles, viser skjermen navn og DLS (Dynamic Label Segment) informasjon sendt av stasjonen gir sanntidsinformasjon som programnavn, tittel på spor og kontaktdetaljer. Stereosendinger er markert med et ikon øverst på skjermen. For å se mer informasjon, trykk Info.
Hver gang du trykker Info, blir et annet sett med informasjon, bla gjennom DLS-tekst programtype, ensemblenavn/frekvens, signalstyrke/feilrate, bitrate/kodek/kanaler, dagens dato og DL Plus (hvis tilgjengelig).
7.4 Oppsett
Dynamisk kompresjon
Noen DAB-sendinger tilbyr dynamisk kompresjon (DRC). Denne funksjonen lar radioen komprimere det dynamiske området for utgangslyden - volumet til lave lyder økes og volumet til høye lyder reduseres - er nyttig når du lytter til musikk med stort dynamisk område i et støyende miljø (f.eks. klassisk musikk under matlaging).
For å endre DRC på enheten, velg Meny >DRC og så DRC høy, DRC lav eller DRC av.
Ensemble lister grupper av stasjoner som sendes sammen på samme ensemble, for eksempel BBC eller South Wales lokal Gyldig lister gyldige stasjoner først, så alfanumerisk, deretter stasjoner ikke sender.
For å endre rekkefølge på stasjoner, velg Meny> Stasjonsrekkefølge >deretterAlfanumerisk Ensemble eller Gyldig.
8. FM-radio-modus
FM-radio-modus mottar analog radio fra FM båndet og viser RDS (Radio Data System) informasjon om stasjonen og viser (hvor sending).
For å gå til FM-modus, trykk enten Modus inntil displayet viser FM-radio, velg Meny > Hovedmeny > FM.

text_image
FM 4:29PM BBC R4 Kultur R-D-S8.1 Velge stasjoner
For å finne stasjon, trykk Velg. Frekvensdisplayet startes når enheten søker gjennom FM-båndet. Alternativt kan du søke opp eller ned manuelt ved raske trykk eller ved å skru på Velg-kontrollen.
Merk: Søket kan settes til søk etter kun sterke signaler (se 8.3 Innstillinger nedenfor).
Forhåndsinnstilte stasjoner kan lagres og hentes frem som beskrevet i Forhåndsinnstillinger.
8.2 Nå spilles informasjon
Mens en FM-stasjon spilles viser skjermen et av to følgende sett med data:
- Hvis RDS-informasjon er tilgjengelig, vises tjenestenavn som standard (dvs. stasjonsnavn). Du kan bla gjennom mer RDS-informasjon ved å trykke på Info. Hver gang du trykker Info vises et annet sett med informasjon, bla gjennom RDS-radiotekst, RDS-programtype, frekvens og dagens dato.
- Hvis ingen RDS informasjon er tilgjengelig, vises valgt frekvensen.
8.3 Oppsett
Søkeinnstillinger
Som standard stopper FM-søket på hvilken som helst tilgjengelig stasjon. Dette kan resultere i et dårlig signal-støy-forhold (sus) fra svake stasjoner. For å endre søkeinnstillingene til å stoppe kun på stasjoner med god signalstyrke, velg Meny > Søkeinnstilling >Kun sterke stasjoner?> Ja.
Lydinnstillinger
Som standard gjengis alle stereostasjoner i stereo. For svake stasjoner kan dette resultere i et dårlig signal-støy-forhold (sus). For å spille svake stasjoner i mono, velg Meny > Lydinnstilling >FM svakt mottak: Lytt kun i mono> Ja.
9. Aux in modus
Aux in modus spiller av lyd fra ekstern kilde, f.eks. en MP3-spiller
Spille av lyd med Aux in modus.

text_image
AUX inngang Audio inn Dagens dato: 06/02/2013- Skru ned volumet både på denne enheten og, hvis justerbart, på lydkildeenheten.
- Koble ekstern lydkilde til Aux In 3,5 mm stereokontakt.
- Trykk enten Modus inntil displayet viser AUX eller velg Meny> Hovedmeny > AUX in.
- Juster volumet på denne enheten, (og, om nødvendig, lydkildeenheten) etter behov.
10. Alarmer og Sleep
I tillegg til klokke/kalender, er det to allsidige vekke-alarmer med snooze- og sleep-funksjon til å slå av systemet etter en innstilt periode. Hver alarm kan stilles til å starte i en spesiell modus.
For å stille klokke/kalender, se Komme i gang/oppsett på side 3.

For å stille inn eller endre en alarm, trykk enten Alarm eller velg Meny >.
Velg alarmnummeret (1 eller 2), konfigurer deretter følgende parametre:
| Alarm 2 |
| Aktiver: Ukedager |
| Tid:7:00AM |
| Modus:Internettradio |
| Forhåndsinnstill: Sist lyttet på |
| Volum: 24 |
- Aktiver Av, Daglig, En gang, Helger eller Ukedager.
- Tid: 12:00AM (juster hvis nødvendig)
- Dato: 01-01-2007 (juster hvis nødvendig - dette alternativet er vanligvis skjult og kun nødvendig hvis «En gang» er valgt i Aktiver-feltet).
- Modus: Buzzer, Internettradio, DAB eller FM.
- Forhåndsinnstill: Sist lyttet på eller 1-10.
- Volum: 0 \~32
For å lagre innstillingene og stille alarmen, rull ned og velg Lagre.
Merk: Hvis du trykker Tilbake eller Meny for å gå ut av alarminnstillingene uten å lagre, vises en dialogskjerm som spør om du ønsker å lagre endringene eller ikke. Nå spilles skjermen viser aktive innstilte alarmer med et ikon nede til venstre. Standby- skjermen viser aktive innstilte alarmer med et ikon og alarmtiden.
På innstilt tid lyder alarmen. For å slå den av midlertidig, trykk Snooze.
Trykk Snooze flere ganger for å bla gjennom tilgjengelige snooze-perioder:
Radioen går tilbake til standby for stilt periode, med forstummet blinkende alarmikon og nedtelling av gjenværende snooze periode. Etter stilt snooze-tid, lyder alarmen på nytt.
Merk: For å endre snooze-tiden i snooze-perioden, trykk Snooze for å velge ny snooze-tid. Eventuell gjenværende snooze-tid tilbakestilles til valgt tidsperiode.
For å avbryte en alarm eller en alarm i snooze, trykk Standby eller Alarm.
10.2 Sleep
For å stille inn sleep-timeren, trykk flere ganger på Sleep-tasten for å bla
gjennom sleep-tid alternativene:
Slumre av,15 MIN, 30 MIN, 45 MIN eller 60 MIN.
Stopp när ønsket tid vises, etter et kort øyeblikk går skjermen tilbake til skjermen som ble bruket før sleep-funksjonen ble valgt.
På spilles nå skjermen vises gjenværende tid nederst på skjermen.

text_image
Still innsovning 30 minutterAlternativt velg Meny>Hovedmeny > Sleep og velg fra sleep alternativene. Når sleep-periode er valgt, går systemet tilbake til hovedmenyen. Trykk Meny for å gå tilbake til spilles nå skjermen.
For å avbryte en sleep-tid, velg Slumre av fra sleep alternativene ved hjelp en av metodene ovenfor.
Merk: En sleep-tid avbrytes automatisk hvis enheten settes i standby.
Tekniske data
- Inngangsspenning, strømstyrke: 12V 1.5A
- Strømforbruk: maks. 15W
- Frekvensområde radio: FM 87.50MHz – 108.00MHz 50KHz/trinn
DAB Band III, 174.928MHz – 239.200MHz
● Lagringstemperatur:-10 \~ +60 °C
● Driftstemperatur: +5 \~ +40 °C
Ordliste
DAB Digital Audio Broadcasting
DLS Dynamic Label Segment -kort informasjonstekst sendt med DAB-lyd
FM Frekvensmodulering
RDS Radio Data System
UI Brukergrensesnitt
UPnP Universal Plug and Play
WLAN Wireless Local Area Network
MILJÖSKYDD

Uppgradering av programvara
Inställningsguiden
Info
Bakgrundsbelysning
4.1 Equaliser
4.7 Uppgradering av programvara
At returnere batterier er gratis ved offentlige opsamlingspunkter eller ved butikker som sælger batterier eller lign.
Returnér kun fuldt ud afladet batterier.
*) markeret Cd = cadmium, Hg = kviksølv, Pb = bly
Indholdsfortegnelse
-
Aux-in 25
-
Alarmer og dvale....25
10.1. Alarmer 25
10.2. Dvale....26
-
Tekniske data....30
-
Ordliste....30
IR3000DAB Internetradio
Kabelforbundet/Trådløs
- Hvis kanalen sender RDS-oplysninger, vises tjenestenavnet (f.eks. kanalnavnet) som standard. Du kan se flere RDS-oplysninger, ved at trykke på Info. Hver gang du trykker Info, vises nye RDS-oplysninger i følgende rækkefølge, såsom RDS-programtype, frekvens og dags dato.
10. Alarmer og dvale
Den resterende dvaletid vises for neden på skærmen "Spiller nu".

EnkelManual