IR Thermometer - Termometer LANAFORM - Brezplačna navodila za uporabo
Brezplačno poiščite navodila za napravo IR Thermometer LANAFORM v formatu PDF.
Vprašanja uporabnikov o IR Thermometer LANAFORM
0 vprašanje o tej napravi. Odgovorite na tiste, ki jih poznate, ali zastavite svoje.
Zastavite novo vprašanje o tej napravi
Prenesite navodila za vaš Termometer v formatu PDF brezplačno! Poiščite svoja navodila IR Thermometer - LANAFORM in vzemite svojo elektronsko napravo nazaj v roke. Na tej strani so objavljeni vsi dokumenti, potrebni za uporabo vaše naprave. IR Thermometer znamke LANAFORM.
NAVODILA ZA UPORABO IR Thermometer LANAFORM
SL Fotografije in druge predstavitve izdelka v tem prirocniku ter na embalazi so kar najtočnejse, vendar lahko ne zagotavljajo popolne podobnosti z izdelkom.
HR Namjera nam je da fotografije i drugi prikazi proizvoda u ovom korisničkom prirucniku i na pakiranju budustoje moguce vjerniji mada oni ne mogu osiguratovi savrsenu slicnost s proizvodom.


Fig.1 Fig.2
DISPLAY

Fig 3




Fig 4 Fig 5 Fig 6
MODE SETTING

Body mode

Object mode
Fig 7 Fig 8
UNIT SETTING

Celsius/°C

Fahrenheit/°F
Fig 9 Fig 10
MEASUREMENT PROCESS

Fig 11 Fig 12



Fig 13 Fig 14
MEMORY FUNCTION






Fig 15
Fig 16
| Opredelitev simbola Znak Informacije | proizvajalcu | |
| Kontaktni podatki proizvajalca | Hangzhou Universal Electronic Co., LTD 38 Yangjiatang, Sandun 310030 Westlake District, Hangzhou China | |
| Ševilka serije | LOT | Ševilka proizvodne serije |
| Aparat tipa BF | # | |
| Navodila za uporabo | # | Upoštevajte navodila za uporabo. |
| Stopnja zašcite pred vodorom trdnih delcev in vode | IP XD Sistem kodifikaciye, ki kaže stopnjo zašcite, ki jo ohišje elektristani opreme zagotavlja pred dostopom do nevarnih delov in pred vodorom trdnih delcev ali vode. Zagotavlja dodatne informacije o tej zašiti. | |
| Pozor, gleje navodila za uporabo. | # | Pozor, preberite priložene dokumente. Pred uporabo naprave preberite ta navodila za uporabo. Pri uporabi naprave prav takao pozorno upoštevajte ta navodila. |
| Priglašeni organ | CE0197 | |
| Zastopnik za Evropo | ECREP | Name: Prolinx GmbH Add: Brehmstr.56, 40239 Dusseldorf Germany Tel: 0049-2131 40519680 |
| Öpadna elektricna in elektronska oprema (OEED) | # | Naprave ne smete odstraniti skupaj z drugimi gospodinjskimi opadki, ko se ji iztečeŽiviljenjska doba. |

PRED UPORABOTERMOMETRA PREBERITE VSA NAVODILA, ZLASTI GLAVNA VARNOSTNA
OPOZORILA:
Poskrbite, da boste med uporabo tega proizvoda upostevali vsa spodnja opozorila. Vsako odstopanje od teh opozoril lahko vpliva na natanncost rezultatov meritev.
- Za pojasnila o izmerjeni temperaturi se obrnite na zdravnika. Postavitev diagnoze in uvedba zdravljenja brez mmenja zdravnika sta lahko tvegani.
- Ne dotikajte se opticne lece.
Termometer ne sme biti v blizini virov toplate, kot so peci, radiatorji in drugo.
- Naprave ne uporabljaje v prostorih, kjer se uporabljajo razpršila ali se zaradi zdravstvenih razlogov uporablja kisik.
Termometra nikoli ne izpostavljate neposrednim soncim zarkom, visoki temperaturi, vlagi ali soli.
Termometra ne pomocite v vodo. - Pazite, da termometer ne pade na tla. Ne uporabljajte ga, ce je poskodovan.
- Napravo je treba uporabljati pri sobni temperaturi od 10^ / 50^ do 40^ / 104^ .
Termometra ne izpostavljaje elektricnim udarom.
Termometra ne izpostavljate skrajnim temperaturam, visjim od 55^ / 122^ ali nizjim od -20^ / -4^.
Termometra ne uporablajte. cje relativna vlaiznost vecja od 95% ali nizja od 15%
Termometra ne uporablajte v blizini mochnih elektromagnetinh polj. kakrsna so v brezicih ai mobilnih telefonih. - Merjenje je lahko nenatancno, ce je celo prekrito z lasmi, kapo ali ruto.
Pred vsakim merjenjem temperature počakajte, da mine majmanj 30 minut od prhanja, telesne vadbe, obroka ali pitja. - Priporocamo, da je termometer v prostoru vsaj 10 minut pred uporabo.
- Ob težavah z napravo se posvetujte prodajalcem.
- Naprave ne poskusajte popraviti sihi.
- Naprave ne razstavite v celoti.
- Naprave ne smejo uporabljati osebe, vkljućno 2 otroki, 2 zmanjsanimi telesnimi, Čutnimi ali duševnimi sposobnostmi ali osebe s pomanjkanjem izkušenji ali znanja, razen Če jih pri uporabi naprave nadzira ali jim svetu je oseba, odgovorna za njihovo varnost. Pazite, da se otroci ne bodo igrali z napravo.
Termometer uporablajte izkljucno za namene, opisan v teh navodilih.
Termometer je bil nastavljen pred izhodom iz tovarne. Zato vam ga ob prvi uporabni ni treba nastavit.
Celni termometer s senzorjem se uporablja le za merjenje temperature na celu. Ne uporablajte ga za merjenje temperature v Danki, ustih, ušesih ali pod pazduho.
V splošnem je telesna temperatura majnižja zjutraj in se Čez dan zviša. Zato telesno temperaturo merite ob istem Času in pod enakimi pogoji. - Temperaturo je treba izmeriti na območju med obrvmi in lasnimi koreninami.
Termometra ne postavlajte na brazgotine, problematicno kozo, odprte rane ali odrgnine in ga ne uporabl-jajte, ce imate telesne poskodbe.
Če jemljete zdravila, se posvetujte z zdravnikom. Vaša telesna temperatura bi lahko bila zaradi tega visja. - Učinkovitost termometra se lahko poslabša, Če se uporablja ali shranjuje zunaj prostorov.
Termometer je primeren le za notranjo uporabo.
LASTNOSTI
Nacina telo in predmet : Ta celni termometer za merjenbe brez stika omogoca merjente telesne temperature in temperature predmetov. Merilno obmoje v naclinu predmet je od 0 do 100^ (od 32 do 212^ ). To pomeni, da lahko z njim poleg telesne temperature merite tudi temperaturo na povrsini predmetov, kot je upisan o v nadaljevanju.
Preprosta uporaba brez tveganja: Zaradi ergonomske oblique je ta termometer preprost za uporabo, tak da lahko zlahka izmerite temperaturo. Merjenje in odcitavanje temperature vam vazamte le sekundo.
Kontrolna lučka in zvočna opozorila: Če je telesna temperatura visja od 37,5 °C. zasveti rdeča lučka in zašlisi se 10 piskov.
- Funkcija spomina : Termometer omogoca shranitev do 20 meritev temperature.
- Samodejni izklop : Termometer se samodejno izklopi po 60 sekundah neuporabe.
- Merjenje: Meritveni interval je 15 sekund in razdalja za merjenje je 1 cm.
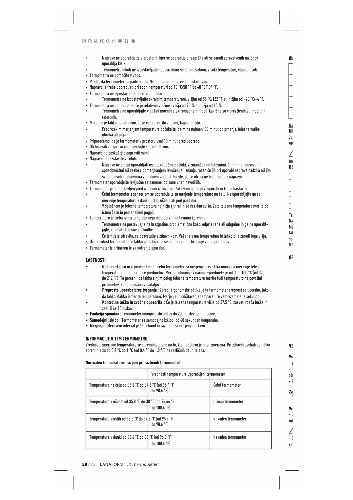
Vrednost izmerjene temperature se spreminja glede na to, kje na telesu je bila izmerjena. Pri zdravih osebah se lahko spreminja za od 0,2^ do 1^ (od 0,4^ do 1,8^ ) na razlichnih delih telesa.
Normalen temperaturni razpon pri razlichnih termometrih
| Vrednosti temperature Uporabljeni termometer | ||
| Temperatura naČelu od 35,8 °C do 37 | 8 °C (od 96,4 °Fdo 98,6 °F) | Čelni termometer |
| Temperatura v ušesih od 35,8 °C do 38 | 8 °C (od 96,44 °Fdo 100,4 °F) | Ušesni termometer |
| Temperatura v ustih od 35,5 °C do 37 | 5 °C (od 95,9 °Fdo 98,6 °F) | Navaden termometer |
| Temperatura v danki od 36,6 °C do 38 | 8 °C (od 96,8 °Fdo 100,4 °F) | Navaden termometer |
Obicajne temperature glede na starost
| Starost Temp. °C | |
| od 0 do 2 let od 36,4 do 38,0 | |
| od 3 do 10 let od 36,1 do 37,8 | |
| od 11 do 65 let od 35,9 do 37,6 | |
| >65 let od 35,8 do 37,5 |
Nasvet Lanaforma
Nikoli neprimerjate temperatur,ki ste jih izmerili zrazlicnimi termometri.
Zdravniku poveje, s kaksim termometrom ste izmeriti telesno temperaturo in na katerem delu telesa. To upostevaite tudi pri postavljanju lastne diagnoze.
Termometer se lahko segreje, ce je pred merjenjem temperature predolgo v rokah. To lahko vpliva na rezultat merjenja.
DEJAVNIKI, KI VPLIVAJO NA TELESNO TEMPERATURO
Individualna presnova posameznika
Starost: Pri dojenckih in majhnih otrocih je telesna temperatura visja kot pri odraslih. Pri otrocih hitreje in pogosteje prihaja do vecijh spreememb temperature. S starostjo se obicajina telesna temperatura zniizije.
- Oblačila
Zunanja temperatura
- Cas dneva: Telesna temperatura je zjutraj nizja in se proti večeru zvišije.
- Dejavosti
Telesne dejavosti in nekoliko manj mozganske dejavosti povecujejo telesno temperaturo.
Nasvet Lanaforma
Merjenje telesne temperature prikaze trenutno vrednost meritve za osebo. Ce niste prepricani, kako razloziti rezultate, ali ce dobite neobicajne vrednosti (npr. vrcina), se posvetujte z lececem zdravnikom. To velja tudi pri manjsih spremembah temperature, c so ob njei opazni sie drugi simptomi bolezni, npr. nemir, mochno potenje, rdeica, visoka frekvenca srcega utripa, srni kolaps.
OPIS NAPRAVE
-
Uporabite dve enaki alkalni bateriji AAA 1,5 V. Ne uporablajte baterij po izteku njihovega datuma uporabe. Odstranite bateriji, ce termometra dalj casa ne boste uporabljali.
-
Da bi preprecili nesreco ali nepravilno uporabo, hranite baterije zunaj dosegao otrok.
Baterij odstranite skladno z veljavnimi lokalmimi predpisi. Da preprecite nearnost pozara ali eksplozije, baterij ne segrevaje in ne sezigaje.
-Baterij ne polnite.
-Baterij ne pogoltnite.
-Baterij ne izpostavlijate ognju, ker lahko eksplodirajo.
- Ne razstavljaje naprave, razen prostora za baterije.
- Priporocamo, da baterijo odstranite, ce termometra dalj casa ne boste uporabljali.
NASTAVITVE
1. Izbira nacin
Ko je termometer vklopljen, pritsinite tipko >naic « Poeni sekundi se na zaslonu prikaze al. Če Želite zamenjati način, še enkrat pritsinite tipko Na zaslonu se bo samodejno prikazal način »telo«, Če izberete In naćin »predmet«, Če izberete i (slikéž in B).

Opomba: Način »telo« omogoca merjenje telesne temperature. Naćin »predmet« omogoca merjenje temperature predmeta ali sobne temperature.
2. Izbira merske enote
Vklopite termometer. Po eni sekundi se na zaslonu prikaze ^ ali ^ . Pritisnite tipko ^/^ . S tipko ^/^ prehajate zene merske enote na drugo. Na zaslonu bo samodejno prikazana enota Celzij, ce je izbran ^ , in enota Fahrenheit, ce je izbran ^ (sliki 9 in 10).
NAVODILA ZA UPORABO
Merjenje
Merjenje telesne temperature
1.Pritisnite gumb za vklop/izklop. Na zaslonu se prikazejvo vsi simboli. Termometer odda kratek pisk bip*, nato zaene na zaslonu utripati enota ^ C / ^
2.Pritisnite gumb naacin za izbiro naica telo. Merska enota za temperaturo utripa (sika 7).
3.Senzor postavite centimeter od cela, pazite, da je vzporedno s celom, in izmerite temperato. Termometer samodejno izmeri temperato, ko utripa modra lucka LED (sika 11).
- Za prikaz meritve so potrebne tri sekunde. Ko je merjenje koncano, se zaslisijo trije katki piski bip in nazaslonu se prikaze izmerjena temperatura, ki utripa zeleno (slika 12).
Opomba:
- Če je temperatura nizja od 37,5 °C (99,5 °F), zasveti zelena lučka LED.
- Ce je temperatura visja od ali enaka 37,5 °C (99,5 °F) in nizja od 43,0 °C (109,4 °F), zasveti rdeca lucka LED in zaslisi se 10 katkih piskov » bip «.
-Termometer bo znova izmeril temperaturo sele, ko bo znova utripala enota ^ C / F - Ce je senzor postavljen poševno na Čelo, bo sobna temperatura vplivala na meritev.
- Koza dojenčov se zelo hitro odživa na sobno temperatu. Zato njihove temperature ne merite s termometrom za merjenje brez stika med dojenjem in po njem, saj je temperatura njihove kože takrat lahko nižja od notranje telesne temperature.
- Termometer se samodejno izklopi po 60 sekundah neuporabe.
Merjenje temperature predmeta
- Pritisnite tipko za vklop/izklop. Na zaslonu se prikazej o vsi symboli. Zasliši se kratek pisk «bip«, nato začne na zaslonu utripati enota °C/°F.
- Pritisnite tipko naacin za izbiro naica predmet . Merska enota za temperaturo utripa (sika 8).
- Senzor postavite 1 cm od predmeta, pazite, da je vzporedno z njim, nato izmerite temperaturo. Termometer samodejno izmeri temperaturo. Utripa modra lucka LED (sika 13).
- Ko je merjenje končano, se zaslísjo trije katki piski »bip«. Hkrati se na zaslónu prikaže izmerjena temperatura v zeleni barvi (slika 14).
Opomba:
- Termometer se samodejno izklopi po 60 sekundah neuporabe.
- Ker lahko okolje vpliva na temperaturo predmeta, lahko izmerjeno vrednost uporabite le kot referencing.
- Če je senzor postavljen poševno na predmet, bo sobna temperatura vplivala na meritev.
- Termometer se samodejno izklopi po 60 sekundah neuporabe.
Merjenje sobne temperature
- Pritisnite tipko za vklop/izklop. Na zaslonu se prikazej ovs symboli. Zaslisi se kratek pisk «bip«, nato začne na zaslonu utripati enota °C/°F.
- Pritisnite tipko >nacin « za izbiro nacin « predmet «. Merska enota za temperatouro utripa (slika 8).
- Prst položite na tribarvno lučko LED (slika 1, točka 2). Termometer samodejno izmeri temperaturo.
SHRANITEV V SPOMIN
Prikaz shranjenih meritev
- Termometer samodejno Shrani 20 izmerjenih temperatur. Ko je shranjenih 20 rezultatov. zadnji izmerjeni rezultat zamenja njstarejsega.
Pregled shranjenih meritev
-Ko je termometer izkloptjen, pritsinite tipko naacin 一 za izbiro naica spomina. Ob vsakem pritsiku na tipko naacin se poleg symbola m prikaze stevilka (od 1 do 20). Poeni sekundi se prikaze izmerjena temperatura. Naslednje meritve se prikazejo ob naslednjem pritsiku na tipko naic (sika 15).
Qoomba:
- Rezultat 1 je zadnja meritev in rezultat 20 najstarejsa.
-LuckaLEDzasveti zeleno alrdece glede na shranjen rezultat.
Izbris shranjenih meritve
- Če Želte dokončo izbrisati vse shrjene reultate merjenja. 5 sekund držite tipko »način«, dokler se ne prikaže Cl/, ko je termometer izklopljen. Cl rato utripne trikrat, da se izbrišeo vsi shrjeni reultati (slika 16). Zaslíso je trije krati piski »bip«. Nato pritisnite tipko »način« .na zaslou se prikaže enota, kar oznáčujé, da je spomin prazen.
POSEBNIPRIMERI
Obvestila o napaki
Spodaj prikazani symboli se prikazejo, ko je temperatura neobicajna.
| Simbol Vzrok | |
| Ht | V načinu »telo« je rezultat prikazan z rdečo lučko LED, Če je izmerjena temperatura višja od 43 °C (109,4 °F). |
| Lt | V načinu »telo« je rezultat prikazan z rdečo lučko LED, Če je izmerjena temperatura nižja od 32 °C (89,6 °F). |
| Hc | V načinu »predmet« je rezultat prikazan z rdečo lučko LED, Če je izmerjena temperatura višja od 100 °C (212 °F) ali Če je sobna temperatura višja od 40 °C (104 °F). |
| Lr | V načinu »predmet« je rezultat prikazan z rdečo lučko LED, Če je izmerjena temperatura nižja od 0 °C (32 °F) ali Če je sobna temperatura nižja od 5 °C (41 °F). |
| Prazne baterij: izrabljeni bateriji zamenjajte z novima. | |
| Err | Termometer jePokvarjen ali izpostavljen elektromagnetnim poljem. |
VZDRZEVANJE IN SHRANJEVANJE
Vzdhrzevanje termometra
-Termometer hranite v etuju, ko ga ne uporabljate.
- Očistite ga z mehko in suho krpo. Termometra ne Čistite z abrazivnimi ali hlapljivimi izdelki.
-Termometra ali njegovih delov nikoli ne potopite v vodo.
Servisiranje
| Termometra ne Čistite s solventom nafte, razredčilom, bencinom itd. | Termometer hranite v Čistem in suhem prostoru. Termometra ne izpostavljaje zelo visoki ali nizki temperaturi, VLCagi in sončnim Žarkom. |
| Odstranite bateriji. Če termometra vsaj tri mesece ne boste uporabljali. | Termometra nikoli ne uporabljale, Če je izpostavljen elektromagnetim interferencam (npr. v blizini prenosnega Telefona, mikrovalovne pečice). |
Opomba:
- Lanaform ne more biti odgovoren za nepravilno delovanje termometra, ce se ne upostevajo navodila za vzdhrzevanje in servisiranje.

TEHNICNE LASTNOSTI
| Opis Infrardeči Želni termometer za merjenje brez stika | |
| Zaslon Digitalni zaslon LCD | |
| Mesta merjenja Čelo in povrsina predmetov | |
| Temperaturni razponi Način »telo«: 32-43 °C (89,6-109,4 | °F) - Način »predmet«: 0-100 °C (32 °F-212 °F) |
| Merska enota za temparato 0°C/°F | |
| Ločljivost prikaza 0,1 °C/°F | |
| Natančnost ±0,2 °C (±0,4 °F) (razpion 36-39 °C (96,8-102,2 °F)) | |
| Funkcija spomina Shranitev 20 izmerjenih vrednosti | |
| Zvočni alarm Ob vklopu in na začetku merjenja se zasliši | kratek pisk »bip«: Če je izmerjena temperatura nizja od 37,5 °C (99,5 °F), se zasliši dolg pisk «bip«. Če je izmerjena temperatura višja od ali enaka 37,5 °C (99,5 °F), se zaslišita dva kratka piska «bip«. Če termmeter ne deluje pravilno, se zaslišijo trije katki piski «bip«. |
| Lučka LED Modra: merjenje temperature - Zelena: izmerjena | temperatura < 37,5 °C (99,5 °F) - Rdeča: izmerjena temperatura ≥ 37,5 °C |
| Vir napajanja 2 alkalni bateriji AAA | |
| Samodejni izklop Po 1 minuti | |
| Teža termometra Približno 80 g (brez baterij) | |
| Velikost termometra 161,0 (dolžina) x 53,8 (širina) x 39,0 | (višina) mm |
| Živiljenjska doba baterij Do 300 uporab ob normalnih pogojih | |
| Pripomočki Navodila za uporabo | |
| Pogoji delovanja | Način »telo« 10-40 °C (50-104 °F) Način »predmet« 5-40 °C (41-104 °F) |
| Pogoji shranjevanja | Temperatura: od -20 do +55 °C (od -4 do +122 °F). Vlžnost: 15-95 % Pazite, da termmeter med preno-som ne pade in da ni izpostavljen soncu ali dežu. |
OMEJENA GARANCLIJA
LANAFORM jamci, da ta izdelek nima nobene napake v materialu in izdelavi, in sicer od datuma nakupa dalje za obdobje dveh let, z izjemo spodaj navenenih primerov.
Garancija LANAIFORM ne krije skode, ki bi nastala zaradi normalne obrabe tega izdelka. Poleg tega garancija za tana LANAIFORM-ov izdelek ne krije skode, ki je posledica kakrsnekoli zlonamerne ali neprvilne uporabe, nezgode, namestitve neodobre nodatne opreme, modifikacije izdelka ali kakrsnekoli druge situacije, na katero LANAIFORM ne more vplivati.
LANAFORM ne bo odgovarjal za kakrsnokoli vrsto nakligne, posledicne ali posebne skode.
Vse implicnte garancije za ustreznost izdelka so omejene na obdobje dveh let od datuma prvega nakupa, v kolikor je mogoce predloziti kopijo dokazila o nakupu.
Po sprejemu bo LANAFORM popravil ali zamenjal vaš aparat, odvisno od primera, in vam ga postal nazaj. Garancija se izpolni samo preko servisnegа centra LANAFORM. V primeru, da je kakrsnokoli vzdřevanje tega izdelka izvajala katerakoli druga oseba, ne pa servisi center LANAFORM. se ta garancija iznici.

Pripadajoci nasveti za odstranjevanje odpadkov :
- Embalaza je v celoti sestavljena iz materialov, ki niso nevanni okolju in ki jih lahko odlagate kot sekundarne materiale v vašem komunalnem centru za sortiranje. Karton lahko odložite v zbiralni zabojnik za papir. Ovojne folije je treba odlagati v vašem komunalnem centru za sortiranje in reciklaranje.
- Ko ne boste več uporabljali aparata, ga odstranite na okolju ustrezen nacin in v skladu z zakonskimi predpisi. Pred tem odstranite baterijo in jo odložite v zbirno posodo za kasnejso reciklažo.
Pozor: rabljenih baterij nikakor ne smete dajati v gospodinjske odpadke !!!
IZJAVA O SKLADNOSTI
| IZ JAVA O SKLADNOSTI CE 0197 |
| Medicinski pripomoček - Razred IIa |
| Proizvajalec, podjetje LANAFORM, izjavla, da je medicinski pripomoček «Thermometer IR« LA090112 skladen z Evropsko direktivo 93/42/ES o medicinsih pripomočkih, kakor je bila nazadnje spremenjena z Direktivo 2007/47/ES. |
KONTAKTI PODATKI
Proizvajalec: Hangzhou Universal Electronic Co., LTD 38 Yangjiatang, Sandun 310030 Westlake District, Hangzhou China
Distributor: Lanaform SA Rue de La légende 55, B-4141 Belgium
Pooblaščeni zastopnik za Evropo: Name: Prolinx GmbH Add: Brehmstr.56, 40239 Dusseldorf Germany
Tel: 0049-2131 40519680
Zahvalujemo vam na kupnji uredaja THERMOMETER IR" marke LANAFORM. Kombirajuci strucnost, preciznost i jed-nostavnost uporabe, toplomjer THERMOMETER IR" omogucije mjerenje ceone temperature, temperature predmeta i sobne temperature. Toplomjer je pogodan za mjerenje kod kuce. Zahvalujuci svojem ergonomskom obliku, toplomjer THERMOMETER IR" omogucije beskontaktno automatsko mjerenje temperature na udaljenosti od 1 cm za manje od sekunde. Dovoljno je da usmjerite toplomjer THERMOMETER IR" prema celu i odmah ce se prikazati temperatura.