MDE 1200 - Boor AEG - Gratis gebruiksaanwijzing en handleiding
Vind de handleiding van het apparaat gratis MDE 1200 AEG in PDF-formaat.
Gebruikersvragen over MDE 1200 AEG
0 vraag over dit apparaat. Beantwoord die u kent of stel uw eigen vraag.
Stel een nieuwe vraag over dit apparaat
Download de handleiding voor uw Boor in PDF-formaat gratis! Vind uw handleiding MDE 1200 - AEG en neem uw elektronisch apparaat weer in handen. Op deze pagina staan alle documenten die nodig zijn voor het gebruik van uw apparaat. MDE 1200 van het merk AEG.
GEBRUIKSAANWIJZING MDE 1200 AEG
NL Gebruiksaanwijzing
Lees en let goed op deze adviezen.
DK Brugsanvising
| Furação com broças de coroa | Diferentemente das brocas normais, as brocas de coroa apenas cortam um anel no material. Dado que com este processo menos quanto a quantidade de material é Removedo, menor potência é necessária e a furação é nitidamente mais<rapida do que oprocesso com brocas normais.A ponta chata da BROCA é premida de encontrar à elasticidade do material, mas não penetrate no material ao furar. No final do processo de furação, a ponta chata da BROCA empurra o material cortado atravesda broca e do respectivo furo. |
| Furação em aço fico e metais não ferrosos | A maior potência de retençao é atingida quando se utilizes aço com um baixo teor de carbono e uma espessura minima de material de pelo menos 12 mm.Quando furar em aço com uma espessura menor que 6 mm ou em metais não-ferrosos, deve ser fixada na peca de trabalho uma base de aço com pelerços 250 X 250 X 12 mm. A coluna de suporte pode fazer ser colocada sob esta base. |
| Furação em materiais arredondados e fortemente amolgados | Aplitude a coluna de suporte com o lado maior da base magnética paraleamente ao eixo da peca de trabalho.Preencha os espacios livre por baixo da base magnética com calços ou barras de aço de tal modo que se consiga um Campo magnétrico sufficientemente forte nas bobines magnéticas e que passare atravesda peca de trabalho às base Ao consigui-se isso o eixo do berbequim deve estar apontado exactamente para o centro da peca de trabalho ou o berbequim possa mover-se ligeiramente na lateral. |
| Manutenção | De tempos a tempos, Coloque umas gotas de oleo na cremalheira. Os rolamentos do veio de alimentação são auto-cortantes e não devem ser lubricados.Lubrificque a superfíce da calha de posicionamento com massa Molykofe Utilizar unicolemente acessórios e peças sobressalentes da AEG. Sempre que a substituição de um componente não tenha sido describa nas instruções, está de toda a convenência mandar executar esse trabalho a um Serviço de Assistência AEG (veja o folheto Garantia/Endereções de Serviços de Assistência).A pedido e mediante indicação da referência dedez números que consta da chapa de caracteristicas da区内a, pode requerer-se um desinho explosivo da ferramenta eletrica a: Atlas Copco Electric Tools GmbH, Postfach 320, D-71361 Winnenden. |
| Acessórios | Veja nos��isos catálogos o grande número de acessórios com os respectivos他们在都 encomenda. |
| PORTUGUES | 30 |
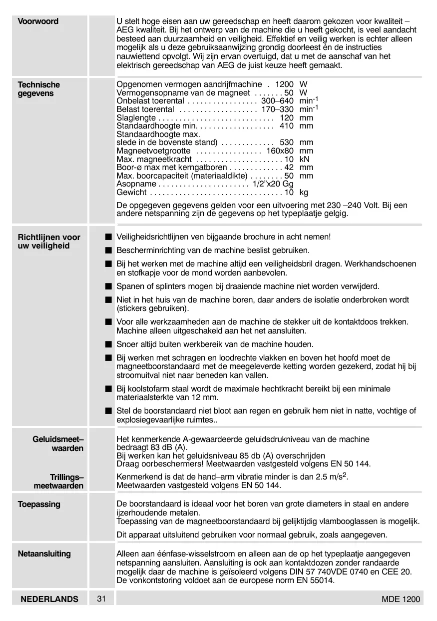
| Voorwoord | U stelt hoge eisen aan uw gereedschap en heeft waarom gekozen voor kwaliteit – AEG kwaliteit. Bij het ontwerp van de machine die u hebigt gekocht, is heel aandacht besteed aan duurzaamheid en verilgheid. Effektief en verilg werkken is echter alleen möglich als u deze gebruiksaanwijzing grondig doorleest en de instructies nauwrittend opvolgt. Wij zijn ervan overtuigd, dat u met de aanschaf van het elektrisch gereedschap van AEG de juist keuze heeft gemaakt. |
| Technische geevens | Opgenomen vermogen aandrijfmachine . 1200 W Vermogensopname van de magneet . 50 W Onbelast torental . 300-640 min-1 Belast torental . 170-330 min-1 Slaglengte . 120 mm Standaardhoogte min . 410 mm Standaardhoogte max. slede in de bovenste stand) . 530 mm Magnetevoetgrotte . 160x80 mm Max. magneetkracht . 10 kN Boor-ø max met Kerngatboren . 42 mm Max. boorcapaciteit (materialaldekte) . 50 mm Asopname . 1/2"x20 Gg Gewicht . 10 kg De opgegeven geevens gelden voor een uitvoering met 230-240 Volt. Bij een andere netspanning� en de geevens op het typeplaatje gelgig. |
| Richtlijnen voor uw verilgheid | Veiligheidsrichtlijnen ven bijgaande brochure in acht nemen! Bescherminrichting van de machine beslist gebruiken. Bij het werken met de machine altijd een verilgheidsbril dragen. Werkhand Schoenen en stofkapje voor de mond worden aanbevolen. Spanen of splinters mogen bij draaiende machine Niet worden verwijderd. Niet in hetuis van de machine boren, waar anders de isolatie onderbroken worden (stickers gebruiken). Voor alle werkzaamheden aan de machine de stekker uit de Kontaktdoos trekken. Machine alleen uitgeschakeld aan het net aansluten. Snoer altijd buiten werkbereik van de machine houden. Bij werken met schragen en loodrechte vlakken en boven het hoofd moet de magneeetboorstandaard met de meegeleverde ketting worden gezekerd, zDat hij bij stroomuitval Nietaar beneden kan vallen. Bij koolstofarm staal worden de maximale hechtkracht bereikt bij een minimale materiaalsterkte van 12 mm. Stel de boorstandaard Niet bloot aan regen en gebruik hem Niet in natione, vochtige of explosiegevaarlijke ruimtes.. |
| Geluidsmeet-waarden | Het kenmerkende A-gewaardeerde geluidsdrukniveau van de machine bedraagt 83 dB (A). Bij werken kan het geluidsniveau 85 db (A) overschrijden Draag oorbeschermers! Meetwaarden vastgesteld volgens EN 50 144. Kenmerkend is dat de hand-arm vibratie minder is dan 2.5 m/s2. Meetwaarden vastgesteld volgens EN 50 144. |
| Trillings-meetwaarden | |
| Toepassing | De boorstandaard is ideaal voor het boren van groe diameters in staal en andere ijzerhoudende metalen. Toepassing van de magnetoobstandaard bij gelifktijdig vlambooglassen is mogelijk. Dit apparaatuitsuiutend gebruiken voor normala gebruik, zoals aangegeven. |
| Netaansluiting | Alleen aan énfase-wisselstroom en alleen aan de op het typeplaatje aangegeven netspanning aansluiten. Aansluiting is ook aan contactdozen zonder randaarde mogelijkaar de machine is geisoleerd volgens DIN 57 740VDE 0740 en CEE 20. De vonkontstoring voldoet aan de europese norm EN 55014. |
| NEDERLANDS | 31 MDE 1200 |

Veranderingen: Tekst, afbeelding en gevevens voldoen aan de technische stand in de tijd dat het geheel gedrukt worden. Veranderingen in de zin van verdere ontwikkelingen van荃类产品 voorbehonden.
| Geleideslede instellen | Voor alle werkzaamheden aan de machine de stekker uit de Kontaktdoos trekken. De geleideslede is van fabrikswege zodanig ingesteld dat hij in elle stand blijft staan en Niet door het gewicht van de machine waar beneden zakt. Indien de geleideslede要去 worden nagesteld, dient u als volgt te werk te gaan: vergrendelingsmoer met een steeksleutel SW 8 losmakers, geleideslede met inbussleutel SW 2,5 instellen en veiligheidsmoer waar vastzetten. | |
| Veiligheidsketting | Bij werken met schragen en loodrechte vlakken en boven het hoofd要去 de magneetboorstandaard met de meeggeleverde ketting worden gezekerd, zDat hij bij stroomuitval Niet maar beneden kan vallen. De veiligheidsketting要去 zodanig worden aangebracht, dat de boorstandaard zich bij stroomuitval van de gebruiker af beweegt. | |
| Het ingebruiknemen. | Voor optimale bedrijfszekerheid is de magneeboorstandaard met een hoofdschakelaar uitergerust. De MDE 1200 beschikt tevens over een temperatuurgestuurde overbelastingsbeveiliging. | |
| Apparaat inschakelen | Drukschakelaar indrukken. Controlelampje rood lichten op. | |
| Magneet inschakelen | Druckschakelaar indrukken. Een korte alarmtoon signaleert akoestisch het opgebouwde magneetveld en het geel controlelampjelicht op. | |
| Maschine inschakelen | Groene drukschakelaar indrukken. | |
| Uitschakelen | Groene drukschakelaar indrukken.. | |
| Maschine uitschakelen | ||
| Magnet uitschakelen | Drukschakelaarindrukken Een langere alarmtoon LASTZich horen. Het magneetveld wordt na ca. 3 secondes afgebouwd. | |
| NEDERLANDS | 33 | MDE 1200 |
| Apparaat uitschalelen | Drukschakelaar indrukken. |
| Uit veiligheidsgronden ligt de drukknop van de hoofdschakelaar in ingeschakelde positie verdiept. Indien de machine bijingeschakelde magnee langere tijd Niet worden gebruikt, herinnert een kort op elkaar volgend signaal u elke 5 minuten aan deze situation.. Belastingafhankelijkke motorbescherming - thermisch geregelde uitschakeling bij hoge motorbelasting. De machine loopt langzaam, zodat de motor wikkeling gekoeld worden. Eerst wonneer voldoende koeling is opgetreden, is het waar mee lukt de machine in te schakelen, hiervoor machine uit- en inschakenen. | |
| Onbelast toerental installen | Toerentalinstelling met stelwiel. A = laagste toerental .... G = grootste toerental .... De tabel geeft richtwaarden bij het gezubrik van kerngatboren. |
| Plaatsen gereedschap Kernogatboren toepassen | Voor alle werkzaamheden aan de machine de stekker uit de kontaktdoos trekken. De opnameschacht voor kerngatboren要去োij gemonteerd. 1. Centreerpunt in de opnameschacht steken. 2. Kernogatboor in de opnameschacht steken. De afgevlakte zichden moeten aan de boringen van de bevestigingsschroeven wijzen. 3. Kernogatboor met de twee schroeven vastdraaien. |
| Het boren | Het oppervlak van het te boren materiaal reinigen. Verwijder roest, vuil en vet. Tevens lasspetters of oneffenheden verwijderen. Een dunne verflaag is nicht storend. Merk deplaats waar het boorgat要去komen en zet de boorstandaard met de boorpunt boven deze marketing. Hoofdschakelaar en magnetschakelaar inschakenen en testen of de boorstandaard onberispelijk is bevevestigd. |
| NEDERLANDS | 34 MDE 1200 |
| Boren met Kerngataboren | Kerngataboren boren in gegenstelling tot spiraalboren slechts een ring in het te bewerken materiaal. Daar bij deze handlingering minder materiaal要去 worden verspaand, is een gingere prestatie noodzakelijk en de boorvoortgang is beduidend sneller dran bij spiraalboren. De centreerpunt worden door veerkrachtegen het materiaal gedrukt, dringt bij borenECHTERNiet in het materiaal. Aan het einde van het boorproces drukt de centreerpunt het geboorde materiaal uit de boor en het boorgat. |
| Boren in dunner staal en NE-metalen | De maximale magneeetkracht van de magneehtboorstandaard worden bereikt bij koolstofarm staal met een minimale dikte van 12 mm. Voor boren van staal met een dikte minder dan 6 mm en in NE-metalen要去ECHTEREen staalplaat van minstens 250 x 250 x 12 mm op het materiaal worden bevestigd en verrolgens kurz u de boorstandaard op dezeplaat zetten. |
| Boren in ronde en sterk gebogen materialien | Plaatss de boorstandaard met de lange zijde van de magneeetvoet parallel aan de as van het te boren materiaal. De vrije ruimte onder de magneeetvoet met staalwiggen of staalprofielen zouitvullen, dat zoveel möglichk magnetische krachtlijnen van de magneekt Kern over het materiaal maar de magneeetvoet lopen. De as van de boor moet waar bij nauweurig op het centrum van het te bewerken materiaal� zijgericht, bzw dat boor anderslicht zijwaarts kan "weglopen". Geef de vertanding van de tandstang vanijd totarend een paar druppeltjes olie. De lagers van de voedingsaandrijfas+zijn zichsmerend en mogen Niet worden gesmeerd. Het glijvlak van de slede met Molykote-vet smeren. Alleen AEG toebehoren en onderdenen gebruiken. Onderdenen welke nicht verweld worden, hunnen het beste door de AEG servicedienst verwisseld worden (zie Serviceadressen). Onder verwelding van het tiencijferige nummer op het machineplaatje is desgewenst een doomsnedetekening van de machine verkrijgbaar bij: Atlas Copco Tools Nederland, Postbus 200, 3330 AE Zwijndrecht, Nederland 852. |
| Extra toebehoren | Het omvangrijke extra toebehorenassortiment met bestelnummer vindt u in once katalogi. |
| NEDERLANDS | 35 |
| Forord | AEG kan tilbyde den krævende og ønskete kvalitet. Vi har fremstillet et holdbart og sikkest elektrøværktøj til Dem. Laes brugsanvisningen god'tigenm, før vaerktojet tages i brug, SSE De er sikker på at benytte elektroværktøj på en effektiv og sikker på. Vi er sikre på, at De har truffet det rigtige valg ved atiske et elektrøværktøj fra AEG. |
| Tekniske data | Boremaskinens nominelle strømforbrug . 1200 W Magneteffekt . 50 W Omdrejningstal, ubelastet . 300-640 min-1 Omdrejningstal max., belastet . 170-330 min-1 Slaglaengde . 120 mm Hóje min. 410 mm Hóje max. (slæde i øverste position) . 530 mm Magnetfod . 160x80 mm Max. magnetkraft . 10 kN Boreø med kernehulbor . 42 mm Materiaetykke . 50 mm Spindeholder . 1/2"×20 Gg Vægt . 10 kg De angivne data gælder for en model med 230-240 V. Dataene på typeskiltet gælder ikke, hvis netspændingen afviger herfra. |
| Henvisninger til Deres sikkerhed | Følg sikkerhedsforskrifterne i vedlagte brochure! Maskinens sikkerhedsindretning bør ubetinget benytes. När der arbejdes med maskinen, skal man have beskyttelsebriller på. Beskytteseshandsker, skridsikre sko, horeværn og forskåde anbefales. Spaner eller splinter på违法犯罪, medens maskinen kær. Maskinens hus på违法犯罪, da den beskyttende isolering ellers ødelægges (brug plader, der klæbes på). Før ethvert arbejde ved maskinen skal stikket tages ud af stikdåsen. Maskinen sluttes kun udkoblet til stikdåsen. Tilslutningskablet holds hele tiden væk fra maskinen arbejsområde. Kablet ledes altid bort bag om maskinen. När der arbejdes på skrå og lodrette flader og over hovedhøjde, skal magnetostanderenen på smikret med den medleverede kæde, SSE den iftilæde af stromsvigt. Den maksimale holdekraft nám ved kulstoffattigt stål med en min. materiaetykke se på 12 mm. Borestanderen på økke udsættes for regn og på økke benytes i våde, fugtige aller eksplionsstruede rum. |
| Stojmále-værdier | Værktøjets A-vægtede lydtrykniveau er typisk 83 dB (A). Under arbejde med vaerktojet kan lydniveauet overstige 85 dB (A). Brug horeværn! Målevardier beregnes iht. EN 50 144. Hand-Arm vibrationsniveauet er typisk under 2.5 m/s2. Målevardier beregnes iht. EN 50 144. |
| Vibrations-mælevardier | |
| Anvendelse | Borestanderen kan benytes til boring af store huller i stål og andere jernholdige metaller. Magnetboresstanderen kan benytes samtidigt med at der lysbuesvejses. Produktet på anwendes på,anden på og til andre formål end foreskrevet. |
| Nettilsutting | Tilsuttes kun til enfase-vekselstrøm og kun til den netspænding, som er opgivet på mærkepladen. Tilsutting er øsgå mulig til stikdåser utden jordomskifter, da der foreligger en beskyttesisolering i henhold til hhv. DIN 57 740/VDE 0740 og CEE 20. Radiostoj svarer til den europæiske standard EN 55014. |
| DANSK | 36 MDE 1200 |

Wij verklaren dat dit produit voldoet aan de volgende normen of normatieve dokumenten: EN 50144,
EN 55014-1, EN 55014-2, EN 61000-3-2, EN 61000-3-3, overeenkomstig de bepalingen van de richtlijnen
98/37/EG, 73/23/EEG, 89/336/EEG