DAB EuroInox 30/50 M - Wasserpumpe

EuroInox 30/50 M - Wasserpumpe DAB - Kostenlose Bedienungsanleitung

Finden Sie kostenlos die Bedienungsanleitung des Geräts EuroInox 30/50 M DAB als PDF.

📄 84 Seiten Deutsch DE 💬 KI-Frage
Notice DAB EuroInox 30/50 M - page 14

Laden Sie die Anleitung für Ihr Wasserpumpe kostenlos im PDF-Format! Finden Sie Ihr Handbuch EuroInox 30/50 M - DAB und nehmen Sie Ihr elektronisches Gerät wieder in die Hand. Auf dieser Seite sind alle Dokumente veröffentlicht, die für die Verwendung Ihres Geräts notwendig sind. EuroInox 30/50 M von der Marke DAB.

BEDIENUNGSANLEITUNG EuroInox 30/50 M DAB

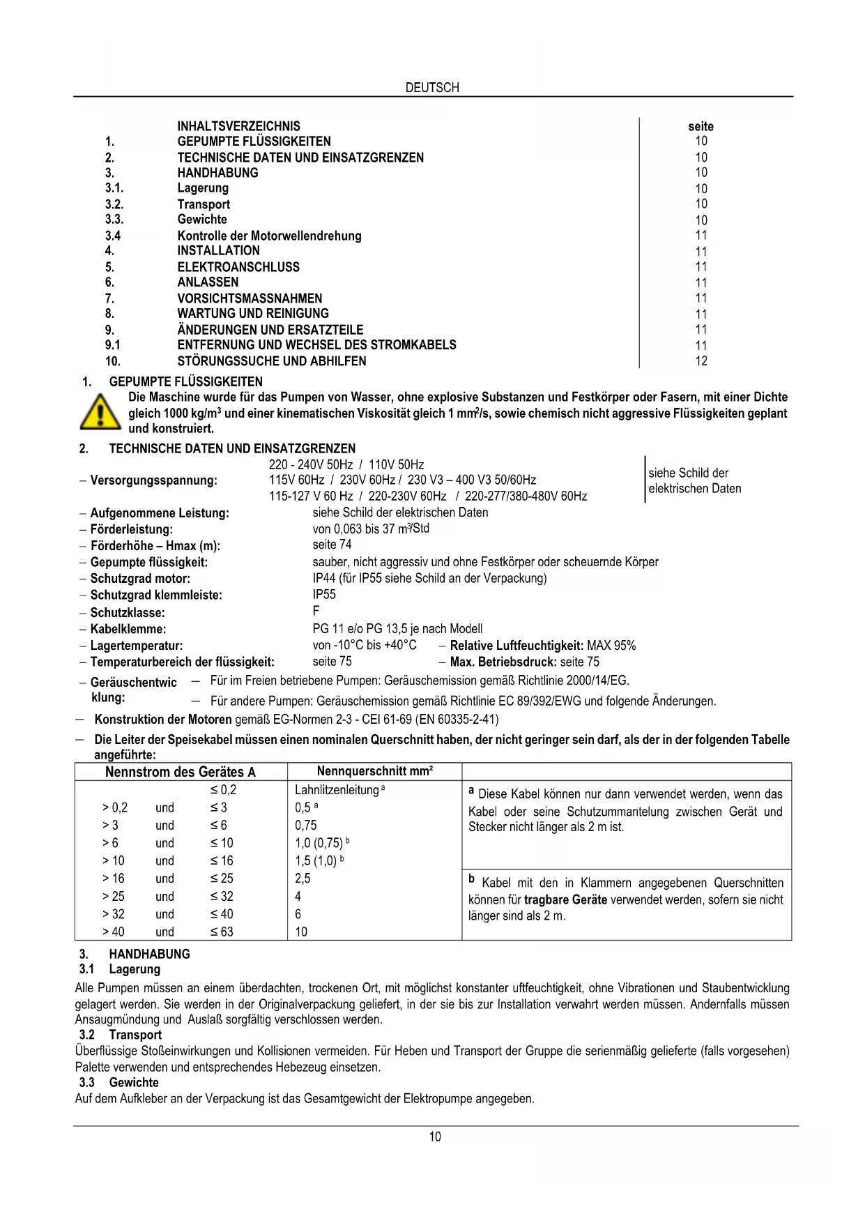
INHALTSVERZEICHNIS seite

GEPUMPTE FLÜSSIGKEITEN

TECHNISCHE DATEN UND EINSATZGRENZEN

Kontrolle der Motorwellendrehung

WARTUNG UND REINIGUNG

ÄNDERUNGEN UND ERSATZTEILE

STÖRUNGSSUCHE UND ABHILFEN

GEPUMPTE FLÜSSIGKEITEN

Die Maschine wurde für das Pumpen von Wasser, ohne explosive Substanzen und Festkörper oder Fasern, mit einer Dichte gleich 1000 kg/m

und einer kinematischen Viskosität gleich 1 mm

/s, sowie chemisch nicht aggressive Flüssigkeiten geplant und konstruiert.

TECHNISCHE DATEN UND EINSATZGRENZEN

− Versorgungsspannung:

220 - 240V 50Hz / 110V 50Hz

115V 60Hz / 230V 60Hz / 230 V3 – 400 V3 50/60Hz 115-127 V 60 Hz / 220-230V 60Hz / 220-277/380-480V 60Hz siehe Schild der elektrischen Daten − Aufgenommene Leistung: siehe Schild der elektrischen Daten − Förderleistung: von 0,063 bis 37 m

/Std − Förderhöhe – Hmax (m): seite 74 − Gepumpte flüssigkeit: sauber, nicht aggressiv und ohne Festkörper oder scheuernde Körper − Schutzgrad motor: IP44 (für IP55 siehe Schild an der Verpackung) − Schutzgrad klemmleiste: IP55 − Schutzklasse:

− Kabelklemme: PG 11 e/o PG 13,5 je nach Modell − Lagertemperatur: von -10°C bis +40°C − Relative Luftfeuchtigkeit: MAX 95% − Temperaturbereich der flüssigkeit: seite 75 − Max. Betriebsdruck: seite 75 − Geräuschentwic klung:

Für im Freien betriebene Pumpen: Geräuschemission gemäß Richtlinie 2000/14/EG. − Für andere Pumpen: Geräuschemission gemäß Richtlinie EC 89/392/EWG und folgende Änderungen. − Konstruktion der Motoren gemäß EG-Normen 2-3 - CEI 61-69 (EN 60335-2-41) − Die Leiter der Speisekabel müssen einen nominalen Querschnitt haben, der nicht geringer sein darf, als der in der folgenden Tabelle angeführte: Nennstrom des Gerätes A Nennquerschnitt mm²

≤ 0,2 Lahnlitzenleitung

Diese Kabel können nur dann verwendet werden, wenn das Kabel oder seine Schutzummantelung zwischen Gerät und Stecker nicht länger als 2 m ist. > 0,2 und ≤ 3 0,5

> 3 und ≤ 6 0,75 > 6 und ≤ 10 1,0 (0,75)

> 10 und ≤ 16 1,5 (1,0)

Kabel mit den in Klammern angegebenen Querschnitten können für tragbare Geräte verwendet werden, sofern sie nicht länger sind als 2 m

Lagerung Alle Pumpen müssen an einem überdachten, trockenen Ort, mit möglichst konstanter uftfeuchtigkeit, ohne Vibrationen und Staubentwicklung gelagert werden. Sie werden in der Originalverpackung geliefert, in der sie bis zur Installation verwahrt werden müssen. Andernfalls müssen Ansaugmündung und Auslaß sorgfältig verschlossen werden.

Transport Überflüssige Stoßeinwirkungen und Kollisionen vermeiden. Für Heben und Transport der Gruppe die serienmäßig gelieferte (falls vorgesehen) Palette verwenden und entsprechendes Hebezeug einsetzen.

Gewichte Auf dem Aufkleber an der Verpackung ist das Gesamtgewicht der Elektropumpe angegeben.DEUTSCH

Kontrolle der Motorwellendrehung Vor der Intallation der Pumpe sicherstellen, daß die beweglichen Teile frei drehen. Die Lüfterradabdeckung aus dem Sitz des hinteren Motordeckels ausbauen; mit einem Schraubenzieher auf die Kerbe der Motorwelle an der Belüftungsseite einwirken. Im Falle der Blockierung leicht mit einem Hammer auf den Schraubenzieher schlagen. Abb.A

Die Pumpen können noch geringfügige Mengen Wassers von den Proben enthalten. Sie sollten daher vor der endgültigen Installation kurz mit sauberem Wasser gespült werden.

Die Elektropumpe muß an einem gut belüfteten, vor Witterungseinflüssen geschützten Ort mit einer Raumtemperatur von höchstens 40°C installiert werden. Abb. B.

Eine sorgfältige Verankerung der Pumpe an der Auflagefläche wirkt sich auf die Aufnahme der von dem Betrieb der Pumpe erzeugten Vibrationen positiv aus.

Verhindern Sie, daß die Metalleitungen starke Belastungen an die Mündungen der Pumpe übertragen, damit Verformungen ode Beschädigungen vermieden werden. Abb. C.

Der Hebe-und Transportgriff muß bei allen tragbaren Pumpenausführungen stets korrekt an der Halterung befestigt sein.

Pumpen, die im Freien in Springbrunnen, in Wasserbecken oder ähnlichem eingesetzt werden, müssen über einen Kreis mit einer Fehlerstromschutzeinrichtung mit einem Bemessungsdifferenzstrom von mindestens 30 mA gespeist werden.

ELEKTROANSCHLUSS Achtung: befolgen Sie stets die Sicherheitsvorschriften !

Die im Innern des Klemmenkastens abgebildeten Schaltpläne müssen genauestens eingehalten werden.

Für feste Installationen schreiben die internationalen Normen den Einsatz von Trennschaltern mit Sicherungshaltern vor.

Die einphasigen Motoren müssen mit eingebauten thermo-amperometrischen Schutzvorrichtungen ausgestattet werden und können direkt an das Netz angeschlossen werden. Drehstrommotoren müssen durch einen auf die Daten des Typenschilds der Elektropumpe justierten automatischen Selbstschalter (z.B. Wärmeschutzschalter). Das Versorgungsnetz muss mit einer Vorrichtung ausgestattet sein, die bei Überspannungskategorie III die vollständige Abschaltung gewährleistet.

Die Pumpe erst einschalten, wenn sie ganz mit Flüssigkeit gefüllt ist.

Vor dem Anlassen kontrollieren, ob die Pumpe regulär gefüllt ist, den Fülldeckel am Pumpenkörper abnehmen und über das spezielle Loch ganz mit sauberem Wasser füllen (Abb. F). Der trockene Betrieb der Pumpe beschädigt die mechanische Dichtung bleibend. Der Fülldeckel muß anschließend sorgfältig wieder eingeschraubt werden

Spannung geben und bei der dreiphasigen Ausführung die Drehrichtung kontrollieren; Wenn der Motor von der Lüfterradseite aus betrachtet wird, muß die Drehung im Uhrzeigersinn erfolgen Abb. G. Im gegenteiligen Fall müssen bei abgehängter Stromversorgung zwei der Phasenleiter ausgetauscht werden.

Die Elektropumpe darf nicht öfter als 20 mal pro Stunde angelassen werden, damit der Motor sich nicht zu stark erhitzt.

Wenn die Pumpe nach längerem Stillstand wieder in Betrieb gesetzt wird, müssen die zuvor aufgeführten Vorgänge wiederholt werden.

Die Pumpe sollte immer so nahe wie möglich bei der zu pumpenden Flüssigkeit aufgestellt werden (Abb.I – Seite.74)

WARTUNG UND REINIGUNG

Die Elektropumpe darf nur durch qualifiziertes Fachpersonal demontiert werden, welches den Anforderungen der einschlägigen Normen entspricht. Alle Arbeiten für die Reparatur und Wartung dürfen in jedem Fall ausschließlich bei von der Stromversorgung abgehängter Pumpe erfolgen.

ÄNDERUNGEN UND ERSATZTEILE

Jede nicht zuvor autorisierte Änderung enthebt den Hersteller von jeder Haftpflicht.

Im Falle einer Beschädigung des Versorgungskabels muss dieses von Fachpersonal repariert werden, damit jedes Risiko ausgeschlossen wird.

Zunächst stets sicherstellen,daß die Elektropumpe vom Netz abgehängt ist. Für Ausführungen ohne Druckwächter: Den Klemmkastendeckel durch Aufschrauben der vier Schrauben (53) abnehmen. Die drei Klemmen L - N - abschrauben, die Kabelklemme lockern und den braunen, den blauen und den gelb-grünen Draht des Stromkabels abziehen. Ausführung mit Druckwächter des Typs TELEMECANIQUE / SQUARE D – TELEMECANIQUE / ITALTECNICA: − Kabelstück mit Stecker vom Druckwächter: die Schraube des Druckwächterdeckels mit einem Schraubenzieher abschrauben und den Deckel von der Unterseite des Druckwächters aushaken. Die Erdschraube der linken Seite aufschrauben und den gelb-grünen Draht abziehen. Die Schrauben der entsprechenden Klemmen lockern und von der gleichen Seite den blauen und braunen Draht von den Klemmen abziehen. Die Kabelhaltemutter des Druckwächters der linken Seite lösen und das so befreite Kabel abziehen.DEUTSCH

− Kabelstück vom Druckwächter zum Klemmenkasten: mit einem Schraubenzieher die Schraube am Druckwächterdeckel aufschrauben und den Deckel von der Unterseite des Druckwächters aushaken. Die Erdschraube an der rechten Seite aufschrauben und den gelb-grünen Draht abziehen. Die Schrauben der entsprechenden Klemmen lockern und von der gleichen Seite den blauen und braunen Draht von den Klemmen abziehen. Die Kabelklemme durch Entfernen der Schrauben abnehmen und das so befreite Kabel abziehen. Den Klemmenkastendeckel durch Aufschrauben der vier Schrauben abnehmen. Die drei Klemmen L - N - abschrauben, die Kabelklemme lockern und den braunen, den blauen und den gelb-grünen Draht des Stromkabels abziehen. Das Stromkabel muß durch ein neues Kabel desselben Typs (z.B. H05 RN-F oder H07 RN-F, je nach Installation) ersetzt werden. ACHTUNG: bei Pumpen ohne Kabel muß je nach Installation ein Stromkabel des Typs H05 RN-F für innen und des Typs H07 RN-F für außen, komplett mit Stecker (EN 60335-2-41) vorgesehen werden. Für steckerlose Versorgungskabel eine Netztrennvorrichtung (z.B. Wärmeschutzschalter) mit einer Öffnung der Kontakte von mindestens 3 mm pro Pol vorsehen.

STÖRUNGSSUCHE UND ABHILFEN

STÖRUNG KONTROLLEN (mögliche Ursachen) ABHILFEN

1. Der Motor läuft nicht an und

erzeugt keinerlei Geräusch.

A. Die Elektroverbindungen kontrollieren. B. Prüfen, ob der Motor unter Spannung steht. C. Sicherungen kontrollieren. C. Falls durchgebrannt ersetzen. N.B.: falls diese Störung wiederholt auftritt, ist der Motor wahrscheinlich kurzgeschlossen.

2. Der Motor läuft nicht an, erzeugt

aber Geräusch. A. Kontrollieren, ob die Netzspannung dem Wert des Typenschilds entspricht. B. Prüfen, ob die Anschlüsse korrekt ausgeführt wurden. C. Kontrollieren, ob im Klemmenkasten alle Phasen vorhanden sind (3 ). D. Nach möglichen Verstopfungen der Pumpe oder des Motors suchen. E. Den Zustand des Kondensators kontrollieren.

B. Eventuelle Fehler korrigieren. C. Eventuell die fehlende Phase erstellen. D. Die Verstopfungen beseitigen. E. Den Kondensator wechseln.

3. Der Motor dreht unter

Schwierigkeiten. A. Kontrollieren, ob die Stromversorgung ausreichend ist. B. Nach möglichem Streifen der beweglichen und festen Teile suchen.

B. Ursachen beseitigen.

4. Die Pumpe liefert nicht.

A. Die Pumpe wurde nicht korrekt gefüllt.

B. Bei den dreiphasigen Motoren die exakte Drehrichtung kontrollieren.

Durchmesser des Ansaugrohrs unzureichend. D. Bodenventil verstopft. A. Falls nicht selbstfüllend, die Pumpe und das Ansaugrohr mit Wasser füllen. B. Die beiden Versorgungsdrähte austauschen.

Durch ein Ansaugrohr mit größerem Durchmesser ersetzen. D. Bodenventil reinigen.

5. Die Pumpe füllt nicht.

A. Ansaugrohr oder Bodenventil saugen Luft an. B. Das negative Gefälle des Ansaugrohrs begünstigt die Bildung von Luftsäcken. A. Das Phänomen beseitigen und erneut Füllen. B. Die Neigung des Ansaugrohrs korrigieren.

6. Die Fördermenge der Pumpe ist

zu gering. A. Bodenventil verstopft. B. Läufer verschlissen oder verstopft. C. Durchmesser des Ansaugrohrs unzureichend. D. Bei den dreiphasigen Motoren die exakte Drehrichtung kontrollieren. A. Bodenventil reinigen.

Verstopfung beseitigen oder die verschlissenen Teile ersetzen. C. Durch ein Ansaugrohr mit größerem Durchmesser ersetzen. D. Die beiden Versorgungsdrähte austauschen.

7. Die Pumpe vibriert und

funktioniert laut. A. Kontrollieren, ob Pumpe und Leitungen korrekt befestigt sind. B. Die Pumpe kavitiert, das heißt sie fordert mehr Wasser an, als sie pumpen kann. C. Der Betrieb der Pumpe geht über die Daten des Typenschilds hinaus. A. Eventuelle lockere Teile sorgfältig befestigen.

Ansaughöhe vermindern oder Verluste kontrollieren. C. Es kann nützlich sein die Auslaßfördermenge zu begrenzen.NEDERLANDS

TECHNISCHE KENMERKEN EN GEBRUIKSBEPERKINGEN

TECHNISCHE KENMERKEN EN GEBRUIKSBEPERKINGEN

Handbuch-Assistent
Unterstützt von ChatGPT
Warten auf Ihre Nachricht
Produktinformationen

Marke : DAB

Modell : EuroInox 30/50 M

Kategorie : Wasserpumpe