CPDG520P - Autres accessoires informatique SONY - Notice d'utilisation et mode d'emploi gratuit

Retrouvez gratuitement la notice de l'appareil CPDG520P SONY au format PDF.

📄 64 pages Français FR 💬 Question IA 8 questions ⚙️ Specs
Notice SONY CPDG520P - page 23
Voir la notice : Français FR English EN Español ES
Type de produit Accessoire informatique
Marque SONY
Modèle CPDG520P
Compatibilité Vérifiez la compatibilité avec votre appareil avant l'achat
Utilisation Conçu pour améliorer l'expérience utilisateur avec des appareils informatiques
Maintenance Nettoyez régulièrement avec un chiffon doux; évitez les produits chimiques agressifs
Sécurité Ne pas exposer à l'humidité ou à des températures extrêmes
Informations générales Consulter le manuel d'utilisation pour des instructions détaillées

FOIRE AUX QUESTIONS - CPDG520P SONY

Comment connecter le SONY CPDG520P à mon ordinateur ?
Pour connecter le SONY CPDG520P à votre ordinateur, utilisez le câble USB fourni et branchez-le sur un port USB disponible de votre machine. Assurez-vous que le périphérique est alimenté.
Le SONY CPDG520P ne s'allume pas, que faire ?
Vérifiez si l'appareil est correctement alimenté. Assurez-vous que le câble d'alimentation est bien branché et que la prise fonctionne. Si l'appareil ne s'allume toujours pas, essayez un autre câble d'alimentation.
Comment résoudre les problèmes de connexion sans fil avec le SONY CPDG520P ?
Assurez-vous que le Wi-Fi est activé sur votre appareil. Vérifiez également que vous êtes à portée du routeur. Redémarrez le SONY CPDG520P et le routeur, puis réessayez de vous connecter.
Que faire si le SONY CPDG520P ne fonctionne pas avec mon système d'exploitation ?
Vérifiez la compatibilité du SONY CPDG520P avec votre système d'exploitation. Assurez-vous d'avoir installé les derniers pilotes disponibles sur le site de SONY pour votre OS.
Comment effectuer une réinitialisation du SONY CPDG520P ?
Pour réinitialiser le SONY CPDG520P, maintenez le bouton de réinitialisation enfoncé pendant environ 10 secondes jusqu'à ce que les voyants clignotent. Cela rétablira les paramètres d'usine.
Le SONY CPDG520P émet un bruit étrange, que faire ?
Vérifiez si des objets obstruent les ventilateurs ou les ouvertures de l'appareil. Si le bruit persiste, contactez le service client de SONY pour obtenir de l'aide.
Puis-je utiliser le SONY CPDG520P avec d'autres appareils ?
Le SONY CPDG520P est conçu pour être compatible avec divers appareils. Vérifiez les spécifications du produit pour connaître les appareils compatibles.
Comment entretenir et nettoyer le SONY CPDG520P ?
Utilisez un chiffon doux et sec pour nettoyer l'extérieur de l'appareil. Évitez les produits chimiques agressifs. Pour l'intérieur, suivez les recommandations du manuel d'utilisation.

Questions des utilisateurs sur CPDG520P SONY

0 question sur cet appareil. Repondez a celles que vous connaissez ou posez la votre.

Poser une nouvelle question sur cet appareil

L'email reste privé : il sert seulement à vous prévenir si quelqu'un répond à votre question.

Aucune question pour l'instant. Soyez le premier à en poser une.

Téléchargez la notice de votre Autres accessoires informatique au format PDF gratuitement ! Retrouvez votre notice CPDG520P - SONY et reprennez votre appareil électronique en main. Sur cette page sont publiés tous les documents nécessaires à l'utilisation de votre appareil CPDG520P de la marque SONY.

MODE D'EMPLOI CPDG520P SONY

! (power) indicator OK•Trinitron est une marque commerciale déposée de Sony Corporation.• Macintosh est une marque commerciale sous licence d’Apple Computer, Inc., déposée aux Etats-Unis et dans d’autres pays.• Windows et MS-DOS sont des marques déposées de Microsoft Corporation aux Etats-Unis et dans d’autres pays.• IBM PC/AT et VGA sont des marques commerciales déposées d’IBM Corporation aux Etats-Unis.• VESA et DDC sont des marques commerciales de Video Electronics Standards Association. ENERGY STAR est une marque déposée aux Etats-Unis.• Tous les autres noms de produits mentionnés dans le présent mode d’emploi peuvent être des marques commerciales ou des marques commerciales déposées de leurs sociétés respectives.

  • Les symboles “” et “” ne sont pas mentionnés systématiquement dans le présent mode d’emploi.

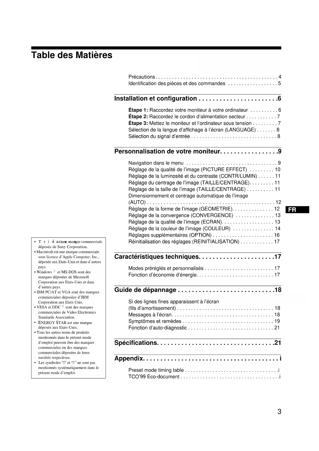
CPD-G520 4-079-771-33 (1) Précautions. . . . . . . . . . . . . . . . . . . . . . . . . . . . . . . . . . . . . . . . . . . . 4 Identification des pièces et des commandes . . . . . . . . . . . . . . . . . . 5 Installation et configuration . . . . . . . . . . . . . . . . . . . . . . .6 Étape 1: Raccordez votre moniteur à votre ordinateur . . . . . . . . . . 6 Étape 2: Raccordez le cordon d’alimentation secteur . . . . . . . . . . . 7 Étape 3: Mettez le moniteur et l’ordinateur sous tension . . . . . . . . . 7 Sélection de la langue d’affichage à l’écran (LANGUAGE) . . . . . . . 8 Sélection du signal d’entrée . . . . . . . . . . . . . . . . . . . . . . . . . . . . . . . 8 Personnalisation de votre moniteur. . . . . . . . . . . . . . . . .9 Navigation dans le menu . . . . . . . . . . . . . . . . . . . . . . . . . . . . . . . . . 9 Réglage de la qualité de l’image (PICTURE EFFECT) . . . . . . . . . 10 Réglage de la luminosité et du contraste (CONTR/LUMIN) . . . . . . 11 Réglage du centrage de l’image (TAILLE/CENTRAGE). . . . . . . . . 11 Réglage de la taille de l’image (TAILLE/CENTRAGE) . . . . . . . . . . 11 Dimensionnement et centrage automatique de l’image (AUTO) . . . . . . . . . . . . . . . . . . . . . . . . . . . . . . . . . . . . . . . . . . . . . . 12 Réglage de la forme de l’image (GEOMETRIE). . . . . . . . . . . . . . . 12 Réglage de la convergence (CONVERGENCE) . . . . . . . . . . . . . . 13 Réglage de la qualité de l’image (ECRAN). . . . . . . . . . . . . . . . . . . 13 Réglage de la couleur de l’image (COULEUR) . . . . . . . . . . . . . . . 14 Réglages supplémentaires (OPTION) . . . . . . . . . . . . . . . . . . . . . . 16 Réinitialisation des réglages (REINITIALISATION) . . . . . . . . . . . . 17 Caractéristiques techniques. . . . . . . . . . . . . . . . . . . . . .17 Modes préréglés et personnalisés . . . . . . . . . . . . . . . . . . . . . . . . . 17 Fonction d’économie d’énergie. . . . . . . . . . . . . . . . . . . . . . . . . . . . 17 Guide de dépannage . . . . . . . . . . . . . . . . . . . . . . . . . . . .18 Si des lignes fines apparaissent à l’écran (fils d’amortissement) . . . . . . . . . . . . . . . . . . . . . . . . . . . . . . . . . . . 18 Messages à l’écran. . . . . . . . . . . . . . . . . . . . . . . . . . . . . . . . . . . . . 18 Symptômes et remèdes . . . . . . . . . . . . . . . . . . . . . . . . . . . . . . . . . 19 Fonction d’auto-diagnostic . . . . . . . . . . . . . . . . . . . . . . . . . . . . . . . 21 Spécifications. . . . . . . . . . . . . . . . . . . . . . . . . . . . . . . . . .21 Appendix. . . . . . . . . . . . . . . . . . . . . . . . . . . . . . . . . . . . . . . i Preset mode timing table . . . . . . . . . . . . . . . . . . . . . . . . . . . . . . . . . .i TCO’99 Eco-document . . . . . . . . . . . . . . . . . . . . . . . . . . . . . . . . . . . .i4 C:\DATAFOLDER\##sagyou##\##01 Jan\407977133CPDG520UC\FR\02FR02BAS-UC.fm masterpage:Left CPD-G520 4-079-771-33 (1) CPD-G520 4-079-771-33 (1) Précautions Avertissement relatif au raccordement secteur

  • Utilisez le cordon d’alimentation fourni. Si vous utilisez un cordon d’alimentation différent, assurez-vous que ce dernier est compatible avec votre réseau d’alimentation électrique. Pour les clients aux Etats-Unis Si vous n’utilisez pas le cordon d’alimentation approprié, ce moniteur ne sera pas conforme aux normes FCC en vigueur.
  • Avant de débrancher le cordon d’alimentation, attendez au moins 30 secondes avant de couper l’alimentation afin de permettre le déchargement de l’électricité statique de la surface de l’écran.
  • Après la mise sous tension, l’écran est démagnétisé pendant quelques secondes. Ceci génère un champ magnétique puissant autour de l’écran, susceptible d’altérer les données stockées sur les cassettes ou bandes placées à proximité du moniteur. Assurez-vous de ne pas placer d’équipement d’enregistrement magnétique, de bandes ou de disquettes à proximité du moniteur. Installation N’installez pas le moniteur dans les situations suivantes :
  • sur des surfaces textiles (tapis, couvertures, etc.) ni à proximité de tissus (rideaux, draperies, etc.) qui risquent d’obstruer les orifices de ventilation
  • près de sources de chaleur telles que des radiateurs ou des conduits d’air chaud ou à un emplacement exposé aux rayons directs du soleil
  • dans un endroit sujet à de fortes variations de température
  • dans un endroit sujet à des vibrations mécaniques ou à des chocs
  • sur une surface instable
  • près d’un équipement générant un champ magnétique, tel qu’un transformateur ou des lignes à haute tension
  • près ou sur une surface métallique chargée d’électricité Protection
  • N’introduisez pas de corps étrangers dans le moniteur.
  • Débranchez le moniteur si la température ambiante dépasse 60°C/ 140°F.
  • Vérifiez que le cordon d’alimentation secteur n’est pas coincé sous un meuble, un téléviseur, etc.
  • Ne surchargez pas les prises murales, les rallonges ou les multiprises au-delà de leur capacité.
  • Ne jamais renverser de liquide sur le moniteur. Remarques sur l’entretien de la surface de l’écran
  • La surface de l’écran est traitée au moyen d’un revétement antireflet dans le but de renforcer les propriétés ergonomiques du moniteur. Pour éviter d’endommager ce revétement, utilisez un chiffon doux pour nettoyer la surface de l’écran. Si nécessaire, employez un chiffon doux légèrement imprégné d’une solution dètergente neutre, par exemple à base de savon de toilette, pour nettoyer l’écran.
  • N’utilisez aucun type de tampon abrasif, de nettoyant alcalin, de poudre à récurer ni de solvants tels que de l’alcool ou de la benzine, qui risqueraient d’endommager le revétement antireflet.
  • Si vous utilisez un nettoyant pour vitres, n’utilisez pas de produits contenant une solution antistatique ou une solution similaire qui risque d’abîmer le revêtement de l’écran.
  • Ne frottez pas, ne touchez pas et ne tapotez pas la surface de l’écran avec des objets pointus ou abrasifs, tels que la pointe d’un stylo ou un tournevis. Dans le cas contraire, vous pourriez en effet rayer le tube de l’écran. Remarques sur l’entretien de le chàssis
  • Nettoyez le châssis, l’écran et les commandes à l’aide d’un chiffon doux légèrement imbibé d’une solution détergente non agressive.
  • N’utilisez pas d’éponge abrasive, de poudre à récurer ou de solvant tel que de l’alcool ou de la benzine. Transport Lorsque vous transportez ce moniteur, utilisez le carton et les matériaux d’emballage d’origine. Utilisation du pied pivotant Ce moniteur peut être ajusté selon les angles illustrés ci-dessous. Pour trouver le centre du rayon d’ajustement du moniteur, alignez le centre de l’écran avec le point de centrage situé sur le pied. Tenez avec vos deux mains le moniteur par sa partie inférieure lorsque vous le faites pivoter horizontalement ou verticalement. Veillez à ne pas vous coincer les doigts à l’arrière du moniteur lorsque vous le réglez verticalement. La prise électrique doit être installée à proximité de l’appareil et facile d’accès. Exemple de types de prisespour CA 100 à 120 V pour CA 200 à 240 V 90°

Identification des pièces et des commandes Pour obtenir des informations plus détaillées, reportez-vous aux pages dont le numéro est indiqué entre parenthèses. 1 Commutateur INPUT (entrée) (page 8) Ce commutateur permet de sélectionner l’entrée INPUT 1 (connecteur d’entrée vidéo 1 : y1) ou l’entrée INPUT 2 (connecteur d’entrée vidéo 2 : y2). 2 Touche PICTURE EFFECT (page 10) Cette touche sert à modifier les modes d’effets préréglés de l’image. 3 Touche MENU (page 9) Cette touche sert à afficher ou refermer le menu. 4 Touche de commande (OK, M/m) (page 10) Cette touche sert à apporter des ajustements à la configuration du moniteur et à afficher directement le menu CONTRASTE. 5 Commutateur et indicateur ! (alimentation) (pages 7, 17, 21) Cette touche permet d’allumer et d’éteindre le téléviseur. L’indicateur d’alimentation s’allume en vert lorsque le moniteur est sous tension et en orange lorsque le moniteur est en mode d’économie d’énergie. 6 Connecteur AC IN (page 7) Ce connecteur fournit une alimentation CA au moniteur. 7 Connecteurs d’entrée vidéo (HD15) (y1/y2) (page 6) Ces connecteurs permettent l’entrée de signaux vidéo RVB (0,700 Vp-p, positifs) ainsi que des signaux de synchronisation.

  • DDC (Display Data Channel) est une norme de VESA. Avant AC IN INPUTPICTURE EFFECT MENU

côté avantcôté avantcôté arrièrecôté arrière Arrière

N° de broche Signal 1 Rouge 2 Vert (Sync sur Vert) 3Bleu 4 ID (Masse) 5 DDC (Masse)* 6 Masse Rouge 7 Masse Vert 8 Masse Bleu 9 DDC + 5V* 10 Masse 11 ID (Masse) 12 Données bi-directionnelles (SDA)* 13 Sync H 14 Sync V 15 Horloge de données (SCL)*6 C:\DATAFOLDER\##sagyou##\##01 Jan\407977133CPDG520UC\FR\02FR02BAS-UC.fm masterpage:Left CPD-G520 4-079-771-33 (1) CPD-G520 4-079-771-33 (1) Installation et configuration Avant d’utiliser votre moniteur, vérifiez que tous les accessoires suivants ont bien été livrés avec votre moniteur :

  • Cordon d’alimentation (1)
  • Câble de signal vidéo (1)
  • Carte de garantie (1)
  • Le présent mode d’emploi (1) Étape 1:Raccordez votre moniteur à votre ordinateur Mettez le moniteur et l’ordinateur hors tension avant de procéder au raccordement. Remarques• Ne touchez pas les broches du connecteur du câble de signal vidéo. Vous risquez en effet de les plier et de les rendre inutilisables.• Lors du raccordement du câble de signal vidéo, vérifiez l’alignement du connecteur HD15. N’essayez pas d’insérer le connecteur dans le mauvais sens. Vous risquez en effet de plier les broches et de les rendre inutilisables. x Raccordement à un ordinateur compatible

x Raccordement à un ordinateur Macintosh ou compatible x Raccordement à un second ordinateur AC IN vers la sortie vidéoIBM PC/AT ou ordinateur compatiblevers HD15câble de signal vidéo (fourni)AC IN Vous avez besoin d’un adaptateur Macintosh (non fourni).vers HD15Adaptateur Macintosh (non fourni)Macintosh ou ordinateur compatiblecâble de signal vidéo (fourni)vers la sortie vidéoAC IN Reportez-vous aux exemples précédents pour savoir comment raccorder votre ordinateur.câble de signal vidéo (non fourni)vers HD157 C:\DATAFOLDER\##sagyou##\##01 Jan\407977133CPDG520UC\FR\02FR02BAS-UC.fm masterpage:Right CPD-G520 4-079-771-33 (1)

Étape 2:Raccordez le cordon d’alimentation secteur Après avoir mis l’appareil et l’ordinateur hors tension, connectez d’abord le cordon d’alimentation à l’ordinateur, puis connectez celui-ci à une prise électrique. Étape 3:Mettez le moniteur et l’ordinateur sous tension Mettez d’abord le moniteur sous tension, puis l’ordinateur. L’installation du moniteur est terminée. Si nécessaire, utilisez les commandes du moniteur pour régler l’image. Si aucune image n’apparaît à l’écran

  • Assurez-vous que le moniteur est raccordé correctement à l’ordinateur.
  • Si l’indication PAS DE VIDEO apparaît à l’écran, essayez de modifier le signal d’entrée (page 8), et assurez-vous que votre carte graphique est correctement et totalement insérée dans le connecteur de bus adéquat.
  • Si vous remplacez un ancien moniteur par ce modèle et que l’indication HORS PLAGE DE BALAYAGE apparaît à l’écran, rebranchez l’ancien moniteur. Ajustez ensuite la carte graphique du moniteur de sorte que la fréquence horizontale soit comprise entre 30 – 130 kHz, et que la fréquence verticale soit comprise entre 48 – 170 Hz. Pour obtenir plus d’informations sur les indications apparaissant à l’écran, reportez-vous à la section “Symptômes et remèdes”, page 19. Configuration sous différents systèmes d’exploitation Ce moniteur est conforme à la norme Plug & Play “DCC” permettant la détection automatique de l’ensemble des informations relatives au moniteur. Aucun pilote spécifique ne doit être installé sur l’ordinateur. Si vous raccordez le moniteur à votre PC et si vous démarrez votre PC pour la première fois, il se peut que l’assistant d’installation s’affiche à l’écran. Cliquez plusieurs fois de suite sur “Next” suivant les instructions de l’assistant jusqu’à ce que le moniteur Plug & Play soit automatiquement sélectionné de façon à ce que vous puissiez utiliser ce moniteur. AC IN vers AC IN vers une prise électrique cordon d’alimentation (fourni)8 C:\DATAFOLDER\##sagyou##\##01 Jan\407977133CPDG520UC\FR\02FR02BAS-UC.fm masterpage:Left CPD-G520 4-079-771-33 (1) CPD-G520 4-079-771-33 (1) Sélection de la langue d’affichage à l’écran (LANGUAGE) Les menus peuvent être affichés en anglais, français, allemand, espagnol, italien, néerlandais, suédois, russe et japonais. La langue par défaut est l’anglais. 1 Appuyez sur la touche MENU. Le menu apparaît à l’écran. 2 Déplacez la touche de commande vers le haut ou vers le bas pour mettre en surbrillance OPTION puis appuyez sur la touche de commande. 3 Déplacez la touche de commande vers le haut ou vers le bas pour mettre en surbrillance LANGUAGE puis appuyez sur la touche de commande. 4 Déplacez la touche de commande vers le haut ou vers le bas jusqu’à ce que la langue désirée apparaisse à l’écran. Appuyez ensuite sur la touche de commande pour sélectionner la langue.Chaque fois que vous déplacez la touche de commande vers le haut ou vers le bas, les langues apparaissent dans l’ordre suivant :• ENGLISH : Anglais• FRANÇAIS• DEUTSCH : Allemand• ESPAÑOL : Espagnol• ITALIANO : Italien• NEDERLANDS : Néerlandais• SVENSKA : Suédois• : Russe• : JaponaisPour fermer le menuAppuyez sur la touche MENU. Si vous n’appuyez sur aucune touche, le menu est automatiquement fermé après 45 secondes environ.Pour revenir à l’anglaisSélectionnez ENGLISH à l’étape 4 ci-dessus. Sélection du signal d’entrée Les connecteurs HD15 vous permettent de raccorder deux ordinateurs à ce moniteur. Pour basculer d’un ordinateur à l’autre, utilisez le commutateur INPUT.Déplacez le commutateur INPUT.L’indication du connecteur sélectionné apparaît sur l’écran du moniteur pendant 3 secondes.L’indication “INPUT 1” ou “INPUT 2” apparaît.RemarqueSi aucun signal n’est entré par le connecteur sélectionné, le message PAS DE VIDEO apparaît à l’écran. Après quelques secondes, le moniteur passe en mode d’économie d’énergie. Si tel est le cas, basculez sur l’autre connecteur. MENU CONTRASTCONTRAST /IBR GHT1024x768 / 85Hz

Personnalisation de votre moniteur Les menus à l’écran vous permettent d’apporter un grand nombre d’ajustements à votre moniteur Navigation dans le menu Appuyez sur la touche MENU pour afficher le menu à l’écran. Reportez-vous à la page 10 pour plus d’informations sur l’utilisation du MENU et de la touche de commande.Utilisez la touche de commande pour sélectionner l’un des menus suivantes.x Affichage du signal d’entrée actuelLorsque vous appuyez sur la touche MENU pour afficher le menu, les fréquences horizontale et verticale du signal d’entrée actuel sont affichées dans le menu. Si le signal correspond à celui de l’un des modes présélectionnés en usine, la résolution correspondante est également affichée.1 CONTR/LUMIN (page 11)Ajuste le contraste et la luminosité de l’image. Vous pouvez également afficher directement ce menu en déplaçant la touche de commande vers le haut ou vers le bas alors qu’aucun menu n’est affiché à l’écran.2 TAILLE/CENTRAGE (page 11)Ajuste la taille ou le centrage.3 GEOMETRIE (page 12)Ajuste la rotation et la forme de l’image.4 CONVERGENCE (page 13)Ajuste la convergence horizontale ou verticale de l’image. MENU CONTRCONTRASTE /LUM I N1024x768 / 85Hz CONTRCONTRASTE

SORT I R5 ECRAN (page 13)Ajuste la qualité de l’image.Les options comprennent :• la démagnétisation de l’écran (DEMAGNET)• ajustement de l’annulation de l’effet de moiré (SUPPRESSION MOIRAGE)• ajustement de l’alignement (PURETE COULEUR)6 COULEUR (page 14)Ajuste la température des couleurs de l’image afin de faire correspondre les couleurs du moniteur avec celles imprimées.7 OPTION (page 16)Ajuste les options du moniteur.Les options comprennent :• verrouillage des commandes• sélection de la langue d’affichage à l’écran• modification de la position des menus à l’écran• modification du mode de réglage de la température des couleurs de l’image8 REINITIALISATION (page 17)Restaure les réglages. MENU

ANNULER CONTRCONTRASTE / LUM I N1024x768 / 85Hzfréquences verticales du signal d’entrée courantfréquences horizontales/résolution du signal d’entrée courant10 C:\DATAFOLDER\##sagyou##\##01 Jan\407977133CPDG520UC\FR\02FR02BAS-UC.fm masterpage:Left CPD-G520 4-079-771-33 (1) CPD-G520 4-079-771-33 (1) x Utilisation du MENU et des touches de commandes1 Affichez le menu.Appuyez sur la touche MENU pour afficher le menu à l’écran.2 Sélectionnez le menu que vous souhaitez régler.Mettez en évidence le menu souhaité en déplaçant la touche de commande vers le haut ou vers le bas. Appuyez ensuite sur la touche de commande.3 Apportez les ajustements nécessaires.Déplacez la touche de commande vers le haut ou vers le bas pour effectuer votre ajustement puis appuyez sur la touche de commande.Si vous souhaitez sélectionner un autre menu; déplacez la touche de commande vers le haut ou vers le bas pour sélectionner puis appuyez sur la touche de commande pour quitter le menu.4 Refermez le menuAppuyez sur la touche MENU. Si vous n’appuyez sur aucune touche, le menu est automatiquement fermé après 45 secondes environ. Réglage de la qualité de l’image (PICTURE EFFECT) Appuyez sur la touche PICTURE EFFECT.À chaque fois que vous appuyez sur cette touche, les trois modes d’images différents sont tour à tour sélectionnés, comme suit : MENU

MENU Sélectionnez Pour obtenirPROFESSIONNEL un affichage et des couleurs précises et homogènes. Choisissez cette option si vous utilisez des applications graphiques et de retouche d’images.STANDARD des images avec un haut niveau de contraste et de luminosité. Choisissez ce mode pour la plupart des applications courantes, comme les traitements de texte, les tableurs,les utilitaires de courrier électronique ou de navigation sur Internet.DYNAMIQUE des images éclatantes de réalisme. Utilisez ce mode, offrant une restitution plus éclatante que le mode “STANDARD”, pour des utilisations graphiques poussées telles que des jeux ou une lecture de DVD. PICTURE EFFECT

Réglage de la luminosité et du contraste (CONTR/LUMIN) Ces réglages sont conservés en mémoire pour les signaux reçus du connecteur d’entrée actuellement sélectionné. 1 Appuyez sur la touche MENU. Le menu apparaît à l’écran. 2 Déplacez la touche de commande vers le haut ou vers le bas pour mettre en surbrillance. Appuyez ensuite sur la touche de commande. Le menu CONTR/LUMIN apparaît à l’écran. 3 Déplacez la touche de commande vers le haut ou vers le bas pour mettre en surbrillance 6 ou . Appuyez ensuite sur la touche de commande. 4 Déplacez la touche de commande vers le haut ou vers le bas pour régler le contraste (6) ou la luminosité ( ). Appuyez ensuite sur la touche de commande. Si vous utilisez le mode sRGB Si vous avez sélectionné le mode sRGB dans l’option MODE COULEUR ( ) dans le menu OPTION ( ), le menu CONTR/LUMIN suivant apparaît à l’écran. Vous ne pouvez régler le contraste (6) ou la luminosité ( ) dans cet écran. Si vous voulez les régler, sélectionnez un mode autre que sRGB dans l’option MODE COULEUR ( ) du menu OPTION ( ). Pour obtenir plus d’informations sur le mode sRGB, voir “Réglage de la couleur de l’image (COULEUR)” à la page 14. Réglage du centrage de l’image (TAILLE/CENTRAGE) Ce paramètre est conservé en mémoire pour le signal d’entrée actuel. 1 Appuyez sur la touche MENU. Le menu apparaît à l’écran. 2 Déplacez la touche de commande vers le haut ou le bas pour sélectionner TAILLE/CENTRAGE et appuyez sur la touche de commande. Le menu TAILLE/CENTRAGE apparaît à l’écran. 3 Déplacez la touche de commande vers le haut ou le bas pour sélectionner pour un réglage horizontal ou pour un réglage vertical. Appuyez ensuite sur la touche de commande. 4 Déplacez la touche de commande vers le haut ou vers le bas pour ajuster le centrage. Réglage de la taille de l’image (TAILLE/CENTRAGE) Ce paramètre est conservé en mémoire pour le signal d’entrée actuel. 1 Appuyez sur la touche MENU. Le menu apparaît à l’écran. 2 Déplacez la touche de commande vers le haut ou le bas pour sélectionner TAILLE/CENTRAGE et appuyez sur la touche de commande. Le menu TAILLE/CENTRAGE apparaît à l’écran. 3 Déplacez la touche de commande vers le haut ou le bas pour sélectionner pour un réglage horizontal ou pour un réglage vertical. Appuyez ensuite sur la touche de commande. 4 Déplacez la touche de commande vers le haut ou vers le bas pour ajuster la taille. CONTR

:12 C:\DATAFOLDER\##sagyou##\##01 Jan\407977133CPDG520UC\FR\02FR02BAS-UC.fm masterpage:Left CPD-G520 4-079-771-33 (1) CPD-G520 4-079-771-33 (1) Dimensionnement et centrage automatique de l’image (AUTO) Pour faire en sorte que l’image affichée remplisse automatiquement l’intégralité de la surface du moniteur, utilisez le menu TAILLE/CENTRAGE. 1 Appuyez sur la touche MENU. Le menu apparaît à l’écran. 2 Déplacez la touche de commande vers le haut ou le bas pour sélectionner TAILLE/CENTRAGE et appuyez sur la touche de commande. Le menu TAILLE/CENTRAGE apparaît à l’écran. 3 Déplacez la touche de commande vers le haut ou vers le bas pour sélectionner (AUTO). Appuyez ensuite sur la touche de commande. La fenêtre de réglage apparaît à l’écran. 4 Déplacez la touche de commande vers le haut ou vers le bas pour sélectionner OK. Appuyez ensuite sur la touche de commande. L’image remplit automatiquement l’écran. Remarques

  • Si vous ne souhaitez pas utiliser la fonction AUTO, sélectionnez ANNULER à l’étape 4.
  • Cette fonction est conçue pour être utilisée avec Windows ou autre interface graphique utilisant une image plein-écran. Elle peut ne pas fonctionner correctement si l’arrière-plan est sombre ou si l’image ne remplit pas complètement l’écran (par exemple avec une ligne de commande MS-DOS).
  • L’image affichée se déplace pendant quelques instants lorsque cette fonction est exécutée. Ceci est normal. Réglage de la forme de l’image (GEOMETRIE) Le paramètre GEOMETRIE permet de régler la rotation et la forme de l’image. Le paramètre (rotation) est conservé en mémoire pour l’ensemble des signaux d’entrée. Tous les autres paramètres sont conservés en mémoire pour le signal d’entrée actuel. 1 Appuyez sur la touche MENU. Le menu apparaît à l’écran. 2 Déplacez la touche de commande vers le haut ou vers le bas pour sélectionner GEOMETRIE et appuyez sur la touche de commande. Le menu GEOMETRIE apparaît à l’écran. 3 Déplacez la touche de commande vers le haut ou vers le bas pour sélectionner l’élément voulu. Appuyez ensuite sur la touche de commande. La barre de réglage apparaît à l’écran. 4 Déplacez la touche de commande vers le haut ou vers le bas pour effectuer le réglage. Appuyez ensuite sur la touche de commande. Pour obtenir plus d’informations sur le mode REINIT, voir “Réinitialisation des réglages (REINITIALISATION)” à la page 17. Sélection Pour faire pivoter l’image rendre les côtés de l’image concaves ou convexes déplacer les bords de l’image vers la droite ou la gauche régler la largeur de l’image en haut de l’écran déplacer l’image vers la droite ou la gauche en haut de l’écran

REINIT réinitialiser tous les réglages GEOMETRIE sur leurs valeurs d’usine. Appuyez sur OK.13 C:\DATAFOLDER\##sagyou##\##01 Jan\407977133CPDG520UC\FR\02FR02BAS-UC.fm masterpage:Right CPD-G520 4-079-771-33 (1)

Réglage de la convergence (CONVERGENCE) Le paramètre CONVERGENCE permet de régler la qualité de l’image en contrôlant la convergence. La convergence est l’alignement des signaux de couleur rouge, vert et bleu. Si vous voyez des ombres rouges ou bleues autour des lettres ou des lignes, réglez la convergence. Ces paramètres sont conservés en mémoire pour l’ensemble des signaux d’entrée. 1 Appuyez sur la touche MENU. Le menu apparaît à l’écran. 2 Déplacez la touche de commande vers le haut ou vers le bas pour sélectionner CONVERGENCE et appuyez sur la touche de commande. Le menu CONVERGENCE apparaît à l’écran. 3 Déplacez la touche de commande vers le haut ou vers le bas pour sélectionner l’élément voulu. Appuyez ensuite sur la touche de commande. La barre de réglage apparaît à l’écran. 4 Déplacez la touche de commande vers le haut ou vers le bas pour effectuer le réglage. Appuyez ensuite sur la touche de commande. Pour obtenir plus d’informations sur le mode REINIT, voir “Réinitialisation des réglages (REINITIALISATION)” à la page 17. Réglage de la qualité de l’image (ECRAN) Les paramètres ECRAN permettent de démagnétiser le moniteur manuellement et d’ajuster la qualité de l’image en contrôlant le moiré et l’alignement.

  • Si les couleurs sont irrégulières ou si l’image est trouble, démagnétisez le moniteur (DEMAGNET).
  • Si des motifs elliptiques ou ondulatoires apparaissent à l’écran, supprimez le moiré (SUPPRESSION MOIRAGE).
  • Si les couleurs sont irrégulières dans les angles de l’écran, réglez l’alignement (PURETE COULEUR). Le moniteur est automatiquement démagnétisé lors de la mise sous tension. L’écran est démagnétisé pendant environ 2 secondes. Si un deuxième cycle de démagnétisation est nécessaire, attendez au minimum 20 minutes pour un résultat optimal. Le réglage SUPPRESSION MOIRAGE est conservé en mémoire pour le signal d’entrée actuel. Tous les autres paramètres sont conservés en mémoire pour l’ensemble des signaux d’entrée. 1 Appuyez sur la touche MENU. Le menu apparaît à l’écran. 2 Déplacez la touche de commande vers le haut ou vers le bas pour sélectionner ECRAN et appuyez sur la touche de commande. Le menu ECRAN apparaît à l’écran. 3 Déplacez la touche de commande vers le haut ou vers le bas pour sélectionner l’élément voulu. Appuyez ensuite sur la touche de commande. La barre de réglage apparaît à l’écran. 4 Déplacez la touche de commande vers le haut ou vers le bas pour effectuer le réglage. Appuyez ensuite sur la touche de commande. Sélection Pour décaler horizontalement les ombres rouges ou bleues décaler verticalement les ombres rouges ou bleues

HAUT décaler verticalement les ombres rouges ou bleues en haut de l’écran

BAS décaler horizontalement les ombres rouges ou bleues en haut de l’écran

REINIT réinitialiser tous les réglages CONVERGENCE sur leurs valeurs d’usine. Appuyez sur OK. (suite page suivante)14 C:\DATAFOLDER\##sagyou##\##01 Jan\407977133CPDG520UC\FR\02FR02BAS-UC.fm masterpage:Left CPD-G520 4-079-771-33 (1) CPD-G520 4-079-771-33 (1)

  • Le moiré est comme une interférence naturelle qui produit des lignes douces ondulatoires sur votre écran. Le moiré peut apparaître à la suite d’interférences entre le motif de l’image à l’écran et le motif de luminophores du moniteur.RemarqueL’image risque de devenir floue lorsque la fonction SUPPRESSION MOIRAGE est activée. Réglage de la couleur de l’image (COULEUR) Les paramètres COULEUR vous permettent de régler la température de couleur de l’image en changeant le niveau de couleur des champs de couleur blanche. Les couleurs apparaissent rougeâtres lorsque la température est basse et bleuâtres lorsque la température est élevée. Ce réglage s’avère bien pratique pour faire correspondre les couleurs du moniteur aux couleurs d’une image imprimée. Vous pouvez régler la température de couleur pour chacun des connecteurs d’entrée vidéo. x Sélectionnez le mode COULEUR 4 types de modes de réglage existent, SIMPLE, PRESELECT, EXPERT et sRGB. Le réglage par défaut est SIMPLE qui peut être réglé de 5000K à 11000K. Si vous voulez utiliser un mode (autre que SIMPLE), sélectionnez le mode désiré dans le menu OPTION ( ). Puis réglez le mode sélectionné dans chaque menu COULEUR ( ). 1 Appuyez sur la touche MENU. Le menu apparaît à l’écran. 2 Déplacez la touche de commande vers le haut ou vers le bas pour sélectionner OPTION et appuyez sur la touche de commande. Le menu OPTION apparaît à l’écran. 3 Déplacez la touche de commande vers le haut ou vers le bas pour mettre en surbrillance MODE COULEUR. Appuyez ensuite sur la touche de commande. 4 Déplacez la touche de commande vers le haut ou vers le bas pour sélectionner le mode COULEUR. Sélection Pour DEMAGNET démagnétiser le moniteur. Pour démagnétiser le moniteur manuellement, sélectionnez OK. SUPPRESSION MOIRAGE régler le degré de suppression du moiré* jusqu’à ce que le moiré ait été réduit au minimum PURETE COULEUR réduire au minimum les irrégularités des couleurs dans l’angle supérieur gauche de l’écran PURETE COULEUR réduire au minimum les irrégularités des couleurs dans l’angle supérieur droit de l’écran PURETE COULEUR réduire au minimum les irrégularités des couleurs dans l’angle inférieur gauche de l’écran PURETE COULEUR réduire au minimum les irrégularités des couleurs dans l’angle inférieur droit de l’écran

REINIT réinitialiser tous les réglages ECRAN sur leurs valeurs d’usine. Appuyez sur OK. INPUTPICTURE EFFECT MENU

x SIMPLE 1 Appuyez sur la touche MENU. Le menu apparaît à l’écran. 2 Déplacez la touche de commande vers le haut ou vers le bas pour sélectionner COULEUR et appuyez sur la touche de commande. Le menu COULEUR apparaît à l’écran. 3 Déplacez la touche de commande vers le haut ou vers le bas pour mettre en surbrillance . Appuyez ensuite sur la touche de commande. La barre de réglage apparaît. 4 Déplacez la touche de commande vers le haut ou vers le bas pour régler précisément la température de couleur. Le nouveau réglage fin de température de couleur que vous choisissez entre 5000K et 11000K est stocké en mémoire. x PRESELECT 1 Appuyez sur la touche MENU. Le menu apparaît à l’écran. 2 Déplacez la touche de commande vers le haut ou vers le bas pour sélectionner COULEUR et appuyez sur la touche de commande. Le menu COULEUR apparaît à l’écran. 3 Déplacez la touche de commande vers le haut ou vers le bas pour mettre en surbrillance . Appuyez ensuite sur la touche de commande. La barre de réglage apparaît. 4 Déplacez la touche de commande vers le haut ou vers le bas pour sélectionner la température voulue. Les températures de couleur présélectionnées sont 5000K, 6500K, et 9300K. Comme la valeur par défaut est 9300K, les blancs perdront leur teinte bleuâtre et auront une teinte rougeâtre lorsque la température est abaissée à 6500K et 5000K. x EXPERT Vous pouvez effectuer des réglages supplémentaires pour les couleurs en sélectionnant le mode EXPERT. 1 Appuyez sur la touche MENU. Le menu apparaît à l’écran. 2 Déplacez la touche de commande vers le haut ou vers le bas pour sélectionner COULEUR et appuyez sur la touche de commande. Le menu COULEUR apparaît à l’écran. 3 Déplacez la touche de commande vers le haut ou vers le bas pour ajuster les composants R (rouge), G (vert) et B (bleu) du signal d’entrée pour GAIN (6) et BIAS ( ). Appuyez ensuite sur la touche de commande. Si vous souhaitez réinitialiser les réglages EXPERT, sélectionnez 0 (REINIT) dans le menu COULEUR. Puis sélectionnez OK dans la boîte de dialogue REINIT. x sRGB Le réglage de couleur sRGB est un protocole industriel standard pour les espaces colorimétriques. Il est conçu pour harmoniser les couleurs affichées et imprimées pour les produits informatiques compatibles sRGB. Pour ajuster les couleurs du profil sRGB, sélectionnez simplement le mode sRGB du menu MODE COULEUR ( ) du menu OPTION ( ). Cependant, afin d’afficher correctement les couleurs sRGB (γ = 2,2, 6500K), vous devez régler le mode PICTURE EFFECT sur PROFESSIONNEL (page 10) et votre ordinateur sur le profil sRGB. Si vous sélectionnez ce mode, vous ne pouvez plus utiliser les réglages du menu CONTR/LUMIN. RemarqueVotre ordinateur et les autres produits qui y sont connectés (imprimantes, par exemple), doivent être compatibles sRGB. MENU 5000K

sRGB (suite page suivante)16 C:\DATAFOLDER\##sagyou##\##01 Jan\407977133CPDG520UC\FR\02FR02BAS-UC.fm masterpage:Left CPD-G520 4-079-771-33 (1) CPD-G520 4-079-771-33 (1) Restauration de la couleur depuis les modes SIMPLE, PRESELECT ou sRGB (RESTAURER COULEUR) Les couleurs de la plupart des moniteurs d’affichage tendent à perdre graduellement leur éclat après plusieurs années d’utilisation. La fonction RESTAURER COULEUR des menus SIMPLE, PRESELECT et sRGB vous permet de restaurer les couleurs aux niveaux de qualité par défaut d’origine. La section suivante explique comment restaurer la couleur du moniteur depuis le mode SIMPLE par exemple. Sélectionnez d’abord le mode SIMPLE, PRESELECT ou sRGB dans le menu OPTION (page 14). 1 Appuyez sur la touche MENU. Le menu apparaît à l’écran. 2 Déplacez la touche de commande vers le haut ou vers le bas pour sélectionner COULEUR et appuyez sur la touche de commande. Le menu COULEUR apparaît à l’écran. 3 Déplacez la touche de commande vers le haut ou vers le bas pour mettre en surbrillance RESTAURER COULEUR. Appuyez ensuite sur la touche de commande. 4 Déplacez la touche de commande vers le haut ou vers le bas pour sélectionner OK. Appuyez ensuite sur la touche de commande. L’image disparaît pendant l’opération de restauration des couleurs (environ 2 secondes). Une fois les couleurs restaurées, l’image apparaît à nouveau à l’écran. Remarques• Avant d’utiliser cette fonction, le moniteur doit avoir fonctionné normalement (indicateur d’alimentation vert allumé) pendant au moins 30 minutes. Si le moniteur passe en mode d’économie d’énergie, vous devez le remettre en mode de fonctionnement normal et attendre au mois 30 minutes pour qu’il soit prêt. Vous devrez peut-être régler les paramètres du mode d’économie d’énergie pour que le moniteur reste en mode de fonctionnement normal pendant plus de 30 minutes. Si le moniteur n’est pas prêt, le message suivant s’affiche.• Le moniteur peut progressivement perdre sa capacité à exécuter cette fonction en raison du vieillissement naturel du tube image. Réglages supplémentaires (OPTION) Il est possible de verrouiller les commandes, de changer la langue utilisée, la position du menu et de définir le mode COULEUR. 1 Appuyez sur la touche MENU. Le menu apparaît à l’écran. 2 Déplacez la touche de commande vers le haut ou vers le bas pour sélectionner OPTION et appuyez sur la touche de commande. Le menu OPTION apparaît à l’écran. 3 Déplacez la touche de commande vers le haut ou vers le bas pour sélectionner l’élément voulu. Ajustez l’élément sélectionné en fonction des instructions suivantes. x Verrouillage des commandes (VERROU MENU) Il vous est possible de protéger les données d’ajustement en verrouillant les contrôles. Déplacez la touche de commande vers le haut ou vers le bas pour mettre en surbrillance (VERROU MENU) puis appuyez sur la touche de commande. Déplacez ensuite la touche de commande vers le haut ou vers le bas pour sélectionner ACTIF puis appuyez sur la touche de commande. Seul l’interrupteur ! (alimentation), le bouton MENU, le commutateur INPUT et (VERROU MENU) du menu OPTION sont disponibles. Si d’autres éléments sont sélectionnés, la marque apparaît à l’écran. Pour annuler le verrou de commande.Répétez la procédure ci-dessus et réglez (VERROU MENU) sur INACTIF. x Changement de la langue d’affichage (LANGUAGE) Voir page 8. x Changement d’une position de menu (POSITION OSD) Changez la position du menu s’il masque une image à l’écran. Déplacez la touche de commande vers le haut ou vers le bas pour sélectionner (POSITION OSD) pour l’ajustement horizontal ou (POSITION OSD) pour l’ajustement vertical puis appuyez sur la touche de commande. Déplacez ensuite la touche de commande vers le haut ou vers le bas pour décaler le menu à l’écran. x Réglage du mode COULEUR Voir page 14. RESTAURERCOULEURANNULER

Réinitialisation des réglages (REINITIALISATION) Les deux méthodes de réinitilisation suivantes sont disponibles avec ce moniteur. x Réinitialisation de l’ensemble des données de réglage pour le signal d’entrée actuel 1 Appuyez sur la touche MENU. Le menu apparaît à l’écran. 2 Déplacez la touche de commande vers le haut ou vers le bas pour sélectionner 0 REINITIALISATION appuyez sur la touche de commande. 3 Déplacez la touche de commande vers le haut ou vers le bas pour sélectionner 01 et appuyez sur la touche de commande. 4 Déplacez la touche de commande vers le haut ou vers le bas pour sélectionner OK et appuyez sur la touche de commande.Notez que les éléments suivants ne sont pas réinitialisés avec cette méthode :• langue des menus à l’écran (page 8)• réglage de couleur dans le menu OPTION (SIMPLE, PRESELECT, EXPERT ou sRGB) (page 14).• réglage de couleur dans le menu PRESELECT (5000K, 6500K, 9300K) (page 15).• position du menu à l’écran (page 16) x Réinitialisation de l’ensemble des données de réglage pour tous les signaux d’entrée. Sélectionnez 02 à l’étape 3 ci-dessus.RemarqueLa fonction REINITIALISATION ne fonctionne pas lorsque (VERROU MENU) est réglé sur ACTIF. Caractéristiques techniques Modes préréglés et personnalisés Lorsque le moniteur reçoit un signal d’entrée, il fait automatiquement correspondre le signal à l’un des modes présélectionnés qui sont enregistrés dans la mémoire du moniteur de manière à offrir une image de haute qualité au centre de l’écran. (Voir l’annexe pour une liste des modes préréglés en usine.) Pour les signaux d’entrée qui ne correspondent pas à l’un des modes préréglés en usine, la technologie numérique Multiscan de ce moniteur assure l’affichage d’une image claire sur l’écran quelle que soit la synchronisation dans la plage de fréquence du moniteur (horizontalement: 30 – 130 kHz, verticalement: 48 – 170 Hz). Dans tous les modes, si l’image est ajustée, les données d’ajustement sont stockées comme mode utilisateur et rappelées automatiquement lorsqu’un signal d’entrée identique est reçu. Remarque pour les utilisateurs de Windows Pour les utilisateurs de Windows, consultez le manuel de votre carte graphique ou le programme d’utilitaire livré avec votre carte graphique et sélectionnez le taux de rafraîchissement le plus élevé possible afin de maximiser les performances du moniteur. Fonction d’économie d’énergie Ce moniteur satisfait aux critères d’économie d’énergie VESA, ENERGY STAR et NUTEK. Lorsqu’aucun signal n’est envoyé à l’ordinateur par l’ordinateur, le moniteur réduit automatiquement la consommation d’énergie comme indiqué ci-dessous.* Lorsque votre ordinateur passe en mode d’économie d’énergie, le signal d’entrée est coupé et l’indication PAS DE VIDEO apparaît à l’écran avant que le moniteur ne passe en mode inactif. Après quelques secondes, le moniteur passe en mode d’économie d’énergie.** “Sommeil profond” est le mode d’économie d’énergie défini par l’agence de protection de l’environnement. MENU

SORT I RRE I N I T I AL I SAT I ONLE MODEACTUELANNULER Mode d’alimentationConsommation électriqueindicateur ! (alimentation)fonctionnement normal≤ 135 W vertinactif*(sommeil profond)**≤ 3 W orangehors tension Approx. 0 W off18 C:\DATAFOLDER\##sagyou##\##01 Jan\407977133CPDG520UC\FR\02FR02BAS-UC.fm masterpage:Left CPD-G520 4-079-771-33 (1) CPD-G520 4-079-771-33 (1) Guide de dépannage Avant de contacter le support technique, reportez-vous à cette section. Si des lignes fines apparaissent à l’écran (fils d’amortissement) Il est normal que des lignes soient visibles sur l’écran de votre moniteur Trinitron, tout spécialement lorsque la couleur d’arrière plan est claire (en général Blanc). Ceci est normal. Ces lignes sont en fait l’ombre des fils d’amortissement employés pour stabiliser la grille d’ouverture. Cette grille est un composant essentiel qui rend le tube d’image Trinitron unique en permettant le passage d’une plus grande quantité de lumière vers l’écran, vous permettant ainsi d’obtenir une image plus lumineuse et plus détaillée. Messages à l’écran Si le signal d’entrée présente une anomalie, l’un des messages suivants apparaît à l’écran. Si l’indication PAS DE VIDEO apparaît sur la ligne

Ceci indique qu’aucun signal n’est entré depuis le connecteur sélectionné. Si l’indication HORS PLAGE DE BALAYAGE apparaît sur la ligne 1 Ceci indique que le signal d’entrée n’est pas pris en charge par les spécifications du moniteur. Pour plus d’informations, voir “Symptômes et remèdes” à la page 19. Affichage du nom du moniteur, de son numéro de série et de la date de fabrication. Alors que l’écran reçoit un signal vidéo, maintenez le bouton MENU enfoncé pendant plus de 5 secondes pour afficher les informations sur ce moniteur. Si le problème persiste, contactez votre revendeur Sony agréé et donnez-lui les informations suivantes.

  • Nom du modèle : CPD-G520
  • Le nom et les caractéristiques de votre ordinateur et de votre carte graphique. 2 Le connecteur sélectionné Ce message indique le connecteur actuellement sélectionné (ENTREE 1 ou ENTREE 2). 3 Les remèdes Les messages suivant apparaissent à l’écran.
  • Si l’indication ACTIVER PAR L’ORDINATEUR apparaît à l’écran, essayez d’appuyer sur n’importe quelle touche du clavier ou de déplacer la souris et assurez-vous que votre carte graphique est correctement et totalement insérée dans le connecteur de bus adéquat.
  • Si VERIFIER CABLE VIDEO apparaît à l’écran, vérifiez que le moniteur est correctement connecté à l’ordinateur (page 6).
  • Si VERIFIER ENTREE SELECT apparaît à l’écran, essayez de changer le signal d’entrée (page 8). Fils d’amortissementI I ONSNFORMATL ' ECRAN FONCT I ONNE 2 :PAS DE V I DEO

ENTREEACT I VER PAR L ' ORD I NATEURVER I F I ER CABLE V I DEOVER I F I ER ENTREE SELECT 2 Le connecteur sélectionné et les fréquences du signal d’entrée actuel Ce message indique le connecteur actuellement sélectionné (ENTREE 1 ou ENTREE 2). Si le moniteur reconnaît les fréquences du signal d’entrée actuel, les fréquences horizontales et verticales sont également affichées. 3 Les remèdes CHANGE SIGNAL PARAMETRE apparaît à l’écran. Si vous remplacez votre ancien moniteur par ce moniteur, rebranchez l’ancien moniteur. Puis réglez la carte graphique de l’ordinateur pour que la fréquence horizontale soit comprise entre 30 – 130 kHz, et que la fréquence verticale soit comprise entre 48 – 170 Hz.

Symptômes et remèdes Si le problème est provoqué par l’ordinateur ou tout autre appareil raccordé, veuillez vous référer au mode d’emploi de l’appareil raccordé. Utilisez la fonction d’autodiagnostic (page 21) si les recommandations suivantes ne vous permettent pas de résoudre le problème. Symptôme Vérifiez Aucune image Si l’indicateur ! (alimentation) n’est pas allumé

  • Assurez-vous que le cordon d’alimentation est raccordé correctement.
  • Vérifiez que le commutateur ! (alimentation) est en position “on”. Si le message PAS DE VIDEO apparaît à l’écran, ou si l’indicateur ! (alimentation) est orange
  • Vérifiez que le câble de signal vidéo est correctement raccordé et que toutes les prises sont fermement enfichées (page 6).
  • Assurez-vous que le réglage du commutateur INPUT est correct (page 8).
  • Vérifiez si les broches du connecteur d’entrée vidéo ne sont pas pliées ou enfoncées. xProblèmes provenant de l’ordinateur ou d’un autre équipement connecté
  • L’ordinateur est en mode d’économie d’énergie. Essayez d’appuyer sur une touche ou de déplacer la souris.
  • Assurez-vous que l’ordinateur est sous tension.
  • Vérifiez que la carte graphique est correctement positionnée dans l’emplacement correct. Si le message HORS PLAGE DE BALAYAGE apparaît à l’écran xProblèmes provenant de l’ordinateur ou d’un autre équipement connecté
  • Vérifiez que la plage de fréquence vidéo correspond à celle spécifiée pour le moniteur. Si vous avez remplacé votre ancien moniteur par ce moniteur, rebranchez l’ancien moniteur et réglez la gamme de fréquences comme suit. Horizontal : 30 – 130 kHz Vertical : 48 – 170 Hz Si aucun message n’est affiché et que l’indicateur ! (alimentation) s’allume en vert ou clignote en orange
  • Utilisez la fonction d’autodiagnostic (page 21). Si vous utilisez un système Macintosh
  • Vérifiez si l’adaptateur Macintosh (non fourni) et le câble de signal vidéo sont correctement raccordés (page 6). L’image scintille, sautille, oscille ou est brouillée
  • Isolez et supprimez les sources potentielles de champs électriques ou magnétiques tels que d’autres moniteurs, des imprimantes laser, des éclairages fluorescents, des téléviseurs ou des ventilateurs électriques.
  • Éloignez le moniteur des lignes à haute tension ou placez un blindage magnétique à proximité du moniteur.
  • Banchez le moniteur sur une autre prise secteur, de préférence raccordée à un autre circuit.
  • Faites pivoter le moniteur de 90° vers la gauche ou la droite. xProblèmes provenant de l’ordinateur ou d’un autre équipement connecté
  • Vérifiez le réglage adéquat pour le moniteur dans le mode d’emploi de votre carte graphique
  • Assurez-vous que le mode graphique (VESA, Macintosh 21" Colore, etc.) et la fréquence du signal d’entrée sont supportés par ce moniteur (Appendix). Même si la fréquence est comprise dans la plage appropriée, il est possible que certaines cartes graphiques aient une impulsion de synchronisation trop étroite pour que le moniteur se synchronise correctement.
  • Ajustez le taux de régénération de l’ordinateur (fréquence verticale) de façon à obtenir la meilleure image possible. L’image est floue • Ajustez la luminosité et le contraste (page 11).
  • Démagnétisez le moniteur* (page 13).
  • Réglez le degré de suppression du moiré afin de réduire le moiré au minimum ou réglez SUPPRESSION MOIRAGE sur INACTIF (page 13). (suite page suivante)20 C:\DATAFOLDER\##sagyou##\##01 Jan\407977133CPDG520UC\FR\02FR02BAS-UC.fm masterpage:Left CPD-G520 4-079-771-33 (1) CPD-G520 4-079-771-33 (1)
  • Si un deuxième cycle de démagnétisation est nécessaire, attendez au minimum 20 minutes pour un résultat optimal. Un bourdonnement peut être audible, ceci est normal. Des images fantômes apparaissent
  • N’utilisez pas de prolongateurs de câble vidéo et/ou de boîtiers de commutation vidéo.
  • Vérifiez si toutes les fiches sont fermement connectées dans leurs prises respectives. L’image n’est pas centrée ou est de taille incorrecte
  • Réglez la fonction AUTO ( ) sur OK (on) dans le menu TAILLE/CENTRAGE (page 12).
  • Ajustez la taille et le centrage (page 11). Veuillez noter qu’avec certains signaux d’entrée et/ou cartes graphiques, la périphérie de l’écran pourra ne pas être totalement utilisée. Les bords de l’image sont incurvés
  • Réglez la géométrie (page 12). Un motif ondulatoire ou elliptique (moiré) est visible
  • Réglez le degré de suppression du moiré afin de réduire le moiré au minimum (page 13). xProblèmes provenant de l’ordinateur ou d’un autre équipement connecté
  • Changez le motif de votre bureau. Les couleurs ne sont pas uniformes
  • Démagnétisez le moniteur* (page 13). Si vous placez à côté du moniteur un appareil qui génère un champ magnétique, comme un haut-parleur, ou si vous changez l’orientation du moniteur, il se peut que les couleurs perdent leur uniformité.
  • Réglez l’alignement (page 13). Le blanc n’est pas blanc • Ajustez la température de couleur (page 14). Les bords des lettres et des lignes soulignées d’une ombre rouge ou bleue
  • Réglez la convergence (page 13). Les touches du moniteur sont inopérantes ( apparaît sur l’écran)
  • Si la fonction de verrouillage des commandes est réglée sur ACTIF, réglez-la sur INACTIF (page 16). La fonction RESTAURER COULEUR ne fonctionne pas
  • Avant d’utiliser cette fonction, le moniteur doit avoir fonctionner normalement (indicateur d’alimentation vert allumé) pendant au moins 30 minutes. Pour plus d’informations sur l’utilisation de la fonction RESTAURER COULEUR, voir page 16.
  • Réglez les paramètres du mode d’économie d’énergie pour que le moniteur reste en mode de fonctionnement normal pendant plus de 30 minutes.
  • Le moniteur peut progressivement perdre sa capacité à exécuter cette fonction en raison du vieillissement naturel du tube image. Un bourdonnement est audible juste après la mise sous tension
  • C’est le son provoqué par le cycle de démagnétisation automatique. Lors de la mise sous tension, l’écran est démagnétisé pendant quelques secondes. Symptôme Vérifiez

Fonction d’auto-diagnostic Le moniteur est équipé d’une fonction d’auto-diagnostic. En cas de problème avec le moniteur ou l’ordinateur, rien n’est affiché à l’écran et 1’indicateur ! (alimentation) de l’écran s’allume en vert ou clignote en orange. Si l’indicateur ! (alimentation) est allumé en orange, l’ordinateur est en mode d’économie d’énergie. Essayez d’appuyer sur une touche ou de déplacer la souris. x Si l’indicateur ! (alimentation) est allumé en vert 1 Débranchez toute prise des connecteurs d’entrée vidéo 1 et 2, ou mettez le ou les ordinateur(s) connecté(s) sous tension. 2 Appuyez sur le bouton ! (alimentation) pour éteindre puis rallumer le moniteur. 3 Maintenez la touche de commande vers le haut pendant 2 secondes avant que le moniteur n’entre en mode d’économie d’énergie.Si les quatre barres de couleurs apparaissent (blanc, rouge, vert et bleu), le moniteur fonctionne correctement. Reconnectez les câbles d’entrée vidéo et vérifiez l’état du ou des ordinateur(s).Si les barres de couleur n’apparaissent pas, il est possible que le moniteur de fonctionne pas normalement. Informez votre revendeur Sony agréé de l’état du moniteur. x Si l’indicateur ! (alimentation) clignote en orange Appuyez sur le bouton ! (alimentation) pour éteindre puis rallumer le moniteur. Si l’indicateur ! (alimentation) est allumé en vert, le moniteur fonctionne correctement Si l’indicateur ! (alimentation) clignote toujours, il est possible que le moniteur ne fonctionne pas normalement. Comptez le nombre de secondes entre les clignotements oranges de l’indicateur ! (alimentation) et informez votre revendeur Sony agréé de l’état du moniteur. Notez soigneusement le modèle et le numéro de série de votre moniteur. Veuillez également noter la marque et le modèle de votre ordinateur et de votre carte graphique. Spécifications CRT Pas d’ouverture de grille de 0,24 mm 21 pouces mesurés en diagonale Déflexion de 90 degrés FD TrinitronTaille de l’image affichée Approx. 403,8 × 302,2 mm (l/h)(16 × 12 pouces) Zone de visualisation de 19,8"RésolutionMaximum Horizontal: 2048 pointsVertical: 1536 lignesRecommandée Horizontal: 1600 pointsVertical: 1200 lignesNiveaux des signaux d’entréeSignal vidéoRVB analogue: 0,700 Vp-p (positif), 75 ΩSignal SYNCH/V séparé ou sync composite: TTL 2 kΩ, sans polaritéSync sur Vert: 0,3 Vp-p (négatif)Zone d’image standard Approx. 388 × 291 mm (l/h) (15

/8 × 11 /2 pouces) Approx. 364 × 291 mm (l/h) (14

/8 × 11 /2 pouces)Fréquence de déflexion* Horizontale: 30 à 130 kHz Verticale: 48 à 170 HzVoltage d’entrée secteur 100 à 240 V AC, 50 – 60 Hz, 2,0 – 1,0 AConsommation électrique Approx. 135 W Dimensions Approx. 497 × 502 × 485 mm (l/h/p) (19

/8 pouces)Poids Approx. 30 kg (66 lb 2 oz)Plug and Play DDC2B/DDC2Bi, GTF**Accessoires fournis Voir page 6* Condition de synchronisation horizontale et verticale recommandée• La largeur de synchronisation horizontale doit être supérieure à 4,8 % de la durée horizontale totale et à 0,8 µs, suivant la valeur la plus grande.• La largeur de suppression horizontale doit être supérieure à 2,3 µsec.• La largeur de suppression verticale doit être supérieure à 450 µsec.** Si le signal d’entrée est compatible avec la Generalized Timing Formula (GTF), la fonction GTF du moniteur fournit automatiquement une image optimale pour l’écran.La conception et les spécifications sont sujettes à modifications sans préavis.INPUTPICTURE EFFECT MENU

Assistant notice
Powered by ChatGPT
En attente de votre message
Informations produit

Marque : SONY

Modèle : CPDG520P

Catégorie : Autres accessoires informatique