Revolution85+ ERV1020EWT - Alimentation électrique ENERMAX - Notice d'utilisation et mode d'emploi gratuit
Retrouvez gratuitement la notice de l'appareil Revolution85+ ERV1020EWT ENERMAX au format PDF.
| Caractéristiques techniques | Alimentation ATX 12V, 1000W, certification 80 PLUS Gold |
|---|---|
| Connectivité | Connecteurs PCI-E, SATA, Molex, 24 broches |
| Utilisation recommandée | Idéal pour les systèmes de jeu et les stations de travail hautes performances |
| Ventilation | Ventilateur de 135 mm avec contrôle intelligent de la vitesse |
| Dimensions | 150 mm (L) x 86 mm (H) x 190 mm (P) |
| Poids | 3.5 kg |
| Garantie | 3 ans |
| Maintenance | Filtres à poussière amovibles, nettoyage recommandé régulièrement |
| Sécurité | Protection contre les surcharges, courts-circuits et surchauffes |
| Informations supplémentaires | Conforme aux normes RoHS, faible bruit de fonctionnement |
FOIRE AUX QUESTIONS - Revolution85+ ERV1020EWT ENERMAX
Questions des utilisateurs sur Revolution85+ ERV1020EWT ENERMAX
0 question sur cet appareil. Repondez a celles que vous connaissez ou posez la votre.
Poser une nouvelle question sur cet appareil
Téléchargez la notice de votre Alimentation électrique au format PDF gratuitement ! Retrouvez votre notice Revolution85+ ERV1020EWT - ENERMAX et reprennez votre appareil électronique en main. Sur cette page sont publiés tous les documents nécessaires à l'utilisation de votre appareil Revolution85+ ERV1020EWT de la marque ENERMAX.
MODE D'EMPLOI Revolution85+ ERV1020EWT ENERMAX
Manuel d'utilisateur
Chers clients,
Merci d'avoir choisi l'alimentation ENERMAX REVOLUTION85+! Veuillez lire avec attention ce manuel avant de procéder à l'installation de l'alimentation.
Nous souhaiterions attirer votre attention sur le fait qu'un ordinateur est fragile, qui demande de respecter certaines conditions pour fonctionner de façon optimale. Pour éviter tous problèmes et augmenter la durée de vie de votre système, nous vous suggérons de :
- Ne pas placer votre système près d'un radiateur ou de toutes autres sources de chaleur
- Ne pas placer votre système près d'une source magnétique
- Ne pas placer votre système dans une pièce humide, et/ou salle, et/ou un environnement soumis à des vibrations
- Ne pas exposer votre système à la lumière directe du soleil
- Suffisamment refroidir votre système par l'ajout de ventilateurs supplémentaires si nécessaire
- Si vous utilisez une rallonge électrique, assurez-vous qu'elle puisse supporter le courant nécessaire au bon fonctionnement de tous les appareils connectés. Sinon déportez le branchement des appareils à forte consommation électrique sur une autre prise murale. Si vous dépassez les capacités de charge maximale supportées par votre câble électrique, vous risquez de couper l'alimentation.
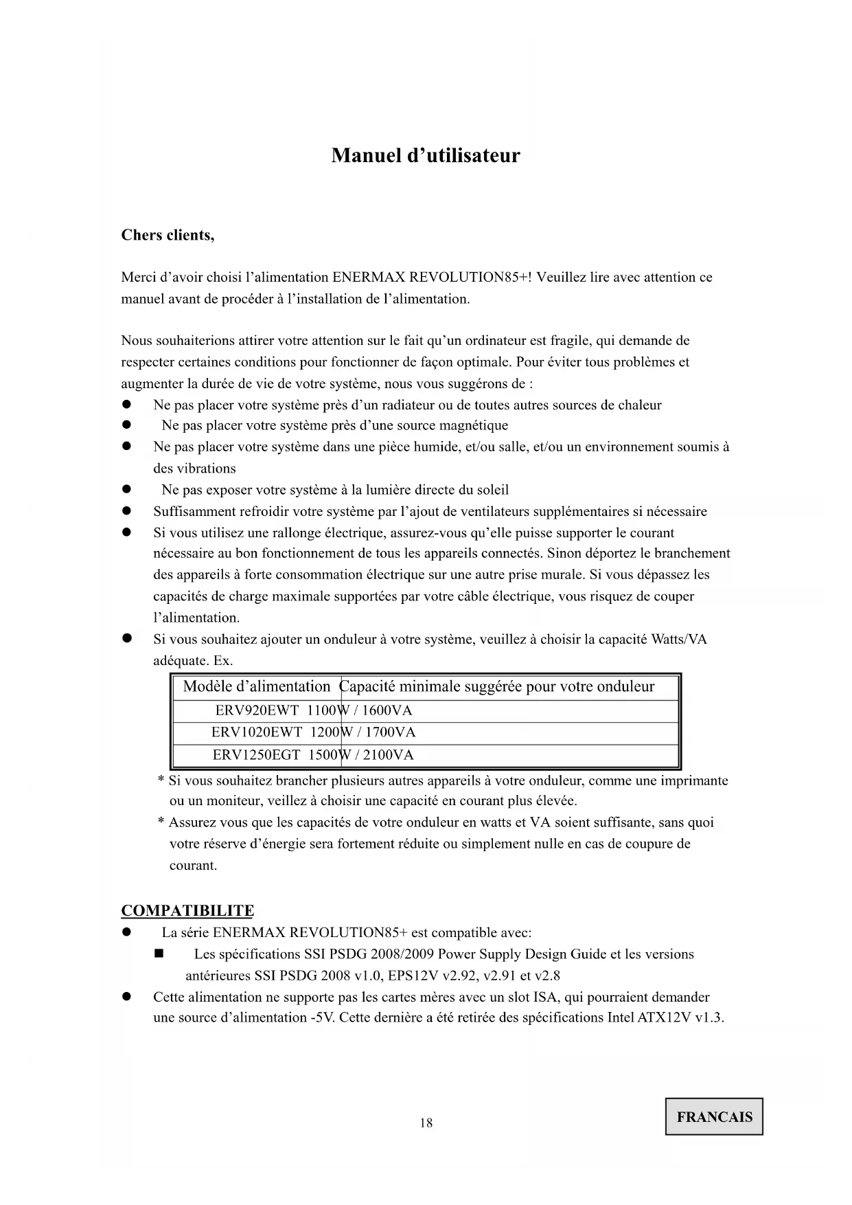
- Si vous souhaitez ajouter un onduleur à votre système, veuillez à choisir la capacité Watts/VA adéquate. Ex.
| Modèle d'alimentation Capacité minimale suggérée pour votre onduleur |
| ERV920EWT 1100W / 1600VA |
| ERV1020EWT 1200W / 1700VA |
| ERV1250EGT 1500W / 2100VA |
* Si vous souhaitez brancher plusieurs autres appareils à votre onduleur, comme une imprimante ou un moniteur, veillez à choisir une capacité en courant plus élevée.
* Assurez vous que les capacités de votre onduleur en watts et VA soient suffisante, sans quoi votre réserve d'énergie sera fortement réduite ou simplement nulle en cas de coupure de courant.
COMPATIBILITE
La série ENERMAX REVOLUTION85+ est compatible avec:
■ Les spécifications SSI PSDG 2008/2009 Power Supply Design Guide et les versions antérieures SSI PSDG 2008 v1.0, EPS12V v2.92, v2.91 et v2.8
- Cette alimentation ne supporte pas les cartes mères avec un slot ISA, qui pourraient demander une source d'alimentation -5V. Cette dernière a été retirée des spécifications Intel ATX12V v1.3.
ELEMENTS PRATIQUES

text_image
920/1020W 1250W① Câble de sortie: Veuillez vérifier les section “Câbles & Connecteurs”.
② Ventilateur ^4
③ Ventilation en Nid d'abeille ^1
④ Bouton ON/OFF: (I=ON, O=OFF). ^#2
⑤ CordGuard ^#3
⑥ Connecteur AC ^2
⑦ LED PowerGuard
1 Pour assurer un refroidissement optimal de votre système, veillez à ne pas obstruer les entrées et sorties d'air de l'alimentation.
Cette alimentation intègre la fonction HeatGuard. Lorsque le système est éteint, ou bien en mode veille ACPI S3/S4, le ventilateur de l'alimentation continuera à dissiper la chaleur de votre système pendant 30 à 60 secondes, et prolonger la durée de vie du système.
2 Lorsque vous assemblez ou réparez votre système, veuillez débrancher le câble d'alimentation ou bien mettre le bouton sur la position 'O'.
3 Le câble d'alimentation peut se décrocher très facilement. Le système ENERMAX CordGuard permet de fixer le câble d'alimentation sur l'alimentation, rendant la déconnexion quasi impossible.
① Mettre l'alimentation dans le boîtier, et vous assurer que le bouton est bien sur la position"O".

② Insérer simultanément les deux côtés du système de fixation CordGuard dans l'emplacement prévu à cet effet proche du connecteur d'alimentation.

③ Brancher le câble dans l'alimentation.

④ Refermer le système CordGuard pour bloquer le câble d'alimentation.

- CordGuard est compatible avec le câble A.C. fourni avec l'alimentation ENERMAX fonction CordGuard. Les autres câbles A.C. sont susceptibles d'être incompatibles.
- Lorsque vous réalisez des manipulations du système, veuillez retirer le câble d'alimentation de la prise murale ou mettre l'alimentation en position 'O'.
CABLES & CONNECTEURS
Tous les connecteurs sont étudiés pour éviter une mauvaise insertion. Si vous ne parvenez pas à insérer facilement un câble dans un connecteur, veuillez vérifier son sens d'insertion. Ne pas forcer ou modifier les connecteurs. Cela pourrait endommager votre système ou l'alimentation. La garantie sera annulée.
Veuillez suivre les instructions ci-dessous pour le branchement des câbles modulaires.

text_image
920/1020W 1250W ◇ +3.3V ▽ +5V ○ +12 V4 ■ +12 V3 ▲ +12 V2 ● COM ◇ +3.3V ▽ +5V ▲ +12 V4 □ +12 V5 ■ +12 V6 ● COM ● Sockets ROUGES 12P (P=broche): Les sockets rouges fournissent du 12V aux câbles modulaires pour les cartes graphiques, CPU et mémoire. ● Sockets NOIR 5P (P=broche): Les sockets noirs fournissent aux câbles modulaires du 3.3V/5V/12V pour les disques durs et autres périphériques.- CONNECTOR TYPES
![]() | 24P Carte MèreCâble indigène, courant 12V distribué par 12V1Pour la nouvelle génération de cartes mères serveur et stations de travail ATX/EEB/CEB |
![]() | 8P CPU +12VCâble indigène, courant 12V distribué par 12V1(920/1020W) / 12V1+V2(1250W)Pour les serveurs et stations de travail multi-CPU et certaines mono CPU. |
![]() | 4+4P (8P) CPU +12V, en mode combinéCâble indigène, courant 12V distribué par 12V1(920/1020W) / 12V1+V2(1250W)La configuration 8-pins supporte les serveurs et stations de travail multi-CPU et certaines mono CPU. |
![]() | 4+4P (8P) CPU +12V, en mode séparéCâble indigène, courant 12V distribué par 12V1(920/1020W) / 12V1+V2(1250W)La configuration 4-pins supporte les systèmes mono CPU. Certaines stations de travail ou serveurs multi-CPU pourraient avoir besoin de ce connecteur 4-pins 12V supplémentaire.Veuillez utiliser le connecteur marqué“12V”. |
![]() | 6+2P (8P) PCI Express, en mode combinéCâble indigène, courant 12V distribué par 12V4(920/1020W) / 12V3(1250W)La configuration 8-pins supporte les dernières cartes graphiques PCI-E. |
![]() ![]() | 6+2P (8P) PCI Express, en mode séparé / 6P PCI ExpressCâble indigène, courant 12V distribué par 12V4(920/1020W) / 12V3(1250W)La configuration 6-pins supporte la plupart des cartes graphiques PCI-E. SATA^\#1 Pour les disques durs/ lecteurs optique SATA/SAS. |
![]() | 4P Molex^\#2 Pour les disques durs/ lecteur optique IDE/SCSI/SAS ou quelques cartes graphiques AGP. |
![]() | FDDPour lecteur de disquette |
![]() | FM (Monitoring ventilateur)^\#3 Pour détecter le tours/minute du ventilateur (seulement 1250W) |
1 Certains disaues dures SATA peuvent accepter une alimentation SATA ou 4P Molex. Utiliser l'un des deux connecteurs, et JAMAIS les deux en même temps.
2 Certaines cartes mères nécessitent de partager le connecteur 12V. Si votre carte mère supporte déjà le connecteur 24P, il n'est pas nécessaire d'ajouter le 4P Molex. Vérifier le manuel de votre carte mère pour plus d'informaton.
3 La plupart des cartes mètres offrent entre 2 et 4 sockets 3-pins pour alimenter le ventilateur, mais seulement un ou deux peuvent supporter le signal RPM du ventilateur. Si votre BIOS ou votre logiciel de monitoring ne parvient pas à lire la vitesse de rotation de votre ventilateur, changez simplement le connecteur à l'autre socket.
• CABLES MODULAIRES FOURNIS
Utiliser uniquement les câbles modulaires certifiés par ENERMAX et fournis avec l'alimentation. Les autres câbles pourraient ne pas être compatibles et pourraient endommager votre alimentation, votre système, et annuler la garantie.
![]() | EMC012: 3 x 4P Molex (IDE/SCSI) drivesCâble modulaire pour lecteur et autres périphériquesIDE/SCSI./SAS |
![]() | EMC013: 3 x 4P Molex (IDE/SCSI) drives & 1 X FDD connectorCâble modulaire pour lecteur et autres périphériquesIDE/SCSI/SAS, plus connecteur d'alimentation pour 1 FDD. |
![]() | EMC014: 2 x 6+2P (8P) PCI-E 2.0Câble modulaire pour 1 ou 2 cartes graphiques nécessitant des connecteurs PCI-E 6P ou 8P. |
![]() | EMC017: 4 x SATA drivesCâble modulaire pour lecteurs SATA/SAS comme les disques durs et lecteurs optiques. |
■ Les câbles modulaires fournis sont différents suivants les modèles et les pays.
Nous proposons des câbles optionnels. Pour les découvrir, visitez www.enermax.com
A l'intention des intégrateurs: Si votre configuration nécessite des câbles modulaires spéciaux, veillez contacter votre représentant commercial Enermax.
● BRANCHER / DEBRANCHER UN CABLE MODULAIRE
![]() | Brancher un câble modulaire à l'alimentationLe connecteur 5P / 12P des câbles modulaires porte une flèche:Procédez ainsi pour connecter un câble:1. Connecteur noir sur socket noir, et rouge avec rouge.2. Les flèches blanches se rencontrent.3. Ainsi la connexion est possible. |

Débrancher un câble modulaire de l'alimentation
Les connecteurs 5P / 12P des câbles modulaires ont deux crochets de sûreté qui s'accrochent au socket de l'alimentation. Pour retirer le câble, appuyez sur les deux crochets et tirer doucement.
DEMARRER VOTRE SYSTEME
Avant de démarrer votre système, veuillez vérifier les points suivants:
- Le connecteur d'alimentation principal est correctement branché (24P).
- Le connecteur CPU +12V (4P ou 8P), et/ou le connecteur 4P Molex (si nécessaire) sont correctement branchés.
- Tous les autres connecteurs nécessaires sont correctement branchés.
- Le cordon d'alimentation doit être connecté à la prise électrique murale et à l'alimentation.
- Fermer le boîtier de votre système.
- Placer le bouton ON/OFF de l'alimentation sur la position 'ON' et votre système est prêt à démarrer.
PROTECTION, PRECAUTION ET SECURITE
Cette alimentation intègre la fonction PowerGuard (1250W) et SafeGuard. Avec la LED tricolore, vous pourrez facilement interpréter les messages en cas de problèmes. Lors de dysfonctionnement important, l'alimentation s'éteint automatiquement pour prévenir le risque d'endommagement de votre système.
| LED | Bouton ON/OFF | Informations & procédures |
| Eteinte | OFF | * Pas de courant- Placer le bouton ON/FF sur la position ON. |
| Eteinte | ON | * Pas de courant ou dysfonctionnement de l'alimentation- Vérifier si le câble d'alimentation est correctement branché dans la prise murale et sur l'alimentation elle-même. Si la LED ne passe toujours pas à l'orange, contacter le service après-vente ENERMAX. |
| Orange | ON | Etat normal et système en mode veille ou arrêt. |
| Vert | ON | Etat normal et système en fonctionnement. |
| Rouge | ON | * Dysfonctionnement système, protection des circuits activée.Si lorsque vous appuyer sur le bouton ON/OFF l'alimentation refuse de démarrer, et que la LED passé de l'orange au rouge:- La protection court-circuit est activée.- Vérifier toutes les connexions et nettoyez le châssis de tous objets pouvant créer un court-circuit.Si pendant son utilisation, l'alimentation s'éteint soudainement- Touchez l'alimentation pour sentir sa température. Si le métal est chaud, laissez refroidir le système puis redémarrer le puis vérifier si tous les ventilateurs fonctionnent correctement. Si ce n'est pas le cas, remplacer les.- Si le problème recommence, vérifier de nouveaux les connecteurs, et redistribuer différemment les lecteurs sur le rail 12V. |
Si vous avez des questions, merci de contacter ENERMAX ou l'un de ses agents à travers le monde. Les informations contenues dans ce document peuvent être soumises à des modifications sans préavis.
©2010 ENERMAX Technology Corporation. All rights reserved. Toute reproduction, par quelque manière que ce soit, est strictement interdite sans l'autorisation écrite de ENERMAX.














