ESB5700BK - Blender ELECTROLUX - Notice d'utilisation et mode d'emploi gratuit
Retrouvez gratuitement la notice de l'appareil ESB5700BK ELECTROLUX au format PDF.
| Caractéristiques techniques | Blender Electrolux ESB5700BK, puissance 600 W, capacité du bol 1,5 L, 4 lames en acier inoxydable, 2 vitesses + fonction pulse. |
|---|---|
| Utilisation | Idéal pour préparer des smoothies, soupes, sauces et autres mélanges. Facilité d'utilisation avec un design ergonomique. |
| Maintenance et réparation | Bol et couvercle compatibles lave-vaisselle. Lames amovibles pour un nettoyage facile. Vérifier régulièrement l'état des lames et du moteur. |
| Sécurité | Système de sécurité empêchant le fonctionnement si le bol n'est pas correctement installé. Base antidérapante pour une utilisation stable. |
| Informations générales | Poids : 1,5 kg. Dimensions : 38 x 20 x 20 cm. Garantie de 2 ans. Disponible en couleur noire. |
FOIRE AUX QUESTIONS - ESB5700BK ELECTROLUX
Questions des utilisateurs sur ESB5700BK ELECTROLUX
0 question sur cet appareil. Repondez a celles que vous connaissez ou posez la votre.
Poser une nouvelle question sur cet appareil
Téléchargez la notice de votre Blender au format PDF gratuitement ! Retrouvez votre notice ESB5700BK - ELECTROLUX et reprennez votre appareil électronique en main. Sur cette page sont publiés tous les documents nécessaires à l'utilisation de votre appareil ESB5700BK de la marque ELECTROLUX.
MODE D'EMPLOI ESB5700BK ELECTROLUX
Merci d'avoir besoin un produit Electrolux. Pour garantir les valeurs résultats, utilisez toujours des accessoires et pièces de rechange Electrolux d'origine. Ils ont été spécialement concus pour votre produit. Ce produit estçu dans le souci du respect de l'environnement. Tous les éléments en plastique sont marqués d'un symbole de recyclage.
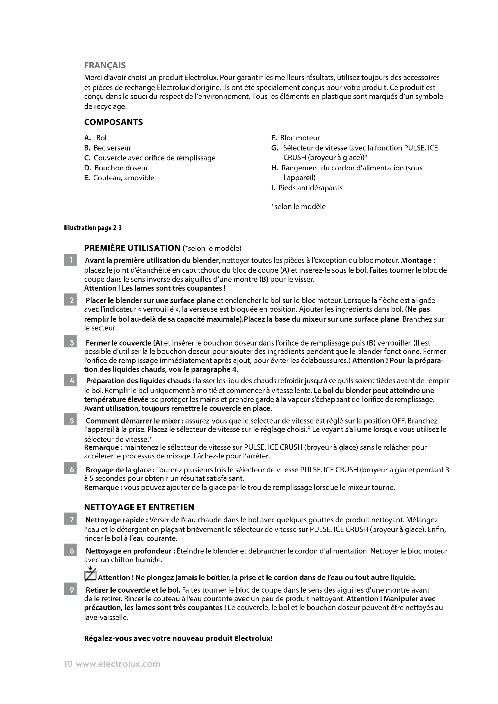
COMPOSANTS
A. Bol
B. Bec verseur
C. Couvercle avec orifice de replissage
D. Bouchon doseur
E. Couteau, amovible
F. Bloc moteur
G. Selecteur de vitesse (avec la fonction PULSE, ICE CRUSH (broyeur à glace))*
H. Rangement du cordon d'alimentation (sous I'appareil)
I. Pieds antidérapants
*selon le modele
Illustration page 2-3
PREMIÈRE UTILISATION (*selon le modele)
1 Avant la première utilisation du blender, nettoyer toutes les pieces à l'exception du bloc moteur. Montage: placez le joint d'etanchéité en caoutchouc du bloc de coupe (A) et inséréz-le sous le bol. Faites tourner le bloc de coupe dans le sens inverse des aiguilles d'une montre (B) pour le visser. Attention! Les lames sont très coupantes!
2 Placer le blender sur une surface plane et enclencher le bol sur le bloc moteur. Lorsque la flèche est alignée avec l'indicateur « verrouillé», la verseuse est bloquée en position. Ajouter les ingrédients dans bol. (Ne pas replir le bol au-delà de sa capacité maximale). Placez la base du mixeur sur une surface plane. Branchez sur le secteur.
3 Fermer le couvercle (A) et inserer le bouchon doseur dans l'orifice de replissage puis (B) verrouiller. (Il est possible d'utiliser la le bouchon doseur pour ajouter des ingrédients pendant que le blender fonctionne. Fermer l'orifice de replissage immeditatement après ajout, pour éviter les éclaboussures.) Attention! Pour la préparation des liquides chauds, voir le paragraphe 4.
4 Préparation des liquides chauds : laisser les liquides chauds refroidir jusqu'à ce quils soient tièdes avant de replir le bol. Remplir le bol uniquement à moitié et commencer à vitesse lente. Le bol du blender peut atteindre une température élevé : se protégger les mains et prendre garde à la vapeur s'échappant de l'orifice de replissage. Avant utilise, toujours remettre le couvercle en place.
Comment demarrer le mixer: assurez-vous que le selecteur de vitesse est regle sur la position OFF. Branchez l'appareil à la prise. Placez le selecteur de vitesse sur le réglage choisi. Le voyant s'allume lorsque vous utilisez le selecteur de vitesse. Remarque: maintenez le selecteur de vitesse sur PULSE, ICE CRUSH (broyeur à glace) sans le relâcher pour accélérer le processus de mixage. Lâché-le pour l'arrêter.
6 Broyage de la glace: Tournez plusieurs fois le selectiveur de vitesse PULSE, ICE CRUSH (broyeur a glace) pendant 3 à 5 secondes pour obtenir un résultat satisfaisant. Remarque: vous pouvez ajouter de la glace par le trou de replissage lorsque le mixeur tourne.
NETTOYAGE ET ENTRETIEN
7 Nettoyage rapide : Verser de l'eau chaude dans le bol avec quelques gouttes de produit nettoyant. Mélangez l'eau et le détergent en plaçant brievement le/selecteur de vitesse sur PULSE, ICE CRUSH (broyeur à glace). Enfin, rincer le bol à l'eau courante.
8 Nettoyage en profondeur: Eteindre le blender et debrancher le cordon d'alimentation. Nettoyer le bloc moteur avec un chiffon humide.

Attention! Ne plongez jamais le boitier, la prise et le cordon dans de l'eau ou tout autre liquide.
9 Retirer le couvercle et le bol. Faites tournier le bloc de coupe dans le sens des aiguilles d'une montre avant de le retarder. Rincer le couteau à l'eau courante avec un peu de produit nettoyant. Attention! Manipuler avec précaution, les lames sont très coupantes! Le couvercle, le bol et le bouchon doseur peuvent être nettoyés au lave-vaiselle.
Régalez-vous avec votre nouveau produit Electrolux!
CONSIGNES DE SECURITÉ
Les instructions suivantes doivent être lues attentivement avant d'utiliser la machine pour la première fois.
- Cet apparéil ne doit pas être utilisé par des enfants. Tenez l' apparéil et son cordon hors de la portée des enfants. Cet apparéil peut être utilisé par des personnes aux capacités physiques, sensorielles ou mentales réduites ou par des personnes manquant d'expérience ou de connaissances si elles sont sous surveillance, si elles ont reçu les instructions d'utilisation de l' apparéil qui conviennent et si elles ont compris les risques associés. Ne laissez pas les enfants jouer avec l' apparéil.
- L'appareil doit être branché sur un réseau électrique correspondant à la tension et à la fréquence d'alimentation indiquées sur la plaque signalétique.
- Ne jamais utiliser oumettre en marche l'appareil si
- le cordon d'alimentation est endommagé
- le corps de l'appareil est endommagé.
- Si l'appareil ou le cordon d'alimentation est endommagé, il doit être remplace par le fabricant, l'un de ses réparateurs ou toute autre personne dûment qualifiée afin d'éviter tout danger.
- L'appareil doit toujours être placé sur une surface de travail plane et horizontale.
- Toujours débrancher l'appareil de l'alimentation s'il est laissé sans surveillance et avant assemblage, demontage ou nettoyage.
- Ne jamais toucher les lames ou autres accessoires, que ce soit avec la main ou un outil, pendant que l'appareil est branché.
- Les lames et autres accessoires sont très coupants! Danger de blessure! Prudence lors de l'assemblage, du démontage après utilisation et du nettoyage! S'assurer que l'appareil est débranché de la prise secteur.
Ne pas plonger l'appareil dans I'eau ou tout autre liquide. - Ne pas laisser le mixeur fonctionner pendant plus de 2 minutes d'affilée avec une charge lourde. Àpres 2 minutes d'utilisation avec une charge lourde, laisser le mixeur refroidir pendant au moins 10 minutes.
- Ne pas dépasser le volume de replissage maximum indiqué sur l'appareil.
- Ne mixez jamais de liquides bouillants (max. 90^ ).
- Ne pas utiliser l'apparéil pour remuer de la peinture. Danger, risque d'explosion!
- Ne jamais faire fonctionner l'appareil sans couvercle.
- Ne laissez pas le cordon au contact de surfaces chaudes ouPENDRE dans l'angle d'une table ou d'un plan de travail.
- N'utilise jamais des accessoires ou des pieces fabriqués ou vendus par d'autres fabricants non recommends au risque de blesser des personnes.
- L'appareil ne peut pas etre utilise pour mélanger ou broyer des substances dures et sèches, à l'excection des glaçons.
-
Gardez les mains et les ustensiles à l'extérieur du robot pendant son fonctionnement afin de réduire les risques de blessures graves ou les dommages sur le mixeur.
Assurez-vous que le mixeur est eteint avant de le retirer de son socle. -
Cet apparéil est destiné à un usage domestique uniquement. Le fabricant décline toute responsabilité en cas de dommages résultat d'une utilisation incorrecte ou inadaptée de l' apparéil.
- Cet apparéil est conçu uniquement pour un usage domestique et des situations telles que:
- cuisines réservées aux employés dans des magasins, bureaux et autres lieux de travail;
- bâtiments de ferme;
- pour une utilisation privée, par les clients, dans des hotels et autres lieux deSEDjour;
- en,chambre d'hote.
RECIPES
| TEMPS DE MIXAGE AVEC UNE LOURDE CHARGE |
| 2 minutes |
| QUANTITÉS À FOUETTER ET DURÉES DE FOUETTAGE | ||||
| Ingrédients Quantité Durée Vitesse | ||||
| Crème 200-400 g 50~60 s 1 | ||||
| Remarque : La température de la crème doit être comprise entre 4 et 8 °C | ||||
| VITESSE DE MIXAGE RECOMMANDÉ | |||||
| Recette Ingénieurs Quantité Durée Vitesse | |||||
| Purée de légumes crus | Carottes 20~80 g | 20 à 30 s | 8 | ||
| Pommes de terre | 20~80 g | ||||
| Oignons | 20~80 g | ||||
| Eau | 60~160 | g | |||
| Margaritas à la fraise (cocktail) | Tequila | 240 | ml | 120 s max. | 8 |
| Triple sec | 60 | ml | |||
| Fraisées surgelées | 225 | g | |||
| Jus de citron vert glacé | 145 | g | |||
| Glaçons | 150 | g | |||
| Smoothie à l'ananas et à l'abricot | Tranches d'ananas | 250 | g | 120 s max. | 8 |
| Abricots secs | 40 | g | |||
| Yaourt | 300 | g | |||
| Milkshake | Lait | 150-300 | ml | 20 à 30 s | 4 |
| Glace à la vanille | 200-400 | g | |||
| Banane | ½ - ½ morceaux | ||||
| Coulis de chocolat | 30-60 | g | |||
| Soupe de poireaux et pommes de terre | Pommes de terre | 300 | g | 50 à 60 s | 4 |
| Poireaux | 300 | g | |||
| Eau | 600 | g | |||
| Pâtte à crèpes | Farine de blé | 150 | g | 40 à 50 s | 4 |
| Sel | 1 | Pincée | |||
| Çeufs | 3 | unités | |||
| Lait | 250 | ml | |||
| Eau | 140 | ml | |||
| Beurre | 50 | g | |||
QUANTITÉS À HACHER ET DURÉES DE HACHAGE
GESTION DES PANNES
| Ingrédients Quantité Qualité Durée Quelité Durée Qualité Durée Vitesse | |||||||||
| Chapelure 15~30 g | Grossière | 3 s | Moyenne à | 3 à 5 s | Fine | 5 à 10 s Pulse | |||
| Amandes 20-100 g | 3 s | 3 à 5 s | 10 s Pulse | ||||||
| Poivre | 20-100 g | 3 s | 5 s | 5 à 10 s Pulse | |||||
| PROBLEM | CAUSE | SOLUTION |
| Le blender ne fonctionne pas. | Les éléments ne sont pas correctement assemblés. | S'assurer que les différents éléments du blender soient correctement assemblés. |
| Le sélecteur de vitesse n'est pas dans la bonne position. | Sélectionner la vitesse appropriée. Pour utiliser la fonction Turbo, s'assurer que le sélecteur de vitesse est sur Turbo. | |
| Le bol est trop plein. | Vider le surplus du bol du blender afin de ne pas dépasser sa capacité maximale. | |
| La prise n'est pas correctement branchée. | Vérifier le branchement, ou essayer une autre prise. | |
| Coupure de courant. | Attendez que le courant soit à nouveau rétabli. | |
| Problème fonctionnel. | Contacter un centre/agréé. |
MISE AU REBUT

Ce symbole sur le produit indique qu'il contient une batterie qui ne doit pas etre mise au rebut avec les déchets menagers normaux.

Ce symbole sur le produit ou son emballage indique que le produit ne peut pas etre traite comme un déchet menager Pour recycler votre produit, apportez-le dans un point de recuperation officiel ou un service après-vente d'Electrolux qui pourra-retirer et recycler la batterie et les parties electriques de façon sure et professionnelle. Suivez les reglementations de yours pays concernant la recuperation separée des parties electriques et des batteries rechargeables.
Electrolux se reserve le droit de modifier un produit, ses informations ou ses caractéristiques sans notification préalable.
bJIAPCKN
Bnaoradapm Bn,ue n36paxTe npodyKT Ha Electrolux. 3a da cn rapaHTnpate Ha-n-do6pnte pe3yNTATN, BnHarn n3no3BaTte opunnHa n akcecoapn n pe3epBn qactn Ha Electrolux. Te ca npo3bedeH cneuaJHo 3a Baun npodyKT. To3n npodykt e pa3pa6oTeH C mncbl 3a OKoJHATA cpeA. BcnKn PnactMacob qactn ca o6O3NaeHc c en peuKnipaHe.
KOMNOHEHTN
A. KaHa
B. 4yyp
C. Kanak c OTBOP 3a nJIHeHe
D. Мерптейна чашka
E. Komnnekt HOXOB, pa3rno6reMn
F. Kopnyc Ha eJektpomotopa
G. Konque 3a n36op Ha ckopoctn (c cyhknpuu PULSE, ICE CRUSH (Umnylcho, pa36nbAhe Ha nei))*
H. OTdeneHne 3a np6npahe Ha Ka6ena (pa3nOJKeHO OTdoNy Ha ypeHa)
Nyd dit nye Electrolux produit!