ESB5700BK - Trintuvas ELECTROLUX - Nemokama naudojimo instrukcija
Raskite įrenginio instrukciją nemokamai ESB5700BK ELECTROLUX PDF formatu.
Dažnai užduodami klausimai - ESB5700BK ELECTROLUX
Naudotojų klausimai apie ESB5700BK ELECTROLUX
0 klausimas apie šį prietaisą. Atsakykite į tas, kurias žinote, arba užduokite savo.
Užduokite naują klausimą apie šį prietaisą
Atsisiųskite instrukciją savo Trintuvas PDF formatu nemokamai! Raskite savo instrukciją ESB5700BK - ELECTROLUX ir vėl perimkite savo elektroninį įrenginį. Šiame puslapyje skelbiami visi dokumentai, reikalingi jūsų įrenginio naudojimui. ESB5700BK prekės ženklo ELECTROLUX.
NAUDOJIMO INSTRUKCIJA ESB5700BK ELECTROLUX
Dékojame, kad pasirinkote „Electrolux“ gamini. Noredami uztkrinti geriausius rezultatus, visuomet naudokite originalius „Electrolux“ priedus ir atsargines dalis. Jie sukurti specialiae Jusu gaminiu. Sis gaminys sukurtas galvojant apie aplinka. Visos plastikines dalys yra pazenklintos perdirbimo tikslais.
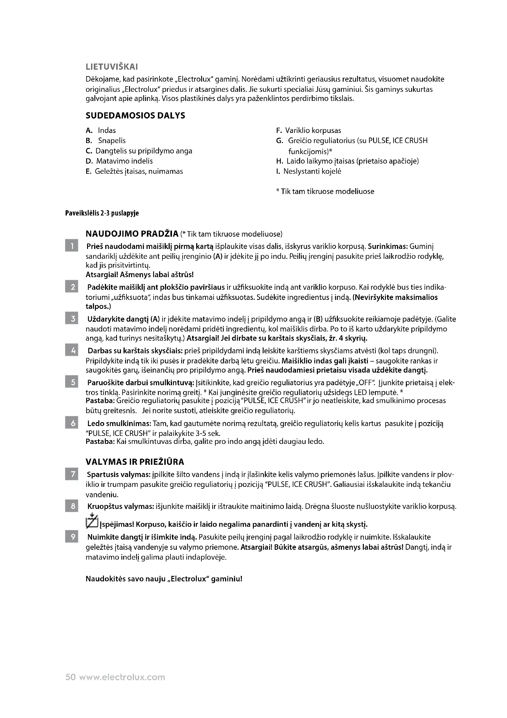
SUDEDAMOSIOS DALYS
A. Indas
B. Snapelis
C. Dangtelis su pripilldymo anga
D. Matavimo indelis
E. Geleztes jtaisas, nuimamas
F. Variklio korpulas
G. Greicio regulatorius (su PULSE, ICE CRUSH fungcjomis)*
H. Laido laikymo jtaisas (prietaiso apacioje)
- Tik tam tikruose modeliuose
Paveikslélis 2-3 pusplayje
NAUDOJIMO PRADZIA (*Tik tam tikruose modeliuose)
1 Pries naudodami maišiklj pirmá karta išplaukite visas dalis, išskyrus variklio korpusa. Surinkimas: Guminj sandariklj uždékite ant peiliu jrenginio (A) ir jdékite jj po indu. Peiliu jrenginj pasukite pries laikrodžio rodykle, kadjis prisitvirtintu.
Atsargial! A'smenys labai astrus!
2 Padekite maišiklj ant plokšćo paviršiaus ir užfíksuokite inda ant variklio korpuso. Kai rodykèle bus ties indika-toriumi „užfíksuota“, indas bus tinkamai užfíksuotas. Sudekite ingredientus j inda. (Neviršykite maksimalios talpos.)
3 Uždarykite dangti (A) ir jdekite matavimo indeli i pripildymo anga ir (B) užfikuokite reikiamoje padetyje. (Galite naudoti matavimo indeli noredami prideti ingredientu, kol maišiklis dirba. Po to iš karto uždarykite pripildymo anga, kad turinys nesitaškytu.) Atsargial! Jei dirbate su karstais skyszcais, Žr. 4 skyriu.
4 Darbas su karstais skysciais: priš pripildydami inda leiskite karstienskysciams atvesti (kol taps drungni). Priptydkite inda tik iki pusés ir tradékite darba letu greiciu. Maisiklio indas gali jkaisti - saugokite rankas ir saugokités garu, išeinanciu pro priptydymo anga. Pries naudodamiesi prietaisu visada uždékite dangti.
5 Paruoskite darbui smulkintuva: Isitikinkite, kad greicio regulatorius yra padetye, OFF". Junkite prietaisaj elek-tros tinkla. Pasirinkite norima greitj. * Kai junqinésite greicio regulatoriuyzsidegs LED lemupte. *
Pastaba: Greicio reguiu pasukite pozicija "PULSE, ICE CRUSH"ir jo neatleiskite, kad smulkinimo procesas buty greitesnis. Jei norite sustoti, atleiskite greicio reguiatoriu.
6 Ledo smulkinimas: Tam, kad gautumete norim匝 rezultata, greicio reguiatoriq kelis kartus pasukite j pozicija "PULSE, ICE CRUSH" ir palaiky kite 3-5 sek.
Pastaba: Kai smulkintuvas dirba, galite pro indo anga ideti daugiau ledo.
VALYMAS IR PrieziURA
7 Spartus valymas: jpilkite silto vandens j inda ir jlasinkite kelis valymo priemones lasus. Jpilkite vandens ir ploviklio ir trumpam pasukite greicio regulatoriuj pozicija "PULSE, ICE CRUSH". Galiausiai iiskalaukite inda tekanciu vandeniu.
8 Kruopstus valymas: isjunkite maiiklj ir istraukite maitinimo laida. Drgna sluoste nu sluostykite variklio korpusa.
Ispejimas! Korpuso, kaiscio ir laido negalima panardinti j vandenj ar kitq skystj.
9 Nuimkite dangtir isimkite inda. Pasukite peiljirengin pagal laikrodzio rdykle ir nuimkite. Iskalaukite geleztes itaisa vandenyje su valymo priemone. Atsargial Bukite atsargus, a smenys labai astris! Dangtj, inda ir matavimo indelj galima plauti indaplovej.
Naudokités savo nauju „Electrolux" gaminiu!
SAUGOS PATARIMAS
Pries naudodami prietais pirma karta atidziai perskaitykite sias instrukcijas.
- Prietaisu negali naudotis vaikai. Prietaisa 日 ir jo laida laikykite vaikams nepasiekiamoje vietoje. Prietaisa gali naudoti asmenys su fisine, jutimine ar protine negalia arba asmenys neturintys patirties ir ziniu, jei jie yra priziurimi ir jiems parodyta, kaip saugiai naudotis prietaisu ir paaiskinta, koks gali kilti pavojus. Negalima leisti vaikams zaisti su prietaisu.
- Prietaisas gali buti prijungtas tik prie maitinimo saltinio, kurio jtampa ir dažnis atitinka duomenu ploksteleje pateiktas specifikacijas!
- Niekada nenaudokite ir neimkite prietaiso, jei: - pazeistas elektros maitinimo laidas, - pazeistas korpusas.
- Jei prietaisas arba elektros maitinimo laidas pazeistas, ji turi pakeisti gamintojas, gamintojo technines prieziuros atstovas arbaKitas kvalifikuotas asmuo, kad butu isvengta pavojaus.
- Visada dékite prietaisā ant plokšćo, lygaus paviršiaus.
- Visada isjunkite prietaisq is maitinimo lizdo, kai jo nenaudojate arba pries jj surinkdami, isrinkdami arba valydami.
- Niekada ranka nelieskite ašmenu, viduje esanciu detaliu arba bet kokiu kitu jrankiu, kai prietaisas jjungtas.
- Asmenys ir viduje esancios detales yra labai astrus! Pavojus susizeisti! Bukite atsargus surinkdami, isrinkdami prietaisapo naudojimo arba jj valydami! Isitikinkite, kad prietaisas ijsjungtas is maitinimo lizdo.
Nemerkite prietaiso j vandenj ar bet kokj kita skystj. - Nedirbkite maišikliu ilgiau nei 2 minutes, kai jo apkrova didele. Po 2 minučių darbo didele apkrova maišiklj reikétu paliki atvesti bent 10 minučių.
- Neviršy kite maksimalaus pripilldymo turio, kaip nurodyta ant prietaiu.
- Niekada neapdorokite verdanciu skysciu (maks. 90^ ).
- Nenaudokite šio prietaiso daßams maišyti. Pavojus, galimas sprogimas!
- Niekada nedirbkite prietaisu neuzdeje dangtelio.
- Ziurekite, kad laidas neliestuy karstuy pavirsiuy ir nekabotuy ant stalo ar spinteles krasto.
- Niekada nenaudokite kitu gamintoju rekomenduojamu ar parduodamu priedu ar daliu, nes gali kilti susizalojimo pavojus.
- Prietaiso negalima naudoti kietoms ar sausoms medziagoms maiyi ar smulkinti, išskyrus ledo kubelius.
- Kai naudojates prietaisu, nekiškite ranku ar jrankiu smulkintuva, nes galima sunkiai susizaloti arba sugadinti smulkintuva.
- Jei norite nukelti smulkintuvā nuo stovo, jsitikinkite, kad smulkintuvas ijsjungtas.
-
Sis prietaisas skirtas naudoti tik buityje. Gamintojas neprisiima jokios atsakomybes uz galimā Žalā, padarytā netinkamai naudojan prietaisa arba naudojan ji ne pagal paskirtj.
-
Sie prietaisai yra skirti naudoti buitinians ir panasiems tikslams, pavyzdziui:
-
darbuotoju virtuves patalpose cechuose, biuruose ir kitose darbo aplinkose;
-ukiuose; - viśbučiuose, moteliuose ir kitose gyvenamosiose aplinkose;
-sveciu namuose.
RECEPTAI
| MAKSIMALI MAISTO PRODUKTÜ APDOROJIMO TRUKMÉ ESANT DIDELEİ APKROVAΙ |
| 2 min |
| PLAKIMO KIEKIAI IR APDOROJIMO TRUKMÈ | ||||
| Ingredientai Kiekis Trukmè Greitis | ||||
| Grietinèlè 200-400 g 50~60 sek | 1 | |||
| Pastaba: Grietinèlè reikia atšaldyti iki 4-8 laipsniç Celsijaus temperatūros | ||||
| REKOMENDUOJAMAS MAISYMO GREITIS | ||||
| Receptas Ingredientai Kiekis Trukmè | Greitis | |||
| Šviečić daržović piurè ruošimas | Morkos 20~80 g | 20-30 sek. | ||
| Bulvès | 20~80 | g | ||
| Svogūnai | 20~80 | g | ||
| Vanduo | 60~160 | g | ||
| Braškić „Margarita“ (kokteilis) | Tekila | 240 | ml | ≤120 sek. |
| Likeris "Triple sec" | 60 | ml | ||
| šaldytos braškès | 225 | g | ||
| Šaldytas koncentratas „Lemeade“ | 145 | g | ||
| Ledo kubeliai | 150 | g | ||
| Ananasus ir abrikosç kokteilis | Ananasas griežinélais 250 g | ≤120 sek. | ||
| Džiovinti abrikosai | 40 | g | ||
| Jogurtas | 300 | g | ||
| Piano kokteilis | Pienas | 150-300 | ml | 20-30 sek. |
| Vaniliniai ledai | 200-400 | g | ||
| Bananai | ½ - ½ | vnt. | ||
| Šokoladinis sirupas | 30-60 | g | ||
| Bulvić ir porć sriuba | Bulvès | 300 | g | 50-60 sek. |
| Porai | 300 | g | ||
| Vanduo | 600 | g | ||
| Blynai (plakta tešla) | Kvietiniai miltai | 150 | g | 40-50 sek. |
| Druska 1 Žiupsnelis | ||||
| kiaušiniai | 3 | vnt. | ||
| Pienas | 250 | ml | ||
| Vanduo | 140 | ml | ||
| Sviestas | 50 | g | ||
| SMULKINAMI KIEKIAI IR APDOROJIMO TRUKMÈ | |||||||||
| Ingredientai | Kiekis | Kokybè | Trukmè | Kokybè | Trukmè | Kokybè | Trukmè | Greitis | |
| Duonos džiūvèséliai | 15~30 | g | Rupaus malimo | 3 sek. | Vidutinio rupumo | 3-5 sek. | Smulkiai malti | 5-10 sek. | Pulsavimo režimas |
| Migdolai | 20-100 | g | 3 sek. | 3-5 sek. | 5-10 sek. | Pulsavimo režimas | |||
| Pipirai | 20-100 | g | 3 sek. | 5 sek. | 5-10 sek. | Pulsavimo režimas | |||
TRIKCIU SALINIMAS
| TRIKCIU ŠALINIMAS | |
| Požymis Priežastis Sprendimas | |
| Maišiklis nejsijungia. Sudedamosios dalys netinkamai pritvirtintos. Patikrinkite, ar visos sudedamosios dalys tinkamai jstatytos. | |
| Greicio parinkimo jungiklis netinkamoje padétyje. | Pasirinkite atitinkama greitj. Jei norite naudoti IMPULSO funkcija, patikrinkite, ar greicio parinkimo jungiklis yra padétyje IMPULSAS. |
| Indas perpildytas. lispilkite pertektliu iki galimo maksimalaus kiekio . | |
| Kišukas netinkamai jkištas j maitinimo lizdă. Patikrinkite, ar kišukas jkištas j maitinimo lizdă, arba išméginkite kitā maitinimo lizdă. | |
| Nutrauktas maitinimas. Palaukite, kol maitinimas bus atnaujintas. | |
| Funkciné problema. Susisiekite su jgaliotu aptarnavimo centru. | |
ISMETIMAS

Šis ant gaminio esantis simbolis rodo, kad šiame gaminyje yra akumulatorius, kurio negalima šalinti su jprastomis buitinëmis atliekomis.

Sis simbolis ant gaminio ar jo pakuotes rodo, kad gaminio negalima laikyti buitinemis atlekomis. Noredami perdirbti saver gaminj, nuneskite jj j oficialu surinkimo puncta arba "Electrolux" techninés prieziuros centra, kur bus galima saugiai ir profesionaliai iismti ir perdirbti akumulatoriigir elektrines dalis. Laikykites savosalies taisykiu del atskiro elektriniugaminiir ikraunamukumulatoriuysurinkimo.
"Electrolux" pasilieka teise nepranešusi keisti gaminius, informacijq ir techninius duomenis.
LATVIEŠU
Paldies, ka izvelejaties Electrolux izstradajumu. Labakam sniegumam izveliieties originaos Electrolux pigeonumus un rezervesDSLas. Tie ir paredzeti tiej jusu izstradajumam. Sis izstradajums veidots, domajot par apkartjo vidi. Visas plastmasasDSLas ir paredzetas parradei.
SASTAVDALAS
A. Tvertne
B. Snipis
C. Väks ar filtra atveri
D. Mertrauks
E. Nonemamu asmenu komplekts
F. Motora korpuss
G. Atruma regulators (ar iestatijumu „PULSE, ICE CRUSH" impulsa funkcjai un ledus smalcinaanai)*
H. Vieta vada uzglabasanai (ierices apaksdalā)
I. Neslidosa pamatne
- Tikai atseviškiem modeliem
Attels 2-3. lappuse
DARBA SAKSANA (*Tikai atseviiskiem modeliem)
1 Pirms blenderazmantoosanas pirmo reizi nomazgajiet visas blenderasa sastavdaljas,iznemot motora korpusu. Montaza.Uz asmenu bloka (A) uzstadiet gumijas blivgredzenu.Griezejmehanismu no apakas ievirziet miksera.
trauka un pagrieziet preteji pulkstenraditaja virzienam (B), lidz tas nofiksjas.
Uzmanibul Asmeni ir loti asil
2 Novietojiet blenderi uz lidzenas virmas un nostipriniet tvertni tai paredzetaja vietu uz motora korpusa. Kad bultina atrodas preti "bloketa" stavokla indicatoram, krze ir nofikseta. levietojiet tvertne apstradei paredzetas sastavdalas (neparsniedziet tvertnes maksimalo ietilpibu).
3 Aizveriet vaku (A), pec tam filtra atvere ievietojet mertrauku un (B) nostiprintiet to paredzeta jia viet. (Blendera darbinas laikara varat izmantot mertrauku, lai pievienotu sastvdalas. Lai izvairitos no tvertnes sutura izakstisanas, pec tam nekavejoties aizveriet filtra atveri.) Uzmanibul! Ja apstradajat karstus skidrumus, informaciju skiat 4. para-grafa.
Karstu skidrumu apstrade: pirms tvertnes uzpildisanas atdzesejiet karstus skidrumus, lidz tie klust vesi. Uzpildiet tvertni lidz pusei un saciet skidrumu apstradi ar mazu atrumu. Blendera tvertne var uzkarst, tapec aizsargajiet rokas un izvediniet tvaiku, izmantojot filtratveri. Pirms izmantoasanas vienmer jauzliek vaks.
5 Miksera lietosana. Pärliecinieties, ka atruma regulators atrodas pozicij,OFF". Levietojiet kontaktdaksu kontaktligzdä. Pagrieziet atruma regulatoru vajadzigaj pozicij. Lietojot atruma regulatoru, iemirdzas gaismas diodes indikators. Piezime. Lai paliinatu maisisanas atrumu, neatlaižot pagrieziet atruma regulatoru pozicij, PULSE, ICE CRUSH". Lai apturetu, atlaidiet.
6 Ledus smalcina'sana. Vairakas reizes uz 3-5 sekundem pagrieziet atruma regulatoru pozicija, PULSE, ICE CRUSH" (impulsa fungcijai un ledus smalcina'sanai), lidz ir sasniegts apmierino's rezultats. Piezime. Darba laikpa iepildes atveri var iebert papildu ledus gabalinus.
TIRISHANA UN APKOPE
7 Atrā tirīsāna: uzpildiet tvertni ar siltuūdeni un pievienojiet nelielu daudzumu mazgāsanas lidzekla. Uz dāzām sekundēm pagrieziet Ātruma regulatoru pozicijā „PULSE, ICE CRUSH" (impulsa funkcijai un ledus smalcināsanai), lai samaisituūdeni un mazgāsanas lidzekli. Pec tam noskalojiet tvertni tekošāūdeni.
8 Pamatiga tirisana: izsledziet blenderi un atvienojiet stravas kabeli. Noslaukiet motora korpusu ar mitru dranu. Bridinajums! Nekad neiegremdejiet udeni vai cită skidruma korpusu,kontaktdaksu un vadu.
9 Nonemiet vaku un tvertni. Asmenu bloku pagrieziet pulkstenraditaja virziena un nonemiet. Noskalojiet blenderasmenu komplektu udeni, izmantojot mazgasanas lidzekli. Uzmanibul! Rikojieties piesardzigi, jo asmeni ir loti asil Vaku, tvertni un mertrauku var mazgat trauku mazgajama mašina.
Izbaudiet savu jauno Electrolux izstradajumu!
DROŠIBAS INSTRUKCIJAS
Pirms icerces izmantošanas pirmo reizi rupigi izlasiet talak sniegtos noradijumus.
- So ierici nedrikst lietot berneni. Uzglabajiet ierici un vadu berniem nepieejama vieta. Personas ar ierobežotam fiziskajam, sensoriskajam vai garigajam spejam vai bez pietiekamas pieredzes un zinašanam drikst lietot ierici tikai cites personas uzraudziba vai pec ieprieksejas instrušanas par drošu ierices lietošanu, ja tās apzinās ar lietošanu saistitos riskus. Ierice nav rotallieta. Nelaujiet berniem ar to rodalāties.
- So ierici drikst pievienot tikai tadam strvas avotam, kura spriegums un frekvence atbilst tehnisko specifikaciju plaksnite sniegtajam noradem!
- Neizmantojiet un neparvietrojiet ierici, ja
- stravas vads ir bojats,
- korpuss ir bojats.
- Ja ierie vai stravas vads ir bojats, ražotajam, apkalposanas pärstavim vai kvalificetai personali javeic ierie vai stravas vada nomaña, lai noverstu turpmakus draudus izmantosanas laika.
- Novietojiet ieri uz plakanas, lidzenas virsmas.
- Vienmér atvienojiet iericei stravas padevi, ja icerice paliek neuzraudzita vai pirms icerices montažas, demontažas vai tirisanas. Kad icerice ir pieslegta strvas padevei, nepieskarieties asmeniem vai ieliktniem ar rokam vai citiem rikiem.
- Asmeni un ieliktni ir loti asi! Pieskaroties var gut traumu! Esiet piesardzigi, montejot, demontejot vai tirot erici! Atvienojiet erici no elektrotikla.
Neiegremdejietiericiideni vaita skidruma. - Nedarbiniet blenderilgak par 2 minutem viena reize, ja taja ir ivietots liels sastavdaludaudzums vai gruti sasmalcinamas sastavdalas. Ja blenderir ivietots liels sastavdaludaudzums vai gruti sasmalcinamas sastavdalas un blenderis tiek darbinats jau 2 minutes, atdzesejiet blenderivismaz 10 minutes.
- Neparsniedziet uz ierices noradito maksimalo uzpildes tilpumu.
- Nekad nelejiet blenderī vārošu škidrumu (vairak par 90 °C).
- Neizmantojiet ierici krasas maisisanai. Tas ir bistami, jo blenderis var uzspragt!
Nedarbiniet tuksu ierici. - Nepielauijiet vada saskari ar karstam virsmam un neatstajiet to nokarajoties pari galda vai darba virsmas malai.
- Nekad neizmantojiet citu, neieteiktu ražotāju piederumus vai detalias, jo tā rezultātā var rasties traumas.
- lerici drikst lietot tikai ledus gabaliŋu smalcinăšanai, nevis jebkădu cietu, sausu vielukaisanai vai malšanai.
- Maisisanas laikā neievietojiet traukā rokas vai virtuves piederumus, lai izvairitos no nopietnam personu traumatam vai miksera bojajumiem.
- Pirms miksera trauka nonemšanas vienmér vispirms izslédziet ierici.
-
lerice ir paredzeta tikai majsaimniecibas vajadzibam. Razotajs neuznemes atbildibu par iespejamiem bojajumiem, kas var rasties icerces neatabilstoas vai nepareizas izmantošanas del.
-
lerice paredzeta izmantošanai majsaimniecībā un lidzigiem merkiem, piemēram:
-
personala virtuves zonas veikalos, birojos un citas darba vides;
- lauku majās;
- viesu lietošanai viesnicās, motelos un citās apdzivojamās vidēs;
-viesunamos.
RECEPTES
| MAKSIMÄLAIS DARBINÄSANAS LAIKS AR LIELU SLODZI |
| 2 min |