XEA113 - Cash register SHARP - Free user manual and instructions
Find the device manual for free XEA113 SHARP in PDF.
Download the instructions for your Cash register in PDF format for free! Find your manual XEA113 - SHARP and take your electronic device back in hand. On this page are published all the documents necessary for the use of your device. XEA113 by SHARP.
USER MANUAL XEA113 SHARP
natural_image
Illustration of a modern XE-A113 digital cash register with control panel and keypad (no text or symbols on main body)With Quick Start Guide Mit Schnellstartanleitung Avec Guide de démarrage rapide Con Guía de inicio rápido Met Gids voor snel starten
CAUTION:
The cash register should be securely fitted to the supporting platforms to avoid instability when the drawer is open.
CAUTION:
The socket-outlet shall be installed near the equipment and shall be easily accessible.
VORSICHT:
For a complete electrical disconnection pull out the mains plug.
VORSICHT:
This is a Class A product. In a domestic environment this product may cause radio interference in which case the user may be required to take adequate measures.
Warnung
Thank you very much for your purchase of the SHARP Electronic Cash Register, Model XE-A113.
Please read this manual carefully before operating your machine in order to gain full understanding of functions and features.
Please keep this manual for future reference. It will help you if you encounter any operational problems.
CAUTION!
Never install the batteries into the cash register before initializing it. Before you start operating the cash register, you must first initialize it, then install three new alkaline batteries LR6 ("AA" size) on the register.
Otherwise, distorted memory contents and malfunction of the cash register will occur. For this procedure, please refer to pages 8 to 9.
IMPORTANT
- Be very careful when removing and replacing the printer cover, as the cutter mounted on it is very sharp.
• Install the cash register in a location not subject to direct sunlight, unusual temperature changes, high humidity, splashing water or dust and sand.
Installation in such locations could cause damage to the cabinet, the electronic components and other precision components.
- Never operate the register with wet hands.
The water could seep into the interior of the register and cause component failure.
- When cleaning your register, use a dry, soft cloth. Never use solvents, such as benzine and/or thinner.
The use of such chemicals will lead to discoloration or deterioration of the cabinet.
- The register plugs into any standard wall outlet (official (nominal) voltage).
Other electrical devices on the same electrical circuit could cause the register to malfunction.
- For protection against data loss, please install three alkaline batteries LR6 ("AA" size) after initializing the cash register. When handling the batteries, please observe the following:
Incorrectly using batteries can cause them to burst or leak, possibly damaging the interior of the cash register.
- RISK OF EXPLOSION IF BATTERY IS REPLACED BY AN INCORRECT TYPE. DISPOSE OF USED BATTERIES ACCORDING TO THE INSTRUCTIONS.
- Be sure that the positive (+) and negative (−) poles of each battery are facing in the proper direction for installation.
- Never mix batteries of different types.
- Never mix old batteries and new ones.
- Never leave dead batteries in the battery compartment.
- Remove the batteries if you do not plan to use the cash register for long periods.
- Should a battery leak, clean out the battery compartment immediately, taking care to avoid letting the battery fluid come into direct contact with your skin.
- For battery disposal, follow the corresponding law in your country.
- For complete electrical disconnection, disconnect the main plug.
CONTENTS
INTRODUCTION....1
IMPORTANT....1
CONTENTS....2
Part1 QUICK START GUIDE
STEP1 PARTS AND THEIR FUNCTIONS....5
1 External View ....5
2 Printer 5
3 Mode Switch and Mode Keys....6
4 Keyboard....6
5 Displays....7
6 Drawer Lock Key 7
STEP2 PREPARING THE CASH REGISTER 8
1 Initializing the Cash Register 8
2 Installing Batteries 9
3 Installing a Paper Roll ....10
STEP3 HELP FUNCTION 12
STEP4 BASIC FUNCTION PROGRAMMING....13
1 Abbreviations and Terminology ....13
2 Prior to Programming 13
Procedure for programming....13
Description of special keys....13
Guidance for text programming ....14
3 Language Selection....15
4 Date and Time Programming ....15
5 Tax Programming....16
6 Department Programming ....17
7 PLU (Price Look-Up) and Subdepartment Programming 20
8 Text Programming....22
Clerk names 22
Logo messages 22
9 Programming Other Necessary Items 23
STEP5 BASIC SALES ENTRY 24
1 Basic Sales Entry Example ....24
2 PLU Entry 25
STEP6 CORRECTION 26
1 Cancellation of the Numeric Entry 26
2 Correction of the Last Entry (direct void)....26
3 Correction of the Next-to-last or Earlier Entry (indirect void)....27
4 Subtotal Void 27
5 Correction of Incorrect Entries not Handled by the Direct or Indirect Void Function ....28
STEP7 FULL SALES REPORT (Z REPORT)....29
STEP8 BEFORE CALLING FOR SERVICE 31
Error code table 31
1 Additional Information for BASIC SALES ENTRY 32
2 Error Warning 32
3 Item Entries ....33
Single item entries 33
Repeat entries ......34
Multiplication entries 35
Single item cash sale (SICS) entry 35
4 Displaying Subtotals....36
5 Finalization of Transaction 36
Cash or cheque tendering ....36
Cash or cheque sale that does not require tender entry ....36
Credit sale ....37
Mixed-tender sale 37
6 Computation of VAT (Value Added Tax)/tax 37
VAT/tax system 37
OPTIONAL FEATURES....39
1 Auxiliary Entries....39
Percent calculations (premium or discount) 39
Deduction entries....39
Refund entries 40
Non-add code number entries and printing 40
2 Auxiliary Payment Treatment 41
Currency exchange 41
Received-on-account entries....42
Paid-out entries 42
No sale (exchange) 42
3 Automatic Sequence Key (AUTO key) Entries....42
Part3 FOR THE MANAGER
PRIOR TO PROGRAMMING 43
Procedure for programming....43
Entering character codes with numeric keys on the keyboard 43
Alphanumeric character code table 44
AUXILIARY FUNCTION PROGRAMMING ....45
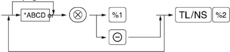
1 Miscellaneous Key Programming....45
Rate for %1 , %2 and 45
Amount for ⊙ 45
Percent rate limitation for %1 and %2 46
Function parameters for %1 , %2 and 46
Function parameters for EX 47
Function parameters for RA, RCPTIPO, CH1, CH2, CR1, CR2 and TL/NS (when using as TL key) .....48
2 Other Text Programming....49
Foreign currency symbol 49
Domestic currency symbol 49
Training mode text....50
Function text ....50
ADVANCED FUNCTION PROGRAMMING ....52
1 Register Number and Consecutive Number Programming ....52
2 Various Function Selection Programming 1....53
Function selection for miscellaneous keys ....53
Print format....54
Receipt print format ....54
Other programming ....55
3 Various Function Selection Programming 2....60
Power save mode....60
Logo message print format....61
Thermal printer density....61
Training clerk specification for training mode 61
AUTO key programming - Automatic sequence key 62
4 EURO Programming 63
5 Reading Stored Programs....64
TRAINING MODE 67
READING (X) AND RESETTING (Z) OF SALES TOTALS....68
EJ REPORT READING AND RESETTING....70
OVERRIDE ENTRIES....71
CORRECTION AFTER FINALIZING A TRANSACTION (Void mode)....71
EURO MIGRATION FUNCTION....72
1 In Case of Power Failure....75
2 In Case of Printer Error 75
3 Cautions in Handling the Printer and Recording Paper....75
4 Replacing the Batteries 76
5 Replacing the Paper Roll....76
6 Removing a Paper Jam....78
7 Cleaning the Printer (Print Head / Sensor / Roller) 78
8 Removing the Drawer....78
9 Opening the Drawer by Hand....78
SPECIFICATIONS ....79
Part1 QUICK START GUIDE
STEP 1
PARTS AND THEIR FUNCTIONS
1 External View
■ Front view Rear view

text_image
Operator display Printer cover Receipt paper XC-4113 Customer display (Pop-up type) AC power cord Mode switch Keyboard Drawer lock Drawer2 Printer

natural_image
Line drawing of a telephone handset with an arrow indicating upward motion (no text or symbols)The printer is one station type thermal printer, therefore it does not require any type of ink ribbon or cartridge.
Lift the rear of the printer cover to remove. To re-install, hook the pawls on the cabinet and close.
Caution: The paper cutter is mounted on the printer cover. Be careful not to cut yourself.

text_image
Take-up spool Print roller arm Print roller release lever Inner cover Paper roll cradle Paper positioning guides Note Do no with the result head.Do not attempt to remove the paper roll with the print roller arm locked. This may result in damage to the printer and print head.
3 Mode Switch and Mode Keys
The mode switch can be operated by inserting one of the two supplied mode keys - manager (MA) and operator (OP) keys. These keys can be inserted or removed only in the "REG" or "Uposition."

flowchart
graph TD
A["Manager key (MA)"] --> B["OP"]
B --> C["OP x/Z"]
C --> D["REG"]
D --> E["MGR"]
E --> F["X1/Z1"]
F --> G["X2/Z2"]
G --> H["PGM"]
H --> I["OP"]
style A fill:#f9f,stroke:#333
style B fill:#ccf,stroke:#333
style C fill:#cfc,stroke:#333
style D fill:#fcc,stroke:#333
style E fill:#cff,stroke:#333
style F fill:#ffc,stroke:#333
style G fill:#cfc,stroke:#333
style H fill:#fcc,stroke:#333
style I fill:#cfc,stroke:#333
The mode switch has these settings:
: This mode locks all register operations. (AC power turns off.) No change occurs to register data.
OP X/Z: To take individual clerk X or Z reports, and to take flash reports. It can be used to toggle receipt state "ON" and "OFF" by pressing the RCPTIPO key.
REG: For entering sales.
PGM: To program various items.
∞ : Enters into the void mode. This mode allows correction after finalizing a transaction.
MGR: For manager's entries. The manager can use this mode for an override entry.
X1/Z1: To take the X/Z report for various daily totals.
X2/Z2: To take the X/Z report for periodic (weekly or monthly) consolidation.
4 Keyboard
■ Keyboard layout

text_image
↑ RA ! %1 / RCPT /PO _ %2 NUMBER ∞ DC RF SHIFT ESC /HELP BS ⊖ SPACE
text_image
⊗ • CL 7 8 9 4 5 6 1 2 3 0 00
text_image
PLU /SUB A DEPT # F DEPT SHIFT K CLK# P 20 4 B 24 8 G 28 12 L 32 16 Q 19 3 C 23 7 H 27 11 M 31 15 R 18 2 D 22 6 I 26 10 N 30 14 S 17 1 E 21 5 J 25 9 O 29 13 T
text_image
VAT U AUTO X CR2 v CH2 Y CR1 w CH1 Z #/TM/ST TL/NS■ Key names

text_image
↑ Paper feed key RA Received-on-account key RCPT /PO Receipt print/Paid-out key ∞ Void key ESC HELP Escape/Help key EX Foreign currency exchange key %1 %2 Percent 1 and 2 keys RF Refund key
text_image
Discount key Multiplication key Decimal point key Clear key 00 0 ~ 9 Numeric keys PLU/Sub department key DEPT # Department code entry key DEPT SHIFT Department shift key
text_image
CLK# 1 17 ~ 32 16 Department keys VAT Value added tax key AUTO Automatic sequence key CR1 CR2 Credit 1 and 2 keys CH1 CH2 Cheque 1 and 2 keys #/TM/ST Non-add code/Time display /Subtotal key TL /NS Total/No sale key5 Displays
■ Operator display Customer display

text_image
PLU/SUB DEPT REPEAT Clerk code 0.3 12.50 RCPT OFF NUMBERSHIFTDC(Pop-up type)

text_image
4.5678.90Amount: Appears in the far-right eight (max.) positions. When the amount is negative, the minus symbol “-” appears before the amount.
Number of repeats for repetitive registrations:
The number of repeats is displayed, starting at "2" and incremental with each repeat. When you have registered ten times, the display will show "0." (2 → 3 …… 9 → 0 → 1 → 2 …)
Receipt function status:
The indicator “_” appears in the RCPT OFF position when the receipt function is in the OFF status.
Time: Appears in the second to sixth positions (using 24-hour format) in the OP X/Z, REG or MGR mode. In the REG or MGR mode, press the #/TM/ST key to display the time.
■ Machine state symbols
P : Appears during programming.
E : Appears with an error code when an error is detected. For the details of error codes, please refer to "Error code table" on page 31.
☐ : Appears when the subtotal is displayed or when the amount tendered is smaller than the sales amount.
C : Appears when the EX key is pressed to calculate a subtotal in foreign currency.
F : Appears when a transaction is finalized by pressing the TL/NS, CH1, CH2, CR1 or CR2 key.
[ : Appears when the change due amount is displayed.
E-E : Appears in the far-left three positions at the timing of key entry when the electronic journal (EJ) memory is full. (Depending on programming.)
L : Appears when the voltage of the installed batteries is under the required level. You must replace with new ones within two days. Refer to page 76 for details.
L : Appears when the batteries are not installed, or the installed batteries are dead. You must replace with new ones immediately. Refer to page 76 for details.
• : May appear right below the eighth and ninth places at the timing of finalization of a transaction when the electronic journal (EJ) memory is nearly full.
Also appears right below the tenth place when power save mode is effective.
E-EU: Appears when programmed date (and time) for EURO modification operation has come.
H : Appears when the print roller arm is not locked.
PPPPPPPPPP : Appears when the paper is not set or out.
6 Drawer Lock Key
This key locks and unlocks the drawer. To lock it, turn 90 degrees counterclockwise. To unlock it, turn 90 degrees clockwise.



STEP2
PREPARING THE CASH REGISTER
Unpack the cash register and make sure all accessories are included. For details of accessories, please refer to "SPECIFICATIONS" section on page 79.
For installing the cash register, find a stable surface near an AC outlet where the cash register will not subject to water sources or direct sunlight.
For preparing the cash register, please follow the three steps shown below; "1 Initializing the Cash Register" on page 8, "2 Installing Batteries" on page 9, and "3 Installing a Paper Roll" on page 10.
1 Initializing the Cash Register
In order to operate the cash register properly, you must initialize it before operating for the first time. Follow this procedure.
- Insert the manager (MA) key into the mode switch and turn it to the REG position.
- Insert the plug of the AC power cord into the AC outlet. The buzzer will sound three times.
IMPORTANT: This operation must be performed without batteries installed.

text_image
OPX/Z REG MGR X1/Z1 X2/Z2 PGM- The cash register has now been initialized. The register display will show "0.00" with "L".

Note
If the buzzer does not sound when the plug is inserted, the initialization has not been done successfully. (This will occur when the voltage is high because you operated the cash register before starting initialization.) Wait at least one minute after pulling out the plug and insert the plug again.
2 Installing Batteries
Three new alkaline batteries LR6 ("AA"size) must be installed in the cash register to prevent the data and user-programmed settings from being erased from the memory, when the AC cord is accidentally disconnected or in case of power failure. Once installed, the batteries will last approximately one year before needing replacement. At this time, the "L symbol will appear on the display to indicate the batteries are low and must be replaced within two days. If the no battery symbol "L" appears, you must install the batteries at once. Do not set the mode switch to the ⏻, ∞ nor PGM positions while "L" is being displayed.
Install three new alkaline batteries LR6 ("AA" size) according to the procedure shown below with the AC cord connected and set the mode switch to the REG position:
-
Push the printer cover forward and detach it. Be careful with the paper cutter, so as not to cut yourself.
-
Open the battery compartment cover next to the paper roll cradle.
-
Install three new alkaline batteries LR6 ("AA" size) as per the diagram. When the batteries are properly installed "L" on the display will disappear.
- Close the battery compartment cover.
Note
- Be sure to observe precautions shown on page 1 when handling batteries. - If you press a key by mistake, an error symbol “” may be displayed. Press the CL key to clear the symbol after installing paper rolls.

natural_image
Technical line drawing of a mechanical assembly with two views (top and bottom) showing internal components and mounting holes (no text or symbols)Caution
“L or “” can be displayed only when the cash register is being turned on. Please be advised that when the cash register is being turned off for a long time, the data in memory might be cleared without the warning symbols: “L or “”. L
3 Installing a Paper Roll
Precaution: The paper cutter is mounted on the printer cover. Take caution when removing and installing the cover.
The register can print receipts or journals. For the printer, you must install the paper roll provided with the register, even when you program the register for not printing receipts or journals. Install the paper roll according to the procedure shown below with the AC cord connected and the mode switch set to the REG position:
- Lift up the print roller release lever to unlock and open the print roller arm.

text_image
Print roller arm Print roller release lever- Set a paper roll in the paper roll cradle as per the diagram.

text_image
To the printer Correct To the printer Incorrect- Feed the end of the paper along with the paper positioning guides as per the diagram.

text_image
Paper positioning guides- While holding down the paper, slowly close the print roller arm, and push down the arm until you hear a click locking the arm. Make sure securely you push down the center of the wing part of the arm as per the diagram. The paper will be fed automatically.

natural_image
Line drawing of a hand installing or adjusting a component inside an open device casing (no text or symbols visible)Note
If the print roller arm is not securely locked, printing is not done right. If this problem occurs, open the arm, and close the arm as instructed above.
5. When not using the take-up spool (using as receipt paper):
- Cut off the excess paper using the edge of the inner cover, and replace the printer cover. Press the ↑ key to make sure the paper end comes out of the printer cover and clean paper appears.
Note
If the paper end does not come out, open the printer cover, and pass the paper end between the paper cutter and the paper guide of the printer cover, and replace the cover.

natural_image
Line drawing of a hand using a tool to adjust or install electronic components inside a device casing (no text or symbols visible)When using the take-up spool (using as journal paper):
- Insert the end of the paper into the slit in the spool. (Press the ↑ key to feed more paper if required.)
- Wind the paper two or three turns around the spool shaft.
- Set the spool on the bearing, and press the key to take up excess slack in the paper.
- Replace the printer cover.
Note
When using a paper roll as journal paper, you must change the printing style. Refer to "Print format" in "Various Function Selection Programming 1" section (Job code 6) for changing the printing style.

natural_image
Mechanical assembly diagram showing a hand operating a gear shift lever inside a vehicle gear (no text or symbols visible)
HELP FUNCTION
The help function allows you to print guidance messages for basic programming procedures of the cash register. This function is available in any mode switch position other than “ ” For more details on each programming, refer to “STEP 4 BASIC FUNCTION PROGRAMMING” on pages 13 to 23.
■ Printing the help menu
Press the ESC HELP key to print the help menu. This menu provides a list of the programming procedures for which you can print the guidance messages.
PrintKey operation

HELP MENU
1 LANGUAGE SELECTION
2 DATE SETTING
3 TIME SETTING
4 LOGO MESSAGE SETTING
5 VAT RATE SETTING
6 VAT ASSIGNMENT TO DEPT
7 PLU PRICE SETTING
8 DAILY Z REPORT PRINT
9 HOW TO SET THE PAPER
TO PRINT ABOVE EACH HELP
By reference to the help menu above, press the corresponding numeric key and then the ESC HELP key to print the guidance message for each programming procedure.
PrintKey operation

3 TIME SETTING
MODE POSITION PGM MODE.
[HHMM] - [#/TM/ST]
HH:00-23
MM:00-59
JOB#61-F: TIME FORMAT
24 HOUR = 1 (DEFAULT)
12 HOUR = 0
EX) PM4:30
(TIME FORMAT=24 HOUR)
1630-[#/TM/ST]
Sample print of TIME SETTING
Note
The ESC HELP key works as the error escape function during a transaction. Finalize the transaction to use the key as the help function.
STEP4
BASIC FUNCTION PROGRAMMING
Before starting sales entries, you must first program necessary items so the cash register suits your sales needs. In this manual, there are three sections, BASIC FUNCTION PROGRAMMING (pages 13-23) where required items must be programmed, AUXILIARY FUNCTION PROGRAMMING (pages 45-51) where you can program for more convenient use of keys on the keyboard, and ADVANCED FUNCTION PROGRAMMING (pages 52-66) where various optional programming features are provided. Find the appropriate features for your needs, and make the necessary programming.
1 Abbreviations and Terminology
Dept.: Department; a category for merchandise classifications. Every sales item should belong to a department.
PLU: Price Look Up; a category for merchandise classifications. PLUs are used to call up preset prices by a code entry.
VAT: Value Added Tax
X report: Report to read sales data
Z report: Report to read and reset sales data
2 Prior to Programming
■ Procedure for programming
- Check to see whether a paper roll is present in the machine. If there is not enough paper on a roll, replace it
with a new one (refer to "Replacing the Paper Roll" on page 76 for the replacement).
-
Put the manager key in the mode switch and turn it to the PGM position.
-
Program necessary items into the cash register.
Every time you program an item, the cash register will print the setting. Please refer to print samples in each section.
- If necessary, issue programming reports for your reference.

text_image
OPX/Z REG MGR X1/Z1 X2/Z2 PGMNote
- On the key operation example shown in the programming details, numbers such as “22102007” indicates the parameter which must be entered using the corresponding numeric keys.
- Asterisks in the tables shown in the programming details indicate default settings.
■ Description of special keys
0, 1 to 9
00
CL
©
⑧
/TM/ST
TL/NS
Numerical key Used for numerical number entry.
Double-zero key Used for parameter entry and character code entry.
Clear key Used for cancel entry.
Point key Used for decimal point entry and right moving entry (as right cursor key).
Multiplication key Used for left moving entry (as left cursor key).
Subtotal key Used for data decision entry.
Finalization key Used for programming termination entry.
■ Guidance for text programming
The register allows you to program texts for department item names (page 19), PLU/subdepartment item names (page 21), function texts (page 50), clerk names (page 22), logo messages (page 22), foreign and domestic currency symbols (page 49), and training mode texts (page 50).
There are two ways for programming text; using character keys on the keyboard or entering character codes with numeric keys on the keyboard. For the latter way, refer to “Entering character codes with numeric keys on the keyboard” on page 43.
Using character keys on the keyboard
You can enter characters according to the small figures printed in the lower right position of the tops. For the layout, please refer to "Keyboard" section on page 6.
The following are used as control keys for character entry:
Toggles between upper-case and lower-case letters. By default, the upper-case letter is selected. Once the SHIFT key is pressed, you are locked in for entering lower-case letters. “_” lights up at the SHIFT position of the display when lower-case letters entry is selected.
NUMBER Press the NUMBER key to enter numeric characters. For example to enter "1", press the NUMBER and ① key. If you press the ① key without pressing the NUMBER key, the cash register goes to character codes entry mode.
Once the NUMBER key is pressed, you are locked in for entering numeric characters. “_” lights up at the NUMBER position of the display when numeric characters entry is selected.
Toggles between single-size and double-size characters. By default, the single-size character is selected. Once the DC key is pressed, you are locked in for entering double size characters. “_” lights up at the DC position of the display when double-size characters entry is selected.
BS Backs up the cursor, erasing the character to the left.
Example
To program the word "Clerk01" with the letter "C" being double size.
To make the letter "C" double size character

To make character size return to normal size

To toggle the characters to lower-case letters


To enter numbers

3 Language Selection
Procedure

flowchart
graph LR
A["#/TM/ST"] --> B["8"]
B --> C["8"]
C --> D["⊗"]
D --> E["*Language (0-3)"]
E --> F["TL/NS"]
E -->|To set "0"| G["End"]
*Language: 0: English
1: German
2: French
3: Spanish
By default, English is set.
PrintKey operation example
/TM/ST 88 ⊗
0 TL/NS
*PGM*
88
0
Caution
When you change the language, the texts such as clerk names (page 22), logo messages (page 22) and function texts (page 50), which you programmed, will be reset to the default settings. The language selection must be made before programming clerk names, logo messages and function texts.
4 Date and Time Programming
Date
For setting the date, enter the date in 8 digits using the day-month-year (DD/MM/YYYY) format, then press the #/TM/ST key.
Procedure
Date(DD/MM/YYYY) → #/TM/ST
PrintKey operation example
22102007 (22 October, 2007)
/TM/ST
*PGM* 22/10/2007 Date
Time
For setting the time, enter the time in 4 digits using the 24-hour format. For example, when the time is set to 2:30 AM, enter 230; and when it is set to 2:30 PM, enter 1430.
Procedure
Time(max. 4 digits in 24-hour format) → #/TM/ST
PrintKey operation example
1430
/TM/ST
*PGM* 14:30 Time
5 Tax Programming
If you program the VAT/tax, the cash register can calculate the sales tax. In the VAT system, the tax is included in the price you enter in the register, and the tax amount is calculated when tendered according to the VAT rate programmed. In the tax system, the tax is calculated when tendered according to the tax rate programmed, and added to the price. The cash register can provide totally 6 kinds of VAT/tax systems (automatic VAT1-4, automatic tax 1-4, manual VAT 1-4, manual VAT 1, manual tax 1-4, and automatic VAT1 and automatic tax 2-4 systems) and 4 kinds of rates. By default, the cash register is pre-programmed as automatic VAT1-4 system.
When you program tax rate(s) and taxable status for each department (by default, VAT1/tax1 is set to taxable.), tax will be automatically added to sales of items assigned to the department according to the programmed tax status for the department and the corresponding tax rate(s).
For details of the tax systems, refer to “Computation of VAT (Value Added Tax)/tax” section on page 37. To change the tax system, please refer to “Other programming” of “Various Function Selection Programming 1” section (Job code 69) on page 59.
■ Tax rate programming
The percent rate specified here is used for tax calculation on taxable subtotals.

flowchart
graph TD
A["#/TM/ST"] --> B["⊗ 9"]
B --> C["⊗"]
C --> D["Tax number (1 to 4)"]
D --> E["To program other kind of tax"]
E --> F["TL/NS"]
F --> G["#/TM/ST"]
G --> H["Sign -/+ = 1/0"]
H --> I["*Sign and tax rate: XYYY.YYYY\nTax rate=0.0000 to 100.0000\nSign -/+ = 1/0"]
I --> J["When the lowest taxable amount is zero"]
J --> K["⊗"]
K --> L["#/TM/ST"]
L --> M["Lowest taxable amount (0.01 to 999.99)"]
M --> N["To program "0.0000""]
N --> O["Sign and tax rate"]

text_image
#/TM/ST 9 ⓧ 2 ⓧ 7 ⓧ #/TM/ST TL/NS PrintKey operation example *PGM* T2 7.0000% 0.00Note
- The lowest taxable amount is valid only when you select add on tax system. If you select VAT (Value added system), it is ignored.
- If you make an incorrect entry before pressing the third ⓧ key in programming a tax rate, cancel it with the Ⓒ key.
- You do not need to enter the trailing zeros of the tax rate (after the decimal point), but you do need to enter the decimal for fractions.
- If you select VAT system, the sign which you program is ignored.
To delete a tax rate, use the following sequence:
Procedure

flowchart
graph LR
A["#/TM/ST"] --> B["⊗"]
B --> C["9"]
C --> D["TL/NST"]
D --> E["box(1 to 4)"] --> F["→"]
F --> G["→"]
6
Department Programming
Merchandise can be classified into a maximum of 50 departments. Items sold using the department keys can later be printed on a report shown as the quantities sold and sales amounts classified by department. The data is useful for making purchasing decisions and other store operations.
Default setting for the VAT/tax statuses and signs are listed below.
Dept. code: VAT/tax status: Sign:
| Dept. 1-10 VAT 1 (+) |
| Dept. 11-20 VAT 2 (+) |
| Dept. 21 VAT 1 (-) |
| Dept. 22-50 VAT 1 (+) |
■
Department status
Procedure

flowchart
graph LR
A["To set all zeros"] --> B["Process Step"]
B --> C["×"]
C --> D["Dept. key ABC DEPTSHIFT"]
D --> E["Output: TIL/NS"]
C --> F["*"]
*To program departments 17 through 32, press the department shift key.

flowchart
graph LR
A["Dept. code"] --> B["DEPT#"]
B --> C["ABCDEFGH"]
C --> D["×"]
D --> E["TL/NS"]
F["To set all zeros"] --> C
To program another department, start from the beginning without pressing the TL/NS key.
Item: Selection: Entry:
| A VAT 4 or tax 4 status Taxable 1 | ||
| Non-taxable* 0 | ||
| B VAT 3 or tax 3 status Taxable 1 | ||
| Non-taxable* 0 | ||
| C VAT 2 or tax 2 status Taxable 1 | ||
| Non-taxable* 0 | ||
| D VAT 1 or tax 1 status Taxable* 1 | ||
| Non-taxable 0 | ||
| E SICS / Normal SICS 1 | ||
| Normal* 0 | ||
| F Sign Negative department 1 | ||
| Positive department* 0 | ||
| G | Entry digit limit | 0-8 (default:8) |
| H | Type of unit price entry | Open and preset 3 |
| Preset only 2 | ||
| Open only* 1 | ||
| Inhibit department key 0 | ||
VAT/tax status (taxable 1 through 4 / non-taxable)
- When any entry of a taxable department is made in a transaction, tax is automatically computed according to the associated tax rate as soon as the transaction is completed.
SICS (Single Item Cash Sale)
- If an entry of a department programmed for SICS is made first, the sale will be finalized as a cash sale as soon as the department key is pressed. If the entry is made after entering a department not programmed for SICS, the sale will not be finalized until the /NS key is pressed.
Entry digit limit
- Set the number of allowable digits for the maximum entry amount for each department. The limit is effective for operations in the REG mode and can be overridden in the MGR mode.
Key operation example

Print

text_image
*PGM* DO2 DEPT. 02 T1 183 -0.00 From left, EGH Tax status Sign(F)Preset unit price
Procedure

flowchart
graph LR
A["To program zero"] --> B["Unit price (max. six digits)"]
B --> C["* DEPTSHIFT"]
C --> D["Dept. key"]
D --> E["TL/NS"]
*To program departments 17 through 32, press the department shift key.
For department 33-50:

flowchart
graph LR
A["Dept. code"] --> B["DEPT#"]
B --> C["Unit price (max. six digits)"]
C --> D["#/TM/ST"]
D --> E["TL/NS"]
C --> F["# program 2016"]
To program another department, start from the beginning without pressing the TL/NS key.
PrintKey operation example


text_image
*PGM* DO1 T1 083 DEPT.01 10.00 Unit priceNote
If a department is not programmed to allow the entry of preset unit prices in functional programming, the department is automatically changed to allow the entry of preset unit prices by this programming entry.
■ Department text (item label) (12 digits)
Procedure

flowchart
graph TD
A["#/TM/ST"] --> B["1"]
B --> C["•"]
C --> D["Dept. key"]
D --> E["Character keys (max.12 digits)"]
E --> F["#/TM/ST"]
F --> G["TL/NS"]
C --> H["Dept. code (1 to 50)"]
H --> I["DEPT#"]
I --> D
D --> J["* DEPTSHIFT"]
J --> C
E --> K["To keep current setting"]
K --> F
style C fill:#f9f,stroke:#333
style F fill:#ccf,stroke:#333
*To program departments 17 through 32, press the department shift key.

(Programming FRUIT for dept.1)
PrintKey operation example

text_image
*PGM* DO1 T1 083 FRUIT 10.00 Text programmed for dept. 17 PLU (Price Look-Up) and Subdepartment Programming
The PLU function allows speedy key entries whereby a price is automatically called up when a code is entered. The subdepartment is a kind of "open PLU", which requires you to enter a price after the PLU code is entered. PLU/subdepartment setting for 1 through 200 codes are available.
■ Unit price and associated department assignment
Procedure

flowchart
graph LR
A["PLU code"] --> B["PLU/SUB"]
B --> C["*² Unit price (max. six digits)"]
C --> D["*¹ DEPTSHIFT"]
D --> E["Associated Dept. key"]
E --> F["TL/NS"]
C -->|To program zero| C
*1: To assign departments 17 through 32, press the department shift key.
When the associated department is department 33-50:

flowchart
graph LR
A["PLU code"] --> B["PLU/SUB"]
B --> C["Associated dept. code (33 to 50)"]
C --> D["DEPT#"]
D --> E["*2 Unit price (max. six digits)"]
E --> F["#/TM/ST"]
F --> G["TL/NS"]
H["10 program zero"] --> E
*2: For a subdepartment, set the limit amount of unit price entry.
To program the following PLU code, start from entering a unit price or an associated department code without pressing the TL/NS key.
To program another PLU code, start from the beginning without pressing the TL/NS key.


text_image
PrintKey operation example *PGM* P001 (O3) 1 PLU.001 1.25 Unit price Associated dept. PLU codeTo delete a PLU code, use the following sequence:
Procedure

flowchart
graph TD
A["PLU code"] --> B["PLU/SUB"]
B --> C["∞"]
C --> D["TL/NS"]
D --> E["To delete another PLU code"]
E --> F["To delete the following PLU code"]
F --> A
■ PLU/subdepartment selection
Procedure

flowchart
graph TD
A["PLU code"] --> B["PLU/SUB"]
B --> C["*A"]
C --> D["#/TM/ST"]
D --> E["TL/NS"]
E --> F["To program another PLU code"]
F --> G["To program the following PLU code"]
G --> C
C --> H["To program "0""]
*: 0 for subdepartment or 1 for PLU

PrintKey operation example

text_image
*PGM* P001 (O3) 0 PLU.001 1.25 —PLU/subdept.Note
When you program the last PLU code, the programming sequence will be complete with a press of the #/TM/ST key.
■ PLU text (item label) (12 digits)
Procedure

flowchart
graph LR
A["/TM/ST"] --> B["• 2"]
B --> C["PLU SUB code"]
C --> D["Character keys (max.12 digits)"]
D --> E["/TM/ST"]
E --> F["TL/NS"]
G["To program another PLU"] --> C
H["To keep current setting"] --> D
I["When the next PLU code immediately follows the one just entered"] --> E
PrintKey operation example


text_image
*PGM* P001 (O3) 0 MELON 1.25 Text programmed for PLU code 1(Programming MELON to PLU1)
8 Text Programming
Please refer to "Guidance for text programming" on page 14 as for how to entering characters.
When you press an appropriate number key (job code number) and press the ⪟ key for text entry just after you start programming with the #/TM/ST key, the cash register will automatically be ready for text entry.
■ Clerk names (12 digits)
Procedure

flowchart
graph LR
A["#/TM/ST"] --> B["5"]
B --> C["•"]
C --> D["Clerk no. (1-10)"]
D --> E["×"]
E --> F["Character keys (max. 12 digits)"]
F --> G["#/TM/ST"]
G --> H["TL/NS"]
I["To program another clerk"] --> D
J["To keep current setting"] --> F
/TM/ST 5
1 ⊗
DAVID
/TM/ST
TL/NS
PrintKey operation example
*PGM*
C#01
DAVID
■ Logo messages (6 lines and 24 digits for each line)
The register can print programmed messages on every receipt. On the standard model, a header 3-line and footer 3-line logo message is printed on the receipt. If you want to print in other logo message format, please change the format. For the programming details, refer to page 61. The options are listed below:
Procedure

flowchart
graph LR
A["#/TM/ST"] --> B["4"]
B --> C["•"]
C --> D["*Line number (1-6)"]
D --> E["⊗"]
E --> F["Character keys (max. 24 digits)"]
F --> G["#/TM/ST"]
G --> H["TL/NS"]
H --> I["To program another line"]
I --> D
style D fill:#f9f,stroke:#333
style E fill:#ccf,stroke:#333
style F fill:#cfc,stroke:#333
style G fill:#fcc,stroke:#333
* "Header 3-line message" type: 1 to 3
"Header 6-line message" type: 1 to 6
"Header 3-line and footer 3-line message" type: 1 to 6 (1 to 3 as header, 4 to 6 as footer)
Logo message print format (3 types)

text_image
Header 1st line Header 2nd line Header 3rd lineHeader 3-line message
| Header 1st line |
| Header 2nd line |
| Header 3rd line |
| Header 4th line |
| Header 5th line |
| Header 6th line |
Header 6-line message

text_image
Header 1st line Header 2nd line Header 3rd line Footer 4th line Footer 5th line Footer 6th lineHeader 3-line message and footer 3-line message (Default setting)
To print the logo message "THANK YOU" using double sized characters and centering on the third line.

text_image
#/TM/ST 4 3 SPACE SPACE SPACE DC THANK SPACE YOU SPACE SPACE SPACE #/TM/ST TL/NSPrintKey operation example
*PGM* THANK YOU
Note
A header 3-line and footer 3-line logo message is preprogrammed when shipped. Please start entering from the first line when you first program a logo message.
9 Programming Other Necessary Items
Decimal point position (tab) setting for domestic currency
By default, "2" is selected. When your country has a different tab setting, you must change the setting. Please refer to "Other programming" of "Various Function Selection Programming 1" (Job code 61) on page 55.
Rounding system
When your country has a special rounding system, such as Switzerland, Norway, Sweden and Denmark, you must change the setting to suit your country. For the setting for Switzerland and Norway, please refer to “Other programming” of “Various Function Selection Programming 1” (Job code 67) on page 57. For the setting for Sweden and Denmark, please refer to “Other programming” of “Various Function Selection Programming 1” (Job code 69) on page 59.
1 Basic Sales Entry Example
Listed below is a basic sales entry example when selling items by cash. For operation details, please refer to "Additional Information for BASIC SALES ENTRY" on page 32.
Mode switch setting
- Turn the mode switch to the REG position.
Clerk assignment
- Enter your clerk code. (For example, clerk code is 1. Press the ① and CLK# key in this order.) The clerk code 1 is automatically selected just after initialization of the cash register.

text_image
OPX/Z REG MGR X1/Z1 X2/Z2 PGMItem entries
-
Enter the price for the first department item. (For example, for 15.00, enter ①⑤⑩₀), and press the appropriate department key.) For department 17 to department 32, press the DEPTSHIFT key first before pressing the department key. For department 33 and above, enter the department code using numeric keys and press the DEPT# key, then enter the price and press the DEPT# key again.
-
Repeat step 3 for all department items.
Displaying subtotals
- Press the #/TM/ST key to display the amount due.
Finalizing the transaction
- Enter the amount received from the customer. (You can omit this step if the amount tendered is the same as the subtotal.)
- Press the TL/NS key, and the change due is displayed and the drawer is opened.
- Tear off the receipt and give it to the customer with his or her change.
- Close the drawer.

text_image
Clerk assignment → 1 CLK# Item entries { 1500 1 17 2300 2 18 Displaying subtotal → #/TM/ST Amount tendered → 4000 Finalizing the transaction → TL/NS -0.1- 0.1 15.00 0.2 23.00 o 38.00 4000 [ 2.00(In this example, tax system is set to automatic VAT 1 and the tax rate is set to 16.00%.)
Receipt printOperator displayKey operation

other
| Item | Value | | :--- | :--- | | DEPT.01 | *15.00 | | DEPT.02 | *23.00 | | SUBTOTAL | *38.00 | | TAX1 ST | *38.00 | | VAT 1 | *5.24 | | NET 1 | *32.76 | | ITEMS | 2Q | | ***TOTAL | *38.00 | | CASH | *40.00 | | CHANGE | *2.00 | | SHARP IS THE BEST |2 PLU Entry
Enter a PLU code using numeric keys and press the PLU/SUB key.
Receipt printOperator displayKey
| Item entries | 1 PLU/SUB | 001 1.50 |
| 71 PLU/SUB | 071 15.00 | |
| 141 PLU/SUB | 141 36.20 | |
| TL/NS | F 52.70 |
| PLU.001 | *1.50 |
| PLU.071 | *15.00 |
| PLU.141 | *36.20 |
| ITEMS | 3Q |
| CASH | *52.70 |
1 Cancellation of the Numeric Entry
If you make an incorrect numeric entry, you can clear the entry by pressing the CL key only before pressing a department key, PLU/subdepartment key, the DEPT# key, the %1 key, the %2 key, the ⊙ key or the RF key.
2 Correction of the Last Entry (direct void)
If you make an incorrect entry relating to a department, PLU/subdepartment, percentage ( %1 and %2 ), discount ( ) or refund, you can void this entry by pressing the key immediately after the incorrect entry.
Receipt printOperator displayKey ope
| 1250 ^22 6 | 06 | 12.50 |
| ∞ | 06 | - 12.50 |
| 2 PLU/SUB | 002 | 1.50 |
| ∞ | 002 | - 1.50 |
| 600 ^24 8 | 08 | 6.00 |
| %1 | -0.90 | |
| ∞ | 0.90 | |
| 1 PLU/SUB | 001 | 3.28 |
| 28 ⊖ | -0.28 | |
| ∞ | 0.28 | |
| 250 RF ^22 6 | 06 | -2.50 |
| ∞ | 06 | 2.50 |
| TL/NS | F | 9.28 |
| DEPT.06 | *12.50 |
| DEPT.06 | ω-12.50 |
| PLU.002 | *1.50 |
| PLU.002 | ω-1.50 |
| DEPT.08 | *6.00 |
| -15.00% | |
| %1 | -0.90 |
| %1 | ω*0.90 |
| PLU.001 | *3.28 |
| (一) | -0.28 |
| (一) | ω*0.28 |
| DEPT.06 | R-2.50 |
| DEPT.06 | Rω*2.50 |
| ITEMS | 2Q |
| CASH | *9.28 |
3 Correction of the Next-to-last or Earlier Entry (indirect void)
You can void any incorrect department entry, PLU/subdepartment entry or item refund entry made during a transaction if you find it before finalizing the transaction (e.g. pressing the TL/NS key). This function is applicable to department, PLU/subdepartment and refund entries only.
Press the ∞ key just before you press a department key, DEPT# key or PLU/SUB key. For the refund indirect void, press the ∞ key after you press the RF key.
Receipt printOperator displayKey
| 1310622 | 06 | 13.10 | |
| 1755723 | 07 | 17.55 | |
| 10PLU/SUB | 010 | 7.15 | |
| 12PLU/SUB | 012 | 3.60 | |
| Correction of a department entry | 250RF622 | 06 | -2.50 |
| 825723 | 07 | 8.25 | |
| 1310∞622 | 06 | -13.10 | |
| Correction of a PLU entry | 12∞PLU/SUB | 012 | -3.60 |
| 250RF∞622 | 06 | 2.50 | |
| Correction of a refund entry | TL/NS | F | 32.95 |
| DEPT.06 | *13.10 |
| DEPT.07 | *17.55 |
| PLU.010 | *7.15 |
| PLU.012 | *3.60 |
| DEPT.06 | R-2.50 |
| DEPT.07 | *8.25 |
| DEPT.06 | -13.10 |
| PLU.012 | -3.60 |
| DEPT.06 | R *2.50 |
| ITEMS | 3Q |
| CASH | *32.95 |
4 Subtotal Void
You can void an entire transaction. Once subtotal void is executed, the transaction is aborted and the register issues a receipt. This function does not work when more than 30 items have been entered.
Receipt printOperator displayKey
| 1310 22^18 | 0.2 | 13.10 |
| 2 | 13.10 | |
| 1755 622 | 0.6 | 17.55 |
| 10PLU/SUB | 0.10 | 7.15 |
| 35PLU/SUB | 0.35 | 10.00 |
| Subtotal void | #/TM/ST | 60.90 |
| ∞ | 0.00 | |
| #/TM/ST | 0.00 |
| DEPT.02 | *13.10 |
| DEPT.02 | *13.10 |
| DEPT.06 | *17.55 |
| PLU.010 | *7.15 |
| PLU.035 | *10.00 |
| SUBTOTAL | *60.90 |
| SBTL | -60.90 |
| ***TOTAL | *O.OO |
5 Correction of Incorrect Entries not Handled by the Direct or Indirect Void Function
Any errors found after the entry of a transaction has been completed or during an amount tendered entry cannot be voided. These errors must be corrected by the manager.
The following steps should be taken:
- If making the amount tendered entry, finalize the transaction.
- Make correct entries from the beginning.
- Hand the incorrect receipt to the manager for its cancellation.
STEP
7
FULL SALES REPORT (Z REPORT)
For reading and resetting the sales data, use the resetting function (Z). Resetting prints all sales information and clears the entire memory except for the GT1 through GT3, Training GT, reset count, and consecutive number.
For more information about resetting (Z) of sales totals, refer to "READING (X) AND RESETTING (Z) OF SALES TOTALS" on page 68.
■ Full sales report
Put the manager key in the mode switch and turn it to the X1/Z1 position.
Key operation

TL/NS

text_image
OPX/Z REG MGR X1/Z1 X2/Z2 PGMSample report

tree
| Node | Value | |---|---| | Mode title*1 | | | Reset counter | | | Net grand total (GT2-GT3) | | | Grand total of plus registration | | | Grand total of minus registration | | | Grand total of training mode registration | | | Dept. code | | | Sales q'ty | | | Sales amount | |
other
| Category | Value | | :--- | :--- | | DEPT. 35 | *27.00 | | D50 | 8 Q | | DEPT. 50 | *20.00 | | *DEPT TL | 34 Q | | *TRANS. * | 1 Q | | %1 | -2.00 | | %2 | -4.50 | | NET 1 | -65.00 | | *TRANS. * | 1 Q | | DEPT. 32 | -36.00 | | DEPT (-) | -36.00 | | *DEPT TL | *525.56 | | *NET 1 | *418.06 | } “+” dept. counter and total } “-” dept. counter and total } Subtotal ⊖ counter and total } Subtotal percent 1 counter and total Net sales total *3
other
| Category | Value | | :--- | :--- | | TAX1 ST | *454.06 | | VAT 1 | *62.63 | | TAX2 ST | *236.16 | | VAT 2 | *15.45 | | TAX3 ST | *236.16 | | VAT 3 | *11.25 | | TAX4 ST | *236.16 | | VAT 4 | *19.50 | | TTL TAX | *108.83 | | NET | *309.23 | | (一) | 1 Q | | %1 | -2.00 | | %2 | -12.00 | | REFUND | -45.00 | | ∞ | 1 Q | | MODE | 1 Q | | MGR ∞ | 1 Q | | SBTL ∞ | 1 Q | | NO SALE | 2 Q | | ***RA | 1 Q | | ***PO | 1 Q | | GUEST | 27 Q | | PAID TL | *419.25 | | AVE. | *15.53 | Taxable 1 total VAT 1 total Tax total Net total without tax Item Θ counter and total Item percent 1 counter and total Refund counter and total REG-mode void counter and total Void-mode transaction counter and total Manager item void counter and total Subtotal void counter and total No-sales counter Received on account counter and total Paid out counter and total Customer counter Paid total Paid total average per customer(To be continued on the next page)

other
| Category | Value | |---|---| | CASH | 19 Q | | CHECK1 | *110.70 | | CHECK2 | 1 Q | | CREDIT1 | 1 Q | | CREDIT2 | 1 Q | | EXCH1 | 1 Q | | DOM. CUR1 | 42.30 | | EXCH2 | *45.00 | | DOM. CUR2 | 1 Q | | EX1 CHK | 369.00 | | DOM. CUR1 | *36.00 | | EX1 CR | 1 Q | | DOM. CUR1 | 50.01 | | ****CID | *53.20 | | *CH ID | *133.05 | | CA/CH ID | *33.00 | | CHK/CG | *166.05 | | ***(C)ID | *2.65 | } Cash counter and total } Cheque 1 sales counter and total } Credit 1 sale and tendering counter and total } Exchange counter and total (in preset rate entry) Domestic currency } Exchange manual rate entry counter and total } Exchange check (in preset rate entry) } Exchange credit (in preset rate entry)*1: When you take X1 report, "X1" is printed.
*2: Printed in the Z1 report only.
*3: When "Memory of difference due to rounding" is set to "yes" the following is displayed here. For changing the setting, refer to "Other programming" (job code 67).
DIFFER
*0.01
*4: When manual tax 1-4 system or auto tax 1-4 system is selected, the following is displayed here. For changing the setting, refer to "Other programming" (job code 69).
NET2
*419.24
Sales total including tax
■ Periodic consolidation
Put the manager key in the mode switch and turn it to the X2/Z2 position.
Key operation

TL/NS

text_image
OPX/Z REG MGR X1/Z1 X2/Z2 PGMSample report

text_image
*Z2* Mode title*1 Z1 0004 Reset counter of daily total Z2 0001 Reset counter of periodic GT1 *00000000418.06 GT2 *00000000614.40 GT3 -00000000196.34 TR *00000000000.00 Grand total ↓The subsequent printouts are the same in format as in the X1/Z1 full sales report.
*1: When you take X2 report, "X2" is printed.
*2: Printed in the Z2 report only
STEP8
BEFORE CALLING FOR SERVICE
The malfunctions shown in the left-hand column below, labelled "Fault," do not necessarily indicate functional faults of the machine. It is therefore advisable to refer to "Checking" shown in the right-hand column before calling for service.
| Fault Checking | |
| (1) The display shows symbols that do not make sense. | Has the machine been initialized properly as shown in “PREPARING THE CASH REGISTER” on page 8?(Note that initialization clears all the data and programmed settings stored in memory.) |
| (2) The display won’t illuminate even when the mode switch is turned to any other position than “☐”. | Is power supplied to the electrical outlet?Is the power cord plug out or loosely connected to the AC outlet? |
| (3) The display is illuminated, but the whole machine refuses registrations. | Is a clerk code assigned to the register?Is the mode switch set properly at the “REG” position? |
| (4) No receipt is issued. • Is the paper roll properly installed? | Is there a paper jam?Is the receipt function in the “OFF” status?Is the print roller arm securely locked? |
| (5) No journal paper is taken up. • Is the take-up spool installed on the bearing properly?Is there a paper jam? | |
| (6) Printing is unusual. • Is the print roller arm securely locked? | Open the print roller arm, and lock the arm by following the instruction of installation.Is the paper roll properly installed?Are the print head/sensor/roller clean? |
| (7) Continuous printing stops. | Display shows “- - - - -”.Printing will automatically restart after several seconds. |
■ Error code table
When the following error codes are displayed, press the Ⓖ key and take a proper action according to the table below.
| Error code | Error status Action | |
| E01 | Registration error Make a correct key entry. | |
| E02 | Misoperation error Make a correct key entry. | |
| E03 | Undefined code is entered. Enter a correct code | |
| E07 | Memory is full (in the AUTO key programming). Program the AUTO key within 25 steps. | |
| E11 | Compulsory depression of the #/TM/ST key for Press the #/TM/ST key and continue the operation.direct finalization | |
| E12 | Compulsory tendering | Make a tendering operation. |
| E32 | No entry of a clerk code | Make a clerk code entry. |
| E34 | Overflow limitation error | Make a registration within a limit of entry. |
| E35 | The open price entry is inhibited. | Make a preset price entry. |
| E36 | The preset price entry is inhibited. | Make an open price entry. |
| E37 | The direct finalization is inhibited. | Make a tendering operation. |
| E67 | Subtotal void is not allowed. | Finalize the transaction, and correct the wrong entries in the∞ mode. |
1 Additional Information for BASIC SALES ENTRY
Clerk assignment
Prior to any item entries, clerks must enter their clerk codes into the register. However, the code entry may not be necessary when the same clerk handles the consecutive transactions.
Receipt ON/OFF function
When you use the printer to issue receipts, you can disable receipt printing in the REG mode to save paper using the receipt ON/OFF function. To disable receipt printing, press the RCFT/PO key in the OP X/Z position. This key toggles the receipt printing status ON and OFF.
The register will print reports regardless of the receipt state, so the paper roll must be installed.
To issue a receipt when receipt ON/OFF function is set to OFF:
If your customer wants a receipt after you finalized a transaction with the receipt ON/OFF function being OFF status, press the RCPTIPO key. This will produce a receipt. However, if more than 30 items were entered, the receipt will be issued in a summary receipt.
Copy receipt
You can print a copy receipt by pressing the RCPTIPO key when the receipt ON/OFF function is in the "ON" status. To realize this function, you must enable the function. Please refer to page 56 (Job code 63).
Power Save Mode
The register will enter into power save mode when no entries are performed based on the pre-programmed time limit (by default, 30 minutes).
When the register goes to the power save mode, all display lights will turn off except the decimal point at the leftmost position. The register will return to the normal operation mode when any key is pressed or a mode is changed with the mode key. Please note when the register is recovered by a key entry, its key entry is invalid. After the recovery, start the key entry from the beginning.
2 Error Warning
In the following examples, your register will go into an error state accompanied with a warning beep and an error symbol “For the display. Clear the error state by pressing the CL key and take the proper action.
Please refer to the error code table on page 31.
- Enter over a 32-digit number (entry limit overflow): Cancel the entry and re-enter the correct number.
- An error in key operation: Clear the error and continue operation.
- An entry beyond a programmed amount entry limit: Check to see if the entered amount is correct. If it is correct, it can be rung up in the MGR mode. Contact your manager.
- An including-tax subtotal exceeds eight digits: Delete the subtotal by pressing the key and press the /NS , 1 , 2 , 1 or 2 key to finalize the transaction.
Error escape function
To quit a transaction due to an error or an unforeseen event, use the error escape function as shown below:

flowchart
graph TD
A["Transaction"] --> B["CL"]
B --> C["ESC/HELP"]
C --> D["ESC/HELP"]
B --> E["To clear the error state"]
The transaction is voided (treated as a subtotal void) and the receipt is issued by this function. If you have already entered a tendered amount, the operation is finalized as a cash sale.
3 Item Entries
■ Single item entries
1. Department entries
The cash register provides a maximum of 50 departments for a merchandise classification. Group attributes, such as taxable status, are applied to items when they are entered to the departments.
- When using the department keys (for department 1 to 32)
For department 1 to 16, enter a unit price and press a department key. If you use a programmed unit price, press a department key only.
For department 17 to 32, enter a unit price, press the DEPTSHIFT key and press a department key. If you use a programmed unit price, press the DEPTSHIFT key and press a department key.
When using a programmed unit price

flowchart
graph LR
A["Unit price *1 (max. 8 digits)"] --> B["DEPTSHIFT"]
B --> C["Department key"]
B --> D["*2"]
D --> C
*1 Less than the programmed upper limit amounts When zero is entered, only the sales quantity is added.
*2 For the departments 17 through 32, press the DEPTSHIFT key.
Note
Please note if you press the same key after using the DEPTSHIFT key, it acts as a repeat entry. For example, when you register an item of dept. 17 using the DEPTSHIFT key and then an item of dept. 1 using the preset unit price, you should use the department code entry key described below for the dept. 1 item. If you just press the 1^17 key to register dept. 1 item, it will act as a repeat entry of dept. 17 item.
- When using the department code entry key
Enter a department (dept.) code and press the DEPT# key, then enter a unit price and press the DEPT# key again. If you use a programmed unit price, enter a dept. code and press the DEPT# key.

flowchart
graph TD
A["Dept. code (1 to 50)"] --> B["DEPT#"]
B --> C["Unit price *1 (max. 8 digits)"]
C --> D["DEPT#"]
D --> E["(In case only preset price entry is allowed.)"]
style B fill:#f9f,stroke:#333
style D fill:#f9f,stroke:#333
*1 Less than the programmed upper limit amounts When zero is entered, only the sales quantity is added.
2. PLU/subdepartment entries
For another merchandise classification, the cash register provides a maximum of 200 PLUs/subdepartments. PLUs are used to call up preset prices by a code entry. Subdepartments are used to classify merchandise into smaller groups under the departments. Every PLU and subdepartment has a code from 1 to 200, and should belong to a department to obtain attributes of that department.
By default, these 200 codes are set to PLU mode and zero for unit price.
- PLU entries

- Subdepartment (open PLU) entries

flowchart
graph LR
A["PLU code"] --> B["PLU/SUB"]
B --> C["Unit price * (max. 8 digits)"]
C --> D["PLU/SUB"]
* Less than the programmed upper limit amounts
When zero is entered, only the sales quantity is added.

flowchart
graph TD
A["Department entry"] --> B["PLU entry"]
A --> C["Subdepartment entry"]
B --> D["11 PLU/SUB 1200"]
B --> E["50 DEPT# 1500 DEPT# 33"]
C --> F["1200 12 28 12 17"]
C --> G["500 DEPTSHIFT 1 14 50 18"]
C --> H["50 DEPT# 1500 DEPT#"]
C --> I["2 PLU/SUB"]
C --> J["TL/NS"]
Receipt printKey operation example

text_image
DEPT.12 *12.00 DEPT.17 *5.00 DEPT.14 *8.25 DEPT.18 *3.25 DEPT.50 *15.00 DEPT.33 *2.50 PLU.002 *1.50 PLU.011 *12.00 ITEMS 8Q CASH *59.50■ Repeat entries
You can use this function for entering a sale of two or more of the same items. Consecutive pressing of a department key, DEPT# key or PLU/SUB key is as shown on key operation example below.

flowchart
graph TD
A["Department entry"] --> B["500 DEPTSHIFT"]
A --> C["1200 12 28 12"]
A --> D["DEPTSHIFT 1 17 1 17"]
A --> E["14 30 14 30"]
A --> F["DEPTSHIFT 2 18 2 19"]
A --> G["50 DEPT# 1500 DEPT# DEPT#"]
A --> H["33 DEPT# DEPT# DEPT#"]
I["PLU entry"] --> J["2 PLU/SUB PLU/SUB PLU/SUB TL/NS"]
K["Subdepartment entry"] --> L["11 PLU/SUB 1200"]
M["PLU enrollment"] --> N["2 PLU/SUB PLU/SUB PLU/SUB TL/NS"]
Receipt printKey operation example

text_image
DEPT.12 *12.00 DEPT.12 *12.00 DEPT.17 *5.00 DEPT.17 *5.00 DEPT.14 *8.25 DEPT.14 *8.25 DEPT.18 *3.25 DEPT.18 *3.25 DEPT.50 *15.00 DEPT.50 *15.00 DEPT.33 *2.50 DEPT.33 *2.50 PLU.002 *1.50 PLU.002 *1.50 PLU.011 *12.00 PLU.011 *12.00 ITEMS 16Q CASH *119.00■ Multiplication entries
When selling a large quantity of items, it is convenient to use the multiplication entry method. Enter quantity using numeric keys and press the Ⓧ key before starting item entry as shown in the example below.
Note
When programmed to allow fractional quantity entries, you can enter up to four integers and three digit decimal, though the quantity is counted as one for sales reports. To enter a fractional quantity, use the decimal point key between integer and decimal, as ⑦•⑤ for entering 7.5.

text_image
Department entry 3 1200 28 5 500 DEPTSHIFT 1 17 3 14 30 5 DEPTSHIFT 2 16 3 50 DEPT# 1500 DEPT# 5 33 DEPT# PLU entry → 3 2 PLU/SUB Subdepart- ment entry → 5 11 PLU/SUB 1200 PLU/SUB TL/NSReceipt printKey operation example
| 3x 12.00 | |
| DEPT.12 | *36.00 |
| 5x 5.00 | |
| DEPT.17 | *25.00 |
| 3x 8.25 | |
| DEPT.14 | *24.75 |
| 5x 3.25 | |
| DEPT.18 | *16.25 |
| 3x 15.00 | |
| DEPT.50 | *45.00 |
| 5x 2.50 | |
| DEPT.33 | *12.50 |
| 3x 1.50 | |
| PLU.002 | *4.50 |
| 5x 12.00 | |
| PLU.011 | *60.00 |
| ITEMS | 32Q |
| CASH | *224.00 |
■ Single item cash sale (SICS) entry
- This function is useful when a sale is for only one item and is for cash. This function is applicable only to those departments that have been set for SICS or to their associated PLUs or subdepartments.
- The transaction is complete and the drawer opens as soon as you press the department key, DEPT# key or PLU/SUB key.

text_image
For finishing → 250 the transaction 1 17Receipt printKey operation example
| DEPT.01 | *2.50 |
| ITEMS | 1Q |
| CASH | *2.50 |
Note
If an entry to a department or PLU/subdepartment set for SICS follows the ones to departments or PLUs/subdepartments not set for SICS, it does not finalize and results in a normal sale.
4 Displaying Subtotals
The subtotal is displayed by pressing the #/TM/ST key. When you press it, the subtotal of all entries which have been made is displayed with the symbol “☐”

Subtotal will not be printed on a receipt on the current factory setting. If you want to print it, change the setting by programming. Refer to "Receipt print format" (Job code 7) on page 54.
5 Finalization of Transaction
■ Cash or cheque tendering
Press the #/TM/ST key to get a subtotal, enter the amount tendered by your customer, then press the TL/NS key if it is a cash tender or press a cheque key (CH1 or CH2) if it is a cheque tender. When the amount tendered is greater than the amount of the sale, the register will show the change due amount with the symbol “ [”. Otherwise the register will show a deficit with the symbol “ ” You now must make a correct tender entry.
Cash tendering

Receipt printKey operation example

text_image
ITEMS 3Q ***TOTAL *7.35 CASH *10.00 CHANGE *2.65Cheque tendering

Receipt printKey operation example

text_image
ITEMS 3Q ***TOTAL *7.35 CHECK1 *10.00 CHANGE *2.65■ Cash or cheque sale that does not require tender entry
Enter items and press the TL/NS key if it is a cash sale or press a cheque key if it is a cheque sale. The register will display the total sale amount.

Receipt printKey operation example

text_image
DEPT.06 *3.00 PLU.010 *7.15 ITEMS 2Q CASH *10.15 In the case of cheque 1 sale ITEMS 2Q CHECK1 *10.15Note
When programmed not to allow "direct non-tender finalization after tendering" (Job code 63, refer to page 56), you must always enter a tender amount.
Credit sale
Enter items and press a credit key (CR1 or CR2).

Receipt printKey operation example

text_image
DEPT.06 *25.00 DEPT.07 *32.50 ITEMS 2Q CREDIT1 *57.50■ Mixed-tender sale
You can perform mixed-tendering of cheque and cash, cash and credit, and cheque and credit.

Receipt printKey operation example

text_image
ITEMS 3Q ***TOTAL *49.50 CASH *9.50 CREDIT2 *40.006 Computation of VAT (Value Added Tax)/tax
■ VAT/ tax system
The cash register may be programmed for the following six VAT/tax systems. The cash register is pre-programmed as automatic VAT 1-4 system.
Automatic VAT 1-4 system (Automatic operation method using programmed percentages)
This system, at settlement, calculates VAT for taxable 1 through 4 subtotals by using the corresponding programmed percentages.
Automatic tax 1-4 system (Automatic operation method using programmed percentages)
This system, at settlement, calculates taxes for taxable 1 through 4 subtotals by using the corresponding programmed percentages, and also adds the calculated taxes to those subtotals, respectively.
Manual VAT 1-4 system (Manual entry method using programmed percentages)

This system provides the VAT calculation for taxable 1 through 4 subtotals. This calculation is performed using the corresponding programmed percentages when the VAT key is pressed just after the #/TM/ST key.
Manual VAT 1 system (Manual entry method for subtotals that uses VAT 1 preset percentages)

flowchart
graph LR
A["#/TM/ST"] --> B["VAT rate"]
B --> C["VAT"]
D["To use a programmed rate"] --> B
This system enables the VAT calculation for the then subtotal. This calculation is performed using the VAT 1 preset percentages when the VAT key is pressed just after the #/TM/ST key. For this system, the keyed-in tax rate can be used.
Manual tax 1-4 system (Manual entry method using preset percentages)

This system provides the tax calculation for taxable 1 through 4 subtotals. This calculation is performed using the corresponding programmed percentages when the VAT key is pressed just after the #/TM/ST key.
After this calculation, you must finalize the transaction.
Automatic VAT 1 and automatic tax 2-4 system
This system enables the calculation in the combination with automatic VAT 1 and automatic tax 2 through 4. The combination can be any of VAT1 corresponding to taxable 1 and any of tax 2 through 4 corresponding to taxable 2 through taxable 4 for each item. The tax amount is calculated automatically with the percentages previously programmed for these taxes.

- The tax status of PLU/subdepartment depends on the tax status of the department which the PLU/subdepartment belongs to.
- VAT/tax assignment symbol can be printed at the fixed right position near the amount on the receipt as follows:




When the multiple VAT/tax is assigned to a department or a PLU, a symbol of the lowest number assigned to VAT/tax rate will be printed. For programming, please refer to “Various Function Selection Programming 1” (Job code 66) on page 57.
| (When the manual VAT 1-4 system is selected) | 1000 1^17 \#/TM/ST /NS |
Receipt printKey operation example
| DEPT.01 | *10.00 |
| SUBTOTAL | *10.00 |
| TAX1 ST | *10.00 |
| VAT 1 | *1.38 |
| NET 1 | *8.62 |
| ITEMS | 1Q |
| CASH | *10.00 |
OPTIONAL FEATURES
1 Auxiliary Entries
■ Percent calculations (premium or discount)
Your register provides the percent calculation for the subtotal and/or each item entry depending on the programming. Refer to "Rate for %1, %2 and EX", "Percent rate limitation for %1 and %2" and "Function parameters for %1, %2 and ⊖"
• Percentage: 0.01 to 100.00% (Depending on the programming) Application of preset rate (if programmed) and manual rate entry are available.
Percent calculation for subtotal

text_image
4 Ⓧ 140 5 21 570 7 23 #/TM/ST 10 %1 TL/NSReceipt printKey operation example

other
| Category | Value | |---|---| | 4x 1.40 DEPT.05 | *5.60 | | DEPT.07 | *5.70 | | SUBTOTAL | *11.30 | | %1 | -10% | | ITEMS | 5Q | | CASH | *10.17 |Percent calculation for item entries

text_image
800 6 22 7 5 %1 15 PLU/SUB %2 TL/NS(When premium and 15% are programmed for the %2 key)
Receipt printKey operation example

other
| Metric | Value | | :--- | :--- | | DEPT. 06 | *8.00 | | %1 | -7.5% | | %1 | -0.60 | | PLU. 015 | *5.00 | | %2 | 15.00% | | %2 | *0.75 | | ITEMS | 2Q | | CASH | *13.15 |■ Deduction entries
Your register allows you to deduct a preset amount or a certain amount manually entered, which are less than a programmed upper limit. These calculations can be after the entry of an item and/or the computation of subtotal depending on the programming. Refer to "Amount for " and "Function parameters for % 1 , % 2 and "
Deduction for subtotal

text_image
575 6 22 10 PLU/SUB #/TM/ST 100 Θ TL/NSReceipt printKey operation example

text_image
DEPT. 06 *5.75 PLU.010 *7.15 SUBTOTAL *12.90 (—) -1.00 ITEMS 2Q CASH *11.90Deduction for item entries

(When a deduction amount of 0.75 is programmed.)
Receipt printKey operation example
| DEPT.07(一) | *6.75-0.75 |
| ITEMS CASH | 1Q *6.00 |
■ Refund entries
For departments 1 to 16, enter the refund amount and press the RF key, and then press the corresponding department key and for departments 17 to 32, enter the refund amount and press the RF key, then press the DEPTSHIFT key and press the corresponding department key (when using the preset price, omit entering the amount). In case of department 33 to 50, enter the department code and press RF key and the DEPT# key, then enter the refund amount and press the DEPT# key if necessary.
For a refund of a PLU item, enter the PLU code and press the RF key, then press the PLU/SUB key.
For a refund of a subdepartment item, enter the PLU code and press the RF key and PLU/SUB key, then enter the refund amount and press the PLU/SUB key.

text_image
250 RF 6 22 41 RF DEPT# 100 DEPT# 7 ⊗ 13 RF PLU/SUB 85 RF PLU/SUB 150 PLU/SUB TL/NSReceipt printKey operation example
| DEPT.06 | R-2.50 |
| DEPT.41 | R-1.00 |
| -7x 2.10 | |
| PLU.013 | R-14.70 |
| PLU.085 | R-1.50 |
| ITEMS | 0Q |
| CHANGE | *19.70 |
■ Non-add code number entries and printing
You can enter a non-add code number such as a customer's code number and credit card number, a maximum of 16 digits, at any point during the entry of a sale. The cash register will print it at once.
To enter a non-add code number, enter the number and press the #/TM/ST key.

Receipt printKey operation example
| #0000000000001230 | |
| DEPT. 06 | *15.00 |
| ITEMS | 1Q |
| CREDIT1 | *15.00 |
2 Auxiliary Payment Treatment
■ Currency exchange

flowchart
graph TD
A["After an entry is completed or After the amount tendered is found smaller than the sales amount in a sales entry"] --> B["*Exchange rate"]
B --> C["EX"]
C --> D["Amount tendered (max. 8 digits)"]
D --> E["TL/NS"]
E --> F["CH1 or CH2"]
E --> G["CR1 or CR2"]
D --> H["CL"]
H --> I["Next registration or payment in domestic currency"]
I --> J["For an additional payment in foreign currency"]
J --> K["Reentry"]
*Exchange rate: 0.000000 to 999.999999
Note
- Press the CL key after pressing the EX key to cancel payment in a foreign currency.
- If "Yes" is selected for cheque and credit operation when tendering in foreign currency in EURO programming, you can finalize a sale in foreign currency using the CH1, CH2, CR1 or CR2 key with preset exchange rate operation.
- If programmed, a foreign currency symbol is printed when you use a preset rate. Refer to "Foreign currency symbol" for the programming.
- Refer to "Rate for %1 , %2 and " for programming the currency exchange rate.
Applying preset exchange rate

flowchart
graph LR
A["Currency exchange"] --> B["Amount tendered in foreign currency"]
C["2300 6 22"] --> D["4650 7 23"]
E["EX"] --> F["10000 TL/NS"]
(When a currency exchange rate of 0.939938 is programmed for the EX key.)
Receipt printKey operation example

other
| Metric | Value | | :--- | :--- | | DEPT. 06 | *23.00 | | DEPT. 07 | *46.50 | | ITEMS ***TOTAL EXCH1 | 2Q *69.50 | | CASH CHANGE | *36.88 | | **TOTAL EXCH1 | 0.939938 US $65.33 | | Domestic currency Exchange rate Foreign currency Domestic currencyForeign currency symbol (Printed if programmed)
Applying manual exchange rate

text_image
Exchange rate → 1 ⊙ 275 EX 10000 TL/NSReceipt printKey operation example

other
| Category | Value | |---|---| | DEPT. 06 | *23.00 | | DEPT. 07 | *46.50 | | ITEMS | 2Q | | ***TOTAL | *69.50 | | EXCH2 | 1.275 | | CASH CHANGE | 88.62 | | CASH CHANGE | 100.00 | | CASH CHANGE | *8.92 |■ Received-on-account entries
When you receive on account from a customer, use the RA key. For the received-on-account (RA) entry, enter the amount, and press the RA key.
Note
Cash tendering only available for RA operation.
12345#/TM/ST
4800 RA
Receipt printKey operation example
#0000000000012345
*48.00
■ Paid-out entries
When you pay an amount to a vendor, use the RCPT:PO key. For the paid-out (PO) entry, enter the amount and press the RCPT:PO key.
Note
Cash tendering only available for PO operation.
54321 #/TM/ST
2300 RCPT/PO
Receipt printKey operation example
#0000000000054321
*23.00
■ No sale (exchange)
When you need to open the drawer with no sale, press the TL/NS key. The drawer will open and printer will print "NO SALE" on the receipt or journal. If you let the machine print a non-add code number before pressing the TL/NS key, a no sale entry is achieved and a non-add code number is printed. Refer to "Other programming" (job code 63) for the programming.
#0000000000045678
3 Automatic Sequence Key (AUTO key) Entries
You can achieve a programmed transaction simply by pressing the AUTO key. Refer to "AUTO key programming - Automatic sequence key" for the programming.

text_image
(AUTO = 500 6^22 TL/NS)Receipt printKey operation example

text_image
DEPT. 06 *5.00 ITEMS 1Q CASH *5.00Part3 FOR THE MANAGER
PRIOR TO PROGRAMMING
■ Procedure for programming
- Check to see whether a paper roll is present in the machine. If there is not enough paper on a roll, replace it with a new one (refer to "Replacing the Paper Roll" on page 76 for the replacement).
- Put the manager key in the mode switch and turn it to the PGM position.
- Program necessary items into the cash register.
Every time you program an item, the cash register will print the setting. Please refer to print samples in each section.
- If necessary, issue programming reports for your reference.

text_image
OPX/Z REG MGR X1/Z1 X2/Z2 PGMNote
- On the key operation example shown in the programming details, numbers such as "22102007" indicates the parameter which must be entered using the corresponding numeric keys.
- Asterisks in the tables shown in the programming details indicate default settings.
■ Entering character codes with numeric keys on the keyboard
For entering numerals, letters or symbols, enter a character code using numeric keys and press the numeric key ⑩. For the character codes, please refer to the alphanumeric character code table on the next page. By doing this, you can program characters other than those on the key tops. For entering numerals and letters using character keys, refer to "Using character keys on the keyboard" on page 14.
- Double-size characters can be made by entering the character code 253 or pressing the DC key. “_” lights up at the DC position of the display when double-size characters entry is selected as shown in the operator display example below.
- All three digits of the character code MUST be entered (even if it starts with zero).
Example
To program the word "SHARP" in double-size characters

text_image
253 00 083 00 072 00 065 00 082 00 080 00 SHARP■ Alphanumeric character code table
| Code | Character | Code | Character | Code | Character | Code | Character | Code | Character |
| 001 | á | 046 | . | 091 | Ä | 136 | → | 193 | j |
| 002 | â | 047 | / | 092 | Ö | 137 | ∽ | 194 | G |
| 003 | ê | 048 | 0 | 093 | Ü | 138 | ∽ | 195 | S |
| 004 | î | 049 | 1 | 094 | ^ | 139 | ◀ | 196 | G |
| 005 | ì | 050 | 2 | 095 | _ | 140 | ▶ | 197 | g |
| 006 | í | 051 | 3 | 096 | ' | 141 | F | 198 | K |
| 007 | ô | 052 | 4 | 097 | a | 142 | T | 199 | k |
| 008 | ó | 053 | 5 | 098 | b | 143 | ↓ | 200 | L |
| 009 | û | 054 | 6 | 099 | c | 144 | ç | 201 | l |
| 010 | ú | 055 | 7 | 100 | d | 145 | ° | 202 | Z |
| 011 | œ | 056 | 8 | 101 | e | 146 | ¿ | 203 | D |
| 012 | ú | 057 | 9 | 102 | f | 147 | ù | 204 | d |
| 013 | ú | 058 | : | 103 | g | 148 | à | 205 | C |
| 014 | ó | 059 | ; | 104 | h | 149 | Æ | 206 | ć |
| 015 | ó | 060 | < | 105 | i | 150 | ø | 207 | € |
| 016 | ʌ | 061 | = | 106 | j | 151 | Å | 208 | P |
| 017 | Ψ | 062 | > | 107 | k | 152 | Ω | 209 | ` |
| 018 | Γ | 063 | ? | 108 | l | 153 | é | 210 | e |
| 019 | " | 064 | @ | 109 | m | 154 | è | 211 | š |
| 020 | Ω | 065 | A | 110 | n | 155 | Pt | 212 | č |
| 021 | Δ | 066 | B | 111 | o | 156 | i | 213 | ž |
| 022 | Θ | 067 | C | 112 | p | 157 | Ñ | 214 | ý |
| 023 | Ξ | 068 | D | 113 | q | 158 | ò | 215 | ú |
| 024 | Π | 069 | E | 114 | r | 159 | £ | 216 | n |
| 025 | Σ | 070 | F | 115 | s | 160 | ¥ | 217 | ~ |
| 026 | Υ | 071 | G | 116 | t | 161 | 。 | 218 | ` |
| 027 | Φ | 072 | H | 117 | u | 162 | Γ | 219 | r |
| 028 | Ú | 073 | I | 118 | v | 163 | J | 224 | * |
| 029 | Ú | 074 | J | 119 | w | 164 | 、 | 225 | § |
| 030 | Ó | 075 | K | 120 | x | 165 | . | 226 | ∅ |
| 031 | Ó | 076 | L | 121 | y | 177 | Á | 227 | ^ |
| 032 | (space) | 077 | M | 122 | z | 178 | í | 228 | ↑ |
| 033 | ! | 078 | N | 123 | { | 180 | Å | 229 | ] |
| 034 | " | 079 | O | 124 | l | 181 | ā | 230 | [ |
| 035 | # | 080 | P | 125 | } | 182 | E | 231 | " |
| 036 | $ | 081 | Q | 126 | β | 183 | ē | 232 | ä |
| 037 | % | 082 | R | 127 | ¢ | 184 | ī | 233 | ö |
| 038 | & | 083 | S | 128 | !! | 185 | ī | 234 | ü |
| 039 | ' | 084 | T | 129 | 1 | 186 | ū | 235 | æ |
| 040 | ( | 085 | U | 130 | 2 | 187 | ū | 236 | å |
| 041 | ) | 086 | V | 131 | 3 | 188 | N | 237 | É |
| 042 | * | 087 | W | 132 | 4 | 189 | ŋ | 238 | ñ |
| 043 | + | 088 | X | 133 | 1/2 | 190 | Č | 253 | *(DC) |
| 044 | , | 089 | Y | 134 | FT | 191 | Š | ||
| 045 | - | 090 | Z | 135 | ← | 192 | Ç |
*(DC): Double-size character code
AUXILIARY FUNCTION PROGRAMMING
1 Miscellaneous Key Programming
The cash register provides miscellaneous keys such as %1 , %2 , , , :PO , , 1 , 2 , 1 , 2 and /NS .
■ Rate for %1, %2 and EX

flowchart
graph TD
A["Procedure"] --> B["*Rate of"]
B --> C["%1"]
B --> D["%2"]
C --> E["TL/NS"]
D --> E
E --> F["To program another rate"]
F --> G["EX"]
G --> B
style A fill:#f9f,stroke:#333
style B fill:#ccf,stroke:#333
style C fill:#cfc,stroke:#333
style D fill:#fcc,stroke:#333
style E fill:#ffc,stroke:#333
style F fill:#cff,stroke:#333
*: Rate
0.00 — 100.00 (% rate)
0.000000 — 999.999999 (Currency exchange rate)


other
PrintKey operation example | Label | Value | Percent rate | Currency exchange rate | |---|---|---|---| | *PGM* | | | | | F02 %1 | 000 | | | | L100.00% | -10.25% | | | | F28 EXCH1 | 002 | | | | | 0.939938 | | |Note You must use a decimal point when setting fractional rates.
■ Amount for ⊖

flowchart
graph TD
A["Procedure"] --> B["To program zero"]
B --> C["Discount amount (max. six digits)"]
C --> D["⊖"]
D --> E["TL/NS"]
F["PrintKey operation example"] --> G["*PGM*<br>F01 (-) 008 -2.00"]
G --> H["Discount amount"]
■ Percent rate limitation for %1 and %2
You can program the upper limit of percent rates for percent entries.
Procedure

flowchart
graph LR
A["#/TM/ST"] --> B["⊗ 2 9"]
B --> C["Percentage limit (0.00 -100.00%)"]
C --> D["%1 or %2"]
D --> E["TL/NS"]
F["To program zero"] --> C
G["To program for another percent key"] --> C
Note
- Percent entries that exceed the upper limit may be overridden in the MGR mode.
- 10.00% can be entered as ① 0 or ① 0 • 0 0. The • key is needed only for fractional entry.
/TM/ST
15
29 ⊗
00 %1
TL/NS
PrintKey operation example

text_image
*PGM* F02 %1 L 15.00% 000 -10.25% Percentage limit■ Function parameters for %1, %2 and ⊖
Procedure
To program "0" for all items

flowchart
graph TD
A["*ABCD"] --> B["×"]
B --> C["%1"]
B --> D["-"]
C --> E["TL/NS"]
D --> E
E --> F["%2"]
A --> G["+"]
G --> H["×"]
H --> I["×"]
I --> J["×"]
To program for another key
*: Item: Selection: Entry:
| A +/- sign + (premium) sign 0 | |
| - (discount) sign* 1 | |
| B Item % / Item ⊖ | Allow* 0 |
| Disallow 1 | |
| C Subtotal % / Subtotal ⊖ | Allow* 0 |
| Disallow 1 | |
| D Entry digit limit for discount key 0-8 (default:8) | |
When programming for percent keys, always enter 0 for D.
+/- sign
- Programming of the +/- sign assigns the premium or discount function for each key.
Item % / Item ⊖
- Percent/discount calculation for the individual department and PLU/subdepartment
Subtotal % / Subtotal ⊖
• Percent/discount calculation for the subtotals
Entry digit limit (For discount key only)
- The entry digit limit is in effect for the REG mode operations but can be overridden in the MGR mode. The entry digit limit is represented by the number of allowable digit for the maximum entry amount for discount key. When “0” is set, open price entry is prohibited.

PrintKey operation example

text_image
*PGM* F01 (—) 006 -2.00 From left, BCD Sign(A)■ Function parameters for EX
Procedure

flowchart
graph LR
A["To program "0" for all items"] --> B["*ABC"]
B --> C["×"]
C --> D["EX"]
D --> E["TL/NS"]
\*: Item: Selection: Entry:
A Open rate entry Allow* 0
Disallow 1
B Preset rate entry Allow* 0
Disallow 1
C Position of decimal point (from right) (tab) 0-3 (default:2)

PrintKey operation example

text_image
*PGM* F28 EXCH1 102 0.939938 — From left, ABC■ Function parameters for RA, RCPT/PO, CH1, CH2, CR1, CR2 and TL/NS (when using as TL key)
Procedure

flowchart
graph LR
A["To program "0" for all items"] --> B["*1 ABC"]
B --> C["⊗"]
C --> D["#/TM/ST, CH1, CH2, CR1, CR2, RA or RCPT/PO"]
D --> E["TL/NS"]
F["To program for another key"] --> B
G["*2:Press #/TM/ST key for TL key setting."] --> D
*1:Item: Selection: Entry:
| A Footer printing* Allow 1 | Disallow* 0 | |
| B Amount tendered entry* Compulsory 1 | Non-compulsory (for 1 , 2 and /NS ) * 0 | |
| Inhibit (for 1 and 2 ) * 0 | ||
| C Entry digit limit For | 1 , 2 , 1 , 2 and /NS | 0-8 (default:8) |
| For and | 0-9 (default:9) | |
*When programming for RA or RCPTPO, always enter 0 for A and B.
Footer printing (only for CH1, CH2, CR1, CR2 and TL/NS)
- This programming decides whether or not the machine should print a message at the foot of a receipt when a specified media key is used. With regard to programming method of footer logo message, refer to "Logo messages" section on page 22.
Amount tendered entry (only for CH1, CH2, CR1, CR2 and TL/NS)
- You may select amount tendered, compulsory or optional, for the TL/NS, CH1 and CH2 keys.
- You may select amount tendered, compulsory or inhibited, for the CR1 and CR2 keys.
Entry digit limit
- For the CH1, CH2, CR1, CR2, RA and RCPT/PO keys program upper limit entry amount for the tendered amount. For the TL/NS key, program upper limit entry for total cash amount which can be handled on the register. The entry digit limit is in effect for REG mode operation but can be overridden in the MGR mode. The entry digit limit is represented by the number of allowable digits for the maximum entry or total amount. When "0" is set, the operation of the corresponding key is prohibited.


text_image
PrintKey operation example *PGM* F24 CHECK1 018 — From left, ABC2 Other Text Programming
Please refer to "Guidance for text programming" on page 14 as for how to entering characters.
■ Foreign currency symbol (4 digits)
Foreign currency symbol for the EX key is printed with a foreign currency exchange amount obtained using a preset rate.

flowchart
graph TD
A["#/TM/ST"] --> B["6"]
B --> C["•"]
C --> D["Character keys (max. 4 digits)"]
D --> E["#/TM/ST"]
E --> F["TL/NS"]
G["Entry using character code"] --> H["#/TM/ST 6 •"]
H --> I["US SPACE"]
I --> J["036 00"]
J --> K["#/TM/ST"] [TL/NS]
L["To keep the current setting"] --> D
M["PrintKey operation example"] --> N["*PGM* F28 EXCH1 102 US $ 0.939938"]
N --> O["Foreign currency symbol"]
■ Domestic currency symbol (4 digits)
* is set as a default setting. When you want to change the domestic currency symbol, change the setting.

flowchart
graph TD
A["#/TM/ST"] --> B["8"]
B --> C["5"]
C --> D["•"]
D --> E["Character keys (max. 4 digits)"]
E --> F["#/TM/ST"]
F --> G["TL/NS"]
H["Entry using character code"] --> I["#/TM/ST 85 • SPACE SPACE SPACE 207 00 #/TM/ST TL/NS"]
J["To keep the current setting"] --> E
K["PrintKey operation example"] --> L["*PGM* #85 € Domestic currency symbol"]
■ Training mode text (12 digits)
For every receipts issued in the training mode, **TRAINING** is printed by default. When you want to change the text, follow the procedure below.

flowchart
graph TD
A["#/TM/ST"] --> B["8"]
B --> C["7"]
C --> D["•"]
D --> E["Character keys (max. 12 digits)"]
E --> F["#/TM/ST"]
F --> G["TL/NS"]
H["#/TM/ST"] --> I["87"]
I --> J["SPACE"]
I --> K["SPACE"]
I --> L["TRAINING"]
I --> M["SPACE"]
I --> N["SPACE"]
I --> O["#/TM/ST"]
I --> P["TL/NS"]
Q["To keep the current setting"] --> E
R["*PGM*"] --> S["#87 TRAINING"]
Note The programmed text is printed in double-size characters on the receipts issued in the training mode.
■ Function text (12 digits)
Procedure

flowchart
graph LR
A["#/TM/ST"] --> B["• 8"]
B --> C["Function no. (max. 2 digits)"]
C --> D["Character keys (max. 12 digits)"]
D --> E["#/TM/ST"]
E --> F["TL/NS"]
G["To program another function text"] --> C
H["To keep the current setting"] --> D
* Function no.: See "List of function texts" shown on the following page.

text_image
PrintKey operation example #/TM/ST 3 26 CARD NUMBER 1 #/TM/ST TL/NS *PGM* F26 CARD1 008(Programming CARD1 for credit 1)
■ List of function texts
| Function no. | Key or function | Default setting |
| 1 | ⊖ | (-) |
| 2 | % 1 %1 | |
| 3 | % 2 %2 | |
| 4 Differ DIFFER | ||
| 5 Taxable 1 subtotal TAX1 ST | ||
| 6 Taxable 2 subtotal TAX2 ST | ||
| 7 Taxable 3 subtotal TAX3 ST | ||
| 8 Taxable 4 subtotal TAX4 ST | ||
| 9 VAT/tax 1 VAT 1 | ||
| 10 VAT/tax 2 VAT 2 | ||
| 11 VAT/tax 3 VAT 3 | ||
| 12 VAT/tax 4 VAT 4 | ||
| 13 Net 1 | NET1 | |
| 14 Net 2 NET2 | ||
| 15 Refund REFUND | ||
| 16 Void | ∞ | |
| 17 Void mode total MODE | ∞ | |
| 18 Manager void MGR | ∞ | |
| 19 Subtotal void SBTL | ∞ | |
| 20 No sale NO SALE | ||
| 21 RA RA | *** | |
| 22 PO PO | *** | |
| 23 Cash | CASH | |
| 24 Cheque 1 CHECK1 | ||
| 25 Cheque 2 CHECK2 | ||
| 26 Credit 1 CREDIT1 | ||
| 27 Credit 2 CREDIT2 | ||
| 28 Exchange (Preset rate) EXCH1 | ||
| 29 Exchange (Open rate) EXCH2 | ||
| 30 Exchange cheque EX1 CHK | ||
| 31 Exchange credit EX1 CR | ||
| 32 Cash in drawer | **CHB | |
| Function no. | Key or function | Default setting | |
| 33 Cash/cheque in drawer | CA/CH ID | ||
| 34 Change for cheque | CHK/CG | ||
| 35 Customer GUEST | |||
| 36 Paid total | PAID TL | ||
| 37 Domestic currency 1 | DOM.CUR1 | ||
| 38 Domestic currency 2 | DOM.CUR2 | ||
| 39 Dom. currency for EX cheque | DOM.CUR1 | ||
| 40 Dom. currency for EX credit | DOM.CUR1 | ||
| 41 Cheque in drawer | CH*D | ||
| 42 (+) Dept total DEPT TL | * | ||
| 43 (-) Dept total | DEPT (-) | ||
| 44 Net 1 (Taxable 1 - VAT/tax 1) | NET 1 | ||
| 45 Net 2 (Taxable 2 - VAT/tax 2) | NET 2 | ||
| 46 Net 3 (Taxable 3 - VAT/tax 3) | NET 3 | ||
| 47 Net 4 (Taxable 4 - VAT/tax 4) | NET 4 | ||
| 48 Subtotal | SUBTOTAL | ||
| 49 Merchandise subtotal | MDSE ST | ||
| 50 Total | *TOTAL | ||
| 51 Change CHANGE | |||
| 52 Sales q'ty | ITEMS | ||
| 53 Average | AVE. | ||
| 54 Total tax TTL TAX | |||
| 55 Net without tax | NET | ||
| 56 Department report title | DEPT | ||
| 57 PLU report title | PLU | ||
| 58 Transaction report title | TRANS. | ||
| 59 Clerk report title | CLERK | ||
| 60 Hourly report title | HOURLY | ||
| 61 Non add symbol (8 chara.) | # | ||
| 62 Copy receipt title | COPY | ||
| 63 EJ report title | EJ | ||
| 64 EJ report end title | EJ END | ||
ADVANCED FUNCTION PROGRAMMING
1 Register Number and Consecutive Number Programming
The register number and consecutive numbers are printed on every receipt or journal.
When your store has two or more registers, it is practical to set separate register numbers for identification. The consecutive number is increased by one each time a receipt is issued or when a journal print occurs.
For consecutive number programming, enter a number (max. 4 digits) that is one less than the desired starting number.
Register number
Procedure

flowchart
graph LR
A["#/TM/ST"] --> B["1"]
B --> C["⊗"]
C --> D["Register number (one to six digits)"]
D --> E["#/TM/ST"]
E --> F["TL/NS"]
G["To set the register number "0""] --> D

PrintKey operation example

text_image
*PGM* #1 123456 — Register number■ Consecutive number
Procedure

flowchart
graph LR
A["/TM/ST"] --> B["2"]
B --> C["⊗"]
C --> D["A number (one to four digits) that is one less than the desired starting number"]
D --> E["/TM/ST"]
E --> F["TL/NS"]
G["To begin the count from 0001"] --> D

PrintKey operation example

text_image
*PGM* #2 1000 — Consecutive number2 Various Function Selection Programming 1
The cash register provides various detailed functions listed below.
- Print format
- Receipt print format
- Others
• Function selection for miscellaneous keys
For this programming, the job code entry style is applied. You can continue programming until you press the TL/NS key for the programming described in this section. To continue programming, repeat from a job code entry.
Procedure

flowchart
graph LR
A["#/TM/ST"] --> B["*¹ Job code"]
B --> C["×"]
C --> D["*² ABCDEFGH"]
D --> E["#/TM/ST"]
E --> F["TL/NS"]
G["To set "00000000""] --> D
*1 Enter job code using numeric keys specified in each section below.
*2 Data entry details are listed on each table in each section below. An asterisk is entered for factory setting.
Example: When programming for job code 5 as ABCDEFGH: 00000100.
Key operation example
| #/TM/ST | 5 ⊗ | |
| 00000100 | #/TM/ST | TL/NS |
| *PGM* | |
| #5 | 00000100 |
■ Function selection for miscellaneous keys
Job code: 5
* Item: Selection: Entry:
| A Paid-out in the REG mode Enable* 0 | |||
| Disable 1 | |||
| B Received on account in the REG mode Enable* 0 | |||
| Disable 1 | |||
| C Subtotal void in the REG mode Enable* 0 | |||
| Disable 1 | |||
| D Indirect void in the REG mode Enable* 0 | |||
| Disable 1 | |||
| E Direct void in the REG mode Enable* 0 | |||
| Disable 1 | |||
| F Refund entry in the REG mode Enable* 0 | |||
| Disable 1 | |||
| G No sale in the REG mode | Enable* 0 | ||
| Disable 1 | |||
| H Fractional quantity entry | Enable (3 digits decimal place) | 0 | |
| Disable* | 1 | ||
■ Print format
Job code: 6
* Item: Selection: Entry:
| A Printing style Journal printing 0 | |||
| Receipt* 1 | |||
| B Receipt print style Total 0 | |||
| Detailed* 1 | |||
| C Time print on all receipts Yes* 0 | |||
| No | 1 | ||
| D Date print on all receipts Yes* 0 | |||
| No | 1 | ||
| E Consecutive no. print Yes* 0 | |||
| No | 1 | ||
| F | Separator line in reports | One line space | 0 |
| Separator line* | 1 | ||
| G | Zero skip in PLU report | No 0 | |
| Yes* 1 | |||
| H Zero skip in full sales/clerk/hourly reports | No 0 | ||
| Yes* 1 | |||
Printing style
- Even when receipt printing is selected, the journal rewind motor will be driven in PGM, OP X/Z, X1/Z1 and X2/Z2 modes so you can wind sales and programming reports.
■ Receipt print format
Job code: 7
* Item: Selection: Entry:
| A Always enter 0. | 0 | ||
| B Always enter 0. | 0 | ||
| C | Subtotal print with a press of subtotal key | No* | 0 |
| Yes | 1 | ||
| D Always enter 0. | 0 | ||
| E VAT/tax amount print Yes* 0 | |||
| No | 1 | ||
| F | Taxable amount print Yes* 0 | ||
| No | 1 | ||
| G | Net amount print | Yes* 0 | |
| No | 1 | ||
| H Purchase no. print | Yes* 0 | ||
| No | 1 | ||
■ Other programming
Job code: 61
* Item: Selection: Entry:
| A Always enter 0.0 | |||
| B Always enter 0.0 | |||
| C Negative dept. and PLU/subdept. Disable 0 | |||
| Enable* 1 | |||
| D Fractional treatment Round off (4 down, 5 up)* 0 | |||
| Raising to unit 1 | |||
| Disregarding fractional treatment 2 | |||
| E Use of 00 key As 00 key* 0 | |||
| As 000 key | 1 | ||
| F | Time format | 12-hour format 0 | |
| 24-hour format* | 1 | ||
| G | Date format | Use month-day-year format | 0 |
| Use day-month-year format* | 1 | ||
| Use year-month-day format | 2 | ||
| H | Position of decimal point (from right) (TAB) | 0 to 3 (default: 2) | |
Job code: 62
* Item: Selection: Entry:
| A Always enter 0.0 | |||
| B Error beep for misoperation Lock error | 0 | ||
| Misoperation* | 1 | ||
| C Key catch sound | Yes* | 0 | |
| No | 1 | ||
| D Buffered keyboard | Yes* | 0 | |
| No | 1 | ||
| E Void mode | Enable* 0 | ||
| F Printing of void mode in X2/Z2 report | Disable 1 | ||
| Yes* | 0 | ||
| No | 1 | ||
| G Printing of void mode in X1/Z1 report | Yes* | 0 | |
| No | 1 | ||
| H Addition to the hourly total in VOID mode | No* | 0 | |
| Yes | 1 | ||
* Item: Selection: Entry:
| A Receipting at the time of “no sale” entry Yes* 0 | |||
| No | 1 | ||
| B No sale after non-add code entry Disable 0 | |||
| Enable* 1 | |||
| C Non-add code entry Enable* 0 | |||
| Disable 1 | |||
| D Copy receipt No* 0 | |||
| Yes 1 | |||
| E Entry that causes the merchandise Enable* 0 subtotal to be smaller than zero | |||
| Disable 1 | |||
| F | Subtotal entry before tendering | Noncompulsory* | 0 |
| Compulsory | 1 | ||
| G | Subtotal entry before direct non-tender finalization | Noncompulsory* | 0 |
| Compulsory | 1 | ||
| H Direct non-tender finalization after tendering | Disable 0 | ||
| Enable* 1 | |||
Job code: 64
* Item: Selection: Entry:
| A Printing of GT1 on Z report | Yes* 0 | |
| No | 1 | |
| B Printing of GT2 on Z report | Yes* 0 | |
| No | 1 | |
| C Printing of GT3 on Z report | Yes* 0 | |
| No | 1 | |
| D Printing of Training GT on Z report | Yes* 0 | |
| No | 1 | |
| E Printing of Z counter on Z report | Yes* 0 | |
| No | 1 | |
| F Printing of DATA on PLU resetting report | Yes* | 0 |
| No | 1 | |
| G Resetting of GT1, 2, 3 at the general Z1 report | No* | 0 |
| Yes 1 | ||
| H OP X/Z report | Enable* 0 | |
| Disable 1 |
Job code: 66
* Item: Selection: Entry:
| A After transaction receipt Total only 0 | |||
| Details* 1 | |||
| B Amount printing when PLU unit price No* 0 is zero Yes 1 | |||
| C Conversion SBTL printing of native SBTL Yes* 0 | |||
| No | 1 | ||
| D VAT/tax assignment print Yes 0 | |||
| No* 1 | |||
| E | Compression print on journal at PGM, X1/Z1 and X2/Z2 modes | No (normal size) | 0 |
| Yes (small size)* | 1 | ||
| F | Compression print on journal at REG, MGR and VOID modes | No (normal size) | 0 |
| Yes (small size)* | 1 | ||
| G | Logo text print on journal | No* 0 | |
| Yes 1 | |||
| H | Footer print control | All receipts* | 0 |
| Only on selected function key at the time of finalization | 1 | ||
Compression print on journal
- This selection is valid when "printing style" (job code 6) is set to "journal printing".
Job code: 67
| * Item: | Selection: | Entry: | |
| A | Rounding amount printing | No* | 0 |
| Yes | 1 | ||
| B | Total amount rounding when a transaction is finalized directly by CH1, CH2, CR1 or CR2 key | Rounding* | 0 |
| Not rounding | 1 | ||
| C | Rounding up of the unit digit of amount 0 - 9 (default: 0) | ||
| D | Rounding down of the unit digit of amount | 0 - 9 (default: 0) | |
| E | Application of rounding | Item and payment* | 0 |
| Payment | 1 | ||
| F | Limit of the least significant digit in entering amount of item | Arbitrary* | 0 |
| 0 only | 1 | ||
| 0 and 5 only | 2 | ||
| G | Memory of difference due to rounding | No* | 0 |
| Yes | 1 | ||
| H | Limit of the least significant digit in entering amount of payment | Arbitrary* | 0 |
| 0 only | 1 | ||
| 0 and 5 only | 2 | ||
Rounding amount printing (A)
Total amount rounding when a transaction is finalized directly by CH1, CH2, CR1 or CR2 key(B)
Rounding up of the unit digit of amount (C)
Rounding down of the unit digit of amount (D)
- Handle C and D as a pair. When you live in Switzerland or Norway, set as shown on the table below for the parameters C and D.
The rounding is performed as follows:
In case C = 0: Unit digit of amount < or = Value of D — rounding down
Value of D < or = Unit digit of amount — rounding to 5
In other cases: Unit digit of amount < or = Value of D — rounding down
Value of D < Unit digit of amount < Value of C — rounding to 5
Value of C < or = Unit digit of amount — rounding up
Application of rounding (E)
Limit of the least significant digit in entering amount of item (F)
Memory of difference due to rounding (G)
Limit of the least significant digit in entering amount of payment (H)
- When you live in Switzerland or Norway, set as shown on the table below for the parameters E through H.
CDEFGH
Switzerland 82 Item & payment 0 and 5 only No 0 and 5 only
Norway 54 Payment Arbitrary Yes 0 only
Job code: 68
* Item: Selection:
Entry:
| A | Always enter 0. | 0 | |
| B | Always enter 0. | 0 | |
| C | Temporary EJ printing during a transaction | Disable | 0 |
| Enable* | 1 | ||
| D | EJ printing and clearing EJ data when issuing general Z1 report | No* | 0 |
| Yes | 1 | ||
| E | PGM mode operation records type | Details* | 0 |
| Header information only | 1 | ||
| F | REG/MGR/VOID modes operation records type | Details* | 0 |
| Total | 1 | ||
| G | Compressing printing for EJ data | No (normal size) | 0 |
| Yes (small size)* | 1 | ||
| H | Action when EJ memory area is full | Continue | 0 |
| Continue and warning (near full warning)* | 1 | ||
| Lock and warning (with near full warning) | 2 |
Temporary EJ printing during a transaction
- If selecting "enable", you can print journal data of a current transaction recorded in EJ memory by pressing the RCPTIPO key during the transaction. To realize this function completely, the cash register must be programmed to print the receipt and set the Receipt ON/OFF function to OFF.
PGM mode operation records type
- The header information only is printed during the program reading operation.
The header information only is printed for X/Z reports.
(Receipt sample for Header Information only)

text_image
22/10/2007 12:13 01 123456#1018 CLERK 01 *X1* * DEPT * *TRANS. *Action when EJ memory area is full
- By default, when the memory for EJ becomes nearly full, the cash register shows decimal points at the 8th and 9th positions of the display (EJ memory nearly full message), and the cash register keeps storing new data while erasing the oldest data. When "0" is selected, the cash register will no longer show EJ memory nearly full message. When "2" is selected, the cash register shows EJ memory nearly full message and when the memory is totally full, the cash register locks the sales/data entry with a display of the memory full message "E - You must issue an EJ report (Z1 report) at this time.
Job code: 69
* Item: Selection: Entry:
| A Always enter 0.0 | |||
| B Always enter 0.0 | |||
| C Always enter 0.0 | |||
| D Rounding of foreign currency for | EX | Rising to unit* 0 | |
| Round off (4 down/5 up) 1 | |||
| E Tax system Auto tax 1-4 0 | |||
| F Tax print when taxable subtotal is zero | No* | 0 | |
| Yes | 1 | ||
| G Tax print when tax is zero | Yes* | 0 | |
| No | 1 | ||
| H Rounding system | Normal* | 0 | |
| Sweden | 1 | ||
| Denmark | 2 | ||
Rounding system
- When you live in Sweden or Denmark, change the default setting (H=0) to the corresponding setting.
* Item: Selection: Entry:
| A Always enter 0.0 | ||
| B Printing data on EJ Z report Yes* 1 | ||
| No | 0 | |
| C Always enter 0.0 | ||
| D Always enter 0.0 | ||
| E Always enter 0.0 | ||
| F Always enter 0.0 | ||
| G Always enter 0.0 | ||
| H Always enter 0.0 | ||
Printing data on EJ Z report
- Select "No" to issue an EJ Z report without printing the journal data on it.
3 Various Function Selection Programming 2
The cash register provides various options so you can use the register to suit your sales needs.
In this section, you can program the following features (parameters within parentheses indicate default setting):
- Power save mode (entering the power save mode after 30 minutes)
- Logo message print format (Header 3-line message and footer 3-line message)
• Thermal printer density (standard density) - Training clerk specification (none) - If you specify a clerk number who is trained for use on this cash register, the cash register will go into training mode when the clerk is signed on for sales entries. The sales operations done by the trained clerk do not affect sales totals. For details, refer to TRAINING MODE section.
■ Power save mode

flowchart
graph LR
A["#/TM/ST"] --> B["1"]
B --> C["0"]
C --> D["×"]
D --> E["*ABCD"]
E --> F["#/TM/ST"]
F --> G["TL/NS"]
* Item: Selection: Entry:
| A Entering power save mode Yes* 0when time is displayed No 1 | |
| B-D Time(min.) to entering power save mode 001-254 or 999since no operation is made | (Default 030) |
Note When 999 is set for B to D, entering into power save mode is inhibited.
Key operation example
| #/TM/ST | 10 | |
| 0060 | #/TM/ST | TL/NS |
| *PGM* | |
| #10 | 0060 |
■ Logo message print format
You can select the number of lines for your logo message, and the position to print it on receipt. For details of the logo message type, please refer to "Logo messages" on page 22.
Procedure

flowchart
graph LR
A["#/TM/ST"] --> B["1"]
B --> C["1"]
C --> D["⊗"]
D --> E["*A"]
E --> F["#/TM/ST"]
F --> G["TL/NS"]
H["To set "0""] --> E
*A: Logo message type
0: Header 3-line message without graphic logo
3: Header 6-line message
5: Header 3-line message and footer 3-line message (default)

text_image
PrintKey operation example #/TM/ST 11 3#/TM/ST TL/NS *PGM* #11 3■ Thermal printer density
Procedure

flowchart
graph LR
A["#/TM/ST"] --> B(5)
B --> C["0"]
C --> D(×)
D --> E["*Printer density (00-99)"]
E --> F["#/TM/ST"]
F --> G["TL/NS"]
E --> H["To set "0""]
* 50 (100%) is the default setting. To make the print darker, set a larger number, and to make the print lighter, set a smaller number.

text_image
PrintKey operation example #/TM/ST 50 70#/TM/ST TL/NS *PGM* #50 70■ Training clerk specification for training mode
For the details of clerk training, please refer to "TRAINING MODE" on page 67.
Procedure

flowchart
graph LR
A["/TM/ST"] --> B["8"]
B --> C["6"]
C --> D["⊗"]
D --> E["Clerk number (1 to 10)"]
E --> F["/TM/ST"]
F --> G["TL/NS"]
H["To cancel"] --> E

text_image
PrintKey operation example #/TM/ST 86 10#/TM/ST TL/NS *PGM* #86 10■ AUTO key programming — Automatic sequence key
If you program frequently performed transactions or report sequences for the AUTO key, you can recall those transactions and/or reports simply by pressing the AUTO key in key operations.
Procedure

flowchart
graph TD
A["AUTO"] --> B["Transaction (key entry)"]
B --> C["AUTO"]
C --> D["TL/NS"]
B -->|Delete| B
B -->|max. 25 times| B
Programming for AUTO; entering a PLU 2 item and a dept. 6 item (unit price: 1.00)

text_image
AUTO setting → 2 [PLU/SUB] 100 AUTO 6 22 AUTO TL/NSPrintKey operation example

text_image
*PGM* #01 2 PLU 1 0 0 D06Note
When the AUTO key has been programmed to execute a report job function, the mode switch must be in the appropriate position (OPX/Z for individual clerk reports, X1/Z1 for daily reports or X2/Z2 for weekly or monthly reports).
4 EURO Programming
For details of EURO migration operation, please refer to "EURO MIGRATION FUNCTION".
■ EURO system settings
Procedure

flowchart
graph LR
A["#/TM/ST"] --> B["8"]
B --> C["⊗"]
C --> D["*ABCD"]
D --> E["#/TM/ST"]
E --> F["TL/NS"]
G["To set "0" for all items"] --> D
\* Item: Selection: Entry:
A Printing exchange total amount and No* 0 change amount on receipt or journal Yes 1
B Always enter 0.0
C Cheque and credit operation when No* 0 tendering in foreign currency Yes 1
D Exchange calculation method Multiplication* 0
Division 1
Printing exchange total amount and change amount on receipt/journal
- Total and change amounts in exchange currency are printed respectively below each of the total and exchange amounts in domestic currency.
Exchange calculation method
- “Division” or “Multiplication” can be selected for the conversion method from domestic currency to exchange currency, and the calculation is performed as follows:
In case that "Division" is selected:
Domestic currency amount ÷ Exchange rate = Exchange amount
In case that "Multiplication" is selected
Domestic currency amount ×Exchange rate = Exchange amount
Key operation example
| #/TM/ST | 8 |
| 1000 | #/TM/ST |
| TL/NS |
| *PGM* | |
| #8 | 1000 |
■ Automatic EURO modification operation settings
Procedure

flowchart
graph LR
A["#/TM/ST"] --> B["1"]
B --> C["2"]
C --> D["⊗"]
D --> E["*AB"]
E --> F["#/TM/ST"]
E --> G["TL/NS"]
H["To set "00""] --> E
| * Item: | Selection: | Entry: | |
| A | Converting the preset unit price of Dept./PLU in the automatic modification operation for EURO (job #800 in the X2/Z2 mode) | Yes* | 0 |
| No | 1 | ||
| B | Automatic modification operation for EURO (job #800 in the X2/Z2 mode) at the preset date | Compulsory* | 0 |
| Non-compulsory | 1 | ||
Key operation example
| #/TM/ST | 12 ⊗ |
| 01 | #/TM/ST |
| TL/NS |
| *PGM* | |
| #12 | 01 |
Note
If you have already made the Job #800 operation with the substitution of 3 for "A" in the X2/Z2 mode, this programming is disabled.
■ Date setting for EURO modification operation
Procedure

flowchart
graph LR
A["#/TM/ST"] --> B["1"]
B --> C["3"]
C --> D["⊗"]
D --> E["Date (Day-Month-Year)<br>(seven or eight digits)"]
E --> F["#/TM/ST"]
F --> G["TL/NS"]
H["#/TM/ST 13 ⊗ 01072009"] --> I["#/TM/ST"]
I --> J["TL/NS"]
K["*PGM* #13 01/07/2009"] --> L["PrintKey operation example"]
M["To set all zeros"] --> E
Note
- In case you changed the date format using job code 61, follow the format you selected for setting the date.
- If all zeros are set, this programming is disabled.
- If you have already made the Job #800 operation with the substitution of 3 for "A" in the X2/Z2 mode, this programming is disabled.
■ Time setting for EURO modification operation
Procedure

flowchart
graph LR
A["#/TM/ST"] --> B["1 4"]
B --> C["⊗"]
C --> D["Time (Hour) (00-23)"]
D --> E["#/TM/ST"]
E --> F["TL/NS"]
G["#/TM/ST 14 10"] --> H["#/TM/ST TL/NS"]
I["*PGM* #14 10:00"] --> J["PrintKey operation example"]
Note
- If you have already made the Job #800 operation with the substitution of 3 for "A" in the X2/Z2 mode, this programming is disabled.
5 Reading Stored Programs
The machine allows you to read every program stored in the PGM mode.
■ Key sequence for reading stored program
Report name Key sequence
| Programming report 1 | TL/NS |
| Programming report 2 2 | TL/NS → |
| Auto key programming report 1 | TL/NS → |
| Printer density programming report 3 | TL/NS → |
| Department programming report 4 | TL/NS → |
| PLU programming report | Start PLU code → ⊗ → End PLU code → PLU/SUB |
Note
To stop reading programming report, turn the mode switch to the MGR position.
■ Sample printouts
1 Programming report 1

text_image
*PGM* F01 (-) 006 -2.00 Function no.& its text Function parameters Discount amt. w/sign Function parameters Percent rate with sign F02 %1 000 L 90.00% -15.00% F03 %2 000 L100.00% 15.00% Percent limit F05 TAX1 ST F06 TAX2 ST F07 TAX3 ST F08 TAX4 ST F09 VAT 1 F10 VAT 2 F11 VAT 3 F12 VAT 4 F13 NET1 F14 NET2 F15 REFUND F16 ∞ MODE F17 MGR ∞ F18 SBTL ∞ F19 NO SALE F20 ***RA 9 F21 ***PO 9 Entry digit limit F22 ***CASH 008 F23 CASH 008 F24 CHECK1 018 F25 CHECK2 008 F26 CARD1 008 F27 CREDIT2 008 F28 EXCH1 102 US $ 0.939938 F29 EXCH2 Function parameters (A-C) Foreign currency symbol/Rate
text_image
F62 COPY F63 EJ F64 EJ END SHARP PRESENTS THE XE-A113 SHARP IS THE BEST #5 00000001 #6 11000111 #7 00000000 #8 0010 #10 0060 #11 5 #12 01 #13 01/07/2009 #14 10:00 T1 16.0000% T2 0.00 T3 7.0000% T4 0.00 C#01 DAVID C#02 CLERK 02 C#09 CLERK 09 C#10 CLERK 10 Logo Message Function selection for miscellaneous keys (A-H) Print format (A-H) Receipt print format(A-H) EURO system settings (A-D) Power save mode(A-D) Logo message print format Automatic EURO modification operation settings (AB) Date setting for EURO modification operation Time setting for EURO modification operation Tax rate Min. taxable amount Clerk name/code2 Programming report 2

text_image
*PGM* #61 00100112 #62 01000000 #63 01000001 #64 00000000 #65 00000000 #66 10011100 #67 00000000 #68 00101011 #69 00002000 #70 01000000 #71 GT2 €00000001514.75 #72 GT3 -00000000222.79 #76 Z1 0000 #77 Z2 0000 #85 € #86 10 #87 TRAINING #88 O Job code A to H from the left * Job code #65, 71, 72, 76 and 77 are fixed settings, for which you cannot change the settings. Domestic currency symbol Training clerk specification Training mode text Language selection3 Auto key programming report

text_image
*PGM* #01 2 PLU 1 0 0 D065 Department programming report

text_image
*PGM* Dept. code Dept. text D01 T1 083 FRUIT 10.00 D02 T1 183 DEPT.02 -13.10 D03 T1 083 DEPT.03 1.50 Dept. function Dept. unit price w/sign Minus department Tax status D49 T1 081 DEPT.49 0.00 D50 T1 081 DEPT.50 0.006 PLU programming report

text_image
*PGM* PLU code PLU text P001 (O3) MELON P002 (O1) PLU.002 P003 (32) PLU.003 Range 001- 015 1 1.25 1 2.15 1 -0.15 Mode parameter Unit price Associated dept. code PLU.014 P015 (O1) PLU.015 1.00 1 1.504 Printer density programming report

text_image
*PGM* #50 70 Entered value Printer density 10 : 0123456789AB 20 : 0123456789AB 30 : 0123456789AB 40 : 0123456789AB 50 : 0123456789AB 60 : 0123456789AB 70 : 0123456789AB 80 : 0123456789AB 90 : 0123456789AB Printing density exampleTRAINING MODE
The training mode is used when the operator or the manager practices register operations.
When a clerk in training is selected, the machine automatically enters the training mode. To specify a clerk to be trained, refer to "Training clerk specification for training mode" in "ADVANCED FUNCTION PROGRAMMING" in page 61.
The training operation is valid only in REG, MGR and mode.
The corresponding clerk memory is only updated in the training mode.

flowchart
graph TD
A["A clerk set in training"] --> B["10"]
B --> C["1000"]
C --> D["3"]
D --> E["3"]
E --> F["19"]
F --> G["TL/NS"]
PrintKey operation example

text_image
22/10/2007 13:23 10 123456#1053 CLERK 10 **TRAINING** DEPT.05 *10.00 3x 24.00 DEPT.03 *72.00 ITEMS 4Q CASH *82.00READING (X) AND RESETTING (Z) OF SALES TOTALS
- Use the reading function (X) when you need to take a reading of sales information entered since the last reset. You can take this reading any number of times. It does not affect the register's memory.
- Use the resetting function (Z) when you need to clear the register's memory. Resetting prints all sales information and clears the entire memory except for the GT1 through GT3, Training GT, reset count, and consecutive number.
1 Summary of Reading (X) and Resetting (Z) Reports
X1 and Z1 reports: Daily sales reports
X2 and Z2 reports: Periodic (monthly) consolidation reports
When you take an X or Z report, turn the mode switch to the appropriate position referring to the column of
"Mode switch position" shown on the table below, and use the following corresponding key sequence.
| Item | Mode switch position | Key operation | ||
| OPX/Z | X1/Z1 | X2/Z2 | ||
| Flash report:(Only display)To clear thedisplay, press theCLkey or turn themode switch toanother position. | X | - | - | Dept. code : Department sales totalFor dept. 1 to 16: Dept. key ( 1^17to 16^32)\ For dept. 17 to 32; DEPTSKEY (\( 1^17to 16^32) ) |
| ⊗key: Amount of cash in drawer | ||||
| TL/NSkey: Sales total | ||||
| Full sales report | - | X1, Z1 | X2, Z2 | Reading: FET/INS: ●→TL/NS |
| PLU report bydesignated range | - | X1, Z1 | - | All PLUsReading: →Start PLU code →⊗→End PLU code →PLU/SUBResetting: All PLUs→Start PLU code →⊗→End PLU code →PLU/SUB |
| Individual clerkreport | X, Z | - | - | Reading: FET/SETting: ●→CLK#(The report of the current clerk) |
| Full clerk report | - | X1, Z1 | - | Reading: FET/SETting: ●→CLK# |
| Hourly report | - | X1, Z1 | - | Reading: FET/SET: ●→#/TM/ST |
Note
- When both sales quantities and sales amounts are zero, printing is skipped. If you do not want to skip, change the programming. (Refer to “Print format” of “Various Function Selection Programming 1”.)
- "X" represents read symbol and "Z" represents reset symbol in the reports.
- To stop reading and resetting the PLU sales report, turn the mode switch to the MGR position. The data will not be erased when you reset.
- The drawer does not open when you take X/Z reports.
The drawer can be opened by pressing the TL/NS key to remove it after closing your business.
- When printing is performed continuously, the printing may be intermitted several seconds. After the intermission, the printing will be restarted.
2 Daily Sales Totals
For the sample reports of the full sales and periodic consolidation report, refer to "FULL SALES REPORT (Z REPORT)" on page 29.
■ PLU report by designated range
- Sample report

other
| Item | Code | Value | | :--- | :--- | :--- | | PLU code | P001 | 5 Q | | PLU code | MELON | *11.06 | | PLU code | P002 | 9 Q | | PLU code | PLU.002 | *12.00 | | PLU code | P010 | 4 Q | | PLU code | PLU.010 | *28.60 | | PLU code | P011 | 10 Q | | PLU code | PLU.011 | *120.00 | | PLU code | P013 | -14 Q | | PLU code | PLU.013 | -117.60 | | PLU code | P015 | 5 Q | | PLU code | PLU.015 | *20.75 | | ***TOTAL | 19 Q | *74.81 | Mode title* Report title Range } Sales q'ty and total } Range sum■ Individual clerk report
- Sample report

other
| Category | Value | |---|---| | *OPX* | | | *CLERK * | | | O1# DAVID | | | GUEST 47 Q | | | PAID TL *1122.89 | | | AVE. *23.89 | | | MODE 8 Q | | | MODE 1 Q | | | MGR 2 Q | | | SBTL 4 Q | | | EXCH1 1 Q | | | US $100.00 | | | DOM.CUR1 *106.38 | | | EXCH2 1 Q | | | DOM.CUR2 *78.42 | | | ****CID *722.14 | | | *CH ID *50.15 | | | CA/CH ID *772.29 | | Mode title* Report title Clerk code Clerk name Customer counter Paid total Average■ Hourly report
- Sample report

other
| Time | Sales ($) | | :--- | :--- | | 10:00 | 12 Q | | 11:00 | 18 Q | | 12:00 | 25 Q | | 13:00 | 7 Q | | 17:00 | 18 Q | | 18:00 | 16 Q | | 19:00 | 126.69 | | 20:00 | 92.26 | The table contains two rows of data: the top row is a mode title (marked with *X1*), the bottom row is a sales total (also marked with *HOURLY*). The first row contains a customer counter (marked with *119.98) and the second row contains a report title (also marked with *186.89). The sales total is indicated by an asterisk (*).■ Full clerk report
The printout occurs in the same format as in the sample report of individual clerk, but all clerk's sales data and total of all clerks are printed in the order of clerk number (from #1 to #10).
*: When you take Z1 report, "Z1" is printed.
EJ REPORT READING AND RESETTING
The cash register provides an electronic journal (EJ) function. This function is intended to record the journal data in a memory instead of journal paper, and print the data as an EJ report. The register records the journal data in REG, PGM, ☐/Z1 and X2/Z2 modes. By default, a maximum of 3000 lines are stored in the memory. For details of EJ programming, please refer to “Other programming (Job code 68) on page 58 and (Job code 70) on page 60”.
■ Printing journal data on the way of a transaction
You can print journal data of a current transaction recorded in EJ memory by pressing the RCPT:PO key during the transaction.

This function is valid when the printing style is programmed to receipt, and the receipt ON/OFF function is set to OFF. For changing the setting, refer to "Additional Information for BASIC SALES ENTRY".
- Sample print

text_image
* EJ 22/10/2007 13:32 01 123456#1057 DAVID DEPT.07 *10.00 DEPT.08 *25.00 * EJ END * —— EJ report title EJ report end title■ Reading and resetting the electronic journal data (Issuing EJ report)
You can read the journal data stored in the EJ memory in the journal format by executing the following procedure in the X1/Z1 or OP X/Z mode.
To read all of the data:

To reset all of the data:

flowchart
graph LR
A["7"] --> B["00"]
B --> C["•"]
C --> D["⊗"]
D --> E["TL/NS"]
To read the last 10 records:

Note
- By programming, you can also issue an EJ Z report without printing the journal data on it. Refer to “Other programming (Job code 70)” on page 60 for the programming.
- To stop reading or resetting the data, turn the mode switch to "MGR" position. The data will not be erased when resetting.
- On the EJ memory, a maximum of 3000 lines of data can be stored. When executing all data reading, all of the data stored in the EJ memory will be printed.
- When printing is performed continuously, the printing may be intermitted several seconds. After the intermission, the printing will be restarted.

text_image
• Sample EJ report *OPX* * EJ * 22/10/2007 13:37 01 123456#1060 DAVID DEPT.01 *1.00 ITEMS 1Q CASH *1.00 22/10/2007 13:37 01 123456#1061 DAVID DEPT.02 *2.30 22/10/2007 13:38 01 123456#1068 DAVID *X1* * DEPT * *TRANS.* 22/10/2007 13:38 01 123456#1069 DAVID DEPT.10 *12.56 DEPT.15 *12.69 ITEMS 2Q CASH *25.25 22/10/2007 13:39 01 123456#1070 DAVID 3× 1.50 DEPT.04 *4.50 DEPT.13 *4.50 ITEMS 4Q CASH *9.00 * EJ END * Header information printOVERRIDE ENTRIES
Programmed limit for functions (such as for maximum amounts) can be overridden by making an entry in the MGR mode.
Procedure
- Turn the mode switch to the MGR position.
- Make an override entry.
Example
In this example, the register has been programmed not to allow discounts entries over 1.00.

text_image
OPX/Z REG MGR X1/Z1 X2/Z2 PGMPrintKey operation example
REG mode 1500
entries 250

- ...Error

Turn the mode switch to the MGR position.
250
Return the mode switch to the REG position.
TL/NS
DEPT.03
(一)
*15.00
-2.50
ITEMS
CASH
10
*12.50
CORRECTION AFTER FINALIZING A TRANSACTION (Void mode)
When you need to void incorrect entries that clerks cannot correct (incorrect entries found after finalizing a transaction or cannot be corrected by direct or indirect void), follow this procedure:
- Turn the mode switch to the position using the manager key (MA), to enter into the void mode.
- Repeat the entries that are recorded on an incorrect receipt. (All data on the incorrect receipt is removed from register memory; the voided amounts are added to the void mode transaction totalizer.)

text_image
OPX/Z REG MGR X1/Z1 X2/Z2 PGM
text_image
DEPT.04 *10.00 DEPT.03 *1.50 ITEMS 2Q CASH *11.50
Cancellation receipt Incorrect receipt

text_image
*② MODE * DEPT.04 *10.00 DEPT.03 *1.50 ITEMS 2Q CASH *11.50EURO MIGRATION FUNCTION

- EURO programming described in this section are for users in the countries which will join to the members of the European Currency Union, not for the users in the countries already have joined the Union.
Your register can be modified to correspond with each period set for the introduction of EURO, and in your register each currency is treated as shown on the table below depending on which period you are in. Basically your register can be automatically modified to correspond to the introduction of EURO by executing automatic EURO modification operation shown below in the X2/Z2 mode. However, there are several options you must set depending on your needs. So, please carefully conduct necessary settings.
How currencies are treated in your register
| Period 1 | Period 2 | Period 3 | ||
| After the introduction of EURO, and before EURO banknotes and coins begin to circulate | After EURO banknotes and coins begin to circulate, and before national currency is withdrawn from circulation. (Co-existence of EURO and national currency) | After the national currency is withdrawn from circulation | ||
| Currency | EURO | Exchange key (Preset rate entry) | Domestic currency | Domestic currency |
| National currency | Domestic currency | Exchange key (Preset rate entry) | ||
| Foreign currency | Exchange key (Manual rate entry) | Exchange key (Manual rate entry) | Exchange key | |
Automatic EURO modification operation
Make sure the mode switch is in the X2/Z2 mode first, then perform the following procedure. Please note that you can perform each operation only once with the substitution of "A=1", "A=2" and "A=3". For example if you performed the operation with the substitution of "A=2" first, you cannot perform the operation with the substitution of "A=1".

flowchart
graph LR
A["8"] --> B["00"]
B --> C["•"]
C --> D["⊗"]
D --> E["*A"]
E --> F["TL/NS"]
^* A=1: Applicable for period 1
*A=2: Applicable for period 2
*A=3: Applicable for period 3
The details of the register system modification are as shown below:
| A=1 | A=2 | A=3 | |
| Items (EURO status 1) (EURO status 2) (EURO status 3) | |||
| General Z1 report Issue Issue Issue | |||
| General Z2 report Issue Issue Issue | |||
| GT memories (GT1, GT2, GT3 and Training GT) - Clear Clear*1 | |||
| Conversion of preset prices of Dept./PLU - Yes Yes*1 | |||
| Conversion of entry digit/amount limit - Yes Yes*1 | |||
| Exchange amount printing for total and change Yes Yes No | |||
| Exchange calculation method Division | Multiplication | Multiplication | |
| Domestic currency symbol | - [EURO] | [EURO] | |
| Domestic currency decimal point position - 2 | 2 | ||
| Exchange currency symbol | [EURO] | Previous domestic currency symbol | -*2 |
| Exchange currency decimal point position | 2 | Previous domestic currency decimal point position | - |
| Rounding system (Denmark/Sweden/Normal) | - Normal | Normal*1 | |
| Rounding up/down of the unit digits of amount | - No | No*1 | |
| Lowest digit entering limitation of item | - Arbitrary | Arbitrary*1 | |
| Lowest digit entering limitation of payment | - | Arbitrary | Arbitrary*1 |
| Memory of difference due to rounding | - No | No*1 | |
| Rounding of exchange currency | Round off(4 down/5 up) | Round off | Round off |
- The item marked with “-” remains the same as the previous data.
*1: When you perform from EURO status 2, previous data remains unchanged.
*2: When you perform from EURO status 1 or 2, "space" is set.
IMPORTANT
- Conversion of the preset unit prices of departments and PLUs
Note that the conversion rate of the preset rate of the EX key is applied for the conversion, and the method is set to "division". When the conversion is performed, the message "PRICE CONVERTED" will be printed on the #800 report.
- After the execution of the procedure with "A=1", treat EURO as foreign currency using the exchange key (EX) with the preset rate entry. Set the EURO conversion rate as the currency exchange rate for the exchange key.
- After the execution of the procedure with “A=2”, treat EURO as domestic currency, and national currency as foreign currency using the exchange key (EX) with the preset rate entry. Set the EURO conversion rate as the currency exchange rate for the exchange key.
- As for the percent rate for %1 , %2 and , the automatic conversion is not made. So, when your domestic currency becomes EURO, you must change these settings so that they are based on EURO currency.

You can manually make these settings. For programming details, please refer to "EURO Programming" section.
Checking the current EURO status
You can check the EURO status currently set on the cash register. Set the manager key (MA) to the X2/Z2 position, and perform the following sequence. The current EURO status will be printed on the receipt/journal.


text_image
*X2* #800 2—EURO status■ Optional Programming for the Introduction of EURO
Some programming relating with the function of exchange key ( ) cannot be changed automatically with the execution of modification operation described in the previous section. After the execution on each period, conduct the following programming depending on your needs.
Programming for Exchange Key (EX)
Currency exchange rate
For period 1 and period 2, set the EURO conversion rate.
For programming details, refer to "Rate for %1, %2 and EX" on page 45.
Exchange rate entry selection
When you treat EURO currency in the exchange key, you must apply preset rate entry. So, make enable for preset rate entry for period 1 and period 2. For programming details, refer to "Function parameters for EX" on page 47.
Cheque/credit operation
For period 1 and period 2, enable cheque/credit operation when tendering in foreign currency so that you can treat cheque and credit for EURO currency and national currency. For programming details, refer to “EURO system settings” on page 63.
Setting the date and time when the automatic modification operation for EURO should be executed Selection of compulsory/non-compulsory of execution of the automatic modification operation for EURO
You can program the scheduled date and time to execute the automatic EURO modification operation.
From ten days before the preset date, the remaining days are printed at the bottom of the daily full resetting (Z1) report as follows.

text_image
EURO START 01/07/2009 10:00 DAYS TO EURO <10> Preset data and time Remaining daysWhen the above-mentioned preset date and time has come, and also when you start an entry in the REG/MGR mode, the error symbol "E is displayed. You cannot make any operation in the REG/MGR mode until you execute the automatic modification operation for EURO (job #800) in the X2/Z2 mode.
You can program so that you can make entries in the REG/MGR mode even when the error symbol is displayed. Date and time setting will be reset after the execution of the automatic modification operation and you can program again the date and time for the next automatic modification operation.
1 In Case of Power Failure
When power is lost, the machine retains its memory contents and all information on sales entries.
- When power failure is encountered in register idle state or during an entry, the machine returns to normal operation after power recovery.
- When power failure is encountered during a printing cycle, the register prints "====================" and then carries out the correct printing procedure after power recovery. (See the sample print.)

text_image
F10 VAT 2 F11 VAT 3 F12 VAT 4 = = = = = = = = = = = F12 VAT 4 F13 NET1 F14 NET22 In Case of Printer Error
If the printer runs out of paper, the printer will stall, and "will appear on the display. Key entries will not be accepted. Refer to section 5 in this chapter, install a new roll, then press the key. The printer will print the power failure symbol and resume printing.
If the print roller arm comes up, the printer stalls, "will appear on the display. Key entries will not be accepted. Push down the arm until it is securely locked, then press the key. The printer will print the power failure symbol and resume printing.
3 Cautions in Handling the Printer and Recording Paper
■ Cautions in handling the printer
- Avoid dusty and humid environments, direct sunlight and iron powder. (A permanent magnet and electromagnet are used in this machine.)
- Never pull the paper when the print roller arm is locked. First lift up the arm, and then remove the paper.
- Never touch the surface of the print head and print roller.
■ Cautions in handling the recording paper (thermal paper)
- Use only the paper specified by SHARP.
- Do not unpack the thermal paper until you are ready to use it.
- Avoid heat. The paper will color at around 70^ C .
- Avoid dusty and humid storage places. Avoid direct sunlight.
- The printed text on the paper can discolor under conditions of high humidity and temperature, exposure to the direct sunlight, contact with glue, thinner or a freshly copied blueprint, and heat caused by friction from scratching or other such means.
- Be very careful when handling the thermal paper. If you want to keep a permanent record, copy the printed text with a photocopier.
4 Replacing the Batteries
This cash register displays a low battery symbol ( ) when the batteries are low, and displays a no battery symbol ( ) when batteries are extremely low or batteries are not installed.
When the low battery symbol is displayed, replace the batteries with new ones as soon as possible. The existing batteries will be dead in about two days.
When the no battery symbol is displayed, replace the batteries immediately. Otherwise, if the AC power cord is disconnected or a power failure occurs, all the programmed settings will be reset to the default settings and any data stored in memory will be cleared.
Caution
While the no battery symbol is being displayed, do not turn the mode switch to any positions. Follow the battery replacement procedure below without changing the mode switch position. Otherwise, if the mode switch passes or is set to the call the programmed settings will be reset to the default settings and any data stored in memory will be cleared.
Note
Be sure to observe precautions shown on page 1 when handling batteries.
To replace the batteries:

natural_image
Technical line drawing of a mechanical assembly with no visible text or symbols- Make sure that the cash register is plugged in.
- Remove the printer cover.
- Open the battery compartment cover next to the paper roll cradle and remove the old batteries.
- Install three new alkaline batteries LR6 ("AA" size) in the battery compartment. Be sure the positive and negative poles of each battery are facing in the proper direction. When they are installed correctly, the "L or "L" symbol will disappear.
- Close the battery compartment cover.
- Replace the printer cover.
5 Replacing the Paper Roll
Be sure to use paper rolls specified by SHARP.
The use of any other paper rolls other than those specified could cause paper jamming, resulting in register malfunction.
Paper specification
Paper width: 57.5 ± 0.5 mm
Max. outside diameter: 80 mm
Quality: Thermal paper
- Be sure to set the paper roll prior to using your machine, otherwise it may cause a malfunction.
Install the paper roll in the printer. Be careful to set the roll correctly.
(How to set the paper roll)

text_image
To the printer Correct To the printer Incorrect■ Removing the paper roll
When a red dye appears on the paper roll, it is time to replace it. Replace the paper roll with a new one. If you plan on not using the register for an extended period of time, remove the paper roll, and store it in an appropriate place.
Caution: The paper cutter is mounted on the printer cover. Be careful not to cut yourself.
When not using the take-up spool (using as receipt paper):

text_image
Print roller arm Print roller release lever- Remove the printer cover.
- Lift up the print roller release lever to unlock and open the print roller arm.
- Remove the paper roll from the paper roll cradle.
Note
Do not pull the paper through the printer.
When using the take-up spool (using as journal paper):

text_image
Area to cut- Turn the mode switch to a position other than “with the power cord connected.
- Remove the printer cover.
- Press the ↑ key to advance the journal paper until its printed part is out of the way.
- Cut the paper and remove the take-up spool.
- Lift up the print roller release lever to unlock and open the print roller arm.
- Remove the paper roll from the paper roll cradle.
Note
Do not pull the paper through the printer.

natural_image
Illustration of two hands holding a circular object, showing a change from left to right (no text or symbols present)- Remove the outer side of the take-up spool as shown on the left.
- Remove the printed journal roll from the take-up spool.
■ Installing the paper roll
For information on how to install paper rolls, refer to "Installing a Paper Roll" on page 10.
Caution: The paper cutter is mounted on the printer cover. Be careful not to cut yourself.
6 Removing a Paper Jam
Caution: The paper cutter is mounted on the printer cover. Be careful not to cut yourself. Never touch the print head immediately after printing, as the head may still be hot.
- Remove the printer cover.
- Lift up the print roller release lever to unlock and open the print roller arm.
- Remove the paper jam. Check for and remove any shreds of paper that may remain in the printer.
- Reset the paper roll correctly by following the steps in "Installing a Paper Roll" on page 10.
7 Cleaning the Printer (Print Head / Sensor / Roller)
When the printed text is getting dark or faint, paper dust may be stuck to the print head, sensor and/or roller. Clean them as follows:
Caution:
- Never touch the print head with a tool or anything hard as it may damage the head.
- The paper cutter is mounted on the printer cover. Be careful not to cut yourself.

text_image
Print head Roller Sensor- Turn the mode switch to the "position."
- Remove the printer cover.
- Lift up the print roller release lever to unlock and open the print roller arm.
- Remove the paper roll referring to the "Removing the paper roll" section.
- Clean the print head with a cotton swab or soft rag moistened with ethyl alcohol or isopropyl alcohol. Clean the roller and the sensor in the same manner.
- Reset the paper roll correctly by following the steps in "Installing a Paper Roll" on page 10.
8 Removing the Drawer

text_image
Coin case ① ②The drawer in the register is detachable. After closing your business for the day, remove the drawer. To detach the drawer, pull it forward fully, and remove it by lifting it up. The 6-denomination coin case is detachable.
9 Opening the Drawer by Hand

text_image
LeverThe drawer automatically opens. However, when a power failure occurs or the machine becomes out of order, slide the lever located on the bottom of the machine in the direction of the arrow. (See the diagram at the left.) The drawer will not open if it is locked with the key.
SPECIFICATIONS
Model: XE-A113
Dimensions: 350 (W) x 430 (D) x 282 (H) mm
Weight: 8 kg
Power source: Official (nominal) voltage and frequency
Power consumption: Stand-by: 10.2W (When the official voltage is 220 to 230 V)
Stand-by: 11W (When the official voltage is 230 to 240 V)
Operating: 33W (When the official voltage is 220 to 230 V)
Operating: 34W (When the official voltage is 230 to 240 V)
Working temperature: 0 °C to 40 °C
Electronics: LSI (CPU) etc.
Display:
Operator display: 7-segment display (10 positions)
Customer display: 7-segment display (7 positions)
Printer:
Type: One-station thermal printer
Printing speed: Approx. 12 lines/second
Printing capacity: 24 digits each for receipt/journal paper
Other functions: • Logo message function
- Receipt (ON-OFF) function
• Compression print for journal
Paper roll: Width: 57.5 ± 0.5 mm
Max. diam.: 80 mm
Quality: High quality (0.06 to 0.08 mm thickness)
Cash drawer: 3 slots for bill and 6 for coin denominations
Accessories: Manager key
Operator key 2
Drawer lock key 2
Paper roll 1
Take-up spool 1
Instruction manual 1 copy
Reset caution sheet 1 copy
Battery caution sheet 1 copy
"Where to Find" sheet 1 copy
* Specifications and appearance subject to change without notice for improvement.
Use these labels with the department keys. Write department names on the labels and attach them to the department keys by first removing the transparent key covers. (Please make a copy of this page.)
Example:


text_image
18 2 D 22 6 I 26 10 N 30 14 S 20 4 B 24 8 G 28 12 L 32 16 Q 17 21 25 29 1 E 5 J 9 O 13 T 19 3 C 23 7 H 27 11 M 31 15 R
Attention: Your product is marked with this symbol. It means that used electrical and electronic products should not be mixed with general household waste. There is a separate collection system for these products.
A. Information on Disposal for Users (private households)
1. In the European Union
Attention: If you want to dispose of this equipment, please do not use the ordinary dust bin!
Used electrical and electronic equipment must be treated separately and in accordance with legislation that requires proper treatment, recovery and recycling of used electrical and electronic equipment.
Following the implementation by member states, private households within the EU states may return their used electrical and electronic equipment to designated collection facilities free of charge*. In some countries* your local retailer may also take back your old product free of charge if you purchase a similar new one.
*) Please contact your local authority for further details.
If your used electrical or electronic equipment has batteries or accumulators, please dispose of these separately beforehand according to local requirements.
By disposing of this product correctly you will help ensure that the waste undergoes the necessary treatment, recovery and recycling and thus prevent potential negative effects on the environment and human health which could otherwise arise due to inappropriate waste handling.
2. In other Countries outside the EU
If you wish to discard this product, please contact your local authorities and ask for the correct method of disposal.
For Switzerland: Used electrical or electronic equipment can be returned free of charge to the dealer, even if you don't purchase a new product.
Further collection facilities are listed on the homepage of www.swico.ch or www.sens.ch.
B. Information on Disposal for Business Users.
1. In the European Union
If the product is used for business purposes and you want to discard it:
Please contact your SHARP dealer who will inform you about the take-back of the product. You might be charged for the costs arising from take-back and recycling. Small products (and small amounts) might be taken back by your local collection facilities.
For Spain: Please contact the established collection system or your local authority for take-back of your used products.
2. In other Countries outside the EU
If you wish to discard of this product, please contact your local authorities and ask for the correct method of disposal.
EINLEITUNG
natural_image
Line drawing of a telephone handset with an arrow indicating upward motion (no text or symbols)flowchart
graph TD
A["Managerschlüssel (MA)"] --> B["OP"]
B --> C["OP x/z"]
B --> D["REG"]
B --> E["MGR"]
B --> F["X1/Z1"]
B --> G["X2/Z2"]
B --> H["PGM"]
I["Bediener Schlüssel (OP)"] --> J["OP"]
J --> K["OP x/z"]
text_image
PLU/SUB DEPT REPEAT Bedienercode 0.3 RCPT OFF 12.50 NUMBERSHIFTDC(Pop-Up-Typ)

text_image
45678906 Schubladenschlüssel
natural_image
Technical line drawing of a mechanical assembly with no visible text or symbols
natural_image
Technical line drawing of a mechanical component with no visible text or symbolsVorsicht
natural_image
Line drawing of hands installing or adjusting a mechanical component inside a device casing (no text or symbols visible)Hinweis
natural_image
Diagram of a hand inserting a device into a plastic housing (no text or symbols visible)natural_image
Diagram of a hand using a device to lift a car's seatbelt, showing mechanical components and a directional arrow (no text or symbols present)Hinweis
text_image
250 RF 6 22 41 RF DEPT# 100 DEPT# 7 ⊗ 13 RF PLU/SUB 85 RF PLU/SUB 150 PLU/SUB TL/NStext_image
Technical data entry form with date, DEPT, ITEMS, and cash register values for a Kopfzeilen information.natural_image
Technical line drawing of a mechanical component with no visible text or symbolstext_image
Area to cutnatural_image
Illustration showing two hands holding a circular object with a rotating arrow, before and after motion (no text or symbols)ELECTRONIQUE (EJ)....70
ENTREES DE SURPASSEMENTS....71
RECTIFICATION APRES L'ACHEVEMENT D'UNE OPERATION (Mode d'annulation) ....71
FONCTION DE TRANSITION DE L'EURO....72
ENTRETIEN PAR L'OPERATEUR....75
natural_image
Line drawing of a telephone handset with an arrow indicating upward motion (no text or symbols)natural_image
Technical line drawing of a mechanical assembly with no visible text or symbols
natural_image
Technical line drawing of a mechanical assembly with no visible text or symbolsNota
natural_image
Line drawing of a hand installing or adjusting a mechanical component inside a plastic housing (no text or symbols visible)Nota
natural_image
Diagram of a hand inserting a device into a plastic housing (no text or symbols visible)natural_image
Diagram of a hand using a device to adjust or install a component, showing a handle and internal structure (no text or symbols)
FONCTION D'AIDE
Date (JJ/MM/AAAA) → #/TM/ST
flowchart
graph TD
A["Opération"] --> B["CL"]
B --> C["ESC/HELP"]
C --> D["ESC/HELP"]
text_image
250 RF 6 22 41 RF DEPT# 100 DEPT# 7 13 RF PLU/SUB 85 RF PLU/SUB 150 PLU/SUB TL/NSImpression du reçu

text_image
DEPT.06 R-2.50 DEPT.41 R-1.00 -7x 2.10 PLU.013 R-14.70 PLU.085 R-1.50 ITEMS 0Q CHANGE *19.70natural_image
Technical line drawing of a mechanical assembly with no visible text or symbolsnatural_image
Illustration of two hands holding a circular object with arrows indicating motion (no text or symbols)Dimensions: 350 (L) x 430 (P) x 282 (H) mm
Poids: 8 kg
natural_image
Line drawing of a telephone handset with an arrow indicating upward motion (no text or symbols)natural_image
Technical line drawing of a mechanical assembly with no visible text or symbols
natural_image
Technical line drawing of a mechanical component with no visible text or symbolsNota
natural_image
Line drawing of a hand installing or adjusting an internal component, no text or symbols presentNota
natural_image
Diagram of a hand inserting a device into a plastic housing (no text or symbols visible)
natural_image
Diagram of a hand using a device to lift a car's seatbelt, showing internal components and a directional arrow (no text or symbols)
FUNCION DE AYUDA
The image contains a graphical symbol: a black dot centered inside a circle, with no textual content or additional characters. Therefore, the correct OCR output is an empty string.
| 250 | RF | 6 | ^22 | |
| 41 | RF | DEPT# | 100 | |
| 7 | ||||
| 13 | RF | PLU/SUB | ||
| 85 | RF | PLU/SUB | 150 | |
| TL/NS |
natural_image
Technical line drawing of a mechanical assembly with no visible text or symbolsnatural_image
Illustration showing two hands holding a circular object with directional arrows indicating motion (no text or symbols)STAP 6 CORRECTIES....26
natural_image
Line drawing of a telephone handset with an arrow indicating upward motion (no text or symbols)text_image
PLU/SUB DEPT REPEAT Winkelbediende-code 0.3 RCPT OFF 12.50 NUMBERSHIFTDC(Omhoog-klap type)

text_image
4567890natural_image
Technical line drawing of a mechanical assembly with internal components and a directional arrow (no text or symbols)Let op
natural_image
Line drawing of a hand inserting or adjusting a device into an open plastic housing (no text or symbols visible)natural_image
Line drawing of a hand using a tool to adjust or install a mechanical component (no text or symbols visible)natural_image
Diagram of a hand using a belt switch to adjust or install a vehicle's seat (no text or symbols visible)STAP3
HELP-FUNCTIE
24 HOUR = 1 (DEFAULT)
12 HOUR = 0
EX) PM4:30
(TIME FORMAT=24 HOUR)
1630-[#/TM/ST]
SICS ("Single Item Cash Sale")
flowchart
graph LR
A["PLU code"] --> B["PLU/SUB"]
B --> C["Unit-prijs * (max. 8 cijfers)"]
C --> D["PLU/SUB"]
text_image
250 RF 6 22 41 RF DEPT# 100 DEPT# 7 ② 13 RF PLU/SUB 85 RF PLU/SUB 150 PLU/SUB TL/NStext_image
(AUTO) = 500 6^22 [TL/NS]text_image
DEPT.06 *5.00 ITEMS 1Q CASH *5.00Deel 3 VOOR DE MANAGER
ALVORENS TE PROGRAMMEREN
■ Consecutive number
Procedure

natural_image
Technical line drawing of a mechanical assembly with no visible text or symbolsnatural_image
Illustration of two hands holding a coiled cable with directional arrows indicating motion (no text or symbols)The wires in this mains lead are coloured in accordance with the following code:
BLUE:
Neutral
BROWN:
Live
As the colours of the wires in the mains lead of this apparatus may not correspond with the coloured markings identifying the terminals in your plug proceed as follows.
The wire which is coloured BLUE must be connected to the terminal which is marked with the letter N or coloured black.
The wire which is coloured BROWN must be connected to the terminal which is marked with the letter L or coloured red.
The apparatus must be protected by a 3A fuse in the mains plug or distribution board.
CAUTION: DO NOT CONNECT THE LIVE (BROWN) WIRE OR THE NEUTRAL (BLUE) WIRE TO THE EARTH TERMINAL OF YOUR 3-PIN MAINS PLUG.
Environment Protection
The device is supported by a battery. To dispose the battery safely to protect the environment, please note the following points:
• Take the used battery to your local waste depot, dealer or customer service centre for recycling.
- Do not throw the used battery into fire, into water or into the household waste!
EasyManual