XEA113 - Kassa SHARP - Gratis gebruiksaanwijzing en handleiding
Vind de handleiding van het apparaat gratis XEA113 SHARP in PDF-formaat.
Download de handleiding voor uw Kassa in PDF-formaat gratis! Vind uw handleiding XEA113 - SHARP en neem uw elektronisch apparaat weer in handen. Op deze pagina staan alle documenten die nodig zijn voor het gebruik van uw apparaat. XEA113 van het merk SHARP.
GEBRUIKSAANWIJZING XEA113 SHARP
MANUAL DE INSTRUCCIONES GEBRUIKSAANWIJZING

Het stopcontact dient in de buurt van de kassa en gemakkelijk toegangbaar te zijn.
CAUTION:
Trek de stekker uit het stopcontact indien u de stroom geheel wilt uitschakelen.
Warning
Dank u voor de aanschaf van de SHARP elektronische kassa, model XE-A113.
Lees deze gebruiksaanwijzing alvorens de kassa in gebruik te nemen goed door zodat u alle functies en mogelijkheden goed begrijpt.
Bewaar deze gebruiksaanwijzing ter referentie. U heeft de gebruiksaanwijzing mogelijk nodig indien u later problemen met de werking heeft.
LET OP!
Plaats de batterijen beslist niet in de kassa alvorens de kassa te initialiseren. Initialiseer de kassa beslist alvorens de kassa in gebruik te nemen en plaats daarna drie nieuwe LR6 alkaline batterijen ("AA" formaat) in de kassa. Het geheugen van de kassa zal anders in de war raken en de kassa zal dan niet juist functioneren. Zie bladzijden 8 en 9 voor details.
BELANGRIJK
- Wees uitermate voorzichtig bij het verwijderen en terugplaatsen van de printerafdekking. De papiersnijder op deze afdekking is namelijk zeer scherp.
- Installeer de kassa op een plaats die niet onderhevig is aan het directe zonlicht, extreme temperatuurswisselingen, hoge vochtigheid of spatten van water.
Het installeren op dergelijke plaatsen kan de behuizing en de elektronische componenten namelijk beschadigen.
- Bedien de kassa nooit met natte handen.
Vocht van uw handen zou namelijk in de kassa kunnen komen met beschadiging van componenten tot gevolg. - Gebruik een droge, zachte doek om de kassa schoon te maken. Gebruik beslist geen oplosmiddelen als bijvoorbeeld benzine en/of thinner.
Het gebruik van dergelijke chemische middelen kan de behuizing vervormen of doen verkleuren.
- De kassa kan worden aangesloten op een standaard stopcontact (officieel (nominaal) voltage).
Sluit geen andere elektrische apparaten op hetzelfde stopcontact aan, daar de kassa anders mogelijk onjuist functioneert. - Plaats drie LR6 alkaline batterijen ("AA" formaat) na het initialiseren in de kassa zodat data in geval van een stroomonderbreking behouden blijven. Let bij gebruik van batterijen op het volgende:
Batterijen kunnen barsten of lekken, met beschadiging van het interne van de kassa tot gevolg, indien ze verkeerd worden behandeld.
- Kans op ontploffing indien batterijen van een verkeerd type zijn geplaatst. Gool gebruikte batterijen op de juiste, milieuvriendelijke wijze weg.
- Plaats al de batterijen beslist met de positieve (+) en (-) negatieve polen in de juiste richting.
- Plaats tegelijkertijd geen batterijen van verschillend type.
- Plaats tegelijkertijd geen oude en nieuwe batterijen.
- Laat lege batterijen niet in het batterijvak zitten.
- Verwijder de batterijen indien u de kassa voor langere tijd niet gaat gebruiken.
- Indien een batterij heeft gelekt, moet u de vloeistof direct uit het vak wegvegen. Let op dat de batterijvloeistof niet op uw huid komt.
- Gooi gebruikte batterijen, volgens de regels op milieuvriendelijke wijze weg.
- Trek de stekker uit het stopcontact om de stroom geheel uit te schakelen.
INHOUDSOPGAVE
INTRODUCTIE....1
BELANGRIJK....1
INHOUDSOPGAVE....2
Deel 1 GIDS VOOR SNEL STARTEN
STAP 1 ONDERDELEN EN FUNCTIES....5
1 Exterieur ....5
2 Printer....5
3 Functieschakelaar en functietoetsen....6
4 Toetsenbord 6
5 Displays....7
6 Ladeslot en sleutel ....7
STAP 2 VOORBEREIDING VOOR DE KASSA....8
1 Initialiseren van de kassa 8
2 Plaatsen van batterijen....9
3 Plaatsen van een papierrol....10
STAP 3 HELP-FUNCTIE....12
STAP 4 PROGRAMMEREN VAN BASISFUNCTIES....13
1 Afkortingen en termen 13
2 Alvorens te programmeren....13
Procedure voor programmeren ....13
Beschrijving van speciale toetsen 13
Belegeiding voor programmeren van tekst....14
3 Taalkeuze....15
4 Programmeren van de datum en tijd 15
5 Programmeren van belasting ....16
6 Programmeren van afdeling....17
7 Programmeren van PLU ("Price Look-Up") en subafdeling....20
8 Programmeren van tekst....22
Namen van winkelbediendes....22
Logo-mededelingen....22
9 Programmeren van andere nodige onderdelen....23
STAP 5 INVOEREN VAN EENVOUDIGE VERKOPEN ....24
1 Voorbeeld voor invoeren van eenvoudige verkopen 24
2 Invoeren van PLU....25
1 Annuleren van een ingevoerd cijfer 26
2 Corrigeren van de laatste invoer (direct annuleren) 26
3 Corrigeren van de voorlaatste of eerdere invoer (indirect annuleren)....27
4 Annuleren van subtotaal....27
5 Corrigeren van fouten die niet direct of indirect kunnen worden geannuleerd ....28
STAP 7 VOLLEDIG VERKOOPOVERZICHT (Z OVERZICHT) ......29
STAP 8 VOORDAT U VOOR REPARATIE BELT ....31
Foutcodetabel....31
Deel 2 VOOR DE WINKELBEDIENDE
INVOEREN VAN EENVOUDIGE VERKOPEN....32
1 Extra informatie voor INVOEREN VAN EENVOUDIGE VERKOPEN ....32
2 Foutmelding....32
3 Invoeren van onderdelen....33
Invoeren van enkele onderdelen ....33
Invoeren van herhalingen ....34
Invoer met vermenigvuldiging....35
Invoeren van contante verkoop van één artikel (SICS) 35
4 Tonen van subtotaal....36
5 Voltooien van een transactie 36
Contante betaling of cheque....36
Verkoop tegen contante betaling of cheque zonder invoeren van ontvangen bedrag ....36
Verkoop op krediet ....37
Verkoop met gemengde betaling....37
6 Berekenen van BTW (belasting toegevoegde waarde)/belasting 37
BTW/belasting systeem 37
EXTRA FUNCTIES ....39
1 Invoeren van extra opties ....39
Berekenen van percentage (premie of korting) 39
Invoeren van korting 39
Invoeren van terugbetalingen 40
Invoeren en afdrukken van een "niet-toevoegen" codenummer....40
2 Andere betalingswijze en betalingen....41
Buitenlands geld 41
Invoeren van ontvangen-op-rekening....42
Invoeren van uitbetalingen 42
Geen verkoop (wisselen) 42
3 Invoeren van automatische handelingen ( [AUTO] toets) 42
Deel 3 VOOR DE MANAGER
ALVORENS TE PROGRAMMEREN 43
Procedure voor programmeren ....43
Invoeren van tekencodes met gebruik van de cijfertoetsen op het toetsenbord ....43
Tabel met codes voor tekens, letters, cijfers en symbolen....44
PROGRAMMEREN VAN EXTRA FUNCTIES....45
1 Programmeren van diverse toetsen ....45
Waarde voor %1 , %2 en ....45
Bedrag voor 45
Limiet voor percentage voor %1 en %2 46
Functieparameters voor %1 , %2 en 46
Functieparameters voor EX 47
Functieparameters voor , :PO , 1 , 2 , 1 , 2 en /NS (bij gebruik als de TL toets) .....48
2 Programmeren van overige tekst 49
Symbool voor buitenlandse valuta....49
Symbool voor nationale valuta ....49
Tekst voor trainingfunctie ....50
Tekst voor functies ....50
PROGRAMMEREN VAN GEAVANCEERDE FUNCTIES....52
1 Programmeren van kassanummer en volgnummer 52
2 Diverse Functies Programmeren 1....53
Functiekeuze voor diverse toetsen....53
Printformaat 54
Bon printformaat 54
Overige programmering....55
3 Diverse Functies Programmeren 2....60
Energiebesparingsfunctie 60
Printformaat voor afdrukken van logo....61
Dichtheid thermische printer....61
Specificatie voor training bediende....61
Programmeren van de AUTO toets – Toets voor automatisch opeenvolgende handelingen .....62
4 Programming voor de EURO 63
5 Lezen van vastgelegde programma's 64
TRAININGSFUNCTIE 67
LEZEN (X) EN TERUGSTELLEN (Z) VAN VERKOOPTOTALEN....68
EJ OVERZICHT LEZEN EN TERUGSTELLEN....70
OVERSCHRIJVEN VAN INVOER 71
CORRECTIE NA HET VOLTOOIEN VAN EEN TRANSACTIE (Annuleerfunctie)....71
FUNCTIE VOOR OVERGANG NAAR DE EURO....72
ONDERHOUD VOOR BEDIENING 75
1 Bij een stroomonderbreking 75
2 Bij een printerfout 75
3 Voorzorgen voor het behandelen van de printer en het papier 75
4 Vervangen van de batterijen 76
5 Vervangen van de papierrol 76
6 Verwijderen van vastgelopen papier 78
7 Reinigen van de printer (afdrukkop / sensor / roller) 78
8 Verwijderen van de lade en ladehouder van de kassa....78
9 Handmatig openen van de lade 78
■ Vooraanzicht Achteraanzicht

text_image
Bediendedisplay Printerafdekking Kassabon XE-4113 Klantdisplay (Omhoog-klap type) Netsnoer Functieschakelaar Toetsenbord Ladeslot Lade2 Printer

De printer is van het thermische, één-station type en heeft dus geen inktlint of inktpatroon nodig.
Til de achterkant van de printerafdekking omhoog om te verwijderen. Voor het weer terugplaatsen, haakt u de haakjes op de behuizing en sluit u de afdekking.
Let op: De papiersnijder is op de printerafdekking gemonteerd. Voorkom dat u zich bezeert en wees derhalve voorzichtig.

text_image
Oprolspoel Ruimte voor papierrol Afdrukrollerarm Papiergeleiders Afdrukroller- ontgrendelhendel Binnenafdekking Opmerking Probe met de U zou beschProbeer de papierrol niet te verwijderen met de afdrukrollerarm nog vergrendeld. U zou anders de printer en afdrukkop beschadigen.
3 Functieschakelaar en functiesleutels
De functieschakelaar kan worden gebruikt door één van de twee bijgeleverde functiesleutels – manager (MA) en winkelbediende (OP) sleutels – in te steken. Deze sleutels kunnen uitsluitend worden ingestoken of verwijderd in de "REG" of "stand.

flowchart
graph TD
A["OP"] --> B["Reg"]
B --> C["MGR"]
C --> D["X1/Z1"]
C --> E["X2/Z2"]
D --> F["PGM"]
E --> F
G["Managersleutel (MA)"] --> H["Winkelbediendesleutel (OP)"]
H --> I["OP"]
I --> J["Reg"]
J --> K["MGR"]
K --> L["X1/Z1"]
K --> M["X2/Z2"]
L --> N["PGM"]
M --> N
De functieschakelaar heeft de volgende standen:
: Met deze stand zijn alle kassabedieningen vergrendeld. (De stroom wordt uitgeschakeld.)
OP X/Z: Voor het krijgen van individuele winkelbediende X of Z overzichten, en het maken van snelle overzichtsrapporten. U kunt tussen "ON" en "OFF" voor de kassabon schakelen door op de RCPT/PO toets te drukken.
REG: Voor het invoeren van verkopen.
PGM: Voor het programmeren van diverse onderdelen.
∞ : Voor het invoeren van de annuleerfunctie. Met deze functie kunt u na het invoeren van een verkoop een correctie maken.
MGR: Voor het invoeren door de manager. De manager kan deze functie gebruiken om een invoer te overschrijven.
X1/Z1: Voor het maken van X/Z overzichten voor diverse dagelijkse totalen.
X2/Z2: Voor het maken van X/Z overzichten voor periodieke (wekelijks of maandelijks) overzichten.
4 Toetsenbord
■ Overzicht van toetsenbord

text_image
↑ RA ! %1 / RCPT /PO _ %2 NUMBER ∞ DC RF SHIFT ESC /HELP BS ⊖ SPACE
text_image
⊗ • CL 7 8 9 4 5 6 1 2 3 0 00
text_image
PLU /SUB A DEPT # F DEPT SHIFT K CLK# P 20 4 B 24 8 G 28 12 L 32 16 Q 19 3 C 23 7 H 27 11 M 31 15 R 18 2 D 22 6 I 26 10 N 30 14 S 17 1 E 21 5 J 25 9 O 29 13 T
text_image
VAT U AUTO X CR2 V CH2 Y CR1 W CH1 Z #/TM/ST TL/NS■ Namen van toetsen

text_image
↑ Papiertoevoer-toets RA Ontvangen op rekening toets RCPT Afdrukken bon/Betaald toets ∞ Annuleertoets ESC Escape-/Help-toets /HELP EX Wisselen buitenlandse valuta toets %1 %2 Percent 1 en 2 toetsen RF Terugbetaling-toets
text_image
Kortingtoets Vermenigvuldigtoets Decimale punt toets Wistoets 00 0 ~ 9 Cijfertoetsen PLU/SUB PLU/Subafdelingtoets DEPT# Afdelingscode invoertoets DEPTSHIFT Afdeling shift-toets
text_image
CLK# Winkelbediende-code invoertoets 1 17 ~ 32 Afdelingtoetsen VAT BTW-toets AUTO Toets voor automatische handelingen CR1 CR2 Krediet 1 en 2 toetsen CH1 CH2 Cheque 1 en 2 toetsen #/TM/ST Niet-toevoegen code/ Tijddisplay/Subtotaal toets TL /NS Totaal/Geen verkoop toets5 Displays
Winkelbediende-display Klantdisplay

Bedrag: Verschijnt geheel rechts met maximaal acht cijfers. Indien het bedrag negatief is, verschijnt het “-” symbool voor het bedrag.
Aantal herhalingen voor zich herhalende registraties:
Het aantal herhalingen wordt getoond, beginnend met "2", en wordt bij iedere volgende herhaling verhoogd. Indien u tien keer heeft geregistreerd, toont het display "0". (2 → 3 ⋯ 9 →0 →1 →2 ⋯)
Bonfunctiestatus:
De “_” indicator verschijnt in de RCPT OFF stand indien de bonfunctie op "OFF" (uitgeschakeld) is gezet.
Tijd: Verschijnt in de tweede tot zesde positie (met gebruik van het 24-uur systeem) in de OP X/Z, REG of MGR functie. Druk op de #/TM/ST toets tijdens de REG of MGR functie om de tijd te tonen.
Symbolen voor de status van de kassa
P : Verschijnt bij het programmeren.
E : Verschijnt met een foutcode bij een fout. Zie "Foutcodetable" op bladzijde 31 voor details.
☐ : Verschijnt indien het subtotaal wordt getoond of het ontvangen bedrag lager is dan het bedrag van de verkopen.
C : Verschijnt wanneer u op de EX toets drukt om het subtotaal in een buitenlandse valuta te berekenen.
F : Verschijnt wanneer de transactie is voltooid door een druk op de /NS , 1 , 2 , 1 of 2 toets.
: Verschijnt wanneer het bedrag voor wisselgeld wordt getoond.
E-E : Verschijnt in de meest-linkse drie posities bij het invoeren met toetsen indien het elektronische overzicht (EJ) geheugen vol is. (Afhankelijk van de geprogrammeerde instelling.)
L : Verschijnt wanneer het voltage van de drie geplaatste batterijen onder het vereiste peil is. U moet binnen twee dagen nieuwe batterijen plaatsen. Zie bladzijde 76 voor details.
L : Verschijnt indien er geen batterijen zijn geplaatst of indien de batterijen leeg zijn. U moet direct nieuwe batterijen plaatsen. Zie bladzijde 76 voor details.
- : Verschijnt mogelijk onder de achtste en negende positie bij het voltooien van een transactie indien het elektronische overzicht (EJ) geheugen bijna vol is.
Verschijnt tevens onder de tiende positie indien de energiebesparingsfunctie is geactiveerd.
E-EU: Verschijnt wanneer de geprogrammeerde datum (en tijd) voor EURO-modificatie is bereikt.
H : Verschijnt wanneer de afdrukrollerarm niet is vergrendeld.
PPPPPPPP : Verschijnt wanneer het papier niet is geplaatst of wanneer het papier op is.
Met deze sleutel wordt de lade vergrendeld en ontgrendeld. Draai 90 graden naar links om te vergrendelen. Draai 90 graden naar rechts om te ontgrendelen.



STAP2
VOORBEREIDING VOOR DE KASSA
Pak de kassa uit en controleer dat alle accessoires aanwezig zijn. Zie "TECHNISCHE GEGEVENS" op bladzijde 79 voor details aangaande de bijgeleverde accessoires.
Bepaal een stabiele plaats in de buurt van een stopcontact en waar de kassa niet aan water, vocht en het directe zonlicht wordt blootgesteld.
Voer de volgende drie hieronder beschreven stappen uit ter voorbereiding voor het gebruik van de kassa; "1 Initialiseren van de kassa" op bladzijde 8, "2 Plaatsen van batterijen" op bladzijde 9 en "3 Plaatsen van een papierrol" op bladzijde 10.
1 Initialiseren van de kassa
Voor een juiste werking van de kassa moet u deze initialiseren alvorens voor het eerst in gebruik te nemen. Volg de volgende stappen.
- Steek de manager (MA) sleutel in de functieschakelaar en draai naar de REG stand.
- Steek de stekker van het netsnoer in een stopcontact. U hoort drie keer een pieptoon.
BELANGRIJK: U moet deze handelingen uitvoeren zonder batterijen in de kassa geplaatst.

text_image
OPX/Z REG MGR X1/Z1 X2/Z2 PGM- De kassa is nu geïinitialiseerd. Het kassadisplay toont "0.00" met "L

Opmerking
Indien u geen pieptoon hoort wanneer de stekker in het stopcontact werd gestoken, is de kassa niet juist geïntitialiseerd. (Dit kan bijvoorbeeld komen door een hoog voltage omdat u de kassa bedient voordat het initialiseren werd gestart.) Wacht tenminste één minuut nadat de stekker uit het stopcontact werd getrokken en steek dan weer de stekker in het stopcontact.
2 Plaatsen van batterijen
U moet drie nieuwe alkaline LR6 batterijen ("AA" formaat) in de kassa plaatsen zodat data en door u geprogrammeerde gegevens in het geheugen bewaard blijven wanneer de stroom wordt onderbroken of de stekker per ongeluk uit het stopcontact wordt getrokken. De batterijen gaan ongeveer na het plaatsen één jaar mee. Het "L" symbool verschijnt wanneer de batterijen bijna leeg zijn. U moet dan de batterijen binnen twee dagen vervangen. Indien het "L" symbool verschijnt, moet u direct nieuwe batterijen plaatsen. Draai de functieschakelaar niet naar de ⏻, Ⓞ∅ en PGM stand terwijl "L" wordt getoond.
Plaats drie nieuwe alkaline LR6 batterijen ("AA" formaat) als hieronder aangegeven, met de stekker in een stopcontact gestoken en de functieschakelaar naar de REG stand gedraaid, in het vak.
-
Druk de printerafdekking naar voren en verwijder.
Wees voorzichtig met de papiersnijder zodat u uzelf niet snijdt. -
Open het batterijvak naast de ruimte voor de papierrol.
-
Plaats drie nieuwe alkaline LR6 batterijen ("AA" formaat) op de in de afbeelding getoonde wijze.
“”op het display zal verdwijnen wanneer u de batterijen juist heeft geplaatst.
Opmerking
- Houd u beslist aan de op bladzijde 1 gegeven voorzorgen voor batterijen.
- Indien u per ongeluk op een toets drukt, zal mogelijk een foutsymbool als bijvoorbeeld "Verschijnen. Druk op de CL toets om het symbool te wissen nadat u papierrollen heeft geplaatst.

“L of “” zal alleen verschijnen indien de kassa is ingeschakeld. Vergeet niet dat wanneer de kassa voor een langere periode uitgeschakeld blijft, data mogelijk uit het geheugen worden gewist zonder dat eerst de “L of “” waarschuwing wordt getoond.
3
Plaatsen van een papierrol
Voorzorg: De papiersnijder is op de printerafdekking gemonteerd. Wees voorzichtig bij het plaatsen en verwijderen van de afdekking.
De kassa kan bonnen en overzichten afdrukken. Voor de printer moet u de bij de kassa geleverde papierrol plaatsen, ook wanneer u de kassa heeft geprogrammeerd voor het niet-afdrukken van bonnen of overzichten. Plaats de papierrol volgens de hieronder aangegeven manier met de stekker van het netsnoer in een stopcontact gestoken en de functieschakelaar naar de REG stand gedraaid:
-
Druk de afdrukroller-ontgrendelhendel omhoog om te ontgrendelen en open de afdrukrollerarm.
-
Plaats een papierrol in de papierrolhouder op de in de afbeelding getoonde wijze.
-
Plaats het uiteinde van het papier langs de papiergeleiders op de in de afbeelding getoonde wijze.
-
Houd het papier omlaag gedrukt en sluit de afdrukrollerarm voorzichtig en druk de arm omlaag totdat u een klik hoort ten teken dat de arm is vergrendeld. Zorg dat u beslist op het midden van het vleugelgedeelte van de arm drukt, zoals in de afbeelding wordt getoond. Het papier wordt automatisch verder getrokken.
Opmerking
Juist afdrukken is onmogelijk indien de afdrukrollerarm niet goed is vergrendeld. Indien dit het geval is moet u de arm weer openen en vervolgens zoals hierboven beschreven weer juist sluit

text_image
Afdrukrollerarm Afdrukroller- ontgrendelhendel
text_image
Naar de printer Juist Fout Naar de printer
text_image
Papiergeleiders
5. Indien u de oprolspoel niet gebruikt (voor het afdrukken van bonnen):
- Snijd overtollig papier met de rand van de binnenafdekking af en plaats de printerafdekking weer terug. Druk op de ↑ toets totdat het papieruiteinde uit de printerafdekking komt en schoon papier zichtbaar is.
Opmerking
Indien het papieruiteinde niet zichtbaar wordt, moet u de printerafdekking openen en het papieruiteinde tussen de papiersnijder en de papiergeleider van de printerafdekking brengen. Plaats vervolgens de afdekking weer terug.

Indien u de oprolspoel wel gebruikt (voor het afdrukken van overzichten):
- Steek het uiteinde van het papier in de gleuf van de spoel. (Druk op de ↑ toets om indien nodig meer papier toe te voeren.)
- Spoel het papier twee of drie keer rond de spoelas.
- Plaats de spoel op de lager en druk op de ↑ toets om het papier strak te trekken.
- Plaats de printerafdekking weer terug.
Opmerking
Bij gebruik van de papierrol voor het afdrukken van overzichten, moet u de drukstijl veranderen. Zie "Printformaat" van "Diverse Functies Programmeren 1" (taak-code 6) voor het veranderen van de drukstijl.

Met de help-functie kunt u begeleidingsmededelingen afdrukken voor procedures van eenvoudige programmeren van de kassa. De help-functie kan behalve met de functieschakelaar naar "Lgedraaid, in iedere andere stand worden gebruikt. Zie "STAP 4 PROGRAMMEREN VAN BASISFUNCTIES" op bladzijden 13 t/m 23 voor details aangaande iedere programmering.
■ Afdrukken van het help-menu
Druk op de ESC HELP toets om het help-menu af te drukken. Dit menu geeft een lijst van procedures van programmeren waarvoor de help-functie beschikbaar is.
AfdrukToetsbediening

HELP MENU
1 LANGUAGE SELECTION
2 DATE SETTING
3 TIME SETTING
4 LOGO MESSAGE SETTING
5 VAT RATE SETTING
6 VAT ASSIGNMENT TO DEPT
7 PLU PRICE SETTING
8 DAILY Z REPORT PRINT
9 HOW TO SET THE PAPER
TO PRINT ABOVE EACH HELP CONTENTS, EX) 1-[HELP]. MODE POSITION REG MODE.
■ Afdrukken van begeleidingsmededelingen
Druk aan de hand van het hierboven getoonde help-menu op de overeenkomende cijfertoets en de ESC HELP toets om de begeleidingsmededeling voor ieder procedure van programmeren af te drukken.
AfdrukToetsbediening

3 TIME SETTING
MODE POSITION PGM MODE. [HHMM] - [#/TM/ST]
HH:00-23
MM:00-59
JOB#61-F: TIME FORMAT
Voorbeeld van afdruk voor TIME SETTING (Instellen van de tijd)

De ESC HELP toets functioneert als toets voor het verlaten bij fouten ("escape") tijdens een transactie. Voltooi de transactie derhalve voordat u deze toets als help-toets wilt gebruiken.
STAP4
PROGRAMMEREN VAN BASISFUNCTIONS
U moet bepaalde vereiste instellingen programmeren zodat de kassa naar uw behoeften en verkopen functioneert alvorens het invoeren van verkopen te starten.
Deze gebruiksaanwijzing heeft drie gedeelten: PROGRAMMEREN VAN BASISFUNCTIES (bladzijden 13-23), dat de onderdelen beschrijft die geprogrammeerd moeten worden; PROGRAMMEREN VAN EXTRA
FUNCTIES (bladzijden 45-51), waarmee u kunt programmeren voor een handiger gebruik van de toetsen op het toetsenbord; en PROGRAMMEREN VAN GEAVANCEERDE FUNCTIES (bladzijden 52-66), waarmee u diverse optionele functies kunt programmeren. Zoek de voor u benodigde functies en programmeer de vereiste gegevens.
1 Afkortingen en termen
Afd. (Dept.): Afdeling (Department); een categorie voor het classificeren van artikelen. Ieder artikel moet tot een afdeling behoren.
PLU: Price Look Up, oftewel prijs-opzoeken; een categorie voor het classificeren van artikelen. PLU's worden gebruikt voor het oproepen van vooraf-ingestelde prijzen door een code in te voeren.
BTW (VAT): Belasting toegevoegde waarde (Value Added Tax).
X-overzicht: Overzicht voor het lezen van verkoopdata.
Z-overzicht: Overzicht voor het lezen en terugstellen van verkoopdata.
2 Alvorens te programmeren
■ Procedure voor programmeren
- Controleer dat een papierrol in de kassa is geplaatst. Plaats een nieuwe rol indien er niet genoeg papier op een rol is (zie "Vervangen van de papierrol" op bladzijde 76 voor het vervangen).
- Steek de manager-sleutel in de functieschakelaar en draai naar de PGM stand.
- Programmeer de vereiste onderdelen en gegevens in de kassa. Na het programmeren van een onderdeel, drukt de kassa de gemaakte instelling af. Controleer aan de hand van de gegeven afdrukvoorbeelden in de betreffende gedeeltes.
- Druk indien nodig programmeerrapporten ter referentie af.
Opmerking
- Op de voorbeelden voor toetsbedieningen bij de beschrijvingen voor het programmeren, tonen nummers als "22102007" de parameter die moet worden ingevoerd met gebruik van de overeenkomende cijfertoetsen.
- Sterretjes in de tabels bij de beschrijvingen voor het programmeren, tonen de fabrieksinstellingen die bij het verlaten van de fabriek zijn geactiveerd.

text_image
OPX/Z REG MGR X1/Z1 X2/Z2 PGM■ Beschrijving van speciale toetsen
0, 1 t/m 9 Cijfertoetsen Gebruik voor het invoeren van cijfers.
⑩ Dubbele nul toets Gebruik voor het invoeren van parameters en tekencodes.
CL Wistoets Gebruik voor het wissen van een invoer.
Punt-toets Gebruik voor het invoeren van de decimale punt en als rechter-cursortoets (naar rechts verplaatsen).
Vermenigvuldig-toets Gebruik als linker-cursortoets (naar links verplaatsen).
/TM/ST Subtotaal-toets Gebruik voor het bevestigen van ingevoerde data.
TL/NS Voltooi-toets Gebruik voor het voltooien van het programmeren.
■ Belegeiding voor programmeren van tekst
Met de kassa kunt u tekst voor bijvoorbeeld de namen van onderdelen van afdelingen (bladzijde 19), onderdelen van een PLU/subafdeling (bladzijde 21), functietekst (bladzijde 50), winkelbedienden (bladzijde 22), logo's (bladzijde 22), buitenlandse en nationale valutasymbolen (bladzijde 49) en trainingsfunctietekst (bladzijde 50) indien gewenst programmeren.
Er zijn twee manieren voor het programmeren van tekst; met gebruik van de tekentoetsen op het toetsenbord of door middel van het invoeren van tekencodes met de cijfertoetsen van het toetsenbord.
Zie "Invoeren van tekencodes met de cijfertoetsen van het toetsenbord" op bladzijde 43 voor details aangaande deze laatste methode.
Met gebruik van de tekentoetsen op het toetsenbord
U kunt in overeenstemming met de kleine afbeeldingen rechtsonder op de toetsen de gewenste tekens of letters (symbolen en nummers) invoeren. Zie het "Toetsenbord" gedeelte op bladzijde 6 voor de plaats van de diverse toetsen.
De volgende toetsen worden voor het programmeren van tekst gebruikt:
SHIFT Voor het afwisselend kiezen van kleine letters of hoofdletters. Met de fabrieksinstelling is hoofdletters gekozen. Na een druk op de SHIFT toets is de functie voor het invoeren van kleine letters vergrendeld. “_” licht bij de SHIFT positie op het display op indien u voor kleine letters heeft gekozen.
NUMBER Druk op de NUMBER toets om cijfers (symbolen) in te voeren. Druk bijvoorbeeld op de NUMBER en 1 toets om "1" in te voeren. Indien u op de 1 toets drukt zonder een druk op de NUMBER toets, schakelt de kassa in de functie voor het invoeren van tekens door middel van codes.
Na een druk op de NUMBER toets is de functie voor het invoeren van cijfers vergrendeld. “_” licht bij de NUMBER positie op het display op indien u voor cijfers heeft gekozen.
DC Met deze toets wordt afwisselend tussen enkel-formaat en dubbel-formaat tekens geschakeld. Met de fabrieksinstelling is enkel-formaat tekens gekozen. Na een druk op de DC toets is de functie voor het invoeren van dubbel-formaat tekens vergrendeld. “_” licht bij de DC positie op het display op indien u voor dubbel-formaat tekens heeft gekozen.
BS Voor het terugzetten van de cursor waarbij het linkerteken wordt gewist.
Voorbeeld
Programmeren van "Clerk01" met dubbel-formaat voor de letter "C".
Letter "C" dubbel-formaat maken
Terug naar normaal-formaat gaan
Veranderen naar kleine letters




Invoeren van cijfers

3 Taalkeuze
Procedure

flowchart
graph LR
A["#/TM/ST"] --> B["8"]
B --> C["8"]
C --> D["⊗"]
D --> E["*Taal (0-3)"]
E --> F["TL/NS"]
E -->|Instellen van "0"| D
*Taal: 0: Engels 1: Duits 2: Frans 3: Spaans
Engels is de fabrieksinstelling.
AfdrukToetsbediening voorbeeld


*PGM*
88
0
Let op
Teksten als bijvoorbeeld de winkelbediende-naam (bladzijde 22), logo-mededeling (bladzijde 22) en functietekst (bladzijde 50) die u heeft geprogrammeerd, worden naar de fabrieksinstellingen teruggesteld indien u de taal verandert. U moet derhalve de taal kiezen alvorens winkelbediende-namen, logo-mededelingen en functietekst te programmeren.
4 Programmeren van de datum en tijd
■ Datum
Voer de datum met 8 cijfers in met het dag-maand-jaar (DD/MM/YYYY) formaat. Druk vervolgens op de #/TM/ST toets.
Procedure

AfdrukToetsbediening voorbeeld
Voer de tijd met maximaal 4 cijfers met gebruik van het 24-uur formaat in. Voer bijvoorbeeld 230 in indien het 2:30 AM ('s morgens) is; voer 1430 in indien het 2:30 PM ('s middags) is.
Procedure

text_image
Tijd (max. 4 cijfers met het 24-uur formaat) → #/TM/STAfdrukToetsbediening voorbeeld
1430
/TM/ST
*PGM*
14:30
Tijd
5 Programmeren van belasting
Indien u de BTW/belasting heeft geprogrammeerd, zal de kassa automatisch de BTW (belasting toegevoegde waarde) berekenen. Met het BTW-systeem is de belasting in de prijs die u in de kassa invoert inbegrepen en wordt het bedrag van de belasting berekend in overeenstemming met de geprogrammeerde BTW-waarde. Met het belastingsysteem wordt de belasting berekend in overeenstemming met de geprogrammeerde belastingvoet en aan de prijs toegevoegd. Deze kassa beschikt over 6 verschillende systemen voor de BTW/belasting (automatisch BTW 1-4, automatisch belasting 1-4, handmatig BTW 1-4, handmatig BTW 1, handmatig belasting 1-4 en automatisch BTW1, en automatisch belasting 2-4) en vier belastingvoeten. Het automatisch BTW1-4 systeem is bij het verlaten van de fabriek als fabrieksinstelling voor de kassa ingesteld.
Na het programmeren van de belastingvoet(en) en de belastingstatus voor ieder afdeling (als fabrieksinstelling is BTW1/belasting1 als belastbaar gesteld), wordt de belasting automatisch aan de verkopen van onderdelen die tot de overeenkomende afdeling behoren toegevoegd. De belasting wordt dan in overeenstemming met de geprogrammeerde belastingstatus voor de afdeling en de overeenkomende belastingvoet(en) berekend.
Zie het "Berekenen van BTW (belasting toegevoegde waarde)/belasting" gedeelte op bladzijde 37 voor details aangaande de belastingsystemen. Zie "Overige Programmering" van het "Diverse Functies Programmeren 1" gedeelte (Taak-code 69) op bladzijde 59 voor het veranderen van het belastingsysteem.
■ Programmeren van belastingvoet
Het hier gespecificeerde percentage wordt voor het berekenen van de belasting voor belastbare subtotalen gebruikt.

flowchart
graph TD
A["#/TM/ST"] --> B["9"]
B --> C["⊗"]
C --> D["Belastingnummer (1 t/m 4)"]
D --> E["⊗"]
E --> F["#/TM/ST"]
F --> G["TL/NS"]
H["*Teken en belastingvoet: YYYY.YYYY\nBelastingvoet=0.0000 t/m 100.0000\nTeken -/+ = 1/0"] --> I["×"]
I --> J["Laagste belastbare bedrag (0.01 t/m 999.99)"]
J --> K["#/TM/ST"]
K --> L["TL/NS"]
M["Programmeren van "0.0000""] --> N["* Teken en belastingvoet"]
N --> O["⊗"]
O --> P["Laagste belastbare bedrag (0.01 t/m 999.99)"]
P --> Q["#/TM/ST"]
Q --> R["TL/NS"]
S["Programmeren van andere belasting"] --> D
T["Indien het laagste belastbare bedrag nul is"] --> P

text_image
#/TM/ST 9 Ⓧ 2 Ⓧ 7 Ⓧ #/TM/ST TL/NS AfdrukToetsbediening voorbeeld *PGM* T2 7.0000% 0.00Opmerking
- Het laagste belastbare bedrag is uitsluitend geldig indien u het "toevoegen" belastingsysteem heeft gekozen. Dit bedrag wordt genegeerd indien u het BTW-systeem kiest.
- Bij het maken van een fout voordat u bij het programmeren van een belastingvoet op de derde toets drukt, kunt u de fout met een druk op CL annuleren.
- U hoeft de laatste nullen van de belastingvoet (na de decimale punt) niet in te voeren, maar u moet wel de decimalen voor breuken invoeren.
- Indien u het BTW-systeem heeft gekozen, wordt het door u geprogrammeerde teken genegeerd.
Voer de volgende procedure uit voor het annuleren van een belastingvoet:
Procedure

flowchart
graph LR
A["#/TM/ST"] --> B["⊗"] --> C["9"] --> D["TL/NS"] --> E["∞"] --> F["Belastingnummer (1 t/m 4)"] --> G["→"] --> H["→"] --> I["→"]
6 Programmeren van afdeling
Artikelen kunnen in maximaal 50 afdelingen worden geclassificeerd. U kunt later van artikelen die met de afdelingtoetsen werden verkocht een overzicht afdrukken waarop de verkochte hoeveelheden en verkoopbedragen per afdeling zijn geclassificeerd. De data van het overzicht kunt u bijvoorbeeld gebruiken voor het nabestellen van artikelen of het bepalen van het verkoopbeleid.
Afdelingscode: BTW/belastingstatus: Teken:
| Afdeling 1-10 BTW 1 (+) |
| Afdeling 11-20 BTW 2 (+) |
| Afdeling 21 BTW 1 (-) |
| Afdeling 22-50 BTW 1 (+) |
■ Afdelingstatus
Procedure

flowchart
graph LR
A["Instellen van alle nullen"] --> B["ABCDEFGH"]
B --> C["⊗"]
C --> D["* DEPTSHIFT"]
D --> E["Afdelingtoets"]
E --> F["TL/NS"]
*Druk op de shift-toets voor het programmeren van afdelingen 17 t/m 32.

flowchart
graph LR
A["Afdelingscode"] --> B["DEPT#"]
B --> C["ABCDEFGH"]
C --> D["×"]
D --> E["TL/NS"]
F["Instellen van alle nullen"] --> C
Voor het programmeren van een andere afdeling, start u opnieuw vanaf het begin zonder een druk op de TL/NS toets.
*: Onderdeel: Keuze: Invoer:
| A BTW 4 of belasting 4 status Belastbaar 1 | |||
| Niet-belastbaar* 0 | |||
| B BTW 3 of belasting 3 status Belastbaar 1 | |||
| Niet-belastbaar* 0 | |||
| C BTW 2 of belasting 2 status Belastbaar 1 | |||
| Niet-belastbaar* 0 | |||
| D BTW 1 of belasting 1 status Belastbaar* 1 | |||
| Niet-belastbaar 0 | |||
| E SICS / Normaal SICS 1 | |||
| Normaal* 0 | |||
| F Teken Negatieve afdeling 1 | |||
| Positieve afdeling* | 0 | ||
| G | Limiet aantal cijfers | 0-8 (fabrieksinstelling: 8) | |
| H | Type invoer unit-prijs | Open en voor-ingesteld | 3 |
| Alleen voor-ingesteld | 2 | ||
| Alleen open* | 1 | ||
| Onderdrukken afdelingtoets | 0 | ||
BTW/belasting status (belastbaar 1 t/m 4/niet-belastbaar)
- Bij het maken van een invoer voor een belastbare afdeling, wordt de belasting automatisch op basis van de overeenkomende belastingvoet berekend bij het voltooien van de transactie.
- Bij het invoeren voor een afdeling waarvoor SICS is geprogrammeerd, wordt de verkoop direct als een contante verkoop voltooid zodra op de afdelingtoets wordt gedrukt. Bij het invoeren voor een afdeling waarvoor SICS niet is geprogrammeerd, wordt de verkoop pas voltooid wanneer op de TL/NS toets wordt gedrukt.
Limiet aantal cijfers
- Stel het maximale aantal cijfers dat kan worden ingevoerd in voor iedere afdeling. De limiet is effectief voor bedieningen tijdens de REG functie maar kan met de MGR functie worden overschreden.

text_image
Toetsbediening voorbeeld ABCDEFGH → 00011183 2 18 TL/NS Afdruk *PGM* DO2 T1 183 Vanaf links, EGH DEPT.02 -0.00 Belastingstatus Teken(F)■ Voor-ingestelde prijs

flowchart
graph LR
A["Procedure"] --> B["Unit-prijs (max. zes cijfers)"]
B --> C["DEPTSHIFT"]
C --> D["Afdelingtoets"]
D --> E["TL/NS"]
F["Programmeren van nul"] --> B
G["*"] --> C
*Druk op de shift-toets voor het programmen van afdelingen 17 t/m 32.

flowchart
graph LR
A["Afdelingscode"] --> B["DEPT#"]
B --> C["Unit-prijs (max. zes cijfers)"]
C --> D["#/TM/ST"]
D --> E["TL/NS"]
F["Programmeren van nul"] --> C
Voor het programmeren van een andere afdeling, start u opnieuw vanaf het begin zonder een druk op de TL/NS toets.
AfdrukToetsbediening voorbeeld


text_image
*PGM* DO1 T1 083 DEPT. 01 10.00 Unit-prijs
Indien een afdeling met het programmeren van functies niet is geprogrammeerd voor het toestaan van de invoer van voor-ingestelde prijzen, wordt de afdeling automatisch door de hier beschreven programmering veranderd zodat de invoer van voor-ingestelde prijzen wel is toegestaan.
■ Tekst voor afdeling (artikelnaam) (12 tekens)
Procedure

flowchart
graph TD
A["/TM/ST"] --> B["+"]
B --> C["•"]
C --> D["Afdelingtoets"]
D --> E["Tekentoetsen (max. 12 tekens)"]
E --> F["#/TM/ST"]
F --> G["TL/NS"]
H["*"] --> I["DEPTSHIFT"]
I --> D
J["Afdelingscode (1 t/m 50)"] --> K["DEPT#"]
K --> D
L["Programmeren van een andere afdeling"] --> M["End"]
style D fill:#f9f,stroke:#333
style E fill:#ccf,stroke:#333
style F fill:#cfc,stroke:#333
*Druk op de afdeling shift-toets voor het programmeren van afdelingen 17 t/m 32.

(Programmeren van FRUIT voor afdeling 1)
AfdrukToetsbediening voorbeeld

text_image
*PGM* DO1 T1 083 FRUIT 10.00 Geprogrammeerde tekst voor afdeling 17 Programmeren van PLU ("Price Look-Up") en subafdeling
Met de PLU functie kunnen verkopen snel worden ingevoerd en wordt de prijs automatisch door het invoeren van een code opgeroepen.
Een subafdeling is een soort van "open PLU" waarvoor een prijs moet worden ingevoerd nadat de PLU code is ingevoerd.
De kassa is voorgeprogrammeerd zodat codes 1 t/m 200 beschikbaar zijn.
■ Instellen van unit-prijs en overeenkomende afdeling
Procedure

flowchart
graph LR
A["PLU code"] --> B["PLU/SUB"]
B --> C["*2 Unit-prijs (max. zes cijfers)"]
C --> D["Overeenkomende afdelingtoets"]
D --> E["TL/NS"]
F["Programmeren van nul"] --> C
G["*1 DEPTSHIFT"] --> D
*1: Druk op de shift-toets voor het programmen van afdelingen 17 t/m 32.
Indien de overeenkomende afdeling 33-50 is:

flowchart
graph LR
A["PLU code"] --> B["PLU/SUB"]
B --> C["Overeenkomende afdelingscode (33 t/m 50)"]
C --> D["DEPT#"]
D --> E["*2 Unit-prijs (max. zes cijfers)"]
E --> F["#/TM/ST"]
F --> G["TL/NS"]
H["Programmeren van nul"] --> E
*2: Voor een subafdeling moet u de limiet voor het in te voeren bedrag voor een unit-prijs instellen.
Voor het programmeren van de volgende PLU code, start u opnieuw vanaf het invoeren van een unit-prijs of een overeenkomende afdelingscode zonder een druk op de TL/NS toets.
Voor het programmeren van een andere PLU code, start u opnieuw vanaf het begin zonder een druk op de TL/NS toets.
AfdrukToetsbediening voorbeeld


text_image
*PGM* P001 (O3) 1 PLU. 001 1.25 Unit-prijs Overeenkomende afdeling PLU codeVoer de volgende handelingen uit voor het wissen van een PLU code:
Procedure

flowchart
graph LR
A["PLU code"] --> B["PLU/SUB"]
B --> C["∞"]
C --> D["TL/NS"]
D --> E["Wissen van de volgende PLU code"]
E --> A
Wissen van een andere PLU code
■ PLU/subafdeling keuze
Procedure

flowchart
graph LR
A["PLU code"] --> B["PLU/SUB"]
B --> C["*A"]
C --> D["#/TM/ST"]
D --> E["TL/NS"]
E --> F["Programmeren van de volgende PLU code"]
F --> G["Programmeren van een andere PLU code"]
G --> H["Programmeren van "0""]
H --> C
*: 0 voor subafdeling of 1 voor PLU

AfdrukToetsbediening voorbeeld

text_image
*PGM* P001 (O3) 0 PLU. 001 1.25 PLU/subafdelingOpmerking
Bij het programmeren van de laatste PLU code, wordt de programmering voltooid door een druk op de #/TM/ST toets.
■ Tekst voor PLU (artikelnaam) (12 tekens)
Procedure

flowchart
graph LR
A["#/TM/ST"] --> B["2"]
B --> C["PLU/SUB"]
C --> D["PLU code"]
D --> E["Tekentoetsen (max. 12 tekens)"]
E --> F["#/TM/ST"]
F --> G["TL/NS"]
H["Programmeren van andere PLU"] --> I["Indien de volgende PLU code direct de zojuist ingevoerde volgt"]
I --> E
J["Behouden van huidige instelling"] --> E
AfdrukToetsbediening voorbeeld

(Programmeren van MELON voor PLU1)

text_image
*PGM* P001 (O3) 0 MELON 1.25 Geprogrammeerde tekst voor PLU code 18 Programmeren van tekst
Zie "Begeleiding voor het programmeren van tekst" op bladzijde 14 voor details aangaande het invoeren van tekens.
De kassa is automatisch gereed voor het invoeren van tekst wanneer u op een juiste cijfertoets (taak-codenummer) en de • toets drukt nadat u het programmeren heeft gestart door een druk op de #/TM/ST toets.
■ Namen van winkelbediendes (12 tekens)

flowchart
graph LR
A["#/TM/ST"] --> B["5"]
B --> C["•"]
C --> D["Winkelbediende-code (1-10)"]
D --> E["×"]
E --> F["Tekentoetsen (max. 12 tekens)"]
F --> G["#/TM/ST"]
G --> H["TL/NS"]
H --> I["TL/NS"]
I --> J["Winkelbediende-code (1-10)"]
K["Programmeren van een andere bediende"] --> D
L["AfdrukToetsbediening voorbeeld"] --> M["*PGM*<br>C#01 DAVID"]
N["#/TM/ST 5 •<br>1 •<br>DAVID<br>#/TM/ST<br>TL/NS"] --> C
O["Behouden van huidige instelling"] --> F
■ Logo-mededelingen (6 regels en 24 tekens voor iedere regel)
De kassa kan geprogrammeerde mededelingen op iedere bon afdrukken. Met het standaardmodel, wordt een kop met 3-regels en een voetnoot met 3-regels als logo op iedere bon afgedrukt. Indien u met een ander logomededelingenformaat wilt afdrukken, moet u het formaat veranderen. Zie bladzijde 61 voor details aangaande het programmeren. Hieronder ziet u de mogelijkheden:

flowchart
graph LR
A["/TM/ST"] --> B["4"]
B --> C["•"]
C --> D["*Regelnummer (1-6)"]
D --> E["⊗"]
E --> F["Tekentoetsen (max. 24 tekens)"]
F --> G["/TM/ST"]
G --> H["TL/NS"]
I["Behouden van huidige instelling"] --> F
J["Programmeren van een andere regel"] --> C
* Kop met 3-regels: 1 t/m 3
Kop met 6-regels: 1 t/m 6
Kop met 3-regels en voetnoot met 3-regels: 1 t/m 6 (1 t/m 3 voor kop en 4 t/m 6 voor voetnoot)
Printformaat voor logo-mededeling (3 types)

text_image
Kop 1ste regel Kop 2de regel Kop 3de regelKop met 3-regels Kop met 6-regels

text_image
Kop 1ste regel Kop 2de regel Kop 3de regel Kop 4de regel Kop 5de regel Kop 6de regel
flowchart
graph TD
A["Kop 1ste regel"] --> B["Kop 2de regel"]
B --> C["Kop 3de regel"]
D["Voetnoot 4de regel"] --> E["Voetnoot 5de regel"]
E --> F["Voetnoot 6de regel"]
Kop met 3-regels en voetnoot met 3-regels (Fabrieksinstelling)
Voorbeeld voor het afdrukken van "THANK YOU" als logo met gebruik van dubbel-formaat tekens en gecentreerd op de derde regel.
AfdrukToetsbediening voorbeeld

text_image
#/TM/ST 4 3 SPACE SPACE SPACE DC THANK SPACE YOU DC SPACE SPACE SPACE #/TM/ST TL/NS*PGM* THANK YOU

Bij het verlaten van de fabriek is een kop met 3-regels en een voetnoot met 3-regels als logo voorgeprogrammeerd. Start het invoeren vanaf de eerste regel indien u voor het eerst een logomededeling programmeert.
9 Programmeren van andere nodige onderdelen
Instelling voor decimale punt (komma) voor de nationale valuta
“2” is de fabrieksinstelling. Indien u echter de decimale punt of komma op een andere plaats gebruikt, moet u deze instelling veranderen. Zie “Overige Programmering” van “Diverse Functies Programmeren 1” (Taak-code 61) op bladzijde 55.
Afrondsystem
Indien in uw land een speciaal afrondsystem wordt gebruikt, zoals bijvoorbeeld in Zwitserland, Noorwegen, Zweden en Denemarken, moet u de instelling veranderen. Zie "Overige Programmering" in het "Diverse Functies Programmeren 1" (Taak-code 67) op bladzijde 57 voor de instelling voor Zwitserland en Noorwegen. Zie "Overige Programmering" in het "Diverse Functies Programmeren 1" (Taak-code 69) op bladzijde 59 voor de instelling voor Zweden en Denemarken.
STAP5
INVOEREN VAN EENVOUDIGE VERKOPEN
1 Voorbeeld voor invoeren van eenvoudige verkopen
Hieronder is een voorbeeld voor het invoeren van eenvoudige, contant te betalen verkopen.
Zie "Extra informatie voor het INVOEREN VAN EENVOUDIGE VERKOPEN" op bladzijde 32 voor details aangaande de diverse bedieningen.
Stand van functieschakelaar
- Draai de functieschakelaar naar de REG stand.
Invoeren van winkelbediende-code
- Voer uw winkelbediende-code in. (Voor bijvoorbeeld winkelbediende-code 1, drukt u achtereenvolgend op de ① en CLK# toets.) Na het initialiseren van kassa wordt automatisch winkelbediende-code 1 gekozen.

text_image
OPX/Z REG MGR X1/Z1 X2/Z2 PGMInvoeren van onderdelen
- Voer de prijs voor het eerste artikel of onderdeel van een afdeling in. (Voor bijvoorbeeld 15.00, drukt u op de ①⑤⑩0 en vervolgens op de vereiste afdelingtoets.)
Voor afdeling 17 t/m 32, drukt u eerst op de DEPTSHIFT toets en dan op de vereiste afdelingtoets.
Voor afdeling 33 of hoger, voert u eerst de afdelingscode in met de cijfertoetsen en drukt u vervolgens op de DEPT# toets. Voer daarna de prijs in en druk nogmaals op de DEPT# toets.
- Herhaal stap 3 voor alle andere artikelen van afdelingen.
Tonen van subtotaal
- Druk op de #/TM/ST toets om het totale bedrag van de verkopen te tonen.
Voltooien van de transactie
- Voer het van de klant ontvangen bedrag in. (U kunt deze stap overslaan indien het ontvangen bedrag gelijk is aan het subtotaal.)
- Druk op de TL/NS toets en het terug te geven wisselgeld wordt getoond en de lade opent.
- Scheur de bon af en geef met het wisselgeld aan de klant.
- Sluit de lade.
Toetsbediening voorbeeld

text_image
Invoeren van → 1 CLK# winkelbediende- code Invoeren van artikelen { 1500 1 17 2300 2 18 Tonen van subtotaal #/TM/ST Ontvangen bedrag 4000 Voltooien van → TL/NS -0.1- 0.1 15.00 0.2 23.00 0 38.00 4000 [ 2.00(In dit voorbeeld is het belastingsysteem op BTW 1 automatisch en de belastingvoet op 16,00% gesteld.)
BonBediendedisplay

text_image
SHARP PRESENTS THE XE-A113 22/10/2007 15:07 01 000000#0027 DAVID DEPT.01 *15.00 DEPT.02 *23.00 SUBTOTAL *38.00 TAX1 ST *38.00 VAT 1 *5.24 NET 1 *32.76 ITEMS 2Q ***TOTAL *38.00 CASH *40.00 CHANGE *2.00 SHARP IS THE BEST Logo-mededeling (Kop) Datum/Tijd/Bediendecode Kassanummer/Volgnummer/ Naam van bediende Onderdelen Prijs Wordt niet afgedrukt indien uitsluitend niet-belastbare onderdelen worden verkocht. Totaal hoeveelheid Totaal bedrag Overhandigd contant/ Ontvangen bedrag Wisselgeld Logo-mededeling (Voetnoot)2 Invoeren van PLU
Voer een PLU code met gebruik van de cijfertoetsen in en druk vervolgens op de PLU/SUB toets.
BonBediendedisplayToetsbedi
| Invoeren van artikelen | 1 | PLU/SUB | 001 | 1.50 |
| 71 | PLU/SUB | 071 | 15.00 | |
| 141 | PLU/SUB | 141 | 36.20 | |
| TL/NS | F | 52.70 |
| PLU.001 | *1.50 |
| PLU.071 | *15.00 |
| PLU.141 | *36.20 |
| ITEMS | 3Q |
| CASH | *52.70 |
1 Annuleren van een ingevoerd cijfer
Indien u een fout maakt bij het invoeren van een cijfer, kunt u het cijfer direct wissen door op de CL toets te drukken, voordat u op een afdelingtoets, PLU/subafdelingtoets, de DEPT# toets, de %1 toets, de %2 toets, de ⊙ toets of de RF toets heeft gedrukt.
2 Corrigeren van de laatste invoer (direct annuleren)
Indien een fout is gemaakt bij het invoeren voor een afdeling, PLU/subafdeling, percentage ( %1 en %2 ), korting ( ) of terugbetaling, kunt u de fout direct annuleren door na het maken van de fout direct op de toets te drukken.
BonBediendedisplayToetsbedien
| 1250 ^22 6 | 06 | 12.50 |
| ∞ | 06 | -12.50 |
| 2PLU/SUB | 002 | 1.50 |
| ∞ | 002 | -1.50 |
| 600 ^24 8 | 08 | 6.00 |
| %1 | -0.90 | |
| ∞ | 0.90 | |
| 1PLU/SUB | 001 | 3.28 |
| 28⊖ | -0.28 | |
| ∞ | 0.28 | |
| 250RF ^22 6 | 06 | -2.50 |
| ∞ | 06 | 2.50 |
| TL/NS | F | 9.28 |
3 Corrigeren van de voorlaatste of eerdere invoer (indirect annuleren)
U kunt iedere fout na het invoeren voor een afdeling, PLU/subafdeling of terugbetaling annuleren indien de transactie nog niet is voltooid (met andere woorden, voordat u op de TL/NS toets heeft gedrukt). Deze functie kan uitsluitend voor het annuleren van de invoer voor een afdeling, PLU/subafdeling en terugbetaling worden gebruikt.
Druk, voordat u op de afdelingtoets, DEPT# toets of PLU/SUB toets drukt, op de ∞ toets. Voor het indirect annuleren van een terugbetaling, drukt u na een druk op de RF toets op de ∞ toets.
BonBediendedisplayToetsbedi
| 1310622 | 06 | 13.10 | |
| 1755723 | 07 | 17.55 | |
| 10PLU/SUB | 010 | 7.15 | |
| 12PLU/SUB | 012 | 3.60 | |
| Correctie van een invoer voor een afdeling | 250RF622 | 06 | -2.50 |
| 825723 | 07 | 8.25 | |
| 1310∞622 | 06 | -13.10 | |
| Correctie van een invoer voor PLU | 12∞PLU/SUB | 012 | -3.60 |
| Correctie van een invoer voor een terugbetaling | 250RF∞622 | 06 | 2.50 |
| TL/NS | F | 32.95 |
4 Annuleren van subtotaal
U kunt een hele transactie annuleren. Nadat het subtotaal is geannuleerd, wordt de transactie ongedaan gemaakt en een bon door de kassa afgedrukt. Deze functie werkt echter niet indien er meer dan 30 artikelen zijn ingevoerd.
BonBediendedisplayToetsbedi
| 1310 2 18 | 0.2 | 13.10 |
| 2 18 | 2 | 13.10 |
| 1755 6 22 | 0.6 | 17.55 |
| 10 PLU/SUB | 0.10 | 7.15 |
| 35 PLU/SUB | 0.35 | 10.00 |
| Annuleren subtotaal | #/TM/ST | 60.90 |
| ∞ | 0.00 | |
| #/TM/ST | 0.00 |
5 Corrigeren van fouten die niet direct of indirect kunnen worden geannuleerd
Fouten die u na het invoeren en voltooien van een transactie opmerkt of tijdens het invoeren van het ontvangen bedrag, kunnen niet zondermeer worden geannuleerd.
Deze fouten moeten door de manager worden gecorrigeerd.
Neem de volgende stappen:
- Indien u de fout vindt bij het invoeren van het ontvangen bedrag, moet u de transactie voltooien.
- Voer vervolgens alles juist vanaf het begin in.
- Geef de foute bon aan de manager zodat hij/zij deze kan annuleren.
STAP 7
VOLLEDIG VERKOOPOVERZICHT (Z OVERZICHT)
Gebruik de terugstelfunctie (Z) indien u de verkoopdata wilt lezen en terugstellen. Door het terugstellen wordt alle verkoopinformatie afgedrukt en vervolgens het gehele geheugen gewist, uitgezonderd de data voor GT1 t/m GT3, Training GT, terugsteltelling en volgnummer.
Zie "LEZEN (X) en TERUGSTELLEN (Z) VAN VERKOOPTOTALEN" op bladzijde 68 voor details aangaande het terugstellen (Z) van verkooptotalen.
■ Volledig verkoopoverzicht
Steek de managersleutel in de functieschakelaar en draai naar de X1/Z1 stand.
Toetsbediening

TL/NS

text_image
OPX/Z REG MGR X1/Z1 X2/Z2 PGMVoorbeeld van overzicht

other
| Category | Value | | :--- | :--- | | *Z1* | 21 0001 | | GT1 | *00000000418.06 | | GT2 | *00000000614.40 | | GT3 | -00000000196.34 | | TR | *00000000000.00 | | * DEPT | 9 Q | | D01 | 7 Q | | DEPT.01 | 158.56 | | D02 | 7 Q | | DEPT.02 | 84.10 | | D03 | 4 Q | | DEPT.03 | 71.80 | | D04 | 2 Q | | DEPT.04 | 11.90 | | DEPT.35 | 27.00 | | D50 | 8 Q | | DEPT.50 | 20.00 | | *DEPT TL | 34 Q | | *TRANS. | 1 Q | | (-) | -2.00 | | %1 | 1 Q | | %2 | -4.50 | | NET1 | -65.00 | | NET1 | 418.06 | The chart includes a table for the same data series: 'Functietitel*' and 'Teruggestelde teller'. The tables list include numbers, letters, and corresponding numerical values.
other
| Category | Value | | :--- | :--- | | TAX1 ST | *454.06 | | VAT 1 | *62.63 | | TAX2 ST | *236.16 | | VAT 2 | *15.45 | | TAX3 ST | *236.16 | | VAT 3 | *11.25 | | TAX4 ST | *236.16 | | VAT 4 | *19.50 | | TTL TAX | *108.83 | | NET | *309.23 | | Category | Value | | :--- | :--- | | (−) | 1 Q | | %1 | -2.00 | | %2 | -12.00 | | REFUND | -45.00 | | ∞ | *2.50 | | MODE | *15.00 | | MGR ∞ | *12.34 | | SBTL ∞ | *12.34 | | NO SALE | *45.60 | | ***RA | 2 Q | | ***PO | 1 Q | | GUEST | 27 Q | | PAID TL | *419.25 | | AVE. | *15.53 | | Category | Value | | :--- | :--- | | Totaal belastbaar 1 | Totaal BTW 1 | | Onderdeel Θ teller en totaal | Onderdeel percent 1 teller en totaal | | Onderdeel percent 1 teller en totaal | Terugbetaling teller en totaal | | REG functie geannuleerd teller en totaal | Annuleerfunctie transactie teller en totaal | | Manager geannuleerd teller en totaal | Subtotaal geannuleerd teller en totaal | | Geen-verkoop teller | Ontvangen op rekening teller en totaal | | Terugbetaald teller en totaal | Klant teller | | Totaal betaald | Totaal betaald per klant(vervolg op volgende bladzijde)

other
| Category | Item | Value | |---|---|---| | CASH | 19 Q | *110.70 | | CHECK1 | 1 Q | *10.00 | | CHECK2 | 1 Q | *23.00 | | CREDIT1 | 1 Q | *54.00 | | CREDIT2 | 1 Q | *45.00 | | EXCH1 | 1 Q | 42.30 | | DOM. CUR1 | 1 Q | *45.00 | | EXCH2 | 1 Q | 369.00 | | DOM. CUR2 | 1 Q | *36.00 | | EX1 CHK | 1 Q | 42.30 | | DOM. CUR1 | 1 Q | *45.00 | | EX1 CR | 1 Q | 50.01 | | DOM. CUR1 | 1 Q | *53.20 | | ***CID | 1 Q | *133.05 | | *CH ID | 1 Q | *33.00 | | CA/CH ID | 1 Q | *166.05 | | CHK/CG | 1 Q | *2.65 | } Contant teller en totaal } Cheque 1 verkopen teller en totaal } Krediet 1 verkopen en ontvangst teller en totaal } Omgewisseld teller en totaal (met vooraf-ingestelde koers) Nationale valuta } Omgewisseld teller en totaal handmatige koers } Omgewisseld cheque (met vooraf-ingestelde koers) } Omgewisseld krediet (met vooraf-ingestelde koers) Contant in lade Cheque in lade Contant + cheque in lade Totaal wisselgeld voor ontvangst met cheque*1: Indien u een X1 overzicht oproept, wordt "X1" afgedrukt.
*2: Wordt uitsluitend op Z1 overzicht afgedrukt.
*3: Het volgende wordt hier getoond indien "verschil in geheugen door afronden" op "ja (yes)" is gesteld: Zie "Overige programmering" (taak-code 67) voor het veranderen van de instelling.
DIFFER
*0.01
*4: Het volgende wordt hier getoond indien het handmatig belasting 1-4 systeem of automatisch belasting 1-4 systeem is gekozen: Zie "Overige programmering" (taak-code 69) voor het veranderen van de instelling.
NET2
*419.24
Totaal verkopen inclusief belasting
■ Periodiek overzicht
Steek de managersleutel in de functieschakelaar en draai naar de X2/Z2 stand.
Toetsbediening


text_image
OPX/Z REG MGR X1/Z1 X2/Z2 PGMVoorbeeld van overzicht

text_image
*Z2* Z1 0004 Z2 0001 GT1 *00000000418.06 GT2 *00000000614.40 GT3 -00000000196.34 TR *00000000000.00 ↓ Functietitel*1 Teruggestelde teller van dagelijks totaal Teruggestelde teller van periode Volledig totaal *2De achtereenvolgende afdrukken hebben hetzelfde formaat als het X1/Z1 overzicht voor dagelijkse totalen.
*1: Indien u een X2 overzicht oproept, wordt "X2" afgedrukt.
*2: Wordt uitsluitend op Z2 overzicht afgedrukt.
STAP8
VOORDAT U VOOR REPARATIE BELT
De problemen die links bij "Probleem" in de volgende tabel worden beschreven, duiden niet altijd op een defect van de kassa. Controleer derhalve de suggesties bij "Controlepunt" rechts in de tabel alvorens u een reparateur opbelt.
| Probleem Controlepunt | |
| (1) Het display toont onbegrijpbare symbolen. | • Is de kassa juist geïntitialiseerd zoals bij “VOORBEREIDING VOOR DE KASSA” op bladzijde 8 werd beschreven?(Door het initialiseren worden alle data en geprogrammeerde instellingen uit het geheugen gewist.) |
| (2) Het display licht niet op ook al werd de functieschakelaar naar een andere stand dan “ ⏻ ” gedraaid. | • Wordt er stroom naar het stopcontact geleverd?• Is de stekker niet goed in het stopcontact gestoken? |
| (3) Het display is opgelicht maar de kassa weigert registraties. | • Is een winkelbediende-code voor de kassa ingevoerd?• Is de functieschakelaar juist in de “REG” stand gesteld? |
| (4) Er wordt geen bon afgedrukt. • Is de papierrol juist geplaatst? | • Is het papier vastgelopen?• Is de kassabonfunctie op “OFF” gesteld?• Is de afdrukrollerarm goed vergrendeld? |
| (5) Overzichtpapier wordt niet opgerold. • Is de oprolspoel juist op de lager geplaatst?• Is het papier vastgelopen? | |
| (6) Het afdrukken is niet normaal. • Is de afdrukrollerarm goed vergrendeld?Open de afdrukrollerarm en sluit de arm weer aan de hand van de gegeven aanwijzingen.• Is de papierrol juist geplaatst?• Is de afdrukkop/sensor/afdrukroller schoon? | |
| (7) Het achtereenvolgend afdrukken stopt. | • “- - - - - ” wordt op het display getoond.Het afdrukken zal na een paar seconden weer automatisch worden voortgezet. |
■ Foutcodetabel
Druk op de CL toets en neem de juiste, in de tabel aangegeven maatregelen indien de volgende foutcodes worden getoond.
| Fout-code | Beschrijving van fout Maatregelen | |
| E01 | Registratiefout Voer juist met de juiste toets in. | |
| E02 | Bedieningsfout Voer juist met de juiste toets in. | |
| E03 | Niet-gedefinieerde code werd ingevoerd. | Voer een juiste code in. |
| E07 | Geheugen is vol (met programmeren van de AUTO toets). | Programmeer maximaal 25 stappen voor de AUTO toets. |
| E11 | Verplicht indrukken van de direct voltooien. | Druk op de #/TM/ST toets en ga door met de handeling. |
| E12 | Verplichte invoer ontvangst. | Voer het ontvangen bedrag in. |
| E32 | Geen winkelbediende-code ingevoerd. | Voer de winkelbediende-code in. |
| E34 | Overschrijding van limiet. | Voer binnen de ingestelde limiet in. |
| E35 | Invoeren van open prijs verboden. | Voer een voor-ingestelde prijs in. |
| E36 | Invoer van voor-ingestelde prijs verboden. | Voer een open prijs in. |
| E37 | Direct voltooien verboden. | Voer het ontvangen bedrag in. |
| E67 | Annuleren subtotaal verboden. | Voltooi de transactie en corrigeer de foute invoer met de ∞ functie. |
Deel 2 VOOR DE WINKELBEDIENDE
INFORMATIE VOOR INVOEREN VAN EENVOUDIGE VERKOPEN
1 Extra informatie voor INVOEREN VAN EENVOUDIGE VERKOPEN
Invoeren van winkelbediende-code
Alvorens onderdelen in te voeren, moeten de winkelbediendes hun winkelbediende-code in de kassa invoeren.
De code hoeft echter niet te worden ingevoerd indien dezelfde bediende achtereenvolgende handelingen met de kassa uitvoert.
■ Registreren (in de REG, MGR, ∞ functie)

flowchart
graph TD
A["Tonen van de geregistreerde winkelbediende-code"] --> B["Winkelbediende-code"]
B --> C["CLK#"]
■ Uitschrijven (in de REG, MGR, ∞ functie)

Kassabon aan/uit (ON/OFF) functie
Bij gebruik van de printer voor het afdrukken van bonnen, kunt u de printer met deze ON/OFF functie tijdens de REG functie uitschakelen om papier te besparen.
Voor het uitschakelen van de printer, drukt u in de OP X/Z stand op de RCPTPO toets. U kunt nu door iedere druk op deze toets de printer afwisselend activeren (ON) en uitschakelen (OFF).
De kassa drukt wel overzichten af, ongeacht de status voor de kassabon, en u moet derhalve wel de papierrol plaatsen.
Afdrukken van een bon indien de ON/OFF functie voor de kassabon op OFF is gesteld:
Indien de klant na het voltooien van de transactie wel een bon wilt en de ON/OFF functie voor de kassabon op OFF is gesteld, moet u op de RCPTIPO toets drukken. Er wordt dan een bon afgedrukt. Indien er echter meer dan 30 onderdelen werden ingevoerd, wordt de bon met een beknopt overzicht afgedrukt.
Kopie van bon
U kunt een kopie van de bon afdrukken door een druk op de RCPT/PO toets wanneer de ON/OFF functie voor de kassabon op ON is gesteld. Deze functie voor een kopie moet echter wel zijn geactiveerd. Zie bladzijde 56. (Taak-code 63)
Energiebesparingsfunctie
De kassa schakelt in de energiebesparingsfunctie indien er gedurende de reeds voorgeprogrammeerde tijd (fabrieksinstelling is 30 minuten) geen handelingen worden uitgevoerd.
Met de kassa in de energiebesparingsfunctie geschakeld, doven alle displaylampjes, uitgezonderd de decimale punt bij de meest linkse positie op de onderste regel. De kassa schakelt weer in de normale bedieningsfunctie zodra u op een toets drukt of met de functieschakelaar van functie wordt veranderd. Vergeet niet dat in dit geval met de toetsdruk geen invoer wordt gemaakt. Nadat de kassa weer in de normale bedieningsfunctie is, moet u het invoeren vanaf het begin starten.
2 Foutmelding
In geval van de volgende voorbeelden schakelt de kassa in de foutstatus en hoort u een waarschuwingstoon en verschijnt een “E” foutsymbool op het display. Wis de foutstatus door een druk op de Ⓒ toets en neem de juiste maatregelen.
Zie de foutcodetabel op bladzijde 31 voor details.
- Invoer van meer dan 32-cijfers (overschrijding van de invoerlimiet): Annuleer de invoer en voer het juiste getal opnieuw in.
-
Een fout in toetsbediening: Wis de fout en vervolg de bediening.
-
Invoer hoger dan de geprogrammeerde limiet voor een bedrag: Controleer of het ingevoerde bedrag juist is. Indien het correct is, kan het worden aangeslagen tijdens de MGR functie. Raadpleeg uw manager.
- Een subtotaal met belasting inbegrepen heeft meer dan acht cijfers. Wis het subtotaal door op de CL toets te drukken en druk vervolgens op de TL/NS, CH1, CH2, CR1 of CR2 toets om de transactie te voltooien.
Functie voor het verlaten bij fouten
Om een transactie te stoppen vanwege een fout of onvoorziene oorzaak, kunt u de functie voor het verlaten bij fouten ("escape") als hieronder aangegeven gebruiken:

flowchart
graph TD
A["Transactie"] --> B["CL"]
B --> C["ESC/HELP"]
C --> D["ESC/HELP"]
style B fill:#f9f,stroke:#333
style C fill:#ccf,stroke:#333
style D fill:#cfc,stroke:#333
De transactie wordt geannuleerd (als een subtotaal annulering) en de bon wordt door deze functie gemaakt. Indien u reeds een ontvangen bedrag heeft ingevoerd, wordt de bediening als contante verkoop voltooid.
3 Invoeren van onderdelen
■ Invoeren van enkele onderdelen
1. Invoeren van afdeling
Voor een classificatie van verkoopartikelen zijn er maximaal 50 afdelingen. Voor de afdelingen worden instellingen, bijvoorbeeld de belastbare status, voor de artikelen toegepast wanneer u de afdeling invoert.
- Bij gebruik van de afdelingtoetsen (voor afdeling 1 t/m 32)
Voor afdeling 1 t/m 16 voert u een unit-prijs in en drukt u op een afdelingtoets. Druk uitsluitend op een afdelingtoets indien u een geprogrammeerde unit-prijs gebruikt.
Voor afdeling 17 t/m 32 voert u een unit-prijs in en drukt u op de DEPTSHIFT toets en een afdelingtoets. Druk uitsluitend op de DEPTSHIFT toets en een afdelingtoets indien u een geprogrammeerde unit-prijs gebruikt.

flowchart
graph TD
A["Unit-prijs *1 (max. 8 cijfers)"] --> B["*2"]
B --> C["Afdelingtoets"]
D["Bij gebruik van een geprogrammeerde unit-prijs"] --> A
D --> E["DEPTSHIFT"]
*1 Lager dan de geprogrammeerde bovenste limiet voor bedragen
Indien nul wordt ingevoerd, wordt uitsluitend de hoeveelheid verkopen toegevoegd.
*2 Voor de afdelingen 17 t/m 32 drukt u op de DEPTSHIFT toets.
Opmerking Vergeet niet dat wanneer u na gebruik van de DEPTSHIFT toets op dezelfde hiervoor ingedrukte toets drukt, de invoer wordt herhaald. Indien u bijvoorbeeld een artikel van afdeling 17 met gebruik van de DEPTSHIFT toets invoert en vervolgens een artikel van afdeling 1 met gebruik van de geprogrammeerde unit-prijs wilt invoeren, moet u de afdelingscode-toets voor het artikel van afdeling 1 gebruiken zoals hieronder wordt beschreven. Indien u uitsluitend op de ^17 toets drukt om het artikel van afdeling 1 te registreren, zal dit artikel als een artikel van afdeling 17 worden ingevoerd.
- Bij gebruik van de afdelingscode-invoertoets
Voer een afdelingscode in en druk op de DEPT# toets. Voer vervolgens een unit-prijs in en druk nogmaals op de DEPT# toets. Voer een afdelingscode in en druk op de DEPT# toets indien u een geprogrammeerde unit-prijs gebruikt.

flowchart
graph TD
A["Afdelingscode (1 t/m 50)"] --> B["DEPT#"]
B --> C["Unit-prijs *1 (max. 8 cijfers)"]
C --> D["DEPT#"]
B --> E["(Indien uitsluitend invoer van een voorgeprogrammeerde prijs is toegestaan..)"]
style B fill:#f9f,stroke:#333
style C fill:#ccf,stroke:#333
style D fill:#cfc,stroke:#333
*1 Lager dan de geprogrammeerde bovenste limiet voor bedragen Indien nul wordt ingevoerd, wordt uitsluitend de hoeveelheid verkopen toegevoegd.
2. Invoeren van PLU/subafdeling
Voor een andere classificatie van artikelen, heeft de kassa maximaal 200 PLU's/subafdelingen.
PLU's (Price Look-Up) worden gebruikt voor het oproepen van vooraf-ingestelde prijzen door het invoeren van een PLU-code. Subafdelingen worden gebruikt om artikelen in kleinere groepen onder de afdelingen te classificeren. ledere PLU en subafdeling heeft een code vanaf 1 t/m 200 en dient met een afdeling te zijn verbonden voor het gebruik van de diverse voor de betreffende geprogrammeerde onderdelen van die afdeling.
Met de fabrieksinstelling zijn deze 200 codes ingesteld voor de PLU functie en nul voor de unit-prijs.
- Invoeren van PLU

• Invoeren van subafdeling (open PLU)

* Lager dan de geprogrammeerde bovenste limiet voor bedragen Indien nul wordt ingevoerd, wordt uitsluitend de hoeveelheid verkopen toegevoegd.

flowchart
graph TD
A["Invoer afdeling"] --> B{1200 12^28}
B --> C["500 DEPTSHIFT 1^17"]
C --> D["DEPTSHIFT 14^30"]
D --> E["50 DEPT# 1500 DEPT# 2^18"]
E --> F["33 DEPT#"]
F --> G["2 PLU/SUB"]
G --> H["PLU/SUB 1200 PLU/SUB TL/NS"]
I["Invoer PLU"] --> J["11 PLU/SUB"]
J --> K["TL/NS"]
BonToetsbediening voorbeeld
| DEPT. 12 | *12.00 |
| DEPT. 17 | *5.00 |
| DEPT. 14 | *8.25 |
| DEPT. 18 | *3.25 |
| DEPT. 50 | *15.00 |
| DEPT. 33 | *2.50 |
| PLU. 002 | *1.50 |
| PLU. 011 | *12.00 |
| ITEMS | 8Q |
| CASH | *59.50 |
■ Invoeren van herhalingen
U kunt deze functie gebruiken om een verkoop van twee of meerdere dezelfde artikelen in te voeren. Hieronder ziet u een voorbeeld bij het achtereenvolgend indrukken van een afdelingtoets, DEPT# toets of PLU/SUB toets.

flowchart
graph TD
A["Invoer afdeling"] --> B["500 DEPTSHIFT"]
A --> C["1200 12 28 12"]
A --> D["50 DEPT# 1500 33"]
E["Invoer PLU"] --> F["2 PLU/SUB"]
G["Invoer subafdeling"] --> H["11 PLU/SUB 1200"]
I["DEPTSHIFT"] --> J["1 17 1 17"]
K["DEPTSHIFT"] --> L["14 30 14 30"]
M["DEPTSHIFT"] --> N["2 16 2 18"]
O["DEPT#"] --> P["DEPT# DEPT#"]
Q["DEPT# DEPT#"] --> R["DEPT# DEPT#"]
S["PLU/SUB"] --> T["PLU/SUB"]
U["PLU/SUB"] --> V["PLU/SUB"]
W["TL/NS"] --> X["TL/NS"]
BonToetsbediening voorbeeld
| DEPT.12 | *12.00 |
| DEPT.12 | *12.00 |
| DEPT.17 | *5.00 |
| DEPT.17 | *5.00 |
| DEPT.14 | *8.25 |
| DEPT.14 | *8.25 |
| DEPT.18 | *3.25 |
| DEPT.18 | *3.25 |
| DEPT.50 | *15.00 |
| DEPT.50 | *15.00 |
| DEPT.33 | *2.50 |
| DEPT.33 | *2.50 |
| PLU.002 | *1.50 |
| PLU.002 | *1.50 |
| PLU.011 | *12.00 |
| PLU.011 | *12.00 |
| ITEMS 16Q | |
| CASH *119.00 | |
■ Invoer met vermenigvuldiging
Indien u een hoog aantal, dezelfde artikelen verkoopt, kunt u de vermenigvuldigingsmethode gebruiken. Voer het aantal met de cijfertoetsen in en druk op de ⓧ toets alvorens de overige onderdelen in te voeren zoals u in het voorbeeld hieronder ziet.
Opmerking
Indien u heeft geprogrammeerd dat hoeveelheden met breuken (decimalen) mogen worden ingevoerd, kunt u maximaal vier gehele getallen en drie-cijferige decimalen invoeren, waarbij de hoeveelheid echter als één voor het verkoopoverzicht wordt geteld. Voor het invoeren van een hoeveelheid met breuken, moet u de toets voor de decimale punt tussen het gehele getal en de decimaal gebruiken, zoals ⑦•⑤ voor het invoeren van 7.5.

text_image
Invoer afdeling 3 1200 28 5 500 DEPTSHIFT 1 3 14 30 5 1500 DEPT# 2 16 3 50 DEPT# DEPT# 5 33 DEPT# Invoer PLU → 3 2 PLU/SUB Invoer subafdeling → 5 11 PLU/SUB 1200 PLU/SUB TL/NSBonToetsbediening voorbeeld
| 3x 12.00 | |
| DEPT.12 | *36.00 |
| 5x 5.00 | |
| DEPT.17 | *25.00 |
| 3x 8.25 | |
| DEPT.14 | *24.75 |
| 5x 3.25 | |
| DEPT.18 | *16.25 |
| 3x 15.00 | |
| DEPT.50 | *45.00 |
| 5x 2.50 | |
| DEPT.33 | *12.50 |
| 3x 1.50 | |
| PLU.002 | *4.50 |
| 5x 12.00 | |
| PLU.011 | *60.00 |
| ITEMS | 32Q |
| CASH | *224.00 |
■ Invoeren van contante verkoop van één artikel (SICS)
- Deze functie is handig wanneer u slechts één artikel tegen contante betaling verkoopt. Deze functie kan uitsluitend worden gebruikt voor die afdelingen die voor SICS ("Single Item Cash Sale") zijn ingesteld of voor hun verwante PLU's of subafdelingen.
- De transactie wordt voltooid en de lade opent zodra u op de afdelingtoets, DEPT# toets of PLU/SUB toets drukt.

text_image
Voor voltooien van transactie → 250 1 17BonToetsbediening voorbeeld
| DEPT.01 | *2.50 |
| ITEMS | 1Q |
| CASH | *2.50 |
Opmerking
Indien een invoer voor een voor SICS ingestelde afdeling of PLU/subafdeling volgt na invoer voor afdelingen of PLU's/subafdelingen die niet voor SICS zijn ingesteld, zal de transactie niet worden voltooid en als een normale verkoop moeten worden afgewerkt.
4 Tonen van subtotaal
Het subtotaal wordt getoond door een druk op de #/TM/ST toets. Na een druk op deze toets verschijnt het subtotaal van alle ingevoerde onderdelen (artikelen) en licht het "☐" symbool op het display op.

Het subtotaal wordt met de fabrieksinstelling niet op een bon afgedrukt. Indien u het subtotaal wilt afdrukken, moet u de instelling hiervoor veranderen. Zie "Printformaat voor bon" (Taak-code 7) op bladzijde 54.
5 Voltooien van een transactie
■ Contante betaling of cheque
Druk op de #/TM/ST toets om het subtotaal te tonen en voer het van de klant ontvangen bedrag in. Druk vervolgens op de /NS toets indien u het bedrag contant heeft ontvangen of op de cheque-toets ( 1 of 2 ) indien u een cheque heeft ontvangen. Indien het ontvangen bedrag hoger is dan het bedrag van de verkoop, toont de kassa het wisselgeld en licht het “ [ ” symbool op. In andere gevallen toont de kassa een negatief bedrag en licht het “ ” symbool op. U moet in dat geval een juist ontvangen bedrag invoeren.
Contante betaling

Betaling met cheque


other
BonToetsbediening voorbeeld | Item | Value | | :--- | :--- | | ITEMS | 3Q | | ***TOTAL | *7.35 | | CASH | *10.00 | | CHANGE | *2.65 |
text_image
BonToetsbediening voorbeeld ITEMS 3Q ***TOTAL *7. 35 CHECK1 *10.00 CHANGE *2.65■ Verkoop tegen contante betaling of cheque zonder invoeren van ontvangen bedrag
Voer de onderdelen in en druk op de TL/NS toets in geval van een contante betaling of op een cheque-toets in geval van een cheque. De kassa toont het totale verkoopbedrag.


text_image
BonToetsbediening voorbeeld DEPT.06 *3.00 PLU.010 *7.15 ITEMS 2Q CASH *10.15 In geval van een cheque 1 verkoop ITEMS 2Q CHECK1 *10.15
Indien u u heeft geprogrammeerd dat "direct na ontvangst geen-ontvangst invoer" (Taak-code 63, zie bladzijde 56) niet is toegestaan, moet u altijd een ontvangen bedrag invoeren.
■ Verkoop op krediet
Voer de onderdelen in en druk op een krediettoets (CR1 of CR2).

BonToetsbediening voorbeeld

text_image
DEPT.06 *25.00 DEPT.07 *32.50 ITEMS 2Q CREDIT1 *57.50■ Verkoop met gemengde betaling
Een gemengde betaling met cheque en contant geld, contant geld en krediet of cheque en krediet kan worden ingevoerd.

BonToetsbediening voorbeeld

text_image
ITEMS 3Q ***TOTAL *49.50 CASH *9.50 CREDIT2 *40.006 Berekenen van BTW (belasting toegevoegde waarde)/belasting
■ BTW/belastingsysteem
De kassa kan voor de volgende zes BTW/belastingsystemen worden geprogrammeerd. De kassa is als een automatisch BTW 1-4 systeem voorgeprogrammeerd.
Automatisch BTW 1-4 systeem (Automatische bedieningsmethode met gebruik van geprogrammeerde percentages)
Dit systeem, met de fabrieksinstelling, berekent de BTW voor belastbare 1 t/m 4 subtotalen met gebruik van de overeenkomende geprogrammeerde percentages.
Automatisch belasting 1-4 systeem (Automatische bedieningsmethode met gebruik van geprogrammeerde percentages)
Dit systeem, met de fabrieksinstelling, berekent de belasting voor belastbare 1 t/m 4 subtotalen met gebruik van de overeenkomende geprogrammeerde percentages, en voegt de berekende belasting respectievelijk tevens aan de subtotalen toe.
Handmatig BTW 1-4 systeem (Handmatige invoermethode met gebruik van geprogrammeerde percentages)

Dit systeem geeft de BTW berekening voor belastbare 1 t/m 4 subtotalen. Deze berekening wordt gemaakt met gebruik van de overeenkomende geprogrammeerde percentages indien u op de VAT toets drukt na een druk op de #/TM/ST toets.
Handmatig BTW 1 systeem (Handmatige invoermethode voor subtotalen die de BTW 1 ingestelde percentages gebruiken)

flowchart
graph LR
A["#/TM/ST"] --> B["VAT"]
C["Met gebruik van een geprogrammeerd percentage"] --> D["BTW-waarde"]
Dit systeem berekent de BTW voor het huidige subtotaal. Deze berekening wordt gemaakt met gebruik van het ingestelde percentage voor BTW 1 indien u op de VAT toets drukt na een druk op de #/TM/ST toets. Voor dit systeem kunt u de ingetoetste belastingvoet gebruiken.
Handmatig BTW 1-4 systeem (Handmatige invoermethode met gebruik van ingestelde percentages)

Dit systeem berekent de belasting voor belastbare 1 t/m 4 subtotalen. De berekening wordt gemaakt met de overeenkomende geprogrammeerde percentages indien u op de VAT toets drukt na een druk op de #/TM/ST toets. Na deze berekening moet u de transactie voltooien.
Automatisch BTW 1 en automatisch belasting 2-4 systeem
Met dit systeem kunt u berekeningen maken in combinatie met de automatische BTW 1 en automatische belasting 2-4. Combinaties kunnen worden gemaakt met iedere BTW1 voor belastbare 1 subtotalen en iedere belasting 2 t/m 4 voor belastbare 2 t/m 4 subtotalen. Het belastingbedrag wordt automatisch berekend met de voor iedere groep reeds geprogrammeerde belastingpercentages.

- De belastingstatus van PLU/subafdeling is afhankelijk van de belastingstatus van de afdeling waartoe de PLU/subafdeling behoort.
- Er kunnen symbolen voor de BTW/belasting in de vastgestelde rechtse positie naast het bedrag op de bon worden afgedrukt:

flowchart
graph LR
A["BTW1/belasting1 A"] --> B["→"]
C["BTW2/belasting2 B"] --> D["→"]
E["BTW3/belasting3 C"] --> F["→"]
G["BTW4/belasting4 D"] --> H["→"]
Indien er meerdere BTW/belastingen voor een afdeling of een PLU zijn ingesteld, wordt een symbool van het laagste aan de BTW/belastingvoet toegevoegde nummer afgedrukt. Zie "Diverse Functies Programmeren 1" (Taak-code 66) op bladzijde 57 voor details aangaande het programmeren.

text_image
(Indien het handmatige BTW 1-4 systeem is gekozen) 1000 1 17 #/TM/ST VAT TL/NSBonToetsbediening voorbeeld

text_image
DEPT.01 *10.00 SUBTOTAL *10.00 TAX1 ST *10.00 VAT 1 *1.38 NET 1 *8.62 ITEMS 1Q CASH *10.00EXTRA FUNCTIES
1 Invoeren van extra opties
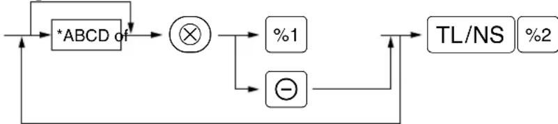
■ Berekenen van percentage (premie of korting)
Met de kassa kunt u een percentage van het subtotaal en/of ieder artikel berekenen, afhankelijk van de geprogrammeerde instellingen. Zie "Waarde voor %1, %2 en EX", "Limiet voor percentage voor %1 en %2" en "Functie parameters voor %1, %2 en ⊙".
• Percentage: 0.01 t/m 100.00% (Afhankelijk van het geprogrammeerde)
Toepassing van een ingestelde waarde (indien geprogrammeerd) en handmatig invoeren van een waarde is mogelijk.
Berekenen van percentage van subtotaal

text_image
4 Ⓧ 140 5 21 570 7 23 #/TM/ST 10 %1 TL/NSBonToetsbediening voorbeeld

text_image
4x 1.40 DEPT.05 *5.60 DEPT.07 *5.70 SUBTOTAL *11.30 %-10% %1 -1.13 ITEMS 5Q CASH *10.17Berekenen van percentage van artikel

text_image
800 6 22 7 ● 5 %1 15 PLU/SUB %2 TL/NSBonToetsbediening voorbeeld

other
| Metric | Value | | :--- | :--- | | DEPT. 06 | *8.00 | | -7.5% | -7.5% | | %1 | -0.60 | | PLU. 015 | *5.00 | | 15.00% | 15.00% | | %2 | *0.75 | | ITEMS | 2Q | | CASH | *13.15 |(Indien premie en 15% voor de %2 toets zijn geprogrammeerd)
■ Invoeren van korting
Met de kassa kan een vastgesteld bedrag of een handmatig ingevoerd bedrag, dat lager dan de geprogrammeerde hoogste limiet is, automatisch van de verkoop worden afgetrokken. Deze berekeningen kunnen, afhankelijk van de geprogrammeerde instelling, na het invoeren van een artikel en/of het berekenen van het subtotaal worden gemaakt. Zie "Bedrag voor [IMAGE]" en "Functie parameters voor %1, %2 en [IMAGE]".
Aftrekken van subtotaal

text_image
575 6 22 10 PLU/SUB #/TM/ST 100 ° TL/NSBonToetsbediening voorbeeld

text_image
DEPT. 06 *5.75 PLU. 010 *7.15 SUBTOTAL *12.90 (—) -1.00 ITEMS 2Q CASH *11.90Aftrekken van ingevoerd artikel

(Indien een korting van 0.75 is geprogrammeerd.)
BonToetsbediening voorbeeld

text_image
DEPT.07 (-) *6.75 -0.75 ITEMS 1Q CASH *6.00■ Invoeren van terugbetalingen
Voor een terugbetaling voor een artikel van afdeling 1 t/m 16 start u met het invoeren van het terug te betalen bedrag en drukt u op de RF toets en vervolgens op de overeenkomende afdelingtoets. Voor een artikel van afdeling 17 t/m 32 start u met het invoeren van het terug te betalen bedrag en drukt u op de RF toets en drukt u op de DEPTSHIFT toets en vervolgens op de overeenkomende afdelingtoets (in geval van een vooringestelde prijs, voert u het bedrag niet in). Voor afdeling 33 t/m 50 voert u de afdelingscode in en drukt u daarna eerst op de RF toets en dan op de DEPT# toets en voert u het terug te betalen bedrag in en drukt u op de DEPT# toets.
Voor een terugbetaling voor een PLU artikel, voert u de PLU code in, drukt u op de RF toets en dan op de PLU/SUB toets.
Voor een terugbetaling voor een artikel van een subafdeling, voert u de PLU code in en drukt u daarna op de RF toets en dan op de PLU/SUB toets en voert u het terug te betalen bedrag in en drukt u op de PLU/SUB toets.

BonToetsbediening voorbeeld

text_image
DEPT.06 R-2.50 DEPT.41 R-1.00 -7x 2.10 PLU.013 R-14.70 PLU.085 R-1.50 ITEMS 0Q CHANGE *19.70■ Invoeren en afdrukken van een "niet-toevoegen" codenummer
U kunt tijdens het invoeren van verkopen een "niet-toevoegen" codenummer invoeren met maximaal 16 cijfers, bijvoorbeeld een klantennummer of credit card nummer. De kassa zal dit nummer dan direct op de bon afdrukken.
Voer het gewenste "niet-toevoegen" codenummer in en druk op de #/TM/ST toets.

BonToetsbediening voorbeeld

text_image
#0000000000001230 DEPT.06 *15.00 ITEMS 1Q CREDIT1 *15.002 Andere betalingswijze en betalingen
■ Buitenlands geld
Voor een extra betaling in buitenlandse valuta

flowchart
graph TD
A["Na het voltooien van de invoer of Nadat het ontvangen bedrag lager is dan het bedrag van de verkopen"] --> B["*Koers"]
B --> C["EX"]
C --> D["Ontvangen bedrag (maximaal 8 cijfers)"]
D --> E["TL/NS"]
E --> F["CH1 of CH2"]
E --> G["CR1 of CR2"]
D --> H["CL"]
H --> I["Volgende registratie of betaling in nationale valuta"]
C --> J["Her-invoer"]
J --> A
*Koers: 0.000000 t/m 999.999999
Opmerking
- Druk na een druk op de CL toets op de EX toets indien u de betaling met buitenlands geld wilt annuleren.
- Indien u "Yes" heeft gekozen voor cheque en krediet bij ontvangst in buitenlandse valuta bij het programmeren voor de EURO, kunt u een verkoop in buitenlandse valuta voltooien door een druk op de CH1, CH2, CR1 of CR2 toets met een ingestelde koers.
- Indien geprogrammeerd, wordt een buitenlands valutasymbool afgedrukt wanneer u een ingestelde koers gebruikt. Zie "Symbool voor buitenlandse valuta" voor het programmeren.
- Zie "Waarde voor %1 , %2 en " voor het programmeren van een koers.
Gebruik van een vooraf-ingestelde koers

flowchart
graph TD
A["Wisselen"] --> B["Ontvangen"]
B --> C["buitenlandse valuta"]
D["2300 6 22"] --> E["4650 7 23"]
E --> F["EX"]
G["10000 TL/NS"] --> H["End"]
(Indien een koers van 0.939938 voor de EX toets is geprogrammeerd.)
BonToetsbediening voorbeeld

other
| Metric | Value | Nationale valuta | | :--- | :--- | :--- | | DEPT.06 | *23.00 | | | DEPT.07 | *46.50 | | | ITEMS | 2Q | | | ***TOTAL | *69.50 | | | EXCH1 | 0.939938 | | | CASH CHANGE | US $65.33 | | | CASH CHANGE | US $100.00 | | | CASH CHANGE | *36.88 | | Buitenlands valutasymbool (Wordt afgedrukt indien geprogrammeerd)Gebruik van een handmatig ingevoerde koers

text_image
2300 6 22 4650 7 23 Koers → 1 ⊙ 275 EX 10000 TL/NSBonToetsbediening voorbeeld

other
| Category | Value | |---|---| | DEPT.06 | *23.00 | | DEPT.07 | *46.50 | | ITEMS | 2Q | | ***TOTAL | *69.50 | | EXCH2 | 1.275 | | CASH | 88.62 | | CHANGE | 100.00 | | CHANGE | *8.92 |■ Invoeren van ontvangen-op-rekening
Gebruik de RA toets indien u op-rekening van een klant ontvangt. Voor het invoeren van ontvangen-op-rekening, voert u eerst het bedrag in en drukt u vervolgens op de RA toets.
Opmerking
Voor gebruik met RA is uitsluitend "Contante ontvangst" beschikbaar.
12345#/TM/ST
4800 RA
BonToetsbediening voorbeeld

■ Invoeren van uitbetalingen
Gebruik de RCPT/PO toets indien u bijvoorbeeld een bedrag aan een verkoper betaalt. Voor het invoeren van een betaling (PO), voert u eerst het te betalen bedrag in en drukt u vervolgens op de RCPT/PO toets.
Opmerking
Voor gebruik met PO is uitsluitend "Contante ontvangst" beschikbaar.
54321 #/TM/ST
2300 RCPT/PO
BonToetsbediening voorbeeld

■ Geen verkoop (wisselen)
Druk op de TL/NS toets indien u de lade wilt openen zonder verkopen in te voeren. De lade opent en de printer drukt "NO SALE" op de bon of het overzicht af. U kunt een "niet-toevoegen" codenummer laten afdrukken voordat u op de TL/NS toets drukt zodat er een niet-verkoop invoer wordt gemaakt en een "niet-toevoegen" codenummer wordt afgedrukt. Zie "Overige programmering" (taak-code 63) voor het programmeren.
0000000000045678
NO SALE
3 Invoeren van automatische handelingen (met de AUTO toets)
U kunt een geprogrammeerde transactie uitvoeren door een druk op de AUTO toets. Zie "Programmeren van de AUTO toets" voor het programmeren.

BonToetsbediening voorbeeld

■ Procedure voor programmeren
- Controleer dat een papierrol in de kassa is geplaatst. Plaats een nieuwe rol indien er niet genoeg papier op een rol is (zie "Vervangen van de papierrol" op bladzijde 76 voor details).
- Steek de manager-sleutel in de functieschakelaar en draai naar de PGM stand.
- Programmeer de vereiste onderdelen en gegevens in de kassa.
Na het programmeren van een onderdeel, drukt de kassa de gemaakte instelling af. Controleer aan de hand van de gegeven afdrukvoorbeelden in de betreffende gedeeltes.
- Druk indien nodig programmeerrapporten ter referentie af.

text_image
OPX/Z REG MGR X1/Z1 X2/Z2 PGMOpmerking
- Op de voorbeelden voor toetsbedieningen bij de beschrijvingen voor het programmeren, tonen nummers als "22102007" de parameter die moet worden ingevoerd met gebruik van de overeenkomende cijfertoetsen.
- Sterretjes in de tabels bij de beschrijvingen voor het programmeren, tonen de fabrieksinstellingen die bij het verlaten van de fabriek zijn geactiveerd.
■ Invoeren van tekencodes met gebruik van de cijfertoetsen op het toetsenbord
U kunt cijfers, letters en symbolen programmeren door de gewenste tekencodes met de cijfertoetsen gevolgd door de ⑩ toets in te voeren. Zie de tabel met codes voor tekens, letters, cijfers en symbolen op de volgende bladzijde. Met gebruik van deze methode voor het programmeren van tekst zijn er meer tekens beschikbaar dan in vergelijking met het programmeren met gebruik van de toetsen op het toetsenbord. Zie "Met gebruik van de tekentoetsen op het toetsenbord" op bladzijde 14 voor details aangaande het invoeren van cijfers, letters of symbolen met gebruik van de tekentoetsen.
- Dubbel-formaat tekens kunnen worden ingevoerd door code 253 in te voeren of op de toets te drukken. “_” licht bij de DC positie op het display op indien u voor dubbel-formaat tekens heeft gekozen, zoals in het bediendedisplay-voorbeeld hieronder wordt getoond.
- U MOET alle drie de cijfers van de code invoeren (ook wanneer de code met nul start).
Voorbeeld
Programmeren van "SHARP" met dubbel-formaat letters

text_image
253 00 083 00 072 00 065 00 082 00 080 00 SHARP■ Tabel met codes voor tekens, letters, cijfers en symbolen
| Code | Teken | Code | Teken | Code | Teken | Code | Teken | Code | Teken |
| 001 | á | 046 | . | 091 | Ä | 136 | → | 193 | j |
| 002 | â | 047 | / | 092 | Ö | 137 | ∞ | 194 | G |
| 003 | ê | 048 | 0 | 093 | Ü | 138 | ∞ | 195 | S |
| 004 | î | 049 | 1 | 094 | ^ | 139 | ◀ | 196 | G |
| 005 | i | 050 | 2 | 095 | _ | 140 | ▶ | 197 | g |
| 006 | í | 051 | 3 | 096 | ' | 141 | F | 198 | K |
| 007 | ô | 052 | 4 | 097 | a | 142 | T | 199 | k |
| 008 | ó | 053 | 5 | 098 | b | 143 | ↓ | 200 | L |
| 009 | û | 054 | 6 | 099 | c | 144 | ç | 201 | l |
| 010 | ú | 055 | 7 | 100 | d | 145 | ° | 202 | Z |
| 011 | œ | 056 | 8 | 101 | e | 146 | ¿ | 203 | D |
| 012 | ú | 057 | 9 | 102 | f | 147 | ù | 204 | d |
| 013 | ú | 058 | : | 103 | g | 148 | à | 205 | C |
| 014 | o | 059 | ; | 104 | h | 149 | Æ | 206 | ć |
| 015 | ó | 060 | < | 105 | i | 150 | ø | 207 | € |
| 016 | ʌ | 061 | = | 106 | j | 151 | Å | 208 | P |
| 017 | Ψ | 062 | > | 107 | k | 152 | α | 209 | ` |
| 018 | Γ | 063 | ? | 108 | l | 153 | é | 210 | ě |
| 019 | .. | 064 | @ | 109 | m | 154 | è | 211 | š |
| 020 | Ω | 065 | A | 110 | n | 155 | Pt | 212 | č |
| 021 | Δ | 066 | B | 111 | o | 156 | i | 213 | ž |
| 022 | O | 067 | C | 112 | p | 157 | Ñ | 214 | ý |
| 023 | Ξ | 068 | D | 113 | q | 158 | ò | 215 | ü |
| 024 | Π | 069 | E | 114 | r | 159 | £ | 216 | n |
| 025 | Σ | 070 | F | 115 | s | 160 | ¥ | 217 | ~ |
| 026 | Y | 071 | G | 116 | t | 161 | 。 | 218 | ` |
| 027 | Φ | 072 | H | 117 | u | 162 | Γ | 219 | ř |
| 028 | Ú | 073 | I | 118 | v | 163 | J | 224 | * |
| 029 | Ú | 074 | J | 119 | w | 164 | 、 | 225 | § |
| 030 | Ó | 075 | K | 120 | x | 165 | · | 226 | ∅ |
| 031 | Ó | 076 | L | 121 | y | 177 | Á | 227 | ^ |
| 032 | (spatie) | 077 | M | 122 | z | 178 | Í | 228 | ↑ |
| 033 | ! | 078 | N | 123 | { | 180 | Ä | 229 | ] |
| 034 | " | 079 | O | 124 | | | 181 | ā | 230 | [ |
| 035 | # | 080 | P | 125 | } | 182 | É | 231 | " |
| 036 | $ | 081 | Q | 126 | β | 183 | ē | 232 | ä |
| 037 | % | 082 | R | 127 | ¢ | 184 | ī | 233 | ö |
| 038 | & | 083 | S | 128 | !! | 185 | ī | 234 | ü |
| 039 | ' | 084 | T | 129 | 1 | 186 | ū | 235 | æ |
| 040 | ( | 085 | U | 130 | 2 | 187 | ū | 236 | å |
| 041 | ) | 086 | V | 131 | 3 | 188 | N | 237 | É |
| 042 | * | 087 | W | 132 | 4 | 189 | n | 238 | ñ |
| 043 | + | 088 | X | 133 | 1/2 | 190 | Č | 253 | *(DC) |
| 044 | , | 089 | Y | 134 | FT | 191 | Š | ||
| 045 | - | 090 | Z | 135 | ← | 192 | Ç |
*(DC): Code voor dubbel-formaat
PROGRAMMEREN VAN EXTRA FUNCTIES
1 Programmeren van diverse toetsen
De kassa heeft toetsen voor diverse functies, bijvoorbeeld %1, %2, ⊙, RA, RCPTPO, EX, CH1, CH2, CR1, CR2 en TL/NS.
■ Waarde voor %1, %2 en EX
Procedure

flowchart
graph TD
A["Programmeren van nul"] --> B["*Waarde of"]
B --> C["%1"]
B --> D["EX"]
C --> E["%2"]
D --> E
E --> F["TL/NS"]
F --> A
Programmeren van een andere waarde
*: Waarde
0.00 - 100.00 (% waarde)
0.000000 - 999.999999 (Koers)

AfdrukToetsbediening voorbeeld

text_image
*PGM* F02 %1 000 L100.00% -10.25% F28 EXCH1 002 0.939938 Percentage- waarde KoersOpmerking U moet een decimale punt gebruiken bij het instellen van waarden met breuken.
Bedrag voor
Procedure

flowchart
graph LR
A["Programmeren van nul"] --> B["Kortingsbedrag (max. zes cijfers)"]
B --> C["⊖"]
C --> D["TL/NS"]

AfdrukToetsbediening voorbeeld

text_image
*PGM* F01 (—) 008 -2.00 Kortingsbedrag■ Limiet voor percentage voor %1 en %2
U kunt de hoogste limiet programmeren voor percentages bij het invoeren van procenten.
Procedure

flowchart
graph LR
A["#/TM/ST"] --> B["2"]
B --> C["9"]
C --> D["⊗"]
D --> E["Limiet voor percentage (0.00 – 100.00%)"]
E --> F["%1 of %2"]
F --> G["TL/NS"]
H["Programmeren van nul"] --> E
I["Programmeren voor een andere percentagetoets"] --> E
Opmerking
- Invoer van percentages hoger dan de geprogrammeerde limiet, kunnen worden overschreden tijdens de MGR functie.
- 10.00% kan tevens als ① 0 of ① 0 • 0 0 worden ingevoerd. De • toets is uitsluitend nodig bij het invoeren van breuken.

text_image
#/TM/ST 29 15 ● 00 %1 TL/NSAfdrukToetsbediening voorbeeld

other
| Category | Value (%) | |---|---| | *PGM* | 15.00 | | F02 %1 | 000 | | L | -10.25 | Limit voor percentage■ Functieparameters voor %1, %2 en ⊖
Procedure
Programmeren van "0" voor alle onderdelen

flowchart
graph TD
A["*ABCD of"] --> B["×"]
B --> C["%1"]
B --> D["-"]
C --> E["TL/NS"]
D --> E
E --> F["%2"]
F --> A
Programmeren voor een andere toets
*: Onderdeel: Keuze: Invoer:
| A +/- teken + (premie) teken 0 | ||
| - (korting) teken* 1 | ||
| B Onderdeel % / Onderdeel | ⊖ | Toegestaan* 0 |
| Niet-toegestaan 1 | ||
| C Subtotaal %/ Subtotaal | ⊖ | Toegestaan* 0 |
| Niet-toegestaan 1 | ||
| D Limiet aantal cijfers voor kortingtoets 0-8 (fabrieksinstelling: 8) | ||
Voer altijd 0 voor D in bij het programmeren voor percentagetoetsen.
+/- teken
- Door het +/- teken te programmeren, wordt de premiefunctie of kortingsfunctie voor de betreffende toets ingesteld.
Onderdeel % / Onderdeel ⊖
- Berekening van percentage/korting voor de individuele afdeling en PLU/subafdeling.
Subtotaal % / Subtotaal ⊖
- Berekening van percentage/korting voor de subtotalen.
Limiet aantal cijfers (Alleen voor kortingtoets)
- De limiet voor het aantal cijfers is effectief voor bedieningen tijdens de REG functie, maar kan echter worden overschreden tijdens de MGR functie. De limiet voor het aantal cijfers wordt getoond door het getal dat is ingesteld voor het maximale bedrag voor de kortingtoets. Met "0" ingesteld, is het invoeren van een "open prijs" verboden.
AfdrukToetsbediening voorbeeld


text_image
*PGM* F01 (—) 006 —Vanaf links, BCD -2.00 Teken(A)■ Functieparameters voor EX
Procedure
Programmeren van "0" voor alle onderdelen

flowchart
graph LR
A["ABC"] --> B["×"]
B --> C["EX"]
C --> D["TL/NS"]
A --> E["×"]
\*: Onderdeel: Keuze: Invoer:
A Invoer open waarde Toegestaan* 0
Niet-toegestaan 1
B Invoer voor-ingestelde waarde Toegestaan* 0
Niet-toegestaan 1
C Positie van decimale punt (vanaf rechts) (tab) 0-3 (fabrieksinstelling: 2)

AfdrukToetsbediening voorbeeld

text_image
*PGM* F28 EXCH1 102 —— Vanaf links, ABC 0.939938■ Functieparameters voor RA, RCPT/P0, CH1, CH2, CR1, CR2 en TL/NS (bij gebruik als de TL toets)
Procedure
Programmeren van "0" voor alle onderdelen

flowchart
graph LR
A["*1ABC"] --> B(⊗)
B --> C["#/TM/ST, CH1, CH2, CR1, CR2, RA of RCPT/PO"]
C --> D["TL/NS"]
D --> A
Programmeren voor een andere toets
*2: Druk op de #/TM/ST toets voor instellen van de TL toets.
*1:Onderdeel: Keuze: Invoer:
| A Afdrukken voetnoot* Toegestaan 1 | ||
| Niet-toegestaan* 0 | ||
| B Invoeren ontvangen bedrag* Verplicht 1 | ||
| Niet-verplicht (voor CH1, CH2 en TL/NS)* | 0 | |
| Verboden (voor CR1 en CR2)* | 0 | |
| C Limiet aantal cijfers Voor | CH1, CH2, CR1, CR2 en TL/NS | 0-8 (fabrieksinstelling: 8) |
| Voor RA en PCPTPO | 0-9 (fabrieksinstelling: 9) | |
*Voer altijd 0 voor A en B in bij het programmeren voor RA of RCPTIPO.
Afdrukken voetnoot (alleen voor CH1, CH2, CR1, CR2 en TL/NS)
- Met deze programmering wordt bepaald of de kassa wel of niet een mededeling onder op de bon moet afdrukken bij gebruik van een specifieke mediatoets. Zie het "Logo-mededelingen" gedeelte op bladzijde 22 voor details aangaande het programmeren van een "voetnoot" mededeling.
Invoeren ontvangen bedrag (alleen voor CH1, CH2, CR1, CR2 en TL/NS)
- U kunt verplicht of optioneel voor het invoeren van het ontvangen bedrag programmeren voor de TL/NS, CH1 en CH2 toetsen.
- U kunt verplicht of verboden voor het invoeren van het ontvangen bedrag programmeren voor de CR1 en CR2 toetsen.
Limiet aantal cijfers
- Voor de CH1, CH2, CR1, CR2, RA en RCPTPO toetsen kunt u de hoogste limiet voor het aantal cijfers voor het ontvangen bedrag programmeren.
Voor de TL/NS toets kunt u de hoogste limiet programmeren voor het invoeren van het totale contante bedrag dat met de kassa kan worden uitgevoerd. De limiet voor het aantal cijfers is effectief tijdens de REG functie maar kan worden overschreden met de MGR functie. De limiet voor het aantal cijfers geeft het maximale aantal cijfers dat voor de invoer of het totale bedrag kan worden ingevoerd. Met "0" ingesteld, is de bediening van de overeenkomende toets verboden.
018 ⊗
CH1 TL/NS
AfdrukToetsbediening voorbeeld
*PGM*
F24 CHECK1
018 — Vanaf links, ABC
2 Programmeren van overige tekst
Zie "Begeleiding voor het programmeren van tekst" op bladzijde 14 voor het invoeren van tekens.
■ Symbool voor buitenlandse valuta (4 tekens)
Het symbool voor buitenlandse valuta van de [EX] toets wordt afgedrukt wanneer een bedrag met voorafingestelde koers in buitenlandse valuta wordt berekend.

■ Symbool voor nationale valuta (4 tekens)
“*” is de fabrieksinstelling. Verander indien u een ander symbool voor de nationale valuta wilt gebruiken.
Procedure

flowchart
graph LR
A["#/TM/ST"] --> B["8"]
B --> C["5"]
C --> D["•"]
D --> E["Tekentoetsen (max. 4 tekens)"]
E --> F["#/TM/ST"]
F --> G["TL/NS"]
H["Behouden van huidige instelling"] --> E

text_image
Invoer met tekencode → #/TM/ST 85 SPACE SPACE SPACE 207 00 #/TM/ST TL/NSAfdrukToetsbediening voorbeeld

text_image
*PGM* #85 € Symbool voor nationale valuta■ Tekst voor trainingfunctie (12 tekens)
Als fabrieksinstelling wordt "TRAINING" afgedrukt voor iedere bon die met de trainingfunctie wordt afgedrukt. Volg de volgende procedure indien u de tekst wilt veranderen.

flowchart
graph TD
A["#/TM/ST"] --> B["8"]
B --> C["7"]
C --> D["•"]
D --> E["Tekentoetsen (max. 12 tekens)"]
E --> F["#/TM/ST"]
F --> G["TL/NS"]
H["Behouden van huidige instelling"] --> E
I["AfdrukToetsbediening voorbeeld"] --> J["*PGM* #87 TRAINING"]
K["SPACE SPACE TRAINING"] --> L["#/TM/ST 87 •"]
M["#/TM/ST SPACE SPACE"] --> N["#/TM/ST TL/NS"]

De geprogrammeerde tekst verschijnt met dubbel-formaat tekens op bonnen die met de trainingfunctie worden afgedrukt.
■ Tekst voor functies (12 tekens)


flowchart
graph LR
A["#/TM/ST"] --> B["3"]
B --> C["•"]
C --> D["*Functienummer (max. 2 tekens)"]
D --> E["⊗"]
E --> F["Tekentoetsen (max. 12 tekens)"]
F --> G["#/TM/ST"]
G --> H["TL/NS"]
I["Programmeren van andere tekst voor functies"] --> C
J["Behouden van huidige instelling"] --> F
* Functienummer: Zie de "Lijst met tekst voor functies" op de volgende bladzijde.

text_image
AfdrukToetsbediening voorbeeld #/TM/ST 3 26 CARD NUMBER 1 #/TM/ST TL/NS *PGM* F26 CARD1 008(Programmeren van CARD1 voor krediet 1)
■ Lijst met tekst voor functies
| Functie-nummer | Toets of functie | Fabrieks-instelling |
| 1 | ⊖ | (−) |
| 2 | % 1 %1 | |
| 3 | % 2 %2 | |
| 4 Verschil DIFFER | ||
| 5 Belastbaar 1 subtotaal TAX1 ST | ||
| 6 Belastbaar 2 subtotaal TAX2 ST | ||
| 7 Belastbaar 3 subtotaal TAX3 ST | ||
| 8 Belastbaar 4 subtotaal TAX4 ST | ||
| 9 BTW/belasting 1 VAT 1 | ||
| 10 BTW/belasting 2 VAT 2 | ||
| 11 BTW/belasting 3 VAT 3 | ||
| 12 BTW/belasting 4 VAT 4 | ||
| 13 Netto 1 | NET1 | |
| 14 Netto 2 NET2 | ||
| 15 Terugbetaling REFUND | ||
| 16 Annuleren | ∞ | |
| 17 Annuleren functie totaal | ∞ MODE | |
| 18 Manager annuleren MGR | ∞ | |
| 19 Subtotaal annuleren SBTL | ∞ | |
| 20 Geen verkoop NO SALE | ||
| 21 RA RA | *** | |
| 22 PO PO | *** | |
| 23 Contant | CASH | |
| 24 Cheque 1 CHECK1 | ||
| 25 Cheque 2 CHECK2 | ||
| 26 Krediet 1 CREDIT1 | ||
| 27 Krediet 2 CREDIT2 | ||
| 28 | Wisselen (voor-ingestelde koers) | EXCH1 |
| 29 Wisselen (open koers) EXCH2 | ||
| 30 Wisselen cheque EX1 CHK | ||
| 31 Wisselen krediet EX1 CR | ||
| 32 Contant geld in lade | **CHB | |
| Functie-nummer | Toets of functie | Fabrieks-instelling | |
| 33 Contant geld/cheque in lade CA/CH ID | |||
| 34 Wisselgeld voor cheque CHK/CG | |||
| 35 Klant GUEST | |||
| 36 Totaal betaald PAID TL | |||
| 37 Nationale valuta 1 DOM.CUR1 | |||
| 38 Nationale valuta 2 DOM.CUR2 | |||
| 39 Nat. valuta voor wisselen cheque DOM.CUR1 | |||
| 40 Nat. valuta voor wisselen krediet DOM.CUR1 | |||
| 41 Cheque in lade CHMD | |||
| 42 (+) Afdeling totaal DEPT TL | |||
| 43 (-) Afdeling totaal DEPT (-) | |||
| 44 Netto 1 (Belastbaar 1 – BTW/belasting 1) NET 1 | |||
| 45 Netto 2 (Belastbaar 2 – BTW/belasting 2) NET 2 | |||
| 46 Netto 3 (Belastbaar 3 – BTW/belasting 3) NET 3 | |||
| 47 Netto 4 (Belastbaar 4 – BTW/belasting 4) NET 4 | |||
| 48 Subtotaal SUBTOTAL | |||
| 49 Verkoopwaar subtotaal MDSE ST | |||
| 50 Totaal *TOTAL | |||
| 51 Wisselen CHANGE | |||
| 52 Hoeveelheid verkopen ITEMS | |||
| 53 Gemiddeld AVE. | |||
| 54 Totaal belasting TTL TAX | |||
| 55 Netto zonder belasting NET | |||
| 56 Afdelingsoverzicht titel DEPT | |||
| 57 PLU overzicht titel PLU | |||
| 58 Transactie-overzicht titel TRANS. | |||
| 59 Winkelbediende-overzicht titel CLERK | |||
| 60 Uun-overzicht titel HOURLY | |||
| 61 Niet-toevoegen symbool (8 tekens) # | |||
| 62 Kopie bon titel COPY | |||
| 63 EJ overzicht titel EJ | |||
| 64 EJ overzicht einde titel EJ END | |||
PROGRAMMEREN VAN GEAVANCEERDE FUNCTIES
1 Programmeren van kassanummer en volgnummer
Het kassanummer en volgnummer wordt op iedere bon of overzicht afgedrukt.
Indien u twee of meer kassa's heeft, is het handig om ter identificatie afzonderlijke kassanummers in te stellen.
Het volgnummer wordt iedere keer dat een bon of overzicht wordt afgedrukt met één verhoogd.
Voor het programmeren van het volgnummer, moet u starten met een nummer (max. 4 cijfers) dat één lager is dan het gewenste startnummer.
Kassanummer
Procedure

flowchart
graph LR
A["/TM/ST"] --> B["1"]
B --> C["⊗"]
C --> D["Registreer nummer (één t/m zes cijfers)"]
D --> E["/TM/ST"]
E --> F["TL/NS"]
G["Registreren van nummer "0""] --> D


text_image
AfdrukToetsbediening voorbeeld *PGM* #1 123456 — Kassanummerflowchart
graph LR
A["/TM/ST"] --> B["2"]
B --> C["×"]
C --> D["Een nummer (één t/m vier cijfers) dat één lager is dan het gewenste startnummer"]
D --> E["/TM/ST"]
E --> F["TL/NS"]
G["Starten vanaf volgnummer 0001"] --> D


text_image
AfdrukToetsbediening voorbeeld *PGM* #2 1000 Volgnummer2 Diverse Functions Programmeren 1
De kassa heeft diverse gedetailleerde functies die hierna worden beschreven.
- Functiekeuze voor diverse toetsen
- Printformaat
- Bon printformaat
• Overige
Voor het programmeren van deze functies moeten taak-codes worden ingevoerd. U kunt het programmeren van de in dit gedeelte beschreven onderdelen gewoon voortzetten totdat u op de TL/NS toets drukt. Voor het voortzetten van het programmeren herhaalt u eenvoudigweg het invoeren vanaf de taak-code.
Procedure

flowchart
graph LR
A["#/TM/ST"] --> B["*¹Taak-code"]
B --> C["⊗"]
C --> D["*²ABCDEFGHIJKLMNOPQRSTUVWXYZ"]
D --> E["#/TM/ST"]
E --> F["TL/NS"]
G["Instellen van "00000000""] --> D
*1 Invoeren van taak-codes met gebruik van de cijfertoetsen in ieder hierna beschreven gedeelte.
*2 Invoeren van details van de diverse functies worden in de diverse hierna getoonde tabellen beschreven. Een sterretje toont de fabrieksinstelling.
Voorbeeld: Programmeren van ABCDEFGH voor taak-code 5: 00000100
Toetsbediening voorbeeld

Afdruk

■ Functiekeuze voor diverse toetsen
Taak-code: 5
* Onderdeel: Keuze: Invoer:
| A Betaald in de REG functie Geactiveerd* 0 | |||
| Uitgeschakeld 1 | |||
| B Ontvangen op rekening in de REG functie Geactiveerd* 0 | |||
| Uitgeschakeld 1 | |||
| C Annuleren subtotaal in de REG functie Geactiveerd* 0 | |||
| Uitgeschakeld 1 | |||
| D Indirect annuleren in de REG functie Geactiveerd* 0 | |||
| Uitgeschakeld 1 | |||
| E Direct annuleren in de REG functie Geactiveerd* 0 | |||
| Uitgeschakeld 1 | |||
| F Invoeren terugbetaling in de REG functie Geactiveerd* 0 | |||
| Uitgeschakeld 1 | |||
| G Geen verkoop in de REG functie | Geactiveerd* 0 | ||
| Uitgeschakeld 1 | |||
| H | Invoeren van hoeveelheid met breuken | Geactiveerd (3 cijfers decimale plaats) | 0 |
| Uitgeschakeld* | 1 | ||
Printformaat
Taak-code: 6
* Onderdeel: Keuze: Invoer:
| A Drukstijl Afdrukken overzicht 0 | |||
| Bon* 1 | |||
| B Drukstijl bon Total 0 | |||
| Gedetailleerd* 1 | |||
| C Afdrukken tijd op alle bonnen Ja* 0 | |||
| Nee 1 | |||
| D Afdrukken datum op alle bonnen Ja* 0 | |||
| Nee 1 | |||
| E Afdrukken volgnummer Ja* 0 | |||
| Nee 1 | |||
| F | Afstand tussen regels in overzichten | Eén tussenregel | 0 |
| Scheidingsregel* | 1 | ||
| G | Nul overslaan in PLU overzicht | Nee | 0 |
| Ja* 1 | |||
| H Nul overslaan in volledig verkopen/ winkelbediende/uur overzichten | Nee 0 | ||
| Ja* 1 | |||
Drukstijl
- Ook met afdrukken van bonnen gekozen, wordt de opspoelmotor voor overzichten aangedreven in de PGM, OP X/Z, X1/Z1 en X2/Z2 functies zodat de verkoop- en programmeeroverzichten worden opgerold.
■ Bon printformaat
Taak-code: 7
* Onderdeel: Keuze: Invoer:
| A Voer altijd 0 in. | 0 | ||
| B Voer altijd 0 in. | 0 | ||
| C Afdrukken subtotaal door druk op subtotaal-toets | Nee* 0 | ||
| Ja | 1 | ||
| D Voer altijd 0 in. | 0 | ||
| E Afdrukken bedrag BTW/belasting | Ja* 0 | ||
| Nee 1 | |||
| F Afdrukken belastbaar bedrag | Ja* 0 | ||
| Nee 1 | |||
| G Afdrukken netto bedrag | Ja* 0 | ||
| Nee 1 | |||
| H Afdrukken aankoopnummer | Ja* 0 | ||
| Nee 1 | |||
■ Overige programmering
Taak-code: 61
* Onderdeel: Keuze: Invoer:
| A Voer altijd 0 in. 0 | |||
| B Voer altijd 0 in. 0 | |||
| C Negatieve afdeling en PLU/subafdeling Uitgeschakeld 0 | |||
| D Behandelen breuken Afronden (4 omlaag, 5 omhoog)* 0 | |||
| E Gebruik van de | 00 toets Als 00 toets* 0 | ||
| Tijdformaat | 12-uur formaat | 0 | |
| 24-uur formaat* | 1 | ||
| G | Datumformaat | Gebruik maand-dag-jaar formaat | 0 |
| Gebruik dag-maand-jaar formaat* | 1 | ||
| Gebruik jaar-maand-dag formaat 2 | |||
| H | Plaats van decimale punt (vanaf rechts) (TAB) | 0 t/m 3 (fabrieksinstelling: 2) | |
Taak-code: 62
| * Onderdeel: | Keuze: | Invoer: | |
| A | Voer altijd 0 in. | 0 | |
| B | Pieptoon bij foute bediening | Slot fout | 0 |
| Foute bediening* | 1 | ||
| C | Geluid bij toetsaanslag | Ja* | 0 |
| Nee | 1 | ||
| D | Buffered toetsenbord | Ja* | 0 |
| Nee | 1 | ||
| E | Annuleerfunctie | Geactiveerd* | 0 |
| Uitgeschakeld | 1 | ||
| F | Afdrukken van annuleerfunctie in X2/Z2 overzicht | Ja* | 0 |
| Nee | 1 | ||
| G | Afdrukken van annuleerfunctie in X1/Z1 overzicht | Ja* | 0 |
| Nee | 1 | ||
| H | Toevoeging aan uurtotaal in VOID functie | Nee* | 0 |
| Ja | 1 | ||
Taak-code: 63
* Onderdeel: Keuze: Invoer:
| A | Afdruk bij “geen verkoop” invoer | Ja* | 0 |
| Nee 1 | |||
| B | Geen verkoop na “niet-toevoegen” code invoer | Uitgeschakeld | 0 |
| Geactiveerd* 1 | |||
| C | Niet-toevoegen code invoer Geactiveerd* 0 | ||
| Uitgeschakeld 1 | |||
| D | Kopie bon Nee* 0 | ||
| Ja | 1 | ||
| E | Invoer waardoor subtotaal van verkopen kleiner dan nul wordt | Geactiveerd* 0 | |
| Uitgeschakeld 1 | |||
| F | Invoer subtotaal voor ontvangst | Niet-verplicht* | 0 |
| Verplicht | 1 | ||
| G | Invoer subtotaal voor direct niet-ontvangst voltooiing | Niet-verplicht* | 0 |
| Verplicht | 1 | ||
| H | Direct niet-ontvangst voltooiing na ontvangst | Uitgeschakeld | 0 |
| Geactiveerd* 1 |
Taak-code: 64
* Onderdeel: Keuze: Invoer:
| A Afdrukken van GT1 op Z overzicht | Ja* 0 | ||
| No 1 | |||
| B Afdrukken van GT2 op Z overzicht | Ja* 0 | ||
| Nee 1 | |||
| C Afdrukken van GT3 op Z overzicht | Ja* 0 | ||
| Nee 1 | |||
| D Afdrukken van training GT op Z overzicht | Ja* 0 | ||
| Nee 1 | |||
| E Afdrukken van Z teller op Z overzicht | Ja* 0 | ||
| Nee 1 | |||
| F | Afdruk van DATA op PLU terugstelling overzicht | Ja* | 0 |
| Nee 1 | |||
| G | Terugstelling van GT1, 2, 3 bij algemeen Z1 overzicht | Nee* | 0 |
| Ja | 1 | ||
| H OP X/Z overzicht | Geactiveerd* 0 | ||
| Uitgeschakeld 1 | |||
Taak-code: 66
* Onderdeel: Keuze: Invoer:
| A Bon na transactie Alleen totaal 0 | |||
| Details* 1 | |||
| B Afdrukken bedrag indien PLU unit-prijs Nee* 0nul is | Ja | 1 | |
| C Afdrukken omgewisseld SBTL van Ja* 0SBTL in nationale valuta | Nee 1 | ||
| D Afdrukken van BTW/belasting Ja 0berekening | Nee* 1 | ||
| E | Gecomprimeerd afdrukken van overzichtbij PGM, X1/Z1 en X2/Z2 overzichten | Nee (normaal formaat) | 0 |
| Ja (klein formaat)* | 1 | ||
| F | Gecomprimeerd afdrukken van overzichtbij REG, MGR en VOID functies | Nee (normaal formaat) | 0 |
| Ja (klein formaat)* | 1 | ||
| G | Afdrukken logo-tekst op overzicht | Nee* | 0 |
| Ja | 1 | ||
| H Afdrukken voetnoot | Alle bonnen* | 0 | |
| Met gekozen functietoets bij het voltooien | 1 | ||
Gecomprimeerd afdrukken van overzicht
- Dit gedeelte is uitsluitend van toepassing indien "drukstijl" (taak-code 6) op "afdrukken overzicht" is gesteld.
Taak-code: 67
| * Onderdeel: | Keuze: | Invoer: | |
| A Afdrukken afgeronde bedrag | Nee* | Ja | 0 |
| 1 | |||
| B Afronden totaal bedrag indien een transactie direct met de 1, 2, 1 of 2 toets wordt voltooid. | Afronden* | Niet-afronden | 0 |
| 1 | |||
| C Omhoog afronden tot ingestelde cijfer voor bedrag | 0-9 ( | fabrieksinstelling: 0) | |
| D Omlaag afronden tot ingestelde cijfer voor bedrag | 0-9 ( | fabrieksinstelling: 0) | |
| E Methode van afronden | Onderdeel en betaling* | Betaling | 0 |
| 1 | |||
| F Limiet van minst betekende cijfer bij invoeren van bedrag van artikel | Absoluut* | Alleen 0 | 0 |
| 1 | |||
| Alleen 0 en 5 | 2 | ||
| G Verschil in geheugen voor afronden en na afronden | Nee* | Yes 1 | 0 |
| 0 | |||
| H Limiet van minst betekende cijfer bij invoeren van bedrag van betaling | Absoluut* | Alleen 0 | 1 |
| Alleen 0 en 5 | 2 | ||
Afdrukken afgeronde bedrag (A)
Totaal afgerond bedrag indien een transactie direct met de CH1, CH2, CR1 of CR2 toets wordt voltooid (B)
Omhoog afronden tot ingestelde cijfer voor bedrag (C)
Omlaag afronden tot ingestelde cijfer voor bedrag (D)
- Behandel C en D als een paar. Indien u in Zwitserland of Noorwegen woont, moet u de instellingen zoals in de tabel hieronder wordt getoond maken voor parameters C en D.
Het afronden wordt als volgt gedaan:
In geval C = 0: Cijfer van bedrag < of = Waarde van D - omlaag afronden
Waarde van D < of = Cijfer van bedrag – afronden naar 5
In andere gevallen: Cijfer van bedrag < of = Waarde van D - omlaag afronden
Waarde van D < Cijfer van bedrag < Waarde van C – afronden naar 5
Waarde van C < of = Cijfer van bedrag - omhoog afronden
Methode van afronden (E)
Limiet van minst betekende cijfer bij invoeren van bedrag van artikel (F)
Verschil in geheugen voor afronden en na afronden (G)
Limiet van minst betekende cijfer bij invoeren van bedrag van betaling (H)
- Indien u in Zwitserland of Noorwegen woont, moet u de instellingen zoals in de tabel hieronder wordt getoond maken voor parameters (E) t/m (H).
CDEFGH
| Zwitserland 82 Onderdeel & betaling Alleen 0 en 5 Nee Alleen 0 en 5 Noorwegen 54 Betaling Absoluut Ja Alleen 0 |
Taak-code: 68
* Onderdeel: Keuze:
Invoer:
| A | Voer altijd 0 in. | 0 | |
| B | Voer altijd 0 in. | 0 | |
| C | Tijdelijk afdrukken EJ tijdens transactie | Uitgeschakeld | 0 |
| Geactiveerd* | 1 | ||
| D | Afdrukken EJ en wissen EJ data bij afdrukken van algemeen Z1 overzicht | Nee* | 0 |
| Ja | 1 | ||
| E | PGM functie bediening rapport | Details* | 0 |
| Alleen koppen | 1 | ||
| F | REG/MGR/VOID functies bediening | Details* | 0 |
| Totaal | 1 | ||
| G | Gecomprimeerd afdrukken EJ data | Nee (normaal formaat) | 0 |
| Ja (klein formaat)* | 1 | ||
| H | Actie wanneer EJ geheugen vol is | Doorgaan | 0 |
| Doorgaan en waarschuwing (bijna vol waarschuwing)* | 1 | ||
| Vergrendelen en waarschuwing (met bijna vol waarschuwing) | 2 |
Tijdelijk afdrukken EJ tijdens transactie
- Indien u "geactiveerd" kiest, kunnen de overzichtdata van een huidige in het EJ opgeslagen geheugen transactie worden afgedrukt door een druk op de RCPTIPO toets. Voor een volledig gebruik van deze functie, moet de kassa voor het afdrukken van de bon zijn geprogrammeerd en de ON/OFF functie voor de bon op OFF zijn gesteld.
PGM functie bediening rapport
- Uitsluitend de kop wordt afgedrukt voor data van het lezen van een programma.
Voor X/Z overzichten, wordt uitsluitend de kop afgedrukt.
(Het volgende voorbeeld is alleen voor de kopinformatie.)

text_image
22/10/2007 12:13 01 123456#1018 CLERK 01 *X1 * * DEPT * *TRANS. *Actie wanneer EJ geheugen vol is
- Met de fabrieksinstelling toont de kassa de decimale punten bij de 8 ^ste en 9 ^de positie op het display indien het EJ geheugen bijna vol is (EJ geheugen bijna vol mededeling), en blijft de kassa nieuwe data registreren terwijl de oudste data worden gewist. Met "0" gekozen, toont de kassa niet de EJ geheugen bijna vol mededeling. Met "2" gekozen toont de kassa de EJ geheugen bijna vol mededeling en wordt het invoeren van verkopen/data door de kassa vergrendeld. De geheugen vol mededeling "E-E" verschijnt op het display en u moet nu een EJ overzicht (Z1 overzicht) afdrukken.
Taak-code: 69
* Onderdeel: Keuze: Invoer:
| A Voer altijd 0 in. 0 | |||
| B Voer altijd 0 in. 0 | |||
| C Voer altijd 0 in. 0 | |||
| D Afronden van buitenlandse valuta voor | EX | Omhoog afronden naar eenheid* 0 | |
| Afronden (4 omlaag/5 omhoog) 1 | |||
| E Belastingsysteem Automatisch belasting 1-4 0 | |||
Afrondsystem
- Verander de fabrieksinstelling (H = 0) als aangegeven indien u in Zweden of Denemarken woont.
Taak-code: 70
* Onderdeel: Keuze: Invoer:
| A Voer altijd 0 in. 0 | |
| B Afdrukken data op EJ Z overzicht Ja* 1 | Nee 0 |
| C Voer altijd 0 in. 0 | |
| D Voer altijd 0 in. 0 | |
| E Voer altijd 0 in. 0 | |
| F Voer altijd 0 in. 0 | |
| G Voer altijd 0 in. 0 | |
| H Voer altijd 0 in. 0 | |
Afdrukken data op EJ Z overzicht
- Kies "Nee" voor een EJ Z overzicht zonder de overzichtsdata er op af te drukken.
3 Diverse Functions Programmeren 2
De kassa beschikt over diverse opties die u kunt kiezen voor een voor uw verkopen geschikt gebruik. In dit gedeelte kunt u de volgende functies programmeren (parameters tussen haakjes tonen de fabrieksinstellingen):
- Energiebesparingsfunctie (de energiebesparingsfunctie wordt na 30 minuten geactiveerd)
- Printformaat voor afdrukken van logo (kop met 3-regels en voetnoot met 3-regels)
- Dichtheid ("zwartheid") van thermische printer (standaard-dichtheid)
- Specificatie voor training bediende (geen) – Indien u een winkelbediende-code specificeert voor een bediende die wordt getrained, schakelt de kassa direct in de trainingsfunctie indien deze winkelbediende-code voor het invoeren van verkopen is geregistreerd. De verkopen die door de in training zijnde bediende worden ingevoerd, hebben geen effect op de totale verkoop. Zie het gedeelte "TRAININGSFUNCTIE" voor details.
■ Energiebesparingsfunctie

flowchart
graph LR
A["#/TM/ST"] --> B["1"]
B --> C["0"]
C --> D["×"]
D --> E["*ABCD"]
E --> F["#/TM/ST"]
F --> G["TL/NS"]
* Onderdeel: Keuze: Invoer:
| A Activeren van energiebesparingsfunctie Ja* 0 wanneer tijd wordt getoond | Nee 1 | |
| B-D | Tijd (min.) voor geen-bediening waarna energiebesparingsfunctie wordt geactiveerd | 001-254 of 999 (fabrieksinstelling 030) |
Opmerking
De energiebesparingsfunctie wordt niet geactiveerd indien 999 voor B t/m D is ingesteld.
Toetsbediening voorbeeld


text_image
Afdruk *PGM* #10 0060■ Printformaat voor afdrukken van logo
U kunt het aantal regels voor uw logo-mededeling kiezen en tevens de plaats waar u het op de bon wilt afdrukken.
Zie "Logo-mededelingen" op bladzijde 22 voor details aangaande de diverse logo-typen.
Procedure

flowchart
graph LR
A["#/TM/ST"] --> B["1"]
B --> C["1"]
C --> D["⊗"]
D --> E["*A"]
E --> F["#/TM/ST"]
F --> G["TL/NS"]
H["Instellen van "0""] --> E
*A: Logo-types
0: Kop met 3-regels zonder grafisch logo
3: Kop met 6-regels
5: Kop met 3-regels en voetnoot met 3-regels (fabrieksinstelling)

text_image
#/TM/ST 11 ⊗ 3 #/TM/ST TL/NSAfdrukToetsbediening voorbeeld

■ Dichtheid thermische printer
Procedure

flowchart
graph LR
A["#/TM/ST"] --> B["5"]
B --> C["0"]
C --> D["⊗"]
D --> E["*Printer-dichtheid (00-99)"]
E --> F["#/TM/ST"]
F --> G["TL/NS"]
H["Instellen van "0""] --> E
* 50 (100%) is de fabrieksinstelling. Voor een donkerdere afdruk moet u een hoger nummer instellen. Stel een lager nummer in voor een lichte afdruk.

text_image
#/TM/ST 50 70 #/TM/ST TL/NS
text_image
*PGM* #50 70■ Specificatie voor training bediende
Zie "TRAININGSFUNCTIE" op bladzijde 67 voor details aangaande instellingen voor training.
Procedure

flowchart
graph LR
A["#/TM/ST"] --> B["8 6"]
B --> C["⊗"]
C --> D["Winkelbediende-code (1 t/m 10)"]
D --> E["#/TM/ST"]
E --> F["TL/NS"]
G["Annuleren"] --> D


text_image
*PGM* #86 10 AfdrukToetsbedi■ Programmeren van de AUTO toets – Toets voor automatisch opeenvolgende handelingen
Indien u transacties of handelingen voor overzichten die u vaak gebruikt onder de AUTO toets programmeert, kunnen deze transacties en/of overzichten door een enkele druk op de AUTO toets worden opgeroepen.
Procedure

flowchart
graph TD
A["AUTO"] --> B["Transactie (invoer door toets)"]
B --> C["AUTO"]
C --> D["TL/NS"]
B -->|Wissen| A
B -->|max. 25 keer| B
Programmeren voor AUTO: invoeren van een PLU 2 artikel en een afdeling 6 artikel (unit-prijs: 1.00)

text_image
AUTO instelling → 2 PLU/SUB 100 AUTO 6 22 AUTO TL/NSAfdrukToetsbediening voorbeeld

text_image
*PGM* #01 2 PLU 1 0 0 D06Opmerking
Indien u de [AUTO] toets heeft geprogrammeerd voor het uitvoeren van een overzicht, etc. moet de functieschakelaar in de juiste stand worden gesteld (OPX/Z voor individuele winkelbediende-overzichten, X1/Z1 voor dagelijkse overzichten of X2/Z2 voor wekelijkse of maandelijkse overzichten).
4 Programmering voor de EURO
Zie "FUNCTIE VOOR EURO-MODIFICATIE" voor details aangaande het veranderen naar de EURO.
■ Instellingen voor EURO systeem
Procedure
Instellen van "0" voor alle onderdelen

flowchart
graph LR
A["#/TM/ST"] --> B["8"]
B --> C["⊗"]
C --> D["*ABCD"]
D --> E["#/TM/ST"]
E --> F["TL/NS"]
* Onderdeel: Keuze: Invoer:
| A Afdrukken op bon of overzicht van totaal Nee* 0 bedrag en wisselgeld in buitenlandse valuta | Ja | 1 |
| B Voer altijd 0 in. 0 | ||
| C Cheque en krediet handeling bij ontvangst Nee* 0 in buitenlandse valuta | Ja | 1 |
| D Methode voor geldwisselen Vermenigvuldiging* 0 | Deling 1 | |
Afdrukken op bon of overzicht van totaal bedrag en wisselgeld in buitenlandse valuta
- Het totaal bedrag en wisselgeld in de buitenlandse valuta wordt respectievelijk onder het totaal bedrag en wisselgeld in nationale valuta gedrukt.
Methode voor geldwisselen
- "Deling" of "Vermenigvuldiging" kan voor de conversiemethode van nationale valuta naar buitenlandse valuta worden gekozen en de berekening wordt als volgt gemaakt:
Indien "Deling" is gekozen:
Bedrag in nationale valuta ÷ koers = Bedrag in buitenlandse valuta
Indien "Vermenigvuldiging" is gekozen:
Bedrag in nationale valuta ×koers = Bedrag in buitenlandse valuta
Toetsbediening voorbeeld
| #/TM/ST | 8 | ⊗ |
| 1000 | #/TM/ST | |
| TL/NS | ||
Afdruk
| *PGM* | |
| #8 | 1000 |
■ Instellingen voor automatische EURO-modificatie
Procedure

flowchart
graph LR
A["#/TM/ST"] --> B["1"]
B --> C["2"]
C --> D["⊗"]
D --> E["*AB"]
E --> F["#/TM/ST"]
F --> G["TL/NS"]
H["Instellen van "00""] --> E
* Onderdeel: Keuze: Invoer:
| A | Omzetten van de ingestelde unit-prijs van een afdeling/PLU met de automatische modificatiefunctie voor EURO (taak-code 800 in de X2/Z2 functie) | Ja* | 0 |
| Nee | 1 | ||
| B | Automatische modificatiefunctie voor EURO (taak-code 800 in de X2/Z2 functie) op de ingestelde datum | Verplicht* | 0 |
| Niet-verplicht | 1 |
Toetsbediening voorbeeld
| #/TM/ST | 12 ⊗ |
| 01 | #/TM/ST |
| TL/NS |
Afdruk
| *PGM* | |
| #12 | 01 |
Opmerking
Deze programmering kan niet worden uitgevoerd indien u reeds taak-code 800 heeft uitgevoerd met 3 voor "A" ingesteld in de X2/Z2 functie.
■ Instellen van datum voor EURO-modificatie
Procedure

flowchart
graph LR
A["#/TM/ST"] --> B["1"]
B --> C["3"]
C --> D["⊗"]
D --> E["Datum (dag-maand-jaar) (zeven of acht cijfers)"]
E --> F["#/TM/ST"]
F --> G["TL/NS"]
H["Instellen van nul voor allen"] --> E
AfdrukToetsbediening voorbeeld


Opmerking
- Indien u het datumformaat met taak-code 61 heeft ingesteld, dient u het gekozen formaat voor het instellen van de datum te gebruiken.
- Deze programmering kan niet worden uitgevoerd indien u nul voor allen heeft ingesteld.
- Deze programmering kan niet worden uitgevoerd indien u reeds taak-code 800 heeft uitgevoerd met 3 voor "A" ingesteld in de X2/Z2 functie.
■ Instellen van tijd voor EURO-modificatie
Procedure

flowchart
graph LR
A["#/TM/ST"] --> B["1"]
B --> C["4"]
C --> D["×"]
D --> E["Tijd (uur) (00-23)"]
E --> F["#/TM/ST"]
F --> G["TL/NS"]
AfdrukToetsbediening voorbeeld


Opmerking
- Deze programmering kan niet worden uitgevoerd indien u reeds taak-code 800 heeft uitgevoerd met 3 voor "A" ingesteld in de X2/Z2 functie.
5 Lezen van vastgelegde programma's
U kunt met de kassa ieder met de PGM functie vastgelegd programma lezen.
■ Toetsen voor het lezen van vastgelegde programma's

flowchart
graph TD
A["Overzichtnaam"] --> B["Programmeringsoverzicht 1"]
B --> C["Programmeringsoverzicht 2 ②"]
C --> D["Programmeringsoverzicht AUTO toets ①"]
D --> E["Programmeringsoverzicht printer-dichtheid ③"]
E --> F["Programmeringsoverzicht afdeling ④"]
F --> G["Programmeringsoverzicht PLU"]
subgraph TL/NS
B
C
D
E
F
end
subgraph TL/NS
C
D
E
F
end
subgraph E
E
F
end
subgraph PLU
G
H["Start PLU code"] --> I["⊗"] --> J["Eind PLU code"] --> K["PLU/SUB"]
end
Opmerking
Voor het stoppen van het lezen van programmeringsoverzichten moet u de functieschakelaar naar de MGR stand draaien.
■ Voorbeeld van afdrukken
1 Programmeringsoverzicht 1

text_image
*PGM* F01 (-) 006 -2.00 F02 %1 000 L 90.00% -15.00% F03 %2 000 L100.00% 15.00% F05 TAX1 ST F06 TAX2 ST F07 TAX3 ST F08 TAX4 ST F09 VAT 1 F10 VAT 2 F11 VAT 3 F12 VAT 4 F13 NET1 F14 NET2 F15 REFUND F16 ∞ F17 ⌘ MODE F18 MGR ∞ F19 SBTL ∞ F20 NO SALE F21 ***RA 9 F22 ***PO 9 F23 CASH 008 F24 CHECK1 018 F25 CHECK2 008 F26 CARD1 008 F27 CREDIT2 008 F28 EXCH1 102 US $ 0.939938 F29 EXCH2 Functie Functienummer & bijbehorende tekst Functieparameters Kortingsbedrag met teken Functieparameters Percentage met teken Percentagelimiet Limiet aantal cijfers Functieparameters (A-C) Buitenlandse valuta symbol/koers
text_image
F62 COPY F63 EJ F64 EJ END SHARP PRESENTS THE XE-A113 SHARP IS THE BEST #5 00000001 #6 11000111 #7 00000000 #8 0010 #10 0060 #11 5 #12 01 #13 01/07/2009 #14 10:00 T1 16.0000% T2 0.00 T3 7.0000% T4 0.00 C#01 DAVID C#02 CLERK 02 Logo-mededeling Functiekeuze voor diverse toetsen (A-H) Printformaat (A-H) Printformaat bon (A-H) EURO systeeminstellingen (A-D) Energiebesparingsfunctie (A-D) Printformaat logo-mededeling Instellingen voor automatische EURO-modificatie (AB) Datum voor EURO-modificatie Tijd voor EURO-modificatie Belastingvoet Min. belastbare bedrag Winkelbediende naam/code C#09 CLERK 09 C#10 CLERK 102 Programmeringsoverzicht 2

text_image
*PGM* #61 00100112 #62 01000000 #63 01000001 #64 00000000 #65 00000000 #66 10011100 #67 00000000 #68 00101011 #69 00002000 #70 01000000 #71 GT2 €0000001514.75 #72 GT3 -0000000222.79 #76 Z1 0000 #77 Z2 0000 #85 € #86 1O #87 TRAINING #88 O Taak-code A t/m H vanaf links * Taak-codes #65, 71, 72, 76 en 77 zijn vastgestelde instellingen en kunnen niet door u worden veranderd. Nationale valuta symbool Specificatie training bediende Tekst trainingsfunctie Taalkeuze3 Programmeringsoverzicht AUTO toets

text_image
*PGM* #01 2 PLU 1 0 0 D064 Programmeringsoverzicht printer-dichtheid

text_image
*PGM* #50 70 Ingevoerde waarde Printer-dichtheid 10 : 0123456789AB 20 : 0123456789AB 30 : 0123456789AB 40 : 0123456789AB 50 : 0123456789AB 60 : 0123456789AB 70 : 0123456789AB 80 : 0123456789AB 90 : 0123456789AB Voorbeeld printer- dichtheid5 Programmeringsoverzicht afdeling

text_image
*PGM* Afdelings- code Afdelings- tekst D01 T1 083 FRUIT 10.00 D02 T1 183 DEPT.02 -13.10 D03 T1 083 DEPT.03 1.50 Afdeling functie Afdeling unit-prijs met/teken Min-afdeling Belastingstatus D49 T1 081 DEPT.49 0.00 D50 T1 081 DEPT.50 0.006 Programmeringsoverzicht PLU

text_image
*PGM* PLU code PLU tekst P001 (O3) MELON P002 (O1) PLU.002 P003 (32) PLU.003 001- 015 1 1.25 1 2.15 1 -0.15 Bereik Functieparameter Unit-prijs Bijbehorende afdelingscode PLU.014 P015 (O1) PLU.015 1.00 1 1.50TRAININGSFUNCTIE
De trainingsfunctie kan voor de manager en winkelbediende worden gebruikt voor het oefenen van kassabedieningen.
Indien u een in training zijnde bediende heeft gespecificeerd en vervolgens kiest, schakelt de kassa automatisch in de trainingsfunctie. Zie "PROGRAMMEREN VAN GEAVANCEERDE FUNCTIES" op bladzijde 61 voor het "Specificeren van een winkelbediende voor de trainingsfunctie" indien u een persoon wilt trainen.
Training is uitsluitend mogelijk in de REG, MGR en functie.
Het overzicht voor de overeenkomende bediende wordt uitsluitend in de trainingsfunctie bijgewerkt.

flowchart
graph TD
A["In training zijnde\nwinkelbediende"] --> B["10"]
B --> C["1000"]
C --> D["3"]
D --> E["TL/NS"]
B --> F["CLK#"]
C --> G["5"]
C --> H["21"]
D --> I["⊗"]
D --> J["3"]
D --> K["19"]
AfdrukToetsbediening voorbeeld

text_image
22/10/2007 13:23 10 123456#1053 CLERK 10 **TRAINING** DEPT.05 *10.00 3x 24.00 DEPT.03 *72.00 ITEMS 4Q CASH *82.00LEZEN (X) EN TERUGSTELLEN (Z) VAN VERKOOPTOTALEN
- Gebruik de leesfunctie (X) indien u de verkoopinformatie wilt lezen die werd ingevoerd na de laatste keer terugstellen. U kunt zo vaak als u maar wilt het overzicht oproepen en lezen. Het lezen heeft geen effect op de in de kassa geregistreerde data.
- Gebruik de terugstelfunctie (Z) indien u het geheugen van de kassa wilt wissen. Door het terugstellen wordt alle verkoopinformatie afgedrukt en vervolgens het gehele geheugen gewist, uitgezonderd de data voor GT1 t/m GT3, Training GT, terugsteltelling en volgnummer.
1 Beschrijving van overzichten voor lezen (X) en terugstellen (Z)
X1 en Z1 overzichten: Dagelijkse verkoopoverzichten
X2 en Z2 overzichten: Periodieke (maandelijkse) samengestelde overzichten.
Voor het maken van een X of Z overzicht, draait u de functieschakelaar naar de juiste stand, zoals in de hieronder getoonde tabel bij "Stand functieschakelaar" is aangegeven en gebruikt u de aangegeven toetsen.
| Onderdeel | Stand functieschakelaar | Toets(en) | ||
| OPX/Z | X1/Z1 | X2/Z2 | ||
| Snel-overzicht:(Uitsluitend op display)Druk op de CLtoets of draai de functieschakelaar naar een andere stand om het display te wissen. | X | - | - | Afdelingscode : Toteadbrag afdeling Voor afdeling 1 t/m 16: Afdelingtoets ( & 1^17 & t/m & 16^32 \ Voor afdeling 17 t/m 32: DEPTSHIFT & & Afdelingtoets ( & 1^17 & t/m & 16^32 \ |
| ⊗ toets: Bedrag contant geld in lade | ||||
| TL/NS toets: Totaal verkopen | ||||
| Volledig verkoopoverzicht | - | X1, Z1 | X2, Z2 | Lezen: Teruglen: ● → TL/NS |
| PLU overzicht per bepaald bereik | - | X1, Z1 | - | Alle PLU'sLezen: Start PLU code → Eind PLU code → PLU/SUBTerugstellen: Alle PLU'sStart PLU code → Eind PLU code → PLU/SUB |
| Individuele bediende-overzicht | X, Z | - | - | Lezen: Terugstellen: ● → CLK#(Overzicht van huidige bediende) |
| Volledig bediende-overzicht | - | X1, Z1 | - | Lezen: Terugstellen: ● → CLK# |
| Uur-overzicht | - | X1, Z1 | - | Lezen: Terugsten: ● → #/TM/ST |
Opmerking
- Het afdrukken wordt overgeslagen indien zowel de verkoophoeveelheid als het verkoopbedrag nul is. U moet de instelling veranderen indien u in dit geval wel wilt afdrukken. (Zie "Printformaat" van "Diverse Functies Programmeren 1".)
- "X" is het symbool voor lezen en "Z" voor het terugstellen van overzichten.
- Voor het stoppen van het lezen en terugstellen van de PLU verkoopoverzichten, moet u de functieschakelaar naar de MGR stand draaien. De data worden niet gewist wanneer u terugstelt.
- De ladehouder opent niet wanneer u X/Z overzichten oproept.
De ladehouder kan worden geopend door een druk op de TL/NS toets om de ladehouder bijvoorbeeld te verwijderen wanneer u de winkel sluit.
- Bij het achtereenvolgend afdrukken, wordt het afdrukken mogelijk enkele seconden onderbroken. Het afdrukken start gewoon weer na de onderbreking.
2 Totaal dagelijkse verkopen
Zie "VOLLEDIG VERKOOPOVERZICHT (Z OVERZICHT)" op bladzijde 29 voor voorbeelden van volledige verkoopoverzichten en periodieke samengestelde overzichten.
■ PLU overzicht per bepaald bereik
• Voorbeeld van overzicht

■ Individuele bediende-overzicht
• Voorbeeld van overzicht

other
| Category | Value | |---|---| | *OPX* | | | * CLERK * | | | O1# | DAVID | | GUEST | 47 Q | | PAID TL | *1122.89 | | AVE. | *23.89 | | ⋅ | 8 Q | | ⋅ MODE | 1 Q | | MGR ⋅ | 2 Q | | SBTL ⋅ | 4 Q | | EXCH1 | 1 Q | | DOM. CUR1 | US $100.00 | | EXCH2 | 1 Q | | DOM. CUR2 | 100.00 | | ****CID | 78.42 | | *CH ID | 722.14 | | CA/CH ID | 50.15 | | ***(*) | 772.29 | Fundietitel* Overzichttitel Winkelbediende-code Winkelbediende-naam Klantenteller Totaal betaald Gemiddeld■ Uuroverzicht
• Voorbeeld van overzicht

other
| Time | Value | | :--- | :--- | | 10:00 | 12 Q | | 11:00 | 18 Q | | 12:00 | 25 Q | | 13:00 | 7 Q | | 17:00 | 18 Q | | 18:00 | 16 Q | | *119.98 | | | *186.89 | | | *199.91 | | | *92.26 | | | Functietitel* | | | Overzichttitel | | | Klantenteller | | | Totaal verkopen | |■ Volledig bediende-overzicht
Het overzicht wordt met hetzelfde formaat als het individuele bediende-overzicht afgedrukt, maar alle verkoopdata per bediende worden op volgorde van winkelbediende-codenummer (vanaf #1 t/m #10) afgedrukt.
*: Indien u een Z1 overzicht oproept, wordt "Z1" afgedrukt.
LEZEN EN TERUGSTELLEN VAN EJ OVERZICHT
De kassa heeft een elektronische overzichtsfunctie (EJ = Electronic Journal). Deze functie is ontworpen voor het vastleggen van overzichtsdata in een geheugen in plaats van op papier, en u kunt de data als een EJ overzicht afdrukken. De kassa legt de overzichtsdata in de REG, PGM, 📄/Z1 en X2/Z2 functies vast. Als fabrieksinstelling kunnen maximaal 3000 regels in het geheugen worden vastgelegd. Zie "Overige Programmeringen (taak-code 68 op bladzijde 58 en taak-code 70 op bladzijde 60)" voor details.
■ Afdrukken van overzichtsdata tijdens een transactie
U kunt de overzichtdata van een huidige transactie die in het EJ geheugen zijn vastgelegd afdrukken door tijdens de transactie op de [RCPTPO] toets te drukken.

Deze functie werkt uitsluitend wanneer kassabon voor de stijl voor het afdrukken is geprogrammeerd en de kassabon ON/OFF functie op OFF is gesteld. Zie "Extra informatie voor INVOEREN VAN EENVOUDIGE VERKOPEN" voor het veranderen van de instelling.
• Voorbeeld van afdruk

text_image
* EJ * —— EJ overzicht titel 22/10/2007 13:32 01 123456#1057 DAVID DEPT.07 *10.00 DEPT.08 *25.00 * EJ END * —— EJ overzicht eindtitel■ Lezen en terugstellen van de elektronische overzichtsdata (Afdrukken van EJ overzicht)
U kunt de overzichtsdata die in het EJ geheugen zijn vastgelegd lezen door de volgende handelingen uit te voeren tijdens de X1/Z1 of OP X/Z functie.
Lezen van alle data:

Terugstellen van de data:

flowchart
graph LR
A["7"] --> B["00"]
B --> C["•"]
C --> D["⊗"]
D --> E["TL/NS"]
Lezen van de laatste 10 posten:

Opmerking
- U kunt tevens een EJ Z overzicht afdrukken zonder de overzichtsdata er op af te drukken indien u het heeft geprogrammeerd. Zie "Overige Programmering" (Taak-code 70) op bladzijde 60 voor details aangaande het programmeren.
- Voor het stoppen van het lezen of terugstellen van data, moet u de functieschakelaar naar de "MGR" stand draaien. De data worden door het terugstellen niet gewist.
- Er kunnen maximaal 3000 regels met data in het EJ geheugen worden vastgelegd. Wanneer u kiest voor het lezen van alle data, worden alle in het EJ geheugen vastgelegde data afgedrukt.
- Bij het achtereenvolgend afdrukken, wordt het afdrukken mogelijk enkele seconden onderbroken. Het afdrukken start gewoon weer na de onderbreking.
• Voorbeeld van EJ overzicht

text_image
*OPX* * EJ * 22/10/2007 13:37 01 123456#1060 DAVID DEPT.01 *1.00 ITEMS 1Q CASH *1.00 22/10/2007 13:37 01 123456#1061 DAVID DEPT.02 *2.30 22/10/2007 13:38 01 123456#1068 DAVID *X1* * DEPT * *TRANS.* 22/10/2007 13:38 01 123456#1069 DAVID DEPT.10 *12.56 DEPT.15 *12.69 ITEMS 2Q CASH *25.25 22/10/2007 13:39 01 123456#1070 DAVID 3x 1.50 DEPT.04 *4.50 DEPT.13 *4.50 ITEMS 4Q CASH *9.00 * EJ END * } Afdruk van kopinformatieOVERSCHRIJVEN VAN INVOER
Geprogrammeerde limieten voor bepaalde functies (bijvoorbeeld voor het maximale bedrag) kunnen worden overschreven in de MGR functie.
Procedure
- Draai de functieschakelaar naar de MGR stand.
- Overschrijf de invoer.
Voorbeeld
In dit voorbeeld werd de kassa geprogrammeerd zodat kortingen boven 1.00 niet zijn toegestaan.

text_image
OPX/Z REG MGR X1/Z1 X2/Z2 PGMAfdrukToetsbediening voorbeeld
Invoer met de 1500
REG functie 250

- ...Fout

Draai de functieschakelaar naar de MGR stand.
250
Draai de functieschakelaar weer naar de REG stand.
TL/NS
CORRECTIE NA HET VOLTOOEN VAN EEN TRANSACTIE (Annuleerfunctie)
Indien u fouten die niet door de bediende kunnen worden gecorrigeerd (bijvoorbeeld fouten na het voltooien van een transactie of fouten die niet direct en indirect kunnen worden geannuleerd) wilt corrigeren, moet u de volgende handelingen uitvoeren:
- Draai de functieschakelaar met de manager-sleutel (MA) naar de stand om de annuleerfunctie te activeren.
- Herhaal de foute invoer die op de foute bon is afgedrukt. (Alle data van de foute bon worden uit het geheugen van de kassa gewist; de geannuleerde bedragen worden opgeteld bij het totaal van de geannuleerde transacties).

text_image
OPX/Z REG MGR X1/Z1 X2/Z2 PGMFoute bon
| DEPT.04 | *10.00 |
| DEPT.03 | *1.50 |
| ITEMS | 2Q |
| CASH | *11.50 |

Afdruk van geannuleerde bon
| *∅ MODE | |
| DEPT.04 | *10.00 |
| DEPT.03 | *1.50 |
| ITEMS | 2Q |
| CASH | *11.50 |
FUNCTIE VOOR EURO-MODIFICATIE

- De uitleg in dit gedeelte voor de programmering voor de EURO is uitsluitend bedoeld voor landen die nog geen lid van de Europese Unie zijn en mogelijk in de toekomst lid worden. U kunt dit gedeelte overslaan indien in uw land de EURO reeds is ingevoerd, zoals bijvoorbeeld in Nederland en België.
U kunt de kassa voor een juist gebruik in iedere periode van de introductie van de EURO instellen. Iedere valuta wordt met uw kassa als in de onderstaande tabel aangegeven behandeld, afhankelijk van de periode of fase waarin u bent.
De kassa kan in principe automatisch worden gemodificeerd in overeenstemming met de introductie van de EURO door de hieronder getoonde automatische EURO-modificatie handelingen uit te voeren in de X2/Z2 functie. Afhankelijk van uw wensen moeten er echter bepaalde instellingen worden gemaakt. Maak in dat geval de vereiste instellingen op de beschreven manier.
Hoe worden de diverse valuta's met uw kassa behandeld?
| Fase 1 | Fase 2 | Fase 3 | ||
| Na de introductie van de EURO en voordat EURO papiergeld en munten in circulatie zijn. | Na de circulatie van EURO papiergeld en munten en voordat de nationale valuta uit de circulatie is. (Periode waarin zowel EURO als de nationale valuta kan worden gebruikt.) | Nadat de nationale valuta uit de circulatie is. | ||
| Valuta | EURO | Koers-toets (Invoer vooraf-ingestelde koers) | Nationale valuta | Nationale valuta |
| Nationale valuta | Nationale valuta | Koers-toets (Invoer vooraf-ingestelde koers) | ||
| Buitenlandse valuta | Koers-toets (Handmatig ingestelde koers) | Koers-toets (Handmatig ingestelde koers) | Koers-toets | |
Automatische EURO-modificatie
Controleer eerst dat de functieschakelaar in de X2/Z2 functie is gesteld en voer dan de volgende handelingen uit. Vergeet niet dat u de handelingen slechts éénmaal kunt uitvoeren voor de opeenvolgende fases, met de substitutie van "A=1", "A=2" en "A=3". Indien u bijvoorbeeld bent begonnen met "A=2" kunt u later niet de handelingen met "A=1" uitvoeren.

flowchart
graph LR
A["8"] --> B["00"]
B --> C["•"]
C --> D["⊗"]
D --> E["*A"]
E --> F["TL/NS"]
*A=1: Voor fase 1
*A=2: Voor fase 2
*A=3: Voor fase 3
Hieronder vindt u de details voor de modificatie met de kassa:
| A=1 | A=2 | A=3 | |
| Onderdelen (EURO fase 1) (EURO fase 2) (EURO fase 3) | |||
| Algemeen Z1 overzicht Afdrukken Afdrukken Afdrukken | |||
| Algemeen Z2 overzicht Afdrukken Afdrukken Afdrukken | |||
| GT geheugen (GT1, GT2, GT23 en Training GT) - Wissen Wissen*1 | |||
| Conversie van vooraf-ingestelde prijzen van - Ja Ja*1 afdeling/PLU | |||
| Conversie van limiet invoeren cijfers/bedrag - Ja Ja*1 | |||
| Omgewisseld bedrag voor totaal en wissgelde Ja Ja Nee | |||
| Berekeningsmethode voor omwisselen | Deling | Vermenigvuldiging | Vermenigvuldiging |
| Symbool nationale valuta | - [EURO] | [EURO] | |
| Positie decimale punt nationale valuta | - 2 | 2 | |
| Symbool buitenlandse valuta | [EURO] | Symbool van voorgaande nationale valuta | -*2 |
| Positie decimale punt buitenlandse valuta | 2 | Positie decimale punt voorgaande nationale valuta | - |
| Afrondsysteem (Denemarken/Zweden/Normaal) | - Normaal | Normaal*1 | |
| Omhoog/omlaag afronden van aantal cijfers van bedrag | - Nee | Nee*1 | |
| Limiet laagste cijfer voor artikel | - Absoluut | Absoluut*1 | |
| Limiet laagste cijfer voor betaling | - Absoluut | Absoluut*1 | |
| Verschil in geheugen voor afronden en na afronden | - Nee | Nee*1 | |
| Afronden van buitenlandse valuta | Afronden(4 omlaag/5 omhoog) | Afronden | Afronden |
- De met “-” gemarkeerde onderdelen blijven hetzelfde als de voorgaande instellingen.
*1: Indien u in EURO fase 2 bent, blijven de voorgaande instellingen onveranderd.
*2: Een "spatie" wordt ingesteld indien u in EURO fase 1 of 2 bent.
BELANGRIJK
- Conversie van vooraf-ingestelde unit-prijzen van afdelingen en PLU's
De koers die als vooraf-ingestelde waarde voor de EX toets is ingesteld, wordt voor de conversie gebruikt en de methode wordt op "deling" gesteld. Na de conversie wordt "PRICE CONVERTED" op het #800 overzicht gedrukt. - Na het uitvoeren van de procedure met "A=1", dient u de EURO als buitenlandse valuta met gebruik van de koers-toets (EX) en de vooraf-ingestelde waarde te behandelen. Stel de EURO conversiewaarde in als de koers voor de koers-toets.
- Na het uitvoeren van de procedure met "A-2", dient u de EURO als nationale valuta te behandelen en de "vroegere" nationale valuta als buitenlandse valuta. Gebruik de koers-toets (EX) met de vooraf-ingestelde waarde. Stel de EURO conversiewaarde in als de koers voor de koers-toets.
- De automatische conversie wordt niet gemaakt voor het percentage dat voor %1, %2 en ⊙ is ingesteld. U moet wanneer de EURO algemeen in omloop is deze instellingen derhalve veranderen zodat ze op de EURO zijn gebaseerd.
Opmerking
U kunt deze instellingen handmatig maken. Zie "Programmeren voor de EURO" voor details.
Controleren van de huidige EURO fase
U kunt controleren welke EURO fase op het moment voor de kassa is ingesteld. Draai de manager-sleutel (MA) naar de X2/Z2 stand en voer de volgende handelingen uit. De huidige EURO fase wordt op de bon/overzicht afgedrukt.


text_image
*X2* #800 2—EURO fase■ Programmeren van optionele onderdelen voor de introductie van de EURO
Bepaalde onderdelen, verwant aan de functie van de koers-toets (EX), kunnen niet automatisch met de in het voorgaande gedeelte beschreven handelingen voor EURO-modificatie worden uitgevoerd. U moet afhankelijk van uw behoeften en wensen de volgende onderdelen na iedere fase zelf programmeren.
Programmeren voor de koers-toets (EX)
Koers
Stel de EURO conversiekoers voor fase 1 en 2 in.
Zie "Waarde voor %1, %2 en EX" op bladzijde 45 voor details aangaande het programmeren.
Keuze invoer koers
Indien u de EURO voor de koers-toets gebruikt, moet u de waarde voor de koers instellen. Stel de koers voor fase 1 en fase 2 in. Zie "Functieparameters voor EX" op bladzijde 47 voor details aangaande het programmeren.
Cheque/krediet
Voor fase 1 en 2 moet u betaling met cheque/krediet instellen indien in een buitenlandse valuta wordt betaald zodat u voor zowel de EURO als de nationale valuta cheques en betaling op krediet kunt accepteren. Zie "Instellingen voor EURO systeem" op bladzijde 63.
Instellen van de datum en tijd voor het moment dat de automatische modificatie naar de EURO moet worden uitgevoerd
Kiezen van verplicht/niet-verplicht uitvoeren van de automatische modificatie naar de EURO
U kunt de geplande datum en tijd voor het starten van de automatische modificatie naar de EURO instellen. Vanaf tien dagen voor de start van de EURO wordt het resterend aantal dagen onder op het dagelijkse (Z1) overzicht afgedrukt zoals u hieronder ziet.

text_image
EURO START 01/07/2009 10:00 DAYS TO EURO <10> Ingestelde datum en tijd Resterend aantal dagenHet "E symbol wordt getoond zodra de hierboven beschreven ingestelde datum en dag is bereikt en tevens wanneer u een invoer start in de REG/MGR functie. U kunt geen bediening in de REG/MGR functie uitvoeren totdat de automatische modificatie voor de EURO (taak-code #800) in de X2/Z2 functie is uitgevoerd. U kunt echter programmeren dat u wel data kunt invoeren in de REG/MGR functie wanneer dit foutsymbool wordt getoond.
De ingestelde datum en tijd worden teruggesteld na het uitvoeren van de automatische modificatie en u kunt de datum en tijd voor de volgende automatische modificatie weer programmeren.
ONDERHOUD VOOR BEDIENING
1 Bij een stroomonderbreking
Het geheugen en alle informatie van de ingevoerde verkopen van de kassa blijven behouden wanneer de stroom wordt onderbroken.
- Indien de stroom wordt onderbroken tijdens het invoeren of tijdens standby, zal de kassa weer normaal werken nadat er weer stroom wordt toegevoerd.
- Indien de stroom wordt onderbroken tijdens het afdrukken, wordt "====================" met de kassa afgedrukt en werkt het afdrukken weer normaal nadat er weer stroom wordt toegevoerd. (Zie het voorbeeld hier rechts.)

text_image
F10 VAT 2 F11 VAT 3 F12 VAT 4 = = = = = = = = = = = F12 VAT 4 F13 NET1 F14 NET22 Bij een printerfout
Indien het papier in de printer op is, zal de printer stoppen en "ppppppppp" op het display worden getoond. U kunt nu geen gegevens invoeren met de toetsen. Plaats een nieuwe papierrol aan de hand van de aanwijzingen bij gedeelte 5 in dit hoofdstuk en druk vervolgens op de CL toets. De printer drukt het stroomonderbrekingssymbool af en het afdrukken wordt vervolgens voortgezet.
Indien de afdrukrollerarm omhoog is gezet, stopt de printer en wordt "H" op het display getoond. U kunt nu geen gegevens invoeren met de toetsen. Druk de arm terug naar de juiste stand en druk vervolgens op de CL toets. De printer drukt het stroomonderbrekingssymbool af en het afdrukken wordt vervolgens voortgezet.
3 Voorzorgen voor het behandelen van de printer en het papier
■ Voorzorgen voor de printer
- Vermijd stoffige en vochtige plaatsen, het directe zonlicht en metaalstof (deze kassa gebruikt namelijk een permanente magneet en elektromagneet).
- Trek nooit aan het papier wanneer de afdrukrollerarm nog op het papier is. Breng de arm eerst omhoog en verwijder dan het papier.
- Raak het oppervlak van de afdrukkop en afdrukroller niet aan.
■ Voorzorgen voor het papier (thermische papier)
- Gebruik uitsluitend het door SHARP gespecificeerde papier.
- Verwijder de verpakking van het thermische papier pas direct voordat u het papier gaat gebruiken.
- Vermijd hitte. Het papier verkleurt bij ongeveer 70°C.
- Vermijd opslag in stoffige en vochtige ruimtes. Vermijd het directe zonlicht.
- De afgedrukte tekst op het papier kan verkleuren door hoge vochtigheid en hoge temperaturen, blootstelling aan het directe zonlicht, contact met lijm, thinner of contact met een net gekopieerde blauwdruk en hitte door frictie van krassen, etc.
- Wees voorzichtig met het thermische papier. Kopieer de afgedrukte tekst met een kopieerapparaat indien u de data lang wilt bewaren.
4 Vervangen van de batterijen
De kassa toont een "batterijen bijna leeg" symbool (L) waarschuwing wanneer de batterijen uitgeput raken. Het "geen batterijen" symbool (L) verschijnt wanneer de batterijen vrijwel leeg zijn of er geen batterijen zijn geplaatst.
Vervang de batterijen zo snel als mogelijk door nieuwe wanneer het "batterijen bijna leeg" symbool wordt getoond. De batterijen zullen namelijk binnen ongeveer twee dagen geheel uitgeput raken.
Vervang de batterijen direct wanneer het "geen batterijen" symbool wordt getoond. Alle geprogrammeerde instellingen worden namelijk naar de fabrieksinstellingen teruggesteld en de in het geheugen vastgelegde data worden gewist indien in dit geval de stroom wordt onderbroken of de stekker van het netsnoer uit het stopcontact wordt getrokken.
Let op
Draai de functieschakelaar niet naar een andere stand terwijl het "geen batterij" symbool wordt getoond. Volg de hieronder beschreven handelingen voor het vervangen van de batterij zonder de functieschakelaar naar een andere stand te draaien. Indien u de functieschakelaar namelijk naar een andere stand of draait, worden alle door u geprogrammeerde instellingen naar de fabrieksinstellingen teruggesteld en tevens de in het geheugen opgeslagen data gewist.
Opmerking
Let op de op bladzijde 1 beschreven voorzorgen voor de batterijen.
Vervangen van de batterijen:

- Controleer dat de stekker van het netsnoer van de kassa in een stopcontact is gestoken.
- Verwijder de printerafdekking.
- Open de afdekking van het batterijvak naast de ruimte voor de papierrol en verwijder de oude batterijen.
- Plaats drie nieuwe LR6 batterijen ("AA" formaat) in het batterijvak. Let op dat de positieve en negatieve polen van de batterijen in de juiste richting wijzen. Het "L" of "L" symbool verdwijnt indien u de batterijen juist heeft geplaatst.
- Sluit de afdekking van het batterijvak.
- Plaats de printerafdekking weer terug.
5 Vervangen van de papierrol
Gebruik uitsluitend de door SHARP gespecificeerde papierrollen.
Door het gebruik van andere dan de gespecificeerde papierrollen kan het papier vastlopen met een onjuiste werking van de kassa tot gevolg.
Specificaties papierrol
Papierbreedte: 57,5 ± 0,5 mm
Max. buitenste diameter: 80 mm
Kwaliteit: Thermisch papier
- Plaats de papierrol beslist voordat u de kassa in gebruik neemt. De kassa functioneert anders niet juist.
Plaats de papierrol in de printer. Plaats de rol juist.
(Plaatsen van de papierrol)

text_image
Naar de printer Juist Fout Naar de printer■ Verwijderen van de papierrol
U moet de papierrol vervangen wanneer een rode streep op de afdruk zichtbaar is. Vervang de papierrol door een nieuwe. Verwijder de papierrol indien u de kassa voor langere tijd niet gaat gebruiken. Bewaar de papierrol op een geschikte plaats.
Let op: De papiersnijder is op de afdekking van de printer gemonteerd. Voorkom snijwonden en wees dus voorzichtig.
Indien u de oprolspoel niet gebruikt (rol wordt voor bon gebruikt):

text_image
Afdrukrollerarm Afdrukroller- ontgrendelhendel- Verwijder de printerafdekking.
- Breng de afdrukroller-ontgrendelhendel omhoog en open de afdrukrollerarm.
- Verwijder de papierrol uit de papierrolruimte.
Opmerking
Trek het papier niet door de printer.
Indien u de oprolspoel wel gebruikt (rol wordt voor overzichten gebruikt):

text_image
Af te scheuren gedeelte- Draai de functieschakelaar naar een andere stand dan " ⏻ " met de stekker van het netsnoer nog in een stopcontact gestoken.
- Verwijder de printerafdekking.
- Druk op de ↑ toets om het overzichtpapier verder te spoelen totdat het afgedrukte gedeelte uit de weg is.
- Scheur het papier af en verwijder de oprolspoel.
- Breng de afdrukroller-ontgrendelhendel omhoog en open de afdrukrollerarm.
- Verwijder de papierrol uit de papierrolruimte.
Opmerking
Trek het papier niet door de printer.

- Verwijder het buitenste spoeltje van de oprolspoel zoals u hier links ziet.
- Verwijder de rol met afgedrukte overzichten van de oprolspoel.
■ Plaatsen van de papierrol
Zie "Plaatsen van een papierrol" op bladzijde 10 voor details aangaande het plaatsen van papierrollen. Let op: De papiersnijder is op de printerafdekking gemonteerd. Voorkom snijwonden en wees dus voorzichtig.
6 Verwijderen van vastgelopen papier
Let op: De papiersnijder is op de printerafdekking gemonteerd. Voorkom snijwonden en wees dus voorzichtig. Raak de afdrukkop nooit direct na het afdrukken aan. De kop is namelijk nog heet.
- Verwijder de printerafdekking.
- Breng de afdrukroller-ontgrendelarm omhoog en open de afdrukrollerarm.
- Verwijder het vastgelopen papier. Controleer of er nog stukjes papier in de printer zitten en verwijder deze.
- Plaats de papierrol weer juist terug aan de hand van de stappen in "Plaatsen van een papierrol" op bladzijde 10.
7 Reinigen van de printer (afdrukkop / sensor / roller)
Indien de afgedrukte tekst donker of vaag is, is er mogelijk stof op de afdrukkop, sensor en/of roller. U moet deze onderdelen dan als volgt reinigen:
Let op:
- Raak de afdrukkop nooit met gereedschap of een hard voorwerp aan. U zou anders de afdrukkop beschadigen.
- De papiersnijder is op de printerafdekking gemonteerd. Voorkom snijwonden en wees dus voorzichtig.

text_image
Afdrukkop Roller Sensor- Draai de functieschakelaar naar de " ⏻" stand.
- Verwijder de printerafdekking.
- Breng de afdrukroller-ontgrendelhendel omhoog en open de afdrukrollerarm.
- Haal de papierrol uit de ruimte zoals beschreven bij "Verwijderen van de papierrol".
- Reinig de afdrukkop met een wattestokje of zacht doekje dat met ethyl alcohol of isopropyl alcohol is bevochtigd. Reinig de roller en de sensor op dezelfde manier.
- Plaats de papierrol weer juist terug aan de hand van het "Plaatsen van een papierrol" op bladzijde 10 gedeelte.
8 Verwijderen van de ladehouder

text_image
Muntenvakje ① ②De ladehouder in de kassa kunt u verwijderen. Na het sluiten van de winkel kunt u de ladehouder verwijderen. Voor het verwijderen van de ladehouder moet u deze geheel naar u toe trekken. Verwijder de ladehouder vervolgens door deze omhoog te brengen. De 6-muntenvakjes kunnen tevens uit de lade worden verwijderd.
9 Handmatig openen van de ladehouder

text_image
HendelDe ladehouder opent normaliter automatisch. In geval van een stroomonderbreking of wanneer de kassa defect is, moet u de ladehouder mogelijk openen door de hendel aan de onderkant van de kassa in de richting van de pijl te drukken. (Zie de afbeelding hier links.) De ladehouder kan niet worden geopend indien deze met de sleutel is vergrendeld.
TECHNISCHE GEGEVENS
Model: XE-A113
Afmetingen: 350 (B) x 430 (H) x 282 (D) mm
Gewicht: 8 kg
Stroombron: Officiële (nominale) voltage en frequentie
Stroomverbruik: Standby: 10,2 Watt (met officieel voltage van 220 t/m 230 V)
Standby: 11,0 Watt (met officieel voltage van 230 t/m 240 V)
In bedrijf: 33,0 Watt (met officieel voltage van 220 t/m 230 V)
In bedrijf: 34,0 Watt (met officieel voltage van 230 t/m 240 V)
Bedrijfstemperatuur: 0°C t/m 40°C
Elektronica: LSI (CPU) etc.
Display:
Bediendedisplay: 7-segmenten display (10 posities)
Klantdisplay: 7-segmenten display (7 posities)
Printer:
Type: 1-station thermisch
Afdruksnelheid: Ongeveer 12 regels/seconde
Afdrukcapaciteit: 24 cijfers voor kassabon/overzicht
Overige functies: • Functie voor logo-mededeling
- Functie voor bon aan/uit (ON/OFF)
• Gecomprimeerd afdrukken overzichten
Papierrol: Breedte: 57,5 ± 0,5 mm
Max. diameter: 80 mm
Kwaliteit: Hoge-kwaliteit (0,06 t/m 0,08 mm dikte)
Kassalade: 3 vakken voor papiergeld en 6 vakjes voor munten
Accessoires: Managersleutel 2
Bediendesleutel 2
Sleutel voor lade 2
Papierrol 1
Oprolspoel 1
Gebruiksaanwijzing 1 kopie
Voorzorgen voor terugstellen 1 kopie
Voorzorgen voor batterijen 1 kopie
Blad voor gids voor snel starten 1 kopie
* Technische gegevens en ontwerp zijn ter productverbetering zonder voorafgaande kennisgeving wijzigbaar.
Gebruik deze labels voor de afdelingtoetsen. Schrijf de namen van de afdelingen op de labels, verwijder de doorzichtige stroken van de toetsen en plak op de afdelingtoetsen. (Maak een kopie van deze bladzijde.)
Voorbeeld:


text_image
18 2 D 22 26 30 20 24 28 32 6 I 10 N 14 S 4 B 8 G 12 L 16 Q 17 21 25 29 19 23 27 31 1 E 5 J 9 O 13 T 3 C 7 H 11 M 15 R
Let op: Uw product is van dit merkteken voorzien. Dit betekent dat afgedankte elektrische en elektronische apparatuur niet samen met het normale huisafval mogen worden weggegooid. Er bestaat een afzonderlijk inzamelingssysteem voor deze producten.
A. Informatie over afvalverwijdering voor gebruikers (particuliere huishoudens)
1. In de Europese Unie
Let op: Deze apparatuur niet samen met het normale huisafval weggooien!
Afgedankte elektrische en elektronische apparatuur moet gescheiden worden ingezameld conform de wetgeving inzake de verantwoorde verwerking, terugwinning en recycling van afgedankte elektrische en elektronische apparatuur.
Na de invoering van de wet door de lidstaten mogen particuliere huishoudens in de lidstaten van de Europese Unie hun afgedankte elektrische en elektronische apparatuur kosteloos* naar hiertoe aangewezen inzamelingsinrichtingen brengen ^ . In sommige landen* kunt u bij de aanschaf van een nieuw apparaat het oude product kosteloos bij uw lokale distributeur inleveren. ^ Neem contact op met de plaatselijke autoriteiten voor verdere informatie.
Als uw elektrische of elektronische apparatuur batterijen of accumulatoren bevat dan moet u deze afzonderlijk conform de plaatselijke voorschriften weggooien.
Door dit product op een verantwoorde manier weg te gooien, zorgt u ervoor dat het afval de juiste verwerking, terugwinning en recycling ondergaat en potentiële negatieve effecten op het milieu en de menselijke gezondheid worden voorkomen die anders zouden ontstaan door het verkeerd verwerken van het afval.
2. In andere landen buiten de Europese Unie
Als u dit product wilt weggooien, neem dan contact op met de plaatselijke autoriteiten voor informatie omtrent de juiste verwijderingsprocedure.
Voor Zwitserland: U kunt afgedankte elektrische en elektronische apparatuur kosteloos bij de distributeur inleveren, zelfs als u geen nieuw product koopt. Aanvullende inzamelingsinrichtingen zijn vermeld op de startpagina van www.swico.ch or www.sens.ch.
B. Informatie over afvalverwijdering voor bedrijven.
1. In de Europese Unie
Als u het product voor zakelijke doeleinden heeft gebruikt en als u dit wilt weggooien:
Neem contact op met uw SHARP distributeur die u inlichtingen verschaft over de terugname van het product. Het kan zijn dat u een afvalverwijderingsbijdrage voor de terugname en recycling moet betalen. Kleine producten (en kleine hoeveelheden) kunnen door de lokale inzamelingsinrichtingen worden verwerkt.
Voor Spanje: Neem contact op met de inzamelingsinrichting of de lokale autoriteiten voor de terugname van uw afgedankte producten.
2. In andere landen buiten de Europese Unie
Als u dit product wilt weggooien, neem dan contact op met de plaatselijke autoriteiten voor informatie omtrent de juiste verwijderingsprocedure.
FOR CUSTOMERS IN U.K.
IMPORTANT
Bescherming van het milieu
Deze kassa gebruikt een batterij. Bescherm het milieu en gooi een gebruikte batterij op de juiste manier weg. Let op de volgende punten:
- Breng een lege batterij naar de lokale verzamelplaats voor klein chemisch afval, terug naar de winkel of gooi in een batterijbak.
- Gooi een gebruikte batterij niet in een vuur of water en gooi niet met het gewone huisafval weg.
SimpelGids