C552 - CD-Player NAD - Kostenlose Bedienungsanleitung
Finden Sie kostenlos die Bedienungsanleitung des Geräts C552 NAD als PDF.
Benutzerfragen zu C552 NAD
0 Frage zu diesem Gerät. Beantworten Sie die, die Sie kennen, oder stellen Sie Ihre eigene.
Eine neue Frage zu diesem Gerät stellen
Laden Sie die Anleitung für Ihr CD-Player kostenlos im PDF-Format! Finden Sie Ihr Handbuch C552 - NAD und nehmen Sie Ihr elektronisches Gerät wieder in die Hand. Auf dieser Seite sind alle Dokumente veröffentlicht, die für die Verwendung Ihres Geräts notwendig sind. C552 von der Marke NAD.
BEDIENUNGSANLEITUNG C552 NAD
Der Plattenspieler NAD - Bedienungsanleitung
Dieser Plattenspieler wurde für eine besonders hochwertige Musikreproduktion entwickelt. Zu seinem Design gehören verschiedene Merkmale zur Verbesserung der Tonqualität. Außerdem wurde auf die Herstellungskosten geachtet, wo diese stark ins Gewicht fallen.
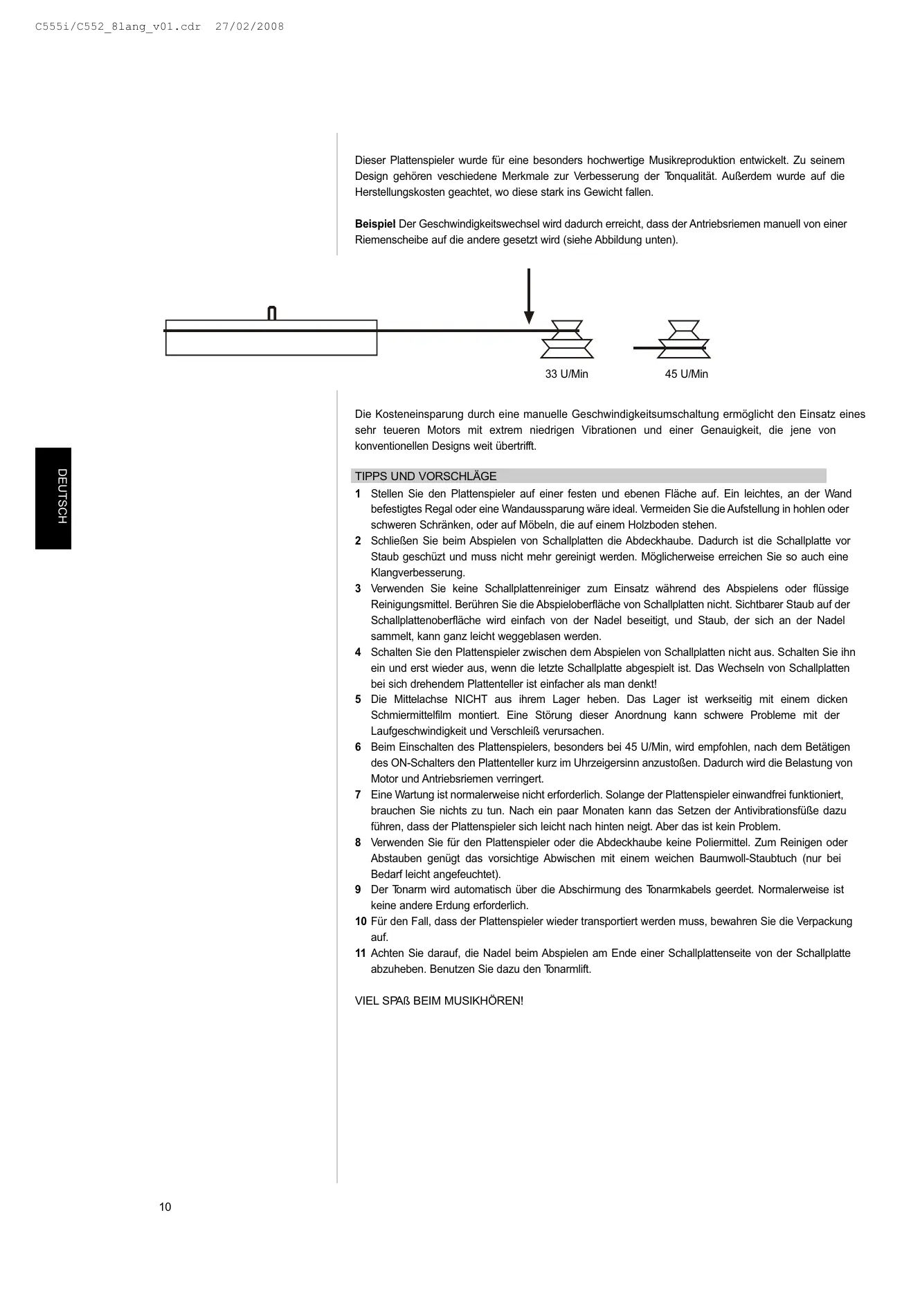
Beispiel Der Geschwindigkeitswechsel wird dadurch erreicht, dass der Antriebsriemen manuell von einer Riemenscheibe auf die andere gesetzt wird (siehe Abbildung unten).

text_image
33 U/Min 45 U/MinDie Kosteneinsparung durch eine manuelle Geschwindigkeitsumschaltung ermöglicht den Einsatz eines sehr teueren Motors mit extrem niedrigen Vibrationen und einer Genauigkeit, die jene von konventionellen Designs weit übertrifft.
TIPPS UND VORSCHLÄGE
1 Stellen Sie den Plattenspieler auf einer festen und ebenen Fläche auf. Ein leichtes, an der Wand befestigtes Regal oder eine Wandaussparung wäre ideal. Vermeiden Sie die Aufstellung in hohlen oder schweren Schränken, oder auf Möbeln, die auf einem Holzboden stehen.
2 Schließen Sie beim Abspielen von Schallplatten die Abdeckhaube. Dadurch ist die Schallplatte vor Staub geschüzt und muss nicht mehr gereinigt werden. Möglicherweise erreichen Sie so auch eine Klangverbesserung.
3 Verwenden Sie keine Schallplattenreiniger zum Einsatz während des Abspielens oder flüssige Reinigungsmittel. Berühren Sie die Abspieloberfläche von Schallplatten nicht. Sichtbarer Staub auf der Schallplattenoberfläche wird einfach von der Nadel beseitigt, und Staub, der sich an der Nadel sammelt, kann ganz leicht weggeblasen werden.
4 Schalten Sie den Plattenspieler zwischen dem Abspielen von Schallplatten nicht aus. Schalten Sie ihn ein und erst wieder aus, wenn die letzte Schallplatte abgespielt ist. Das Wechseln von Schallplatten bei sich drehendem Plattenteller ist einfacher als man denkt!
5 Die Mittelachse NICHT aus ihrem Lager heben. Das Lager ist werkseitig mit einem dicken Schmiermittelfilm montiert. Eine Störung dieser Anordnung kann schwere Probleme mit der Laufgeschwindigkeit und Verschleiß verursachen.
6 Beim Einschalten des Plattenspielers, besonders bei 45 U/Min, wird empfohlen, nach dem Betätigen des ON-Schalters den Plattenteller kurz im Uhrzeigersinn anzustoßen. Dadurch wird die Belastung von Motor und Antriebsriemen verringert.
7 Eine Wartung ist normalerweise nicht erforderlich. Solange der Plattenspieler einwandfrei funktioniert, brauchen Sie nichts zu tun. Nach ein paar Monaten kann das Setzen der Antivibrationsfüße dazu führen, dass der Plattenspieler sich leicht nach hinten neigt. Aber das ist kein Problem.
8 Verwenden Sie für den Plattenspieler oder die Abdeckhaube keine Poliermittel. Zum Reinigen oder Abstauben genügt das vorsichtige Abwischen mit einem weichen Baumwoll-Staubtuch (nur bei Bedarf leicht angefeuchtet).
9 Der Tonarm wird automatisch über die Abschirmung des Tonarmkabels geerdet. Normalerweise ist keine andere Erdung erforderlich.
10 Für den Fall, dass der Plattenspieler wieder transportiert werden muss, bewahren Sie die Verpackung auf.
11 Achten Sie darauf, die Nadel beim Abspielen am Ende einer Schallplattenseite von der Schallplatte abzuheben. Benutzen Sie dazu den Tonarmlift.
VIEL SPAß BEIM MUSIKHÖREN!
TONABNEHMERSYSTEM
Der Plattenspieler NAD C 555i/C 552 ist werkseitig mit einem magnetischen Tonabnehmersystem (MM) ausgestattet. Beachten Sie bitte bei der Inbetriebnahme, dass die optimale Auflagekraft für das System 1,7 g beträgt. Der Anti-Skating-Einsteller sollte deshalb auf denselben Wert eingestellt Werden.
Ersatznadeln sind bei Ihrem NAD-Händler erhältlich.
TONARMKABEL
Blau = Linker Kanal, Erde
Grün = Rechter Kanal, Erde
Rot = Rechter Kanal, Signal
Mit dem unter Zuhilfenahme des mitgelieferten Ausrichtungswinkelmessers und anhand der Verdrahtungstabelle (siehe links) eingebauten System, stellen Sie als Nächstes die Auflagekraft und Das Anti-Skating ein. Ziehen Sie zuerst die Plastikkappe vom System ab ... vorsichtig.
Entriegeln Sie den Tonarm vom Halter und stellen Sie sicher, dass der Anti-Skating-Einsteller auf 0 steht. Verwenden Sie das Gegengewicht, um die Nadel ca. 1 mm über der Schallplatte „schweben“ zu lassen und drehen Sie das Gewicht dann nach innen (1 ganze Umdrehung entspricht 2 g), bis die Auflagekraft für das System erreicht ist. Stellen Sie den Anti-Skating-Einsteller abschließend auf denselben Wert ein.
C 555i TONABNEHMERSYSTEMDATEN: GOLDRING ELECTRA
| ÜBERTRAGUNGSEIGENSCHAFTEN | |
| Frequenzbereich | 20 Hz - 20 kHz ± 3 dB |
| Kanalbalance | 2 dB bei 1 kHz |
| Kanaltrennung | 20 dB bei 1 kHz |
| Ausgangspegel | 5 mV ± 2 dB bei 1 kHz mit 5 cm/s |
| Nadelnachgiebigkeit | 16 mm/N |
| Nadel-Vergleichsmasse | 0,7 mg |
| Vertikaler Spurwinkel | 26° |
| Nadelradius | eliptisch 0,00072 in x 0,0003 in (18 x 7 ) |
| Nadeltyp | auswechselbar |
| ELEKTRISCHE EIGENSCHAFTEN | |
| Abschlussimpedanz | 47 k |
| Lastkapazität | 150 - 400 pF |
| Spuleninduktivität | 560 mH |
| Innenwiderstand | 700 Ohm |
| MECHANISCHE EIGENSCHAFTEN | |
| Systemgewicht | 4,2 g |
| Headshell-Montage | 0,5" (12,7mm) |
| Auflagekraft | 1,5 - 2,0 g (1,7 g nominal) |
C 552 TONABNEHMERSYSTEMDATEN: ORTOFON OM5E
| ÜBERTRAGUNGSEIGENSCHAFTEN | |
| Frequenzbereich | 20-20.000 Hz ± 2 dB |
| Kanalbalance | 2 dB bei 1 kHz |
| Kanaltrennung | 22dB at 1 kHz 15dB at 15kHz |
| Ausgangspegel | 5 mV ± 2 dB bei 1 kHz mit 5 cm/s |
| Tracking force range | 1,5-2,0 g (15-20 mN) |
| Tracking force, recommended | 1,75 g (17,5 mN) |
| Vertikaler Spurwinkel | 20° |
| Stylus radius | r/R 8/18 m |
| Stylus type | Elliptical 0.00072" x 0.0003" / 18 x 7 |
| ELEKTRISCHE EIGENSCHAFTEN | |
| Abschlussimpedanz | 47 k |
| Lastkapazität | 200 - 600 pF |
| Spuleninduktivität | 450 mH |
| Innenwiderstand | 750 Ohm |
| MECHANISCHE EIGENSCHAFTEN | |
| Systemgewicht | 5 g |
| Tracking weight | 1.5 - 2.0g (15-20 mN) |
| Replacement stylus unit | Stylus 5 E |
C 555i/C 522 - TECHNISCHE DATEN
| PLATTENSPIELER | |
| Antriebssystem | Riemenantrieb |
| Motor | Synchronmotor mit hohem Drehmoment |
| Geschwindigkeiten | 33,3 und 45,1 U/Min |
| Aufhängung | 3 energieabsorbierende, Synthetikgummifüße |
| TONARM | |
| Betrieb | manuell |
| Länge | 289 mm Gesamtlänge |
| 244 mm Drehgelenk bis Nadel | |
| Effektive Masse | 9 g |
| Überhang | 19,1 mm |
| Kabelkapazität | 150 - 400 pF |
| ABMESSUNGEN UND GEWICHT | |
| Abmessungen bei geschlossener Abdeckhaube | (BxHxT) 447 x 115 x 365 mm |
| Nettogewicht | 5,25 kg |
| Transportgewicht | 6,9 kg |