GXT 320 19670 - Capacete TRUST - Manual de utilização gratuito

Encontre gratuitamente o manual do aparelho GXT 320 19670 TRUST em formato PDF.

📄 78 páginas Português PT 💬 Pergunta IA ⚙️ Especif.
Notice TRUST GXT 320 19670 - page 19
SKIP

Perguntas frequentes - GXT 320 19670 TRUST

Baixe as instruções para o seu Capacete em formato PDF gratuitamente! Encontre o seu manual GXT 320 19670 - TRUST e retome o controlo do seu dispositivo eletrónico. Nesta página estão publicados todos os documentos necessários para a utilização do seu dispositivo. GXT 320 19670 da marca TRUST.

MANUAL DE UTILIZADOR GXT 320 19670 TRUST

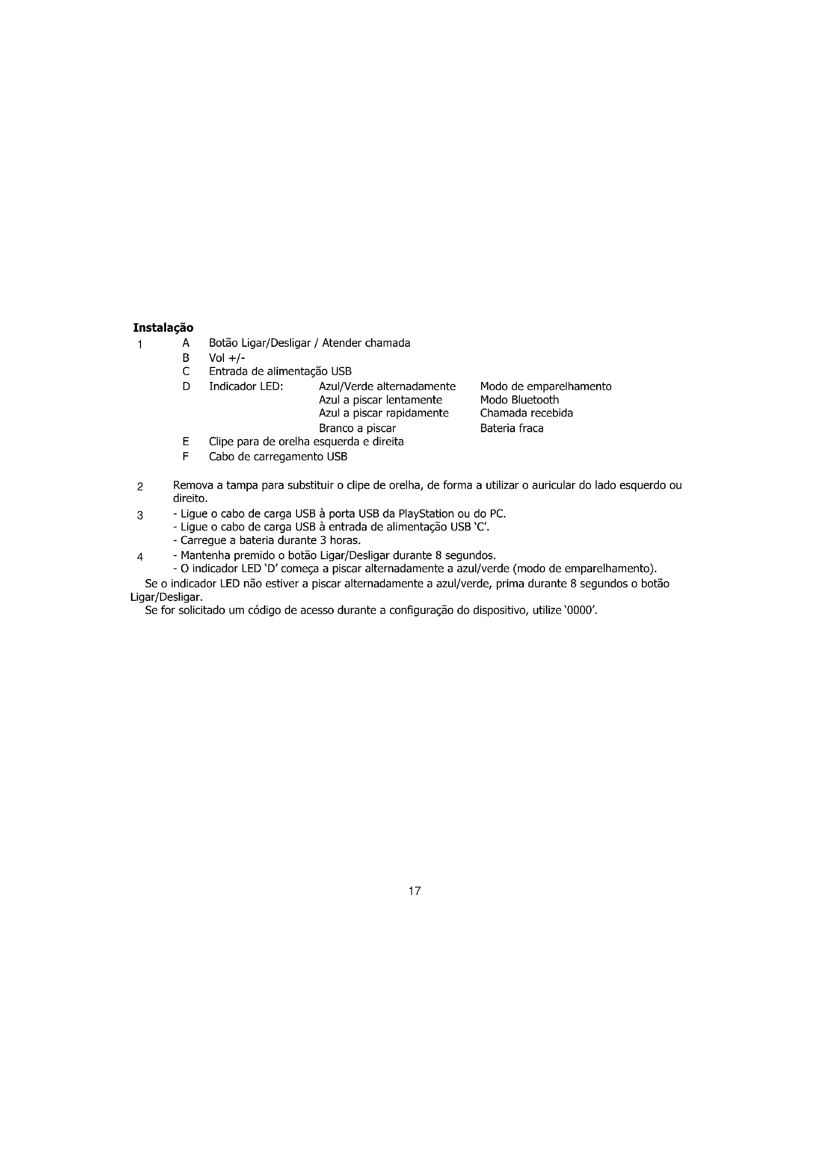
Botão Ligar/Desligar / Atender chamada

Entrada de alimentação USB

Clipe para de orelha esquerda e direita

Remova a tampa para substituir o clipe de orelha, de forma a utilizar o auricular do lado esquerdo ou direito.

- Mantenha premido o botão Ligar/Desligar durante 8 segundos. - O indicador LED ‘D’ começa a piscar alternadamente a azul/verde (modo de emparelhamento). Se o indicador LED não estiver a piscar alternadamente a azul/verde, prima durante 8 segundos o botão Ligar/Desligar. Se for solicitado um código de acesso durante a configuração do dispositivo, utilize ‘0000’.

- Vá a ‘Settings’ [‘Definições’]. - Vá a ‘Accessory Settings’ [‘Definições de Acessórios’]. - Vá a ‘Manage Bluetooth Devices’ [‘Gerir Dispositivos Bluetooth’].

- Selecione ‘Trust HS-05’ na lista de dispositivos Bluetooth. (certifique-se de que o auricular se encontra em modo de emparelhamento) - Insira a Palavra-passe. - A Palavra-passe predefinida é 0000

- Vá a ‘Audio Device Settings’ [‘Definições de Dispositivos Áudio’]. - Selecione ‘Trust HS-05’ como Dispositivo de Entrada e Saída

- Vá a ‘Settings’ [‘Definições’]. - Vá a ‘Bluetooth’ [‘Bluetooth’]. (certifique-se de que o Bluetooth está ativado) - Procure dispositivos Bluetooth e selecione ‘Trust HS-05’ Se o auricular não for encontrado, certifique-se de que está em modo de emparelhamento. (LED a piscar a azul/verde) Prima durante 8 segundos o botão Ligar/Desligar.

A. Abra o ícone da barra de tarefas. B. Clique no ícone Bluetooth. C. Clique em ‘Add a device’ [‘Adicionar um dispositivo’].

- Clique com o botão direito no ícone da coluna na barra de tarefas. - Abra ‘Playback devices’ [‘Dispositivos de reprodução’]. - Defina ‘Trust HS-05’ como dispositivo predefinido para ‘Playback’ [‘Reprodução’ ] e ‘Recording’ [‘Gravação’]

Resolução de problemas

Não é possível ligar o auricular BT ao meu dispositivo - Certifique-se de que o auricular BT está ligado e em modo de emparelhamento. Ver passo 4. - Aproxime o auricular BT da sua fonte de áudio (a distância máxima é de 10 m em condições ideais). - Repita os passos da configuração padrão do seu dispositivo (PlayStation, telemóvel ou PC). - O auricular apenas pode estar emparelhado com um dispositivo em simultâneo. - Se for solicitado um código de acesso, utilize ‘0000’.

Não dá som - Certifique-se de que o Bluetooth está ativado no seu dispositivo. - Repita os passos da configuração padrão do seu dispositivo (PlayStation, telemóvel ou PC) - O auricular BT está demasiado afastado do seu dispositivo (a distância máxima é de 10 m em condições ideais). - Carregue o auricular. - Se utilizar o produto perto de grandes superfícies metálicas, retire a superfície metálica ou afaste o seu produto da superfície metálica. - Paredes e pavimentos reduzem drasticamente o raio de alcance do produto. Aproxime o auricular BT do seu dispositivo. - Afaste o auricular BT de outros dispositivos sem fios (como routers de redes sem fios, ratos e teclados). Som distorcido

O volume de som está baixo - Verifique a definição de volume do seu dispositivo (PlayStation, telemóvel ou PC)

Se o problema persistir, contacte o serviço de assistência em www.trust.com/19670/faq.GXT 320 Bluetooth Headset – user’s manual

Botão On/Off [Liga/Desliga] / Captura de chamada

Gancho auricular esquerdo e direito

Troque o gancho auricular, removendo a tampa, para usar o fone de ouvido no lado esquerdo ou direito.

- Pressione e segure o botão on/off [liga/desliga] ‘‘A’’ durante 8 segundos. - O indicador LED ‘‘D’’ começará a piscar alternando entre azul/verde (modo de pareamento). Caso o indicador LED não esteja piscando alternando entre azul e verde. Pressione e segure o botão On/Off [Liga/Desliga] durante 8 seg. Caso o código de acesso seja solicitado durante a configuração do dispositivo, utilize ‘‘0000’’.

- Acesse “Settings” [Configurações]. - Acesse “Accessory Settings” [Configurações de acessório]. - Acesse “Gerenciar dispositivos Bluetooth”.

- Acesse “Audio Device Settings” [Configurações de acessório de áudio] - Selecione ‘‘Trust HS-05’’ para Dispositivo de entrada e saída

- Acesse “Settings” [Configurações]. - Acesse “Bluetooth”. (certifique-se de que o Bluetooth esteja ligado) - Pesquise dispositivos Bluetooth e selecione ‘‘Trust HS-05’’ Caso o fone não seja encontrado. Certifique-se de que o fone de ouvido esteja no modo de pareamento. (LED piscando Azul/Verde) Pressione e segure o botão on/off [liga/desliga] durante 8 seg.

A. Abra os ícones da barra de tarefas. B. Clique no ícone do Bluetooth. C. Clique em “Add a device” [Adicionar um dispositivo].

- Selecione ‘‘Trust HS-05’’ na lista de dispositivos Bluetooth (certifique-se de que o fone de ouvido esteja no modo de pareamento). Quando o dispositivo é adicionado com sucesso, seu dispositivo estará pronto para usar.

- Clique com o botão direito no ícone do alto falante na barra de tarefas. - Abra ‘‘Playback Devices’’ [Dispositivos de reprodução de músicas]. - Defina o dispositivo ‘‘Trust HS-05’’ como seu dispositivo padrão para ‘‘Playback’’ [Reprodução de músicas] e ‘‘Recording’’ [Gravação]

Solução de problemas

Não é possível conectar o fone de ouvido BT ao meu dispositivo - Certifique-se de que o fone de ouvido BT esteja ligado e esteja no modo de pareamento. Consulte o passo 4. - Aproxime o fone de ouvido BT da sua fonte de áudio (distância máxima de 10 m em circunstâncias ideais) - Repita as etapas de configuração padrão para seu dispositivo (PlayStation, Fone ou PC). - O fone de ouvido somente pode ser pareado com um dispositivo simultaneamente. - Caso um código de acesso seja solicitado. Use ‘‘0000’’.

Não há som - Certifique-se de que o Bluetooth esteja ligado no seu dispositivo. - Repita as etapas de configuração padrão para seu dispositivo. (PlayStation, Fone ou PC) - Seu fone de ouvido BT está muito longe do dispositivo (distância máxima de 10 m em circunstâncias ideais). - Troque o fone de ouvido. - Caso você esteja usando o produto próximo de grandes superfícies de metal, remova a superfície de metal ou afaste seu produto da superfície de metal. - Paredes e pisos reduzem drasticamente o alcance do produto. Aproxime o fone de ouvido BT do seu dispositivo. - Mude o fone de ouvido USB de lugar, para longe de outros dispositivos sem fio (como roteadores de rede sem fio, mouse e teclado). Som distorcido

O volume do som está baixo - Verifique as configurações de volume do seu dispositivo. (PlayStation, Fone ou PC)

Caso seu problema não seja resolvido, entre em contato com nosso serviço de suporte em www.trust.com/19670/faqGXT 320 Bluetooth Headset – user’s manual

Assistente de manual
Desenvolvido por ChatGPT
À espera da sua mensagem
Informações do produto

Marca : TRUST

Modelo : GXT 320 19670

Categoria : Capacete