GXT 320 19670 - Casco TRUST - Manuale utente e istruzioni gratuiti

Trova gratuitamente il manuale del dispositivo GXT 320 19670 TRUST in formato PDF.

📄 78 pagine Italiano IT 💬 Domanda IA ⚙️ Specifiche
Notice TRUST GXT 320 19670 - page 13
SKIP

Domande frequenti - GXT 320 19670 TRUST

Scarica le istruzioni per il tuo Casco in formato PDF gratuitamente! Trova il tuo manuale GXT 320 19670 - TRUST e riprendi in mano il tuo dispositivo elettronico. In questa pagina sono pubblicati tutti i documenti necessari per l'utilizzo del tuo dispositivo. GXT 320 19670 del marchio TRUST.

MANUALE UTENTE GXT 320 19670 TRUST

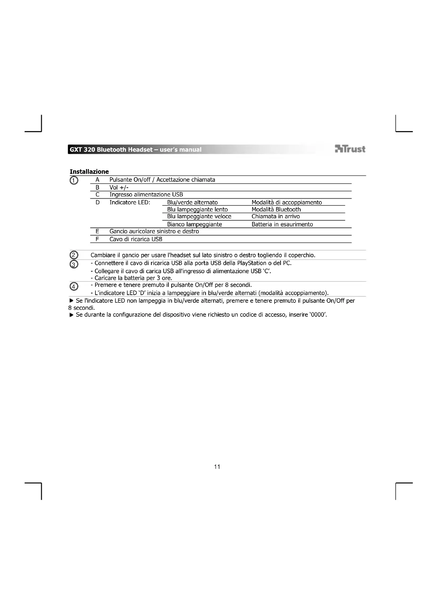
Pulsante On/off / Accettazione chiamata

Ingresso alimentazione USB

Indicatore LED: Blu/verde alternato Modalità di accoppiamento Blu lampeggiante lento Modalità Bluetooth Blu lampeggiante veloce Chiamata in arrivo Bianco lampeggiante Batteria in esaurimento

Cavo di ricarica USB

Cambiare il gancio per usare l'headset sul lato sinistro o destro togliendo il coperchio.

- Connettere il cavo di ricarica USB alla porta USB della PlayStation o del PC. - Collegare il cavo di carica USB all'ingresso di alimentazione USB ‘C’. - Caricare la batteria per 3 ore.

- Premere e tenere premuto il pulsante On/Off per 8 secondi. - L'indicatore LED ‘D’ inizia a lampeggiare in blu/verde alternati (modalità accoppiamento). Se l'indicatore LED non lampeggia in blu/verde alternati, premere e tenere premuto il pulsante On/Off per 8 secondi. Se durante la configurazione del dispositivo viene richiesto un codice di accesso, inserire ‘0000’.

- Andare a ‘Impostazioni’. - Andare alle ‘Impostazioni degli accessori’. - Andare a ‘Gestisci dispositivi Bluetooth’.

- Selezionare ‘Trust HS-05’ dall'elenco dei dispositivi Bluetooth (verificare che l'headset sia in modalità accoppiamento). - Immettere il codice d'accesso. - Il codice d'accesso predefinito è 0000

- Andare a ‘Impostazioni dei dispositivi audio’ - Selezionare il ‘Trust HS-05’ come Dispositivo di ingresso e di uscita

- Andare a ‘Impostazioni’. - Andare a ‘Bluetooth’ (accertarsi che il Bluetooth sia attivato). - Cercare tra i dispositivi Bluetooth e selezionare il dispositivo ‘Trust HS-05’ Se l'headset non è presente nell'elenco. Verificare che l'headset sia in modalità di accoppiamento (LED lampeggiane blu/verde). Premere e tenere premuto il pulsante On/Off per 8 secondi.

A. Aprire le icone della barra delle applicazioni. B. Fare clic sull'icona Bluetooth. C. Fare clic su ‘Aggiungi un dispositivo’.

- Selezionare ‘Trust HS-05’ nell'elenco dei dispositivi Bluetooth (assicurarsi che l'headset sia in modalità di associazione). Una volta aggiunto con successo, il dispositivo è pronto per l'uso.

- Fare clic con il tasto destro del mouse sull'icona dell'altoparlante nella barra delle applicazioni. - Aprire ‘Dispositivi di riproduzione’. - Impostare il dispositivo ‘Trust HS-05’ come dispositivo predefinito per ‘Riproduzione’ e ‘Registrazione’

Risoluzione dei problemi

Impossibile accoppiare la cuffia BT al dispositivo - Accertarsi che l'headset BT sia acceso e in modalità di accoppiamento. Vedere il punto 4. - Avvicinare l'headset BT alla sorgente audio (in condizioni ideali, la distanza massima è di 10 m). - Ripetere i passi di configurazione standard per il dispositivo in uso (PlayStation, Telefono o PC). - La cuffia può essere accoppiata ad un solo dispositivo per volta. - Se viene richiesto un codice d'accesso, usare ‘0000’.

Assenza di suono - Assicurarsi che il Bluetooth sia abilitato sul dispositivo. - Ripetere i passi di configurazione standard per il dispositivo (PlayStation, Telefono o PC). - L'headset BT è troppo distante dal dispositivo (in condizioni ideali, la distanza massima è di 10 m). - Caricare la cuffia. - Qualora si stia utilizzando il prodotto in prossimità di grandi superfici in metallo, allontanare la superficie in metallo o spostare il prodotto lontano da essa. - Le pareti e i pavimenti riducono drasticamente la portata del prodotto. Avvicinare l'headset BT al dispositivo. - Allontanare l'headset BT da altre periferiche wireless (ad esempio router di rete, mouse e tastiera wireless). Suono distorto

Il volume dell'audio è basso - Controllare l'impostazione del volume del proprio dispositivo (PlayStation, Telefono o PC).

Se il problema persiste, contattare il servizio di assistenza tecnica tramite il sito www.trust.com/19670/faqGXT 320 Bluetooth Headset – user’s manual

Assistente manuale
Powered by ChatGPT
In attesa del tuo messaggio
Informazioni sul prodotto

Marca : TRUST

Modello : GXT 320 19670

Categoria : Casco