GXT 320 19670 - Casca TRUST - Manual de utilizare gratuit

Găsiți gratuit manualul dispozitivului GXT 320 19670 TRUST în format PDF.

📄 78 pagini Română RO 💬 Întrebare IA ⚙️ Specificații
Notice TRUST GXT 320 19670 - page 49
SKIP

Întrebări frecvente - GXT 320 19670 TRUST

Descărcați instrucțiunile pentru Casca în format PDF gratuit! Găsiți manualul dvs. GXT 320 19670 - TRUST și luați din nou în mână dispozitivul dvs. electronic. Pe această pagină sunt publicate toate documentele necesare pentru utilizarea dispozitivului dvs. GXT 320 19670 mărcii TRUST.

MANUAL DE UTILIZARE GXT 320 19670 TRUST

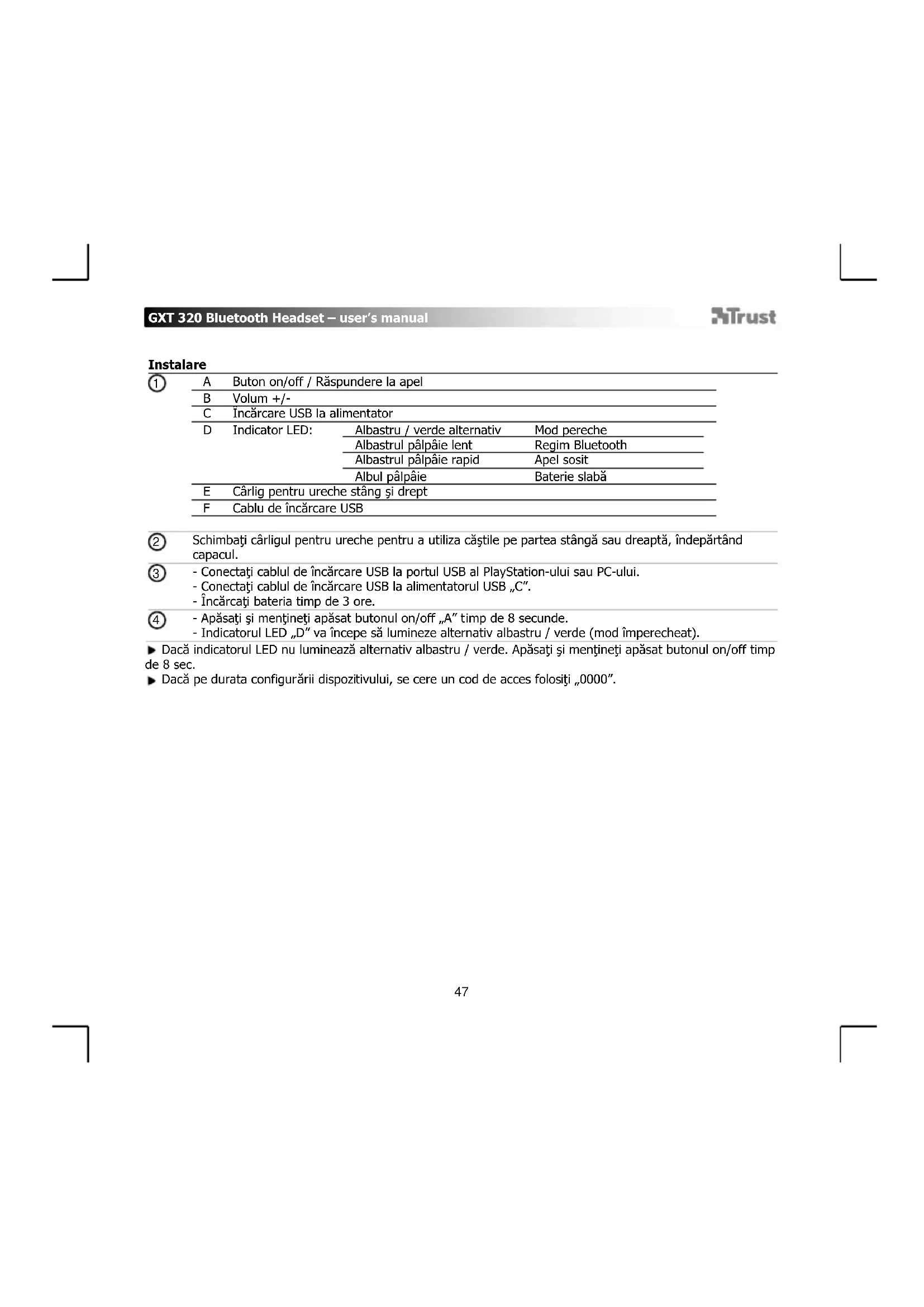
Încărcare USB la alimentator

Cârlig pentru ureche stâng şi drept

Cablu de încărcare USB

Schimbaţi cârligul pentru ureche pentru a utiliza căştile pe partea stângă sau dreaptă, îndepărtând capacul.

- Conectaţi cablul de încărcare USB la portul USB al PlayStation-ului sau PC-ului. - Conectaţi cablul de încărcare USB la alimentatorul USB „C”. - Încărcaţi bateria timp de 3 ore.

- Apăsaţi şi menţineţi apăsat butonul on/off „A” timp de 8 secunde. - Indicatorul LED „D” va începe să lumineze alternativ albastru / verde (mod împerecheat). Dacă indicatorul LED nu luminează alternativ albastru / verde. Apăsaţi şi menţineţi apăsat butonul on/off timp de 8 sec. Dacă pe durata configurării dispozitivului, se cere un cod de acces folosiţi „0000”.

- Mergeţi la „Settings” [„Setări]”. - Mergeţi la „Accessory Settings” [„Setări accesorii”]. - Mergeţi la „Manage Bluetooth Devices” [„Administrare dispozitive Bluetooth”].

- Selectaţi „Trust HS-05” din lista dispozitivelor Bluetooth. (Asiguraţi-vă că sistemul de căşti este în modul împerecheat.) - Introduceţi Pass Key [Parola]. - Parola implicită este 0000.

- Mergeţi la „Audio Device Settings” [„Setări dispozitiv audio]”. - Selectaţi „Trust HS-05” pentru Input Device [Dispozitiv intrare] şi Output Device [Dispozitiv ieşire].

- Mergeţi la „Settings” [„Setări]”. - Mergeţi la „Bluetooth”. (Asiguraţi-vă că Bluetooth este activat.) - Căutaţi dispozitive Bluetooth şi selectaţi „Trust HS-05”. Dacă nu găsiţi căştile. Asiguraţi-vă că acestea sunt în mod împerechere. (LED-ul pâlpâie Albastru / Verde) Apăsaţi şi menţineţi apăsat butonul on / off timp de 8 secunde.

A. Deschideţi pictogramele din bara de activităţi. B. Faceţi clic pe pictograma Bluetooth. C. Faceţi clic pe „Add a device” [„Adăugaţi un dispozitiv”].

- Selectaţi „Trust HS-05” din lista dispozitivelor Bluetooth (asiguraţi-vă că căştile sunt în modul împerecheat). În momentul în care dispozitivul este adăugat cu succes, dispozitivul dvs. este gata de utilizare.

- Faceţi clic-dreapta pe pictograma microfonului din bara de activităţi. - Deschideţi „Playback Devices” [„Dispozitive de redare”]. - Configuraţi dispozitivul „Trust HS-05” ca dispozitiv implicit pentru „Playback” [„Redare”] şi „Recording” [„Înregistrare”]

Nu pot conecta căştile BT la dispozitiv - Asiguraţi-vă că căştile BT sunt alimentate şi nu se află în regim de împerechere. Vezi pasul 4. - Mutaţi căştile BT mai aproape de sursa dumneavoastră audio (în condiţii ideale, distanţa maximă este de 10 m) - Repetaţi etapele de configurare standard pentru dispozitivul dvs. (PlayStation, Phone sau PC). - Căştile poate fi împerecheate numai cu un singur dispozitiv în acelaşi timp. - Dacă se solicită o parolă. Utilizaţi „0000”.

Fără sunet - Asiguraţi-vă că pe aparatul dumneavoastră Bluetooth este activat. - Repetaţi etapele de configurare standard a dispozitivului dvs. (PlayStation, Phone sau PC) - Căştile BT sunt prea departe de dispozitivul dumneavoastră (în condiţii ideale distanţa maximă este de 10 m). - Încărcaţi căştile. - Dacă folosiţi produsul în apropierea unor suprafeţe metalice mari, fie îndepărtaţi suprafaţa metalică, fie mutaţi produsul departe de suprafaţa metalică în cauză. - Pereţii şi podeaua reduc în mod drastic domeniul produsului. Mutaţi căştile BT mai aproape de dispozitivul dumneavoastră. - Mutaţi căştile BT departe de celelalte dispozitive fără fir (rutere de reţea wireless, mouse şi tastatură). Sunet distorsionat

Volumul sunetului este scăzut - Verificaţi setările pentru volum ale dispozitivului dvs. (PlayStation, Phone sau PC)

În cazul în care problema dumneavoastră nu se rezolvă, vă rugăm să contactaţi serviciul Helpdesk la adresa www.trust.com/19670/faqGXT 320 Bluetooth Headset – user’s manual

Asistent manual
Powered by ChatGPT
Așteptând mesajul dvs.
Informații despre produs

Marcă : TRUST

Model : GXT 320 19670

Categorie : Casca