ERA220 - Cash register SHARP - Free user manual and instructions
Find the device manual for free ERA220 SHARP in PDF.
Questions des utilisateurs sur ERA220 SHARP
0 question sur cet appareil. Repondez a celles que vous connaissez ou posez la votre.
Poser une nouvelle question sur cet appareil
Download the instructions for your Cash register in PDF format for free! Find your manual ERA220 - SHARP and take your electronic device back in hand. On this page are published all the documents necessary for the use of your device. ERA220 by SHARP.
USER MANUAL ERA220 SHARP
natural_image
Illustration of a modern office typewriter with a Sharp card and E&P-ADR card, placed on a rectangular base (no text or symbols visible)CAUTION:
The cash register and the remote drawer should be securely fitted to the supporting platforms to avoid instability when the drawers are open.
CAUTION:
The socket-outlet shall be installed near the equipment and shall be easily accessible.
VORSICHT:
For a complete electrical disconnection pull out the mains plug.
VORSICHT:
This equipment complies with the requirements of Directives 89/336/EEC and 73/23/EEC as amended by 93/68/EEC.
Thank you very much for your purchase of the SHARP Electronic Cash Register, Model ER-A220.
Please read this Manual carefully before operating your machine in order to gain full understanding of functions and features.
Please keep this manual for future reference, it will help you, if you encounter any operational problems.
IMPORTANT
• Install your register in a location that is not subject to direct radiation, unusual temperature changes, high humidity or exposed to water sources.
Installation in such locations could cause damage to the cabinet and the electronic components.
- The register should not be operated by an individual with wet hands.
The water could seep into the interior of the register and cause component failure.
- When cleaning your register, use a dry, soft cloth. Never use solvents, such as benzine and/or thinner.
The use of such chemicals will lead to discoloration or deterioration of the cabinet.
- The register plugs into any standard wall outlet (Official (nominal) voltage).
Other electrical devices on the same electrical circuit could cause the register to malfunction.
- If the register malfunctions, call your local dealer for service - do not try to repair the register yourself.
- For a complete electrical disconnection, pull out the mains plug.
PRECAUTION
This Electronic Cash Register has a built-in memory protection circuit which is operated by rechargeable batteries.
As you know, all batteries will, in time, dissipate their charge even if not used. Therefore to insure an adequate initial charge in the protection circuit, and to prevent any possible loss of memory upon installation, it is recommended that each unit be allowed to recharge for a period of 24 to 48 hours prior to use by the customer.
In order to charge the batteries, the machine must be plugged in. This recharging precaution can prevent unnecessary initial service calls.
CONTENTS
INTRODUCTION....1
IMPORTANT ....1
PRECAUTION....1
CONTENTS....2
EXTERNAL VIEW 4
PRINTER......4
KEYBOARD....5
KEYS AND SWITCHES....6
1 Mode switch and mode keys....6
2 Drawer lock key....6
DISPLAY....7
FOR THE MANAGER
PROGRAMMING 8
1 Setting the date and time 8
2 Setting the register number and consecutive number....9
3 Programming the tax rate....9
4 Programming for departments....10
5 Price Lookup (PLU) programming....12
6 Programming for miscellaneous keys ....13
Programming the rate( % , EX )....13
Programming the discount key amount ( )....14
Programming the percent rate limitation ( % )....14
Programming function parameters for and % keys....14
Programming function parameters for key 15
Programming function parameters for , , , and keys....16
7 Text programming 16
How to program alphanumeric characters....16
Programming the department text....18
Programming the PLU text (item label) 18
Programming the function text....18
Programming the cashier names....20
Programming logo messages....20
Programming foreign currency symbol....21
Programming domestic currency symbol 21
8 Programming various functions....22
Programming optional feature selection....22
Programming print format....22
Programming receipt print format 23
Programming EURO system settings....24
Programming power saving mode....24
Programming logo message print format ....25
Programming RS-232C interface 25
Programming thermal printer density 26
Language selection ....27
Programming the AUTO key 27
9 Reading stored program....28
TRAINING MODE 29
READING (X) AND RESETTING (Z) OF SALES TOTALS ....30
1 Summery of reading (X) and resetting (Z) reports....30
2 Daily sales totals ....31
3 Periodic consolidation ....33
CCD -Compulsory Cash/cheque Declaration....34
ELECTRONIC JOURNAL....35
PROGRAMMING FOR EURO 36
OVERRIDE ENTRIES 39
CORRECTION AFTER FINALIZING A TRANSACTION (AFTER GENERATING A RECEIPT)....39
FOR THE OPERATOR
PRIOR TO ENTRIES....40
1 Preparations for entries....40
2 Power saving mode....40
3 Error warning....41
ENTRIES....42
1 Item entries....42
Single item entries 42
Repeat entries 42
Multiplication entries 43
Single item cash sale (SICS) entry 43
2 Displaying subtotal 44
3 Finalization of transaction....44
Cash or cheque tendering ....44
Cash or cheque sale that does not need any tender entry....45
Credit sale 45
Mixed-tender sale 45
4 Computation of VAT (Value Add Tax)/tax 45
5 Auxiliary entries 47
Percent calculations (premium or discount) 47
Deduction entries....47
Refund entries 48
Printing of non-add code numbers 48
6 Payment treatment 49
Currency exchange 49
Received on account entries ....50
Paid out entries....50
No sale (exchange) 50
7 Automatic sequence key ( [AUTO] key) entries .....50
8 Receipt issuance after finalization/Copy receipt....51
CORRECTION 52
1 Correction of the last entry (direct void) ....52
2 Correction of the next-to-last or earlier entry (indirect void) 52
3 Subtotal void....53
4 Correction of incorrect entries not handled by the direct or indirect void function....53
OVERLAPPED CASHIER ENTRY 53
1 In case of power failure ....54
2 In case of printer error ....54
3 Cautions in handling the printer and recording paper ....54
4 Installing and removing the paper roll ....55
5 Removing a paper jam ....57
6 Cleaning the print head ....57
7 Removing the till and the drawer....57
8 Opening the drawing by hand ....58
9 Installing the fixing angle bracket ....58
0 Before calling for service ....59
LIST OF OPTIONS....60
SPECIFICATIONS ....60
EXTERNAL VIEW
■ Front view Rear view

text_image
Operator display Printer cover Receipt paper Drawer Drawer lock Customer display (Pop-up type) Power cord Mode switch RS-232C connector cover KeyboardPRINTER

natural_image
Line drawing of a desktop computer with keyboard, monitor, and mouse (no text or symbols)The printer is one station type thermal printer, and therefore it does not require any type of ink ribbon or cartridge. The average life of the printer is approximately 4 million lines.
When removing the printer cover, lift up its rear. When installing the printer cover, hook it on the pawls on the cabinet and shut it.
Caution: Be very careful with the cutter which is mounted on the cover, so as not to cut yourself.

text_image
Take-up spool Paper bed Print head release leverPrint head release lever
The print head can be lifted off the roller by the print head release lever (gray lever on the right side of the printer). Pulling the lever toward you move the print head away from the roller. If the paper becomes jammed, you will need to use this lever to release the print head from the paper so you can remove the jammed paper.
Your register is shipped with the print head release lever positioned at the lifted up position. Be sure to push down the lever toward the paper bed side (printing position) before you use the register.
Note
Do not attempt to remove the paper roll with the head in the down position. This may result in damage to the printer and print head.
KEYBOARD
■ Standard keyboard layout

text_image
Received-on account key Cashier code entry key Paper feed key ↑ RA CASH # Auto 1 and 2 keys Receipt print/ Paid-out key RCPT /PO AUTO 1 AUTO 2 Void key ∞ RF ESC Escape key PLU/Subdepartment key Amount key Discount key Clear key Decimal point key Multiplication key ⊗ • CL 7 8 9 4 5 6 1 2 3 0 00 Numeric keys PLU AMT - EX Foreign currency exchange key 5 10 15 %1 %2 Percent 1 and 2 keys Credit key 4 9 14 CR Ch Non-add code/Time display/ Subtotal key 3 8 13 #/TM/ST TL/NS Total/No sale key Department keysOption keys
VAT Value added tax key
ISHIFT Department shift key
18 \~ 30 Department keys
(To operate dept. 16 key though dept. 30 keys, press the department shift key and the corresponding dept. key.)
KEYS AND SWITCHES
1 Mode switch and mode keys
The mode switch can be operated by inserting one of the two supplied mode keys - manager (MA) and operator (OP) keys. These keys can be inserted or removed only when the switch is in the "REG" or "Uposition."

flowchart
graph TD
A["PGM"] --> B["OPX/Z"]
B --> C["REG"]
C --> D["MGR"]
D --> E["X1/Z1"]
E --> F["X2/Z2"]
F --> G["MA"]
G --> H["OP"]
H --> I["OPX/Z"]
I --> J["REG"]
J --> K["MGR"]
K --> L["X1/Z1"]

text_image
Manager key (MA) Operator key (OP) or key (OP)The mode switch has these settings:
: This mode locks all register operations. (AC power becomes off.) No change occurs to register data.
OP X/Z: This setting allows cashiers to take individual cashier X or Z reports, to take flash reports, and to take electronic journal reports. And it can be used to toggle receipt state "ON" and "OFF" by pressing the RCPTIPO key.
REG: For entering sales.
PGM: To program various items.
: Enters into the void mode. This mode allows correction after finalizing a transaction.
MGR: For manager's entries. The manager can use this mode for an override entry.
X1/Z1: To take the X/Z report for various daily totals, and take electronic journal reports
X2/Z2: To take the X/Z report for various periodic (weekly or monthly) consolidation
2 Drawer lock key
This key locks and unlocks the drawer. To lock it, turn 90 degrees counterclockwise. To unlock it, turn 90 degrees clockwise.

text_image
SK1-1

DISPLAYS
Operator display Customer display (Pop-up type)

text_image
PLU/SUB DEPT REPEAT 03 12.50 45678.90 RCPT OFF cashier codeAmount: Appears in the far-right eight (max.) positions.
Cashier code: Appears in the second position (one digit).
Number of repeats for repetitive registrations:
The number of repeats is displayed, starting at "2" and incremented with each repeat.
When you have registered ten times, the display will show "0."
Example: (2 3 4 ·s 9 0 1 2 ·s)
Receipt function status:
The indicator “_” appears in the ninth position when the receipt function is put in the OFF status.
Time: Appears in the second to sixth positions (using 24-hour format) in the OP X/Z, REG, or
MGR mode. In the REG, or MGR mode, press the #TMST key to display the time.
■ Machine state symbols
P : Appears in the tenth place during programming.
E : Appears in the tenth place when an error is detected.
– (Floating): Appears when a minus department or PLU/subdepartment entry is made or when a discount, refund, or void entry is made.
☐ : Appears in the tenth place when the subtotal is displayed or when the amount tendered is smaller than the sale amount.
C : Appears in the tenth place when the EX key is pressed to calculate a subtotal in foreign currency.
F : Appears in the tenth place when a transaction is finalized by pressing the TLNS, CH or CR key.
: Appears in the tenth place when the change due amount is displayed or when the cash/cheque declaration is compulsory.
E - E : May appear in the far-left three positions at the timing of key entry when the electronic journal memory is full. (Depending on programming.)
- : May appear right below the eighth and ninth places at the timing of finalization of a transaction when the electronic journal memory is nearly full. (Depending on programming.) Also appears right below the tenth place when power saving mode is effective.
PROGRAMMING
This chapter illustrates how to program your cash register. Program every item necessary for your store by following the appropriate procedure.
Note
- You can select the language of texts printed on receipts or journals from English, German, French or Spanish. For the language selection, please refer to "Language Selection" described later in this section.
■ Preparations for Programming
- Plug your machine into a standard wall outlet.
- Put the manager key in the mode switch and turn it to the PGM position.
- Check to see whether paper roll is present in the machine. If it is missing, install a paper roll correctly referring to the procedure in "4. Installing and removing the paper roll" under "OPERATOR MAINTENANCE".
- Program necessary items into your machine.
Note
- On the key operation example shown in the programming details, numeric such as 26082000 indicates the parameter which must be entered using the corresponding numeric keys.
1 Setting the date and time
■ Setting the date
Enter day (one or two digits), month (two digits), and year (four digits : 1999 to 2098) in this sequence.

flowchart
graph LR
A["#TM/ST"] --> B["3"]
B --> C["⊗"]
C --> D["Date (seven or eight digits)"]
D --> E["#TM/ST"]
E --> F["TL/NS"]
G["26082000"] --> H["#TM/ST 3"]
H --> I["TL/NS"]
J["PrintKey operation example"] --> K["26/08/2000 000000\n#0001 15:04"]
K --> L["*PGM* 26/08/2000"]
L --> M["Date"]
■ Setting the time
Set the time using the 24-hour format. For example, when the time is set to 2:30 AM, enter 230; and when it is set to 2:30 PM, enter 1430.

flowchart
graph LR
A["Procedure"] --> B["#/TM/ST"]
B --> C["4"]
C --> D["⊗"]
D --> E["Time (max. four digits)"]
E --> F["#/TM/ST"]
F --> G["TL/NS"]


text_image
PrintKey operation exam 26/08/2000 000000 #0002 14:30 *PGM* #4 14:30 Time2 Setting the register and consecutive number
■ Setting the register number
When your store has two or more registers, it is practical to set separate register numbers for their identification. You may set them in a maximum of six digits.

flowchart
graph LR
A["#/TM/ST"] --> B["1"]
B --> C["⊗"]
C --> D["Register number (one to six digits)"]
D --> E["#/TM/ST"]
E --> F["TL/NS"]
G["To set the register number "0""] --> D
H["PrintKey operation example"] --> I["26/08/2000 123456\n#0003 14:30"]
H --> J["*PGM* 123456\n#1"]
I --> K["123456"]
J --> L["123456"]
■ Setting the consecutive number
The consecutive number is increased by one each time a receipt is issued.
Enter a number (one to four digits) that is one less than the desired starting number.

flowchart
graph LR
A["#TM/ST"] --> B["2"]
B --> C["⊗"]
C --> D["A number (one to four digits) that is one less than the desired starting number"]
D --> E["#TM/ST"]
E --> F["TL/NS"]
G["To begin the count from 0001"] --> D

text_image
PrintKey operation example #TMST 2 1000 #TMST TLNS 26/08/2000 123456 #1000 14:30 *PGM* #2 1000 Consecutive number3 Programming the tax rate

flowchart
graph LR
A["#/TM/ST"] --> B["9"]
B --> C["⊗"]
C --> D["*1A 1-4"]
D --> E["⊗"]
E --> F["*2Sign and tax rate"]
F --> G["⊗"]
G --> H["*3Lowest taxable amount"]
H --> I["#/TM/ST"]
I --> J["TL/NS"]
J --> K["∞"]
K --> L["To inhibit this tax rate"]
F --> M["To program "0""]
H --> N["To program "0""]
*1: Enter a corresponding tax rate number. For example, when you program a tax rate as tax rate 1, enter 1.
*2: Sign and tax rate: XYYY.YYYY rate = 0.0001 to 100.0000 Sign ^-/+ = 1/0
*3: Max. five digits: 0.00 to 999.99

PrintKey operation example

bar
| Category | Value (%) | |---|---| | *PGM* | 4.0000 | | T2 | 4.0000 | | T2 | 4.0000 | | Total | 0.12 |Tax rate 2 Tax rate: 4% Lowest
taxable amount
Note
- The lowest taxable amount is valid only when you select add on tax system. If you select VAT (Value added system), it is ignored.
- If you make an incorrect entry before pressing the third key in programming a tax rate, cancel it with the CL key; and if you make an error after pressing the third key, finalize it with the #TMST key. Then program again from the beginning correctly.
- If you select VAT system, the sign which you program is ignored.
4 Programming for departments
Your machine is equipped with 15 standard departments and 15 optional departments (departments 16 through 30).
■ Functional programming
Tax status
Assign a tax status to each department. When entries are made into taxable departments in a transaction, tax is automatically computed according to the associated tax rate as soon as the transaction is completed.
SICS (Single Item Cash Sale)
If the first registration is to a department set for SICS, the sale is finalized as soon as the department key is pressed. If the sale is preceded by registrations to departments not set for SICS, a sale to a department set for SICS does not finalize and can be repeated until the TLNS key is pressed.
Sign
You may assign each department to plus department for normal sales, or minus department for minus transaction.
HALO(High Amount Lockout)
Set the number of allowable digits for the maximum entry amount for each department. The limit is effective for operations in the REG mode and can be overridden in the MGR mode.
Type of unit price entry
You may select one of the following four types of unit price entry for each department.
- Open and preset / Preset only / Open only / Inhibit department key
Procedure

flowchart
graph TD
A["To set all zeros"] --> B["Process Box"]
B --> C["⊕"]
C --> D["Dept. key ABCDEF TENS"]
D --> E["(SHIFT)"]
E --> C
C --> F["*"]
F --> C
To program another dept.
*To program departments 16 through 30, press the department shift key at this point.
* Item: Selection: Entry:
| A VAT4 or TAX4 Yes 1 | |||
| No | 0 | ||
| B VAT3 or TAX3 Yes 1 | |||
| No | 0 | ||
| C VAT2 or TAX2 Yes 1 | |||
| No | 0 | ||
| D VAT1 or TAX1 Yes 1 | |||
| No | 0 | ||
| E SICS / Normal SICS 1 | |||
| Normal 0 | |||
| F Sign Minus department 1 | |||
| Plus department 0 | |||
| G Always enter 0. | 0 | ||
| H HALO | 0-7 | ||
| I Type of unit price entry | Open and preset | 3 | |
| Preset only | 2 | ||
| Open only | 1 | ||
| Inhibit department key | 0 | ||
Key operation example

Print

text_image
*PGM* DO3 DPT.03 T 23 173 -0.00 From left, EHI Tax status Sign(F)Note
- The tax system of your machine has been factory-set to automatic VAT1–4. If you desire to select any of automatic tax 1–4, manual VAT1–4, manual VAT1, manual tax 1–4, and the combination of the automatic VAT 1 and the automatic tax 2–4, consult your dealer.
- When the combination of the automatic VAT1 and automatic tax 2–4 system is selected, one of the VAT1(D) can be selected in combination with tax 2–4.
Example: ABCD = 1001, 1010, 1100
Unit price
You can program unit prices up to a maximum of six digits (9999.99). Even if a department is not programmed to allow the entry of preset unit prices in functional programming, the department is automatically changed to allow the entry of preset unit prices by this programming entry.
Procedure

flowchart
graph TD
A["Unit price(max. six digits)"] --> B["To set zero"]
B --> C["(SHIFT)"]
C --> D["Dept. key"]
D --> E["TL/NS"]
E --> A
To program another dept.
*To program departments 16 through 30, press the department shift key at this point.
Key operation example

Print

text_image
*PGM* DO1 DPT.01 073 10.00 Unit price5 Price lookup (PLU) programming
Each PLU requires you to program the following:
PLU code (three digits: 1 to 500)
Associated department
When a PLU is associated with a department, the following functions of the PLU depend on the programming for the corresponding department.
- Tax status
• HALO (only for the subdepartment) - Single item cash sale
- Sign
Unit price (max. six digits)
You will usually have unit prices programmed for individual PLUs as PLU preset unit prices. If you program unit price "0" for a PLU, you can enter only the selling quantity of the PLU, i.e. the PLU can be used only as a counter.
PLU or subdepartment mode
- If the PLU mode (i.e. automatic preset unit price entry) is selected, individual PLU entries can be made by entering the assigned code and depressing the key.
- If the subdepartment mode is selected, the following key operations must be performed: Enter the price, press the AMT key, enter the PLU code, and press the PLU key.
■ Unit price and associated department assignment
Procedure

flowchart
graph TD
A["PLU code*1"] --> B["PLU"]
B --> C["Unit price (max. six digits)"]
C --> D["*2 (SHIFT)"]
D --> E["Dept. key"]
E --> F["TL/NS"]
G["To inhibit"] --> H["∞"]
I["To program zero"] --> C
J["To program the following PLU"] --> C
K["To program another PLU"] --> E
*1: 1 through 500
*2: To assign departments 16 through 30, press the department shift key at this point.


text_image
PrintKey operation example *PGM* P001 (O2) PLU. 001 1 1.25 Unit price Associated dept. PLU code■ PLU/subdepartment mode
Procedure

flowchart
graph LR
A["*1 PLU code"] --> B["PLU"]
B --> C["*2A"]
C --> D["#/TM/ST"]
D --> E["TL/NS"]
F["To program "0""] --> C
G["To program the following PLU"] --> B
To program another PLU
*1: 1 through 500
*2: 0 for subdepartment mode or 1 for PLU mode

PrintKey operation example

text_image
*PGM* P001 (O2) 0 PLU. 001 1.25 PLU/subdept. mode6 Programming for miscellaneous keys
■ Programming the rate (%, EX)
Procedure

flowchart
graph TD
A["To program zero"] --> B["*Rate of"]
B --> C["%1"]
B --> D["%2"]
C --> E["TL/NS"]
D --> E
E --> F["EX"]
F --> B
To program another rate
*: Rate
0.00 — 100.00 (% rate)
0.000000 — 999.999999 (Currency exchange rate)

PrintKey operation example

text_image
*PGM* F02 %1 L100.00% F26 EXCH1 000 -10.25% 002 0.606800 Percent rate Currency exchange rateNote
You must use a decimal point when setting rates that are fractional.
■ Programming the discount key amount (⊖)

flowchart
graph TD
A["Procedure"] --> B["Discount amount (max. six digits)"]
B --> C["⊖"]
C --> D["TL/NS"]
E["1000 ⊖ TL/NS"] --> B
F["PrintKey operation example"] --> G["*PGM*<br>F01 (-) 1 007 -10.00"]
G --> H["Discount amount"]
■ Programming the percent rate limitation ( % )
You can program the upper limit of percent rates for percent entries. (Percent entries that exceed the upper limit may be overridden in the MGR mode.)

flowchart
graph LR
A["#TM/ST"] --> B["⊗"]
B --> C["2"]
C --> D["9"]
D --> E["Percentage limit (0.00 -100.00)"]
E --> F["%1 or %2"]
F --> G["TL/NS"]
H["To program zero"] --> E
I["To program for another percent key"] --> E
Note 10.00% can be entered as 1 0 or 1 0 • 0 0. The • key is needed only for fractional entry.

text_image
#TMST 29 15 • 00 % TLNS PrintKey operation example *PGM* F02 %1 L 15.00% 000 -10.25% Percentage limit■ Programming function parameters for ⊙ and % keys
+/- sign Programming of the +/- sign assigns the premium or discount function for each key.
Item % / Item ⊙ Percent/discount calculation for the individual department and PLU
Subtotal % / Subtotal ⊙ Percent/discount calculation for the subtotals
Limit amount (HALO) (For discount key only)
The HALO limit is in effect for the REG-mode operations but can be overridden in the MGR mode. The HALO limit is represented by the number of allowable digit for the maximum entry amount for discount key.

flowchart
graph TD
A["Procedure"] --> B["*ABCD or"]
B --> C["⊗"]
C --> D["%1"]
C --> E["-"]
D --> F["%2"]
E --> F
F --> G["TL/NS"]
H["To program '0' for all items"] --> B
I["To program for another key"] --> B
*: Item: Selection: Entry:
| A +/- sign + (premium) sign 0 | |
| - (discount) sign 1 | |
| B Item % / Item ⊖ | Enable 0 |
| Disable 1 | |
| C Subtotal % / Subtotal ⊖ | Enable 0 |
| Disable 1 | |
| D Limit amount* for discount key 0-7 | |
* When programming for percent keys, always enter 0.

PrintKey operation example

text_image
*PGM* F01 (-) 1 006 -10.00 From left, BCD Sign(A)■ Programming function parameters for EX key
Currency exchange rate entry selection
You can enable or disable preset and manual entry of currency exchange rate.
Number of digits after decimal point
Set the number of digits after decimal point which is printed on the receipts for currency exchange amount.
Procedure

flowchart
graph TD
A["To program "0" for all items"] --> B["*ABC"]
B --> C["⊗"]
C --> D["EX"]
D --> E["TL/NS"]
E --> F["To change settings"]
F --> B
*: Item: Selection: Entry:
| A Manual rate entry Enable 0 | Disable 1 |
| B Preset rate entry Enable 0 | Disable 1 |
| C Number of digits after decimal point 0-3 |


text_image
PrintKey operation example *PGM* F26 EXCH1 001 From left, ABC 0.606800■ Programming function parameters for TL, CH, CR, RA and PO keys
Footer printing
This programming decides whether or not your machine should print a message at the foot of a receipt when a specified media key is used.
Amount tendered compulsory
You may select amount tendered compulsory or optional for the TL and CH keys.
You may select amount tendered compulsory or inhibited for the CR key.
Limit amount (HALO)
For the CH, CR, RA and PO keys, program upper limit entry amount for the tendered amount. For the TL key, program upper limit entry for total cash amount which can be handled on your register. The HALO limit is in effect for REG-mode operation but can be overridden in the MGR mode. The HALO limit is represented by the number of allowable digits for the maximum entry or total amount. When "0" is set, the operation of the corresponding key is prohibited.
Procedure

flowchart
graph LR
A["To program "0" for all items"] --> B["*1 ABC"]
B --> C["⊗"]
C --> D["#TMST, CH, CR, RA or PO"]
D --> E["TL/NS"]
F["To program for another key"] --> B
G["*2:Press #TMST key for TL key setting."] --> D
\*1:Item: Selection: Entry:
| A Footer print* Yes 1 | ||
| No | 0 | |
| B Amount tendered entry* Compulsory 1 | ||
| Non-compulsory for the TL or CH keys 0 | ||
| Inhibit for the CR key 0 | ||
| C Limit amount 0-8 | ||
* When programming for RA or PO key, always enter 0.
018
CR TLNS
PrintKey operation example

text_image
*PGM* F25 CREDIT 018 From left, ABC7 Text programming
How to program alphanumeric characters
Your register allows you to program the text for departments, PLUs, function and so on in the character entry mode. If you enter a programming job that entails alphanumeric character input, the register automatically goes into the character entry mode.
In the character entry mode, perform alphanumeric character input by referring to the alphanumeric character code table and entering the character codes with the numeric keys.
Entering character codes
- Numerals, letters and symbols are programmable by entering character codes and the 00 key. See the alphanumeric character code table on the next page.
- Double-size characters can be made by entering the character code 253.
- All three digits of the character code MUST be entered (even if it starts with zeros).
Example
To program the word "SHARP" with the letter "S" being double size

text_image
253 00 083 00 072 00 065 00 082 00 080 00 SHARPAlphanumeric character code table
| Code | Character | Code | Character | Code | Character | Code | Character | Code | Character |
| 001 | á | 046 | . | 091 | Á | 136 | → | 193 | j |
| 002 | â | 047 | / | 092 | Ö | 137 | ∽ | 194 | G |
| 003 | ê | 048 | 0 | 093 | Ü | 138 | ∽ | 195 | S |
| 004 | î | 049 | 1 | 094 | ^ | 139 | ◀ | 196 | G |
| 005 | i | 050 | 2 | 095 | _ | 140 | ▶ | 197 | g |
| 006 | í | 051 | 3 | 096 | ' | 141 | F | 198 | K |
| 007 | ô | 052 | 4 | 097 | a | 142 | T | 199 | k |
| 008 | ó | 053 | 5 | 098 | b | 143 | ↓ | 200 | L |
| 009 | û | 054 | 6 | 099 | c | 144 | ç | 201 | l |
| 010 | ú | 055 | 7 | 100 | d | 145 | ° | 202 | Z |
| 011 | œ | 056 | 8 | 101 | e | 146 | ¿ | 203 | D |
| 012 | ú | 057 | 9 | 102 | f | 147 | Ù | 204 | d |
| 013 | ú | 058 | : | 103 | g | 148 | à | 205 | C |
| 014 | o | 059 | ; | 104 | h | 149 | Æ | 206 | ć |
| 015 | ó | 060 | < | 105 | i | 150 | ø | 207 | € |
| 016 | ʌ | 061 | = | 106 | j | 151 | Å | 208 | P |
| 017 | Ψ | 062 | > | 107 | k | 152 | α | 209 | ` |
| 018 | Γ | 063 | ? | 108 | l | 153 | é | 210 | ě |
| 019 | " | 064 | @ | 109 | m | 154 | è | 211 | š |
| 020 | Ω | 065 | A | 110 | n | 155 | Pt | 212 | č |
| 021 | Δ | 066 | B | 111 | o | 156 | i | 213 | ž |
| 022 | θ | 067 | C | 112 | p | 157 | Ñ | 214 | ý |
| 023 | Ξ | 068 | D | 113 | q | 158 | ò | 215 | ù |
| 024 | Π | 069 | E | 114 | r | 159 | £ | 216 | ñ |
| 025 | Σ | 070 | F | 115 | s | 160 | ¥ | 217 | ~ |
| 026 | Υ | 071 | G | 116 | t | 161 | 。 | 218 | ` |
| 027 | Φ | 072 | H | 117 | u | 162 | Γ | 219 | ř |
| 028 | Ú' | 073 | I | 118 | v | 163 | 」 | 224 | * |
| 029 | Ú | 074 | J | 119 | w | 164 | 、 | 225 | § |
| 030 | Ó' | 075 | K | 120 | x | 165 | . | 226 | ∅ |
| 031 | Ó | 076 | L | 121 | y | 177 | Á | 227 | ^ |
| 032 | (space) | 077 | M | 122 | z | 178 | í | 228 | ↑ |
| 033 | ! | 078 | N | 123 | { | 180 | Ä | 229 | ] |
| 034 | " | 079 | O | 124 | | | 181 | ā | 230 | [ |
| 035 | # | 080 | P | 125 | } | 182 | É | 231 | " |
| 036 | 081 | Q | 126 | β | 183 | ē | 232 | ä | |
| 037 | % | 082 | R | 127 | ¢ | 184 | ī | 233 | ö |
| 038 | & | 083 | S | 128 | !! | 185 | ī | 234 | ü |
| 039 | ' | 084 | T | 129 | 1 | 186 | ū | 235 | æ |
| 040 | ( | 085 | U | 130 | 2 | 187 | ū | 236 | å |
| 041 | ) | 086 | V | 131 | 3 | 188 | N | 237 | É |
| 042 | * | 087 | W | 132 | 4 | 189 | ŋ | 238 | ñ |
| 043 | + | 088 | X | 133 | 1/2 | 190 | Č | 253 | *(DC) |
| 044 | , | 089 | Y | 134 | F_T$ | 191 | Š | ||
| 045 | - | 090 | Z | 135 | ← | 192 | Ç |
*(DC): Double-size character code
■ Programming the department text
You can program a maximum of 16 characters of text for each department. Program the text by entering the character codes.

flowchart
graph LR
A["#TM/ST"] --> B["1"]
B --> C["•"]
C --> D["Character code (3 digits) Dept Key"]
D --> E["00"]
E --> F["(SHIFT)"]
F --> G["TL/NS"]
G --> H["To program another department"]
H --> I["Up to 16 characters"]
I --> D
style D fill:#f9f,stroke:#333
style F fill:#ccf,stroke:#333
*To program departments 16 through 30, press the department shift key at this point.

text_image
#TMST 1 • 070 00 082 00 085 00 073 00 084 00 , TL/NS PrintKey operation example *PGM* DO1 FRUIT 073 10.00 Text programmed for dept. 1■ Programming the PLU text (item label)
You can program a maximum of 16 characters of text (item label) for each PLU or subdepartment. Program the text by entering the character codes.

flowchart
graph LR
A["#TM/ST"] --> B["•"]
B --> C["2"]
C --> D["PLU"]
D --> E["PLU code"]
E --> F["To keep the current setting"]
F --> G["Character code (3 digits)"]
G --> H["00"]
H --> I["#TM/ST"]
I --> J["TL/NS"]
J --> K["To program another PLU"]
K --> L["Up to 16 characters"]
L --> M["To program the next PLU"]

text_image
#TMST 2 • 1 PLU 077 00 069 00 076 00 079 00 078 00 #TMST TLNS PrintKey operation example *PGM* P001 (O2) 0 MELON 1.25 Text programmed for PLU code 1■ Programming the function text
You can program a maximum of 12 characters of text for each function key and other functions using the table on the following pages. Program the text by entering the character codes.

flowchart
graph LR
A["#/TM/ST"] --> B["•"]
B --> C["8"]
C --> D["Function no. (max. 2 digits)"]
D --> E["Character code (3 digits)"]
E --> F["00"]
F --> G["#/TM/ST"]
G --> H["TL/NS"]
H --> I["To program another function text"]
I --> J["Up to 12 characters"]
J --> E
style A fill:#f9f,stroke:#333
style H fill:#ccf,stroke:#333
* Function no.: See "List of function texts" shown on the following page.
Key operation example

text_image
#TMST 3 • 25 ⊗ 067 00 065 00 082 00 068 00 #TMST TL/NSPrint

text_image
*PGM* F25 CARD 018■ List of function texts
| Function no. | Key or function | Default setting |
| 1 | (-)1 | |
| 2 | % 1 %1 | |
| 3 | % 2 %2 | |
| 4 Differ DIFFER | ||
| 5 Taxable 1 subtotal TAX1 ST | ||
| 6 Taxable 2 subtotal TAX2 ST | ||
| 7 Taxable 3 subtotal TAX3 ST | ||
| 8 Taxable 4 subtotal TAX4 ST | ||
| 9 VAT/tax 1 VAT 1 | ||
| 10 VAT/tax 2 VAT 2 | ||
| 11 VAT/tax 3 VAT 3 | ||
| 12 VAT/tax 4 VAT 4 | ||
| 13 Net 1 | NET1 | |
| 14 Net 2 NET2 | ||
| 15 Refund REFUND | ||
| 16 Void | ||
| 17 Void mode total MODE | ||
| 18 MGR void MGR | ||
| 19 Subtotal void SBTL | ||
| 20 No sale NO SALE | ||
| 21 RA RA | *** | |
| 22 PO PO | *** | |
| 23 Cash | CASH | |
| 24 Cheque CHECK | ||
| 25 Credit CREDIT | ||
| 26 Exchange (Preset rate) EXCH1 | ||
| 27 Exchange (Open rate) EXCH2 | ||
| 28 Exchange is EXCH1 IS | ||
| 29 Exchange cheque EX1 CHK | ||
| 30 Exchange credit EX1 CR | ||
| 31 Cash in drawer | **QH | |
| 32 Cash/cheque is CA/CH IS | ||
| 33 Cash/cheque in drawer CA/CH ID | ||
| 34 Change for cheque CHK/CG | ||
| Function no. | Key or function | Default setting | |
| 35 Customer | GUEST | ||
| 36 Paid total | PAID TL | ||
| 37 Domestic currency 1 | DOM.CUR1 | ||
| 38 Domestic currency 2 | DOM.CUR2 | ||
| 39 Dom. currency for EX cheque | DOM.CUR1 | ||
| 40 Dom. currency for EX credit | DOM.CUR1 | ||
| 41 Cheque in drawer | CH*D | ||
| 42 (+) Dept total DEPT TL | * | ||
| 43 (-) Dept total | DEPT (-) | ||
| 44 Net 1 (Taxable 1 - VAT/tax 1) | NET 1 | ||
| 45 Net 2 (Taxable 2 - VAT/tax 2) | NET 2 | ||
| 46 Net 3 (Taxable 3 - VAT/tax 3) | NET 3 | ||
| 47 Net 4 (Taxable 4 - VAT/tax 4) | NET 4 | ||
| 48 Subtotal | SUBTOTAL | ||
| 49 Merchandise subtotal | MD$E ST | ||
| 50 Total | TOTAL | ||
| 51 Change CHANGE | |||
| 52 Sales q'ty | ITEMS | ||
| 53 Average | AVE. | ||
| 54 CCD | CCD | ||
| 55 CCD differ | CCD DIF. | ||
| 56 CCD differ total | DIF. TL | ||
| 57 Total tax TTL TAX | |||
| 58 Net without tax | NET | ||
| 59 Department report title | DEPT | ||
| 60 PLU report title | PLU | ||
| 61 Transaction report title | TRANS. | ||
| 62 Cashier report title CASHIER | |||
| 63 Hourly report title | HOURLY | ||
| 64 | Daily net report title | DAILY | |
| 65 Non add symbol (8 chara.) | # | ||
| 66 Copy receipt title | COPY | ||
| 67 EJ report title | EJ | ||
| 68 EJ report end title | EJ END | ||
■ Programming the cashier names
You can program a maximum of 12 characters of cashier name for each cashier. Program the text by entering the character codes.
Procedure

flowchart
graph LR
A["#/TM/ST"] --> B["• 5"]
B --> C["Cashier code (1-6)"]
C --> D["Character code (3 digits)"]
D --> E["00"]
E --> F["#/TM/ST"]
F --> G["TL/NS"]
G --> H["To program another cashier name"]
H --> I["Up to 12 characters"]
I --> D
style C fill:#f9f,stroke:#333
style D fill:#ccf,stroke:#333
style E fill:#cfc,stroke:#333
style F fill:#fcc,stroke:#333
style G fill:#cff,stroke:#333
PrintKey operation example

text_image
#TMST 5 # 1⊗ 068 00 065 00 086 00 073 00 068 00 #TMST TLNS*PGM*
C#1
DAVID
■ Programming logo messages
Your register can print programmed messages for customers on every receipt. On the standard model, only graphic logo is printed on the receipt (If you want a graphic logo customized for your store, please consult with your dealer.). If you want to print logo message, please change the logo print format. (See page 25 for the programming details.) You have five options described below.
Program the text by entering the character codes.
Procedure

flowchart
graph LR
A["#TM/ST"] --> B["•"]
B --> C["4"]
C --> D["*Line number (1-6)"]
D --> E["Character code (3 digits)"]
E --> F["00"]
F --> G["#/TM/ST"]
G --> H["TL/NS"]
H --> I["To program another line"]
I --> J["Up to 30 characters"]
J --> K["To keep the current setting"]
K --> E
* "Header 3-line message" type: 1 to 3
"Footer 3-line message" type : 4 to 6
"Header 6-line message" type: 1 to 6
"Header 3-line and footer 3-line message" type: 1 to 6 (1 to 3 as header, 4 to 6 as footer)

flowchart
graph TD
A["Graphic logo"] --> B["Default setting"]
B --> C["Header 3-line message Footer 3-line message"]
C --> D["Graphic logo Graphic"]
D --> E["Header 6-line message"]
E --> F["Header 3-line message and footer 3-line messages"]
subgraph Legend
G["Text 1st line"] --> H["Text 2nd line"] --> I["Text 3rd line"]
J["Text 4th line"] --> K["Text 5th line"] --> L["Text 6th line"]
end
style A fill:#f9f,stroke:#333
style B fill:#ccf,stroke:#333
style C fill:#cfc,stroke:#333
style D fill:#fcc,stroke:#333
style E fill:#cff,stroke:#333
style F fill:#ffc,stroke:#333
To program "THANK YOU" with double size and being centered on the third line as the logo message:

text_image
#TMST 4 • 3 ⊗ 032 00 032 00 032 00 032 00 032 00 032 00 253 00 084 00 253 00 072 00 253 00 065 00 253 00 078 00 253 00 075 00 032 00 032 00 253 00 089 00 253 00 079 00 253 00 085 00 #TMST TL:NS PrintKey operation example *PGM* THANK YOU
6-line logo message is preprogrammed when shipped. So, please start entering from the first line when you first program a logo message.
■ Programming foreign currency symbol
Foreign currency symbol for EX key is printed on a foreign currency exchange amount which rate is preset by programming. Program the text by entering the character codes.

flowchart
graph TD
A["#TM/ST"] --> B["6"]
B --> C["•"]
C --> D["Character code (3 digits)"]
D --> E["00"]
E --> F["#TM/ST"]
F --> G["TL/NS"]
H["To keep the current setting"] --> D
I["Up to 4 characters"] --> D
J["PrintKey operation example"] --> K["*PGM* F26 EXCH1"]
K --> L["€ 001 0.606800"]
K --> M["Foreign currency symbol"]
■ Programming domestic currency symbol
*is set as a default setting. When you want to change the domestic currency symbol, program the symbol (max. 4 characters) by entering the character codes.
Procedure

flowchart
graph LR
A["#TM/ST"] --> B["8"]
C["5"] --> D["Character code (3 digits)"]
D --> E["00"]
E --> F["#TM/ST"]
F --> G["TL/NS"]
H["To keep the current setting"] --> D
I["Up to 4 characters"] --> D

text_image
PrintKey operation example #TM/ST 85 # 032 00 032 00 032 00 042 00 #TM/ST TL/NS *PGM* #85 * Domestic currency symbol8 Programming various functions
Note
You can continue programming until TLNS key is pressed for the programming described in this section. To continue programming, repeat from the first numeric key entry.
Programming optional feature selection
You can enable or disable the operation of Paid out, Received-on account, Refund, No-sale, Void in the REG-mode, and also select if you enable fractional quantity entry or not.
Procedure

flowchart
graph LR
A["#/TM/ST"] --> B["5"]
B --> C["⊗"]
C --> D["*ABCDEFGHIJKLMNOPQRSTUVWXYZH"]
D --> E["#/TM/ST"]
E --> F["TL/NS"]
G["To set "0" for all items"] --> D
* Item: Selection: Entry:
| A Paid-out in the REG-mode Enable 0 | |
| Disable 1 | |
| B Received on account in the REG-mode Enable 0 | |
| Disable 1 | |
| C Subtotal void in the REG-mode Enable 0 | |
| Disable 1 | |
| D Indirect void in the REG-mode Enable 0 | |
| Disable 1 | |
| E Direct void in the REG-mode Enable 0 | |
| Disable 1 | |
| F Refund entry in the REG-mode Enable 0 | |
| Disable 1 | |
| G No sale in the REG-mode Enable 0 | |
| Disable 1 | |
| H Fractional quantity entry | Enable 0 |
| Disable 1 |
Key operation example


00000100
■ Programming print format
You can program;
Printer type - Use printer as journal printer or for issuance of receipt
Receipt print form - Detailed receipt print or summary receipt print
On the summary receipt print, the details of each item are not printed.
Date print selection for receipts
Consecutive number print selection
Separator line in the reports
Zero skip for reports
Procedure

flowchart
graph LR
A["#/TM/ST"] --> B["6"]
B --> C["⊗"]
C --> D["*ABCDEFGHIJKLMNOPQRSTUVWXYZH"]
D --> E["#/TM/ST"]
E --> F["TL/NS"]
G["To set "0" for all items"] --> D
* Item: Selection: Entry:
| A Printer type Journal printer 0 | |||
| Receipt printer 1 | |||
| B Receipt print form Total 0 | |||
| Detailed 1 | |||
| C Always enter 0. 0 | |||
| D Date print on receipts Yes 0 | |||
| No | 1 | ||
| E Consecutive no. print Yes 0 | |||
| No | 1 | ||
| F | Separator line in reports | Separator line | 1 |
| One line space | 0 | ||
| G | Zero skip in PLU report | Yes 1 | |
| No | 0 | ||
| H Zero skip in general/cashier/hourly/ daily report | Yes 1 | ||
| No 0 | |||
Key operation example


10000111
■ Programming receipt print format
You can make selection of;
Subtotal print when #TMST key is pressed
VAT/tax amount print
Taxable amount print
NET amount print
Purchase number printing
Procedure

flowchart
graph LR
A["#/TM/ST"] --> B["7"]
B --> C["⊗"]
C --> D["*ABCDEFGHIJKLMNOPQRSTUVWXYZH"]
D --> E["#/TM/ST"]
E --> F["TL/NS"]
G["To set "0" for all items"] --> D
* Item: Selection: Entry:
| A - B Always enter 0.0 | |||
| C Subtotal print with a press of subtotal key | Yes 1 | ||
| No | 0 | ||
| D Always enter 0.0 | |||
| E VAT/tax amount print Yes 0 | |||
| No | 1 | ||
| F Taxable amount print Yes 0 | |||
| No | 1 | ||
| G Net amount print | Yes 0 | ||
| No | 1 | ||
| H Purchase no. print | Yes 0 | ||
| No | 1 | ||
Key operation example


00000001
■ Programming EURO system settings
For details of EURO system settings, please refer to "PROGRAMMING FOR EURO".
Printing exchange total amount and change amount on receipt or journal
Total and change amounts in exchange currency are printed respectively below each of the total and exchange amounts in domestic currency.
Cheque and credit operation when tendering in foreign currency
Exchange calculation method
“Division” or “Multiplication” can be selected for the conversion method from domestic currency to exchange currency, and the calculation is performed as follows:
In case that "Division" is selected:
Domestic currency amount ÷ Exchange rate = Exchange amount
In case that "Multiplication" is selected
Domestic currency amount × Exchange rate = Exchange amount
Procedure

flowchart
graph LR
A["#/TM/ST"] --> B["8"]
B --> C["⊗"]
C --> D["*ABCD"]
D --> E["#/TM/ST"]
E --> F["TL/NS"]
G["To set "0" for all items"] --> D
\* Item: Selection: Entry:
| A Printing exchange total amount and Yes 1change amount on receipt or journal No 0 | |
| B Always enter 0. 0 | |
| C Cheque and credit operation when Yes 1tendering in foreign currency No 0 | |
| D Exchange calculation method Division 1 | Multiplication 0 |
Key operation example


text_image
*PGM* #8 1000■ Programming power saving mode
For the details of power saving mode, please refer to "Power saving mode" of "PRIOR TO ENTRIES".
Procedure

flowchart
graph LR
A["#/TM/ST"] --> B["1"]
B --> C["0"]
C --> D["⊗"]
D --> E["*ABCD"]
E --> F["#/TM/ST"]
F --> G["TL/NS"]
H["To set "0" for all items"] --> E
\* Item: Selection: Entry:
| A Entering power saving mode Yes 0when time is displayed No 1 | ||
| B-D | Time(min.) to entering power saving modesince no operation is made | 001-254 or 999* |
* 999: inhibit entering power saving mode
Key operation example


text_image
*PGM* #10 0060■ Programming logo message print format
You can select the number of lines of logo message, and the position to print it on receipt or journal.
Procedure

flowchart
graph LR
A["#/TM/ST"] --> B["1"]
B --> C["1"]
C --> D["⊗"]
D --> E["*A"]
E --> F["#/TM/ST"]
F --> G["TL/NS"]
H["To set "0""] --> E
*A: Loge message type
0: Header 3-line message without graphic logo
1: Graphic logo only
2: Footer 3-line message with graphic logo
3: Header 6-line message
4: Header 3-line message with graphic logo
5: Header 3-line message and footer 3-line message
Key operation example

Print

text_image
*PGM* #11 O■ Programming RS-232C interface
To realize the on-line communication, please consult with your dealer.
(1) RS-232C terminal number
Procedure

flowchart
graph LR
A["#/TM/ST"] --> B["3"]
B --> C["0"]
C --> D["⊗"]
D --> E["Terminal number (max. 6 digits)"]
E --> F["#/TM/ST"]
F --> G["TL/NS"]
H["To set "0""] --> E
(2) RS-232C transmission form
Procedure

flowchart
graph LR
A["#/TM/ST"] --> B["3"]
B --> C["1"]
C --> D["⊗"]
D --> E["*AB"]
E --> F["#/TM/ST"]
F --> G["TL/NS"]
H["To set "00""] --> E
* Item: Selection: Entry:
A Always enter 0.0
B Transmission line form Half duplex system 1
Full duplex system 0
(3) RS-232C transmission type and baud rate
Procedure

flowchart
graph LR
A["#/TM/ST"] --> B["3"]
B --> C["2"]
C --> D["⊗"]
D --> E["*AB"]
E --> F["#/TM/ST"]
F --> G["TL/NS"]
H["To set "00""] --> E
* Item: Selection: Entry:
A Transmission type Send print data 1
Download/upload RAM data 0
B Baud rate (bps) 2400 3
4800 4
9600 5
19200 6
(4) RS-232C start code and end code
Procedure

flowchart
graph LR
A["#/TM/ST"] --> B["3"]
C["3"] --> D["*ABCDEF"]
D --> E["#/TM/ST"]
E --> F["TL/NS"]
G["To set "000000""] --> D
*A-C: Start code 000-127
D-F: End code 000-127
(5) RS-232C time out setting
Procedure

flowchart
graph LR
A["#/TM/ST"] --> B["3"]
B --> C["5"]
C --> D["Time out (1 to 255 sec.)"]
D --> E["#/TM/ST"] --> F["TL/NS"]
(6) RS-232C print data
Procedure

flowchart
graph LR
A["#/TM/ST"] --> B["3"]
B --> C["6"]
C --> D["*ABC"]
D --> E["#/TM/ST"] --> F["TL/NS"]
\* Item: Selection: Entry:
| A Sensing DR signal Yes 0 | ||
| No | 1 | |
| B Sensing CS signal Yes 0 | ||
| No | 1 | |
| C Sending all print data Yes 1 | ||
| No | 0 | |
PrintKey operation example


text_image
*PGM* #30 000002■ Programming thermal printer density
Procedure

flowchart
graph LR
A["#/TM/ST"] --> B["5"]
B --> C["0"]
C --> D["*Printer density (00-99)"]
D --> E["#/TM/ST"] --> F["TL/NS"]
*“00” = 70% for standard density
“50” = 100% for standard density
“99” = 130% for standard density


text_image
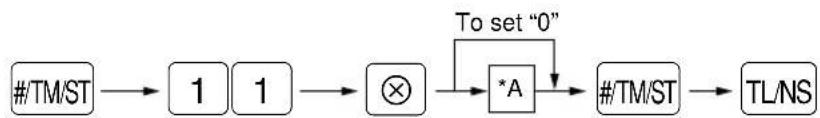
PrintKey operation example *PGM* #50 00■ Language selection

flowchart
graph TD
A["#TM/ST"] --> B["8"]
C["*Language: 0: English\n1: German\n2: French\n3: Spanish"] --> D["8"]
E["To set "0""] --> F["*Language"]
F --> G["TL/NS"]
H["#TM/ST 88 1 TL/NS"] --> I["PrintKey operation example"]
J["*PGM* #88 1"] --> K["End"]
Caution
When you change the language by executing this procedure, the texts such as department/PLU texts, logo message and function texts, which you programmed, will be reset to the default settings.
■ Programming the AUTO key — Automatic sequencing key —
If you program frequently performed transactions or report sequences for the AUTO keys, you can call those transactions and/or reports simply by pressing the corresponding AUTO keys in key operations.
Procedure

flowchart
graph TD
A["AUTO 1"] --> B["Transaction"]
C["AUTO 2"] --> B
B --> D["AUTO 1"]
B --> E["AUTO 2"]
D --> F["TL/NS"]
E --> F
G["Delete"] --> B
H["max. 25 times"] --> B
Programming for AUTO; entering a PLU 2 item (programmed unit price: 1.50) and a dept. 6 item (unit price: 1.00)

text_image
AUTO1 → 2 PLU 100 setting AUTO 1 a AUTO 1 TLNS PrintKey operation example *PGM* #01 2 PLU 1 0 0 D06Note
When the AUTO key has been programmed to execute a report job function etc., the mode switch must be in the appropriate position (X1/Z1 or X2/Z2).
9
Reading stored programs
Your machine allows you to read every program stored in the PGM mode.
■ Key sequence for reading stored program
Report name Key sequence
| Programming report | TLNS |
| Auto key programming report 1 | TLNS → |
| Printer density programming report 3 | TLNS → |
| PLU programming report | Start PLU code → ⊗ → End PLU code → PLU |
■ Sample printouts
1 Programming report

text_image
28/08/2000 123456 #1093 15:28 DAVID 1 *PGM* D01 073 FRUIT 10.00 D02 071 DPT.02 0.00 D03 I 23 173 DPT.03 0.00 Mode Dept. code Dept. text Dept. unit price w/sign Dept. function Tax status T1 T2 T3 T4 C#1 C#2 C#3 C#4 C#5 C#6 D15 053 DPT.15 -0.00 F01 (-) 1 006 F02 %1 -10.00 L 15.00% 000 F03 %2 -10.25% L100.00% 000 F05 TAX1 ST -0.00% Function no.& its text Minus department Discount amt. w/sign Function parametrs (A-C) Percent rate with sign Percent limit F20 NO SALE F21 ***RA 8 F22 ***PO 8 F23 CASH 008 F24 CHECK 008 F25 CARD 018 F26 EXCH1 € 001 F27 EXCH2 0.606800 HALO Function parameters Foreign currency symbol/ Function parameters Rate F68 EJ END YOUR RECEIPT THANK YOU SHARP IS THE BEST #5 00000000 Optional feature selection (A-H) #6 11000011 Print format (A-H) #7 00000000 Receipt print format(A-H) #8 0000 EURO system setting(A-D) #10 0030 Power saving mode(A-D) #11 3 Logo messeage print format #30 000001 RS-232C terminal no. #31 00 RS-232C transmission form (AB) #32 05 RS-232C transmission type/baud rate(AB) #33 002 013 RS-232C Start-End code #35 007 RS-232C timeout #36 000 RS-232C print data #50 50 Thermal printer density
text_image
T1 T2 4.0000% 0.12 T3 T4 C#1 DAVID Cashier name C#2 C#3 C#4 C#5 C#6 Lowest taxable amount Tax rate Cashier name Cashier code2 Auto key programming report 3 Printer density programming report

text_image
28/08/2000 123456 #1091 15:28 DAVID 1 *PGM* #01 2 PLU 1 0 0 D06 #02 ----
text_image
26/08/2000 123456 #1005 15:05 DAVID 1 *PGM* #50 99 Entered Value Printer density 10 : 0123456789AB 20 : 0123456789AB 30 : 0123456789AB 40 : 0123456789AB 50 : 0123456789AB 60 : 0123456789AB 70 : 0123456789AB 80 : 0123456789AB 90 : 0123456789AB Printing density example4 PLU programming report

text_image
28/08/2000 123456 #1090 15:27 DAVID 1 *PGM* PLU code P001 (02) Range PLU text MELON 0 Mode parameter P002 (15) 1.25 Unit price PLU.002 0 P003 (01) -0.15 PLU.014 1 P015 (01) 0.00 PLU.015 1 Associated dept. codeTRAINING MODE
The training mode is used when the operator or the manager practices register operations.
When a cashier set in training is selected, the machine automatically enters the training mode. When a cashier not set in training is selected, the machine automatically enters the ordinary REG mode. (For programming, consult your dealer.)
The training operations is valid only in REG, MGR and mode.
The corresponding cashier memory is updated in the training mode. Other memories are not updated.

PrintKey operation example

text_image
02/09/2000 123456 #0784 19:21 MARIA 2 **TRAINING** DPT.01 *10.00 3x 24.00 DPT.03 *72.00 ITEMS 4Q CASH *82.00READING (X) AND RESETTING (Z) OF SALES TOTALS
- Use the reading function (X) when you need to take a reading of sales information entered since the last resetting. You can take this reading any number of times. It does not affect the register's memory.
- Use the resetting function (Z) when you need to clear the register's memory. Resetting prints all sales information and clears the entire memory except for the GT1 through GT3 and Training GT reset count, and consecutive number.
1 Summary of reading (X) and resetting (Z) reports
X1 and Z1 reports: Daily sales reports
X2 and Z2 reports: Periodic (monthly) consolidation reports
| Item | Mode switch position | Key operation | |
| X1/Z1 X2/Z2 | |||
| Flash report: (Only display) To clear the display, press the CL key or turn the mode switch to another position. | ![]() | ||
![]() | |||
| _YHAH] | |||
| Full reading and resetting (Full sales report) | X1, Z1 X2, Z2 | ![]() | |
| Individual cashier reading and resetting (Individual cashier report) | X1, Z1 | - | ![]() |
![]() | |||
| Full cashier reading and resetting (Full cashier report) | X1, Z1 | - | ![]() |
| Reading and resetting of sales information for a range of PLUs/ subdepartments (PLU sales report) | X1, Z1 | - | ![]() |
| Reading and resetting of hourly sales information (Hourly report) | X1, Z1 | - | ![]() |
| Reading and resetting of the daily net totals (Daily net total report) | - | X2, Z2 | ![]() |
Note
- In the reports, when both of sales quantity and sales amount are zero, their printing is skipped. If you do not want to skip, change the programming. (Refer to “Programming print format”.)
- "X" represents read symbol and "Z" represents reset symbol in the reports.
2 Daily sales totals
■ Full sales report
- Sample report

other
27/08/2000 123456 #0072 9:40 DAVID 1 *Z1* Z1 0001 GT1 *00000001695.27 GT2 *00000001834.38 GT3 -00000000139.11 TR *00000000170.44 * DEPT * DO1 76.500 Q DPT.01 *514.21 DO2 10.000 Q DPT.02 *65.60 DO3 5.000 Q DPT.03 *78.00 D13 54.500 Q DPT.13 *114.45 *DEPT TL 246.000 Q *DEPT TL *1684.63 D15 7.000 Q DPT.15 *4.48 DEPT (-) 7.000 Q *TRANS.* (-) 1 2 Q %1 -3.22 %2 -5.77 %2 1 Q NET1 *1695.27 TAX1 ST *173.65 VAT 1 *6.68 TAX2 ST *38.34 VAT 2 *1.83 TAX3 ST *85.64 VAT 3 *2.49 TTL TAX *11.00 NET *1684.27 Mode title*1 Reset counter Net grand total(GT2-GT3) Grand total of plus registration Grand total of minus registration Grand total of training mode registration Dept. code Sales q'ty Sales amount "+" dept. counter and total "-" dept. counter and total Subtotal ⊖ counter and total Subtotal percent 1 counter and total Next sales total Taxable 1 total VAT 1 total Tax total Net total without tax
other
| Item | Value | |---|---| | (-) 1 | 4 Q | | | -6.75 | | %1 | 3 Q | | | -0.51 | | %2 | 3 Q | | | *2.78 | | REFUND | 5 Q | | | *36.90 | | # | 13 Q | | | *62.06 | | ≈ MODE | 2 Q | | MGR # | 4 Q | | SBTL # | 6 Q | | | *112.15 | | NO SALE | 2 Q | | ***RA | 1 Q | | ***PO | -3 Q | | | -60.10 | | GUEST | 61 Q | | PAID TL | *1695.27 | | AVE. | *27.79 | | CASH | 47 Q | | | *759.80 | | CHECK | 4 Q | | | *33.25 | | CREDIT | 4 Q | | | *112.60 | | EXCH1 | 3 Q | | DOM.CUR1 | 300.00 | | EXCH2 | *494.34 | | DOM.CUR2 | 1 Q | | EX1 CHK | 100.00 | | DOM.CUR1 | *164.73 | | EX1 CR | 30.89 | | DOM.CUR1 | *50.90 | | ****CID | 2 Q | | *CH ID | 51.55 | | CA/CH ID | *84.95 | | CHK/CG | *5.30 | } Item counter and total } Item percent 1 } counter and total } Refund counter and total } REG-mode void counter } and total } Void-mode transaction } counter and total } Manager item void counter } and total } Subtotal void counter } and total } No-sales counter } Received on account } counter and total } Paid out counter and total Customer counter Paid total Paid total average per customer Cash counter and total } Cheque sales counter and total } Credit sale and tendering } counter and total } Exchange counter and total (in preset rate entry) Domestic currency } Exchange manual rate entry counter and total } Exchange check (in preset rate entry) } Exchange credit (in preset rate entry) Cash in drawer Cheque in drawer Cash + cheque in drawer Change total for cheque tendering*1: When you take X1 report, "X1" is printed.
*2: Printed in the Z1 report only.
■ Cashier reports
Individual cashier report
- Sample report

text_image
27/08/2000 123456 #0067 9:36 DAVID 1 *X1* * CASHIER * 1 # DAVID GUEST 61 Q PAID TL *1695.27 AVE. *27.79 Mode title* Report title Cashier code Cashier name Customer counter Paid total Average 13 Q *62.06 2 Q *23.00 MGR 4 Q *23.00 SBTL 6 Q *112.15 EXCH1 3 Q 300.00 DOM. CUR1 *494.34 EXCH2 1 Q 100.00 DOM. CUR2 *164.73 ****CID *742.40 *CH ID *33.25 CA/CH ID *775.65*: When you take Z1 report, "Z1" is printed.
When you take the reports in OP X/Z mode, "OPX" or "OPZ" is printed.
Full cashier report
The printout occurs in the same format as in the sample report of individual cashier, but all cashier's sales data are printed in the order of cashier code number (from #1 to #6).
■ Hourly report PLU sales report
• Sample report • Sample report

text_image
07/08/2000 123456 #0221 18:03 DAVID 1 *X1* *HOURLY* 10:00 13 Q *119.97 11:00 18 Q *146.89 12:00 25 Q *183.11 17:00 19 Q *131.69 18:00 16 Q *86.84 Mode title* Report title Customer counter Sales total*: When you take Z1 report, "Z1" is printed.


text_image
27/08/2000 123456 #0069 9:38 DAVID 1 *X1* * PLU * 001-015 Mode title* Report title Range PLU code Item label P001 11.000 Q PLU.001 *55.00 P002 2.000 Q PLU.002 *3.00 P010 12.000 Q PLU.010 *84.80 P011 2.000 Q PLU.011 *24.00 P013 54.500 Q PLU.013 *114.45 P015 1.000 Q PLU.015 *5.38 ***TOTAL 82.500 Q *286.63 } Sales q'ty and total } Range sum*: When you take Z1 report, "Z1" is printed.
3 Periodic consolidation
■ Full sales report
- Sample report

text_image
27/08/2000 123456 #0751 19:49 DAVID 1 *Z2* Z1 0017 Z2 0002 GT1 *00000053555.47 GT2 *00000068179.45 GT3 -00000014623.98 TR *00000000170.44 Mode title*1 Reset counter of daily total Reset counter of periodic consolidation Grand total *2The subsequent printouts are the same in format as in the X1/Z1 full sales report.
*1: When you take X2 report, "X2" is printed.
*2: Printed in the Z2 report only
■ Daily net total report
- Sample report

other
| Date | Value | | :--- | :--- | | 30/09/2000 | 123456 | | #0548 19:14 DAVID | 1 | | *X2* | Mode title* Report title | | *DAILY * | | | 01/09 | 53 Q | | 02/09 | 64 Q | | 03/09 | 58 Q | | 03/09 | 1384.53 | | 29/09 | 61 Q | | 30/09 | 59 Q | | 30/09 | 1935.31 | | ***TOTAL | 1298 Q | | 30/09 | 44761.34 |*: When you take Z2 report, "Z2" is printed.
CCD -Compulsory Cash/cheque Declaration-
If you want to make mandatory the declaration of the cash and cheque amount in the drawer before outputting cashier Z reports, consult your dealer and have your register programmed for compulsory cash/cheque declaration.
If your register is programmed for compulsory cash/cheque declaration (CCD), a cashier must first count and declare the cash and cheque amounts (of domestic and foreign currency) in the drawer, before he or she can output a cashier report. The procedure for outputting a CCD report is shown below.
Types of compulsory cash/cheque declaration
• Compulsory declaration prior to individual cashier resetting
• Compulsory declaration prior to full cashier resetting
Note
- When cash/cheque declaration is compulsory, flash reports are not available.
• Individual cashier report

flowchart
graph TD
A["•"] --> B["CASH #"]
C["•"] --> D["CASH #"]
E["•"] --> F["X1/Z1 mode Cashier code"]
G["•"] --> H["RA"]
I["•"] --> J["Full cashier report X1/Z1 mode"]
K["•"] --> L["Q'ty"]
M["•"] --> N["#/TM/ST or EX"]
O["•"] --> P["#/TM/ST or EX"]
Q["•"] --> R["#/TM/ST"]
S["•"] --> T["To display cash/cheque subtotal"]
U["•"] --> V["Input the total amount of cash or cheques"]
W["•"] --> X["Input the cheque or currency denomination"]
Y["•"] --> Z["Cancel previous entry"]
AA["•"] --> AB["TL/NS"]
AC["•"] --> AD["X"]
AE["•"] --> AF["X"]
AG["•"] --> AH["#/TM/ST or EX"]
AI["•"] --> AJ["#/TM/ST or EX"]
AK["•"] --> AL["X"]
AM["•"] --> AN["X"]
AO["•"] --> AP["X"]
AQ["•"] --> AR["X"]
AS["•"] --> AT["X"]
AU["•"] --> AV["X"]
AW["•"] --> AX["X"]
AY["•"] --> AZ["CASH #"]
BA["•"] --> BB["CASH #"]
TMST : When inputting the cash and/or cheque amount in the drawer
EX : When inputting the amount of a foreign currency in the drawer

text_image
27/08/2000 123456 #0749 18:53 DAVID 1 *Z1* * CCD * CA/CH IS *880.22 EXCH1 IS 100.00 * CASHIER * 1# DAVID GUEST 42 Q PAID TL *1110.00 AVE. *26.43 UO 5 Q *441.56 }CCD entry amount
text_image
MODE 2 Q MGR 2 Q SBTL 1 Q *1515.00 *1515.00 *136.50 EXCH1 1 Q 100.00 100.00 0.00 EXCH1 IS CCD DIF. DOM.CUR1 *164.78 ****CID *786.22 *CH ID *94.00 CA/CH ID *880.22 CA/CH IS *880.22 CCD DIF. DIF.TL *0.00 *0.00 Currency exchange 1 in drawer to be obtained Total of entered (declared) exchange 1 in drawer Difference Cash in drawer to be obtained Check in drawer Cash/cheque in drawer to be obtained Total of entered (declared) cash/cheque in drawer Difference Total of differenceELECTRONIC JOURNAL
This function is intended to record the journal data in the electronic journal (EJ) memory instead of journal paper. For details, consult your dealer.
■ Recording journal data
Your register records the journal data in REG, PGM, ☐X1/Z1 and X2/Z2 modes into the EJ memory. In the X1/Z1 and X2/Z2 modes, the header information (please refer to EJ report sample shown below.) is stored in the memory.
■ Printing journal data on the way of a transaction
You can print journal data of a current transaction recorded in EJ memory by pressing the RCPT:PO key during the transaction.

- This function is valid when the printer type is set to receipt type on the programming, and also the receipt ON/OFF function is set to OFF.
- Sample receipt

text_image
26/08/2000 123456 #0022 17:56 DAVID 1 * EJ * 26/08/2000 123456 #0022 17:56 DAVID 1 DPT.01 *10.00 DPT.01 *15.00 * EJ END * EJ report title EJ report end title■ Reading and resetting the electronic journal data (Issuing EJ report)
You can read the journal data stored in the EJ memory in the journal format by executing following procedure in the X1/Z1 or OP X/Z mode.
To read/reset all of the data:

flowchart
graph LR
A["7"] --> B["•"]
C["0"] --> B
D["0"] --> B
B --> E["Resetting"]
E --> F["⊗"]
F --> G["TL/NS"]
H["Reading"] --> E
To read the last 10 records:


- On the EJ memory, a maximum of 2500 lines of data can be stored. When executing all data reading, all of the data stored in the EJ memory will be printed. So, make sure that there are enough paper on a paper roll. To save paper, compression print is available. Please consult with your dealer for details.
- To stop reading or resetting the data, turn the mode switch to "MGR" position. However, when you are resetting the data, it will not be cleared.
-
You can set a warning system to let you know the time when the memory is almost full, and/or to lock the data entry except issuing the EJ report when the memory is full. Please consult with your dealer for details.
-
Sample EJ report

text_image
26/08/2000 123456 #0037 18:22 DAVID 1 *OPX* * EJ * 26/08/2000 123456 #0031 18:11 DAVID 1 DPT.03 *12.00 DPT.05 *5.00 PLU.002 *1.50 PLU.011 *12.00 ITEMS 4Q CASH *30.50 26/08/2000 123456 #0032 18:11 DAVID 1 DPT.08 *2.00 ITEMS 2Q CASH *11.90 26/08/2000 123456 #0034 18:13 DAVID 1 *X1* * DEPT * *TRANS.* 26/08/2000 123456 #0035 18:15 DAVID 1 *X1* * CASHIER * * EJ END * Header information printPROGRAMMING FOR EURO
Your register can be modified to correspond with each period set for the introduction of EURO, and in your register each currency is treated as shown on the table below depending on which period you are in.
Basically your register can be automatically modified to correspond to the introduction of EURO by executing the modification operation in the X2/Z2 mode. However, there are several options you must set depending on your needs.
How currencies are treated in your register
| Period 1 | Period 2 | Period 3 | ||
| After the introduction of EURO, and before EURO banknotes and coins begin to circulate | After EURO banknotes and coins begin to circulate, and before national currency is withdrawn from circulation. (Co-existence of EURO and national currency) | After the national currency is withdrawn from circulation | ||
| Currency | EURO | Exchange key (Preset rate entry) | Domestic currency | Domestic currency |
| National currency (DM, F, etc.) | Domestic currency | Exchange key (Preset rate entry) | ||
| Foreign currency | Exchange key (Manual rate entry) | Exchange key (Manual rate entry) | Exchange key | |
Receipt samples
Period 1

text_image
DPT.01 *1.00 DPT.02 *2.00 ITEMS 2Q ***TOTAL *3.00——Sales total amount in national currency (as domestic currency) €1.57——Sales total amount in EURO* CASH *5.00——Tendered amount in national currency CHANGE *2.00——Change in national currency €1.04——Change in EURO* *: They are printed for information purposes only.Period 2

text_image
DPT.01 €0.52 DPT.02 €1.04 ITEMS 2Q ***TOTAL €1.56 —— Sales total amount in EURO (as domestic currency) *2.99 —— Sales total amount in national currency* CASH €2.00 —— Tendered amount in EURO CHANGE €0.44 —— Change in EURO *0.84 —— Change in national currency* *: They are printed for infomation purposes only.Period 3

text_image
DPT.01 DPT.02 €1.00 €2.00 ITEMS ***TOTAL CASH CHANGE 20 €3.00 €5.00 €2.00■ Automatic Modification of Register System for Introduction of EURO
To make your register correspond to the introduction of EURO, your register system can be automatically modified when the procedure shown below is executed in the X2/Z2 mode. According to the steps of the introduction, you can make your register correspond to EURO. Set the manager key (MA) to X2/Z2 position, and use the following sequence.

flowchart
graph LR
A["8"] --> B["0"] --> C["0"] --> D["•"] --> E["TL/NS"] --> F["*A"]
^* A=1: Applicable for period 1
*A=2: Applicable for period 2
*A=3: Applicable for period 3

- You can perform each operation only once with the substitution of “A=1”, “A=2” and “A=3”. If you perform the operation with the substitution of “A=2” first, you cannot perform the operation with the substitution of “A=1”. If you perform the operation with the substitution of “A=3” first, you cannot perform the operation with the substitution of “A=1” and “A=2”.
The details of the automatic register system modification are as follows:
(As for PGM functions described below, please refer to "Programming EURO system settings" for "Printing exchange total amount and change amount on receipt or journal" and "Exchange calculation method",
"Programming function parameters for key" for the number of digits after decimal point of exchange amount, "Programming exchange currency symbol" for exchange currency symbol, and "Programming domestic currency symbol" for domestic currency symbol.)
When "1" is substituted to "A":
- Issuing a general Z1 report
- Issuing a general Z2 report
- Setting "printing" for a PGM function "Printing exchange total amount and change amount on receipt or journal"
- Setting "division" for a PGM function "Exchange calculation method"
- Setting the EURO symbol (€) for the currency symbol of exchange key, and setting "2" for the number of digits after decimal point of exchange amount
- Setting the round-off function for currency exchange
After the execution of the procedure with the substitution of "1", treat EURO as foreign currency using the exchange key (EX) with the preset rate entry.
When "2" is substituted to "A":
- Issuing a general Z1 report
- Issuing a general Z2 report
- Resetting GT1, GT2, GT3 and Training GT
- Setting "printing" for a PGM function "Printing exchange total amount and change amount on receipt or journal"
- Setting "multiplication" for a PGM function "Exchange calculation method"
- Changing the domestic currency symbol to the EURO symbol (€) and setting the number of digits after decimal point of the domestic currency amount to 2
- For the setting of the currency symbol and the number of digits after decimal point of exchange amount, the ones that had been set to the domestic currency are set.
- Setting the round-off function for currency exchange
After the execution of the procedure with the substitution of "2", treat EURO as domestic currency, and national currency as foreign currency using the exchange key (EX) with the preset rate entry.
Since EURO becomes domestic currency in your register after execution of the procedure with the substitution of "2", you must change unit prices in each department and PLU to make prices correspond to EURO before actually you start operating your register again. As for the miscellaneous keys, also please change the rates or amounts so that they are based on amounts in EURO.
When "3" is substituted to "A":
- Issuing a general Z1 report
- Issuing a general Z2 report
- Resetting GT1, GT2, GT3 and Training GT
- Setting "not printing" for a PGM function "Printing exchange total amount and change amount on receipt or journal"
- Setting "multiplication" for a PGM function "Exchange calculation method"
- Changing the domestic currency symbol to the EURO symbol (€) and setting the number of digits after decimal of the domestic currency amount to 2
- Setting the round-off function for currency exchange
After the execution of the procedure with the substitution of "3", treat EURO as domestic currency.
When the operation with the substitution of "2" has been performed already, "3. Resetting GT1, GT2, GT3 and Training GT" is not executed.
When the operation with the substitution of "1" or "2" has been performed already, the currency symbol of exchange key is overwritten with a space.

- If you want to check the current status you are in, set the manager key (MA) to X2/Z2 position, and use the following sequence.

■ Optional Programming for the Introduction of EURO
Some programming relating with the function of exchange key (EX) cannot be changed automatically with the execution of modification operation described in the previous section. After the execution on each period, conduct the following programming depending on your needs.
Programming for Exchange Key (EX)
Currency exchange rate
For period 1 and period 2, set the EURO conversion rate.
For programming details, refer to "Programming the rate".
Exchange rate entry selection
When you treat EURO currency in the exchange key, you must apply preset rate entry. So, make enable for preset rate entry for period 1 and period 2. For programming details, refer to "Programming function parameters for key".
Cheque/credit operation
For period 1 and period 2, enable cheque/credit operation when tendering in foreign currency so that you can treat cheque and credit for EURO currency and national currency. For programming details, refer to "Programming EURO system setting".
OVERRIDE ENTRIES
Programmed limit for functions (such as for maximum amounts) can be overridden by making an entry in the MGR mode.
Procedure
- Turn the mode switch to the MGR position.
- Make an override entry.
Example
On this example, the register has been programmed not to allow deduction entries over 1.00.
REG-mode 1500
entries 250

| ⊖ ...Error

Turn the mode switch
to the MGR position.
250
Return the mode switch
to the REG position.
TL/NS
PrintKey operation example

text_image
DPT.02 *15.00 (一) 1 -2.50 ITEMS 1Q CASH *12.50CORRECTION AFTER FINALIZING A TRANSACTION (AFTER GENERATING A RECEIPT)
When you need to void incorrect entries that cashiers cannot correct (incorrect entries that are found after finalizing a transaction or cannot be corrected by direct or indirect void), follow this procedure.
- Turn the mode switch to the position using the manager key (MA).
- Repeat the entries that are recorded on an incorrect receipt. (All data for the incorrect receipt are removed from register memory; the voided amounts are added to the void-mode transaction totalizer.)

text_image
26/08/2000 123456 #0039 18:31 DAVID 1 DPT.02 *10.00 DPT.03 *1.50 ITEMS 2Q CASH *11.50 → Cancellation receiptIncorrect receipt 26/08/2000 123456 #0040 18:31 DAVID 1 *MODE * DPT.02 *10.00 DPT.03 *1.50 ITEMS 2Q CASH *11.50PRIOR TO ENTRIES
1 Preparations for entries
Before registrations, insert the operator key into the mode switch and turn it to the REG position and check the following items:
Paper roll
If the paper roll is not set in the machine or there is low roll, install new one according to section "4. Installing and removing the paper roll" under "OPERATOR MAINTENANCE."
Bill separator
A bill separator is set in a drawer. When necessary, use the separator so that you can treat two kinds of bills in a bill case.
Receipt ON/OFF function
When you use the printer to issue receipts, you can disable receipt printing in the REG mode to save paper using the receipt function. To disable receipt printing, press the FCPT/PO key in the OP X/Z position. This key toggles the receipt printing status ON and OFF.
To check the receipt printing status, turn the mode switch to the OP X/Z position or press the CL key in the REG mode. When the function is in the OFF status, the receipt off indicator “_” illuminates. Your register will print reports regardless of the receipt state, so the paper roll must be installed even when the receipt state is “OFF”.
Cashier assignment
Prior to any item entries, cashiers must enter their cashier codes into the register. However, the code entry may not be necessary when the same cashier handles the next transaction.

text_image
YOUR RECEIPT THANK YOU 26/08/2000 123456 #1001 14:30 DAVID 1 DPT. 01 *0. 10 ITEMS 1Q CASH *0. 10 Cashier code Cashier name■ Sign-on ■ Sign-off
To display the signed-on cashier code


2 Power saving mode
When the time which is programmed has passed under the condition that no entry nor operation is performed, your register will enter the power saving mode.
When your register goes to the power saving mode, it will light off all the display except the decimal point at the leftmost position. Your register will return to the normal operation mode when any key is pressed or a mode is changed with the mode key. However, please note that when your register is recovered by a key entry, its key entry is invalid. So, after the recovery, start the key entry from the beginning.
3 Error warning
In the following examples, your register will go into an error state accompanied with a warning beep and the error symbol “on the display. Clear the error state by pressing the CL key and take proper action.
Please refer to the error code table on page 59.
- When you enter an over 32-digit number (entry limit overflow): Cancel the entry and re-enter a correct number.
- When you make an error in key operation: Clear the error and continue operation.
- When you make an entry beyond a programmed amount entry limit: Check to see if the entered amount is correct. If it is correct, it can be rung up in the MGR mode. Contact your manager.
- When an including-tax subtotal exceeds eight digits: Delete the subtotal by pressing the CL key and press the TLNS, CH or CR key to finalize the transaction.
Error escape function
When you want to quit a transaction because of an error or something uncontrollable, use the error escape function as shown below:

flowchart
graph TD
A["Transaction"] --> B["CL"]
B --> C["ESC"]
C --> D["ESC"]
E["To clear the error state"] --> B
The transaction is voided (treated as a subtotal void) and the receipt is issued by this function. If you have already entered tendered amount, the operation is finalized as a cash sale.
ENTRIES
1 Item entries
■ Single item entries
Department entries
Enter a unit price and press a department key. If you use a programmed unit price, press a department key only.
When using a programmed unit price

flowchart
graph TD
A["Start"] --> B["1 (max. 7 digits)"]
B --> C["2 (SHIFT)"]
C --> D["Department keyUnit"]
style C fill:#f9f,stroke:#333
*1 Less than the programmed upper limit amounts *2 For the optional departments 16 through 30, press the department shift key at this point.
PLU entries
Enter a PLU code and press the key.

Subdepartment (open PLU) entries

flowchart
graph LR
A["Unit price * (max. 7 digits)"] --> B["AMT"]
B --> C["PLU code"]
C --> D["PLU"]
* Less than the programmed upper limit amounts
Note When those departments and PLUs for which the unit price has been programmed as zero (0) are entered, only the sales quantity is added.

text_image
1200 3 5 2 PLU 1200 AMT 11 PLU TLNSPrintKey operation example

text_image
DPT.03 *12.00 DPT.05 *5.00 PLU.002 *1.50 PLU.011 *12.00 ITEMS 4Q CASH *30.50■ Repeat entries
You can use this function for entering a sale of two or more same items.

text_image
Repeated department entry Repeated PLU entry Repeated subdepartment entry 200 10 500 60 PLU PLU AMT PLU TLNSPrintKey operation example

text_image
DPT. 08 *2.00 DPT. 08 *2.00 PLU. 010 *7.15 PLU. 010 *7.15 PLU. 060 *5.00 PLU. 060 *5.00 ITEMS 6Q CASH *28.30■ Multiplication entries
Use this feature entry method when you need to enter two or more same items.
This feature helps when you sell a large quantity of items or need to enter quantities that contain decimals.
Procedure

flowchart
graph TD
A["Q'ty"] --> B["Dept. key"]
B --> C["Unit price"]
C --> D["..."]
B --> E["PLU code"]
E --> F["PLU"]
B --> G["Unit price"]
G --> H["AMT"]
H --> I["PLU code"]
I --> J["PLU"]
C -.-> K["Dept. entry"]
E -.-> L["PLU entry"]
G -.-> M["Subdept. entry"]
• Q'ty: Up to four digits integer + three digits decimal
(When fractional quantity is entered, the quantity is counted as one.)
- Unit price: Less than a programmed upper limit
• Q'ty x unit price: Up to seven digits

text_image
Department entry { 7 • 5 ⊗ 165 □_B PLU entry { 15 ⊗ 13 PLU Subdepartment entry { 3 ⊗ 100 AMT 60 PLU TLNSPrintKey operation example

text_image
7.5x 1.65 DPT.08 *12.38 15x 2.10 PLU.013 *31.50 3x 1.00 PLU.060 *3.00 ITEMS 19Q CASH *46.88■ Single item cash sale (SICS) entry
- This function is useful when a sale is for only one item and is for cash; such as a pack of cigarettes. This function is applicable only to those departments that have been set for SICS or to their associated PLUs or subdepartments.
- The transaction is finalized and the drawer opens as soon as you press the department key or PLU key.

text_image
For finishing → 250 the transactionPrintKey operation example

text_image
DPT.09 *2.50 ITEMS 1Q CASH *2.50Note
If an entry to a department or PLU/subdepartment set for SICS follows the ones to departments or PLUs/subdepartments not set for SICS, it does not finalize and results in a normal sale.
2 Displaying subtotals
The subtotal is displayed by pressing the #TMST key. When you press it, the subtotal of all entries which have been made is displayed and the symbol "will light up in the display.

text_image
PrintKey operation example 100 9 100 2 700 3 #TMST TLNS DPT.09 *1.00 DPT.02 *1.00 DPT.03 *7.00 ITEMS 3Q CASH *9.00Note
Subtotal will not be printed on a receipt on the current factory setting. If you want to print it, change the setting by programming. Refer to "Programming receipt print format".
3 Finalization of transaction
■ Cash or cheque tendering
Press the #TM*ST key to get a subtotal, enter the amount tendered by your customer, then press the TLNS key if it is a cash tender or press the CH key if it is a cheque tender. When the amount tendered is greater than the amount of the sale, your register will show the change due amount and the symbol “ ” will light up. Otherwise your register will show a deficit and the symbol “ ” will light up. Make a correct tender entry.
Cash tendering

text_image
PrintKey operation example ITEMS 1Q ***TOTAL *7.35 CASH *10.00 CHANGE *2.65 endering PrintKey operation example ITEMS 1Q ***TOTAL *7.35 CHECK *10.00 CHANGE *2.65 1000 TL/NS 1000 CHCheque tendering

text_image
#TM/ST 1000 CH ITEMS 1Q ***TOTAL *7.35 CHECK *10.00 CHANGE *2.65■ Cash or cheque sale that does not need any tender entry
Enter items and press the TLNS key if it is a cash sale or press the CH if it is a cheque sale. Your register will display the total sale amount.

PrintKey operation example

text_image
DPT.06 *3.00 PLU.010 *7.15 ITEMS 2Q CASH *10. 15 In the case of cheque sale ITEMS 2Q CHECK *10. 15Credit sale
Enter items and press the credit key (CR).

PrintKey operation example

text_image
DPT.06 *25.00 DPT.07 *32.50 ITEMS 2Q CREDIT *57.50■ Mixed-tender sale
You can perform mixed-tendering of cheque and cash, cash and credit, and cheque and credit.

PrintKey operation example

text_image
ITEMS ***TOTAL CASH CREDIT 3Q *49.50 *9.50 *40.004 Computation of VAT (Value Added Tax)/tax
■ VAT/ tax system
The machine may be programmed for the following six tax systems by your dealer.
Automatic VAT 1-4 system (Automatic operation method using programmed percentages)
This system, at settlement, calculates VAT for taxable 1 through 4 subtotals by using the corresponding programmed percentages.
Automatic tax 1-4 system (Automatic operation method using programmed percentages)
This system, at settlement, calculates taxes for taxable 1 through 4 subtotals by using the corresponding programmed percentages, and also adds the the calculated taxes to those subtotals, respectively.
Manual VAT 1-4 system (Manual entry method using programmed percentages)

This system provides the VAT calculation for taxable 1 through 4 subtotals. This calculation is performed using the corresponding programmed percentages when the VAT key is pressed just after the #TMST key.
Manual VAT 1 system (Manual entry method for subtotals that uses VAT 1 preset percentages)

flowchart
graph LR
A["#TM/ST"] --> B["VAT rate"]
B --> C["VAT"]
D["To use a programmed rate"] --> B
This system enables the VAT calculation for the then subtotal. This calculation is performed using the VAT 1 preset percentages when the VAT key is pressed just after the #TMST key. For this system, the keyed-in tax rate can be used.
Manual tax 1-4 system (Manual entry method using preset percentages)

This system provides the tax calculation for taxable 1 through 4 subtotals. This calculation is performed using the corresponding programmed percentages when the VAT key is pressed just after the #TMST key. After this calculation, you must finalize the transaction.
Automatic VAT 1 and automatic tax 2-4 system
This system enables the calculation in the combination with automatic VAT 1 and automatic tax 2 through 4. The combination can be any of VAT1 corresponding to taxable 1 and any of tax 2 through 4 corresponding to taxable 2 through taxable 4 for each item. The tax amount is calculated automatically with the percentages previously programmed for these taxes.

- A PLU not programmed for any of the tax statuses is registered depending on the tax status of the department which the PLU belongs to.
- VAT/tax assignment symbol can be printed at the fixed right position near the amount on the receipt as follows:

When the multiple VAT/tax is assigned to a department or a PLU, a symbol of the lowest number assigned to VAT/tax rate will be printed. For details, contact your authorized SHARP dealer.

(When the manual VAT 1-4 system is selected)
PrintKey operation example

text_image
DPT.04 *5.50 A SUBTOTAL *5.50 TAX1 ST *5.50 VAT 1 *0.21 NET 1 *5.29 ITEMS 1Q CASH *5.505 Auxiliary entries
■ Percent calculations (premium or discount)
- Your register provides the percent calculation for the subtotal and/or each item entry depending on the programming.
• Percentage: 0.01 to 100.00% (Application of preset rate (if programmed) and manual rate entry are available.)
Percent calculation for the subtotal

text_image
4 140 570 #TM/ST % TL/NS (When a discount and 10% is programmed for the %1 key) PrintKey operation example 4x 1.40 DPT.05 DPT.07 SUBTOTAL % 1 -1.13 ITEMS CASH 5Q *10.17Percent calculation for item entries

other
| Label | Value | |---|---| | DPT.06 | *8.00 | | %2 | 15.00% | | PLU.015 | *1.20 | | %2 | *5.00 | | ITEMS | *0.38 | | CASH | 2Q | | (When premium and 15% are programmed for the %2 key) | 14.58 |■ Deduction entries
Your register allows you to deduct a preset amount or a certain amount manually entered, which are less than a programmed upper limit. These calculations can be after the entry of an item and/or the computation of subtotal depending on the programming.
Deduction for the subtotal

text_image
575 10 PLU #TMST 100 TLNS PrintKey operation example DPT.06 *5.75 PLU.010 *7.15 SUBTOTAL *12.90 (--) 1 -1.00 ITEMS 2Q CASH *11.90Deduction for item entries
675

(When a deduction amount of 75 is programmed.)
PrintKey operation example
DPT.07
(一) 1
*6.75
-0.75
ITEMS
CASH
10
*6.00
■ Refund entries
If a refund item is the one entered into a department, enter the amount of the refund, then press the RF key and the corresponding department key in this order; and if an item entered into a PLU is returned, enter the corresponding PLU code, then press the RF and PLU keys.
250


13


PrintKey operation example
DPT.06
R-2.50
-7×2.10
PLU.013
R-14.70
ITEMS
00
CHANGE
*17.20
■ Printing of non-add code numbers
Enter a non-add code number such as a customer's code number and credit card number within a maximum of 16 digits and press the #TMST key at any point during the entry of a sale. Your register will print it at once.
1230

1500


PrintKey operation example
0000000000001230
DPT.06
*15.00
ITEMS
10
CREDIT
*15.00
6 Payment treatment
■ Currency exchange
Your register allows payment entries of foreign currency. Pressing the EX key creates a subtotal in foreign currency.

flowchart
graph TD
A["After an entry is completed or After the amount tendered is found smaller than the sales amount in a sales entry"] --> B["*Exchange rate"]
B --> C["EX"]
C --> D["Amount tendered (max. 8 digits)"]
D --> E["TL/NS"]
D --> F["CH"]
D --> G["CR"]
E --> H["Next registration or payment in domestic currency"]
F --> H
G --> H
C --> I["CL"]
I --> J["Reentry"]
J --> A
style A fill:#f9f,stroke:#333
style B fill:#ccf,stroke:#333
style C fill:#cfc,stroke:#333
style D fill:#fcc,stroke:#333
style E fill:#cff,stroke:#333
style F fill:#ffc,stroke:#333
style G fill:#fcc,stroke:#333
style H fill:#ffc,stroke:#333
*Exchange rate: 0.000000 to 999.999999

- When the amount tendered is short, the deficit is shown in domestic currency.
- Availability of credit and cheque tendering is depending on programming (only for preset exchange rate).
- If programmed, a foreign currency symbol is printed when you apply preset rate.
Applying preset exchange rate

text_image
Currency exchange → Amount tendered in foreign currency 2300 □ 4650 □ EX 15000 TLNSPrintKey operation example

other
| Category | Value | Exchange rate | | :--- | :--- | :--- | | DPT.06 | *23.00 | Domestic currency | | DPT.07 | *46.50 | Domestic currency | | ITEMS | 2Q | Domestic currency | | ***TOTAL | *69.50 | Domestic currency | | EXCH1 | 1.550220 | Domestic currency | | CASH CHANGE | US $107.74 | Foreign currency | | CASH CHANGE | US $150.00 | Domestic currency | | CASH CHANGE | *27.26 | Domestic currency |Foreign currency symbol
Applying manual exchange rate

PrintKey operation example

text_image
DPT. 06 *23.00 DPT. 07 *46.50 ITEMS 2Q ***TOTAL *69.50 EXCH2 1.0190 70.82 CASH 100.00 CHANGE *28.63■ Received on account entries

flowchart
graph LR
A["Amount * (max. 8 digits)"] --> B["RA (Available cash tendering only)"]
*Less than the programmed upper limit
PrintKey operation example


■ Paid out entries

flowchart
graph LR
A["Amount* (max. 8 digits)"] --> B["RCPT/PO (Available cash tendering only)"]
*Less than the programmed upper limit
PrintKey operation example


■ No sale (exchange)
Simply press the TLNS key without any entry. The drawer will open and the printer will print "NO SALE" on the journal or the receipt. If you let your machine print a non-add code number before pressing the TLNS key, a no sale entry is achieved with a non-add code number printed.
0000000000045678
NO SALE
7 Automatic sequencing key (AUTO key) entries
You can achieve a programmed transaction simply by pressing a corresponding automatic sequencing key.


PrintKey operation example
| DPT.07 | *5.00 |
| ITEMS | 10 |
| CASH | *5.00 |
8 Receipt issuance after finalization/Copy receipt
If your customer wants a receipt after you have finalized a transaction with the receipt function being in the "OFF" status (no receipting), press the RCPTIPO key. This will produce a receipt. Your register can also print a copy receipt when the receipt function is in the "ON" status. If you want to make a copy, please consult your dealer.
Note
- Pressing the RCPT/PO key in the OP X/Z mode before registration toggles the status "ON" and "OFF".
- When more than 30 items are entered, the receipt will be issued in the format of summary receipt print.
Example
Printing a receipt after making the entries shown below with the receipt function being in the "OFF" status
PrintKey operation example

text_image
850 2 3 ⊗ 150 1 TL/NS For receipting → RCPT:PO
text_image
DPT.02 *8.50 3× 1.50 DPT.01 *4.50 ITEMS 4Q CASH *13.00When the receipt function is in the "ON" status and you press the RCPTIPO key to make a copy

text_image
* COPY * DPT.02 *8.50 3× 1.50 * DPT.01 *4.50 ITEMS 4Q CASH *13.00-When the receipt function is in the "ON" status, the "*COPY*" symbol will be printed on the receipt.
CORRECTION
1 Correction of the last entry (direct void)
If you make an incorrect entry relating to a department, PLU/subdepartment, percentage ( %1 and %2 ), deduction ( ) or refund, you can void this entry by pressing the key immediately after the incorrect entry.

PrintKey operation example

text_image
DPT.06 *12.50 DPT.06 -12.50 PLU.002 *1.50 PLU.002 -1.50 DPT.08 *6.00 15.00% %2 *0.90 %2 -0.90 DPT.09 *3.28 (-) 1 -0.28 (-) 1 *0.28 DPT.06 R-2.50 DPT.06 Ron*2.50 ITEMS 2Q CASH *9.282 Correction of the next-to-last or earlier entry (indirect void)
With the ∞ key, you can void any incorrect department entry, PLU/subdepartment entry or item refund entry made during a transaction if you find it before finalizing the transaction (e.g. pressing the TLNS key). This function is applicable to department, PLU/subdepartment and refund entries only.

tree
| Correction Type | Value | | :--- | :--- | | Department Entry Correction | 1310 | | Department Entry Correction | 1755 | | Department Entry Correction | 10 | | Department Entry Correction | 12 | | Department Entry Correction | 250 | | Department Entry Correction | 825 | | PLU Entry Correction | 1310 | | PLU Correction | 12 | | PLU Correction | 250 | | PLU Correction | RF | | PLU Correction | ∞ | | PLU Correction | PLU | | Refund Entry Correction | TLNS |PrintKey operation example

text_image
DPT.06 *13.10 DPT.07 *17.55 PLU.010 *7.15 PLU.012 *3.00 DPT.06 R-2.50 DPT.07 *8.25 DPT.06 ∞-13.10 PLU.012 ∞-3.00 DPT.06 R∞*2.50 ITEMS 3Q CASH *32.953 Subtotal void
You can void an entire transaction. Once subtotal void is executed, the transaction is aborted and the register issues a receipt. This function does not work when more than 30 items have been entered.
PrintKey operation example

text_image
1310 2 2 1755 6 10 PLU 35 PLU Subtotal void #TMST ∞ #TMST
text_image
DPT.02 *13.10 DPT.02 *13.10 DPT.06 *17.55 PLU.010 *7.15 PLU.035 *3.00 SUBTOTAL *53.90 SBTL ω -53.90 ***TOTAL *O. OO4 Correction of incorrect entries not handled by the direct or indirect void function
Any errors found after the entry of a transaction has been completed or during an amount tendered entry cannot be voided. These errors must be corrected by the manager.
The following steps should be taken:
- If you are making the amount tendered entry, finalize the transaction.
- Make correct entries from the beginning.
- Hand the incorrect receipt to your manager for its cancellation.
OVERLAPPED CASHIER ENTRY
This function allows you to switch from one cashier to another and to interrupt the first cashier's entry. So the second cashier can do his or her entry in this mode. For actual use of this function, consult your dealer.

- The overlapped cashier entry is not effective while the tendering sale is going on.
- If any cashier is still making an entry (or has not finalized the transaction yet), the machine does not run in any mode other than REG and MGR and can print no X/Z reports. The symbol “ F and the corresponding cashier code(s) are displayed at this time.
CommentsKey operation example
- Cashier 1 is assigned.

- Cashier 2 is assigned.

- Cashier 1 is assigned.

The entry by cashier 1 is started.
The entry by cashier 2 is started. (The entry by cashier 1 is interrupted.)
The transaction by cashier 2 is finalized.
The entry by cashier 1 is restarted.
The transaction by cashier 1 is finalized.
1 In case of power failure
When power is lost, the machine retains its memory contents and all information on sales entries.
- When power failure is encountered in register idle state or during an entry, the machine returned to the normal state of operation after power recovery.
- When power failure is encountered during a printing cycle, the register prints “======” and then carries out the correct printing procedure after power recovery. (See the sample print.)

text_image
F40 DOM.CUR1 F41 *CH ID F42 *DEPT TL F43 DEPT (-) F44 NET 12 In case of printer error
If the printer runs out of paper, the printer will stall, "PPPPPPPPPP" will appear on the display. Key entries will not be accepted. Referring to "4. Installing and removing the paper roll" in this chapter, install a new roll paper in the proper position, then press the CL key. The printer will print the power failure symbol and resume printing.
If the print head comes up, the printer stalls, "H" will appear on the very left of the display. Key entries will not be accepted. Bring back the print head to the correct position, then press the CL key. The printer will print the power failure symbol and resume printing.
3 Cautions in handling the printer and recording paper
■ Cautions in handling the printer

natural_image
Technical diagram showing a mechanical assembly with arrows indicating direction (no text or symbols)- If you are not going to use the register for an extended period of time, pull the print head release lever toward you so that the print head is set apart from the plate. (head-up position)
- Avoid the environments of dusty and humid place, direct sunlight and iron powder(a permanent magnet and electromagnet are use in this machine.)
- Use the print head release lever only when necessary.
-
Never pull the paper when it is in contact with the print head. First release the head with the print head release lever, and then remove the paper.
-
Never touch the surface of the print head.
- Never touch around the print head and the motor during printing or before they have had sufficient time to cool.
■ Cautions in handling the recording paper (thermal paper)
- Use only the paper specified by SHARP.
- Do not unpack the thermal paper until you are ready to use it.
- Avoid heat. The paper will color at around 70^ .
- Avoid dusty and humid places for storage. Avoid direct sunlight.
- The printed text on the paper can discolor under the conditions of exposure of high humidity and temperature, exposure to the direct sunlight, contact with glue, thinner or a freshly copied blueprint, and heat caused by friction from scratching or other such means.
- Be very careful when handling the thermal paper. If you want to keep a permanent record, copy the printed text with a photocopier.
4 Installing and removing the paper roll
Be sure to use paper rolls specified by SHARP.
The use of any other paper rolls than specified could cause paper jamming, resulting in register malfunction.
Paper specification
Paper width: 57.5 ± 0.5 mm Max. outside diameter: 70 mm Quality: Thermal paper
- Be sure to set paper roll(s) prior to using your machine, otherwise it may cause a malfunction.
Install the paper roll in the printer. Be careful then to set the roll and cut the paper end correctly.
If the top end of the paper roll is fixed with paste or tape, the paper may lose its color development ability in the pasted or taped area due to the deterioration of the heat-sensitive color development component of the paper surface. This may result in nothing appearing at this location when printing is performed. Therefore, when setting a new paper roll in the machine, be sure to cut off approximately one revolution (approx. 25 cm long).
(How to set the paper roll) (How to cut the paper end)

flowchart
graph LR
A["Incorrect"] --> B["To the printer"]
B --> C["Correct"]
C --> D["Correct Incorrect"]
■ Installing the paper roll
Precaution: Be very careful for the manual cutter mounted on the printer cover when removing and replacing the cover, so as not to hurt yourself.

When you install a paper roll for the first time, the printer is in printer error status because no paper roll has not installed yet. So, after installing a paper roll correctly, clear the error status by pressing CL key.

natural_image
Architectural site plan showing building layout with a black arrow indicating direction (no text or labels)
natural_image
Illustration of a hand inserting a component into a device (no text or symbols visible)
natural_image
Illustration of a hand using a tool to press or install a device into a control panel (no text or symbols visible)- Turn the mode switch to the "REG" position with the AC cord connected.
- Remove the printer cover.
- Check that the print head release lever is in its printing position.
- Set the paper correctly as illustrated above in the paper bed.
- Insert the end of the paper into the printer, while pressing the key, until it is caught by the printer auto-feed and comes out of the printer at the top.
-
When not using the take-up spool (using as receipt paper):
-
Cut off the excess paper that comes out of the printer using the edge of the inner cover, and replace the printer cover.
When using the take-up spool (using as journal paper): - Insert the end of the paper into the slit in the spool. (Press the key to feed more paper if required.)
- Wind the paper two or three turns around the spool shaft.
- Set the spool on the bearing, and press the key to take up excess slack in the paper.
- Replace the printer cover.
Note
You can wind the roll paper in OP X/Z, X1/X2, and X2/Z2 modes even if you programmed so that the printer is used for issuance of receipts. This may be convenient to wind reports. In this case, set the roll paper to the take-up spool.
Note
When you want to manually install a new roll of paper while your machine is turned off, follow the steps shown below:
- Pull the print head release lever toward you (to the head-up position). (Refer to the drawing on page 54.)
- Correctly place the new paper roll into the paper bed.
- Insert the paper end into the printer until it comes out of the printer.
- Return the print head release lever to its original position.
■ Removing the paper roll
When a red dye appears on the paper roll, it is time to replace the existing paper roll. Replace the paper roll with new one. If you plan not to use your register for an extended period of time, remove the paper roll, and store it in the appropriate place.
Precaution: Be very careful for the manual cutter mounted on the printer cover when removing and replacing the cover, so as not to hurt yourself.
When the take-up spool is not used:

natural_image
Line drawing of a hand inserting a component into a computer keyboard (no text or symbols)- Remove the printer cover.
- Cut the paper behind the printer and near the paper roll.
- Press the ↑ key until the paper remaining in the printer comes out completely.
- Remove the paper roll from the paper bed.
Note
Do not pull the paper through the printer.
When the take-up spool is used:

natural_image
Architectural line drawing of a building interior with structural elements (no text or symbols)- Remove the printer cover.
- Press the ↑ key to advance the journal paper until its printed part is out of the way.
- Cut the paper and remove the take-up spool.
- Cut the paper behind the printer and near the paper roll.
- Press the ↑ key until the paper remaining in the printer comes out completely.
- Remove the paper roll from the paper bed.
Note
Do not pull the paper through the printer.

natural_image
Illustration showing two hands holding a circular object with directional arrows indicating motion (no text or symbols)- Remove the outer side of the take-up spool as shown on the left.
- Remove the printed journal roll from the take-up spool.
5 Removing a paper jam
Precaution: Be very careful for the manual cutter mounted on the printer cover when removing and replacing the cover, so as not to hurt yourself. Never touch the print head immediately after printing, because the head may still be hot.
- Remove the printer cover.
- Pull the print head release lever toward you (to the head-up position). (Refer to the drawing on page 54.)
- Remove the paper jam. Check for and remove any shreds of paper that may remain in the printer.
- Return the print head release lever to its original position.
- Reset the paper roll correctly by following the steps in "Installing the paper roll".
6 Cleaning the print head
When the printed text is getting dark or faint, paper dust may be stuck to the print head. Clean the print head as follows:

natural_image
Illustration of hands installing or adjusting a mechanical component with an arrow indicating direction (no text or symbols present)
text_image
Roller Thermal headPrecautions:
- Never touch the print head with a tool or anything hard as it may damage the head.
-
Be very careful for the manual cutter mounted on the printer cover when removing and replacing the cover, so as not to hurt yourself.
-
Turn the mode switch to the "∅" position.
- Remove the printer cover.
- Remove the inner cover that protects the printer (Press the lever, and lift it up.)
- Pull the print head release lever toward you (to the head-up position). (Refer to the drawing on page 54.)
- Clean the print head with a cotton swab or soft rag moistened with ethyl alcohol or isopropyl alcohol.
- Return the print head release lever to its original position immediately after cleaning.
- Replace the inner cover. (Insert the side tabs of the cover into their slots and press the cover in the printer until it is properly seated.)
- Reset the paper roll correctly by following the steps in "Installing the paper roll".
7 Removing the till and the drawer
The till in the register is detachable. After closing your business for the day, remove the till from the drawer and keep the drawer open. The 5-denomination coin case is also detachable from the till. To detach the drawer, pull it forward fully with the till removed, and remove it by lifting it up.

text_image
Coin case Till Drawer Bill case Bill separator Coin case 5-denomination coin case (detachable)
text_image
Diagram showing two hands holding a tray with directional arrows labeled ① and ② indicating movement or force.8 Opening the drawer by hand

text_image
LeverThe drawer automatically opens in the usual way. However, when power failure is encountered or the machine becomes out of order, slide the lever located on the machine bottom in the direction of the arrow. (See the figure at the left.)
The drawer will not open, if it is locked with a drawer lock key.
9 Installing the fixing angle bracket
To prevent the register from moving when the drawer opens, the fixing angle bracket is supplied with the register. By attaching the bracket to the table where the register is installed, you can hook the register on this bracket and secure the register to its position.
How to install the fixing angle bracket

text_image
Diagram illustrating the operation of a hand holding a device, showing step-by-step assembly and component identification.- Thoroughly clean the location where the fixing angle bracket (B) is to be placed.
- Peel off the adhesive tape on the fixing angle bracket.
- Hook the angle bracket onto the hook (A) that is located at the bottom rear of the register.
- Firmly stick the fixing angle bracket to the table surface that your cleaned above.
How to remove the register from the fixing angle bracket

text_image
Diagram of a classic desktop computer with labeled parts and directional arrows indicating navigation or movement.- Lift up the front of the register and pull the register towards you.
10 Before calling for service
The malfunctions shown in the left-hand column below, labelled "Fault," do not necessarily indicate functional faults of the machine. It is therefore advisable to refer to the "Checking" shown in the right-hand column before calling for service.
| Fault Checking | |
| (1) The display won't be illuminated even when the mode switch is turned to any other position than “☐”. | • Is power supplied to the electrical outlet?• Is the power cord plug out or loosely connected to the electrical outlet? |
| (2) The display is illuminated, but the whole machine refuses registrations. | • Is a cashier code assigned to the register?• Is the mode switch set properly at the “REG” position? |
| (3) No receipt is issued. • Is the paper roll properly installed? | • Is there a paper jam?• Is the receipt function in the “OFF” status?• Is the print head release lever at the printing position? |
| (4) No journal paper is taken up. • Is the take-up spool installed on the bearing properly?• Is there a paper jam? | |
| (5) Printing is unusual. • Is the print head release lever at the printing position?• Is the paper roll properly installed? | |
■ Error code table
When the following error codes are displayed, press the CL key and take a proper action according to the table below.
| Error code | Error status Action | |
| E01 | Registration error Make a correct key entry. | |
| E02 | Misoperation error Make a correct key entry. | |
| E03 | Undefined code is entered. Enter a correct code, or declare it by the programming. | |
| E07 | Memory is full (in the AUTO key programming). Program the AUTO key within 25 steps. | |
| E11 | Compulsory depression of the #TMST key for direct finalization Press the #TMST key and continue the operation. | |
| E12 | Compulsory tendering Make a tendering operation. | |
| E22 | Overlapped cashier error | |
| E23 | Cashier resetting over error | |
| E32 | No entry of a cashier code Make a cashier code entry. | |
| E34 | Overflow limitation error Make a registration within a limit of entry. | |
| E35 | The open price entry is inhibited. Make a preset price entry. | |
| E36 | The preset price entry is inhibited. Make an open price entry. | |
| E37 | The direct finalization is inhibited. Make a tendering operation. | |
| E67 | Subtotal void is not allowed. | Finalize the transaction, and correct the wrong entries in the void mode. |
LIST OF OPTIONS
For your register, the following options are available.
For details, contact your dealer.
- Remote drawer model ER-05DW and ER-06DW
•Till model ER-58CC for ER-05DW
- Coin case model ER-58CV for ER-05DW
•Key kit models
By using the following key kits, you can change the keyboard layout of your register.
- ER-11KT7: 30 regular size key kits • ER-12KT7: 30 1 x 2 size key kits
- ER-22KT7: 10 2 x 2 size key kits • ER-11DK7G: 30 regular size dummy key kits
• ER-51DK7G: 10 5 x 1 size dummy key kits
SPECIFICATIONS
Model: ER-A220
Dimensions: 330 (W) x 363 (D) x 238 (H) mm
Weight: 8.9 kg
Power source: Official (nominal) voltage and frequency
Power consumption: Stand-by 20W
Operating 45W (max.)
Working temperature: 0 °C to 40 °C
Electronics: LSI (CPU) etc.
Built-in battery: Rechargeable battery, memory holding time about 1 month
(with fully charged built-in battery, at room temperature)
Display:
Operator display: 7-segment display (10 positions)
Customer display: 7-segment display (7 positions)
Printer:
Type: One-station thermal printer
Printing speed: Approx. 13.3 lines/second
Printing capacity: 30 digits each for receipt and journal paper
Other functions: • Graphic logo printing function
- Logo message function
- Receipt (ON-OFF) function, compression printing function
Paper roll: Width: 57.5 ± 0.5 mm
Max. diam.: 70 mm
Quality: High quality (0.06 to 0.08 mm thickness)
Cash drawer: 3 slots for bill and 7 for coin denominations
Accessories: Manager key 2
Operator key 2
Drawer lock key 2
Paper roll 1
Take-up spool 1
Bill separator 1 (Set in the drawer)
Fixing angle bracket 1
Instruction manual 1 copy
EINLEITUNG
2 Schubladenschlüssel....6
ANZEIGEN....7
ELEKTRONISCHES JOURNAL (EJ)......35
EURO-PROGRAMMIERUNG ....36
natural_image
Line drawing of a closed office desk with a keyboard and monitor (no text or symbols)2 Schubladenschlüssel
text_image
PLU/SUB DEPT REPEAT 03 12.50 RCPT OFF Kassierercode 45678.90ELEKTRONISCHES JOURNAL (EJ)
flowchart
graph LR
A["#TM/ST"] --> B["MWSt-Satz"]
B --> C["VAT"]
text_image
4 140 5 570 7 #TMST %1 TLNStree
| Node | Value | |---|---| | 1310 | 6 | | 1755 | 7 | | 10 | PLU | | 12 | PLU | | 250 | RF | | 825 | 7 | | 1310 | ∞ | | 12 | PLU | | 250 | RF | | | TLNS |text_image
F14 NETTO 2 F15 RETOUREN F16 EINZELSTORNO F17 STORMOMODUS = = = = = = = = = = = = = = F17 STORMOMODUS F18 MGR-STORNOnatural_image
Technical diagram showing a tool interacting with a mechanical component, no text or symbols presentnatural_image
Hand pressing a button on a keyboard layout (no text or symbols visible)natural_image
Architectural line drawing of a building interior with stairs and windows (no text or symbols)natural_image
Illustration showing two hands holding a circular object with a grid pattern, before and after rotation (no text or symbols)natural_image
Illustration of hands installing or adjusting a mechanical component with an arrow indicating rotation (no text or symbols present)
text_image
Diagram showing two hands interacting with a device, labeled with arrows indicating direction of movement or force.text_image
Diagram illustrating a handover operation on a digital call center, showing steps from receipt to door panel and cable attachment.text_image
Diagram of a desktop computer with labeled parts and directional arrows indicating call or operation flow.Max. Durchmesser: 70 mm
Schubladenschlüssel 2
Papierrolle 1
Aufwickelspule 1
PROGRAMMATION......8
natural_image
Line drawing of a vintage office typewriter with a keypad and front panel, showing no text or symbols.text_image
*PGM* #11 O■ Programmation de l'interface RS-232C
text_image
*PGM* #50 00text_image
DPT. 04 *5.50 A S/TOTAL *5.50 TTC 1 *5.50 TVA 1 *0.11 HT 1 *5.39 ARTICLES 1Q ESPECES *5.50text_image
F17 NUL TICK F18 NUL MGR F19 S/TL NIII = = = = = = = = = = = = = F19 S/TL NUL F20 TIROIRnatural_image
Technical diagram showing a mechanical assembly with arrows indicating motion (no text or symbols)text_image
Correct Incorrectnatural_image
Isometric line drawing of a warehouse or storage area with machinery and storage units (no text or symbols)1
Retirez le capot de l'imprimante.
text_image
Technical diagram showing hands operating a device with directional arrows indicating movement or operationnatural_image
Diagram of a hand pressing a button on a computer keyboard (no text or symbols visible)1
- Retirez le capot de l'imprimante.
natural_image
Architectural line drawing of a building interior with furniture layout (no text or symbols)1
- Retirez le capot de l'imprimante.
natural_image
Illustration of two hands holding a circular object, showing a change from left to right (no text or symbols present)7
natural_image
Hand inserting a component into a circuit board (no text or symbols visible)Précautions:
text_image
Diagram illustrating a handover operation on a digital phone, showing steps from receipt to door and cable attachment.1
natural_image
Line drawing of a closed office desk with a keyboard and open refrigerator (no text or symbols)text_image
*PGM* #11 Otext_image
*PGM* #50 00text_image
4 140 5 570 7 #TMST %1 TLNSnatural_image
Technical diagram showing a mechanical assembly with arrows indicating direction (no text or symbols)natural_image
Architectural floor plan showing room layouts and structural elements (no text or labels)
natural_image
Line drawing of a hand using a tool to press or install electronic components (no text or symbols visible)
natural_image
Illustration of a hand using a computer to press a device into a grid (no text or symbols visible)natural_image
Hand inserting a component into a computer keyboard (no text or symbols visible)natural_image
Architectural line drawing of a multi-level building facade with structural elements (no text or symbols)natural_image
Illustration of hands holding a circular object with directional arrows indicating motion (no text or symbols)natural_image
Illustration of hands installing or adjusting a component on a circuit board (no text or symbols visible)
text_image
Diagram showing two hands holding a rectangular object with directional arrows labeled ① and ②, indicating movement or force direction.8 Abertura manual del cajón

text_image
Palancatext_image
Diagram illustrating the operation of a digital mailer with labeled parts A and B, showing hand positioning and component insertion.text_image
Diagram of a desktop computer with labeled parts and directional arrows indicating movement or navigation.The wires in this mains lead are coloured in accordance with the following code:
BLUE:
Neutral
BROWN:
Live
As the colours of the wires in the mains lead of this apparatus may not correspond with the coloured markings identifying the terminals in your plug, proceed as follows.
The wire which is coloured BLUE must be connected to the terminal which is marked with the letter N or coloured black.
The wire which is coloured BROWN must be connected to the terminal which is marked with the letter L or coloured red.
The apparatus must be protected by a 3A fuse in the mains plug or distribution board.
CAUTION: DO NOT CONNECT THE LIVE (BROWN) WIRE OR THE NEUTRAL (BLUE) WIRE TO THE EARTH TERMINAL OF YOUR 3-PIN MAINS PLUG.
Environment Protection
The device is supported by a battery. To dispose the battery safely to protect the environment, please note the following points:
• Take the used battery to your local waste depot, dealer or customer service centre for recycling.
- Do not throw the used battery into fire, into water or into the household waste!
EasyManual








