EABH16DF6V - Pompe à chaleur DAIKIN - Notice d'utilisation et mode d'emploi gratuit
Retrouvez gratuitement la notice de l'appareil EABH16DF6V DAIKIN au format PDF.
| Caractéristiques techniques | Pompe à chaleur air/eau, puissance nominale de 16 kW |
|---|---|
| Type de fluide frigorigène | R-32 |
| Rendement énergétique (COP) | 4,5 (selon conditions de test) |
| Plage de fonctionnement | -20°C à 35°C |
| Niveau sonore | 55 dB(A) à 1 m |
| Dimensions (L x H x P) | 1000 x 1400 x 400 mm |
| Poids | 120 kg |
| Utilisation | Chauffage et production d'eau chaude sanitaire |
| Entretien | Vérification annuelle recommandée, nettoyage des filtres |
| Réparation | Intervention par un professionnel certifié |
| Sécurité | Protection contre le gel, sécurité électrique intégrée |
| Informations générales | Garantie de 5 ans sur le compresseur |
FOIRE AUX QUESTIONS - EABH16DF6V DAIKIN
Questions des utilisateurs sur EABH16DF6V DAIKIN
0 question sur cet appareil. Repondez a celles que vous connaissez ou posez la votre.
Poser une nouvelle question sur cet appareil
Téléchargez la notice de votre Pompe à chaleur au format PDF gratuitement ! Retrouvez votre notice EABH16DF6V - DAIKIN et reprennez votre appareil électronique en main. Sur cette page sont publiés tous les documents nécessaires à l'utilisation de votre appareil EABH16DF6V de la marque DAIKIN.
MODE D'EMPLOI EABH16DF6V DAIKIN
Manuel d'utilisation
Daikin Altherma 3 H F+W
1 À propos du présent document 30
2 À propos du système 31
2.1 Composants dans une configuration type du système.... 31
3 Fonctionnement 31
3.1 Interface utilisateur: vue d'ensemble.... 31
3.2 Écrans possibles: vue d'ensemble 32
3.2.1 Écran d'accueil.... 32
3.2.2 Écran du menu principal 33
3.2.3 Écran du point de consigne .... 33
3.2.4 Écran détaillé incluant des valeurs 34
3.3 ACTIVATION ou DÉSACTIVATION d'opération 34
3.3.1 Indication visuelle.... 34
3.3.2 Pour ACTIVER ou DÉSACTIVER.... 34
3.4 Contrôle du chauffage/rafraîchissement 35
3.4.1 Réglage du mode ambiant.... 35
3.4.2 Modification de la température intérieure souhaitée... 35
3.4.3 Modification de la température de départ voulue..... 35
3.5 Contrôle de l'eau chaude sanitaire.... 36
3.5.1 Mode de réchauffage.... 36
3.5.2 Mode programmé.... 36
3.5.3 Mode programmé + de réchauffage.... 36
3.5.4 Utilisation du fonctionnement puissant de l'ECS...... 37
3.6 Utilisation avancée 37
3.7 Écran de la programmation: exemple 37
3.8 Structure de menus: vue d'ensemble des réglages utilisateur.. 40
3.9 Réglages installateur: tableaux à remplir par l'installateur ..... 41
3.9.1 Assistant de configuration.... 41
3.9.2 Menu des réglages 41
4 Conseils pour économiser l'énergie 41
5 Maintenance et entretien 42
5.1 Vue d'ensemble: maintenance et entretien 42
5.2 Pour trouver le N° à contacter/assistance.... 42
6 Dépannage 42
6.1 Pour afficher le texte d'aide en cas de dysfonctionnement ..... 42
6.2 Symptôme: vous avez trop froid (chaud) dans la salle de séjour....42
6.3 Symptôme: l'eau qui sort du robinet est trop froide.... 43
6.4 Symptôme: panne de la pompe à chaleur.... 43
6.5 Symptôme: Le système émet des gargouillements après la mise en service 43
7 Mise au rebut 43
8 Glossaire 43
1 À propos du présent document
Merci d'avoir acheté ce produit. Veuillez:
- lire attentivement la documentation avant d'utiliser l'interface utilisateur de manière à bénéficier de performances optimales,
- demander à l'installateur de vous communiquer les réglages qu'il a utilisés pour configurer le système. Déterminez s'il a rempli les tableaux de réglages installateur. Dans le cas contraire, demandez-lui de le faire.
- conserver la documentation pour pouvoir vous y reporter ultérieurement.
Public visé
Utilisateurs finaux
Documentation
Le présent document fait partie d'un ensemble. L'ensemble complet comprend les documents suivants:
- Consignes de sécurité générales:
- Consignes de sécurité que vous devez lire avant d'utiliser le système
- Format: Papier (dans le carton de l'unité intérieure)
- Manuel d'utilisation:
- Guide rapide pour l'utilisation de base
- Format: Papier (dans le carton de l'unité intérieure)
• Guide de référence utilisateur:
- Instructions pas à pas détaillées et informations de fond pour l'utilisation de base et l'utilisation avancée
- Format: Fichiers numériques sous http://www.daikineurope.com/support-and-manuals/product-information/
Il est possible que les dernières révisions de la documentation fournie soient disponibles sur le site Web Daikin de votre région ou via votre installateur.
La documentation d'origine est rédigée en anglais. Toutes les autres langues sont des traductions.
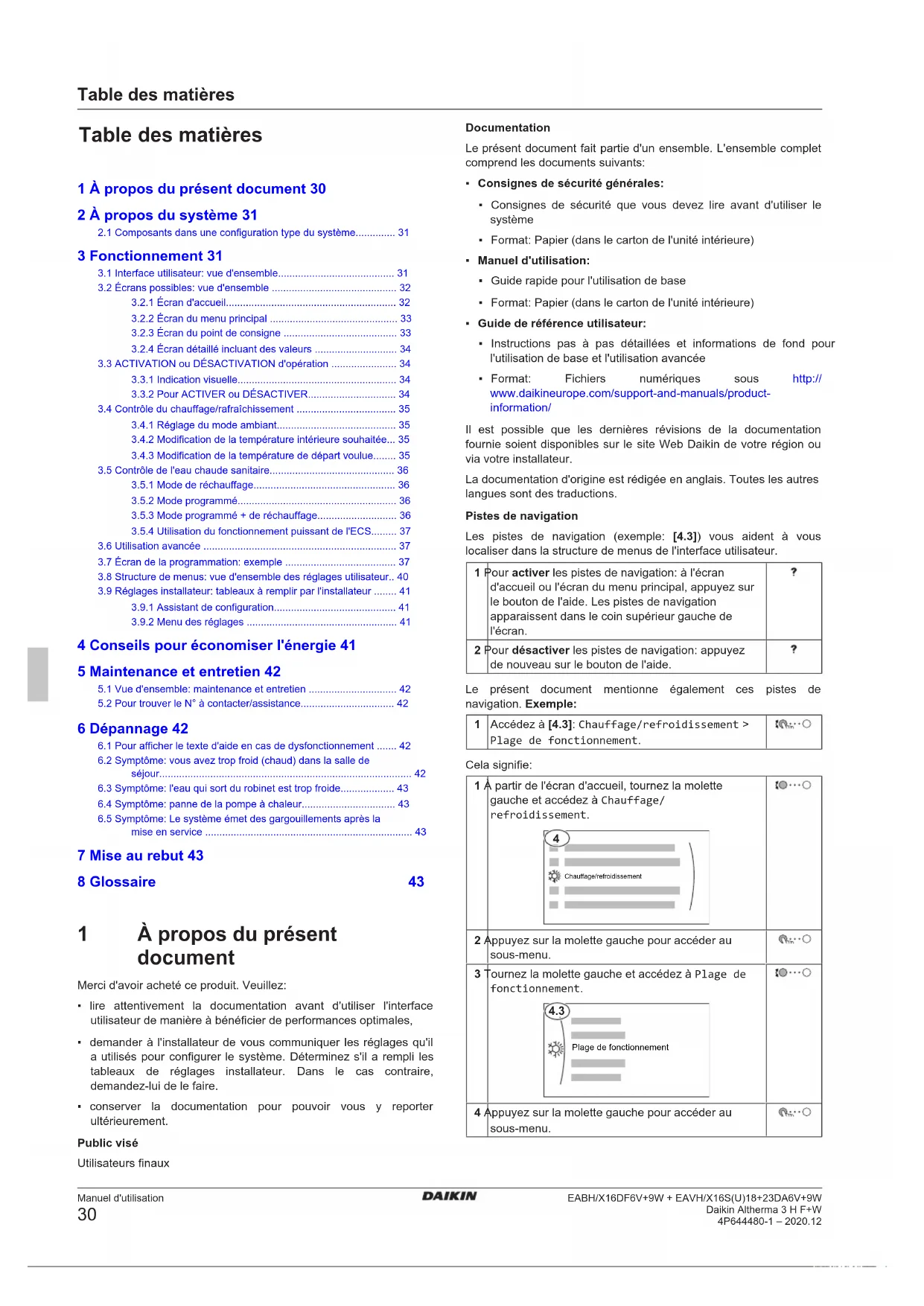
Pistes de navigation
Les pistes de navigation (exemple: [4.3]) vous aident à vous localiser dans la structure de menus de l'interface utilisateur.
| 1 | Pour activer les pistes de navigation: à l'écran d'accueil ou l'écran du menu principal, appuyez sur le bouton de l'aide. Les pistes de navigation apparaissent dans le coin supérieur gauche de l'écran. | ? |
| 2 | Pour désactiver les pistes de navigation: appuyez de nouveau sur le bouton de l'aide. | ? |
Le présent document mentionne également ces pistes de navigation. Exemple:
| 1 | Accédez à [4.3]: Chauffage/refroidissement > Plage de fonctionnement. |
Cela signifie:
| 1 A partir de l'écran d'accueil, tournez la molette gauche et accédez à Chauffage/refroidissement. | 10...○ |
| 2 Appuyez sur la molette gauche pour accéder au sous-menu. | 9...○ |
| 3 Tournez la molette gauche et accédez à Plage de fonctionnement. | 10...○ |
| 4 Appuyez sur la molette gauche pour accéder au sous-menu. | 9...○ |
2 À propos du système
Selon la configuration du système, le système peut:
- chauffer une pièce,
- rafraîchir une pièce (si le modèle à pompe à chaleur C/R est installé).
- produire de l'eau chaude sanitaire (si un ballon ECS est installé).
2.1 Composants dans une configuration type du système

flowchart
graph TD
A["Fan"] --> b["Condenser Unit"]
b --> d["Drain Unit"]
d --> c["Refrigerator"]
c --> g["Condenser"]
g --> B["Refrigerator"]
b --> e["Computer"]
e --> f["Condenser"]
f --> g
style A fill:#f9f,stroke:#333
style B fill:#ccf,stroke:#333
style C fill:#cfc,stroke:#333
style D fill:#fcc,stroke:#333
style e fill:#cff,stroke:#333
style f fill:#ffc,stroke:#333
style g fill:#fcf,stroke:#333
A Zone principale. Exemple: Salle de séjour.
B Zone secondaire. Exemple: Chambre.
C Local technique. Exemple: Garage.
a Pompe à chaleur de l'unité extérieure
b Pompe à chaleur de l'unité intérieure
c Ballon d'eau chaude sanitaire (ECS)
d Interface utilisateur de l'unité intérieure
e Interface utilisateur utilisée en tant que thermostat d'ambiance
f Chauffage au sol
g Radiateurs, convecteurs de pompe à chaleur ou unités de ventilation

INFORMATIONS
L'unité intérieure et le ballon d'eau chaude sanitaire (s'il est installé) peuvent être séparés ou intégrés selon le type d'unité intérieure.
3 Fonctionnement
3.1 Interface utilisateur: vue d'ensemble
L'interface utilisateur possède les composants suivants:

text_image
a b ca Indicateur de statut
b Écran à cristaux liquides
c Molettes et boutons

a Indicateur de statut
b Écran à cristaux liquides
c Molettes et boutons
Indicateur de statut
Les DEL de l'indicateur de statut s'illuminent ou clignotent pour indiquer le mode de fonctionnement de l'unité.
| Diode électrolumines cente | Mode Description |
| Clignotement bleu | Attente L'unité est à l'arrêt. |
| Bleu continu Fonctionnement L'unité est en marche. | |
| Clignotement rouge | DysfonctionnementUn dysfonctionnement est survenu.Reportez-vous à la section "6.1 Pour afficher le texte d'aide en cas de dysfonctionnement" [▶ 42] pour plus d'informations. |
Écran à cristaux liquides
L'écran à cristaux liquides dispose d'une fonction de veille. Au bout de 15 minutes de non-interaction avec l'interface utilisateur, l'écran s'assombrit. Appuyer sur un des boutons ou tourner une des molettes réactivera l'affichage.
Molettes et boutons
Les molettes et les boutons permettent de:
- Naviguer dans les écrans, les menus et les réglages de l'écran à cristaux liquides
- Définir les valeurs

text_image
) ( )
text_image
a b c d e| Élément | Description | |
| a | Molette gauche | L'écran à cristaux liquides affiche un arc du côté gauche de l'écran lorsque vous pouvez utiliser la molette gauche.▪ : tournez et appuyez ensuite sur la molette gauche. Naviguez dans la structure de menus.▪ : tournez la molette gauche. Choisissez un élément du menu.▪ : appuyez sur la molette gauche. Confirmez votre choix ou passez au sous-menu. |
3 Fonctionnement
| Élément Description | |
| b Touche retour | ←: appuyez pour retourner 1 étape en arrière dans la structure de menus. |
| c Bouton accueil | →: appuyez pour retourner à l'écran d'accueil. |
| d Bouton de l'aide | ?: appuyez pour afficher un texte d'aide relatif à la page actuelle (le cas échéant). |
| e Molette droite | L'écran à cristaux liquides affiche un arc du côté droit de l'écran lorsque vous pouvez utiliser la molette droite.· : tournez et appuyez ensuite sur la molette droite. Modifiez une valeur ou un réglage indiqués du côté droit de l'écran.· : tournez la molette droite. Naviguez dans les valeurs et réglages disponibles.· : appuyez sur la molette droite.Confirmez votre choix et passez à l'élément suivant du menu. |
3.2 Écrans possibles: vue d'ensemble
Les écrans suivants sont les plus courants:

flowchart
graph TD
A["Input Data"] --> B{OR}
B --> C["Output"]
C --> D["c1"]
C --> E["c2"]
C --> F["c3"]
C --> G["c4"]
D --> H["Feedback Loop"]
E --> I["Feedback Loop"]
F --> J["Feedback Loop"]
G --> K["Feedback Loop"]
a Écran d'accueil
b Écran du menu principal
c Écrans de niveau inférieur:
c1: écran du point de consigne
c2: écran détaillé incluant des valeurs
c3: écran avec courbe de la loi d'eau
c4: écran programmé
3.2.1 Écran d'accueil
Appuyez sur le bouton pour retourner à l'écran d'accueil. Vous pouvez observer une vue d'ensemble de la configuration de l'unité ainsi que de la température intérieure et de la température du point de consigne. Seuls les symboles qui s'appliquent à votre configuration sont visibles à l'écran d'accueil.

text_image
j i h g f 55 45 21 35 1.6 bar 18 Feb 2018 22:19 e d c b a| Actions possibles sur cet écran | |
| ○···○ | Parcourir la liste du menu principal. |
| ○···○ | Passer à l'écran du menu principal. |
| ? | Activer/désactiver les pistes de navigation. |
| Élément Description | ||
| 21 21 | Les températures sont indiquées dans des cercles. Si le cercle est gris, le fonctionnement correspondant (exemple: chauffage) n'est pas actif actuellement. | |
| Unité extérieurea2 a3a1 | a1 | Unité extérieure |
| a2 | Mode silencieux actif | |
| a3 | Température ambiante mesurée | |
| Unité intérieure / ballon d'eau chaude sanitaireb2b1 | b1 | Unité intérieure:: Unité intérieure au sol avec ballon intégréUnité intérieure murale avec ballonséparéUnité intérieure murale |
| b2 | Pression d'eau | |
| Mode ambiant | c | RafraîchissementChauffage |
| Désinfection / puissant | d | Mode désinfection actifFonctionnement puissant actif |
| Date / heure | e | Date et heure actuelles |
| Jour d'absence | f | Mode vacances actif |
| Zone principaleg3 g4g1 g2 | g1 | Type à émetteur de chaleur:Chauffage au solVentilo-convecteur(s): Radiateur |
| g2 | Point de consigne pour la température de départ | |
| g3 | Type à thermostat d'ambiance:Daikin interface utilisateur utilisée en tant que thermostat d'ambiance: Commande externeMasqué: Contrôle de température de départ | |
| g4 | Température intérieure mesurée | |
| Élément Description | ||
| Zone secondaireh3h1 h2 | h1 Type à émetteur de chaleur: : Chauffage au sol : Ventilo-convecteur(s) : Radiateur | |
| h2 Point de consigne pour la température de départ | ||
| h3 Type à thermostat d'ambiance: : Commande externe : Masqué: Contrôle de température de départ | ||
| Eau chaude sanitairei1 i2 | i1 : Eau chaude sanitaire | |
| i2 Température du ballon mesurée | ||
| Dysfonction nement | j ou Un dysfonctionnement est survenu Reportez-vous à la section "6.1 Pour afficher le texte d'aide en cas de dysfonctionnement" [▶42] pour plus d'informations. | |
3.2.2 Écran du menu principal
À partir de l'écran d'accueil, appuyez sur () ou tournez (à la molette gauche pour ouvrir l'écran du menu principal. À partir du menu principal, vous pouvez accéder aux différents écrans du point de consigne et aux sous-menus.

text_image
2 Error Pièce Zone principale Zone secondaire Chaulage/rehoidissement aa Sous-menu sélectionné
| Actions possibles sur cet écran | |
| ○···○ | Parcourir la liste. |
| ○···○ | Accéder au sous-menu. |
| ? | Activer/désactiver les pistes de navigation. |
| Sous-menu Description | ||
| [0] | ou éreur | Limitation: S'affiche uniquement lorsqu'un dysfonctionnement survient.Reportez-vous à la section "6.1 Pour afficher le texte d'aide en cas de dysfonctionnement" [▶ 42] pour plus d'informations. |
| [1] | Pièce | Limitation: S'affiche uniquement lorsqu'un thermostat d'ambiance est raccordé à l'unité intérieure.Réglez la température intérieure. |
| [2] | Zone principale | Indique le symbole applicable pour votre type d'émetteur de la zone principale.Réglez la température de départ pour la zone principale. |
| [3] | Zone secondaire | Limitation: S'affiche uniquement lorsqu'il y a deux zones de température de départ. Indique le symbole applicable pour votre type d'émetteur de la zone secondaire.Réglez la température de départ pour la zone secondaire (le cas échéant). |
| Sous-menu Description | ||
| [4] | Chauffage/refroidissement | Indique le symbole applicable pour votre unité.Mettez l'unité en mode chauffage ou en mode rafraîchissement. Le mode ne peut pas être modifié sur les modèles de chauffage uniquement. |
| [5] | Ballon | Limitation:S'affiche uniquement lorsqu'un ballon d'eau chaude sanitaire est présent.Réglez la température du ballon d'eau chaude sanitaire. |
| [7] | Réglages utilisateur | Donne accès aux réglages utilisateur tels que le mode vacances et le mode silencieux. |
| [8] | Informations | Affiche les données et les informations concernant l'unité intérieure. |
| [9] | Réglages installateur | Limitation:Uniquement pour l'installateur.Donne accès aux réglages avancés. |
| [A] | Mise en service | Limitation:Uniquement pour l'installateur.Effectuez des essais et la maintenance. |
| [B] | Profil utilisateur | Changez le profil utilisateur actif. |
| [C] | Fonctionnement | Activez ou désactivez la fonctionnalité de chauffage/rafraîchissement et la préparation d'eau chaude sanitaire. |
3.2.3 Écran du point de consigne
L'écran du point de consigne s'affiche pour les écrans décrivant les composants du système qui exigent une valeur du point de consigne.
Exemples
[1] Écran de la température intérieure

text_image
1 21°C Pièce + - -[3] Écran de la zone supplémentaire

text_image
3 45°c Zone secondaire + - -[2] Écran de la zone principale

text_image
2 35°C Zone principale[5] Écran de la température du ballon

text_image
5 50°C BallonExplications

| Actions possibles sur cet écran | |
| ○···○ | Parcourir la liste du sous-menu. |
| ○···○ | Passer au sous-menu. |
| ○···○ | Régler et appliquer automatiquement la température souhaitée. |
| Élément Description | ||
| Limite de température minimum | a1 Fixée par l'unité | |
| a2 Restreinte par l'installateur | ||
| Limite de température maximum | b1 Fixée par l'unité | |
| b2 Restreinte par l'installateur | ||
| Température actuelle c Mesurée | par l'unité | |
| Température souhaitée d Tournez | la molette droite pour augmenter/diminuer. | |
| Sous-menu e Tournez ou appuyez sur la molette gauche pour passer au sous-menu. | ||
3.2.4 Écran détaillé incluant des valeurs

text_image
a c bExemple:

line
7.2.1 Date/heure Heures 11 Minutes 30 a c ba Réglages
b Valeurs
c Réglage et valeur sélectionnés
| Actions possibles sur cet écran | |
| ○···○ | Parcourir la liste des réglages. |
| ○···○ | Modifier la valeur. |
| ○···○ | Passer au réglage suivant. |
| ○···○ | Confirmer les modifications et procéder. |
3.3 ACTIVATION ou DÉSACTIVATION d'opération
3.3.1 Indication visuelle
Certaines fonctionnalités de l'unité peuvent être activées ou désactivées séparément. Si une fonctionnalité est désactivée, l'icône de température correspondante sera grise à l'écran d'accueil.
Contrôle de la température intérieure

text_image
a 55 45 21 35 1.6 bar
text_image
b 55 45 21 35 1.6 bara MARCHE du contrôle de la température intérieure
b ARRÊT du contrôle de la température intérieure
Fonctionnement du chauffage/rafraîchissement

text_image
c 55 45 21 35 1.6 bar
text_image
d 55 45 21 35 1.6 barc MARCHE du fonctionnement du chauffage/rafraîchissement
d ARRÊT du fonctionnement du chauffage/rafraîchissement
Fonctionnement du chauffage du ballon

text_image
e 55 45 21 35 1.6 bar
text_image
f 55 45 21 35 1.6 bare MARCHE du fonctionnement du chauffage du ballon
f ARRÊT du fonctionnement du chauffage du ballon
3.3.2 Pour ACTIVER ou DÉSACTIVER
Contrôle de la température intérieure

text_image
1 Accédez à [C.1]: Fonctionnement > Pièce. C.1 Fonctionnement Piece Marche Chauffage/refroidissement Marche 2 Réglez le fonctionnement sur Marche ou Arrêt. ○…○Fonctionnement du chauffage/rafraîchissement
REMARQUE
Protection antigel. Même si vous DÉSACTIVEZ le fonctionnement du chauffage/rafraîchissement ([C.2]: Fonctionnement > Chauffage/refroidissement), le fonctionnement de la protection antigel - si activé - peut encore être activée. Toutefois, pour le contrôle de la température de départ ou le contrôle par le thermostat d'ambiance externe, la protection n'est PAS garantie.
REMARQUE
Prévention du gel de la tuyauterie d'eau. Même si vous DÉSACTIVEZ le fonctionnement du chauffage/rafraîchissement ([C.2]: Fonctionnement > Chauffage/refroidissement), la prévention du gel de la tuyauterie d'eau - si activée - reste active.

text_image
1 Accédez à [C.2]: Fonctionnement > Chauffage/refroidissement. C.2 Fonctionnement Pièce Marche Chauffage/refroidissement Marche Ballon Arrêt 2 Réglez le fonctionnement sur Marche ou Arrêt. ○…○Fonctionnement du chauffage du ballon

REMARQUE
Mode désinfection. Même si vous DÉSACTIVEZ le fonctionnement du chauffage ([C.3]: Fonctionnement > Ballon), le mode désinfection reste activé. Toutefois, si vous le DÉSACTIVEZ pendant le déroulement de la désinfection, une erreur AH se produit.

text_image
1 Accédez à [C.3]: Fonctionnement > Ballon. C.3 Fonctionnement Chauffage/refroidissement Marche Ballon Arrêt 2 Réglez le fonctionnement sur Marche ou Arrêt. ○…○3.4 Contrôle du chauffage/rafraîchissement
3.4.1 Réglage du mode ambiant
À propos des modes ambiants
Votre unité peut être un modèle chauffage ou chauffage/rafraîchissement:
- Si votre unité est un modèle chauffage, elle peut réchauffer une pièce.
- Si votre unité est un modèle chauffage/rafraîchissement, elle peut à la fois réchauffer et rafraîchir une pièce. Vous devez indiquer au système le mode de fonctionnement à utiliser.
Pour indiquer au système le mode ambiant à utiliser, vous pouvez:
| Vous pouvez... Emplacement | |
| Identifier le mode ambiant actuellement utilisé. | Écran d'accueil |
| Définir le mode ambiant en permanence. Menu principal | |
| Restreindre le changement automatique en fonction d'un programme mensuel. | |
Pour régler le mode ambiant
| 1 Accédez à [4.1]: Chauffage/refroidissement > Mode de fonctionnement | ### |
| 2 Sélectionnez une des options suivantes:• Chauffage: Uniquement en mode chauffage• Refroidissement: Uniquement en mode rafraîchissement• Automatique: le mode de fonctionnement bascule automatiquement entre le rafraîchissement et le chauffage en fonction de la température extérieure. Restreint par mois en fonction du Calendrier du mode de fonctionnement [4.2]. | ### |
Restriction du changement automatique en fonction d'un programme
Conditions: Le mode ambiant doit être réglé sur Automatique.
| 1 Accédez à [4.2]: Chauffage/refroidissement > Calendrier du mode de fonctionnement. | ###...○ |
| 2 Sélectionnez un mois. | ###...○ |
| 3 Pour chaque mois, sélectionnez une option: · Réversible: Non restreint · Chauffage seul: Restreint · Froid seul: Restreint | ○...○. |
| 4 Confirmez les modifications. | ###...○ |
3.4.2 Modification de la température intérieure souhaitée
Pendant le contrôle de la température intérieure, vous pouvez utiliser l'écran du point de consigne de la température intérieure pour lire et régler la température intérieure souhaitée.
| 1 Accédez à [1]: Pièce. | |
| 2 Réglez la température intérieure voulue. | |
| a Température intérieure réelle b Température intérieure voulue |
Si la programmation est activée après avoir modifié la température intérieure voulue
- La température restera la même tant qu'il n'y a pas d'action programmée.
- La température intérieure voulue retournera à sa valeur programmée chaque fois qu'une action programmée se produit.
Vous pouvez éviter le comportement programmé en désactivant (temporairement) la programmation.
Désactivation de la programmation de la température intérieure
| 1 Accédez à [1.1]: Pièce > Horloge. | ###...○ |
| 2 Sélectionnez Non. | ###...○ |
3.4.3 Modification de la température de départ voulue

INFORMATIONS
L'eau de sortie est l'eau envoyée aux émetteurs de chaleur. La température de départ voulue est définie par votre installateur en fonction du type d'émetteur de chaleur. Il vous suffit de configurer les réglages de la température de départ en cas de problèmes.
Vous pouvez utiliser l'écran du point de consigne de la température de départ pour lire et régler la température de départ voulue.
3 Fonctionnement
| 1 Accédez à [2]: Zone principale ou [3]: Zone secondaire. | [IMAGE] |
![]() | |
![]() | |
| 2 Réglez la température de départ voulue. | ○···● |
![]() | |
![]() | |
| a Température de départ réelleb Température de départ voulue |
3.5 Contrôle de l'eau chaude sanitaire
3.5.1 Mode de réchauffage
En mode de réchauffage, le ballon d'eau chaude sanitaire chauffe en permanence jusqu'à ce que la température indiquée sur l'écran d'accueil soit atteinte (exemple: 50°C) lorsque la température chute en dessous d'une certaine valeur.

line
| Time | Temperature (°C) | | ---------------- | ---------------- | | 00:0007:00 | ~50 | | 14:0021:00 | ~50 | | Final | ~50 |INFORMATIONS
Risque de manque de capacité de chauffage pour le ballon d'eau chaude sanitaire sans booster ECS interne: en cas d'utilisation fréquente de l'eau chaude sanitaire, le chauffage/rafraîchissement est interrompu fréquemment et sur de longues durées lorsque vous sélectionnez ce qui suit:
Ballon > Mode chauffage > Réchauffement seul.
INFORMATIONS
Lorsque le mode de réchauffage est sélectionné pour le ballon d'eau chaude sanitaire, il existe un risque important de manque de capacité et de problème de confort. En cas de réchauffage fréquent, le chauffage/rafraîchissement est régulièrement interrompu.
3.5.2 Mode programmé
En mode programmé, le ballon d'eau chaude sanitaire produit de l'eau chaude sanitaire en fonction d'un programme. Le meilleur moment pour que le ballon puisse produire de l'eau chaude est la nuit parce que la demande en chauffage est moindre.
Exemple:

T. Température du ballon d'eau chaude sanitaire t Temps
- Initialement, la température du ballon ECS est la même que la température d'eau sanitaire qui entre dans le ballon ECS (exemple: 15°C).
- À 00:00, le ballon ECS est programmé pour chauffer l'eau jusqu'à une valeur prédéfinie (exemple: Confort = 60°C).
- Le matin, vous consommez de l'eau chaude et la température du ballon ECS diminue.
- À 14:00, le ballon ECS est programmé pour chauffer l'eau jusqu'à une valeur prédéfinie (exemple: Éco = 50°C). De l'eau chaude est de nouveau disponible.
- L'après-midi et le soir, vous consommez de nouveau de l'eau chaude et la température du ballon ECS diminue de nouveau.
- À 00:00 le lendemain, le cycle se répète.
3.5.3 Mode programmé + de réchauffage
En mode programmé + de réchauffage, le contrôle de l'eau chaude sanitaire est le même qu'en mode programmé. Cependant, lorsque la température du ballon d'eau chaude sanitaire est inférieure à une valeur prédéfinie (=température du ballon pour le réchauffage – valeur de l'hystérésis; exemple: 35°C), le ballon d'eau chaude sanitaire chauffe jusqu'à ce que le point de consigne de réchauffage soit atteint (exemple: 45°C). Ce qui garantit qu'une quantité minimale d'eau chaude est toujours disponible.
Exemple:

T_t Température du ballon d'eau chaude sanitaire t Temps
3.5.4 Utilisation du fonctionnement puissant de l'ECS
À propos du fonctionnement puissant
Fonctionnement en mode puissant permet à l'eau chaude sanitaire d'être chauffée par le chauffage d'appoint ou le booster ECS. Utilisez ce mode les jours où l'utilisation d'eau chaude est plus élevée que d'habitude.
Pour déterminer si le fonctionnement puissant est activé

Si s'affiche à l'écran d'accueil, le fonctionnement puissant est activé.
Activez ou désactivez Fonctionnement en mode puissant de la manière suivante:
| 1 | Accédez à [5.1]: Ballon > Fonctionnement en mode puissant | |
| 2 | Mettez le fonctionnement puissant sur Arrêt ou Marche. |
Exemple d'utilisation: vous avez immédiatement besoin de plus d'eau chaude
Vous êtes dans la situation suivante:
- Vous avez déjà utilisé la plus grande partie de votre eau chaude sanitaire.
- Vous ne pouvez pas attendre la prochaine action programmée pour chauffer le ballon d'eau chaude sanitaire.
Dans ce cas, vous pouvez activer le fonctionnement puissant. Le ballon d'eau chaude sanitaire commencera à chauffer l'eau jusqu'à la température de Confort.

INFORMATIONS
Lorsque le fonctionnement puissant est actif, le risque de perte de puissance de chauffage/rafraîchissement et de problèmes de confort est élevé. En cas de fonctionnement fréquent de l'eau chaude sanitaire, de longues et fréquentes interruptions du chauffage/rafraîchissement se produiront.
3.6 Utilisation avancée
La quantité d'informations affichées et pouvant être modifiées dans la structure de menus varie en fonction de votre niveau autorisation utilisateur:
- Utilisateur: Mode standard
- Utilisateur avancé: Vous pouvez lire et modifier davantage d'informations
Changement de niveau d'autorisation de l'utilisateur
Vous pouvez changer le niveau d'autorisation de l'utilisateur de la manière suivante:
1 Accédez à [B]: Profil utilisateur.![]() | ###...○ |
| 2 Saisissez le code pin correspondant pour le niveau autorisation utilisateur. | — |
| • Parcourez la liste des chiffres et modifiez le chiffre sélectionné. | ○...○ |
| • Déplacez le curseur de gauche à droite. | ○...○ |
| • Confirmez le code pin et poursuivez. | ○...○ |
Code pin de l'utilisateur
Le code pin de l'Utilisateur correspond à 0000.

text_image
Utilisateur 0000Code pin de l'utilisateur avancé
Le code pin de l'Utilisateur avancé correspond à 1234. Des éléments supplémentaires du menu pour l'utilisateur sont désormais visibles.

text_image
Utilisateur avancé 12343.7 Écran de la programmation: exemple
Cet exemple indique comment définir un programme de température intérieure en mode chauffage pour la zone principale.

INFORMATIONS
Les procédures de réglage sont les mêmes pour les autres programmations.
Pour définir le programme: vue d'ensemble
Exemple: Vous souhaitez définir le programme suivant:

text_image
Déf. util. 1 Lun Mar Mer Jeu Ven Sam DimCondition requise: Le programme de la température intérieure est uniquement disponible si le contrôle du thermostat d'ambiance est actif. Si le contrôle de la température de départ est actif, vous pouvez alors définir le programme de la zone principale.
1 Passez au programme.
2 (en option) Effacer les contenus de la totalité du programme de la semaine ou les contenus d'un programme du jour sélectionné.
3 Définissez le programme du Lundi.
4 Copiez le programme dans les autres jours de la semaine.
5 Définissez le programme pour Samedi et copiez-le dans Dimanche.
6 Donnez un nom au programme.
Pour passer au programme
| 1 Accédez à [1.1]: Pièce > Horloge. | __^ |
| 2 Réglez la programmation sur Oui. | __^ |
| 3 Accédez à [1.2]: Pièce > Programme de chauffage. | __^ |
3 Fonctionnement
Pour effacer le contenu du programme de la semaine
| 1 Sélectionnez le nom du programme actuel. | [IMAGE] |
| 2 Sélectionnez Supprimer. | [IMAGE] |
| 3 Sélectionnez 0K pour confirmer. | [IMAGE] |
Pour effacer le contenu du programme du jour
1 Sélectionnez le jour pour lequel vous souhaitez effacer le contenu. Par exemple Vendredi![]() | ###...○ |
2 Sélectionnez Supprimer.![]() | ###...○ |
| 3 Sélectionnez OK pour confirmer. | ###...○ |
Définition du programme du Lundi
| 1 Sélectionnez Lundi. | ![]() | ###...○ |
| 2 Sélectionnez Modifier. | ![]() | ###...○ |
| 3 Utilisez la molette gauche pour sélectionner une entrée et éditez l'entrée à l'aide de la molette droite. Vous pouvez définir jusqu'à 6 actions pour chaque jour. Sur la barre, une température élevée présente une couleur plus foncée que celle correspondant à une température basse.Note: Pour annuler une action, réglez son heure sur celle de l'action précédente. | ○...○○...○ |
| 4 Confirmez les modifications.Résultat: Le programme pour Mardi est défini. La valeur de la dernière action est valide jusqu'à la prochaine action programmée. Dans cet exemple, Lundi est le premier jour que vous avez programmé. Ainsi, la dernière action programmée est valide jusqu'à la première action du Lundi suivant. | ○...○ |
Copie du programme dans les autres jours de la semaine
1 Sélectionnez Lundi.![]() | ###...○ | |
2 Sélectionnez Copier. Résultat: "C" s'affiche en regard du jour copié. | ###...○ | |
3 Sélectionnez Mardi.![]() | ###...○ | |
4 Sélectionnez Collage. Résultat:![]() | ###...○ | |
| 5 Répétez cette action pour tous les autres jours de la semaine. | — | |
| Déf. util. 1 | ||
| Lun | C | |
| Mar | ||
| Mer | ||
| Jeu | ||
| Ven | ||
| Sam | ||
| Dim | ||
Définition du programme pour Samedi et copie dans Dimanche
| 1 Sélectionnez Samedi. | [IMAGE] |
| 2 Sélectionnez Modifier. | [IMAGE] |
3 Utilisez la molette gauche pour sélectionner une entrée et éditez l'entrée à l'aide de la molette droite.![]() | [IMAGE] |
| 4 Confirmez les modifications. | [IMAGE] |
| 5 Sélectionnez Samedi. | [IMAGE] |
| 6 Sélectionnez Copier. | [IMAGE] |
| 7 Sélectionnez Dimanche. | [IMAGE] |
8 Sélectionnez Collage.Résultat:![]() | [IMAGE] |
Pour renommer le programme
1 Sélectionnez le nom du programme actuel.![]() | ### |
2 Sélectionnez Renommer.![]() | ### |
| 3 (en option) Pour effacer le nom du programmeactuel, parcourez la liste de caractères jusqu'à ceque ← soit affiché, puis appuyez pour supprimer lecaractère précédent. Répétez l'opération pourchaque caractère du nom du programme. | ○... |
| 4 Pour nommer le programme actuel, parcourez lalliste des caractères et confirmez le caractèresélectionné. Le nom du programme peut contenirjusqu'à 15 caractères. | ○... |
| 5 Confirmez le nouveau nom. | ### |

INFORMATIONS
Tous les programmes ne peuvent pas être renommés.
3.8 Structure de menus: vue d'ensemble des réglages utilisateur

flowchart
graph TD
A["[1"] Pièce] --> B["Horloge"]
B --> C["Programme de chauffage"]
C --> D["(*) Programme de refroidissement"]
D --> E["Antigel"]
D --> F["Plage de point de consigne"]
D --> G["Décalage de capteur int."]
H["[2"] Zone principale] --> I["Horloge"]
I --> J["Programme de chauffage"]
J --> K["(*) Programme de refroidissement"]
K --> L["Mode point consigne"]
K --> M["Loi d'eau chauffage"]
K --> N["(*) Loi d'eau refroidissement"]
O["[3"] Zone secondaire] --> P["Horloge"]
P --> Q["Programme de chauffage"]
Q --> R["(*) Programme de refroidissement"]
R --> S["Mode point consigne"]
R --> T["Loi d'eau chauffage"]
R --> U["(*) Loi d'eau refroidissement"]
V["[4"] Chauffage/refroidissement] --> W["Mode de fonctionnement"]
W --> X["(*) Calendrier du mode de fonctionnement"]
Y["[5"] Ballon] --> Z["Fonctionnement en mode puissant"]
Z --> AA["Point de consigne de confort"]
AA --> AB["Point de consigne Éco"]
AB --> AC["Point de consigne de réchauffement"]
AC --> AD["Horloge"]
AE["[7"] Réglages utilisateur] --> AF["Langue"]
AF --> AG["Date/heure"]
AF --> AH["Vacances"]
AH --> AI["Silencieux"]
AH --> AJ["Tarif électricité"]
AH --> AK["Prix du gaz"]
AL["[8"] Informations] --> AM["Données d'énergie"]
AM --> AN["Historique d'erreurs"]
AN --> AO["Informations d'installateur"]
AO --> AP["Capteurs"]
AP --> AQ["Actionneurs"]
AQ --> AR["Modes de fonctionnement"]
AR --> AS["À propos"]
AS --> AT["Statut de la connexion"]
AU["[B"] Profil utilisateur] --> AV["Pièce"]
AV --> AW["Chauffage/refroidissement"]
AW --> AX["Ballon"]
A --> A1["[1.4"] Antigel]
A --> A2["Activation"]
A --> A3["Point de consigne d'ambiance"]
H --> H1["[1.5"] Plage de point de consigne]
H --> H2["Point de consigne minimum chauffage"]
H --> H3["Point de consigne maximum chauffage"]
H --> H4["(*) Point de consigne minimum refroidissement"]
H --> H5["(*) Point de consigne maximum refroidissement"]
V --> V1["[7.2"] Date/heure]
V --> V2["Heures"]
V --> V3["Minutes"]
V --> V4["Année"]
V --> V5["Mois"]
V --> V6["Jour"]
V --> V7["Heure d'été"]
V --> V8["Format"]
W --> W1["[7.3"] Vacances]
W --> W2["Activation"]
W --> W3["Du"]
W --> W4["Jusqu'à"]
X --> X1["[7.4"] Silencieux]
X --> X2["Activation"]
X --> X3["Horloge"]
Y --> Y1["[7.5"] Tarif électricité]
Y --> Y2["Haute"]
Y --> Y3["Moyen"]
Y --> Y4["Bas"]
Y --> Y5["Horloge"]
AU --> AU1["[8.1"] Données d'énergie]
AU --> AU2["Entrée électrique"]
AU --> AU3["Chaleur produite"]

Écran du point de consigne
(*) Uniquement applicable aux modèles réversibles, ou aux modèles de chauffage uniquement + kit de conversion

INFORMATIONS
La visibilité des réglages dépend des réglages installateur sélectionnés et de la catégorie d'appareil.
3.9 Réglages installateur: tableaux à remplir par l'installateur
3.9.1 Assistant de configuration
| Réglage Remplissez... | ||
| Système | ||
| Type d'unité intérieure (lecture seule) | ||
| Type de chauffage d'appoint [9.3.1] | ||
| Eau Chaude Sanitaire [9.2.1] | ||
| Urgence [9.5] | ||
| Nombre de zones [4.4] | ||
| Chauffage d'appoint | ||
| Tension [9.3.2] | ||
| Configuration [9.3.3] | ||
| Puissance du niveau 1 [9.3.4] | ||
| Puissance additionnelle du niveau 2 [9.3.5] (le cas échéant) | ||
| Zone principale | ||
| Type d'émetteur [2.7] | ||
| Commande [2.9] | ||
| Mode point consigne [2.4] | ||
| Horloge [2.1] | ||
| Zone secondaire (uniquement si [4.4] = 1) | ||
| Type d'émetteur [3.7] | ||
| Commande (lecture seule) [3.9] | ||
| Mode point consigne [3.4] | ||
| Horloge [3.1] | ||
| Ballon | ||
| Mode chauffage [5.6] | ||
| Point de consigne de confort [5.2] | ||
| Point de consigne Éco [5.3] | ||
| Point de consigne de réchauffement [5.4] | ||
3.9.2 Menu des réglages
| Réglage Remplissez... | ||
| Zone principale | ||
| Type de thermostat [2.A] | ||
| Zone secondaire (le cas échéant) | ||
| Type de thermostat [3.A] | ||
| Informations | ||
| Informations d'installateur [8.3] | ||
4 Conseils pour économiser l'énergie
Conseils au sujet de la température intérieure
- Veillez à ce que la température intérieure souhaitée ne soit JAMAIS trop élevée (en mode de chauffage) ou trop faible (en mode de rafraîchissement) mais TOUJOURS adaptée à vos besoins réels. Chaque degré peut représenter une économie de jusqu'à 6% sur vos frais de chauffage/rafraîchissement.
- N'augmentez/réduisez PAS la température intérieure souhaitée pour chauffer/rafraîchir la pièce plus rapidement. La pièce ne chauffera/rafraîchira PAS plus rapidement.
- Si la configuration de votre système inclut des émetteurs de chaleur lents (exemple: chauffage au sol), évitez les écarts importants au niveau de la température intérieure souhaitée et ne laissez PAS la température intérieure baisser/s'élever de manière trop importante. Réchauffer/rafraîchir la pièce nécessitera davantage de temps et d'énergie.
-
Utilisez un programme hebdomadaire pour vos besoins normaux en chauffage ou en rafraîchissement. Si nécessaire, vous pouvez facilement vous écarter du programme:
-
Pendant de courtes périodes: vous pouvez annuler la température intérieure programmée jusqu'à la prochaine action programmée. Exemple: Lorsque vous organisez une fête ou lorsque vous vous absentez pendant quelques heures.
- Pendant de longues périodes: vous pouvez utiliser le mode vacances.
Conseils au sujet de la température du ballon ECS
- Utilisez un programme hebdomadaire pour vos besoins normaux en eau chaude sanitaire (uniquement en mode programmé).
- Définissez un programme permettant de chauffer le ballon d'eau chaude sanitaire jusqu'à une valeur prédéfinie (Confort = température du ballon d'eau chaude sanitaire plus élevée) pendant la nuit parce que la demande en chauffage est alors inférieure.
- Si le chauffage du ballon d'eau chaude sanitaire n'est pas suffisant la nuit, définissez un programme de chauffage supplémentaire du ballon d'eau chaude sanitaire jusqu'à une valeur prédéfinie (Éco = température du ballon d'eau chaude sanitaire moins élevée) pendant la journée.
- Veillez à ce que la température souhaitée du ballon ECS ne soit PAS trop élevée. Exemple: Après installation, réduisez la température du ballon ECS de 1°C chaque jour et vérifiez que vous avez suffisamment d'eau chaude.
- Définissez un programme pour n'activer la pompe d'eau chaude sanitaire que pendant les pendant les périodes de la journée où vous avez instantanément besoin d'eau chaude. Exemple: Le matin et le soir.
5 Maintenance et entretien
5.1 Vue d'ensemble: maintenance et entretien
L'installateur doit procéder à une maintenance annuelle. Vous pouvez trouver le N° à contacter/assistance via l'interface utilisateur.
En tant qu'utilisateur final, vous devez:
- Maintenez la propreté de la zone autour de l'unité.
- nettoyer l'interface utilisateur à l'aide d'un chiffon doux et humide. N'utilisez PAS de détergents.
- Vérifiez régulièrement que la pression d'eau est supérieure à 1 bar.
Réfrigérant
Ce produit contient des gaz à effet de serre fluorés. Ne laissez PAS les gaz s'échapper dans l'atmosphère.
Type de réfrigérant: R32
Potentiel de réchauffement global (GWP): 675

REMARQUE
La législation applicable aux gaz à effet de serre fluorés exige que la charge de réfrigérant de l'unité soit indiquée à la fois en poids et en équivalent CO₂.
Formule pour calculer la quantité de tonnes d'équivalent CO₂: Valeur PRG du réfrigérant × charge de réfrigérant totale [en kg] / 1000
Veuillez contacter votre installateur pour de plus amples informations.

AVERTISSEMENT: MATÉRIAU INFLAMMABLE
Le réfrigérant à l'intérieure de cette unité est moyennement inflammable.

AVERTISSEMENT
L'appareil sera stocké dans une pièce sans sources d'allumage fonctionnant en permanence (exemple: flammes nues, un appareil fonctionnant au gaz ou un chauffage électrique).

AVERTISSEMENT
- Ne percez et ne brûlez PAS des pièces du cycle de réfrigérant.
- N'utilisez PAS de produit de nettoyage ou de moyens d'accélérer le processus de dégivrage autres que ceux recommandés par le fabricant.
- Sachez que le réfrigérant à l'intérieur du système est sans odeur.

AVERTISSEMENT
Le réfrigérant à l'intérieur de cette unité est légèrement inflammable, mais ne fuit PAS normalement. Si du réfrigérant fuit dans la pièce et entre en contact avec la flamme d'un brûleur, d'un chauffage ou d'une cuisinière, il y a un risque d'incendie ou de formation de gaz nocifs.
Eteignez tout dispositif de chauffage à combustible, ventiler la pièce et contacter le revendeur de l'unité.
N'utilisez PAS l'unité tant qu'une personne compétente n'a pas confirmé que la fuite de réfrigérant est colmatée.
5.2 Pour trouver le N° à contacter/assistance
| 1 | Accédez à [8.3]: Informations > Informations d'installateur. |
6 Dépannage
Contact
Pour les symptômes répertoriés ci-dessous, vous pouvez résoudre le problème par vous-même. Pour tout autre problème, contactez votre installateur. Vous pouvez trouver le N° à contacter/assistance via l'interface utilisateur.
6.1 Pour afficher le texte d'aide en cas de dysfonctionnement
En cas de dysfonctionnement, le texte suivant apparaîtra sur l'écran d'accueil selon la gravité :
- : Erreur
- ⚠️: Dysfonctionnement
Vous pouvez obtenir une brève et une longue description du dysfonctionnement comme suit :
| 1 | Appuyez sur la touche gauche pour ouvrir le menu principal et allez à Erreur. Résultat:Une brève description de l'erreur et le code d'erreur sont affichés sur l'écran. | |
| 2 | Appuyez sur ?dans l'écran d'erreur. Résultat:Une longue description de l'erreur et le code d'erreur sont affichés sur l'écran. | ? |
6.2 Symptôme: vous avez trop froid (chaud) dans la salle de séjour
| Cause possible | Mesure corrective |
| La température intérieuresouhaitée est trop faible (élevée). | Augmentez (réduisez) latempérature intérieure souhaitée.Reportez-vous à la section"Modification de la températureintérieure souhaitée" [▶ 35].Si le problème se répète chaquejour, procédez de l'une desmanières suivantes:• Augmentez (réduisez) lavaleur prédéfinie de latempérature intérieure.Reportez-vous au guide deréférence utilisateur.• Réglez le programme detempérature intérieure.Reportez-vous à la section"3.7 Écran de laprogrammation:exemple" [▶ 37]. |
| La température intérieuresouhaitée ne peut être atteinte. | Augmentez la température dedépart voulue en fonction du typed'émetteur de chaleur. Reportez-vous à la section "Modification dela température de départvoulue" [▶ 35]. |
| Cause possible Mesure | corrective |
| La courbe de la loi d'eau est définie incorrectement. | Réglez la courbe de la loi d'eau. Reportez-vous au guide de référence utilisateur. |
6.3 Symptôme: l'eau qui sort du robinet est trop froide
| Cause possible Mesure | corrective |
| Il est possible que vous manquiez d'eau chaude sanitaire en raison d'une consommation anormalement élevée. | Si vous avez immédiatement besoin d'eau chaude sanitaire, activez Fonctionnement en mode puissant du ballon ECS.Cela consomme cependant de l'énergie supplémentaire.Reportez-vous à la section "Utilisation du fonctionnement puissant de l'ECS" [▶ 37].Si les problèmes se répètent chaque jour, procédez de l'une des manières suivantes:• Augmentez la valeur prédéfinie de la température du ballon ECS. Reportez-vous au guide de référence utilisateur.• Réglez le programme de température du ballon ECS.Exemple: Définissez un programme de chauffage supplémentaire du ballon ECS jusqu'à une valeur prédéfinie (Point de consigne Éco=température du ballon moins élevée) pendant la journée. Reportez-vous à la section "3.7 Écran de la programmation: exemple" [▶ 37]. |
| La température souhaitée du ballon ECS est trop faible. |
6.4 Symptôme: panne de la pompe à chaleur
Si la pompe à chaleur ne fonctionne pas, le chauffage d'appoint et/ou le booster ECS peuvent servir de chauffage d'urgence et reprendre, automatiquement ou non, l'intégralité de la charge thermique.
- Si le mode d'urgence automatique est réglé sur Automatique et qu'une défaillance de la pompe à chaleur survient:
- Pour EHVH/X: Le chauffage d'appoint reprend automatiquement la charge thermique et la production d'eau chaude sanitaire
- Pour EHBH/X: Le chauffage d'appoint reprend automatiquement la charge thermique, et le booster ECS dans le ballon optionnel reprend automatiquement la production d'eau chaude sanitaire.
- Lorsque le mode d'urgence automatique est réglé sur Manuel, en cas de panne de la pompe à chaleur, l'opération de chauffage et d'eau chaude sanitaire cesse et doit être redémarrée manuellement via l'interface utilisateur. Pour redémarrer manuellement l'opération, passez à l'écran du menu principal Erreur sur lequel l'interface utilisateur vous invite ensuite à confirmer que le chauffage d'appoint et/ou le booster ECS peuvent reprendre ou non la charge thermique.
En cas de panne de la pompe à chaleur, ⏻ ou ⚠️ s'affiche sur l'interface utilisateur.
| Cause possible Mesure | corrective |
| La pompe à chaleur est endommagée. | Reportez-vous à la section "6.1 Pour afficher le texte d'aide en cas de dysfonctionnement" [▶ 42]. |

INFORMATIONS
Lorsque le chauffage d'appoint ou le booster ECS reprend la charge thermique, la consommation électrique augmente considérablement.
6.5 Symptôme: Le système émet des gargouillements après la mise en service
| Cause possible Mesure | corrective |
| Il y a de l'air dans le système. | Purgez l'air du système. ^(a) |
| Divers dysfonctionnements. | Vérifiez si ou affiche à l'écran d'accueil de l'interface utilisateur. Reportez-vous également à la section "6.1 Pour afficher le texte d'aide en cas de dysfonctionnement" [▶ 42] pour plus d'informations sur le dysfonctionnement. |
^(a) Nous vous recommandons de purger l'air à l'aide de la fonction de purge d'air de l'unité (à effectuer par l'installateur). Si vous purgez l'air des émetteurs ou collecteurs de chaleur, tenez compte de ce qui suit:

AVERTISSEMENT
Purge d'air des émetteurs ou collecteurs de chaleur. Avant de purger l'air des émetteurs ou collecteurs de chaleur, vérifiez si ⏻ ou ⚠️ s'affiche à l'écran d'accueil de l'interface utilisateur.
- Si ce n'est pas le cas, vous pouvez purger immédiatement l'air.
- Si c'est le cas, veuillez vous en assurer que la pièce dans laquelle vous souhaitez purger l'air est suffisamment aérée. Raison: Du réfrigérant risque de fuir dans le circuit d'eau, et par conséquent, dans la pièce où vous purgez l'air des émetteurs ou collecteurs de chaleur.
7 Mise au rebut

REMARQUE
NE TENTEZ PAS de démonter le système: le démontage du système et le traitement du réfrigérant, de l'huile et des autres pièces DOIVENT être être conformes à la législation en vigueur. Les unités DOIVENT être traitées dans des établissements spécialisés de réutilisation, de recyclage et de remise en état.
8 Glossaire
ECS = eau chaude sanitaire
Eau chaude utilisée, dans quelque type de bâtiment que ce soit, à des fins sanitaires.
LWT = température de l'eau de sortie
Température de l'eau à la sortie de l'unité.
Inhoudsopgave
1 Over dit document 44
[3] Scherm Secundaire zone

text_image
3 45°C Secundaire zone[2] Scherm Primaire zone

| Voce | Descrizione | |
| a | Selettore sinistro | L'LCD mostra un arco sul lato sinistro del display quando è possibile usare il selettore sinistro.▪ : : : : : : : : : : : : : : : : : : : : : : : : : : : : : : : : : : : : : : : : : : : : : : : : : : : : : : : : : : : : : : : : : : : : : : : : : : : : : : : : : : : : : : : : : : : : : : : : : : : :: : : : : : : : : : : : : : : : : : : : : : : : : : : : : : : : : : : : : : : : : : : : : : : : : : : : : : : : : : : : : : : : : : : : : : : : : : : : : : : : : : : : : : : : : : : : : : : : : : : : |
| b | Pulsante Indietro | ←: Premere per tornare indietro di 1 passo nella struttura del menu. |
| c | Pulsante Home | →: Premere per tornare alla schermata iniziale. |
| d | Pulsante Guida | ?: Premere per visualizzare un testo di guida relativo alla pagina corrente (se disponibile). |
| e | Selettore destro | L'LCD mostra un arco sul lato destro del display quando è possibile usare il selettore destro.▪ : : : : : : : : : : : : : : : : : : : : : : : : : : : : : : : : : : : : : : : : : : : : : : : : : : : : : : : : : : : : : : : : : : : : : : : : : : : : : : : : : : : : : : : : : : : : : : : : :: :: : : : : : : : : : : : : : : : : : : : : : : : : : : : : : : : : : : : : : : : : : : : : : : : : : : : : : : : : : : : : : : : : : : : : : : : : : : : : : : : : : : : : : : : : : : : : : : : : :: : |










Résultat: "C" s'affiche en regard du jour copié.
Résultat:



