TT34 - Plattenspieler Classic Phono - Kostenlose Bedienungsanleitung
Finden Sie kostenlos die Bedienungsanleitung des Geräts TT34 Classic Phono als PDF.
| Technische Merkmale | Classic Phono TT34 Plattenspieler, Riemenantrieb, Aluminium-Tonarm, MM-Tonabnehmer inklusive. |
|---|---|
| Abmessungen | Kompakte Abmessungen für geringen Platzbedarf, leichtes Gewicht für einfachen Transport. |
| Verwendung | Einfache Bedienung mit Geschwindigkeitskontrolle für 33 und 45 Umdrehungen, kompatibel mit den meisten Verstärkern. |
| Wartung | Regelmäßige Reinigung des Plattentellers und des Tonabnehmers empfohlen, Überprüfung der Ausrichtung des Tonarms. |
| Sicherheit | Auf einer stabilen Oberfläche verwenden, Feuchtigkeit vermeiden, bei Wartung vom Netz trennen. |
| Allgemeine Informationen | Ideal für Einsteiger-Audiophile, Herstellergarantie, Zubehör zur Verbesserung verfügbar. |
Häufig gestellte Fragen - TT34 Classic Phono
Benutzerfragen zu TT34 Classic Phono
0 Frage zu diesem Gerät. Beantworten Sie die, die Sie kennen, oder stellen Sie Ihre eigene.
Eine neue Frage zu diesem Gerät stellen
Laden Sie die Anleitung für Ihr Plattenspieler kostenlos im PDF-Format! Finden Sie Ihr Handbuch TT34 - Classic Phono und nehmen Sie Ihr elektronisches Gerät wieder in die Hand. Auf dieser Seite sind alle Dokumente veröffentlicht, die für die Verwendung Ihres Geräts notwendig sind. TT34 von der Marke Classic Phono.
BEDIENUNGSANLEITUNG TT34 Classic Phono
Benutzerhandbuch Holzplattenspieler mit USB- Anschluss
PRECAUTIONS BEFORE USE
Eine andere als die hier beschriebene Bedienung, Einstellung oder Verwendung der Funktionen kann zu gefährlicher Strahlenbelastung führen.
VORSICHTSMASSNAHMEN VOR DER BENUTZUNG
BEFOLGEN SIE IMMER FOLGENDE ANWEISUNGEN:
- Blockieren oder bedecken Sie keine Luftungsöffnungen. Wenn Sie das Gerät auf ein Regal stellen, setzen Sie um das gesamte Gerät 5 cm (2") freien Platz.
- Stellen Sie das Gerät entsprechend den Anweisungen der mitgelieferten Bedienungsanleitung auf.
- Halten Sie das Gerät von Hitzequellen wie Radiatoren, Heizern, Öfen, Kerzen oder anderen hitzeerzeugenden Produktien oder offenen Flammem fern. Das Gerätarf nur bei gemäßtem Klima verwendet werden. Sehr kalte oder freiheit Umgebungen sind zu vermeiden. Der Betriebstemperaturbereich liegt zwischen 0^ und 35^ .
- Meiden Sie bei der Nutzung des Produkts die Nähe starker Magnetfelder.
- Elektrostatice Entladungen können die normale Verwendung von dieser Gerät stären. Sollte dies geschehen, führen Sie einfach einen Reset aus und starten Sie dann das Gerät entsprechend den Anweisungen dieser Bedienungsanleitung neu. Gehen Sie besonderss bei Datenübertragungen mit dem Gerät vorsichtig um und führen Sie diese nur in einer antielektrostatischen Umgebung aus.
- Warning! Niemals Gegenstände durch die Luftungsschlitze oder Öffnungen in das Gerät stecken. In this sem Gerät fließt Hochspannung und das Hineinstecken von Gegenständen kann zu elektrischem Schock und/oder Kurzschluss interner elektrischer Bauteile führen. Aus dem gleichen Grund kein Wasser oder Flüssigkeiten in das Gerät geben.
- Benutzen Sie das Gerät nicht in nasser oder feuchter Umgebung wie Bad, Dampfküche oder in der Näh von Schwimmbecken.
- Das Gerätarf weder Tropf- noch Spritzwasser ausgesetzt werden und es dürfen keine mit Flüssigkeit gefüllten Behälter wie z.B. Vasen auf das Gerät oder in der Nähe des Gerätes gestellt werden.
- Benutzen Sie das Gerät nicht bei Kondensationsgefahr. Wenn Sie das Gerät in einem warmen feuchten Raum benutzen, dann können sich im Inneren des Geräts Wassertropfen oder Kondensationen bilden und zu Fehlfunktionen des Geräts führen. Schalten Sie in thisem Fall das Gerät für 1 - 2 Stunden aus, bevor Sie es erneut einschalten: Das Gerät sollt vollständig getrocknet sein, wenn Sie es wieder einschalten.
- Obwohl这点 Gerät unter größter Sorgfalt und vor Auslieferung mehrmals überprüft wurde, konnen trotzdem wie bei jedem anderen elektrischen Gerät auch Probleme auftauchen. Trennen Sie das Gerät im Falle einer Rauchentwicklung, starker Hitzeentwicklung oder jeder anderen unnatürlichen Erscheinung(sofort vom Netz.
- Dieses Gerät ist durch eine Stromquelle wie auf dem Typenschild angegeben zu betreiben. Halten Sie bei Unsicherheiten über die Art Ihrer Stromversorgung in Ihrer Wohnung Rücksprache mit ihrem Handler oder Ihrer Stromzuliefererfirma.
- Halten Sie es von Haustieren fern. Einige Nagetiere lieben es, an Netzkabeln zu nagen.
- Benutzen Sie für die Reinigung ein weiches und trockenes Tuch. Benutzen Sie niemals Lösungsmittel oder Flüssigkeiten auf Ölbasis. Benutzen Sie zum Entfernen hartnäckiger Flecken ein feuchtes Tuch mit mildem Reinigungsmittel.
-
Der Hersteller haftet nicht für Schäden oder Verluste durch Fehlfunktion, Zweckentfremdung oder Modifikation des Geräts oder durch Wechseln der Batterien.
-
Unterbrechen Sie die Verbindung nicht während einer Formatierung oder einer Datenübertragung. Bei Unterbrechung drohen Datenverlust und Datenbeschädigung.
- Wenn das Gerät eine USB-Wiedergabefunktion besitzt, dann stecken Sie den USB-Stick direkt in das Gerät. Verwenden Sie kein USB-Verlängerungskabel, weil die erhöhte Störungsanfälligkeit zu Datenverlust führen können.
- Das Typenschild befindet sich an der Unter- oder Rückseite des Geräts.
- Dieses Gerät ist nicht zur Benutzung durch Personen (einschließlich Kinder) mit physischen, sensorischen oder mentalen Beeinträchtigungen oder ohne ausreichender Erfahrung vorgesehen, es sei dess, sie werden durch eine verantwortliche Person beaufsichtigt oder wurden in die ordnungsgemäß Bedienung des Gerätes durch eine für ihre Sicherheit verantwortliche Person eingewiesen.
- Dieses Produkt ist nur für den nicht-professionellen Gebrauch und nicht für gewerbliche oder industrielle Zwecke bestimmt.
- Stellen Sie sicher, dass das Gerät in einer stabilen Position aufgestellt ist. Schäden aufgrund Verwendung dieser Bedienungsanleitung enthalten den Warnungen und Sicherheitshinweise werden nicht durch die Garantie abgedeckt.
- Entfernen Sie niemals das Gehäuse diesen Produkts.
- Stellen Sie das Produkt niemals auf andere elektrische Geräte.
- Halten Sie Kinder von den Plastiktüten fern.
- Benutzen Sie nur vom Hersteller spezifizierte Erweiterungen/Zubehörteile.
- Lassen Sie alle Eingriffe von qualifiziertem Servicepersonal ausführren. Eingriffe werden notwendig, wenn das Gerät auf irgendeine Weise wie beispelsweise am Netzkabel oder am Netzstecker beschädigt wurde, Flüssigkeit in das Gerät eingedrungen ist, Gegenstände in das Gerät gefallen sind, das Gerät Regen oder Feuchtigkeit ausgesetzt war, es heruntergefallen ist oder nicht ordnungsgemäß Funktioniert.
- Langes Horen lauter TONE aus einem Musikgerät kann zum zeitweiligen oder permanenten Hörverlust führen.
-
Wenn zum Lieferumfang des Produkts ein Netzkabel oder ein Netzadapter gehört:
-
Wenn irgendwelche Probleme auftreten, dannziehen Sie den Netzstecker aus der Netzsteckdose und setzen Sie sich anschließend mit einer qualifizierten Fachkraft in Verbindung.
- Treten Sie nicht auf das Netzteil und klemmen Sie es auch nicht ein. Geben Sie besonders im bisheren Bereich des Steckers und der Stelle acht, wo das Kabel aus dem Gerät herausgeführt wird. Stellen Sie keine schweren Gegenstände auf das Netzteil, weil es dadurch beschädigt werden können. Halten Sie das gesamte Gerät außerhalb der Reichweite von Kindern! Durch Spieler mit dem Netzkabel können sie sich ernsthafte Verletzungen zuziehen.
Trennen Sie das Gerät während eines Gewitters oder bei längerer Nichtbenutzung vom Netz.
Die Wandsteckdose muss sich in der Nane des Gerats befinden und einfach zu erreichen sein. - Steckdosen und Verlängerungsleitungen nicht überlasten. Eine Überlastung kann zu Brandgefahr bzw. Stromschlag führen.
Geräte der Schutzklasse 1 sind an eine Netzsteckdose mit Schutzleiter anzuschreiben.
Geräte der Schutzklasse 2 benötigen keinen Schutzleiteranschluss. - Halten Sie den Netzstecker in der Hand, wenn Sieihn aus der Netzsteckdoseziehen. Ziehen Sieihn nicht durch Zerren am Kabel heraus. Das kann zu einem Kurzschluss führen.
-
Verwenden Sie weder ein beschädigtes Netzkabel noch einen beschädigten Stecker oder eine lockere Steckdose. Es besteht Brand- und Stromschlaggefahr.
-
Wenn das Produkt mit einer Fernbedienung mit Batterien/Knopfzenen gefelert wird oder das Produkt eine derartige Fernbedienung umfasst:
Warning:
"Die Batterie nicht einnehmen, er besteht Veratzungsgefahr".
[Die mit diesen Produkt mitgelieferte Fernbedienung] enthalt eine Knopfbatterie. Das Verschlucken der Batterie kann innerhalb von nur 2 Stunden zu schwersten inneren Verbrennungen mit Todesfolge führen.
- Halten Sie neue und gebrauchte Batterien von Kindern fern.
- Verwenden Sie diesen Produkt nicht weiter und halten Sie es von Kindern fern, wenn das Batteriefach nicht sicher schließt.
- Suchen Sie umgehend arztliche Hilfe auf, wenn Sie vermuten, dass Batterien verschluckt oder in Körperöffnungen eingeführt wurden.
- Warnhinweise bzgl. der Verwendung von Batterien:
Es besteht Explosionsgesefahr, wenn die Batterien nicht korrekt eingelegt werden. Nur mit Batterien des gleichen oder entsprechenden Typs ersetzen.
Die Batteriearfwahrend der Benutzung,Aufbewahrung oder des Transports weder sehr hohen oder sehr niedrigen Temperaturen noch niedrigem Luftdruck in groBen Hohenlagen ausgesetzt werden.
Die Ersetzung der Batterie mit einem falschen Batterietyp kann zum Explodieren der Batterie oder dem Auslaufen von entflammbarem Gas oder entflammbarer Flüssigkeit aus der Batterie führen.
Die Entsorgung der Batterie in Feuer oder einem halten Ofen oder das mechanische Zerkleinern oder Zerteilen der Batterie kann zu Explosionen führen.
Das Verbleiben der Batterie in einer Umgebung mit sehr hohen Temperaturen kann zum Explodieren der Batterie oder dem Auslaufen von entflammbarem Gas oder entflammbarer Flüssigkeit führen.
- Eine einem sehr niedrigen Luftdruck ausgesetzte Batterie kann explodieren oder es kann aus einem sehr niedrigen Luftdruck ausgesetzten Batterie entflammbares Gas oder entflammbare Flüssigkeit auslaufen.
- Augenmerk ist auf den ökologischen Aspekt der Batterieentsorgung zu legen.
ANSCHLUSS
-
Packen Sie alle Teile aus und entfernen Sie danach die Schutzmaterialien.
Schlieben Sie das Gerät nicht mehr an das Netz an, bevor Sie die Netzspannung überprüft haben und alle anderen notwendigen Verbindungen hergestellt sind. -
Die Entsorgung der Batterie in Feuer oder einem Höheten Ofen oder das mechanische Zerkleinern oder Zerteilen der Batterie kann zu Explosionen führen.
- Das Verbleiben der Batterie in einer Umgebung mit sehr hohen Temperaturen kann zum Explodieren der Batterie oder dem Auslaufen von entflammbarem Gas oder entflammbarer Flüssigkeit führen.
- Eine einem sehr niedrigen Luftdruck ausgesetzte Batterie kann explodieren oder es kann aus einer einem sehr niedrigen Luftdruck ausgesetzten Batterie entflammbares Gas oder entflammbare Flüssigkeit auslaufen.
- Augenmerk ist auf den ökologischen Aspekt der Batterieentsorgung zu legen.
ANSCHLUSS
- Packen Sie alle Teile aus und entfern den Sie danach die Schutzmaterialien.
- Schließen Sie das Gerät nicht mehr an das Netz an, bevor Sie die Netzspannung überprüft haben und alle anderen notwendigen Verbindungen hergestellt sind.
VORBEREITUNG FÜR DIE ANWENDUNG AUSPACKEN UND AUFSTELLEN
-
Nehmen Sie das Gerät vorsichtig aus dem Displaykarton und entfernen Sie dann jegliches Verpackungsmaterial vom Gerät.
-
Wickeln Sie das Netzkabel vollständig ab, um seine volte Länge zu erhalten.
-
Stellen Sie das Gerät in Höhe einer Netzsteckdose auf einer stabilen, ebenen Oberfläche auf, wo es weder direktem Sonnenlicht noch Quellen starker Hitze, Staub, Nasse, Feuchtigkeit oder starken Magnetfeldern ausgesetzt ist.
-
Stecken Sie den Netzstecker in die Netzsteckdose.
-
Öffnen Sie den Deckel des Phonographen, um den Phonographen freizulegen. Der Phonograph ist für den Transport durch eine Transportsicherungsschraube gesichert.
-
Drehen Sie diese Transportsicherungsschraube mit einer Geldmünze oder einem Schraubenzieher in Uhrzeitgerrichtung. Dadurch wird der Plattenteller „drehbar".
TRANSPORTSICHERUNGSSCHRAUBE

- Entfernen Sie die undurchsichtigige Plastik-Tonkopfabdeckung des Phonographentonkopfes durch Abziehen in Richtung des Pfeiles.
Entsorgen Sie diese Tonkopfabdeckung.
- Entfernen Sie den verdrillten Draht, mit dem der Tonarm während des Transportes gesichert wurde.
- Losen Sie den Tonarmsicherungshebel.
- Stecken Sie den Netzstecker in die Netzsteckdose.

| EN | DE |
| TONE ARM LOCK LEVER | TONARMSICHERUNGSHEBEL |
| STYLUS COVER | TONKOPFABDECKUNG |
STROMQUELLE
- Dieses System wird über ein Netzteil betrieben.
- Lassen Sie ihre Steckdose nur durch qualifiziertes Fachpersonal umbauen.
- Um eine ordnungsgemäß Funktion gewährleisten zu können, müssen Stromstecker und Strombuchse einander entsprechchen.
WICHTIG: Öffnen und Schlieben des Deckels
Heben Sie den Deckel zum Öffnen soweit an, bis die Deckelstütze in der Offenposition „einrastet".
Ziehen Sie den Deckel zum Schließen leicht aufwärts, bis die Deckelstütze „entriegelt" und schließen Sie danach behutsam den Deckel.
UM BESCHÄDIGUNGEN DES GEHÄUSES UND DES DECKELS ZU VERMEIDEN; DEN DECKEL NIEMALS GEWALTSAM ÖFFNEN ODER SCHLIEßen
SCHÜTZEN SIE IHRE MOBEL
Dieses Modell besitzt zur Vorbeugung gegen ungewolltes Verrutschen während der Bedienung Antirutsch-“Füßchen”. Diese „Füßchen" bestehen aus einem abriebfesten Gummaterial, das speziell darauf entwickelt wurde, keine Flecken oder Spuren auf ihren Möbeln zu hinterlassen. Jedoch konnen eine Arten ölbasierter Möbelpolituren, Holzschutzmittel oder Reinigungssprays diese „Gummifüßchen" which machen und so zu Spuren oder Gummiarieb auf ihren Möbeln führen. Zur Vorbeugung von jeglicher Art Schaden an ihren Möbeln empfehlen wir den Kauf von kleinen, selbstklebenden Filzunterlagen, wie Sie sie in jedem Baumarkt oder Möbelhaus erwerben konnen. Bringen Sie diese Filzunterlage an den „Gummifüßchen" an, bevor Sie das Produkt auf Ihr schönes Holzmöbel stellen.
LAGE DER BEDIEN- UND ANZEIGEELEMENTE

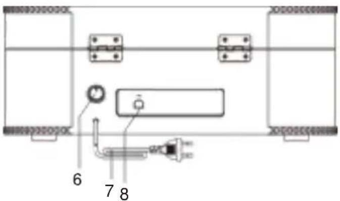
FRONTSEITE

RÜCKSEITE

PHONOGRAPH
1) PHONOGRAPHENDECKEL
2) PHONOGRAPHENDECKELSTUTZE
3) 45U/min-ADAPTER
4) LAUTSTÄRKEREGLER
5) LAUTSPRECHER
6) EIN/AUS-SCHALTER
7) AC STROMKABEL
8) USB-PORT
1) Plattenteller
2) 45U/min-Adapter
3) Transportsicherungsschraube
4) Lifthebel
5) Drehzahlwahler (33, 45 und 78 U/m
6) Tonarmverriegelung
7) Tonarm mit Tonkopf
AUFNAHMEN ABSPIELEN
Dieses System besitzt einen riemengeziebenen Plattenteller mit drei
Umdrehungsgeschwindigkeiten. Hiermit konnen Sie Platten für 33, 45 und 78 U/min abspielern.
1) Drücken Sie zum Einsatzen des Geräts die EIN/AUS-Taste.
2) Kontrollieren Sie, ob Sie die Tonkopfabdeckung vom Tonkopf entfernt haben und entriegeln Sie die Tonarmverriegelung, die den Tonarm am Gerät fixiert.
3) Stellen Sie am Plattenteller-Umdrehungszahlwahler die gewünschte Umdrehungszahl von 33, 45 oder 78 U/min ein. Setzen Sie beim Abspielen von 45 U/min-Singles den 45 U/min-Adapter auf den Plattenstift.
4) Setzen Sie ihre Platte auf den Plattenstift.
5) Heben Sie zum Anheiten des Tonarmes den Lifthebel an. Führten Sie den Tonarm zum Plattenrand. Der Plattenteller beginnt sich automatisch zu drehen. Benutzen Sie zum sanften Absenk den Tonarmes auf die Platte den Lifthebel.
6) Erreicht der Tonarm das Ende der Platte, kehrt er automatisch zur Tonarmaufnahme darüber und die Plattentellerrehung wird beendet.
7) Drücken Sie zum „Ausschalten" des Gerätes zwei Sekunden lang den EIN/AUS-Schalter.
HINWEIS: Drehen oder stoppen Sie den Plattenteller niemals mit der Hand. Ein Bewegen oder Vibrieren des Plattentellers ohne Sicherung des Tonarmes in der Tonarmhalterung kann zur Beschädigung des Tonarmes führen.
WICHTIG
ZUM SCHUTZ DES PLATTENTELLERS WAHREND DES TRANSPORTES BEFINDET SICH EINE SILBERNE TRANSPORTSICHERUNGSSCHRAUBE OBEN RECHTS AUF DER PLATTENTELLERPLATTFORM.
- BITTE DREHEN SIE ZUM ENTSICHERN DES PLATTENTELLERS DIESCHRAUBE VOR DER WIEDERGABE EINER PLATTE MIT EINEM SCHRAUBENZIEHER IN UHRZEIGERRICHTUNG NACH UNTEN (DIE SCHRAUBE WIRD VOLLSTÄNDIG VERSENKT).

- DREHEN SIE THESE SCHRAUBE GEGEN UHRZEIGERRICHTUNG HERAUS; UM DEN PLATTENTELLER WIEDER FÜR DEN TRANSPORT ZU SICHERN.

ÜBERSICHT DER AUDACITY SOFTWARE
Audacity ist eine kostenlose Software unter Lizenz von GNU General Public License (GPL). Nähere Informationen sowie den offenen Quellcode finden Sie im Internet unter
- Vergewissern Sie sich, dass Sie die Software vor der Inbetriebnahme installiert haben.
Vorbereitung des PCs für die Verwendung von Audacity
- Verbinden Sie eine Eingangsquelle mit dem Gerät.
- Schließen Sie das USB-Kabel an ihren Computer an.
- Installieren Sie die Aufnahmesoftware Audacity.
- Starten Sie Audacity.
- Wahlen Sie im Audacity-Menu unter Edit (Bearbeiten) die Option Preference (Benutzereinstellungen).

- Wahlen Sie oben links die Einstellung Audio I/O.
Wahlen Sie unter Wiedergabe, Gerat ihre interne Soundkarte.
Wahlen Sie unter Aufnahme, Gerat USB Audio CODEC (USB-Audiocode).
Wahlen Sie unter Aufnahme, Kanale 2 (Stereo).
- Kreuzen Sie das Feld Play other tracks while recording new one (Andere Titel während der Aufnahme des neuen Titels abspielen) an.
- Kreuzen Sie das Feld Software-Playthrough an.

Alben mit Audacity aufnehmen
5. Projekte speichern
- Audacity speichert alle geänderten und aufgenommen Audioinhalte in einem Verzeichnis mit dem Namen Projectname_data. Dieses Verzeichnis befindet sich genau dort, wo das Projekt selbst gespeichert ist.
- Wahlen Sie also unter Audacity-Datei die Option Save Project as (Projekt speichern unter) und wahlen Sie dann einen Speicherort und einen Dateinamen für Ihr Projekt aus.
- Wenn Sie Audacity neu starten, ist nur die Option „Save As...“ (Speichern unter) verfügbar.

6. Aufnahme
-
Bereiten Sie ihren USB-Plattenspieler für die Wiedergabe des gewünschten Titels bzw. des gewünschten Albums vor.
-
Drücken Sie die rote Aufnahmetaste,

m die Aufnahme zu starten.
-
Senken Sie den Tonarm des USB-Plattenspielers an der Stelle des gewünschten Albums bzw. Titels ab.
-
Drücken Sie die blaue Pause-Taste um erneut, um die Aufnahme fortzusetzen.

nahme zu unterbrechen. Drucken Sie die Taste
- Drucken Sie auf die gelbe Stopp-Taste.

Und fertig Sie konnen nun ihre Aufzeichnung abspielen und die vielseitigen Bearbeitungsmöglichkeiten von Audacity entdecken. Beachten Sie, dass Sie die Widerrufen-Funktion fast ohne Einschränkung verwenden können, während das Projekt geöffnet ist.
HINWEIS: CDs halten sich nicht direkt mit der Audacity Software brennen. Verwenden Sie dazu andere CD-Brennerprogramme.
1. Garantie
Lenco bietet Leistungen und Garantien im Einklang mit Europäischen Recht. Im Falle von Reparaturen (sowohl während als auch nach Ablauf der Garantiezeit) sollen den Sie deshalb ihren Einzelhändler kontaktieren.
Wichtiger Hinweis: Es ist nicht möglich, Geräte für Reparaturen direkt an Lenco zu schicken.
Wichtiger Hinweis: Falls these Gerät von einem nicht autorisierten Kundendienst geöffnet oder darauf zugegriffen wird, erlischt die Garantie.
Dieses Gerät ist nicht für professionelle Zwecke geeignet. Falls das Gerät für professionelle Zwecke eingesetzt wird, erlöschen alle Garantieverpflichtungen seitens des Herstellers.
2. Haftungsausschluss
Aktualisierungen der Firmware und/oder Hardware-Komponenten werden regelmäß durchgeführt. Daher können eineige der Anweisungen, Spezifikationen und Abbildungen in dieser Dokumentation von ihrer individuellen Situation abweichen. Alle in thisem Handbuch beschrieben Elemente dieren nur zur Illustration und treffen auf ihre individuelle Situation mölicherweise nicht zu. Aus der in thisem Handbuch getätigten Beschreibung können keine Rechtsansprüche oder Ansprüche geltend gemacht werden.
3. Entsorgung des Altgeräts

Dieses Symbol zeigt an, dass das entsprechende Produkt oder dessen Batterie in Europa nicht mit dem normalen Hausmüll entsorgt werden damit. Um die ordnungsgemäß Abfallbehandlung des Produkts und dessen Batterie zu gewährleisten, müssen diese im Einklang mit allen anwendbaren örtlichen Vorschriften zur Entsorgung von Elektrogeräten und Batterien entsorgt werden. Dabei halten Sie, natürliche Ressourcen zu schonen und Umweltschutzstandards zur Verwertung und Entsorgung von Altgeräten aufrecht zu halten (Waste Electrical and Electronic Equipment Directive).
4. CE-Kennzeichen
Hiermit erklart Lenco Benelux B.V., Thermiekstraat 1a, 6361 HB Nuth, The Netherlands, dass these Produkt den grundsätzlichen Anforderungen der EU-Richtlinie entspricht. Die Konformitätserklärung ist erhältlich unter techdoc@commaxxgroup.com

5. Service
Weitere Informationen und Unterstützung erhalten Sie unter www.lenco.com Lenco Benelux BV, Thermiekstraat 1a, 6361 HB, Die Niederlande.
EinfachAnleitung