Albergo - Radio TIVOLI AUDIO - Gratis brugsanvisning og manual
Find enhedens vejledning gratis Albergo TIVOLI AUDIO i PDF-format.
Brugerspørgsmål om Albergo TIVOLI AUDIO
0 spørgsmål om dette apparat. Besvar dem du kender, eller stil dit eget.
Stil et nyt spørgsmål om dette apparat
Download vejledningen til din Radio i PDF-format gratis! Find din vejledning Albergo - TIVOLI AUDIO og tag din elektroniske enhed tilbage i hånden. På denne side er alle dokumenter nødvendige for brugen af din enhed offentliggjort. Albergo af mærket TIVOLI AUDIO.
BRUGSANVISNING Albergo TIVOLI AUDIO
Sikkerhedsinstruktioner 20
Introduktion 23
Guide til Funktioner på Frontpanel.... 23
Guide til Funktioner på Bagpanel....25
Fjernbetjening....26
Menuen....27
Sådan Indstilles Alarm....28
Alarm Muligheder 29
Bluetooth Brug 29
AM/FM Modtagelse; RDS; Placering; Rengøring 30
Garanti....31
Specifikationer....33

text_image
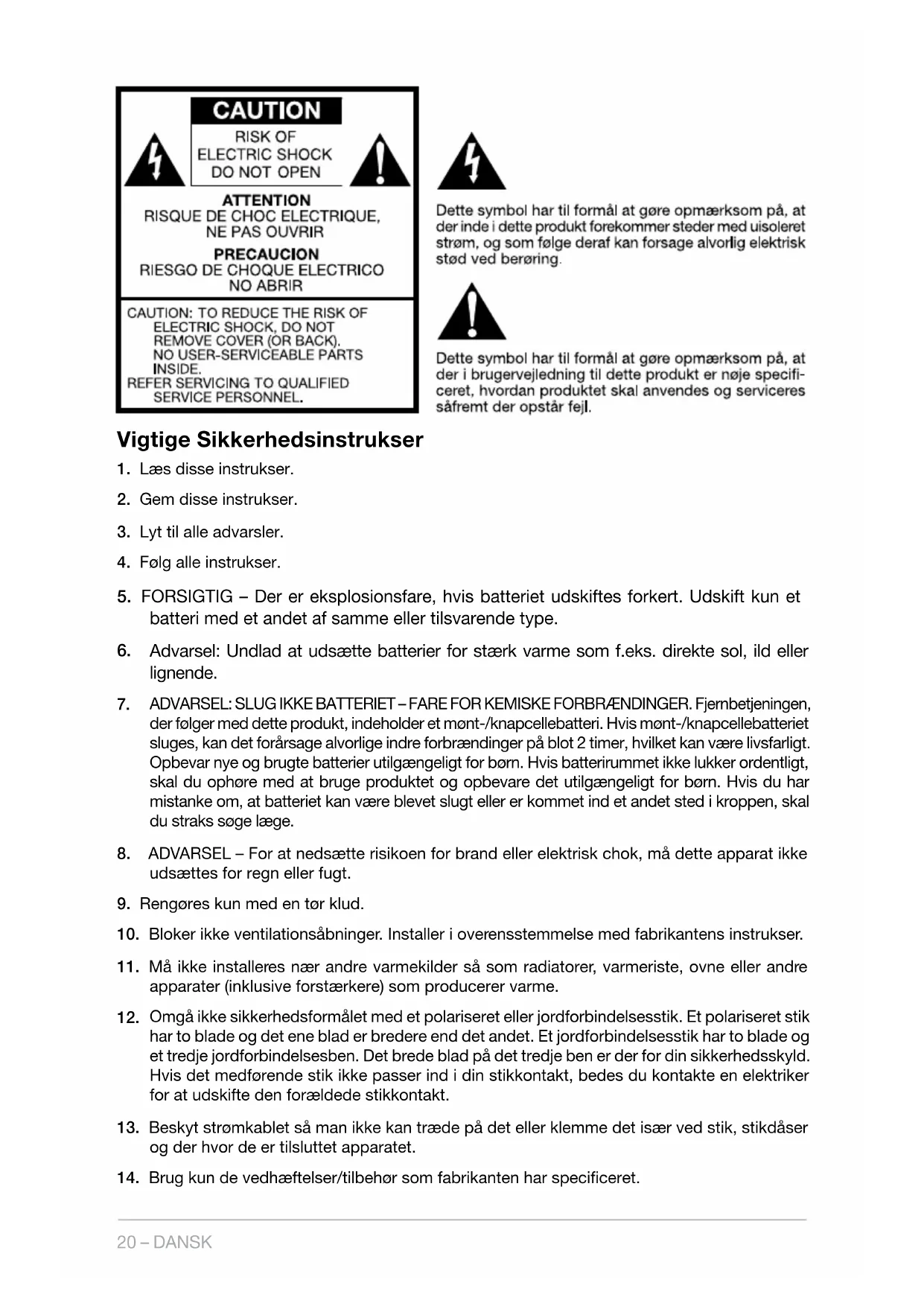
CAUTION RISK OF ELECTRIC SHOCK DO NOT OPEN ATTENTION RISQUE DE CHOC ELECTRIQUE, NE PAS OUVRIR PRECAUCION RIESGO DE CHOQUE ELECTRICO NO ABRIR CAUTION: TO REDUCE THE RISK OF ELECTRIC SHOCK, DO NOT REMOVE COVER (OR BACK). NO USER-SERVICEABLE PARTS INSIDE. REFER SERVICING TO QUALIFIED SERVICE PERSONNEL.
Dette symbol har til formål at gøre opmærksom på, at der inde i dette produkt forekommer steder med uisoleret strøm, og som følge deraf kan forsage alvorlig elektrisk stød ved berøring.

Dette symbol har til formål at gøre opmærksom på, at der i brugervejledning til dette produkt er nøje specifice- ceret, hvordan produktet skal anvendes og serviceres såfremt der opstår fejl.
Vigtige Sikkerhedsinstrukser
- Læs disse instrukser.
- Gem disse instrukser.
- Lyt til alle advarsler.
- Følg alle instrukser.
- FORSIGTIG – Der er eksplosionsfare, hvis batteriet udskiftes forkert. Udskift kun et batteri med et andet af samme eller tilsvarende type.
- Advarsel: Undlad at udsætte batterier for stærk varme som f.eks. direkte sol, ild eller lignende.
- ADVARSEL: SLUG IKKE BATTERIET – FARE FOR KEMISKE FORBRÆNDINGER. Fjernbetjeningen, der følger med dette produkt, indeholder et mønt-/knapcellebatteri. Hvis mønt-/knapcellebatteriet sluges, kan det forårsage alvorlige indre forbrændinger på blot 2 timer, hvilket kan være livsfarligt. Opbevar nye og brugte batterier utilgængeligt for børn. Hvis batterirummet ikke lukker ordentligt, skal du ophøre med at bruge produktet og opbevare det utilgængeligt for børn. Hvis du har mistanke om, at batteriet kan være blevet slugt eller er kommet ind et andet sted i kroppen, skal du straks søge læge.
- ADVARSEL – For at nedsætte risikoen for brand eller elektrisk chok, må dette apparat ikke udsættes for regn eller fugt.
- Rengøres kun med en tør klud.
- Bloker ikke ventilationsåbninger. Installer i overensstemmelse med fabrikantens instrukser.
- Må ikke installeres nær andre varmekilder så som radiatorer, varmeriste, ovne eller andre apparater (inklusive forstærkere) som producerer varme.
- Omgå ikke sikkerhedsformålet med et polariseret eller jordforbindelsesstik. Et polariseret stik har to blade og det ene blad er bredere end det andet. Et jordforbindelsesstik har to blade og et tredje jordforbindelsesben. Det brede blad på det tredje ben er der for din sikkerhedsskyld. Hvis det medførende stik ikke passer ind i din stikkontakt, bedes du kontakte en elektriker for at udskifte den forældede stikkontakt.
- Beskyt strømkablet så man ikke kan træde på det eller klemme det især ved stik, stikdåser og der hvor de er tilsluttet apparatet.
-
Brug kun de vedhæftelser/tilbehør som fabrikanten har specificeret.
-
Må kun bruges sammen med det rullebord, den stand, det stativ, det beslag eller bord som fabrikanten har specificeret, eller som blev solgt sammen med apparatet. Når man bruger et rullebord skal man være forsigtig, når man flytter apparatet på rullebordet, så man undgår skade hvis det tipper.

-
Træk stikket ud på apparatet i tordenvejr eller hvis det ikke bruges i længere tid.
-
Brug kun dette produkt fra den type strømkilde, som er indikeret på bagpanelet. For produkter som bruger en ekstern strømforsyning skal man erstatte den med en identisk strømforsyning, hvis den forsvinder eller beskadiges. For produkter som bruger batteristrøm henvises til brugermanualen.
-
Dette produkt er blevet testet, og det overholder grænserne for Del 15 af FCC regelsættet. Disse grænser er beregnet til at yde rimelig beskyttelse mod skadelig interferens i en boliginstallation. Dette produkt genererer, bruger og kan udstråle radiofrekvensen- ergi, og hvis det ikke er installeret eller bruges i overensstemmelse med instrukserne, kan det forårsage skadelig interferens med radiokommunikationer. Der er imidlertid ikke nogen garanti for at der ikke vil opstå interferens i en given installation. Hvis dette udstyr forårsager skadelig interferens på radio- eller tvmodtagelse, hvilket kan bekræftes ved at tænde og slukke for dette produkt, opfordres brugeren til at prøve en eller flere af følgende korrigerende handlinger:
a. Genindstil eller sæt den modtagende antenne et andet sted.
b. Hold udstyret og modtageren længere væk fra hinanden.
c. Slut udstyret til et andet stik i kredsløbet end der hvor modtageren er tilsluttet.
- Træk produktet ud af stikkontakten og kontakt en kvalificeret servicetekniker for service i følgende tilfælde:
a. Hvis strømkablet eller stikket er beskadiget.
b. Hvis der er spildt væske eller hvis der er kommet noget i produktet.
c. Hvis produktet er blevet udsat for vand eller regn.
d. Hvis produktet ikke fungerer normalt, når man følger brugsanvisningerne.
e. Hvis man har tabt produktet, eller det på nogen måde er blevet beskadiget.
f. Når produktets performance ændrer sig i betydelig grad.
- Når det er nødvendigt at bruge reservedele, skal du sørge for at serviceteknikeren bruger de reservedele, som fabrikanten specificerer eller at de har samme karakteristika som den originale del. Uautoriserede erstatninger kan forårsage brand, elektrisk chok eller andre farer.
- Når der er blevet udført service, skal du bede serviceteknikeren om at udføre sikkerhedstjek for at bekræfte at produktet fungerer korrekt.
- Hvis LCD displayet revner eller bliver beskadiget, må væsken ikke berøres.
- Hold sikker afstand mellem dette produkt og åben ild så som et tændt stearinlys.
- Apparatet må ikke udsættes for dryp eller stænk og ting der er fyldt med væske, så som en vase, må ikke stilles på apparatet.
- Den anbefalede temperatur for brug er mellem 5 °C og 40 °C (41°F - 104°F).
- ADVARSEL – Forsyningsnettet er ikke frasluttet, når det står på “off”, men der er ingen strøm i kredsløbene.
- Canada overholder RSS210, ICES-003.
- Den eksterne strømforsyning fungerer som afbryder og skal være let tilgængelig.

Dette produkt kan genbruges. Produkter med dette symbol må IKKE smides væk sammen med almindeligt husholdningsaffald. Når du vil smide produktet ud, bedes du tage det til et indsamlingssted for genbrug af elektriske og elektroniske anordninger. Få mere information om steder for returnering og indsamling hos din lokale myndighed.
Det europæiske direktiv om affald af elektrisk og elektronisk udstyr (WEEE) blev implementeret for at stærkt nedsætte mængden af affald som ender på i lodsepladsen og derved nedsætte den miljømæssige påvirkning på jorden og på menneskers helbred. Udvis venligst ansvarlighed ved at genbruge brugte produkter. Hvis dette produkt stadigt kan bruges, bedes du overveje at forære det væk eller sælge det.
Albergo- Instruktioner
Tillykke med din nye Tivoli Audio Albergo. Vi tror på, at Albergo er en af de fineste AM / FM bordradioer på markedet i dag. Med Bluetooth trådløs teknologi kan du streame musikken trådløst til Albergo.
Vi ved, at du sikkert er ivrig efter at begynde at lytte til din nye radio, men tag dig tid til at læse denne sikkerheds- og brugervejledning for at få det fulde udbytte af dit nye produkt. Hvis du har spørgsmål, kan du kontakte din lokale forhandler eller distributør.
Vi anbefaler, at den originale emballage gemmes, således at produktet kan pakkes korrekt ned ved forsendelse til og fra service-værksted, da garantien ikke dækker skader påført produktet under forsendelse.
Tak fordi du valgte Tivoli Audio og god fornøjelse med Albergo!
I æsken med Albergo skal følgende være inkluderet:
• 1 ekstern strømforsyning
• 1 Fjernbetjening (batteri inkl.)
Kontakt venligst din forhandler, hvis nogen af disse genstande mangler.
Guide Til Funktioner (Front)

- MULTI-FUNKTION KONTROLHJUL (TOP): Kontrolhjulet gør det muligt for dig at benytte dig af mange funktioner:
a. Power: Enheden tændes og slukkes her.
b. Volume: Når Albergo er tændt, roteres med uret for at øge lydstyrken og mod uret for at sænke lydstyrken.
c. Snooze: Tryk for at snooze, när alarmen er sat til. Et (z) ikon vises på displayet, när snooze er aktiveret. Snooze time er sat til 10 minutter. Når du trykker på Snooze-knappen igen, mens du stadig i Snooze-tilstand, nulstilles Snooze-timeren til 10 minutter.
2. LCD:

text_image
PMTIN 88:88 FMAMAUX 1 P 2 P88:88 : (center digits): Klokkeslæt
AUX: Auxiliary
FM: FM-båndet
④: Sleep-timer
Y: Niveau for modtagelse
*: Bluetooth-tilstand
: Snooze-timer
AM: AM-båndet
M: Mono
1 2: Alarm 1 og 2
- TUNE +/-: Tryk kort på Tune +/- knapperne for at bruge Auto Scan til at gå til den næste station, der registreres. Se "Auto Scan" under "Menu" for hvordan du deaktiverer Auto Scan og stiller ind på stationer manuelt.
- SLEEP: Tryk gentagne gange for at få vist mængden af tid radioen vil spille, før den slukker automatisk, og tryk på Select knappen for at vælge det pågældende tidspunkt. En lille urskive vil blive vist på skærmen når Sleep timeren er aktiv. For at annullere sleep, skal du trykke på Sleep-knappen, indtil displayet viser "Off".
- ✝ BLUETOOTH: Tryk på knappen Bluetooth for at aktivere Bluetooth-tilstand. Se "Bluetooth Brug" for yderligere oplysninger. Tryk og hold Bluetooth-knappen nede for at rydde al hukommelse om parrede anordninger. Displayet vil vise "Memory Cleared".
- SOURCE: Tryk gentagne gange for at ændre lydkilde.
- 12 ALARM 1 AND 2: Tryk på denne knap for at indstille det ønskede klokkeslæt for hvert af de to vækkeurer og automatisk indstille vækkeuret til at ringe.
- ALARM KNOB (ALARM-KNAP): Tryk på en vilkårlig alarm-knap og drej knappen for at indstille klokkeslættet. Tryk på knappen igen for at bekræfte. Gentag for at indstille minutter, og tryk på knappen igen, når du er færdig. Vækkeurets klokkeslæt bekræftes automatisk efter 3 sekunder. Vækkeuret er nu indstillet til at vække. Klokkelslættet for
hvert vækkeur vises på displayet. Tryk på den respektive Alarm-knap igen for at annullere vækkeuret. Se også afsnittet: "Ændring af vækkeurets indstillinger og klokkeslæt via hovedmenuen" for yderligere meget vigtige indstillinger af vækkeuret.
- 12VDC/1500mA: Benyt denne indgang til at betjene Albergo med den medfølgende strømforsyning. Benyt kun den medfølgende strømforsyning. Hvis strømforsyningen bliver beskadiget eller bortkommer, benyt udelukkende en eksakt erstatning. Den benyttede DC-adapter skal være kompatibel med EN/IEC 60065 krav og nomineret 12VDC 1500mA og 230V 50Hz (afhængigt af regionens krav). Brug af DC-adapter, der ikke er rekommanderet af producenten/ der ikke lever op til kravene kan være en sikkerhedsrisiko. Stikket er 5,5 mm/ 2,1 mm center positive. Det er normalt at strømforsyningen bliver varm ved brug.
- EXTERNAL ANTENNA (EKSTERN ANTENNE): En ekstern teleskop-antenne er fastgjort til denne indgang og er ikke beregnet til at blive afmonteret. Justeres for bedste modtagelse. For mere se afsnittet mærket "AM / FM modtagelse".
- HEADPHONE OUT (H∅RETELEFONER UDGANG): Tilslut høretelefoner (medfølger ikke) til denne stereo-udgang til mere diskret lytning. Høretelefonerne vil mute den primære højttaler. Volumen på høretelefonerne justeres via kontrolhjulet eller fjernbetjeningen. Fjernbetjeningen's "Mono" knap påvirker også denne udgang. Denne stereo udgang passer til et 3.5mm mini stereo jack stik. Undgå brug af hovedtelefoner ved høj lydstyrke for at undgå eventuelle høreskader.
- AUX IN: Hvis du vil høre lyd fra en anden audio-enhed, såsom Tivoli Audio's Model CD, en MP3-afspiller eller dit TV, skal du tilslutte enhedens lydudgang til denne stereo indgang og ændre til AUX. Denne stereo indgang passer til et 3.5mm mini stereo jack stik. Bemærk: at det kan være nødvendigt at justere lydstyrken på audio-enheden, da den kan afvige i forhold til lydstyrken på Albergo ved normal radio lytning.
- SPEAKER: Tilslut RCA-kabelet fra Tivoli Audio Albergo Stereo Speaker til denne RCA udgang. Sørg for at Stereo/Mono er sat til stereo ved at trykke på Mono-knappen på fjernbetjeningen og vær sikker på, at displayet viser "ST" for stereo og ikke "M" for mono.
Guide Til Funktioner (Fjernbetjening)
-
POWER: Tryk kort for at tænde eller slukke din Albergo. Når radioen tændes vises den sidst anvendte kilde.
-
MUTE/SNOOZE: Tryk for at slå lyden fra og tryk igen for at genoptage foregående lydstyrke. Tryk for at snooze i 10 minutter efter alarmen lyder. Et ikon vil blive vist på skærmen, när snooze er aktiv. Snooze-tiden er ikke justerbar. Når du trykker på Snooze-knappen igen, mens du stadig i Snooze-tilstand, nulstilles Snooze-timeren til 10 minutter.
-
ALARM: Tænd for Albergo og brug ▲▼ og Select-knappen til at justere og indstille vækkeuret. Se også "Ændring af vækkeurets indstillinger og klokkeslæt via hovedmenuen"

text_image
4 2 3 MUTE SNOOZE ALARM SLEEP SOURCE INFO 1 2 3 4 5 TU+ BACK MENU SELECT TU- VOLUME MONO 8 10 12 9 13 7 6 1 5for yderligere meget vigtige indstillinger af vækkeuret.
- SLEEP: Tryk gentagne gange for at få vist mængden af tid radioen vil spille, før den slukker automatisk, og tryk på Select knappen for at vælge det pågældende tidspunkt. En lille urskive vil blive vist på skærmen, når Sleep timeren er aktiv. For at annullere sleep, skal du trykke på Sleep-knappen, indtil displayet viser "Off".
- SOURCE: Tryk gentagne gange for at ændre lydkilde.
- INFO: Tryk gentagne gange for at bladre gennem de tilgængelige oplysninger afhængig af den kilde, du befinder dig i.
- PRESETS 1-5: Tryk og hold for at gemme den indstillede station. Tryk kort for at indstille til den ønskede station. I FM-tilstand vil det forudindstillede nummer være angivet på displayet. Der er mulighed for at gemme 5 stationer på hvert bånd.
- VOLUME +/-: Tryk på Volume + knappen for at hæve lydstyrken eller Volume - knappen for at sænke lydstyrken. Hvis lyden forvrænges bør lydstyrken sænkes for at undgå at beskadige højttaleren. Hvis lydstyrken justeres, mens Albergo er på Mute, vil dette annullere Mute.
- ▲▼/TUNE +/-: Tryk kort på Tune ▲▼ knapperne for at bruge Auto Scan til at gå til den næste station, der registreres. Se "Auto Scan" under "Menu" for hvordan du deaktiverer Auto Scan og stiller ind på stationer manuelt.
- ◀▶: På højre pileknap dublikeres Select knappen. Den venstre pileknap flytter dig til den forrige side i visse menupunkter.
-
MENU/SELECT: Tryk og hold for at åbne hovedmenuen, og tryk kort for at vælge punkter i menuen. Se afsnittet "Menu" for menuerne AM, FM, Bluetooth og Auxiliary nedenfor for yderligere oplysninger.
-
MONO: Tryk for at ændre Stereo/Mono-indstilling. Displayet viser "M" for Mono og "ST" for Stereo. Denne indstilling påvirker også hovedtelefonudgangen. For mere, se afsnittet "AM / FM Modtagelse".
- BACK: Tryk for at gå tilbage til den forrige menu side.
Bemærk: Med radioen på standby trykkes kortvarigt to gange på fjernbetjeningens ▲-knap for at slukke displayet. Mens displayet er slukket, trykkes kortvarigt en gang på ▲-knappen for at tænde displayet i 10 sekunder. Tryk kortvarigt yderligere to gange på fjernbetjeningens ▲-knap for at tænde displayet igen.
Menuen
I en hvilken som helst kildetilstand trykker man kort på Menu/Select knappen på fjernbetjeningen. Brug ▲▼ knapperne på fjernbetjeningen for at navigere gennem menusiderne og ▲▼ og Select knapperne for at skifte punkterne inde i menuen. Hvis du begår en fejl i processen, trykker du bare på Back knappen på fjernbetjeningen og begynder forfra.
En stjerne (*) indikerer, at det viste menupunkt er indstillet.
Bemærk: Hovedmenuen forsvinder automatisk efter ni sekunder, hvis der ikke trykkes på nogen knapper.
- RDS (IKKE PÅ AM, AUX, ELLER BLUETOOTH MENUER): Tryk på Select-knappen, og brug ▲▼ og Select- knapperne til at vælge mellem "Enabling" eller "Disabling" FM RDS-tekst. Se afsnittet "RDS" for yderligere oplysninger.
- SETTINGS (A-K):
A. Auto Scan (IKKE PÅ AUX ELLER BLUETOOTH MENUER): Tryk på Select knappen og brug ▲▼ pile- og Select knapperne til at aktivere eller deaktivere Auto Scan. Når Auto Scan er aktiveret, vil den automatisk stille ind på den næste station den modtager hver gang man trykker på ▲▼ knapperne. Når den er deaktiveret kan man bruge ▲▼ knapperne til manuelt at navigere frekvenserne.
B. Auto Clock: Tryk på Select knappen og brug ▲▼ pile- og Select knapperne til at vælge mellem On eller Off. Hvis du vil have auto update til at virke, skal du have vedvarende FM RDS modtagelse med et signal for tid/dato. Det kan tage op til et minut eller længere før uret opdateres. Tivoli Audio er ikke ansvarlig for upræcise oplysninger om tid/dato som leveres af auto update signalet. Hvis du vil indstille uret manuelt, vælger du “Off” og indstiller tid og dato i menupunktet “clock set”.
C. Set 12/24 Hour (Indstil 12/24 Timer): Tryk på knappen Select og brug ▲▼ og Select for at vælge 12 eller 24 timers ur.
D. Contrast: Tryk på Select knappen og brug ▲▼ pile- og Select knapperne for at øge eller sænke displaykontrasten.
E. Backlight: Tryk på Select knappen og brug ▲▼ pile- og Select knapperne for at gøre baggrundslyset stærkere eller svagere.
F. Display: Tryk på Select knappen og brug ▲▼ pile- og Select knapperne for at indstille displayet til On eller Off. Når man indstiller displayet til Off, vil baggrundslyset blive slukket, når Albergo er slukket. Det kan være en fordel når man sover. Mens der er slukket for displayet, tænder man for det ved at trykke på en knap på fjernbetjeningen i 10 sekunder.
G. Date Set: . Tryk på Select knappen og brug ▲▼ pile- og Select knapperne for at indstille datoen.
H. Clock Set: Tryk på Select knappen og brug ▲▼ pile- og Select knapperne for at indstille/skifte timen og tryk så på Select. Gentag denne proces for at indstille/skifte minutterne og tryk så på Select.
I. Volume Limit (Lydstyrkebegrænsning) (IKKE PÅ AM ELLER FM MENUER): Hvis du vil skrue ned for den maksimale lydstyrke for ikke at forstyrre andre, skal du trykke på Select-knappen og bruge ▲▼ og Select-knapperne for at vælge mellem lydstyrkegrænse 26 eller 22. Hvis du vælger "Off" vil den maksimale lydstyrke være standardindstillingen på 30. Bemærk: Hvis du skruer ned for den samlede lydskyrke, skrues der også automatisk ned for vækkeurets lydstyrke, når det ringer.
J. Alarm 2 (IKKE PÅ AM ELLER FM MENUER): Hvis du ikke regner med, at du vil bruge Alarm 2 eller er bange for, at Alarm 2 utilsigtet indstilles, skal du trykke på Select-knappen og bruge ▲▼ og Select-knapperne til at deaktivere Alarm 2.
K. Bluetooth Level (Bluetooth Niveau): Brug ▲▼ og Select-knapperne til at vælge "Low" hvis du ønsker at nedsætte Bluetooth signalets rækkevidde. Det kan være ønskværdigt hvis du kun bruger Bluetooth featuren når du er meget tæt på radioen. Vi anbefaler at denne indstilling forbliver i "Normal" positionen.
3. TIVOLI EQ
A. Bass: Tryk på Select og brug ▲▼ pile- og Select knapperne til at justere bassen.
B. EQ: Equalizeren fungerer som en lydstyrkekontrol ved lave lydniveauer. Brug ▲▼ knapperne til at vælge mellem at have EQ on, EQ altid Off, eller EQ Off indtil der tændes for Albergo (når der tændes for den igen, vil EQ igen være tændt).
C. Balance: Da denne Balance-indstilling ikke har nogen effekt, når Albergo er sat til at spille i Mono, bør Balance altid være centreret i midten, undtagen når Albergo Stereo Speaker er tilsluttet, og Stereo mode er valgt via fjernbetjeningens "Mono" knap. Selvom det anbefales at centrere Balance indstillingen i Stereo mode, kan du bruge ▲▼ knapperne til at justere balancen efter dit behov. Tryk derefter på knappen Select for at gemme eventuelle ændringer.
D. Treble: Tryk på Select og brug ▲▼ pile- og Select knapperne til at justere diskanten og tryk på Select knappen.
Ændring Af Vækkeurets Indstillinger Og Klokkeslæt Via Hovedmenuen
- Du får adgang til alarmindstillingerne ved at trykke på Alarm-knappen på fjernbetjeningen mens der er tændt for Albergo.
- Alarm 1 er vist først. Brug pq og Select-knappen til at vælge mellem Alarm 1 og Alarm 2.
- Tryk på ▲▼ og Select for at slå alarmen til eller fra.
- Tryk på ▲▼ for at justere timetallet og tryk på Select for at gemme og gentage processen for minuttallet, efterfulgt af AM/PM (hvis tiden er sat til 12 timers format), tryk derefter på Select. Bemærk: På ethvert tidspunkt kan du navigere gennem alarm menuen ved hjælp af Tilbage eller venstre piletast, og Select eller højre piletast.
- Tryk på ▲▼ for at indstille hvor ofte alarmen skal vække dig, og tryk derefter på Select.
-
Tryk på ▲▼ for at vælge den lydkilde, du vil vågne op til, og tryk herefter på Select. Hvis du indstiller AM eller FM, skal du bruge pq for at vælge den ønskede faste station (hvis presets er lagret) eller den station du sidst lyttede til, og tryk derefter på Select.
-
Sidst men ikke mindst tryk på ▲▼ for at indstille lydstyrken for alarmen, og tryk derefter på Select.
- Gentag denne proces for Alarm 2, hvis det ønskes.
Hvis du laver en fejl på noget tidspunkt i processen, kan du altid trykke på Tilbage-knappen på fjernbetjeningen og begynde igen.
Strøm svigt: Skulle strømmen forsvinde, eller skulle din Albergo blive afbrudt, vil den indstillede alarm forblive gemt, men alarm kan ikke aktiveres, hvis der ikke er strøm.
Alarm Muligheder
Når alarmen lyder, kan du aktivere Snooze funktionen eller slå alarmen fra.
Snooze: For at aktivere Snooze, skal du trykke på Snooze-knappen på fjernbetjeningen eller trykke kortvarigt på kontrolhjulet på toppen af enheden. Det er ikke muligt at indstille Snooze tiden. Når du trykker på Snooze-knappen igen, mens du stadig i Snooze-tilstand nulstilles Snooze-timeren til 10 minutter.
Alarm fra: Du kan stoppe alarmenved at trykke på Alarm eller Power-knappen på fjernbetjeningen.
Før parring skal du tjekke at din anordning understøtter Bluetooth 2.1+EDR A2DP, og at din anordning ikke er tilsluttet et andet Bluetooth produkt. Forskellige anordninger kan parre forskelligt. Nedenstående er en general guide.
- Tryk på knappen Bluetooth på frontpanelet på Albergo+ eller skift kilde til Bluetooth. Dette vil tænde for din Bluetooth. Start med at skrue ¼ op for lyden. Skru også op for lyden på kildeenheden (den enhed du streamer fra).
- Tænd den Bluetooth trådløse teknologi på din aktiverede anordning.
- Vælg "Tivoli Bluetooth (Ikke parret)" når den kommer op på din anordnings skærm for at begynde søgningen. Nogle anordninger beder dig om et PIN nummer. I så tilfælde indtaster du "0000". "Tivoli Bluetooth" vil skifte fra "Ikke parret" til "Forbundet".
- Du vil høre en ringetone fra din Albergo+ som bekræfter forbindelsen, og du kan nu begynde at spille dine musikfiler trådløst. Juster lydstyrken på din anordning. Det skulle ikke være nødvendigt at parre din anordning igen. Afhængigt af hvilken enhed du bruger kan det være nødvendigt at prøve parring og/eller forbindelse til Albergo+ flere gange, men giv venligst enheden tid nok til at parre eller forbinde før du gentager processen.
Parre En Bluetooth Trådløs Teknologi Aktiveret iPhone/iPod Touch/iPad
- Tryk på knappen Bluetooth på frontpanelet på Albergo+ eller skift kilde til Bluetooth. Dette vil tænde for din Bluetooth. Start med at skrue 14 op for lyden. Skru også op for lyden på kildeenheden (den enhed du streamer fra).
-
Vælg "Indstillinger" (afhænger af anordningens softwareversion).
-
Vælg "Almindelig".
- Vælg "Bluetooth".
- Sæt Bluetooth til "On" for at begynde søgningen.
- Vælg "Tivoli Bluetooth (Ikke parret)" når det vises på displayet. Hvis du bliver bedt om at indtaste et PIN nummer, indtaster du "0000". "Tivoli Bluetooth" vil skifte fra "Ikke parret" til "Forbundet".
- Du vil høre en ringetone fra din Albergo+, og du kan nu begynde at spille dine musikfiler trådløst. Juster lydstyrken på din anordning. Det skulle ikke være nødvendigt at parre din iPhone/iPod/iPad igen.
Output niveauet af lydstyrken på musikfiler varierer. Hvis du foretrækker et endnu højere output niveau kan du tjekke indstillingerne på din iPhone/iPod touch/iPad: Sæt EQ til Off, SoundCheck til Off, og lydstyrkegrænsen til Off.
Hvis du har problemer med at parre, trykker du på den lille pil til højre for "Tivoli Bluetooth" på dit iPhone/iPod touch/iPad display og vælg "Glem denne anordning", og gentag så parringsprocessen. Afhængigt af hvilken enhed du bruger kan det være nødvendigt at prøve parring og/eller forbindelse til Albergo+ flere gange, men giv venligst enheden tid nok til at parre eller forbinde før du gentager processen.
Når du streamer musik kan du trykke på den blå pil til højre for knappen for det næste spor >>/ på dit iPhone/iPod touch/iPad display for at skifte mellem iPhone/iPod/iPad og Bluetooth.
VIGTIGT:
- Albergo+ vil huske parringsoplysninger for op til 8 anordninger. Yderligere anordninger kan parres, men den anordning, som det er længst siden den blev brugt, vil blive erstattet af den nyeste parrede anordning.
- Hvis lyden forsvinder eller stopper mens der spilles, skal du flytte din anordning tættere på din Albergo+, eller tjek for at sikre at der ikke er en anden trådløs anordning som forstyrrer signalet.
- Når du skifter fra Bluetooth til AM eller FM, kan det være nødvendigt at genjustere (sænke) radioens lydniveau.
AM/FM Modtagelse
Den medfølgende eksterne antenne vil give en god modtagelse. I områder med stærkt FM signal, kan reducering af antennens længde give bedre modtagelse. Denne antenne har ikke nogen indvirkning på AM modtagelsen.
Hvis du bruger Albergo sammen med Albergo Stereo Speaker, og du lytter til en støjende FM station, kan du med fordel trykke på Mono-knappen på fjernbetjeningen, da dette kan gøre FM stationen mere støjfri og lyttevenlig. Displayet vil vise et "M", når Albergo er i mono og et "ST", når den er i stereo.
For at høre AM - drej radioen, til du har den ønskede modtagelse. En ekstra AM trådløs antenne kan give en bedre AM-modtagelse.
Bygninger der indeholder beton, stål eller aluminium vil hindre modtagelse. Husholdning-sapparater, elektriske tæpper, computere, cd-afspillere og andre elektroniske enheder kan også have en negativ indflydelse på modtagelsen eller give anledning til støj. Hvis det sker for dig skal du flytte Albergo længere væk fra den forstyrrende anordning eller sætte den i en anden stikkontakt, som ikke deles med en anden anordning.
RDS (kun ved FM)
Radio Data System (RDS) sender tekst data sammen med lyden. Ikke alle FM-stationer bruge denne service, og teksten er således ikke tilgængelig ved alle stationer. Hvis det opleves, at RDS teksten ikke vises, eller teksten ser rystet ud, kan det skyldes, at signalet er for svagt. I sådanne tilfælde kan man eksperimentere med placeringen af FM-antennen. Hvis det er muligt at modtage RDS, trykkes gentagne gange på Info-knappen for at se de tilgængelige oplysninger. Bemærk: RDS indholdet bestemmes af den enkelte FM-station.
Placering
Placer Albergo på en flad, stabil overflade. For fuld udnyttelse af bas og ventilation, må den bageste basport ikke dækkes til. Albergo er ikke video afskærmet og bør holdes mindst 127 mm (5 “) væk fra en computer skærm eller et fjernsyn. Placering i en reol, et skab eller tæt på vægge eller hjørner kan indvirke på bassen og dermed skabe en unaturlig lyd.
Rengøring
Benyt aldrig skrappe rensemidler eller opløsningsmidler på Albergo.
EU Begrænset Garanti
Tivoli Audio laver produkter af meget høj standard, og vi er sikre på, at vore produkter fungerer godt. Derfor yder vi en begrænset garanti på dette produkt mod fabrikationsfejl ved materialer og håndværk til den oprindelige ejer. Denne garanti kan ikke overføres.
Produkter som er købt i EU og Norge har en minimumsgaranti på to år. I lande hvor varigheden af minimumsgarantien er vedtægtsbestemt, er garantiperioden den påkrævede vedtægtsperiode. Alle andre steder er garantiperioden et år.
Denne begrænsede garanti dækker dette produkts funktionalitet for normal, tilsigtet brug som specificeret i denne manual. Den dækker ikke fejlfunktion eller skade, der er opstået ved upassende eller urimelig brug eller installering, ved at bruge opladeren til at oplade alkaline batterier, fejl ved tilknyttet udstyr, modifikationer, uautoriseret reparation, skade eller tab under forsendelse, mishandling, uheld, brug af forkert spænding/strøm, strømstød, lynnedslag eller andre naturfænomener, for megen fugt, normal slidtage, kommercielt brug eller køb fra uautoriserede forhandlere. Det kan være nødvendigt at vise dit købsbevis ved garantiservice for at bevise at enheden blev købt hos en autoriseret forhandler.
Hvis du åbner eller skiller dette produkt ad, vil den begrænsede garanti være ugyldig. Der er ingen dele inden i, som brugeren kan servicere. Tivoli Audio betaler ikke for omkostninger ved korrigering af problemer med modtagelsen, eliminering af eksternt genereret statisk støj/støj, tidstab, ubekvemmelighed, tab af brugen af produktet, eller skade forårsaget ved upassende brug af dette produkt.
Hvis produktet returneres i garantiperioden og service er berettiget i følge denne begrænsede garanti, vil vi reparere eller erstatte alle defekte dele gratis og indenfor en rimelig tidsfrist.
DENNE BEGRÅENSEDE GARANTI GIVER DIG SPECIFIKKE LOVMÅESSIGE RETTIGHEDER UNDERLAGT DE SPECIFICEREDE FORHOLD. DER KAN OGSÅ VÆRE ANDRE GÆL-DENDE LOVMÅESSIGE RETTIGHEDER FOR DET K∅BTE PRODUKT. DISSE LOVMÅESSIGE RETTIGHEDER VARIERER FRA LAND TIL LAND. NOGLE STEDER ER ESKKLUDERING, RESTRIKTION ELLER MODIFICERING AF VISSE UNDERFORSTÅEDE RETTIGHEDER
ELLER DERES EFFEKT IKKE TILLADT. I EN SÅDAN SITUATION VIL DENNE BEGRÅENSEDE GARANTI KUN GÆLDE I DEN UDSTRÆKNING SOM GÆLDENDE LOV TILLADER.
Dit lands love kan give dig retten til lovmæssige krav mod sælgeren eller producenten af dette produkt. Denne begrænsede garanti påvirker ikke disse rettigheder.
Bestemmelserne i den begrænsede garanti træder i stedet for alle andre garantier eller forhold, bortset fra dem der er lovbestemt. Denne begrænsede garanti påvirker ikke dine lovgivne rettigheder og udelukker ikke noget retsmiddel, som du har lovmæssigt ret til.
I lande hvor ansvarlighedsgrænsen ikke udelukkes af vedtægter skal Tivoli Audio højeste ansvarlighed ikke overstige den pris du betalte for produktet. I lande hvor ansvarlighedsgrænsen er udelukket af loven, skal Tivoli Audio ikke være ansvarlig for mere end direkte kropsskade, og/eller skade på ejendom eller personlige ejendele som følge af Tivoli Audios uagtsomhed.
Hvis det ikke er forbudt i følge loven, skal Tivoli Audio ikke være ansvarlig for specielle, uhelds-, konsekvens- eller indirekte skader. Nogle steder tillader ikke begrænsninger af eksklusion eller begrænsninger af afhjælpning, specielle, uhelds-, konsekvens- eller indirekte skader eller ansvarsbegrænsning til særlige beløb, så ovenstående begrænsninger eller eksklusioner gælder måske ikke dig.
Denne begrænsede garanti er ugyldig, hvis mærkatet med serienummeret er blevet fjernet eller ødelagt.
Hvis du har købt en forlænget servicekontrakt fra din forhandler og service er nødvendig efter den begrænsede garanti er udløbet, bedes du kontakte vores udbyder af den forlængede kontrakt for at blive serviceret.
For nemheds skyld kan du registrere dit produkt for garantiservice online på vores hjemmeside www.tivoliaudio.com. Du er ikke lovmæssigt forpligtet til at give personlige oplysninger. Men sådanne oplysninger lader os registrere hvilke Tivoli Audio produkter du køber, så vi bedre kan forstå dem der køber vores produkter. Tivoli Audio vil bruge de indsamlede oplysninger til markedsføring, og hvor det er tilladt vil vi kontakte dig om de produkter du har købt eller andre produkter du kunne være interesseret i fra Tivoli Audio eller andre firmaer. De oplysninger du giver os kan blive bearbejdet i et andet land.
Specifikationer
Model: Tivoli Audio Albergo
Type: AM/FM bordradioer med Bluetooth trådløs teknologi
Højttalere: 76,2 mm (3") driver med fuld rækkevidde
Frekvensbånd:FM:87.5-108MHz
AM: 522-1629kHz, 9k trin (520-1710kHz, 10k trin)
Vægt: 1,0 kg (2,2 lbs)
Der forbeholdes ret til at ændre specifikationer uden forudgående informationer herom. Tivoli Audio forbeholder sig retten til at udføre produktændringer uden forudgående informationer herom. Tivoli Audio, Tivoli Audio's logo, Albergo, Albergo+ og Albergo Speaker er registerede varemærker som tilhører Tivoli Audio, LLC. Bluetooth ordmærket og logoer er registrerede varemærker som ejes af Bluetooth SIG, Inc. og enhver form for brug af Tivoli Audio er under licens. iPod, iPod touch, iPhone, og iPad er varemærker tilhørende Apple Inc., som er registreret i USA og andre lande. Andre varemærker og varenavne tilhører deres respektive ejere.
CE
ALBERGO™
AM/FM-Uhrenradio