Innergize HB947 - Güneş enerjili bank PHILIPS - Ücretsiz kullanım kılavuzu
Cihazın kılavuzunu ücretsiz bulun Innergize HB947 PHILIPS PDF formatında.
Kullanıcıların soruları hakkında Innergize HB947 PHILIPS
0 soru bu cihaz hakkında. Bildiklerinizi cevaplayın veya kendinizinki sorun.
Bu cihaz hakkında yeni bir soru sor
Cihazınız için talimatları indirin Güneş enerjili bank PDF formatında ücretsiz! Kılavuzunuzu bulun Innergize HB947 - PHILIPS ve elektronik cihazınızı yeniden ele alın. Bu sayfada cihazınızın kullanımı için gerekli tüm belgeler yayınlanmaktadır. Innergize HB947 markasının PHILIPS.
KULLANIM KILAVUZU Innergize HB947 PHILIPS
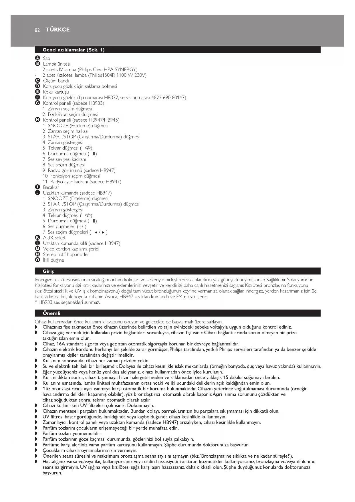
Genel açıklamalar (Sek. 1)
A Sap
B Lamba unitesi
2 adet UV lamba (Philips Cleo HPA SYNERGY)
2 adet Kizlotesi lamba (Philips1504R 1100 W 230V)
Olcum bandi
Koruyucu gozluk icin saklama bolmesi
Koku cartu
F Koruyucu gozluk (tip numarasi HB072; servis numarasi 4822 690 80147)
Kontrol paneli (sadece HB933)
1 Zaman sekim duğmesi
2 Fonksiyon seçim Düğmesi
Kontrol paneli (sadece HB947/HB945)
1 SNOOZE (Ereleme) duigmesi
2 Zaman sekim halkasi
3 START/STOP (Calistima/Durdumma) dugmesi
4 Zaman goftergesi
5 Tekrar dugmesi (
6 Durdurma dugmesi (II)
7 Ses seviyesi kadrani
8 Ses secim dugmesi
9 Radyo görünümü (sadece HB947)
10 Fonksiyon segim dugmesi
11 Radyo ayar kadrani (sadece HB947)
Bacaklar
Uzaktan kumanda (sadece HB947)
1 SNOOZE (Erteleme) dugmesi
2 START/STOP (Calistirma/Durdum) duğmesi
3 Zaman goftergesi
4 Tekrar dugmesi (
5 Durdurma dugmesi (II)
6 Ses dugmeleri (+ / - )
7 Ses secim duğmeleri (▶)
AUX Soketi
Uzaktan kumanda kilifi (sadece HB947)
M Velco kordon kaplama seridi
N Stereo aktif hoparlor
0 Ikili dugme
Giris
Innerize, kizlotesi isnllinn sicakligini ortam kokulan ve sesleryle birleistirerek canlandinci yaz gunesi deneyimi sunan Saglikbir Solaryumdur. Kizlotesi fonksiyonu sizi istir, kaslarinizi ve eklemlerinizi gevsetir ve kendinizi daha canl hissetmenizi saglanir: Kizlotesi bronzlasma fonksiyonu
(kizilotesicaklik ve UV isk kombinasyonu) dogal tam vucut bronzugunun keyfine varmaniza olanak saglar. Innerige, yerden kazanmaniz icin üc basit adimda kucuk boyuta katlanir. Aynca, HB947 uzaktan kumanda ve FM radyo icerir.
- HB933 ses seçenekleri sunmaz.
Önemli
Cihazi kullanmadan once kullanim klavuzunu okuyun ve gelecekte de basvumak uzere saklayin.
Cihazinizi fise takmadan once cihazin uzerinde belirtilen voltajin evinizdeki sebeke voltajyla uygun oldugunu kontrol ediniz.
Cihaza guc vermek icin kullanilan prizin baglantilari sorunluysa, cihazin fiisi sinir. Cihazi baglantilarinda sorun olmayan bir prizetaktiginizdan emin olun.
Cihaz, 16A standart sigorta veya ge catan otomatik sigortayla korunan bir devreye baglanmaldir.
Cihazin elektrik kordonu herhangi bir sekilde zarar gormusse, Philips tarafindan, yetkili Philips servisleri tarafindan ya da benzer sekilde onaylanmis kisiler tarafindan degistirilmelidir.
Kullanim sonrasinda, cihazi her zaman prizden cekin.
Su ve elektrik tehlikeli bir birlesimdir. Dolayisi ile cihazi kesenlikle islak mekanlarda (ornegin banyoda, du vya havuz yakinda) kullanmayin.
Eger yuzduyseniz vya henuz yen du aldsaniz, cihazi kullanmadan once iyice kurulanin.
Kullanildiktan sonra, cihazi ta'inmaya hazir hale getirmeden ve saklamadan once yaklasik 15 dakika sogumaya birakin.
Kullanim esnasinda, lamba unitesi muhafazasin ortasindaki ve iki ucundaki deliklerin akaldigindan emin olun.
Yuz bronzlausturicida asiri isinmaya karsi otomatik bir koruma bulunmaktadir. Cihazin yeterince sogutulmamasidurumunda (ornegin havalandirma delikleri kapanmis olabilir), yuz bronzlausturici otomatik okayakapanir. Asiri isinma sorununu czdukten ve cihaz sogcduktan sonra, tekrar otomatik okayak acilir
Cihazi kullanirken UV filtrerleri cok isinir. Dokunmayin.
Cihazin menteşeli parçalari bulunmaktadir. Bundan dolayi,Parmaklarinizin bu parçalara sikismaması icin dikkatli olun.
UV filtresi hasar gordugunde, kirdignda veya kayboldugunda cihazi kesinlikle kullanmayin.
Zamanlayici, kontrol paneli veya uzaktan kumanda (sadece HB947) arizalyken, cihazi kesinlikle kullanmayin.
Parfum tozlarini cocuklarin erisemeyecgi bir yerde muhafaza edin.
Parfum tozlari yenmemelidir
Parfum tozlarinin goze kaçmasi durumunda, gozlerinizi bol suyla calkalayin.
Parfume karsi alerjiniz varsa parlum kartusunu kullanmayin. Suple de durumunda doktorununa basvurun.
Cocuklarin cihazla oynamalarina izin vermeyin.
Onerilen seans suresini ve maksimum bronzlasma seans sayin aasmayin (bkz. Bronzlasma: ne siklkta ve ne kadar sureyle?).
Hastaliginiz varsa ve/veya ilac kullaniyorsaniz veya cildin hassaiyetini artiran kozmetikler kullaniyorsaniz, bronzla ma ve/veya dinlenme seansina girmeyin. UV isigina veya kizliotesi isiga karsi airi hassassaniz, daha dikkatli olun. Suphe duydugunuz konularda doktorununa basvurun.
Ilk seanstan sonraki 48 saat icinde kasinma gibi beklenmedik etkiler gorulurse, bronzlasma cihazini kullanmayin ve doktorunuza basvurun.
Yuzunuzu, gunde bir kezden fazla bronzlasmaya tabi tutmayin. Ayni gun icinde dogal gune igina uzun sureli maruz kalmaktan sakinn.
Cilt uzerinde kalici yumrular ya da yaralar olusursa vya benlerinizde degisiklik olursa doktorunuza basvurun.
Bu cihaz, gune ciktkarinda bronzlaamadan gune yani gozlnebilen kisiler, gune yani ilkarslamsi kisiler, cokuklar vya deri kanseri alan (veya onceden alan) kisiler tarafindan vya deri kansine yakalanma riski alan kisilerce kullanimamaldir.
Gozlerinizi asiri gorunur isik, UV isik ve kizlotesi isiga karst korumak icin, bronzlaema esnasinda verilen koruyucu gozlukleri takin (Ayrica bkz. "Bronzlaema ve sagliginiz").
Bronzlasma seansindan yeterince once yuzunuzdeki krem, ruj ve diger kozmetakleri silin.
Gunes kremleri ya da bronzlasma hizlandiriciari kullanmayin.
Eger bronzlasma seansindan sonra cildinizde gerginlik hissederseniz, cildinize nemlendirici bir krem surebilirsiniz.
Esit derecede bronzlasma elde etmek icin, lamba unitesinin ultina diz bir sekilde uzanin.
65 cm'den kisa bronzlaşa mesafesi seçmeyin.
Cihazi sadece taismaya hazir haldeyken taiyin.
- Renkler güneşin etkişile solabilir. Ayni etki cihazi kullanırken de olusabilir.
Cihazin, dogal gunesisigindan daha iyi sonuc vermesini beklemeyin.
Elektromanyetak alanlar (EMF)
Bu Philips cihazi elektromanyetik alanlarla (EMF) igli tum standartlarla uyumludur. Bu cihaz, geregi gibi ve bu klavuzdaki talimatlara uygun sekilde kullanildiginda, bugunun bilimsel verilerine gore kullanimi guvenlidir.
Bronzlasma ve sagliginiz
Güne farkl tiplerde enerji saglar. Görünür isik gormemizi saglarken, ultraviyole (UV) isik bronzluk verir ve güne isinlanndaki kizlótesi (IR) isik, altunda uzanip guneslendigiimiz isinin kaynagdir.
Dogal gune isinda oldugu gibi, bronzla ma islemi biraz zaman alacaktir. lk etki, sadece bir kac seans sonrasinda (Bkz: Bronzla ma seanslar: ne sikikta ve ne kadar sureyle?) fark edilir olacaktir.
UV isigina (Dogal gunes isgi veya bronzlaema cihazindan gelen suni isk) asin maruz kalmak gunes yaniigna sebep olabilir
Bunun yaninda, dogal gune isigina asin maruz kalmak, cihazin yanlis ve asin kullanimi gibi diger bir cok etken, deri ve goz problemi riskerini arirabilir. Bu etkilerin olusum dereceleri, maruz kalinma sekline, siddetine ve suresine gore degistigi gibi, kisinin hassasiyetyle de ilgilidir.
Cilt ve gozler UV iigna daha cok maruz kaldikca, keratit, konjunktiva itihabi, retina bozuklu, katarakt, erken cilt yaslmanasi ve cilt tumorleri olusma riski artar. Bazi ilaclar ve kozmetikler derinin hassiyetini artinr. Bundan dolayi,
'Onemli ve Bronzlasma seanslan: ne siklka ve ne kadar sureyle?' bolumlerinde verilen talimatlari uygulamaniz;
- uygulama mesafesini (UV filtrleri ve vucutarasinda kalan mesafe) 70 cm'detutmaniz;
bir yil icinde maksimum bronzla sma seans saatini (orn. 22 saat vya 1320 dakika) asmamaniz;
ve bronzlasma esnasinda, venlen gozlukleri her zaman takmaniz son derece onemlidir.
Bronzlaşma seansları: ne siklikta ve ne kadar sureyle?
5 ile 10 gunarasindaki surente gunde bir kereden fazla bronzlasma seansina girmeyin.
Birinci ve ikinci seansarasinda en az 48 saat ara verin.
Bu 5 - 10 günluk uygulamadan sonra, bronzlasmaya bir sure ara vermenizi öneririz.
Uygulamadan yaklasik bir ay sonra, cildiniz bronzlugunu yitirecektr. Yeni bir uygulamaya baslayabilirsiniz.
Bronzlugunuzu korumak istiyorsaniz, bronzlasmayi tamamen birakmayin, fakat haftada bir veya iki kez uygulamaya devam edin.
- Bronzlasmaya bir sure ara verseniz veya duşuk frekansta bronzlasma uygulasaniz dahi, maksimum bronzlasma suresini asmamaniz gerektigini aklinizdan szkarmayin.
Bu cihaz icin maksimum bronzlasma suresi, yilda 22 saattir (=1320 dakika).
Ornek
llk gun 9 dakika, kalan her 9 gunde 20 dakika olmak üzere 10 gumluk bronzlasma seansi uyguladiginizi varsayalim.
Tum uygulama (1× 9 dakika) + (9× 20 dakika) = 189 dakika surer.
Bu, 6 × 189 dakika = 1134 dakika olacajindan, yilda 6 seans uygulayabilecejiniz anlamina gelir.
Tabi ki; maksimum bronzlasma seans saati, vucudunuzun bronzlastruplan her kismi icin ayn ayin gecerlidir (orn. vucudun onu ve arkasi).
Ipuu:Gulz gel runen komple bronlasm icin, vucudunuzu haficce cevirin; boylece brzlastrici sik vucudunuzun yan kismarina daha iyi nufuz eder.
Ipucu:Bronzlasma seansi sonrasinda cildinizde gerginlik hissederseniz, cildinize nemlendirici bir krem surebilirsiniz.
Ipuu: fonksiyonunu kullanrsaniz (sadec HB947/HB945), bronzlasma seansarini yaklasik 5 dokika arturmanizi oneririz. Bu, 9 dokidan uzun olmamasigeken ilk bronzlasma seansi incin gecerli degildir.
Tablo
Tabloda gosterildigi sekilde, bronzlasma uygulamasinin ilk seansi cildin hassiyetine baklmaksizin, her zaman 9 dakika surmelidir.
Eger seanslann sizin icn cok uzun oldugunu duusunuyorsaniz (orn. cildiniz seans sonrasinda gerginleiyor ve hassaslayorsa),seans surerini oernegin 5 dakikaya azaltmanizi oneririz.
Vucudun farkli her bolges icin bronzlasma seanslarinin suresi
Cok hassas ciltli kisiler icin Normal hassas ciltli kisiler icin Az hassas ciltli kisiler icin
- seans 9 dakika 9 dakika 9 dakika en az 48 staatlik ara en az 48 staatlik ara en az 48 staatlik ara en az 48 staatlik ara
2.seans 10-15 dakika 20-25 dakika 30-35 dakika*
3.seans 10-15 dakika 20-25 dakika 30-35 dakika*
4.seans 10-15 dakika 20-25 dakika 30-35 dakika*
5.seans 10-15 dakika 20-25 dakika 30-35 dakika*
6.seans 10-15 dakika 20-25 dakika 30-35 dakika*
7.seans 10-15 dakika 20-25 dakika 30-35 dakika*
| Vucudun faktı her bolges icin Çok hassas ciltı kişiler icin Normal hassas ciltı kişiler icin Az hassas ciltı kişiler icin bronzlşma seanslarınin süresi |
| 8. secs 10-15 dakka 20-25 dakka 30-35 dakka* |
| 9. secs 10-15 dakka 20-25 dakka 30-35 dakka* |
| 10. secs 10-15 dakka 20-25 dakka 30-35 dakka* |
| *) veya cildinizin hassiyetine®,®,®,®,®,®,®,®,®,®,®,®,®,®,®,®,®,®,®,®,®,®,®,®,®,®,®,®,®,®,®,®,®,®,®,®,®,®,®,®,®,®,®,®,®,®,®,®,®,®,®,®,®,®,®,®,®,®,®,®,®,®,®,®,®,®,®,®,®,®,®,®,®,®,®,®,®,®,®,®,®,®,®,®,®,®,®,®,®,®,®,®,®,®,®,®,®,®,®,®,®, Dinlenme veatica |
| Sicaklgün dinlendirici bir etkisi yardir; Sicak bir banyonun veya güneş,isiginda tembellik yapmanin sizi ne kadar cezbettigi bir düsseldorf. Dinlenme scenegini % veya % sekinde secerek de ayni hazzi,isayabilirsiniz. Dinlenme seansina girdiginiz zaman asagidakilei akinizda bulundurun: • Asin sicaktan kacin. Gerekirse lambilara aranizdaki mesafey artinn. • Eger basinizdaassistant isicaklik hissedensin, basinizi ortün veya basiniza dokru da haji yilmasi nisqağlamak icin vucudunuzu hareket ettinir. • Dinlenme seansi esnasinda gozlerinizi kapatn. • Dinlenme seansinçok uzun sürmemesine özen gosterin (ynca bk. 'Dinlenme seanslan: ne siklikte ve ne kadar suture?). Dinlenme seanslar: ne siklikta ve ne kadar suture? |
| Kaslannizi veya eklemlerinizi rahlatmak veya bronzlaşmadan Innerize'in rahlatcı sicakligin nink keyfini;cikarmak istyorsaniz, dinlenmek icin sadece xizlótesi lambalan acn. Bronzlşma seansinizdan sonra Innerize'in sicakligin tadini;cikarmaya devam etmek istersiz, dinlenme seansi icin sadece kizl ötesi lambalan acn. Dinlenme seanslari:i guncin,isensinde defalarca uygulayabilirsiniz (ömeşin sabah ve akşam 30 dakika). |
| Cihazin kullanuma hazurlanmasi |
| Cihazi taşima konumunda kolayca taşiyabilir ve saklayabilirsiniz (Sek. 2). |
| 1 Şekilde gozisterildigi gibi, cihazi zemine birakin (Sek. 3). |
| Cihazin ayakllannin disa dokru hareket etmesi năqimac icin, cihazin etrafinda yeterli boş alan biraktigizndan emin olun. |
| 2 Sapta (1) bulanan ilaki Düğmeye basarak standi yasaşa yukari kaldirn. Ardindan Düğmeyi brakin (Sek. 4). |
| Cihazin ayaklan düz zeminlerde otomatik olarak disan dokru açilr. Örneşin, halaki zeminler gibi düz olmayan zeminlerde ayaklan açmak icin bir ayaginznda tek bir ayaga basip diğer ayädi da disanya doğru açmaniz gereke bilir. |
| 3 Standi sapindan tutarık;cikabildigi yere kadur yukari cekin. (Sek. 5) Stand kisk sesi;cikarak yenne sabitlencektir. |
| 4 Lamba üntesisini sekilde gozisterildigi gibi cevirin. (Sek. 6) Bu ilem ilk basa biraz Günc kullanlmasini gerektir. Lambayi istenilen yondere cevirerek yerine sabitlenmesini savigyan. Bu esnada bir klik sesi duyariniz. Cihazi sadece lamba üntesi doğru konumdaya bronzlşma veya dinlenme seansi icin acabilirsiniz. |
| 5 Cihazin ayaklarini yatmayi planladigniz yatak veya divanin altuna ittirin. xve % fonksiyonlarinim lambalari cihazin isaretli tarafindadir. (sadece HB947/HB945). (Sek. 7) |
| 6 Kontrol panelindeki;cikintilara bulunan serbest brakma duğmelerine basin ve kontrol panelini stand boyunca yukari dokru itin. Lamba üntesis istediginiz boya geldigeinde Düğmeyi brakin. (Sek. 8) UV filtrleri ve vucudunuzarasindaki mesafe 70 cm olmaldir. UV filtrleri ve uzandigniz yüzey (örnéşin yatak)arasindaki mesafe 90 cm. olmaldir. (Sek. 9) Cihazin gereki yüseklikte olup olmadiğn belirlenmesi icin olçüm bandiri cekin. (Sek. 10) Ölcümbandi kirmizl sékmeyi kullandignizda otomatik olarak gerl sarilir. (Sek. 11) |
| Cihazin Kullanimi |
| Bronzlşma vaya dinlenme (HB933) |
| 1 Elektrik kordonunu tamamen acn. |
| 2 Fisi prize takiniz. |
| 3 Fonksiyon seçici Düğmeyi istenilen pozisyona ayarlayin (Sek. 12). |
| Eger tünm vucudunuzzu bronzlaştmak istyorsaniz,seceneşini seçin. Eger dinlenme seansini terch ediyorsaniz. %seceneşini seçin. |
| 4 Uygun bronzlşma vaya dinlenme,_süresi,_icin‘Bronzlşma ve säglichniz’ve‘Dinlenme ve säglichniz’bölümlerine,_goz atin. |
| 5 Verilen koruyucu gozülkleri tanin. Bu koruyucu gozülkleri sadece Phillips bronzlşma cihazini kullanarak bronzlşirken kullann. Baska amaçlar icin kullanmayin. Koruyucu gozülkler, 89/686/EEC talimatlarna Göre koyucu sinif l maddesyle uyumludur. |
| 6 Cihazin lamba üntiterlinin oltna dizbir,_sekilde uzanin. |
| 7 Zaman ayarlayciyi uygun seans,_icin ayarlayin. (Sek. 13) |
| Not:Lambalann yanmasi birkaç,saniye,_sürecekir. Bu durum normaldir. |
| Cihaz, seansin son dakinkasinda sesi,yuari verir. |
| Bu bir daka,boyanu,cu,nucludunz,diger bolümlerini bronzlşturmak icin zamanlayicyi sifirlayabilirsiniz. Zamanlayici bu bir daka,kınde sifrlarsanz, kapatldiktan sonra lambalinı,_sogumasi,_icin,gerek 3 dadikalı,_süresini,beklemenize,gerek kalmaz. Bu beklemese,_süresi kizlôtesi lambalar,_icin,_geçeri,_degildir. |
| Bronzlşma vaya dinlenme (HB947 ve HB945) |
1 Elektrik kordonunu tamamen acin.
FiSi prize takiniz.
Fonksiyonlarin ayarlanmasi
Fonksiyon seigm diugmesi farkli fonksiyonlari gosterir. (Sek. 14)
1 Bir fonksiyondan digerine gegmek icin fonksiyon segim duigmesine basin. (Sek. 15)
Sanya donen simge sectiginiz fonkiyonu gosterir.
2 Seçin:
- tum vucudunuzu bronzlastirmak istiyorsaniz, simgesini segin
- vucudunuzun beliri bir bolgesini bronzlaustimak istiyorsaniz, simgesini segin
- dinlenmek istiyorsaniz, simgesini secin.
- vucudunuzun belirli bir bolgesinin isinmasini istiyorsaniz, % simgesini segin.
Bronzlaśma veya dinlenme seanslari ici surenin ayarlanmasi.
1 Uygun bronzlasma veya dinlenme surei icin Bronzlasma ve sagliginiz' ve Dinlenme ve sagliginiz' bolumlerine goz atin.
2 Bronzlasma veya dinlenme seansinu sresini ayarlamak icin sure secim duugmesini cevirin (Sek.16).
Sureyi artirmak icin dugmeyi saat yonunde, azaltmak icin saat yonunun tersine cevirir.
3 Verilen koruyucu gozlukleri takin.
Bu koryucu gozlukleri sadece Philips bronzlasma cihazini kullanarak bronzlasirken kullanin. Baska amaclar icin kullanmayin.
Koruyucu gozlukler, 89/686/EEC talimatarina gore koyucu sinif Il maddesyle uyumludur.
4 Cihazin lamba unitelerinin alta duz bir sekilde uzann.
5 Bronzlasma lambarini vya kizlotesi lambarini yakmak icin START/STOP (Calisturma/Durdurma) dugmesine basin (Sek.17).
Not:Lambalann yanmasi birkac saniye surecektir. Bu durum normaldir.
6 Surenin yaninda yanip sonen bir nokta belirir. (Sek. 18)
Ayarlanan bronzlaema veya dinlenme suresinin geri sayimi baslar.
Son dakika
Cihaz, seansin son dakikasinda sesli uyari verir.
Son dakikada, ayarlanan sureyi tekrarlayabilirsiniz. Tekrar dugmesine ( ) basin. (Sek. 19)
Not: Ekran ayarlanan surey i goerir ve geriy doogruyaymaya baslar. Cihaz sesli uyan vermyi durdurur.
Son dakikada, yenir sure ayarlayabilirsiniz. Sure sekim dugmesini istediginiz sureye (1) ayarlayin ve START/STOP (Calistirma/Durdurma) dugmesine (2) basin. (Sek. 20)
Not:Yeni bir sure ayarlayarak, lambalin kapatildiktan sonra sogumalan icin gereken 3 dakikalik sureyi beklemek zorunda kalmazsiniz. Bu 3 dakikalik beklemse suresi kizlotesi lambalir inc gecerli degildir.
- Bronzlasma veya dinlenme seansi sirasinda, 9 dakika daha kizlotesi lambalin sicakliginin keyfini cikarmak icin SNOOZE (Erteleme) Düğmesine basabilirsiniz. SNOOZE (Erteleme) Düğmesine istediginiz siklkta basabilirsiniz. (Sek. 21)
Bronzlasma veya dinlenme seansini durdurma
Bronzlasma seansini durdurmak icin, duraklatma duigmesine (II) basin. (Sek. 22)
Lambalar soner. 3 dakikalik souguma suresi ekranda yanip soner ve geriy dogru sayar. Bu 3 dakikalik surede lambalar sour. Sure O'a geriyayldignda ve yanip snonmeyi durdurduugunda, cihazi tekaracabilirsiniz. Kanal seans sresinin geriyaymini baslatmak icin START/STOP (Calistma/Durdurma) duqmesine vya duraklat duqmesine (I) basin.
Dinlenme seansini durdurmak icin, duraklatma dugmesine (II) basin. (Sek. 23)
Lambalar kapatulir ve duraklama simgesiyle kalan sure ekranda goruntulein. Beklemse suresi kuzlotesi lambalar icin gecerli olmadigi icin, cihazi istediginiz zaman tekrar calistirabilirisiniz. Kanal seans suresinin ger saymini baslatmak icin START/STOP (Calistirma/Durdurma) duigmesine veya duraklat dugmesine ( II) basin.
Bronzlaśma veya dinlenne suresinin seans sirasinda değistirilmesi
- Ayarlanan sureyi bronzlasma seansi sirasinda degistirmek icin, START/STOP (Calstirma/Durdurma) dugmesine basin (Sek. 24).
Lambalar soner. Sure segim duigmesiyle yeni bir sure ayarlayin. Ayarlanan surenin yanip sonmesi bitene kadar bekleyin (ilk once lambalan sougumasi gerektigi icin bu islem 3 dakika surer). Cihazi tekrar calisturmak icin START/STOP (Calistirma/Durdurma) duigmesine basin. - Ayarlanmisi surey dinlenme seansi sirasinda degistirmek icin, sure secim dugmesini cevirin.3 dakikalik doguma suresi kizlotesi lambalar icin gecerli degildir.
Uzaktan kumanda (sadece HB947)
Asgidaki islemleri gerceklestirmek icin uzaktan kumandayi kullanin (aynca bkz:Bronlasa veya dinlenme (HB947 ve HB945)):
seansin baslatilmasi/durdurulmasi
kalan seans siresinin grotuntulenmesi
D seansin duraklatilmasi
seansin tekrarlanmasi
- erteleme
Bir ses secmek ve ses seviyesini ayarlamak icin de uzaktan kumandayi kullanabilirsiniz (ayncb. Stereo Aktif Hoparlorier ve ortam sesleri (sadece HB947/HB945)):
1 Bir ses sejmek icin veya duigmesine basin.
2 Sesi ayarlamak icin + veya - dugmesine basin.
Dogal kokular
Bronzlasma vya dinlenme seansi sirasinda en sevdiginiz kokunun keyfini cikarabilirisiniz. Uc farkli kokudan birin secebilirsiniz.
Parfum tozlar, bu cihazla kullanim icin ozel olarak gelistirilmisir. Diger tozlar kullanmayin.
Kartusun doldurulmasi
1Kucuk basma noktalarina basarken kartusun kapaginci sekin. (Sek. 25)
2 Üst kisimdaki küçük boşlukta yer alan keseyi acın.
TÜRKÇE86
3 Kartuş, bir parlüm tozu keşesinin tamamiyla doldurun.
4 Kapagi kartuşa geri takin ('klik' sesi duyulur).
Kartusun takilmasi vya cikarilmasi
1 Kartuşu, tutucuya yerleştinir. Sadece tek bir yondere takilabilirdir ve yerine bir tik sesyle oturacaktır. (Şek. 26)
2 Kartusu cikarmak icin bas ve isaret parmaklarinizi kartusun yan tarafilarina yerleştinir. Kartusu, tutucudan cikarmak icin diske basin. (Sek. 27)
Koku seviyesinin ayarlanmasi
1Koku seviyesini ayarlamak icin kartusudondurun. (Sek. 28)
Koku seviyesini artirmak icin kartsu buyuk cicek simgesine dogru dondurun. Koku seviyesini azaltmak icin ters yonde dondurun.
2 Cihazi kullanmadiginiz veya parfum yaymasini istemediginiz zaman kartusu, buyuk cicek simgesinden mumkun oldugu kadar uzak bir noktaya dondurun. (Sek. 29)
Delikler artik görünmeyecektir.
3 Kartus koku yayamaya basladiginda tozlarigi deistirin. 3 kese halinde parfum tozu paketleri, HB080 tip numarasilya bulunabilir.
Koku seviyesi aşagidakiler gibi birkac faktore baglirdir:
Alişkanlik, kokunun az ya da hi duyulmamasina neden olabilir ancal bu normaldir.
Sirtustune nazaran, yuzukoyunyatildiginda koku daha iy algalanir.
Cihazi kullandigmiz odadaki hava akmlan da koku seiyesini etkileyebilir.
- Ayrica kokuyu alglama dizeyi kisiye gore degisiklik gasterebilir.
Stereo aktif hoparlörler ve ortam sesleri (sadece HB947/HB945)
Bronlma vya dinlenme seansi sirasinda, ho sunuza giden ve sizi en cok rahtlatacak bir ortam sesi seebilirsiniz. Secebileceginiz dort farkl ortam sesi mevcuttur.
Aynca, dahili radyoyla en sevdiginiz muzikleri de dinleyebilirsiniz (sadece HB947). Ek olarak, INNERGIZE urunune kendi muzik calarinizi (ornegin CD/MP3 vya radyo) baglayabilirsiniz.
Ortam seslerinin dinlenmesi
1 Tercih ettiiniz sesi semcik icin ses secim duqmesine bir veya daha fazla kez basin.
Kiyisi (Sek.30)
Orman sesi (Sek. 31)
Egztik bahçesesi (Sek.32)
Sehir sesi (Sek. 33)
Not: Seçilen ses simges sanya doner.
Ipucu:Calan muzigi digar kara fondan gelen seslerle karismadan dinlemek icin cihaz il birlakte verilen kulakklari takin.
Not:Ortam sesleri arka fon sesleri olakak sekilde tasarlanmistir. Bu, seslerin cok siddetli olmadigi anlamina gelmektedir. Dinlenme efekti, sesler anca duyulabilir halde iken en uygundur. Yuksek ses seviyerinden sakinin.
Radyonun dinlenmesi (sadece HB947)
1 Radyoyu seçmek icin, FM simgesi sariya donene kadar ses seçim kadranini cevirin. (Sek. 34)
En sevdiginiz radyo istasyonunu sejmek icin, radyo ayar kadranini cevirin (Sek. 35).
En sevdiginiz muffiklerin dinlenmesi
Kisisel Stereo muzik calaninizi (Ömeşin CD/MP3 veya radyo), cihaza baglamak icin, cihazla birlikte verilen 2 jakl kabloyu kullanabilirsiniz.
1 Jakin birini kontral panelin sag tarafinda bulunan AUX giri sine takin.
2 Diger jak muzik calarinizin (ornegin CD, MP3 veya radyo) kulaklik yuvasina takin.
3 AUX simgesi yanana kadar ses sejm duigmesine basin. (Sek. 36)
Philips Stereo Aktif Hoparlörer sinyali steiginize gore artiracaktir.
Ses seviyesinin ayarlanmasi
1 Ses seviyesini ayarlamak icin ses seviyesi kadranini cevirin. (Sek. 37)
Temizleme
Cihazini temizlemeden once, mutlaka fisi prizden cekin ve soogumaya birakin.
Cihazi temizlemek icin ovalama bezleri, benzin veya aseton gibi asindirici temizlik urunleri veya zarar verici sivil kullanmayin.
Cihaza su girmemesini saglayin.
1 Cihazin dis tarafini nemli bir bezle temizleyin.
UV filtrlerinin diyuzeyini, biraz metil katilmis ispiro te il slatilmis yumusak bir bezle temizleyin.
3 Koruyucu gozlukleri nemi bir bezle temizleyin.
Saklama
Taşınmaya hazir hare getirmeden ve saklamadan önci, cihazi 15 dakıka bogumaya birakin.
1 Koruyucu gozlikleri 2 lambaarasindaki saklama bolumnde saklayabilirsiniz. (Sek.38)
2 Uzaktan kumanda ve kabloyu kontrl panelinin arkasindaki goze koyabilirsiniz (sadece HB947). (Sek. 39)
3 Cihazi tasima konumuna alirken, elektrik kordonunun cihazin parcalariarasina sikismamasina dikkat edin.
4 Cihazi yataktan veya koltuktan uzaklasirin ve cihazi katlam icin yeterli boşluk biraktıgünizdan emin olun.
5 Kontrol panelindeki cikintilarda bulunan iki adet serbest birakma dugmesine basin ve kontrol panelini stand uzerinde mumkun oldugu kadar asaglya indirin. (Sek. 40)
6 Lamba unitesini ok yonunde cevirin. (Sek. 41)
Lamba unitesi dik pozisyonda yerine yerlestiginde klik sesi duyulur.
7 Standi yavaca gerije dogru cekin, sonra ikili dugmeye basin. Standi, lamba unitesi zeminde ayaklarinarasinda duruncaya kadar yavaça indirin. (Sek. 42)
8 Kordonu sarin ve Velcro kordon sarma seridiyle sabitleyin. (Sek. 43)
Cihazi dolapta veya yatak altinda saklayabilirsiniz.
Degistirme
Bronzlaşma lambalari
Bronzlastrici lambalari (Cleo HPA Synergy) sadece yetkili Philips servis merkezi tarafindan degistirilmelidir. Bu islem icin sadece servis merkezleri gereki bilgiye ve deneyime sahiptir ve cihazin orijinal yedek parcalari sadece bu merkezler tarafindan temin edilebilmektedir.
Bronzla s m i ydi g isk zamla (omeg nmal kullimla birka yil sonra) parlakiigini yitir: Bu durum gereklestiginde, cihazin bronzlstirma kapasitesindeki azalmayfark edersiniz.
750 calisma saatinden sonra, lambalann bronzlaema kapasitesi oldukca azalir ve lambalarin degistirilmesini onenilir.
HB947/HB945: cihaz, bronzlasmalambalinn calismasuesini kaydeden sayaca sahiptir. 750 calismasaatinden sonra,ekranin sol tarafinda bronzlasmalambalinn degistirlmesinin onerildigi bilerten Liareti belirr (Sek. 44).
Not:Tabi ki, daha uzun bir bronzlasma suresi ayarlayarak lambalarin degistirilmesini geciktrebilirsiniz.
Bronzlasma lambalarin calisma saatlerinin grotulenmesi
1 Calisma saatlerinin ekranda görtunlenmesi icin sureyi 00'a ayarlayin ve tekrar dugmesine ( ) en az 2 saniye basin. Gosterilebilecek maksimum saat sayisi 999'dur. Bu sayiya ulasildiginda, sayac tekrar 000'dan itibaren saymaya baslar.
Not:Tekrar duigmesini (一) braktiginzda calisma saatleri ekrandon kaldiracaktir.
HB947/HB945:L harfinin ekrandan kaldirilmasi
L harfinin ekrandan kaldinmasi:
1 Ekranda gosterilen surenin 00 oldugundan emin olun.
2 START/STOP (Calistirma/Durdurma) dugmesine basin.
3 Tekrar duğmesine ( ) basin ve birakin.
4 Duraklat dugmesine (II) basin ve birakin.
5 Tekrar duigmesine () basin ve birakin.
6 Tekrar diugmesine () basin ve birakin.
7 START/STOP (Calistirma/Durdurma) duggmesini birakin (Sek. 45).
L harfi ekrandan kaldirilir.
Diger parcalar
Philips kizlotesi lambalari (1100W) ve UV filtrer sedace yetkili Philips servis merkezi tarafindan degistirilmelidir. Bu islem icin sadece servis merkezleri gerekl bilgiye ve deneyime sahiptir ve cihazin orjinal yedek parcalari sadece bu merkezler tarafindan temin edilebilmektedir.
- lsevlerini kaybettiklarinde kizlotesi lambalan degistirin.
- UV filtrleri, istemmeyen UV isinlanna maruz kalmayi engeller. Bu yuzden, hasar goren vya klnan bir filtrrenin hemen degistirilmesi onem taismaktadir.
Cihazin elektrik kordonu herhangi bir sekilde zarar gomusse, Philips tarafindan, yetkili Philips servisleri tarafindan ya da benzer sekilde onaylanmis kisiler tarafindan degistirilmelidir.
Parfum tozu siparisi
Uclk eseler halinde satlan parfum paketlerini HB080 tip numarasyla www.philips.com/shop adresinden vya Innergize magazindan satin alabilirsiniz.
Cevre
Cihazin lambalari cevreye zarar verebilecek maddeler icermektedir. Lambalari cope atarken, normal ev copyle birlikte atmamaya dikkat goesterin ve resmi toplama noktalarina teslim edin.
Kullanim omru sonunda, cihazi normal ev atiklarinizla birlikte atmayin; bunun yerine, geri donusum icin resmi toplama noktalara teslim edin. Boylece, cevrenin korunmasina yardimci olursunuz (Sek. 46).
Garanti ve Servis
Servise ya da daha fazla bilgiye ihtiayc duyarsaniz vya bir problem yasarsaniz, lufen www.philips.com.tr adresindeki Philips Web sitesini ziyaret edin vya ulkenizde bulunan Philips Musteri Danisma Merkezi ile iletisime gecin (duna genelindeki Telefon numaralan verilen garanti belgelerinde bulabilirsiniz). Eger ulkenizde Musteri Danisma Merkezi yoksa, yerel Philips yetkilinize basvurun vya Philips Ev Aletleri ve Kisisel Bakim BV Servis Departmani ile iletisime gecin.
Garanti sinirlamalari
Uluslararasi garanti kosullan bronzlaasma lambalinve kizliotesi lambalan kapsamaz.
Sikca sorulan sorular
Bu bolumde cihazla ilgili en sik sorulan sorular listelenmiistir. Sorunuzun cevabini burada bulamiyorsaniz, lufen ulkenizdeki Musteri Hizmetleri Merkezine basvurun.
Soru Cevap
Cihaz neden calismiyor? Fi prize dogru sekilde takilmamis olabilir. Fisi prize dogru sekilde takin.
| Elektrile ilgili bir sorun olabilir. Elektrike bir sorun olup olmadigi Çalımadigi,bara bir cihaz baglayarak kontrol edin. | |
| Lambalar cihazi kullanmaya devam etmek icin halo çok sicut. Ilk olarak, soğumalan icin 3 dakika bekleyin. | |
| Cihaz aşın isindigi icin, cihazın aşın isinma koruması cihazı kapatkı olabilir. Aşın isinma sebebini giderin (örneşın bir veya dhezza havalandirma deligi bir havlu ile kapatkı olabilir). Cihazin soğumasi icin birSurebekleyin ve cihazi tekralçalıkın. | |
| Lamba ünitesinin.Doğru konumda oludgünold emin olun. Bkz 'Kullanımahazlama'. | |
| Kontrol panelinin üst kismi kullanim sirasinda neden isiniyor. | Lambalar kontrol panelinin üst kismiistrir. Bu normaldir. |
| Cihazın böglı oldugu devredeki sigorta, cihazi calistirdigiMDa vya kullandigiMDalektrigi neden kesiyor? | Bronzlasmacihazinin böglı oldugu devrenin sigortasin, 16A standart sigorta veyaGPC atan otomatiksigorta olması gereklidir. Aynca,ayıdevreyeçokfazla cihazbaglamı da olabilirsiniz. |
| Bronzlasmasonuclari neden bekledigiMDkarad iyidehyil? | Kullandigniz uzatma kablosuçokuzun olabilir ve/veya dokru akim ayarinda olmayabilir.Saticiniza danisman.Genel tavyemiz,uzatma kablosu kullanmamaniz sekklindedir. |
| bronzlasmayuygulamaniz,cilt tipiniz icinuygun olmayabilir. 'Bronzlasmaseanslar: ne siklikta ve ne kadarsüreyle'bolümündekiatabloyagöz atin. | |
| Lambalar ve uzandigniz yüzeyarasindaki mesafe belirtilenden fazla olabilir. Bkz.Kullanımahazlama'. | |
| Lambalar uzunSurekullanildiMDa,bronzlasmakasitesi azalir. Bu durum sadecebirkaçyildan sonra gozlenir. Bu sorunu gidermek icin, biraz daha uzunbronzlasmusüresi seçin veya lambalandehyştin. Sadece HB947/HB945: 750 caligiMaatinden sonra, lambalan degistirilmesisinönerildigiBelirtenbir L harfi ekranda görüntülenir. | |
| Bronzlasmalcit tipinizeve bronzlasmayuygulanizabaagreehir. lki etki sadece birkaçseanssonrafark edilir. | |
| Cihaz neden yeterli seviyede kokuyayimiYor? | 'Cihazin kullanimi'bolümündeki'Doğal kokular' kismiminsonlarini okuyun. |
| Ekranda 'Err'mesaji,görüntüleniyorsa (sadece HB947/HB945) ve cihaz sesli uyari veriyorsa ne yapmalıym? | Cihazi kullanmabyirakin ve fişiniçekin,lki saniyebeklediktensonra fişi tekrar prize takin.Sorumdevam ederse,saticinizvaya Phillips servis merkeziyle lletisimkurun. |












































