Media Creator - Цифровая фоторамка INTENSO - Бесплатное руководство пользователя

Найдите руководство к устройству бесплатно Media Creator INTENSO в формате PDF.

📄 57 страниц Русский RU 💬 Вопрос ИИ
Notice INTENSO Media Creator - page 51
Просмотреть руководство : Français FR Deutsch DE English EN Español ES Italiano IT Polski PL Português PT Русский RU
Помощник по руководству
Работает на ChatGPT
Ожидание вашего сообщения
Информация о продукте

Марка : INTENSO

Модель : Media Creator

Категория : Цифровая фоторамка

Скачайте инструкцию для вашего Цифровая фоторамка в формате PDF бесплатно! Найдите своё руководство Media Creator - INTENSO и возьмите своё электронное устройство обратно в руки. На этой странице опубликованы все документы, необходимые для использования вашего устройства. Media Creator бренда INTENSO.

РУКОВОДСТВО ПОЛЬЗОВАТЕЛЯ Media Creator INTENSO

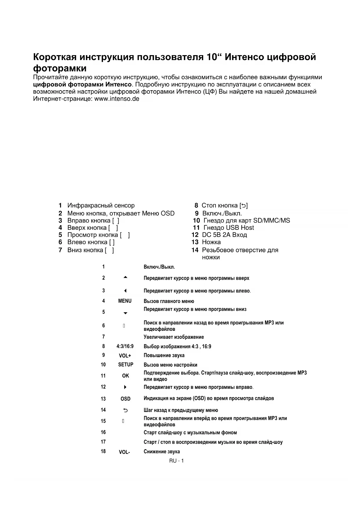
Прочитайте данную короткую инструкцию, чтобы ознакомиться с наиболее важными функциями цифровой фоторамки Интенсо. Подробную инструкцию по эксплуатации с описанием всех возможностей настройки цифровой фоторамки Интенсо (ЦФ) Вы найдете на нашей домашней Интернет-странице: www.intenso.de

1 Инфракрасный сенсор 2 Меню кнопка, открывает Меню OSD 3 Вправо кнопка [ ] 4 Вверх кнопка [ ] 5 Просмотр кнопка [ ] 6 Влево кнопка [ ] 7 Вниз кнопка [ ]

8 Стоп кнопка [] 9 Включ./Выкл. 10 Гнездо для карт SD/MMC/MS 11 Гнездо USB Host 12 DC 5В 2A Вход 13 Ножка 14 Резьбовое отверстие для

Передвигает курсор в меню программы вверх

Передвигает курсор в меню программы влево.

MENU Вызов главного меню

Передвигает курсор в меню программы вниз

Поиск в направлении назад во время проигрывания MP3 или видеофайлов

Увеличивает изображение

4:3/16:9 Выбор изображения 4:3 , 16:9

VOL+ Повышение звука

SETUP Вызов меню настройки

Подтверждение выбора. Старт/пауза слайд-шоу, воспроизведение MP3

Передвигает курсор в меню программы вправо.

OSD Индикация на экране (OSD) во время просмотра слайдов

Шаг назад к предыдущему меню

Поиск в направлении вперѐд во время проигрывания MP3 или видеофайлов

Старт слайд-шоу с музыкальным фоном

Старт / стоп в воспроизведении музыки во время слайд-шоу

VOL- Снижение звукаRU - 2

1) Подключение и включение цифровой фоторамки

Соедините приложенный блок питания с цифровой фоторамкой. Вставьте другой конец блока питания в розетку. Поставьте регулятор цифровой фоторамки в позицию „On“, чтобы включить фоторамку.

- Розетка должна находится вблизи прибора и должна быть легко доступной. - Не открывать корпус сетевого адаптера. Открытый корпус составляет опасность для жизни, связанную с поражением электрическим током. Он не содержит деталей, требующих ухода. - Использовать сетевой адаптер только с заземленными розетками с 100-240В~, 50/60 Гц переменного тока. Если Вы не уверены, какой ток подается на месте использоания, необходимо запросить информацию об этом у поставщика энергии. - Использовать только приложенный кабель для сетевого адаптера и подключения к сети.

2) Вкладывание карт памяти | подключение носителей памяти USB

Вставьте карту памяти в гнездо, направив контакты в сторону дисплея. Внимание: Не применяйте при вставлении карты силу!

Цифровая фоторамка поддерживает следующие форматы карт памяти:

Носитель памяти USB может вставляться в гнездо USB только одном направлении. Внимание: Не применяйте силу при вставлении носителя памяти USB!

Внимание: Цифровая фоторамка предусмотрена только для использования с совместимыми картами памяти и носителями памяти USB 2 (100мА). Secure Digital Card (SD™) Secure Digital High Capacity (SDHC™) Multimedia Card (MMC™) Memory Stick (MS™)RU - 3

a) Главное меню После включения прибора появляется главное меню. Если уже вставлен носитель памяти с записанными фотографиями, слайд-шоу начинается автоматически. Если слайд-шоу началось, нажатием на кнопку Назад [] на дистанционном управлении или на обратной стороне фоторамки можно выйти из слайд-шоу. На экране появляется меню предварительного просмотра фотографий. Нажав еще раз на кнопку Назад [] , Вы попадете в Главное меню. Альтернативно Вы можете нажать на кнопку Меню на дистанционном управлении, чтобы вызвать Главное меню. В Главном меню можно выбрать подключенные носители памяти, время или Меню настройки. Нажмите на кнопки [ ], [ ] на фоторамке или ▲,▼ на дистанционном управлении, чтобы выбрать желаемый пункт меню. Подтвердите Ваш выбор кнопкой ОК на дистанционном управлении или Play/Pause [ ] на

b) Просмотр фотографий Выберите в Главном меню один из подключенных носителей памяти и после этого функцию Фотографии. Так Вы попадете в Меню просмотра фотографий. Выберите фотографию с помощью кнопки со стрелкой и подтвердите Ваш выбор с помощью кнопки ОК на дистанционном управлении или кнопки Play/Pause [ ] на фоторамке. На экране появляется фотография. - С помощью кнопки со стрелкой Влево или Вправо Вы можете перемещаться на одну фотографию Вперед или Назад. - С помощью кнопки ОК на дистанционном управлении или Play/Pause [ ] на фоторамке слайд-шоу останавливается. - С помощью кнопки OSD на дистанционном управлении или кнопки Меню на фоторамке открывается меню OSD. c) Проигрывание музыкальных файлов Выберите в Главном меню один из подключенных носителей памяти и после этого функцию Музыка. На экране появляются все папки подключенного носителя памяти. Выберите папку с помощью кнопок со стрелкой и подтвердите Ваш выбор с помощью кнопки ОК на дистанционном управлении или кнопки Play/Pause [ ] на фоторамке. На экране появляются все музыкальные файлы папки. Выберите Песню с помощью кнопок со стрелкой и подтвердите Ваш выбор с помощью кнопки ОК на дистанционном управлении или кнопки Play/Pause [ ] на фоторамке. Воспроизведение песни начинается. - С помощью кнопок со стрелкой Влево или Вправо можно передвигаться по высвеченному меню OSD Подтвердите Ваш выбор кнопкой ОК на дистанционном управлении или Play/Pause [ ] на фоторамке. - С помощью кнопок со стрелкой Вверх или Вниз можно изменять силу звука.RU - 4 d) Проигрывание видеофайлов Выберите в Главном меню один из подключенных носителей памяти и после этого функцию Видео. На экране появляются все папки подключенного носителя памяти. Выберите папку с помощью кнопок со стрелкой и подтвердите Ваш выбор с помощью кнопки ОК на дистанционном управлении или кнопки Play/Pause [ ] на фоторамке. На экране появляются все видеофайлы папки. Выберите видеофайл с помощью кнопки со стрелкой и подтвердите Ваш выбор с помощью кнопки ОК на дистанционном управлении или кнопки Play/Pause [ ] на фоторамке. Видео проигрывается. - Нажатием на кнопку Меню на цифровой фоторамке или дистанционном управлении открывается меню OSD. С помощью кнопок со стрелкой Влево или Вправо можно передвигаться по меню OSD Подтвердите Ваш выбор кнопкой ОК на дистанционном управлении или Play/Pause [ ] на фоторамке. - С помощью кнопок со стрелкой Вверх или Вниз можно изменять силу звука. e) Меню файлов Выберите в Главном меню один из подключенных носителей памяти и после этого функцию Файл. На экране появляются все папки подключенного носителя памяти. Выберите папку с помощью кнопок со стрелкой и подтвердите Ваш выбор с помощью кнопки ОК на дистанционном управлении или кнопки Play/Pause [ ] на фоторамке. На экране появляются все файлы папки. Выберите файл с помощью кнопки со стрелкой и подтвердите Ваш выбор с помощью кнопки ОК на дистанционном управлении или кнопки Play/Pause [ ] на фоторамке. На экране появляется /проигрывается нужный файл. f) Индикация времени Выберите в Главном меню пункт Время, чтобы на экране показывались время, день недели, дата и (если вставлен носитель памяти) слайд-шоу. Для индикации времени имеются 2 разных режима. Их можно выбрать в Меню настройки. Здесь также можно провести настройку часов. g) Индикация календаря Выберите в Главном меню пункт Календарь, чтобы на экране показывались время, дата, обзор месяца и (если вставлен носитель памяти) слайд-шоу. h) Изменение настроек Выберите в главном меню пункт меню НАСТРОЙКА. Перейдите с помощью кнопок со стрелкой к нужному пункту меню. Подтвердите Ваш выбор кнопкой ОК на дистанционном управлении или Play/Pause [ ] на фоторамке, чтобы провести индивидуальную настройку прибора.RU - 5

Длительность просмотра Выберите, как долго должна показываться фотография во время слайд-шоу. Возможности настройки: 3 сек., 5 сек., 15 сек., 1 мин., 15 мин. Режим просмотра

Выберите изображение фотографии в режиме полного изображения или в его реальных размерах, используя меню настройки Установка изображения фотографий. Переходы между

Можно выбирать между случайным и последовательным переходами между кадрами. Данные о фотографии На дисплее показываются данные о создании файла в режиме полного изображения или в виде слайд-шоу.

Повт. Выкл.: Воспроизводятся все фонограммы из выбранного регистра Повт. Вкл.: Повторение выбранной фонограммы Повт. все.: Воспроизведение всех фонограмм на выбранном носителе данных

Режим повторения видео Повт. Выкл.: Воспроизводятся все видеограммы из выбранного регистра Повт. Вкл.: Повторение выбранной видеограммы Повт. все.: Воспроизведение всех видеограмм на выбранном носителе данных

Выберите цифровые или аналоговые часы Настройка часов Настройка времени. Формат времени Настройка времени: 12 часов (AM / PM) или 24 часа

Настройка даты Формат даты Выберите форму изображения календаря. Напр., ДД/ММ/ГГГГ

Сигнал тревоги 1 Настройка сигнала тревоги, звукового тона и графика Сигнал тревоги 2 Настройка сигнала тревоги, звукового тона и графика Сигнал тревоги 3 Настройка сигнала тревоги, звукового тона и графика Сигнал тревоги 4 Настройка сигнала тревоги, звукового тона и графика Громкость сигнала

Настройка громкости сигнала тревоги. Возможности настройки: 1,2,3,4,5,6

Выберите язык, которым вы желаете пользоваться.

Настройка яркости дисплея TFT. Возможности настройки: -3, -2, -1, 0, 1, 2, 3.

Настройка контраста дисплея TFT. Возможности настройки: -3, -2, -1, 0, 1, 2, 3. Насыщенность Настройка насыщенности цвета дисплея TFT. Возможности настройки: -3, -2, -1, 0, 1, 2, 3. Автоматическая работа Выберите здесь режим, в котором фоторамка должна быть запущена после включения. (Фотография, главное меню, часы, календарь)

Активирование автоматического включения. Выкл. / Один раз / Ежедневно

Активирование автоматического выключения. Выкл. / Один раз / Ежедневно Длительность указаний Выберите время, на протяжении которого на изображении должны показываться указания о функциях кнопок в режиме слайд-шоу и статус (пауза) или (воспроизведение). Возможности настройки: 0 сек., 5 сек., 10 сек., 20 сек. Заводская настройка Прибор возвращается в состояние заводской настройки.RU - 6

4) ОПИСАНИЕ ПРОДУКТА

Изображение Цифровой дисплей TFT LCD Размер: 10 дюймов (25,4 см видимая диагональ фотографии) Экранный режим: 4:3 Раздельная способность: 1024*768 пикселей Блок питания Вход: 100~240В AC, 50/60Гц Выход: 5В 2A DC Порт USB USB Host 2.0 & устройство USB 2.0 Поддерживает носители информации USB Поддерживаемые карты

SD/SDHC™ (Secure Digital Card), MMC™ (MultiMedia Card), MS™ (Memory Stick) Поддерживаемый формат изображения JPEG, максимальная раздельная способность: 8000*8000 пикселей Рабочая температура 0°C ~ +45°C

~ 638.6 rp Принадлежности Дистанционное управление (включ. батарею), ножка, блок питания,многоязычная инструкция пользователя

Вы не знаете, как решить проблему? Наша горячая линия по технической поддержке клиентов ответит на Ваши вопросы: +49 (0) 900 1 50 40 30 за 0,39 €/мин из стационарного телефона в Германии. Цены на звонки из мобильных телефонов могут быть разными.

Желаем много радости с цифровой рамкой Интенсо!RU - 7

Чтобы избежать импульсов тока, на удаляйте на винты ни корпус. Не используйте данный прибор вблизи воды. Не поддавайте прибор влиянию дождя или влажности. Не ставьте вблизи прибора предметы, которые накапливают воду или другие виды

Не устанавливайте данную фоторамку вблизи отопления, печей или других приборов, излучающих тепло. Не открывайте корпус. Не пытайтесь ремонтировать прибор сами. Предоставьте это профессионалам. Избегайте использования на местах с песком. Вставьте вилку для подключения блока питания в отверстие ЦФ полностью. Только так можно избежать электростатического заряда. Выполняйте все подсоединения правильно и надѐжно. Не надавливайте на дисплей. Защищайте дисплей от сильных солнечных лучей. Фоторамка воспроизводит только совместимые форматы . Фотографии могут быть защищены правами третьих лиц. Воспроизведение фотографий без лицензии может быть нарушением авторских прав. Не прикасайтесь к ЦФ во время работы металлическими предметами . Избегайте использования на подушках, диванах или других предметах быта, которые поддерживают развитие тепла, так как существует опасность перегревания прибора. Не извлекайте карты памяти во время чтения карт. Это может привести в сбоям в системе и потере данных. Не выключайте прибор во время воспроизведения. Не упаковывайте прибор непосредственно после длительного использования. Обеспечьте достаточное охлаждение. В ином случае существует опасность перегревания. Для обеспечения лучшего сервиса возможны изменения инструкции по обслуживанию .

Профилактический осмотр прибора ПРИБОР ДОЛЖЕН БЫТЬ ВЫКЛЮЧЕН. НИКОГДА НЕ БРЫЗГАЙТЕ И НЕ НАНОСИТЕ ЖИДКОСТЬ ПРЯМО НА ДИСПЛЕЙ ИЛИ КОРПУС. Чистка дисплея / корпуса / рамки Протрите корпус, рамку и дисплей LCD осторожно мягкой, неворсистой и свободной от химикатов тканью. Используйте очистительные средства, специально предназначенные для дисплея LCD. Утилизация старых электроприборов

Обозначенные данным символом приборы должны соответствовать европейской директиве 2002/96/EC. Все электроприборы и старые электроприборы должны утилизироваться отдельно от домашнего мусора через предусмотренные для этого государством пункты. Надлежащая утилизация электроприборов и старых электроприборов служит предотвращению нанесения вреда окружающей среде.