1616 - Interface audio E-MU - Notice d'utilisation et mode d'emploi gratuit
Retrouvez gratuitement la notice de l'appareil 1616 E-MU au format PDF.
| Intitulé | Description |
|---|---|
| Type de produit | Interface audio USB |
| Caractéristiques techniques principales | 16 entrées et 16 sorties audio, résolution jusqu'à 24 bits/192 kHz |
| Alimentation électrique | Alimentation externe requise |
| Dimensions approximatives | 482 mm x 44 mm x 200 mm |
| Poids | 1,5 kg |
| Compatibilités | Compatible avec Windows et macOS |
| Type de connexion | USB 2.0 |
| Fonctions principales | Enregistrement et lecture multipiste, monitoring direct, traitement audio en temps réel |
| Entretien et nettoyage | Nettoyer avec un chiffon doux, éviter les produits chimiques agressifs |
| Pièces détachées et réparabilité | Réparabilité limitée, pièces détachées disponibles auprès du fabricant |
| Sécurité | Utiliser uniquement avec l'alimentation fournie, éviter l'exposition à l'humidité |
| Informations générales | Idéal pour les studios d'enregistrement et les musiciens professionnels |
FOIRE AUX QUESTIONS - 1616 E-MU
Téléchargez la notice de votre Interface audio au format PDF gratuitement ! Retrouvez votre notice 1616 - E-MU et reprennez votre appareil électronique en main. Sur cette page sont publiés tous les documents nécessaires à l'utilisation de votre appareil 1616 de la marque E-MU.
MODE D'EMPLOI 1616 E-MU
E-MU 1616/1616m/1212m PCI Système audionumérique
Mode d'emploi
© 2006 E-MU Systems
Tous droits réservés
Version logicielle : 1.82
Version : B
E-MU — Maison mère
E-MU Systems
Tous les systèmes comprrient : 8
Système PCI E-MU 1212m 9
MicroDock E-MU 9
Systeme E-MU 1616m 9
PatchMIXDSP 9
Remarques, astuces et averissements 10
2 - Installation 11
Installation du système audio numérique 11
Notes sur l'installation 11
Installation de la carte PCI E-MU 1010 13
Propriétaires de 1212M - Installation de la carte fille 0202 14
Propriétaires de la carte fille de synchronisation - 14
E-MU 0202 & MicroDock 15
Connexion du MicroDock. 15
Types de connecteurs 15
Installation logicielle 16
Installation des Drivers E-MU 02 16
Windows XP, Windows XP x64, Windows 2000 16
Désinstallation de tous les Drivers audio et applications 16
Remarque sur le test de Logo Windows 16
3 - Carte 1010 PCI et MicroDock 17
La carte PCI E-MU 1010 17
Connexions 17
Connecteur EDI 17
Entree/sortie audionumeriques S/PDIF 17
Entrée et sortie numériques optiques ADAT 17
La carte fille 0202 18
Connexions 18
Entrées et sorties analogiques 18
Entree/SortieMIDI 18
Le MicroDock 19
Connexions de face avant 20
Section preamplificatrice 20
Entrées et sorties audionumériques S/PDIF 20
Entrées et sorties audionumériques ADAT optiques 21
Sortie casque et contrôle du volume 21
Connecteur EDI 21
Sortie Monitor Out 21
Connexions de face arriere 23
Entrées analogiques à niveau Ligne 23
Entrées platine et plot de masse 23
Sorties analogiques à niveau ligne 23
Sorties analogiques de haut-parleurs d'ordinateur 24
Entrées et sorties MIDI 1 et 2 24
Connecteur EDI (carte) 24
La carte fille de synchronisation 26
Connexions 26
4-Le mélangeur PatchMix DSP 27
PatchMix DSP 27
Vue d'ensemble du mélangeur 27
Fenetre de melange 28
Synoptique du mélangeur 28
Pre Fader ou Post Fader 28
Icône E-MU de la barre de tâche Windows 29
La barre d'outils 29
La session 30
Nouvelle session 30
Selection d'une Session à 176,4 kHz ou 192 kHz 31
Ouverture de session 31
Sauvegarde de session 31
Paramètres de session 31
Parametres système 31
Utilisation d'horloges externes 32
Reglages d'E/S 32
Voies d'entrée du mélangeur 34
Type d'entrée 34
Creation d'une voie de mixage 35
Fichiers WAVE multicanaux 36
Lecture Windows Media Player/DVD/Son Surround 36
Section des insertions 37
Travail avec les insertions 37
Le menu Insert 38
Départ/retour d'écoute directe ASIO 39
Insertion d'afficheurs de niveau 40
Réglage des niveaux d'entrée des voies 41
Optimisation de vos enregistements 41
Insertion d'un attenuateur 42
Insertion d'un générateur de signal test 43
Gestion des insertions 44
Section des auxiliaires 45
Départs Aux Pré ou Post Fader 46
Réglages Level, Pan, Solo et Mute 47
Section des généaux 48
Ecran TV et selecteurs 49
Touche Effect 49
Touche Inputs 50
Touche Outputs 50
Effets et retours auxiliaires 51
Temoins Sync/SR (Sample Rate) 51
Section des sorties 52
Section Main Inserts 52
Fader de sortie générale 52
Afficheurs de niveau de sortie 52
Niveau de sortie Monitor 52
Réglage de Balance de la section Monitor 52
Coupure de la sortie Monitor 52
5-Effets 53
Vue d'ensemble 53
La palette d'effets 53
Chaines d'insertion d'effets 54
Créer, renommer et supprimer les répertoires 55
Importation et exportation des Presets Core FX 56
Ecran d'edition des effets 57
Section des Presets utiliser 58
Effets internes et Presets d'effets 59
Listedes effets internes 60
Utilisation des resources DSP 60
Descriptions des effets internes 61
Egaliseur paramétrique 1 bande 61
EgaleurBaxendall1bande 61
3-Band EQ 62
Egaleur 4 bandes 63
Auto-Wah 64
Chorus 65
Compresseur 65
Reglages elementaires 66
Distorsion 67
Flanger 68
Freq Shifter 69
Leveling Amp - Compressor optique 70
LiteReverb 71
Délais mono - 100, 250, 500, 750, 1500, 3000 72
Phasing 73
Haut-parleur tournant 73
Simulator d'enceinte 74
Délai stére - 100, 250, 550, 750, 1500 75
Morphing vocal 77
Effets PowerFX E-MU 78
Automation de PowerFX E-MU 80
Disponibilité des ressources PowerFX E-MU 80
Tableau de compatibilité PowerFX E-MU 81
Astuces pour le rendu audio avec PowerFX 82
Astuces d'utilisation du mode Freeze dans Cubase SX2 82
Rendu audio avec PowerFX E-MU 82
Utilisation de PatchMix DSP avec WaveLab et SoundForge 82
E-Wire VST E-MU 83
E-Delay Compensator 84
Utilisation de E-Delay Compensator 85
Parametre E-Delay Units 85
Grouper les pistes 86
6-Annexes 87
Frequences d'échantillonnage élevées 87
Tour d'horizon 87
Système E-MU 1212M à 88,2k ou 96k (carte PCI 1010 et carte E/S) 89
Système E-MU 1212 à 176,4k/192k (carte PCI 1010 et carte E/S) 89
Fonctionnement en lecture et enregistrement WDM 89
Supplément sur la carte fille de synchronisation 90
Conversion SMPTE 90
Fonctions SMPTE 90
Options SMPTE 90
Modes de fonctionnement SMPTE 91
Mode hote 91
Mode externe 91
Mode Flywheel 91
Modes Flywheel 91
Mode Stripe 92
MIDI Time Code (MTC) 92
Entrée/sortie « word clock » 93
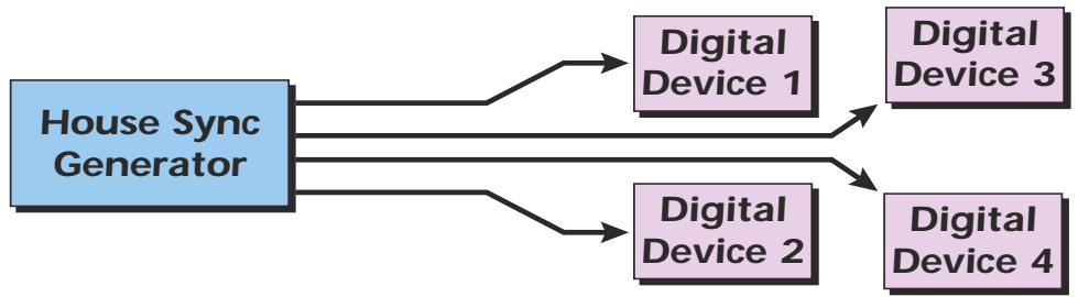
Synchronisation 95
Informations utiles. 96
Cables — Symétriques ou asymétriques? 96
Cables symétriques 96
Cables asymétriques 96
Cables adaptateurs 97
Adaptatour mini-Jack 3,5 mm/Jack 6,35 mm 97
Adaptatour RCA/Jack 6,35 mm 97
Cables numériques 97
Cable adaptateur AES/EBU vers S/PDIF 97
Mise à la masse 98
Alimentation fantôme 98
Réglages d'affichage dans Windows 98
Ca ractistiques techniques 99
R eferences Internet 107
Forums 107
Index 111
1- Introduction
Bienvenue !
Merci d'avoir besoin le système audionumérique PCI E-MU 1616, E-MU 1616^m ou E-MU 1212^m . Vous étés sur le point de transformer votre ordinateur en station audionumérique très puissant. Nous avons conçu ce système E-MU pour qu'il soit logique, intuitif etURTout pour qu'il vous offre une qualité sonore extréme. Ces systèmes offrent une qualité sonore inégalée en 24-bits/192 kHz, avec enregistrement et lecture multipiste sur tout PC équipé d'une fente de PCI.
Éléments des système 1616 PCI
| E-MU 1616 PCI |
| • Carte PCI E-MU 1010 • MicroDock E-MU • EDI (câble d'interface numérique E-MU) • +48VDC AC adaptateur • CD d'installation des logiciels/Drivers D. A.S. • CD-ROM d'outils de production • Guide de prise en main |
| Entrées et sorties |
| (8) entrées numériques ADAT optiques (8) sorties numériques ADAT optiques (2) entrées numériques S/PDIF (2) sorties numériques S/PDIF (2) entrées et sorties MIDI (permettant d'utiliser 32 canaux MIDI) (4) entrées ligne symétriques 24-bits (6) sorties ligne symétriques 24-bits (2) entrées préampli micro/ligne (avec alimentation fantôme 48 V) (2) entrées platine vinyle (avec correction RIAA) (1) sortie casque stéreo (avec réglage de volume) (3) sorties pour haut-parleurs informatiques stéreo amplifiés (en Jacks 3,5 mm) |
Éléments des système 1616^m PCI
| E-MU 1616m PCI |
| • Carte PCI E-MU 1010 • MicroDockm E-MU • Câble EDI (E-MU Digital Interface, interface numérique) • +48VDC AC adaptateur • Câble adaptateur MIDI • CD d'installation des logiciels/Drivers D. A.S. • CD-ROM d'outils de production • Guide de prise en main |
| Inputs & Outputs |
| (8) entrées optiques ADAT (8) sorties optiques ADAT (2) entrées numériques S/PDIF (2) sorties numériques S/PDIF (2) entrées MIDI et 3 sorties MIDI (4) entrées ligne 24 bits sym. (6) sorties ligne 24 bits sym. (2) entrées préampli Mic/ligne (2) entrées préampli platine (1) sortie casque stéreo (3) sorties pour haut-parleurs informatiques stéreo amplifiés (en Jacks 3,5 mm) |
Éléments des système 1212^m PCI
| E-MU 1212m |
| • Carte PCI E-MU 1010 • Carte fille E/S E-MU 0202 • Câble pour carte E/S 0202 • Câbles adaptateur MIDI (2) • CD-ROM d'installation des logiciels/Drivers Digital Audio Systems • CD-ROM d'outils de production • Guide de prise en main |
| Inputs & Outputs |
| (8) entrées optiques ADAT (8) Sorties optiques ADAT (2) entrées S/PDIF ) (2) sorties S/PDIF (1) Entrée et sortie MIDI (2) entrées ligne symétriques 24 bits (2) sorties ligne symétriques 24 bits |
Tous les systèmes comprnent :
La carte PCI E-MU 1010 constitue l'objet principal des trois systèmes. Le processeur DSP vous permet d'utiliser simultanément plus de 16 effets DSP, ce qui ne surcharge pas l'unité centrale de votre ordinateur. La carte PCI E-MU 1010 dispose également de huit canaux d'entrée et sortie numériques optiques ADAT®, ainsi qu'une entrée et sortie numérique stéreo S/PDIF. L'application de mixage PatchMix DSP est fournie avec tous les systèmes. PatchMix DSP offre une polyvalence inégalée pour l'acheminement de l'audio entre les entrées et les sorties physiques, les entrées (ASIO) et sorties virtuelles et les effets et bus physiques internes. Aucun mélangeur externe n'est nécessaire. Vous pouvez ajouter des effets numériques, des égaliseurs, des afficheurs de niveau, des réglages de niveau et des départs ASIO à n'arrête quel point du trajet du signal. Dans la mesure où les effets et le mixage sont réalisés par la carte elle-même, il n'y a aucun retard lorsque vous enregistrez. Vous pouvez même enregistrer un signal sans effet tout en appliquant l'effect unquivalent à l'écoute ! Il est possible d'enregistrer des configurations de mixage et de les charger immidiatement à des fins précises telles que l'enregistrement, le mixage final, les configurations d'effets spéciaux ou une utilisation informatique classe.
Système PCI E-MU 1212m
Le système E-MU 1212^m est fourni avec la carte fille 0202, à 2 entrées analogiques ligne symétriques, 2 sorties analogiques ligne symétriques ainsi qu'une entée et une sortie MIDI. L'interface audio ne fait aucun compromis, grâce aux convertisseurs A/N et N/A 24 bits/192 kHz ultra performants, offrant une plage dynamique de 120 dB.
MicroDock E-MU
Les deux systèmes comprend le MicroDock E-MU, qui est une interface audio au format demi-Rack. Le MicroDock ajoute les entrées et sorties supplémentaires suivantes : Deux entrées micro/ligne avec préamplificateur micro de qualité studio, 4 entrées ligne analogiques symétriques, un préamplificateur stéreo RIAA pour platine vinyle, 6 sorties ligne symétriques, une sortie casque avec réglage de volume en face avant, deux ports d'E/S MIDI, huit canaux d'entrées/sorties audionumériques optiques ADAT®, et une entrée et une sortie stéreo audionumérique au format S/PDIF. De plus, trois mini-Jacks permettent la connexion à vos enceintes amplifiées. Vous disposez au total de 16 entrées et de 16 sorties ! Nous avons utilisé des convertisseurs A/N et N/A 24-bits de la plus haute qualité avec suppression automatique des composantes continues.
Système E-MU 1616m
Le système E-MU 1616^m utilise le MicroDockM, et vous offre un système de qualite Mastering, repranant toutes les fonctions du système 1616. Le système 1616^m se differencie par l'addition de convertisseurs A/N et N/A ultra haute performances en 24-bits/ 192kHz offrant une plage dynamique incroyable de 120~dB .
PatchMIx DSP
PatchMix DSP you permit de facilement router les signaux audio entre les entrées et sorties physiques, entre les entrées et les sorties virtuelles (ASIO/WAVE) et entre les effets internes et les bus d'effets — Vous n'avez pas besoin d'utiliser un mélangeur externe. Vous pouvez ajouter des effets numériques, des égaliseurs, des afficheurs de niveau, des réglages de niveau et des départ ASIO/WAVE où vous le souhaitez dans le trajet du signal.
Du fait que les effets et le mixage soient gérés par la carte, vous pouvez appliquer vos effets à l'enregistrement sans latence. Vous pouvez même enregistrer un signal et écouter l'effet sans pour autant l'enregistrer! Les configurations de mixage peuvent être sauvégardées et chargees pour l'enregistrement, le mixage, les répetitions, etc.
Pour obtenir la première version des logiciels de votre système audionumérique E-MU, consultez le site Internet d'E-MU : http://www.emu.com.
Remarques, astuces et averissements
Les points représentant un intérêt particulier sont reprises dans le document.
Les Remarques donnent des informations supplémentaires sur le sujeit abordé. Très souvent, ces remarques, décrivent l'interaction entre le sujeit traité et certains autres aspects du système.
Les Astuces dérivent les applications relatives au sujeit traité.
Les Mises en gardes sont importantes, car elles peuvent vous éviter d'endom-mager vos fichiers, votre ordinateur ou vous-même.
2 - Installation
Installation du système audio numérique
Il y a six étapes de base pour installer votre système E-MU.
- Retirez toutes les autres cartes de votre ordinateur (lorsque la carte E-MU fonctionne correctement, vous pouvez réinstaller les autres).
- Installez la carte PCI E-MU 1010 dans l'ordinateur. Atteindre cette section..
- Installez la carte fille 0202 ou la carte fille de synchronisation (suivant la configuration). Atteindre cette section.
- Connectez MicroDock (le cas échéant).
- Installez le logiciel PatchMix DSP sur l'ordinateur.
- Connectez les cables audio, MIDI et de synchronisation entre le système et le reste de vos équipements.
- Àpres l'installation logicielle, cliquez sur l'icone E-MU ≡ du menu déroulant des applications Windows et ouvrez PatchMix DSP. Cliquez ensuite sur l'icone ② dans le coin supérieur droit pour ouvrir le mode d'emploi complet.
Notes sur l'installation
- SI À UN MOMENT QUELCONQUE DE L INSTALLATION VOUS N'AVEZ AUCUNE RÉPONSE :
Utilisez la fonction Alt-Tab pour selectionner d'autres applications. Il se peut que l'une d'entre elles soit la signature numérique Microsoft. Il est possible que la fenêtre soit cachée par d'autres applications.
- Verifiez que vous utilisez le Service Pack Windows Microsoft le plus recent (Windows XP - SP 2 ou plus récent).
- Désactivez le son interne et désinstallé les autres cartes son (si vous souhaitez utilisez plusieurs cartes, faites-le après avoir vérifié que la carte E-MU fonctionné correctement seule).
- InstallShield "IKernel Application Error" avec Windows XP : Lorsque vous installez ce logiciel avec Windows XP, vous risquez de rencontres une erreur "kernel error" à la fin de l'installation. C'est un problème lié à InstallShield (logiciel que nous utilisons pour installer le logiciel sur votre PC). Cette erreur est sans conséquence.
Pour en savoir plus sur cette erreur et sur comment éviter ce message, consultez le site Internet :
http://support.installshield.com/kb/view.asp?articleid=q108020
- Il n'est pas pour l'instant possible d'utiliser plusieurs systèmes audionumériques E-MU en même temps.
Lisez les sections ci-dessous, en prétant une attention particulière aux différentes mises en garde, car elles s'appliquent au système E-MU 1010 que vous installez.
Avant d'installer le matériel, consacre que les minutes à noter le nombre de série de la carte PCI E-MU 1010 (18 chiffres) situé sur la carte PCI et à l'arrière de la boîte. Ces nombres peuvent aider le service d'après-vente EMU à résoudre les problèmes que vous pouvez rencontres. Ennotant les numérios maintainant, vous n'aurez pas à ouvrir l'ordinateur pour les rechercheur.
Consignes de sécurité
| Pour éviter d'endommager de manière irréversible votes libre, vérifie que toutes les connexions sont effectuées sur la carte E-MU 1010 et sur MicroDock lorsqu' l'ordinateur hôte est hors tension. Débranche le cable d'alimentation de l'ordinateur pour vous assurer que l'ordinateur n'est pas en vue. |
| Assurez-vous que les composants de votre système ne subISSent pas de dégats liés à l'électricité statique. Les surfaces internes de l'ordinateur, la carte PCI E-MU 1010 et les interfaces sont susceptibles de subir des décharges électrostatiques. Celles-ci peuvent endommager ou détruire les apparciels électroniques. Vous trouvez ci-dessous des procédures à suivre lors de la manipulation d'apparciels électroniques qui vous permetront de réduire le risque de dégats électrostatiques. |
| Evitez tout mouvement inutil. Évitez par exemple de frottier les pieds au sol lorsque vous manipulez des apparciels électroniques, car les mouvements générent de l'électricité statique. |
| Réduisez la manipulation de la carte PCI à un minimum. Conservez-la dans son emballage antistatique jusqu'à ce que vous en ayez besoin. Transportez ou conservez la carte dans son emballage protecteur. |
| Lorsque vous manipulez la carte PCI, évitez de toucher les broches. Essayez de manipuler la carte en la tenant par les côts. |
| Avant d'installer une carte PCI, vous doivent être relié à la terre. Utilisez un conducteur de terre pour vous décharger de toute charge statique. Le conducteur de terre s'attaché au poignet et à toute surface métallique dépourvue de peinture de votre ordinateur. Si vous n'avez pas de conducteur de terre, vous pouvez vousmettre à la terre en touchant le boitier métallique d'un autre équipement mis à la terre. |

Lors de l'installation composants matériels, spectez les précautions minerales ci-dessous pour iter de vous blesser ou endommager le matériel.
Installation de la carte PCI E-MU 1010
Remarque : Cette installation est très simple, mais si vous n'avez pas l'habitude d'installer des péripériques et des cartes informatiques, contactez votre revendeur E-MU ou un centre informatique pour l'installation.
Pour installer la carte PCI 1010 dans l'ordinateur
- Vérifiez que l'interrupteur de l'ordinateur est étéint.
IMPORTANT : Déconnectez le cordon secteur de la prise murale !
- Touchez une plaque métallique sur votre ordinateur pour vousmettre à la terre et pour vous décharger de l'électricité statique.
- Suivez la procédure recommangée par le fabricant de l'ordinateur pour ouvrir le boîtier.
- Retirez les support métallique de un emplacement PCI. Si vous avez le système 1212M, enlevez 2 appuis adjacents en métallique. Mettez les vis de côté ; vous en aurez besoin ultérieurement. Reportez-vous à la figure 1 ci-dessous.


- Alignez la carte PCI E-MU 1010 avec l'emplacement et insérez-la dans l'emplacement en appuyant doucement mais fermement, comme le montre la figure 2.
- Ne forcez pas pour insérer la carte E-MU 1010 dans l'emplacement. Vérifiez que le connecteur à contacts dorés de la carte est aligné avec le connecteur du bus PCI sur la carte mère avant d'insérer la carte dans l'emplacement PCI. Si la carte ne s'insère pas, retirez-la doucement et réessayez.
- Fixez la carte dans l'emplacement avec l'une des vis que vous avez mises de cote.
Remarque: Certains boitiers d'ordinateurs n'utilisent pas de vis pour fixer les cartes PCI. Dans ce cas, suivez les instructions fournies avec votre ordinateur.
Propriétaires de 1212M - Installation de la carte fille 0202
- Si vous possédez le système de 1212m , sortez la carte fille 0202 de son emballage, prete à l'installation.
- Connectez le cable en nappe fourni avec le kit entre la carte E-MU 1010 et la carte fille 0202 comme illustré dans les figure 3. Les cable sont munis de détrompeurs pour être correctement insérés. Enforcez fermement les connecteurs dans leurs socles et ordonnez les cables.
- Alignez la carte fille 0202 avec l'emplacement et inserez-la dans l'emplacement en appuyant doucement mais fermement, comme le montre la figure 2 sur la page precedente.
- Ne forcez pas pour insérer la carte E-MU dans l'emplacement. Vérifiez que le connecteur à contacts de la carte est aligné avec le connecteur du bus PCI sur la carte mère avant d'insérer la carte dans l'emplacement PCI. Si la carte ne s'insère pas, retirez-la doucement et réessayez.

Note: Quand la carte de synchro est installee, le MIDI 2 sur le MicroDock est handicapé. (MTC emploie le port du MIDI.)
- Fixez la carte dans l'emplacement avec l'une des vis que vous avez mises de cote.
Propriétaires de la carte fille de synchronisation
- Déballez la carte fille de synchronisation et préparez-vous à l'instructor. Si vous n'avez pas besoin de ces options ou que vous ne disposez pas d'un emplacement PCI vide, vous pouvez passer ces étapes.
- Connectez le cable en nappe fourni avec le kit entre la carte E-MU 1010 et la carte fille de synchronisation comme illustré dans les figure 4. Les cable sont munis de détompeurs pour être correctement insérés. Enforcez fermement les connecteur dans leurs socles et ordonnez les cable.
- Alignez la carte fille 0202 avec l'emplacement et inserez-la dans l'emplacement en appuyant doucement mais fermement, comme le montre la figure 2 sur la page precedente.
- Ne forcez pas pour insérer la carte E-MU dans l'emplacement. Vérifiez que le connecteur à contacts de la carte est aligné avec le connecteur du bus PCI sur la carte mère avant d'insérer la carte dans l'emplacement PCI. Si la carte ne s'insère pas, retirez-la doucement et réessayez.
- Fixez la carte dans l'emplacement avec l'une des vis que vous avez mises de cotoé.

E-MU 0202 & MicroDock
Si vous disposez de la carte E/S E-MU 0202 et de MicroDock, nous vous conseillons de ne pas les connecter à la même carte E-MU 1010 PCI avec cette version du logiciel. Il existe des problèmes connus, liés à ce type de connexion, qui seront résolus dans une mise à jour ultérieure du logiciel.
Connexion du MicroDock
- Connectez le cable EDI fourni entre la carte 1010 PCI et le MicroDock.
- Connectez l'adaptateur secteur 48 Volts fourni à l'embase +48VDC en face arrêté du Microdock. Voir l'illustration ci-dessous.
- Connectez vos entrées et sorties audio au MicroDock comme indiqué en page 23.
- Placez le MicroDock sous tension en utilisant le bouton de volume casque.

Adaptateur secteur 48 V

Le volume casque sert d'interrupteur.
Le 1616 et le 1616^m MicroDocks ne peuvent pas etre employes avec des cartes 1010 plus anciennes de PCI identifiées par le port 1394 - FireWire.
Types de connecteurs
Ces types de connecteurs sont utilisés pour les connexions au MicroDock E-MU. Les noms utilisés sont indiqués dans la première colonne de ce tableau :
| Nom | Description | Permet la connexion de : |
| EDI | Connecteur CAT5 | Carte 1010 PCI et MicroDock |
| S/PDIF In | Connecteur RCA | Appareils audionumériques S/PDIF |
| S/PDIF Out | Connecteur RCA | Appareils audionumériques S/PDIF |
| ADAT Optical In | Connecteur optique TOSLINK | Appareils numériques ADAT (ou S/PDIF) |
| ADAT Optical Out | Connecteur optique TOSLINK | Appareils numériques ADAT (ou S/PDIF) |
| Mic/Line Inputs | XLR ou Jacks 6,35 mm (symétrique/asymétrique) | XLR : connectez au micro Jack 6,35 mm : entrezes instrument ou ligne |
| Line In/Out | Connecteurs Jacks 6,35 mm | Se connecte aux entrées et sorties symétriques ou asymétriques |
Attention : La carte E-MU 1010 PCI a ete conque pour utiliser des cables informatiques standard, abordables et repandus. Ainsi, vous pourrez facilement replacer les cables en cas de besoin. Vous devez cependant etre prudent et ne pas connecter les cables incorrectement car ces cables standard sont utilisés à d'autres fins. NE PAS connecter le cable EDI fourni à un connecteur Ethernet ou réseau de votre ordinateur. Il en résultatait des dommages irreversibles à votre ordinateur, à la carte 1010 PCI E-MU, ou au MicroDock.
Installation logicielle
Installation des Drivers E-MU 02
Après avoir installé la carte 1010 PCI E-MU, vous doivent accorder le logiciel PatchMix DSP et les Drivers de la carte 1010 PCI E-MU.
Windows XP, Windows XP x64, Windows 2000
Le logiciel n'est pas compatible avec d'autres versions de Windows.
- Dés que vous installez la carte PCI, Windows la détecte et recherche ses Drivers.
- Lorsque le message vous demande les Drivers audio, cliquez sur Cancel (annuler).
- Insérez le CD d'installation logicielle E-MU dans le lecteur de CD-ROM. Si le mode de lecture automatique de Windows est activé pour votre lecteur de CD-ROM, le CD se lance automatiquement. Sinon, à partir du bureau Windows, cliquez sur Demarrer->Exécuter et tapez d:\setup.exe (remplacez d:\ par la dette de votre lecteur de CD-ROM). Vous pouvez également ouvrir simplement le CD et cliquer deux fois sur Setup.exe.
- L'écran d'installation apparait. Suivez les instructions à l'écran.
- Sélectionnez "Continuez quand même" lorsque l'écran d'ajretissement "Test permettant d'obtenir le logo Windows" apparait. Consultez la note en page suivante.
- Lorsque vous y étes invité, redémarrez votre ordinateur.
Déinstallation de tous les Drivers audio et applications
Vous pourrez être améné à désinstaller ou réinstaller tout ou partie des applications et des pilotes de péripérisque de la carte son afin de corriger des problèmes, de modifier des configurations ou de mettre à niveau des pilotes ou des applications obsoilées. Avant de commencer, fermez toutes les applications de carte son. Les applications en cours d'exécution lors de la désinstallation ne seront pas supprimées.
- Cliquez sur Demarrer -> Paramètres -> Panneau de configuration.
- Cliquez deux fois sur I'icone Ajout/Suppression de programmes.
- Cliquez sur l'onglet Installer/Désinstaller (ou sur Modifier/Supprimer des programmes).
- Sélectionnez l'options correspondant à la carte PCI E-MU 1010 ou l'entrée de l'application puis cliquez sur Ajout/Suppression (ou sur Modifier/Supprimer).
- Dans la boîte de dialogue InstallShield Wizard, Sélectionnez l'options Supprimer.
- Cliquez sur le bouton Oui. A l'invite, redemarrez votre ordinateur.
- Vous pouvez désormais réinstaller les pilotes de péripérisque ou les applications de la carte 1010 PCI E-MU.
Remarque sur le test de Logo Windows
Lorsque vous installez les Drivers du système Digital Audio System, une boîte de dialogue vous informe que le Driver n'a pas passé avec succès les tests Logo de Windows. Les Drivers du système Digital Audio System ne sont pas signés car le Driver n'est pas compatible avec certaines fonctions audio grand public requises par le programme de signature Microsoft, en l'occurrence le test de gestion des droits numériques.
Ceci dit, les Drivers du système Digital Audio System ont été testés avec rigueur, en utilisant les mêmes procédures de test que celles requises pour la signature. Ils ont passé ces tests avec succès dans toutes les catégories importantes, notamment celles sur la stabilité du Driver. Il n'y a absolument aucun problème à installer ces Drivers sur votre ordinateur.
- Numéro de série - Lors de l'enregistrement, vous doivent saissir les 18 chiffres du nombre de série. Le nombre de série est situé à l'arrière de la boîte et en bas de la carte 1010 PCI.
3 - Carte 1010 PCI et MicroDock
La carte PCI E-MU 1010
La carte PCI E-MU 1010 constitue l'objet principal du système et contient la puissant puce E-DSP E-MU. Le processeur DSP de cette carte libre les ressources de votre unité centrale pour les Plug-Ins externes supplémentaires et les autres tâches.
Important
Quand le MicroDock est relié à la carte 1010 de PCI, l'E/S numérique sur la carte de PCI est handicapé. Employez l'E/S numérique sur le MicroDock
Connexions

Connecteur EDI
Se connecte à MicroDock via le cable EDI fourni.
Ce cable fournit une liaison entre le système E-MU 1010 et MicroDock et fournit également l'alimentation d'MicroDock.
Entrée/sortie audionumériques S/PDIF
Les prises RCA sont des connecteurs utilisés pour les connexions S/PDIF (Sony/Philips Digital InterFace). Chaque connecteur porte deux canaux audionumériques. Le système E-MU 1010 recoit les données numériques avec une résolution allant jusqu'à 24 bits. L'entrée et la sortie numériques S/PDIF peuvent être utilisées pour la réception et/ou la transmission de données numériques en provenance d'appareils externes, comme un convertisseur analogique/numérique externe, un DAT ou un processeur de signaux externes équipé d'entrées et de sorties numériques.
La sortie S/PDIF peut être configurée en mode professionnel, ou en mode grand public dans le menu des paramétres de session. La carte PCI 1010 peut également transmettre et receivevoir des données AES/EBU avec un cable adaptateur. Voir Cable adaptateur AES/EBU vers S/PDIF pour plus de détails.
L'entrée et la sortie S/PDIF prennant en charge les fréquences d'échantillonnage de 44,1 kHz, 48 kHz et 96 kHz, mais sont désactivées à 192 kHz. La Word Clock contenu dans le flux de données d'entrée peut être utilisé comme source Word Clock.
Voir Paramètres système
Entrée et sortie numériques optiques ADAT
Les connecteurs optiques ADAT transmettent et recoivent huit canaux en 24 bits, grâce aux formats ADAT de type 1 et 2. La Word Clock contenue dans le flux de données d'entrée peut être utilisé comme source Word Clock. Voir Paramètres système.
Aux féquences d'échantillonnage de 96 kHz ou 192 kHz, le schéma d'imbrication du S/MUX aux normes de l'industrie est utilisé pour l'entrée et la sortie ADAT. S/MUX utilise des canaux ADAT supplémentaires pour atteindre la largeur de bande requise. Reportez-vous à la feuille ci-dessous où clique ici pour plus d'informations.
Important :
L'utilisation des entrées et sorties numériques S/PDIF ou ADAT, REQUIERT la synchronisation des échantillons sur les deux péripériques, faute de quoi des « clics » et des parasites apparaisent dans le signal audio.
| Fréquence d'échantillonnage | Nombre de canaux audio |
| 48 kHz | Huit canaux en 24 bits |
| 88.2kHz/96 kHz | Quatre canaux en 24 bits, utiliser la norme S/MUX |
| 176.4kHz/192 kHz | Deux canaux en 24 bits, utilisé la norme S/MUX |
La carte fille 0202
La carte fille 0202 est la carte de complément du E-MU 1010 qui ne comprend pas l'MicroDock. La carte 0202 offre une paire d'entrées analogiques symétriques 24 bits et une paire de sorties analogiques 24 bits, plus une entrée et une sortie MIDI.
Connexions

Entrées et sorties analogiques
La carte fille 0202 offre deux entrées analogiques symétriques et deux sorties analogiques symétriques à niveau Ligne. Ces entrées peuvent être utilisées par n'importe quel signal stéreo à niveau Ligne provenant de claviers, de lecteurs CD, de platines à cassette, etc. Les entrées analogiques sont affectées à des voies de mixage dans l'application de mixage. Les sorties peuvent alimenter toute entrée à niveau ligne telle qu'une table de mixage, l'entrée auxiliaire de votre chaine hi-fi ou des enceintes actives. Les sorties ligne ne sont pas conçues pour alimenter directement un casque. Connectez les sorties ligne à un ampli ou un mélangeur avec sortie casque.
Des cables en Jack stéreo symétriques ou mono asymétriques peuvent être utilisés. Les cables symétriques offrent une immunité supérieure au bruit de fond et un niveau de signal supérieur de 6 dB. Le niveau de sortie ligne est réglable (-10 dBV standard ou +4 dBu pro audio) dans l'écran E/S de la boîte de dialogue Paramètres de session). Voir Réglages d'E/S
Entree/Sortie MIDI
Le port d'entrée et de sortie MIDI peut être affecté dans votre application MIDI spécifique. Connectez le cable adaptateur MIDI fourni avec la carte fille 0202 aux connecteurs mini-DIN sur la carte. Les cables adaptateurs convertissent les connecteurs mini-DIN en connecteurs DIN standard utilisés sur la plupart des claviers et des synthétiseurs. Connectez le port de sortie MIDI au port d'entrée MIDI de votre synthétiseur et la sortie MIDI de votre synthétiseur à l'entrée MIDI de la carte fille 0202.
Le MicroDock
Le MicroDock se connecte à la carte 1010 PCI E-MU avec le cable EDI.
Le MicroDock offre (4) entrées symétriques analogiques, (2) entrées micro, (6) sorties analogue lignesymétriques, (3) sorties stéreo en Jacks 3,5mm pour la connexion d'enceintes informatiques amplifiées, (2) entrées MIDI, (2) sorties MIDI, une sortie casque stéreo et une section RIAA pour platine vinyle, associée aux entrées ligne 2L et 2R, 8 canaux d'entrées/sorties numériques ADAT, et une entrée/sortie numérique S/PDIF stéreo.


Le MicroDock est installable à chaud — Vous pouvez le connecter ou le déconnecter pendant que l'ordinateur tourne.
Pensez à couper (Mute) les entrées 2 du MicroDock dans PatchMix DSP lorsque vous n'utilise pas ces entrées. En effet, le gain de l'entrée de la platine est très élevé (60 dB) et peut ajouter du bruit de fond à votre bus de mixage ou d'écoute.
Les entrées sont configurées comme suit :
| (2) | Entrées micro/ligne mono (2 entrées). |
| (2) | Paires d'entrées stéreo à niveau ligne (4 entrées). |
| (1) | Paires d'entrées numériques stéreo S/PDIF/AES (2 entrées). |
| (4) | Paires d'entrées stéreo ADAT sur les entrées ADAT optiques (8 entrées). |
| (1) | Entrée RIAA pour platine vinyle, évitant l'utilisation d'un préamplificateur spécial externe. Note : Ces entrées sont automatiquement déconnectées lorsque vous insérez des connecteurs dans les entrées 2L & 2R. |
| (2) | Ports d'entrées MIDI disponibles sur le cable spécial fourni. |
Les sorties sont configurées comme suit :
| (3) | Paires de sorties stéreo à niveau ligne. |
| (1) | Paire stéreo pour le casque stéreo (partage le même routage que les sorties ligne 1L/1R). |
| (1) | Paire stéreo pour les signaux audionumériques S/PDIF/AES. |
| (4) | Paires de canaux stéreo ADAT sur la sortie ADAT optique. |
| (3) | Sorties stéreo en Jacks 3,5 mm pour la connexion d'enceintes informatiques amplifiées. Ces sorties portent les mêmes signaux que les 3 sorties stéreo à niveau ligne et permet- tent la connexion des enceintes amplifiées. |
| (2) | Ports de sorties MIDI utilisant le cable spécial fourni. |
Connexions de face avant

Section préamplificatrice
Les entrées A et B Mic/Ligne mono du panneau avant peuvent être utilisées comme entrées micro symétriques, comme entrées guitare à haute impédance ou comme entrées à niveau Ligne. L'embase Neutrik accepte les micros en XLR standard ou les entrées haute impédance/niveau Ligne en jack stéreo/mono. Chaque préamplificateur dispose d'un réglage de gain de -1,3 dB à +65 dB pour les entrées XLR, et de -15 dB à +51 dB pour l'entrée ligne à haute impédance. Les valeurs de l'entrée ligne autour des boutons sont calibrées par pas de 10 dB. Les caractères en gras sur les réglages de gain indiquent le gain analogique à l'entrée du convertisseur (~5 dBV en entrée = 0 dBFS en sortie). Un interrupteur d'alimentation fantôme permet de fournir une alimentation fantôme de 48 Volts aux deux micros. Une Led rouge s'allume pour indiquer que l'alimentation fantôme est activée. Le signal audio est coupé pendant une seconde lors de la mise sous tension de l'alimentation fantôme. ÀpRES la mise hors tension de l'alimentation fantôme, attendez deux minutes avant d'enregistrer pour vous débarrasser de toute tension continue résiduelle. Voir Alimentation fantôme pour de plus amples informations. Chaque entrée micro possède ses afficheurs de niveau et ses témoins d'échéage. L'afficheur de niveau à LEDs indique la présence du signal. Réglez le gain d'entrée pour allumer les LEDs jaunes. La Led Clip indique que le gain est trop élevé et que le signal suture l'entrée. Ces LEDs mesurent le signal directement au niveau des convertisseurs analogique/numérique et avant toute opération par les autres éléments du système. Lors de la configuration des niveaux des signaux envoyés au MicroDock, les témoins de niveau rouges ne devraient pas s'activer
Entrées et sorties audionumériques S/PDIF
Les connecteurs RCA sont des connecteurs utilisés pour les connexions S/PDIF (Sony/ Philips Digital InterFace). Chaque connecteur porte deux canaux audionumériques. Le MicroDock transasmet/reçoit les données numériques à 44,1, 48, 88,2, 96, 176,4 ou 192kHz . Les données sont toujours transmises en 24 bits, mais les résolutions inférieures sont compatibles. Les données Wordclock reçues peuvent être utilisées comme source d'horloge. Voir Paramétres système. L'entrée et la sortie numériques S/PDIF peuvent être utilisées pour la réception et/ou la transmission de données numériques en provenance d'appareils externes, comme un convertisseur analogique/ numérique externe, un DAT ou un processeur de signaux externes équipé d'entrées et de sorties numériques. La sortie S/PDIF peut être configurée en mode professionnel, ou en mode grand public dans le menu Session Settings. Le MicroDock peut aussi envoyer et receivevoir les signaux audionumériques AES/EBU avec le cable spécifique. Voir Câbles — Symétriques ou asymétriques ? pour de plus amples détails.
Alimentation
fantôme, attention :
Certains micros ne peuvent pas etre alimentes par fantome (en particulier les micros a ruban) et peuvent etre endommages. Verifiez les caractéristiques et la configuration requise du micro avant d'utiliser l'alimentation fantome.
Entrées et sorties audionumériques ADAT optiques
Les connecteurs optiques ADAT transmettent et recoivent huit canaux en 24 bits, grâce aux formats ADAT de type 1 et 2. Les données Wordclock des données d'entrée peuvent être utilisées comme source Word Clock. Voir Paramètres système. Les connexions optiques offrent certains avantages tels qu'une immunité totale aux interférences électriques et aux boucles de masse. Utilisez des fibres optiques de haute qualité pour vos connexions supérieures à 1,5 mètres.
Avec les fréquences d'échantillonnage de 88,2 kHz, 96 kHz, 174,4 kHz ou 192 kHz, les entrées et sorties ADAT utilisant la norme d'entrelacement S/MUX. La norme S/MUX utilise des canaux ADAT supplémentaires pour gagner en bande passante. Consultez le tableau suivant ou cliquez ici pour obtenir de plus amples informations.
| Fréquence | Nombre de canaux audio |
| 44 kHz/48 kHz | 8 canaux audio en 24-bits |
| 88 kHz ou 96 kHz | 4 canaux audio en 24-bits, par la norme S/MUX |
| 176 kHz ou 192 kHz | 2 canaux audio en 24-bits, par la norme S/MUX |
Les entrées et sorties ADAT peuvent être configurées dans la page System Settings (page 25) pour transmettre et receivevoir les données S/PDIF optiques à 44,1, 48, 88,2, ou 96kHz . Le format S/PDIF optique ne permet pas l'utilisation des fréquences d'échantillonnage de 176,4 ou de 196kHz du fait des limitations de bande passante des éléments optiques.
Remarque: PatchMix DSP n'est pas encore compatible AC3.
Sortie casque et contrôle du volume
La sortie casque alimentée les casques stéreo standards et le contrôle du volume adjacent règle le niveau d'écoute. L'amplificateur casque peut alimenter les casques d'une impédance supérieure à 24 Ohms. La sortie casque utilise une version haute puissance des amplificateurs de sortie haute qualité utilisés sur les autres canaux. Ainsi, la sortie casque offre un signal très pur que vous pouvez utiliser comme sortie stéreo supplémentaire.
Connecteur EDI
Se connecte au MicroDock à l'aide du cable EDI fourni. Ce cable permet l'échange des données dans les deux sens entre la carte E-MU 1010 PCI et le MicroDock.
Sortie Monitor Out
Cette sortie permet de connecter un casque stéreo et sert également de sortie ligne. Réglez le niveau de cette sortie dans PatchMix DSP.
Important :
L'utilisation des entrées et sorties numériques
S/PDIF ou ADAT,
REQUIERT la synchronisation des échantillons sur les deux péripériques, faute de quoi des « clics » et des bruits parasites
apparaissent dans le signal audio.
Utilisez les XLR à 3 broches pour les microsasse impédance
Face avant
Connexions analogiques
Micro

Utilisez le Jackcentral pour lesinstrumentsaute impedancemonne les guitaresou les basses.

Connexions numériques
ADAT
(Optique)
In
Out

Convertisseur A/N - N/A externe

(8 entreés et sorties analogiques)

S/PDIF
(Coaxial)
In

Out

DAT ou CD Appareil audionumérique S/PDIF

MIDI Out


1
MIDI 1
Out















Out

















MIDI In
Connexions de face arrêté

Entrées analogiques à niveau Ligne
4 entrées analogiques à niveau Ligne, de 24 bits, sont disponibles (1-2). Elles peuvent être utilisées pour receivevoir tout signal à niveau Ligne provenant d'un clavier, d'un lecteur CD, etc. Les entrées analogiques sont affectées à des voies de mixage dans l'application de mixage. Le niveau de l'entrée ligne peut être réglé en fonction des préférences de l'utilisateur, -10 dBV (grand public) ou +4 dBu (pro audio), dans l'écran E/S de la boîte de dialogue Paramètres de session. Voir Réglages d'E/S.
Le niveau d'entrée maximum en mode professionnel est de 18 dBV (= 20,2dBu)
Des cordons Jack stéreo symétriques ou asymétriques mono peuvent être utilisés. Voir page 96 (câbles et connecteurs asymétriques). Les entrées à niveau Ligne sont toutes à symétrie électronique, ce qui permet de convertir de manière interne les signaux asymétriques en symétriques pour réduire le bruit de fond.
Entrées platine et plot de masse
Les entrées platine RCA alimentent un préamplificateur RIAA concu pour accepter les cellules phono magnétiques, avec un gain de 60 dB. Reliefz le fil de masse de la platine au plot de masse pour réduire les ronflements.
Les entrées platine partagent les entrées ligne 2L et 2R. L'insertion d'un connecteur dans l'entrée ligne 2 déconnecté le préampli RIAA. NE LAISSEZ PAS la platine connectée lorsque vous utilisez les entrées 2L et 2R, ce qui peut cause une boucle de masse.
Important: Ne PAS connecter des signaux ligne aux entrées de la platine. Les entrées de la platine sont prévues pour receivevoir des signaux de niveau extrémement faible. Utilisez un cable adaptateur RCA vers Jack 6,35 mm pour connecter des signaux ligne aux entrées ligne.
Sorties analogiques à niveau ligne
Six sorties analogiques symétriques à niveau ligne, en 24 bits, sont disponibles (1-3). La paire de sorties Out 1 est conçue comme sortie d'écoute Monitor et alimentée par le bus d'écoute de PatchMix DSP. Il est recommendé d'utiliser vos enceintes à cette sortie. Un circuit anti-pop spécial coupe les sorties analogiques lors de la mise sous/hors tension. Comme pour les entrées ligne analogiques, vous pouvez utiliser des cables symétriques ou asymétriques. Les liaisons symétriques offrent une immunité supérieure au bruit de fond et un niveau de signal plus élevé de +6 dB. Le niveau Ligne de sortie peut être régle en fonction des préférences de l'utilisateur (-10 dBV standard ou +4 dBu standard pro audio dans l'écran E/S de la boîte de dialogue Paramètres de session). Voir Réglages d'E/S.
Il est également conseilé de couper les entrées 2L/2R dans PatchMix DSP lorsque vous ne les utilisez pas. Le préamplificateur RIAA offre un gain très élevé (60 dB) qui peut contributor à ajouter du bruit de fond à votre mixage.
Cables
symétriques : Utilisez des cables symétriques UNIQUÉMENT (Jacks stéreo), si les DEUX appareils sont symétriques. L'utilisation de cables symétriques entre des appareils asymétriques peut augmenter le bruit de fond.
Les niveaux maximums d'entrée et de sortie ligne correspondent lorsque les paramètres d'entrée et de sortie sont régles sur la même plage de niveau (professionnel ou grand public) dans l'écran des préférences E/S.
Sorties analogiques de haut-parleurs d'ordinateur
Ces mini-Jacks pour casque stéreo (3,5 mm) dupliquent les sorties ligne 1-4 avec un niveau de sortie plus faible, adapté aux enceintes grand public amplifiées.
| Sorties pour enceintes | Mème signal que les sorties ligne |
| 1 L/R | Pointe = 1L Bague = 1R |
| 2 L/R | Pointe = 2L Bague = 2R |
| 3 L/R | Pointe = 3L Bague = 3R |
Entrées et sorties MIDI 1 et 2
Les ports d'entrées et de sorties MIDI vous permettent de connecter tout type d'équipment MIDI comme des claviers, des effets, des contrôleurs de batterie ou de guitare (tous les équipements MIDI). Les Drivers MIDI s'installent lors de l'installation de PatchMix DSP. Les ports MIDI s'affichent alors dans le panneau de contrôle "Son et périhériques audio".
Vous dispose de deux jours d'entrées et sorties MIDI indépendantes sur le MicroDock, que vous pouvez assigner dans vos applications MIDI.
Connecteur EDI (carte)
Connecte le MicroDock à la carte 1010 PCI E-MU à l'aide d'un cable informatique standard CAT5. Le cable fourni avec le MicroDock est spécialement blinde pour éviter les émissions HF.


Connexion des enceintes Surround 5.1
Les mini-Jacks stéreo 3,5 mm facilitent la connexion de vos enceintes Surround amplifiées. Vous n'avez besoin que de trois cables stéreo avec la plupart des systèmes d'enceintes (voir ci-dessus). Les mini-Jacks stéreo 3,5 mm dupliquent les sorties en Jacks 6,35 mm.
Vouss pouvez connecter les mini-Jacks stéreo 3,5 mm à vos enceintes Surround et connecter les sorties en Jacks 6,35 mm à vos autres équipements. Pour l'écoute en Surround, ouvrez simplement la session 5.1 et placez vos enceintes Surround sous tension.
Le tableau ci-dessous vous indique comment connecter les sorties pour l'écoute en Surround 5.1.
(en utilisant la session d'usine 5.1)
WAVE multicanal vers les canaux des enceintes Surround
La carte fille de synchronisation
La carte fille de synchronisation (disponible en option) ajoute une entrée/sorting Word Clock supplémentaire, une entrée/sorting SMPTE (LTC) et une sortie MIDI Out supplémentaire pour la transmission du MIDI Time Code (MTC). Le MIDI Time Code est une version spécifique du format SMPTE transmis par câbles MIDI.
Note : Quand la carte de synchro est installée, le MIDI 2 sur le MicroDock est handicapé. (MTC emploie le port du MIDI.)
La synchronisation est une technique simple permettant la connexion de plusieurs équipements. Les formats Word Clock, S/PDIF coaxial ou S/PDIF optique permettent de synchroniser des appareils audionumeriques sur la même fréquence d'échantillonnage (44,1 kHz, 48 kHz ou 96 kHz). La source d'horloge maître est sélectionnée dans le menu de paramétrage de session Mixer. Reportez-vous à Paramètres système pour plus d'informations. Vous pouvez synchroniser plusieurs enregistrurs numériques ou un enregistrur audio avec un enregistrur video. Les formats SMPTE et MTC sont utilisés car ils transportent des informations de temps absolu. Les formats de synchronisation par Word clock, ou par S/PDIF ne synchronisent que la fréquence d'échantillonnage et contrairement aux formats SMPTE et MTC, ne transportent pas les informations de position de morceau. Dans un système synchronisé, il y a en général un apparéil MAîTRE, et un ou plusieurs appareils ESCLAVES. Lorsque le maître démarre, les autres suivant. La carte de synchronisation fille est également un convertisseur de format. Elle convertit le format SMPTE reçu en MIDI Time Code (MTC) et transmet ces informations à l'ordinateur hôte qui peut les utiliser dans son séquenceur ou toute application d'enregistrement audio. Lorsque l'application de votre ordinateur est maître, la carte fille convertit le MTC en SMPTE et le transmet à un autre apparéil SMPTE

Connexions
La carte fille de synchronisation dispose d'une entrée/sorting Word Clock de synchronisation de la fréquence d'échantillonnage des équipements connectés. Utilisez un cable en BNC pour connecter les signaux d'horloge à l'entrée Word Clock In de la carte fille.
Connectez la sortie Word Clock Out de votre apparéil numérique externe à l'entrée Word Clock In de la carte fille. Celui-ci devient alors horloge maître. La carte fille de synchronisation est compatible avec les formats de synchronisation SMPTE (LTC) en entrée et en sortie par Jacks 6,35 mm. Les données LTC peuvent être enregistrées sur une piste audio d'un enregistrur audio numérique ou analogique et retransmises à l'entrée SMPTE pour synchroniser le séquenceur/enregistrur de votre ordinateur.
Voir MIDI Time Code (MTC) pour de plus amples informations. Le MIDI Time Code est transmis lorsque le MTC est géné par l'application hote (sequenceur ou enregistrureur audio). Un cable adaptateur convertit le format mini-DIN au format DIN MIDI standard.
Voir page 90 pour de plus amples informations sur l'utilisation de la carte fille.
4 - Le mélangeur PatchMix DSP
PatchMix DSP
Le mélangeur de PatchMix DSP est une console virtuelle, offrant toutes les fonctions d'une console conventionnelle avec en plus de nouvelles fonctions. PatchMix DSP simplifie les opérations audio comme les routages ASIO, les réglages de volume, de Pan, d'égalisation, de réglage/routage d'effets, de réglage de Mix général et de Monitoring, sans géné rous autres applications. Très simple !
Pour afficher le mélangeur PatchMix DSP
- Cliquez avec le bouton gauche de la souris sur l'icone E-MU de la fenêtre de menus Windows. Le fenêtre du mélangeur s'ouvre.
Cliquez sur les boutons de l'écran de la console ci-dessous pour acceder à la description des commandes.

Vue d'ensemble du mélangeur
Fenêtre de mélange
Le mélangeur regroupe quatre sections principales.
Barre d'application Gere les sessions et affiche et masque les differents affichages.
Généaux Contrôle les niveaux principaux, les bus aux et leurs insertions. Cette section dispose également d'une « TV » qui affiche les paramètres de l'effet sélectionné et un Patchbay d'entrées/sorties. Indique la fréquence d'échantillonnage de la session courante et indique s'il elle est synchronisée sur l'horloge interne ou externe.
Voies de mixage Section placée à gauche de la section générale et affiche toutes les voies de mixage utilisées. Les voies peuvent représentier des entrées physiques analogiques/numériques ou des entrées hôtes, ASIO ou Direct Sound. Les voies peuvent être ajoutées ou supprimées. Cette section peut être redimensionnée par son bord gauche.
On affiche cette fenêtre en cliquant sur la touche FX de la barre d'outils. Les icones de tous les Presets d'effets connus y sont affichées, classées par catégories. Vous pouvez glisser-delplacer les Presets d'effets sur les insertions disponibles de voies, ainsi que sur les bus auxiliaires de la section générale et les insertions generales.
Un schéma simplifié de la console de mixage est représenté ci-dessous.

Pré Fader ou Post Fader
Lors de la création d'une nouvelle voie, vous pouvez désir de configurer les départs aux en post-Fader (les deux départs aux sont prélevés après le Fader de voie) ou en pré-Fader (les deux départs aux sont prélevés avant le Fader de voie). L'option Pré-Fader vous permet d'utiliser le départ aux pour réaliser un mixage indépendant, qui n'est pas affecté par le Fader de voie. Informations.
Icône E-MU de la barre de tâche Windows
Cliquez avec le bouton droit sur l'icone E-MU de la barre de tâche de Windows pour afficher la fenêtre suivante :

Restore Defaults:
Essayez cette option si PatchMix plante ou si vous avez des problèmes audio.

La barre d'outils
Cliquez sur les boutons de la barre d'outils pour en savoir plus sur leur fonction.
| Nouvelle session | Charge la boîte de dialogue "New Session". Nouvelle session. |
| Open Session | Appelle la boîte de dialogue standard "Open", vous permettant d'ouvrir une session enregistrée. |
| Enregistrer session | Appelle les boîtes de dialogues "Save" ou "Save As...", vous permettant d'enregistrer la session. |
| Afficher/Masquer les effets | Bouton permettant d'afficher ou de masquer la palette d'effets. |
| Paramètres session | Affiche la fenêtre Paramètres de session. Paramètres de session. |
| Préférences globales | Appelle la fenêtre Préférences globales. |
| A propos de PatchMix DSP | Cliquez avec le bouton droit de la souris sur le logo E-MU pour afficher l'écran « A propos de PatchMix DSP ». Fournit les numérios de version du logiciel et du Firmware, ainsi que d'autres informations. |
La session
L'etat du mélangeur PatchMix DSP (paramètres de Fader, routage d'effets, etc.) peut être enregistré dans une session. A chaque fois que vous créez ou modifiez une configuration de mixage, vous devez l'enregistrer pour pouvoir la charger ultérieurement. Avant de commencer à utiliser le mélangeur PatchMix DSP, vous devez le configurer pour le rendre compatible avec les autres applications que vous utilisez. Vous devez avant tout prendre en considération la fréquence d'échantillonnage de votre système. PatchMix DSP et toute autre application ou apparéil numérique que vous utilissez doivent être configurés au même taux d'échantillonnage. PatchMix DSP peut fonctionner à 44,1 kHz, 48 kHz, 88 kHz, 96 kHz, 176 kHz ou 192 kHz, mais l'ensemble de ses fonctions n'est disponible qu'à 44,1 kHz ou 48 kHz. Lorsque vous lancez une nouvelle session PatchMix DSP, vous devez selectionner la fréquence d'échantillonnage. Une fois la fréquence d'échantillonnage définie, vous pouvez facilement désir 44,1 kHz ou 48 kHz. Vous ne pouvez pas basculer entre 88/96/176/192 kHz. Dans ce cas, vous devez démarrer une nouvelle session.
Vous pouvez également selectionner une source de synchronisation externe, utilisant ainsi la fréquence d'échantillonnage d'un autre périphérique ou d'une autre application. La synchronisation externe peut être obtenue à partir de l'entrée ADAT ou S/PDIF. Si la session est configurée à 44,1 kHz ou 48 kHz et que la source externe est supérieure (96 kHz, par exemple), le témoin Sync s'éteint, mais PatchMix essaye de receivevoir les données externes. Les deux ne sont pourtant PAS synchronisés, ce que vous doivent éviter. Contrôlez le témoin LOCKED lorsque vous utilisez une interface numérique. PatchMix DSP est accompagné de plusieurs modèles de session. Lors de la création d'une nouvelle session, vous pouvez creator une session « vierge », basée sur une fréquence d'échantillonnage donnée, ou selectionner un type de session dans la liste de modèles.
Dans une session PatchMix DSP, le nombre de voies est configurable. Ceci vous permet de neisser que les voies dont vous avez besoin et en fonction des ressources DSP et des entrées disponibles.
Nouvelle session
Créez une nouvelle session en cliquant sur le bouton "Nouvelle Session", dans la barre d'outils principale de PatchMix DSP :

Choisissez un modele ou une nouvelle session à la fréquence d'échantillonnage souhaïée.
Description De Session
Ajouter vos propres commentaires ou notes a propos de la session
Vérifiez ici si vous poulez éditer la nouvelle session.
Important:Lorsque youutilisezlesE/S numériques,l'appareil connecté doitetre synchronisé sur la même horloge maître (S/PDIF, ADAT).
Vous pouvez creator une nouvelle session vierge, ou une session basée sur un modele d'usine. Les modetes d'usine sont pré-programmés avec des paramétres spécifiques. Les onglets selecteurs catégorisent les sessions modetes en trois groupes basés sur une fréquence d'échantillonnage de 44,1/48, 88/96 ou 176/192 kHz. Vous pouvez creator vos propres modetes en copiant ou en sauvégardant les sessions dans le repertoire "Session Templates" (Program Files\Creative Professional\E-MU PatchMix DSP\Session Templates). Le chemin "Session Path" vous permet de selectionner la destination de votre session. Le repertoire par défaut est "My Sessions", dans le repertoire "My Documents". Il y a également une zone de commentaires.
Sélection d'une Session à 176,4 kHz ou 192 kHz
Lorsque vous travailliez à 176,4 kHz ou 192 kHz, le nombre d'E/S est réduit. Avec ces fréquences, vous doivent seLECTIONner un des trois types de sessions. Voir page 81.
Ouverture de session
Pour ouvrir une session enregistrée, cliquez sur Open Session. Une boîte de dialogue s'affiche, vous permettant de désirir une de vos sessions enregistrées que vous souhaitez ouvrir. Choisissez une de vos sessions enregistrées et cliquez sur Open.
Sauvegarde de session
Pour enregistrer une session, cliquez sur Save Session. Une boîte de dialogue Save s'affiche, vous permettant deCHOIsir l'emplacement ou vous voulez enregistrer la session en cours. Le dossier "My Sessions" est selectionné par défaut. Prenez l'habitude d'enregistrer la session à chaque fois que vous creez une configuration de mixage spéciale. Vous pourrez ainsi facilement restaurer une configuration pour plusieurs modes audio (enregistrement, mixage, routages ASIO spéciaux, etc.).
Paramètres de session
Paramètres système
Pour afficher la fenêtre de paramètres système, appuyez sur Paramètres de session dans la barre d'outils. Cliquez sur les ontlets pourCHOISIR les options System ou I/O.

Les paramètres système sont les suivants :
| • Horloge interne/externe | Sélectionne l'horloge interne ou externe comme horloge maître du système. |
| • Fréquence d'échantillonnage | Choisit la fréquence d'échantillonnage lors de l'utilisation, de l'horloge externe. Les possibilités sont : 44,1 kHz, 48 kHz, 88,2 kHz, 96 kHz 176,4 ou 192 kHz. |
| • Horloge externe (horloge externe uniquement) | Sélectionne l'entrée S/PDIF ou ADAT comme entrée d'hor-loge externe. |
Utilisation d'horologes externes
Lorsque vous utilisez une entrée numérique (S/PDIF ou ADAT) l'un des appeareils DOIT fournir l'horloge maître aux autres. Cette horloge maître déterminé la fréquence d'échantillonnage de la totalité du système par les signaux S/PDIF ou ADAT. Un système audio numérique non synchronisé produit des clics ou autres parasites dans le signal ou des impossibilités à reconnaître le flux numérique. Contrôlez toujours le tímein "LOCKED" si vous utilisez une interface numérique.
Si l'horloge externe est interrompue ou si sa fréquence est modifiée une fois la session créée (sauf entre 44,1kHz < - > 48kHz ), le tímoin “LOCKED” s'éteint et PatchMix essaye de recevoir les données externes. Les deux apparèils ne sont PAS SYNCHRONISÉS, et vous doivent résoudre ce problème.
Réglages d'E/S
Voupez regler le niveau (-10 dBV ou +4 dBu) de chaque paire de sorties analogiques et le gain d'entrée de chaque paire d'entrées analogiques.
Un niveau de sortie de +4 dBu offre un niveau de sortie elevé, compatible avec les équipements audio professionnels. Les sorties symétriques offrent un gain plus elevé de +6 dB que les sorties asymétriques. NE PAS utiliser de liaisons symétriques, sauf si l'apparil connecté utilise aussi des entrées symétriques. Voir "Cables — Symétriques ou asymétriques ?" dans l'annexe.
Comparaison des signaux à -10 dBV et +4 dBu
Un niveau de sortie de -10 dBV est compatible avec les équipements audio grand public (-10 dBV est inférieur de 12 dB à +4 dBu.) Sélectionnez le réglage qui convient le mieux sans générer de saturation.
Le réglage correct des niveaux d'entrée et de sortie est très important! Vous pouvez mesurer le niveau d'une entrée en insérant un afficheur de niveau sur le premier effet de la voie. Réglez les sorties de vos équipements externes pour obtenir un niveau optimal. Voir "Réglage des niveaux d'entrée des voies".
Remarque :
Lorsqu'il est configuré sur « Externe » sans qu'il y ait d'horloge externe détectée, PatchMix DSP utilise la fréquence de 48 kHz par défaut.

Niveau d'entrée
trop faible?Utilizez un
réglage d'entrée de
-10 dBV.
Niveau d'entrée trop
faible?Utilizez un
réglage de sortie de
+4 dBu.
| • Entrées +4 ou -10 | Sélectionne le niveau d'entrée grand public (-10 dBV) ou professionnel (+4dBu). (Utilisez -10 dBV si l'entrée est trop faible). |
| • Sorties +4 ou -10 | Sélectionne le niveau de sortie grand public (-10 dBV) ou professionnel (+4dBu). (Utilisez +4 dBu si la sortie est trop faible). |
| • Sélection de l'entrée optique | Sélectionne le format ADAT ou optique S/PDIF pour l'entrée ADAT de la carte MicroDock. L'entrée S/PDIF coaxiale est désactivée lorsque le format S/PDIF optique est sélectionné. |
| • Limueur de l'entrée micro | Les entrées Mic/Hi-Z sont équipées de limiteurs deux qui diminuent automatiquement le gain lorsque le signal approche l'écrétage. Ceci vous permet d'enregistrer des signaux de niveau élevé sans craindre l'écrétage. Cette fonction active/désactive les limiteurs. Voir page 42. |
| • Sélection de la sortie optique | Sélectionne le format S/PDIF ou AES/EBU pour la sortie ADAT du MicroDock. La sortie S/PDIF coaxiale est désactivée lorsque le format S/PDIF optique est sélectionné. |
| • Format de sortie S/PDIF | Sélectionne le format S/PDIF ou AES/EBU pour la sortie S/PDIF. Modifie le bit de statut S/PDIF-AES, sans modifier le niveau du signal. |
Voies d'entrée du mélangeur
Les voies de mixage de PatchMix DSP sont stéreo, sauf les entrées Mic/Line de
MicroDock. Chaque voie peut être divisée en quatre sections.
| • Insertions | Les effets, l'équaliser et les départs/retours externes peuvent être insérés dans le trajet du signal. |
| • Panoramiques | Positionne le signal dans le champ stéreo. |
| • Départs Aux | Utilisé pour envoyer le signal à des effets externes ou pour créé des mixages séparés. |
| • Volume | Contrôle le niveau de sortie de la voie. |

Cette illustration présente une voie mono sur la gauche et une voie stéreo sur la droite.
Type d'entrée
Le haut de la voie indique mono ou stéreo et affiche le type de l'entrée. Des voies d'entrée peuvent être ajoutées et configures pour accepter les entrées suivantes :
- Entrée physique
(Analogue/SPDIF/ADAT).
- Entre hote |
source Direct Sound, WAV, ASIO)
Insertions
Vou puez glisser-deplacer des effets ou cliquer avec le bouton droit pour les inserer, inserer un afficheur de niveau, un départ ou depart/retour physique/ASIO, un attenuateur, ou un signal test.
Panoramiques
Ces boutons permettent de placer le signal de la voie dans le champ stéreo de sortie. Les deux boutons des voies stéreo vous permettent de positionner chaque canal.
Départs Aux
Ces boutons envoient le signal vers les processeurs d'effets, comme la réverbération et le délambda. Ils peuvent aussi être utilisés pour creer des mixages séparés pour l'artiste ou l'enregistrement.
Volume
Déterminé le niveau de sortie de la voie dans les bus de sortie et Monitor.
Touches Mute/Solo
Permettent de couper le signal de la voie ou de le placer en solo.
Noms de voie
Cliquez sur la bande d'écriture et saisissez un nom contenant jusqu'à huit caractères.
Le type d'entrée
s'allume en ROUGE si I'entrée n'est pas disponible.
Les voies d'entrees
Hôte sont indiquées par un texte BLANC.
Les voies d'entretes
Physiques sont indiquées par un texte BLEU.
Creation d'une voie de mixage
PatchMix DSP est un mélangeur configurable de façon dynamique. Chaque session de mixage peutContainir un nombre arbitraire de voies dont la limite est déterminée par le nombre d'entrées et les ressources DSP disponibles.
- Hôte fait ↔ reference à une application comme Cubase.
- Physique fait-reference à une entrée ou sortie physique (Jack, par exemple).
Pour ajouter une nouvelle voie :
- Cliquez sur la touche New Mixer Strip. Voir Vue d'ensemble du mélangeur.
La fenêtre New Mixer Strip s'affiche :

L'ajout ou la suppression d'une voie "défragmente" les ressources d'effets/DSP. Si vous avez utilisé tous les effets, essayez de supprimer une voie inutile.
Pour en savoir plus sur l'enregistrement en stéreo avec les voies mono, consutez le guide de prise en main du 1616.
2. Sélectionnez l'entrée souhaïée :
| • Source physique : | Entree analogue ou numérique stéreo (analogue, ADAT ou S/PDIF). |
| • Hôte - Source ASIO | Flux audio en provenance d'une application logicielle ASIO. |
| • Hôte - Entrée Wave | Source son Window — WAVE, WDM, CD. |
| Type de voie | Fonction |
| Physique : Mic/Ligne Dock | Entrée analogue mono 24 bits provenant de MicroDock. |
| Physique : Dock In | Entrée analogue stéreo 24 bits provenant de MicroDock. |
| Physique : Dock S/PDIF | Son numérique deux canaux de l'entrée S/PDIF (MicroDock). |
| Physique : Dock ADAT | 2 canaux audionumériques (x 4 voies) en provenance de l'entrée ADAT du MicroDock. |
| HOST SOURCE | Fonction |
| Source de sortie hôte ASIODepuis l'application logicielle | 2 canaux audionumeriques depuis une source ASIO (app.Logicielle). ASIO : 1/2, 3/4, 5/6, 7/8, 9/10, 11/12, 13/14, 15/16 |
| Source hôte WindowsDepuis Windows | Direct Sound, WDM, Windows Media(générate par son ou géré par Windows.)WAVE 1/2 - Source stéreo par défaut comme un son de jeu, un lecteur de CD, les sons de bip, etc.WAVE 3/4, WAVE 5/6, WAVE 7/8 - Canaux WDM supplémentairesutilisés par Sony ACID, Steinberg Nuendo et autres applicationsaudio. |
- Sélectionnéz le départ pré-Fader ou ne cochez pas la case des départs post-Fader.
- Cliquez sur OK pour creer une nouvelle voie ou sur Cancel pour annuler.
CD et MP3: La voie WAVE 1/2 est utilisé pour la lecture des CD, Windows Media Player et Direct Sound.
Voir "Départs Aux Pré ou Post Fader" en page 46.
Pour supprimer une voie de mixage :
- Cliquez en haut de la voie que vous souhaitez supprimer. Une cordure rouge apparait aussir de la voie indiquant que celle-ci est selectionnée.
- Cliquez sur le bouton Delete Mixer Strip. Voir Vue d'ensemble du mélangeur
Fichiers WAVE multicanaux
La carte 1616 est compatible avec l'enregistrement de 2 canaux WAVE et la lecture de 8 canaux WAVE. Les canaux WAVE sont disponibles pour les types de péripériques WDM suivants :
Classic MME
- DirectSound
- Direct WDM/Kernel Streaming (KS)
DirectSound et les interfaces WDM/KS permettent la sortie d'un maximum de huit canaux Wave Out, alors que l'interface classique MME ne permet que deux canaux.
Les canaux WAVE sont utilisables avec toutes les fréquences d'échantillonnage. Pour obtenir de plus amples renseignements sur le fonctionnement de WDM avec des fréquences d'échantillonnage élevées, consultez la page 82.
Lecture Windows Media Player/DVD/Son Surround
Selectionnez DirectSound comme format de sortie lorsque vous utilisez le Windows Media Player et autre application de lecture de DVD.
La lecture WAVE sur huit canaux permet la lecture au format audio Surround 5.1, 6.1 ou 7.1. Ceci dit, la 1616 est比较好 à la lecture du format Surround 5.1, car elle ne dispose que de 6 sorties analogiques (vous pouvez dire les signaux audio au format Surround 7.1 en utilisant un convertisseur externe S/PDIF vers analogue. Créez une voie WAVE 7/8 et insérez un départ vers la sortie S/PDIF Out).
Le tableau ci-dessous vous indique comment connecter les sorties pour l'écoute en Surround 5.1.
WAVE multicanal vers les canaux des enceintes Surround
(en utilisant la session d'usine 5.1)
La section des insertions est la suivante. Vous pouvez selectionner les effets de PatchMix DSP dans la palette d'effets et les déposer sur les points d'insertion. Voir "La palette d'effets". Vous pouvez ajouter en série tous les effets que vous souhaitez. Les insertions s'appliquent aux équipements externes et aux signaux ASIO/WAVE. Les insertions spéciales, les départs ASIO/WAVE, les départs externes et les départs/retours externes peuvent être déposés dans la section d'insertion pour router le signal où vous le souhaitez.
L'insertion et le Patch Bay sont très polyvalents. Vous poulez envoyer une voie à votre enregistrure audio ? Insérez simplement un départ ASIO dans la section d'insertion et sélectionnez la paire ASIO de votrechioix. Voilà ! Cette entrée est maintainant disponible dans votre logiciel ASIO.
Vou puez selectionner les types d'insertions suivantes :
Vous doivent creer une voie ASIO ou un départ ASIO afin d'activer les canaux ASIO de votre logiciel.
| Effets matériel | Réverbération, EQ, compresseur, Flanger, etc., utilisant les effets Patch-Mix DSP qui ne surchargeient pas votre unité centrale. |
| Envoi ASIO | Coupe et préféve le signal et l'envoise à une entrée ASIO hôte, comme un enregistreur audio logiciel ou tout système ASIO. |
| Écoute directe ASIO | Envoie le signal à une source ASIO hôte, puis renvoie une sortie hôte ASIO Sélectionnée au trajet du signal. Permet l'enregistrement direct. |
| Départ/retour ext. | Envoie un signal à une sortie externe可以选择, puis le renvoie dans le trajet du signal par une entrée physique. |
| Départ externe | Envoie le signal à une sortie externe. voir "Ajout d'un départ d'insertion". |
| Afficheur de niveau créée | Les afficheurs de niveau créée vous permettent de connaître le niveau du signal à tout point de son trajet. voir "Insertion d'afficheurs de niveau". |
| Attenuateur | Vous pouvez insérer un réglage de gain avec une plage de +/- 30 dB. Comporte un afficheur de niveau avec inverseur de phase. voir "Insertion d'un attenuateur". |
| Signal test | Cette insertion spéciale produit une onde sinusoidale ou un bruit pouvant être utilisé pour résoudre les problèmes audio. voir "Insertion d'un générateur de signal test". |
Travail avec les insertions
Les insertions constituent une des fonctions les plus puissantes du système PatchMix DSP, car elles vous permettent de configurer le mélangeur pour une multitude d'applications.
Pour ajouter un effet sur un point d'insertion :
- Cliquez sur le bouton FX. La palette d'effets apparait.
- Les effets sont classés par catégories. Cliquez sur un réseau pour l'ouvrir.
- Choisissez un effet et faites-le glisser sur un point d'insertion, puis insérez-le.
- Pour réorganiser les effets, faites-les glisser et déplacez-les dans l'ordre de votrechoix.
Le menu Insert
Lorsque vous cliquez avec le bouton croit de la souris sur la section d'insertion, une boîte de sélection apparait, pour vous aider à:gérer vos insertions.

Ajout d'un départ d'insertion
Ce type de départ d'insertion sépare le signal au point d'insertion et l'afecte à la destination selectionnée (un "départ ASIO" devient une entree de votre logiciel d'enregistrement, une "sortie physique" va à une paire de connecteurs de sortie. Le signal continue dans la voie jusqu'aux départs Aux et sorties generales de mixage).
- Cliquez avec le bouton droit de la souris sur la section d'insertion. Une boîte de dialogue apparait.
- Sélectionnez "Insert Send (to ASIO/WAVE or other)" dans la liste d'options. La boîte de dialogue suivante apparait :


- Choisissez une des sorties de départ. Cliquez sur une destination.
- Cliquez sur OK pour selectionner la sortie ou sur Cancel pour annuler l'opération.
Pour ajouter un département/retour d'insertion :
Ce type de départ d'insertion coupe le signal au point d'insertion et le transmet vers la destination selectionnée (proesseur externe, par exemple). Un signal de retour est aussi selectionné : il renvoie le signal à la voie après traitement externe.
- Cliquez avec le bouton droit de la souris sur la section d'insertion.
- Sélectionnez "Insert Send/Return" dans la liste :


Si la source ou la destination que vous souhaitez utiliser n'est pas disponible dans la liste, elles sont probablement utilisées ailleurs. Contrôlez les voies d'entrée, les affectations d'insertion et de sortie.
- Sélectionnez une sortie de départ. Cliquez sur la destination.
- Sélectionnez une entrée de return. Cliquez sur une source pour la sélectionner.
- Cliquez sur OK pour selectionner le départ et le return ou sur Cancel pour annuler.
Départ/retour d'écoute directe ASIO
Ce type de départ d'insertion coupe le signal au point d'insertion et l'affecte à l'entrée hôte ASIO de destination (Cubase ou Sonar, par exemple). Un signal de return est également sélectionné et affecté à la voie depuis la sortie hôte ASIO.
Le département/retour d'écoute directe ASIO est unique par son'utilisation du format ASIO 2.0 sans latence dans l'écoute. Pour utiliser cette fonction, vous doivent activer le Direct Monitoring dans l'application d'enregistrement.
Lors de l'enregistrement, le départ/retour d'écoute directe achemine le signal vers l'application d'enregistrement, mais permet l'écoute directe de l'entrée pour éliminer le temps de retard (latence). Lors de la lecture, l'application d'enregistrement active automatiquement le départ/retour d'écoute directe pour l'écoute des pistes enregistrées.

Le département/retour d'écoute directe permet aussi à l'application d'enregistrement de contrôle le volume et le panoramaque. Lorsque vous utilisez l'enregistrement avec écoute directe, vous avez normalement besoin de contrôle le volume et le panoramaque à partir de l'application d'enregistrement. Dans ce cas, positionnez le panoramaque stéreo de PatchMix DSP complètement à gauche et à droite, le panoramaque mono au centre et l'attenuateur sur 0 dB.
Pour ajouter un départ/retour d'écoute directe ASIO :
- Cliquez avec le bouton droit de la souris sur la section d'insertion.
- Sélectionnez "Insert ASIO Direct Monitor" dans la liste :

- Choisissez une des sorties de départ. Cliquez sur une destination.
- Sélectionnez une des entrées de return. Cliquez sur une source pour la sélectionner.
- Cliquez sur OK pour selectionner le départ et le return ou sur Cancel pour annuler.
Insertion d'afficheurs de niveau
Dans tout système audio, analogique ou numérique, il est important de visualiser les niveaux. Les niveaux doivent rester les plus élevés possibles, pour obtenir une résolution maximale et un bruit de fond minimal. Par contre le niveau ne doit pas être trop important et écrêter. Pour vous aidier à optimiser les niveaux, vous disposez d'afficheurs de niveau créée pouvant être insérés dans le trajet du signal. Les afficheurs de niveau mémorisent les niveaux créée. La barre supérieure mémorise le niveau le plus élevé pendant une seconde afin de vous permettre de voir des transitions qui sinon seraient trop rapides pour être perçues. La valeur du niveau créée est donnée sous la forme d'un nombre en dB au-dessus de l'afficheur. Les afficheurs de niveau créée utilisent des couleurs. Le tableau de la page suivant vous donne les équivalences de mesure. Évitez d'allumer la barre supérieure rouge (distorsion). Cliquez sur l'affichage du niveau créée pour le désactiver.
Couleur
Signification
Rouge
Indique un écritage du signal.
Jaune
Niveau du signal optimal.
Vert
Signal present.
Une des utilisations les plus évidentes des afficheurs insérés consiste à régler les niveaux d'entrées. Avec les entrées analogiques, le convertisseur analogique/numérique est l'un des étages les plus importants dans le trajet du signal. Le niveau du signal d'entrée doit utiliser les convertisseurs 24 bits au maximum de leur résolution sans écrêter. Une valeur de 0 dB sur un afficheur, indique un écrêtage du signal.

Chaque barre représenté 1 dB. Les barres jaunes s'allument à -12 dB sous le niveau pleine échelle
Les afficheurs insérés sont utiles pour contrôler les signaux numériques entrants (ADAT, ASIO ou S/PDIF) pour que le mélangeur recoive un signal de niveau approprié. Ils sont également pratiques pour déceler les problèmes, car ils peuvent être insérés partout.
Pour insérer un afficheur de niveau
- Cliquez avec le bouton droit de la souris sur un emplacement d'insertion.
- Sélectionnez "Insert Peak Meter". L'afficheur apparait.
- Sélectionnez FX dans la section générale puis cliquez avec le bouton gauche de la souris sur l'afficheur. Ceux-ci sont affichés en haute résolution sur l'écran TV.
Réglage des niveaux d'entrée des voies
- Sélectionnez l'emplacement d'insertion supérieur de la voie et inséréz un afficheur.
- Cliquez avec le bouton gauche sur l'afficheur de niveau pour l'afficher sur l'écran TV.
- Appliquez votre signal audio à l'entrée de la voie. L'afficheur de niveau devrait alors indiquer le niveau du signal.
- Réglez le niveau de sortie du périphérique externe (synthétiseur, instrument, préamplificateur, etc.) en entrée de la carte 0404. L'affichage devrait indiquer une valeur dans la zone jaune la plupart du temps, avec quelques pointes de signal dans la zone rouge. Si le témoin d'échéage apparait, réduisez alors le niveau du signal.
- Chaque paire d'entrées analogiques possède un sélecteur de plage de niveau d'entrée (-10 dBV/+4 dBu). La différence est de +/- 12 dB. Vérifie ces réglages si vous n'arrivez pas à Obtir un niveau d'entrée correct. Voir Réglages d'E/S.
Optimisation de vos enregistrements
Il est maintainant facile d'obtenir un bon enregistrement numérique grâce à la haute résolution des convertisseurs A/N 24-bits de notre système. Ces convertisseurs permettent bien plus d'erreurs que les convertisseurs 12-bits ou 16-bits du passé. Cela dit, pour obtenir un enregistrement de qualité, vous devez procéder comme suit. Lorsque vous connectez un signal analogique au système, vérifie que le niveau en entrée des convertisseurs A/N est optimal. La qualité des enregistrents numériques dépend directement du niveau du signal en entrée de ces convertisseurs. Si le niveau est trop faible, vous perdez de la résolution — s'il est trop élevé, vous suturez l'entrée des convertisseurs A/N.
Pour mesurer le niveau d'entrée, ajoutez un afficheur de niveau en insertion sur la voie dans PatchMix DSP. Ces afficheurs sont calibrés pour afficher 1 dB sur chaque barre. Agrandissez l'afficheur enclistuant dessus dans une voie et en selectionnant la touche "Effect" en haut de I'écran TV.
Les paramètres "I/O Settings" vous permettent de régler les niveaux d'entrée sur -10 dBV (niveau grand-public) ou +4 dBu (niveau professionnel) de chaque entrée analogique. Ce réglage déterminé le niveau d'entrée global, pour l'adapter à vos autres équipements. Pour obtenir la meilleure qualité d'enregistrement possible, vous devez cependant affiner le réglage de niveau. Pour obtenir un niveau d'entrée optimal, vous devez régler le niveau de sortie de l'appareil connecté (instrumenté électrique ou préamplificateur) pour que le niveau d'entréeavoisine 0 dB, sans jamais dépasser cette valeur. Activez le signal de la source d'entrée tout en surveillant l'afficheur de niveau inséré sur la voie. Le signal doit aller librement dans la zone jaune sans jamais atteindre la zone rouge. Reglez le niveau de sortie de la source jusqu'àobtainir un niveau correct. Si le niveau du signal reste trop élevé ou trop faible, revenez aux paramètres de réglage de niveau d'entrées/sorties. Sélectionnez "-10" si le niveau du signal d'entrée est trop faible, et "+" si le niveau du signal est trop élevé. Les signaux audionumeriques ne disposent
d'aucune réserve dynamique au-delà de 0 dBFS (FS = Full Scale, ou pleine échelle) et distorsionnent si le signal dépasse 0 dB. La distorsion numérique est très désagréable. Elle est causée par le dépassement de la limite de 0 dBFS, ce qui signifie que les 24 bits de résolution ne suffisent plus à mesurer le niveau pour le convertisseur A/N. Contrai-rement aux systèmes numériques, les bandes analogiques peuvent être utilisées au-delà de 0 dB, bien que le signal se dégrade.
Le MicroDock est équipe de deux limiteurs doux sur les entrées du préamplificateur, qui peuvent être activés/désactivés pour chaque voie dans les Réglages d'E/S. Les limiteurs réduisient automatiquement le gain lorsque le niveau du signal dépasse -6 dB sous le niveau pleine échelle. Sous cette limite, les limiteurs sont désactivés. Les limiteurs vous permettent d'accepter un signal de niveau élevé sans risque d'accretage des entrées. Ceci vous permit d'obtenir une résolution accrue et un niveau de signal optimal. Lorsque vous enregistrez une batterie, un piano ou des chants, vous pouvez éviter les transitoires à l'aide des limiteurs, ce qui vous permit d'attaquer les convertisseurs A/N ultra haute qualité du MicroDock avec un signal à niveau optimal.
Le système audionumérique Emu vous permet d'insérer des potentiométres de gain, mais ceux-ci sont insérés après l'échantillonnage, et donc en aval des convertisseurs A/N. Il est important de bien régler le niveau du signal d'entrée. Les atténuateurs peuvent être utilisés en situations extrêmes, lorsque c'est la seule façon de relever le niveau du signal, mais ils ont été concus pour régler le niveau du signal transmis en entrée des Plug-Ins.
Insertion d'un attenuateur
L'insertion d'un réglage de niveau vous permet de régler le niveau d'un signal dans une insertion. L'attenuateur offre un gain max. de ± 30 dB et dispose d'un inverseur de phase. L'attenuateur dispose également d'un afficheur de niveau créé en sortie.

Vous pouvez utiliser les attenuateurs pour amplifier ou atténuer le signal d'un départ ou d'un retour d'effet externe ou l'utiliser pour alimenter un effet. Certains effets comme la compression, la distorsion ou la Wah automatique dépendent du niveau et nécessitant un signal d'entrée suffisamment important. Si vous travailliez avec un signal faible, vous pouvez augmenter les performances de ces effets en insérant un réglage de niveau qui augmente le gain du signal.
En général, les réglages de niveau ne devraient pas été utilisés pour augmenter le gain des entrées ligne analogiques. Il est préférible d'amplifier le niveau du signal avant les convertisseurs A/N afin d'obtenir une résolution et un rapport signal/bruit optimaux.
L'inverseur de phase inverse la polarité du signal. Il sert en général pour les micros connectés en inversion de phase.
Pour insérer un attenuateur de niveau d'entrée
- Cliquez avec le bouton droit de la souris sur la section des insertions. Un menu s'affiche.
- Sélectionnéz Insert Trim Control dans les options. L'attenuateur est inséré.
- Cliquez sur l'attenuateur pour faire les réglages dans l'écran TV.
- Pour déplacer l'attenuateur, faites un glisser/déposer.
Insertion d'un générateur de signal test
La fonction d'injection d'un signal test/générateur de signal est une aide au dépannage utile, qui produit une onde sinusoidale, un bruit blanc ou rose. Cet outil, en association avec un afficheur de niveau inséré, vous permit de mesurer de manière précise le gain ou l'atténuation du signal d'un périphérique interne ou externe. Le signal test peut également être utile pour l'accordage des instruments de musique.

Fréquence des notes de musique :
A = 440 Hz
B=493,88 Hz
C = 523,25 Hz
D=587,33 Hz
E=659,26 Hz
F = 698,46Hz
G = 783,99Hz
La fréquence du générateur d'onde sinusoidale est variable de 20Hz à 20kHz . Le niveau est réglablé de 0 à +30 dB.
Le bruit blanc est un mélange de toutes les fréquences du spectre audio avec le même niveau ( comme la lumière blanche du spectre lumineux visible).
Le bruit rose offre une distribution progressive linéaire du niveau par octave (le bruit rose offre un niveau supérieur dans les octaves supérieurs). Les bruits blanc et rose sont des sources sonores large bande très utiles.
Utilisation du générateur de signaux en dépannage
Il est parfois utile de disposer d'une source sonore constante pour controller le routage des signaux dans les équipements ou dans les applications logicielles. Commencez par inserer un générateur ou un afficheur de niveau sur une voie, puis suivez le signal dans le systeme à l'oreille en déplaçant l'afficheur de niveau. Les signaux test sont pratiques lorsque vous installez vos équipements d'enregistrement pour la première fois.
- Cliquez avec le bouton droit de la souris sur la section d'insertion en question. Un menu s'affiche.
- Sélectionnéz Insert Test Tone/Signal Generator dans les options. Le générateur des signaux est inséré.
- Cliquez sur l'insertion du générateur et reglez à l'aide de l'écran TV.
- Pour déplacer le générateur de signaux, faites un glisser/déposer.
Gestion des insertions
Suppression d'une insertion :
- Cliquez avec le bouton croit de la souris sur l'effet à supprimer. Une ligne jaune autour de l'emplacement d'insertion indique sa selection.
- Choisissez "Delete Insert" pour supprimer l'insertion ou choisissez "Delete All Inserts" pour supprimer toutes les insertions.
- Les insertions sont alors retirees de la chaine d'insertion.
Bypass d'une Insertion :
Vous pouvez bypasser les insertions pour comparer le son traité/non traité. Le Bypass permet de couper un départ d'effet.
Méthode n° 1
- Cliquez sur l'effet (dans la section Insertion) et selectionnez FX sur l'affichage TV.
- Cliquez sur Bypass.
Méthode n° 2
- Cliquez avec le bouton croit de la souris sur l'effet à bypasser (dans la section Insertion). Une boîte de dialogue apparait.
- Sélectionnez "Bypass Insert" dans la liste d'options.
Pour bypasser toutes les insertions :
Voussoupiezbypassertoutlesinsertionsd'unevoieavecuneseulecommande.
- Cliquez avec le bouton droit de la souris sur l'effet à bypasser (dans la section des insertions). Un menu dérouulant s'affiche.
- Sélectionnez Bypass All Inserts dans la liste des options.
Pour placer une insertion en solo :
Vouss pouvez placer les insertions en solo. La fonction Solo place toutes les autres insertions de la voie en Bypass et vous permit d'écouter uniquement l'effet. Cette fonction est très utile lors du réglage des paramètres d'effets.
Méthode n° 1
- Cliquez sur l'effet (dans la section Insertion) et selectionnez FX sur l'affichage TV.
- Cliquez sur Solo.
Méthode n^ 2
- Cliquez avec le bouton droit de la souris sur l'effet à écouter en solo (dans la section Insertion). Une boîte de dialogue apparaît.
- Sélectionnez "Solo Insert" dans la liste des options.
Astuce: Sélectionnez le module externe et appuyez sur la touche Delete pour supprimer le Plug-In de la voie.
Section des auxiliaires
Les départs auxiliaires prélevent le signal de voie de mixage et le mélangent avant d'envoyer le mixage à la section des effets auxiliaires. Dans une console de mixage traditionnelle, les départs auxiliaires sont utilisés pour envoyer une partie du signal à des péripériques d'effets externes, puis pour renvoyer les signaux traités par ces effets au mixage par les retours d'effets. C'est ce qu'on appelle un routage létal car le signal Aux fait un détour dans son trajet avant de revenir dans le mixage principal. Ces types d'effets de boucle sont en général appliqués à plusieurs voies, comme la réverbération. Le réglage signal traité/non traité des départs auxiliaires devrait normalement être régèle sur 100% . Ceci est lié au fait que vous reglez le niveau des effets appliqués au mixage à l'aide du réglage de return auxiliaire. Si vous ave plusieurs effets dans un bus auxiliaire, ignorez le conseil précédent car les réglages de signal traité/non traité peuvent être utilisés pour mixer vos effets. Les bus Aux 1 et 2 peuvent aussi être utilisés comme bus de sortie de second mixage supplémentaires, tout comme avec les généraux. Placez un départ d'insertion externe ou ASIO dans le trajet du signal et le bus stéreo est transmis. Réduisez le niveau de return si vous ne voulez pas que le second mixage soit mélange au mixage principal. Les niveaux de départs/retours auxiliaires peuvent aussi être modifiés en saississant directement les valeurs dans les zones d'affichage.

Autres utilisations des départ auxiliaires
Vous pouvez considérer les départ auxiliaires comme deux bus de mixage supplémentaires, car en fait, c'est exactement ce qu'ils sont. Ces deux mixages peuvent etre acheminés n'importe où, par exemple vers une sortie physique ou une paire ASIO. Vous pouvez acheminer un de vos bus auxiliaires vers la sortie d'ecoute pour creer un mixage de retours lors de l'envoi du mixage principal à votre logiciel d'enregistrement audio.
Départs Aux Pré ou Post Fader
Lorsque vous creez une nouvelle voie, vous pouvez configurer les deux départ Aux en pré ou post-Fader et touche de Mute. Le réglage post-Fader fait varier le niveau de départ avec celui du Fader de voie. Avec la configuration en pré-Fader, le niveau de départ des bus Aux ne varie pas avec la position du Fader de voie et la touche Mute.
Lorsque l'option pré-Fader est sélectionnée, les niveaux de départ auxiliaires ne sont enaucun cas affectés par la position du Fader de voie et de la touche de Mute. La configura-tion du pré-Fader vous permet de creer deux mixages complètement différents à l'aide des bus auxiliaires, car les niveaux du signal de ce mixage ne seront pas affectés par la position du Fader de voie.


Pour modifier une voie de pré-Fader à post-Fader et vice versa, vous doivent supprimer la voie et en creer une nouvelle.
Réglages Level, Pan, Solo et Mute

Le bouton Pan est situé en avant du réglage de niveau et des départ auxiliaires. Sur les voies stéreo, nous utilisons une section panoramicique non conventionnelle avec deux boutons de panoramicique: un pour le canal gauche du signal et l'autre pour le canal droit du signal. Cette fonction vous permet de positionner indépendamment les deux canaux du signal stéreo. Un réglage de balance stéreo conventionnel ne vous permit pas de régler séparément les deux canaux.
La touche Mute coupe le signal de la voie. Appuyez sur la touche Solo lorsque la touche Mute est enforcée pour écouter le signal de la voie.
La touche Solo vous permet de nécouter que le signal de la voie. Si vous appuyez sur plusieurs touches Solo vous entendez toutes les voies sélectionnées.
Le Mute est gardé en mémoire si un canal en coupé est écoute en solo. Lorsque le canal solo est désactivé, il returne en mode Mute.
Le réglage de niveau de voie offre un gain de +12 dB. La position 0 dB correspond au gain unitaire. Vous pouvez également saisir manuellement la valeur du niveau.
En bas, vous trouvrez la bande de marquage, qui vous permet de saisir un texte court avec le nom de la voie, comme "chant", "basse", "Batt", etc.
Section des généraux

La section générale regroupe les réglages du mixage général, ainsi qu'un "écran TV" pour afficher les paramètres de l'insertion sélectionnée. Les trois touches du haut de la section générale permettent deCHOISIR ce qui est AFFICHÉ sur l'affichage TV. Les routages des entrées et des sorties sont affichés de manière graphique. Quand une insertion est selectionnée (en cliquant sur l'insertion), l'écran affiche les paramètres disponibles pour l'insertion sélectionnée. Sous l'écran TV se trouve la section de bus Aux permettant l'affoctation des effets, des effets de boucles ou les insertions aux deux bus Aux.
Les niveaux de départ et de return sont régibles individuellement sur les deux bus Aux. Les bus Aux 1 et Aux 2 sont alimentés par les deux départ Aux de chaque voie de mélange. Le réglage Master Send des bus Aux 1 et 2 peut être utilisé pour atténuer ou accentuer le signal des insertions Aux. Vous disposez aussi d'un réglage de Master Return Level permettant de régler le niveau du signal en départ d'effet et affecté au mixage général.
On peut aussi insérer une chaîne d'effets dans le bus principal (vous nevez peut-être appliquer un effet EQ ici pour égaliser la totalité de votre mixage ou ajouter un départ ASIO ou WAVE pour enregistrer le mixage). Notez que la commande de niveau de sortie générale est située en amont du niveau d'écoute Monitor afin de contrôler le niveau des deux sorties d'écoute Monitor sans affecter le niveau de votre mixage d'enregistrement ou général. Il y a un afficheur de niveau stéreo qui indique le niveau du signal en sortie du mixage général.
La section Monitor dispose d'un réglage de volume, de balance et d'une touche de Mute pour couper la sortie Monitor.
Écran TV et sélecteurs
L'écran TV en haut de la section générale offre un affichage multi-fonction et un centre de contrôle pour les affectations des entrées et des sorties et les réglages d'effets. Les trois touches en haut de l'affichage permettent de selectionner la fonction — Effet, Entrées ou Sorties.
Touche Effect
Selectionnez l'écran Effect dans la section générale, puis cliquez sur un effet d'insertion pour afficher les paramètres d'effet. Si vous n'avez pas sélectionné un effet d'insertion, l'écran indique "No Insert".
La plupart des effets disposent d'un réglage de mixage signal traité/non traité. Le paramètre signal traité/non traité est sauvégarde avec le Preset d'effet FX. Les paramètres varient avec le type d'effet. Voir “Liste des effets internes”.

Remarque: Placez les effets dans une insertion avant de les programme.
Lorsque vous avez sélectionné une insertion de départ ou de départ/retour avec l'écran d'effets affché, l'écran TV vous indique la destination du départ et la source du return. Les touches de Bypass Solo en haut de l'écran ne sont disponibles que pour les types d'insertion Send/Return.

Touche Inputs
Cliquez sur Input pour afficher une représentation graphique des entrées de PatchMix DSP. Cét écran ne permet que l'affichage, contrairement aux écranés Effects et Outputs, qui permettent de modifier les affectations. Les affectations d'entrées se font en ajoutant des voies de mixage. Voir Création d'une voie de mixage.
Les routages d'entrée sont divisés en deux catégories : Entrées physiques et entrées hôtes.
Choisissez une des catégories en cliquant sur la touche Physical ou Host.

Affichage entrees physiques

Affichage entrees hote
Les écrans Input et Output facilitent la comprehension des affectations de signaux d'une configuration de mixage complexe.
Astuce: Cliquez sur l'un des routages d'entrée dans l'écran TV met la voie de mixage correspondante en surbrillance.
Touche Outputs
L'écran Output affiche une représentation graphique des sorties du mélangeur PatchMix DSP. L'affection des sorties est divisée en deux catégories : Les sorties physiques et les sorties Hôtes. Sélectionnez la catégorie en cliquant sur Physical ou sur Host.

Affichage sorties physiques

Affichage sorties hôte
L'écran Host output hôte montre toutes les affectations des insertions en plus des affectations des sorties moniteur et du mixage général. Cliquez sur la ligne de votrechioix pour creer ou couper une connexion de sortie physique.
L'écran Physical Output s'affiche et vous permet de relier les sorties générales et Monitor du mélangeur aux sorties physiques analogiques ou numériques. Cliquez dans la zone des sorties générales ou Monitor où vous souhaitez créé/annuler une connexion. L'écran des sorties Host affiche les sorties hôte (ASIO ou WAVE). Voir "Section des insertions".
Effets et retours auxiliaires
La section juste en dessous de l'écran TV permet d'affector les effets auxiliaires. Avec les consoles de mixage traditionnelles, les effets auxiliaires sont utilisés pour envoyer des parties du signal à des processeurs d'effets externes. Le signal revient traité avec les effets dans le mixage par les retours. C'est ce qu'on appelle un effet de boucle (circuit latéral), car les signaux auxiliaires effectuent un détour par les effets avant d'être réintérégés au mixage. Les effets de boucle comme la réverbération, sont habituèlement des effets que vous appliquez à plusieurs voies. Les effets, comme l'égalisation ou les compresseurs, ne sont habituélement PAS utilisés en boucle car le signal doit être traité dans sa totalité.
Le mélange du signal traité/non traité doit être régèle sur 100% lorsque l'effet est inséré comme effet létal (boucle). Ceci est d'u au fait que le niveau de回头 auxiliaire contrôle ce mélange.


Vous pouvez utiliser les départs Aux pour creer deux mixages séparés. En réglient le retard d'effet Aux au minimum et en insérer un départ dans le trajet du signal, vous pouvez affecter le bus Aux à la sortie que vous souhaitez. Voir "Section des insertions".
Témoins Sync/SR (Sample Rate)

Les témoins de synchro/fréquence d'échantillonnage indiquent la fréquence d'échantillonnage de la session et si elle est maitre ou esclave de synchronisation. L'affichage indique la fréquence d'échantillonnage actuelle. Si une source externe est utilisée, l'affichage Source montre "EXTERNAL".
En cas d'asservissement à une source maître externe, l'horloge peut dériver légèrement ou considérablement (c'est-à-dire : modification brusque de la fréquence d'échantillonnage ou déconnexion de la source physique principale). Le système
PatchMix DSP tolère les dérivés légères pour les fréquences de 44,1, 48, 88,2, 96, 174,4 et 192kHz , même si la fréquence d'échantillonnage dérive hors de cette plage alors la Led “LOCKED” s’étéint.
Si la fréquence de l'horloge externe varie de façon radicale, passant de 44,1 k/48 kHz à une fréquence plus élevé de 96 kHz ou 192 kHz ou de 96 kHz à 192 kHz, la carte passée automatiquement sur son horloge interne à 48 kHz, jusqu'àr回顾 de l'horloge externe. La Led "LOCKED" est eteinte et les deux équipements ne sont PAS synchronisés. Pensez à tousjours vérifier la Led "LOCKED" lorsque vous utilisez une source d'horloge externe.
Section des sorties

Les insertions sur les sorties de mixage vous permettent d'appliquer des effets au signal de sortie stéreo (sorties générales et Monitor). Vous souhaitez peut être appliquer un égaliseur ou le compresseur. Ces insertions fonctionnement comme les autres effets ; il suffit de faire glisser et de déplacer les effets de la palette. Consultez le Synoptique du mélangeur.
Fader de sortie générale
Le Fader de la sortie générale contrôle le niveau général de sortie (et de la sortie Monitor puisqu'elle est en aval de cette commande). Ce Fader se regle en général sur 0 dB. Cependant le Fader offre un gain de +12 dB. Les niveaux de sortie élevés peuvent engendrer un écrêtage des amplificateurs extérieurs ou d'autres équipements.
Afficheurs de niveau de sortie
Cet afficheur stéreo indique le niveau en sortie du mélangeur. La barre rouge représenté 0 dB (niveau pleine échelle). Les crétes sont mémorisées. Chaque barre = 1 dB.
Niveau de sortie Monitor
Ce réglage déterminé le niveau de la sortie Monitor. Gardez à l'esprit qu'en raison du positionnement du contrôle de niveau Monitor en aval du Fader de sortie générale, vous ne pourrez rien entendre dans vos moniteurs si le niveau principal est au minimum.
Réglage de Balance de la section Monitor
Ce réglage définit le volume relatif des sorties Monitor stéreo et fonctionne comme la balance de votre chaine stéreo. Cette commande est avant tout utilisée pour équilibrer le volume de vos enceintes, si vous ne vous trouvez pas exactement au centre de la zone d'écoute des moniteurs.
Coupure de la sortie Monitor
Cette touche coupe la sortie Monitor et permet de couper facilement le signal, sans avoir à toucher à vos moniteurs. Lorsque le téléphone sonne, cliquez simplement sur la touche Mute pour couper le son.

La contrôle de volume sur un clavier d'ordinateur de multimédia peut être employée pour contrôle le niveau de sortie moniteur sur PatchMix.
5 - Effets
Vue d'ensemble
PatchMix DSP est fourni avec une multitude de fabuleux effets DSP tels que les effets de compression, de décali, de Chorus, de Flanger et de réverbération. Chaque effet 32 bits comprend plusieurs paramètres pouvant être modifiés, ainsi que des Presets usine. Vous pouvez également créé et enregistrer autant de Presets d'effets que vous le souhaitez.
Comme les effets sont intégrés à la carte, ils ne charge d'aucune manière votre ordinateur hôte. Ceci vous permet d'utiliser votre unité centrale pour d'autres applications ou PLug-Ins.
Le nombre d'effets que vous pouvez utiliser simultanément est limité. Lorsque vous épuisiez les ressources PatchMix DSP, certains effets s'affichent en "grise" et ne peuvent pas'être utilisés. Les effets complexes, tels que les réverbérations, utilisent plus de ressources DSP qu'un égaliseur, par exemple. Si vous utilisez trop d'effets, toutes les ressources DSP finissent par être épuisées.
La palette d'effets
Cliquez sur le bouton FX dans la barre d'outils pour faire apparaitre la palette d'effets. La palette d'effets regroupe deux types de répertoires. Le répertoire "Core Effects" contient les algènithmes d'effets. Ce répertoire ne peut pas être modifié. L'autre répertoire contient les "châines d'effets", comprenant deux effets ou plus regroupés. Vous pouvez ajouter, supprimer, ou modifier les châines d'effets et leurs répertoires. Voir "Châines d'insertion d'effets" en page 54.

Catégories d'effets
Effets Internes
Multi-effets
Distorsion Lo-fi
Batterie & percussions
Environnement
Égalisation
Guitare
Morpher
Multi-effets
Réverbération
Synthétiseurs & accords
Vocal
La sauvegarde d'une session « défragmente » les ressources effets/DSP. Si vous avez utilise l'ensemble des effets et que vous avez besoin d'effets supplémentaires, essayez d'enregistrer la session.
Pour selectionner un effet
- Cliquez sur FX pour faire apparaitre la palette d'effets. Ceße-ci comprend plusieurs répertoires contenant des Presets d'effets. Cliquez sur un réseau pour l'ouvrir.
- Cliquez avec le bouton gauche de la souris sur l'effet pour le selectionner, puis, tout en maintainant le bouton enforcé, faites glisser l'effet vers l'emplacement souhaite sur l'écran du mélangeur PatchMix DSP et relâchéz. Les multi-effets contiennent différents effets accompagnés de leurs paramètres.
- Pour modifier l'ordre des effets, cliquez sur l'effet avec le bouton gauche de la souris et faite-le glisser vers l'emplacement souhaite. Faites glisser l'effet vers la zone audressus ou en dessous de la destination finale, puis relâchéze le bouton de la souris.
Pour éoperator un effet
- Cliquez sur le point d'insertion contenant l'effect à modifier. Les paramètres de l'effect apparaissent sur l'écran TV.
- Modifiez les paramètres de l'effet.
Pour supprimer un effet
- Cliquez avec le bouton droit de la souris sur l'insertion contenant l'effet à supprimer — une liste s'affiche.
- Sélectionez "Delete Insert(s)" en haut de la liste. l'effet est supprimé.
Chaines d'insertion d'effets
Plusieurs effets peuvent être enregistrés dans un même multi-effet. Lorsqu'un multi-effet est sélectionné et déplace vers un point d'insertion, tous les effets dotés de paramètres de contrôle sont copiés en un seul effet. Une fois déplacés vers un point d'insertion, les multi-effets peuvent être traités comme des effets individuels.
Sauvegarde de chaînes d'insertion d'effets
- Sélectionnéz un ou plusieurs effets et déplacez-les vers un point d'insertion.
- Réglez les paramètres d'effets, y compris les paramètres de mixage avec/sans effets.
- Cliquez avec le bouton droit pour faire apparaitre la liste des options.
- Sélectionnez "Save FX Insert Chain". La boîte de dialogue New Preset FX apparait.
- Sélectionnez un réseau de catégorie où votre Preset sera place, puis saisissez un nouveau nom de Preset pour votre multi-effet.

- Sélectionnez un réseau où votre Preset sera place, saisissez un nouveau nom de Preset, puis cliquez sur OK. Your Preset est désormais enregistré.
L'ordre des effets d'une chaine peut influer considérablement sur le son.
Cette icone apparait.
lorsque vous faites glisser
un effet vers un nouvel emplacement.
es attenuateurs, les afficheurs de niveau, et les générateurs de signal test sont également intégrés à la chaine d'effets.
Créer, renommer et supprimer les repertoires
Plusieurs utilisaires vous aident à organiser vos présections d'effets.
Pour creer une nouvelle categorie de Presets
Vou pouvez创建工作 vos propres repertoires de catégories pour organiser vos Presets.
-
Cliquez sur l'icone New Folder située dans la partie supérieure de la palette d'effets. Une boîte de dialogue apparaît vous demandant de saisir le nom de la nouvelle catégorie.
-
Vous pouvez également cliquer avec le bouton droit de la souris sur un réseau d'effets, ce qui affiche un menu avec l'options "Create New Category".
-
Saisissez un nom pour votre nouveau réseau.
- Cliquez sur OK pour creer un nouveau repertoire ou sur Cancel pour annuler l'opération.
Pour supprimer une catégorie d'effets
- Cliquez avec le bouton croit sur le repertoire de la catégorie à supprimer. La boite de dialogue qui apparait vous avertit que cette action va supprimer tous les Presets du repertoire.
- Sélectionnez "Delete Category". Un menu s'affiche vous averissant que cette action efface tous les Presets du repertoire.
- Cliquez sur OK pour supprimer le repertoire ou sur Cancel pour annuler l'opération.
Pour renommer une catégorie d'effets
- Cliquez avec le bouton croit sur le repertoire de catégorie à renomer. Une boîte de dialogue apparait vous demandant de saisir le nouveau nom de la catégorie.
- Sélectionnez "Rename Category". Un menu s'affiche, vous demandant de saisir un nouveau nom de catégorie.
- Cliquez sur OK pour denommer le dossier ou sur Cancel pour annuler l'opération.
- Importation et exportation des Presets Core FX et deschains d'insertion d'effets
- Ces utilaitaires facilitent l'importation ou l'exportation de vos Presets d'effets et de vos chaînes d'insertion d'effets. Vous pouvez partager vos Presets ou télécharger de nouveaux Presets sur Internet.
Importation et exportation des Presets Core FX et des chaînes d'insertion d'effets
Ces utilisaires facilitent l'importation ou l'exportation de vos Presets d'effets et de vos chaînes d'insertion d'effets. Vous pouvez partager vos Presets ou télécharger de nouveaux Presets sur Internet.
To Import Core FX Presets
Cette option imports des répertoires complets de Presets Core FX dans le réseau E-MU PatchMix DSP (normalement situé dans : “C:\Program Files\Creative Professional\E-MU PatchMix DSP\Core Effects”). Si le nom d'un Preset importé correspond exactement à celui d'un Preset que vous avez déjà, un chiffre est ajusté au nom du Preset importé.
- Cliquez sur le bouton Import/Export FX Library dans la zone FX Palette.
- Sélectionnez Import FX Library. La fenêtre "Browse for Folder" s'affiche.
- Sélectionnez le réseau contenant des Presets Core FX à importer.
- Le repertoire sélectionné de Presets Core FX est copied dans le réseau Core Effects de PatchMix DSP.
To Import FX Category Folders
Cette option importe des répertoires complets de catégories de chaînes d'effets dans le répertoire E-MU PatchMix DSP (normalement dans : “C:\Program Files\Creative Professional\E-MU PatchMix DSP\Effect Presets”). Si le nom d'un Preset importé correspond exactement à celui d'un Preset que vous avez déjà, un chiffre est ajusté au nom du Preset importé.
- Cliquez sur le bouton Import/Export FX Library dans la zone FX Palette.
- Sélectionnez Import FX Category. La fenêtre "Browse for Folder" s'affiche.
- Sélectionnez le repertoire où sont situées les chaines d'effets à importer.
- Le repertoire de chaînes d'effets sélectionné est copied dans le repertoire Effect Presets de PatchMix DSP.
- Cette option exports vos Presets Core FX dans un repertoire de votre choix.
- Cliquez sur le bouton Import/Export FX Library de la zone FX Palette.
- Sélectionnez Export FX Library. La fenêtre "Browse for Folder" s'affiche.
- Sélectionnez une destination pour les Presets Core FX, puis appuyez sur OK.
- Les Presets Core FX sont copés à l'endetroit scélectionné.
- Cette option exports une seule catégorie dechains d'effets dans un repertoire de votrechoix.
- Cliquez sur le bouton Import/Export FX Library de la zone FX Palette.
- Sélectionnez Export FX Category. Un menu s'affiche, vous demandant de sélectionner la catégorie d'effets à exporter ("Choose the FX Category to be exported").
- Sélectionnez la catégorie d'effets à exporter. Appuyez sur OK pour continuer ou sur Cancel pour annuler l'opération.
- La fenêtre "Browse for Folder" s'affiche. Sélectionnez une destination pour les Presets Core FX, puis cliquez sur OK.
- Les chaines d'effets sont copiees dans la destination selectionnee.
Écran d'édition des effets
Cliquez sur une insertion d'effet pour afficher les paramètres de l'effet. Si aucun effet d'insertion n'est sélectionné, l'affichage FX indiquera "No Insert".
La plupart des effets disposent d'un réglage de signal traité/non traité. Le réglage de signal traité/non traité est sauvégardi dans le Preset. Les paramètres d'effets variant en fonction du type d'effet. En général, si un effet est placé dans un départ auxiliaire, le réglage de signal traité/non traité doit être régól sur 100% traité puisque le niveau de départ auxiliaire contrôle le niveau de l'effet appliqué.
La section Preset utiliser est située dans la partie inférieure de l'écran. Les Presets utiliser sont des variations des effets Core que vous pouvez modifier, supprimer, renomer ou replacer comme vous le souhaitez.
Remarque: Placez les effets dans un point d'insertion avant de les programme.

Pour bypasser une insertion :
Voussoupiezbypasserlesinsertions pourécouterle signal sans l'effet ou sans l'insertion.
VousoupiezegalementutiliserlafonctionBypass pourdésactiverundepartd'insertion.
Méthode 1
- Cliquez sur l'effet (dans la section d'insertion) et selectionnez FX sur l'affichage TV.
- Cliquez sur le bouton Bypass sur l'affichage TV.
Méthode 2
- Cliquez avec le bouton droit de la souris sur l'effet à bypasser (dans la section d'insertion). Une boîte de dialogue apparait.
- Sélectionnez "Bypass Insert" dans la liste d'options. Un petit point rouge apparait à droite de l'effet ou du départ, indiquant que cette insertion a été bypassée.
Pour placer une Insertion en Solo :
Les insertions peuvent également être écoutees en solo. La fonction Solo ignore toutes les autres insertions de la voie et vous permet de n'écouter que l'effect. Cette fonction est très utile lors du réglage des paramètres d'effets.
Méthode 1
- Cliquez sur l'effet (dans la section d'insertion) et selectionnéz FX sur l'affichage TV.
- Cliquez sur le bouton Solo sur l'affichage TV.
Méthode 2
- Cliquez avec le bouton droit de la souris sur l'effet à écouter en solo (dans la section d'insertion). Une boîte de dialogue apparaît.
- Sélectionnez "Solo Insert" dans la liste des options. Un petit point vert apparait à droite de l'effet ou du départ, indiquant que cette insertion est en solo. Les points rouges apparaisant dans les autres insertions de la voie indiquent que celles-ci sont bypassées.
Pour tout bypasser
Voussoupiezbypassertoutlesinsertionsd'unevoiea la fois.
- Cliquez avec le bouton droit de la souris sur n'importe quel effet de la section d'insertion. Un menu s'affiche.
- Sélectionnez "Bypass All Inserts" dans la liste des options. Tous les noms d'insertions sont grisés pour indiquer qu'ils sont en bypass.
Pour annuler tout Bypass
Voussoupiezannulerlebypassdetoutlesinsertionsd'unevoie.Cettecommandefonctionne même si uniquement certains effets sont en bypass.
- Cliquez avec le bouton droit de la souris sur n'importe quel effet de la section d'insertion. Un menu s'affiche.
- Sélectionnez "Un-Bypass All Inserts" dans la liste des options. Tous les noms d'insertions sont affichés normalement pour indiquer qu'ils sont actifs.
Section des Presets utiliser
Chaque effet Core dispose d'un ensemble de Presets utiliser, que vous pouvez utiliser pour stocker vos réglages préféres. Un large évientail de Presets utiliser vous est proposé pour vous guider. Vous pouze acceder aux Presets utiliser à partir de la barre située dans la partie inférieure de l'écran TV. Le menu d'édition des Presets utilisé vous permet de selectionner des Presets stockés, de créé de nouveaux Presets, de denommer ou de supprimer des Presets, ou encore de les replacer par vos propres paramètres. Les Presets utiliser restent intégrés au mélangeur,quelle que soit la session ouverte.
Pour copier ou partager des Presets utiliser, vous doivent les enregistrer en tant qu'effets de la palette FX.

Cliquez ici pour acceder au menu d'edition.
Pour sélectionner un Preset utiliser esteur
- Sélectionnez l'affichage FX sur l'écran TV.
- Sélectionnez l'effet d'insertion souhaité, en le mettant en surbrillance. Les paramètres de l'effet apparaissent sur l'écran TV.
- Cliquez sur I'icone sur le menu de Presets. Une liste des Presets apparait.
- Sélectionnez un Preset dans la liste.
Pour creer un nouveau Preset utiliseur
- Sélectionnez l'écran FX dans l'écran TV.
-
Sélectionnez l'effet d'insertion, en le mettant en surbrillance. Les paramètres de l'effet apparaissent sur l'écran TV.
-
Cliquez sur le bouton Edit. Un menu apparait.
- Sélectionnez New. Une boîte de dialogue vous demande de saisir le nom.
- Nommez le Preset puis cliquez sur OK. Le nouveau Preset est enregistré.
Pour supprimer un Preset utiliser
- Sélectionnez le Preset utiliser à supprimer dans le menu.
- Cliquez sur le bouton Edit. Un menu apparait.
- Sélectionnez Delete. Une boîte de dialogue vous demande de confirmer.
- Cliquez sur OK pour supprimer le Preset ou sur No ou Cancel pour annuler.
Pour renommer un Preset utiliseur
- Sélectionnez le Preset utilisé à renomer dans le menu.
- Cliquez sur le bouton Modifier. Un menu apparait.
- Sélectionnez Rename. Une boîte de dialogue apparait, vous demandant de renomer le Preset.
- Saisissez le nouveau nom du Preset, puis cliquez sur OK pour renomer le Preset ou sur Cancel pour annuler l'opération.
Pour remplacer ou sauvegarder un Preset utiliseur
Cette opération vous permet d'écraser un Preset par une nouvelle version.
- Sélectionnez le Preset utiliser à modifier dans le menu de Presets utiliser et apportez les modifications souhaitées.
- Cliquez sur Edit. Un menu apparait.
- Sélectionnez Overwrite/Save. Le Preset courant est remplaced par le nouveau.
Effets internes et Presets d'effets
Les effets internes (Core) ne peuvent pas etre suprimés ou copiés. Les Presets d'effets (sauvegardés dans "C:\Program Files\Creative Professional\E-MU PatchMix DSP\Effect Presets") peuvent etre copiés,envoyés par email ou partages comme tous les autres fichiers informatiques.
Astuce: Vouspouvez ouvrir les Presetsd'effets avec le "NotePad"ou tout autre traitementde texte pour visualiser etéditer le nom et lesparamètres.
List des effets internes
Utilisation des resources DSP
Il y a deux facteurs principaux qui déterminent le nombre total d'effets disponibles : La réserve de mémoire et les Instructions DSP. L'utilisation excessive de l'une de ces deux ressources réduit le nombre d'effets disponibles (grisés) dans le menu FX. De plus, les voies utilisent des instructions DSP, Veillez donc à ne créé que les voies dont vous avez besoin.
La réserve de mémoire est la mémoire utilisée par les effets à base de retard comme la réverbération et les effets numériques. Toutes les réverbérations et les délays (sauf le Mono Delay 100 et le Stereo Delay 100) utilisent une quantité de réserve de mémoire variable. Les instructions DSP sont utilisées par tous les effets. Les effets à étages multiples, comme les égaliseurs multibandes ou le simulator de HP utilisent plus de ressources DSP qu'un égaliseur à 1 bande. La réserve de mémoire tend à être utilisée en premier. Par conséquent nous vous fournissons un nombre important d'effets de retard pour vous permettre d'économiser au mieux ces resources. N'utilisez pas un délambda plus long que ce que vous avez besoin. Le tableau ci-dessous indique trois combinaisons d'effets. Nous avons utilisé les ressources de réverbération en premier. Il est possible d'utiliser plus d'effets en utilisant des réverbérations et des effets plus courts.
Exemples d'utilisation des effets (avec un return WAVE, ASIO Return et 2 entrées)
sauegarde d'une session "défragmente" les
ressources effets/DSP. Si
vous aveusutilisedous les
effets,essayez de
sauegarden la session.
Descriptions des effets internes
Égaliseur paramétrique 1 bande

Cet égaliseur paramétrique à une seule bande est utile pour amplifier ou atténuer une gamme unique de fréquences. Par exemple, si vous souhaitez juste donner du brillant au chant Lead, Sélectionnéce correcteur. Sa plage d'accentutaion/atténuation est de ±15 dB.
| Paramètre | Description |
| Gain | Règle le niveau d'atténuation (-) ou d'accentuation (+) de la bande de fréquence sélectionnée. Plage : -15 dB à +15 dB |
| Fréquence | Détermine la plage de fréquences à atténuer ou à accentuer avec le réglage de gain. Plage : 80 Hz à 16 kHz |
| Largeur de bande | Règle la largeur de plage de fréquences de la bande attenuée ou accentuée par le réglage de gain. Plage: 1 à 36 demi-tons. |
Égaliseur Baxendall 1 bande
Cet égaliseur Baxendall à une seule bande est utile pour corriger une plage de fréquences unique. Par exemple, pour une accentuation légère des basses, il est inutil d'utiliser un correcteur à trois bandes. Il suffit de désirir le Baxendall grave, puis de régler le gain et la fréquence. Ce correcteur offre un gain de ± 15 dB.
Baxendall grave ou... Baxendall aigu

| Paramètre | Description |
| Type | Permet de sélectionner un filtré Baxendall grave ou aigu. |
| Gain | Règle l'atténuation (-) ou l'accentuation (+) du filtré. Plage : -15 dB à +15 dB |
| Fréq. de coupure | Règle la fréquence de coupure du filtré. Plage : 80Hz à 16kHz |
3-Band EQ
Ce correcteur polyvalent dispose d'un Baxendall grave et aigu et d'un correcteur paramétrique des mediums. Gain maximal de ± 24 dB par bande.

Bax. grave
Bande Médium
Bax. aigu
Remarque:Le
réglage signal traité/nonTraits d'un équaliseur doitnormalement être réglesur 100% pour éviter tout résultat inattendu.
Configurer un égaliseur paramétrique
- Augmentez le gain de la bande sur laquelle vous travailliez. Ceci vous permet d'entendre plus facilement l'effet du filtré.
- Réduisez la largeur de bande si vous travailliez dans les mediums.
- Modifie à présent la fréquence de filtrer pour tracer les fréquences à traiter.
- Réduisez le gain pour atténuer la fréquence incriminée.
- Augmentez la largeur de bande pour obtaining un traitement plus naturel.
- Peaufinez les réglages au besoin.
| Paramètre | Description |
| Gain Baxendall aigu | Règle l'atténuation (-) ou l'accentuation (+) du Baxendal aigu. Plage : -24 dB à +24 dB |
| Fréq. Bax. aigu | Règle la fréquence de coupure du filtre Baxendal aigu. Plage : 4 kHz à 16 kHz |
| Gain bande Médium | Règle l'atténuation (-) ou l'accentuation (+) de la bande Médium. Plage : -24 dB à +24 dB |
| Fréquence Médium | Détermine la fréquence du filtre paramétrique Médium. Plage : 200 Hz à 3 kHz |
| Largeur de bande Médium | Détermine la largeur de bande du signal traité par le filtre Médium. Plage : 1 demi-tn à 1 octave |
| Gain Baxendall grave | Règle l'atténuation (-) ou l'accentuation (+) du Baxendal grave. Plage : -24 dB à +24 dB |
| Fréq. Bax. grave | Règle la fréquence de coupure du filtre Baxendal grave. Plage : 50 Hz à 800 Hz |
Égaliseur 4 bandes
Ce correcteur 4 bandes dispose de deux filtres Baxendall (grave et aigu) et de deux bandes mediums paramétriques. Gain maximal de ± 24 dB par bande.
Remarque : Le réglage signal traité/non traité d'un équaliser doit normalement être régèle sur 100% pour éviter tout résultat inattendu.
Pour de plus amples informations, voir page 62.

Bax. grave Bande medium 1 Bande medium 2 Bax. aigu
| Paramètre | Description |
| Gain Baxendall aigu | Règle l'atténuation (-) ou l'accentuation (+) du Baxendal aigu. Plage : -24 dB à +24 dB |
| Fréq. Bax. aigu | Règle la fréquence de coupure du filtrtre Baxendal aigu. Plage : 4 kHz à 16 kHz |
| Gain bande Médium 2 | Règle l'atténuation (-) ou l'accentuation (+) de la bande Médium 2. Plage : -24 dB à +24 dB |
| Fréquence Médium 2 | Détermine la fréquence du filtrtre paramétrique Médium 2. Plage : 1 kHz à 8 kHz |
| Largeur de bande Médium 2 | Détermine la largeur de bande du signal traité par le filtrtre Médium 2. Plage : .01 octave à 1 octave |
| Gain bande Médium 1 | Règle l'atténuation (-) ou l'accentuation (+) de la bande Médium 1. Plage : -24 dB à +24 dB |
| Fréquence Médium 1 | Détermine la fréquence du filtrtre paramétrique Médium 1. Plage : 200 Hz à 3 kHz |
| Largeur de bande Médium 1 | Détermine la largeur de bande du signal traité par le filtrtre Médium 1. Plage : .01 octave à 1 octave |
| Gain Baxendall grave | Règle l'atténuation (-) ou l'accentuation (+) du Baxendal grave. Plage : -24 dB à +24 dB |
| Fréq. Bax. grave | Règle la fréquence de coupure du filtrtre Baxendal grave. Plage : 50 Hz à 800 Hz |
Auto-Wah
Cet effet produit le son d'une wah-wah de guitare. Le balayage du filtre "Wah" est déclenché automatiquement en fonction de l'amplitude de l'enveloppe du signal. L'effect de wah automatique convient parfaitement aux sons de guitare ou de basse.
La wah automatique est un filtrte passée-bande dont la fréquence peut être balayée vers le haut ou vers le bas par un suiveur d'enveloppe, qui suit le volume du signal d'entrée. Le paramètre de sensibilité d'enveloppe vous permet de régler le suiveur d'enveloppe en fonction des signaux d'entrée. Cette « enveloppe » ou ce contour de volume contrôle la fréquence du filtrte de passage-bande afin qu'elle soit balayée vers le haut ou vers le bas sur chaque note. Le réglage d'attaque contrôle la vitesse de déclenchement de l'effet sur chaque note. Lorsque le niveau du signal d'entrée diminue, le filtrte balaise à nouveau selon la vitesse déterminée par le paramètre de rétablissement.
La direction de la wah permet un balayage de la fréquence du filtre vers le haut ou vers le bas. Utilisez une fréquence plus élevé lorsque la wah se déplace vers le bas.

| Paramètre | Description |
| Direction Wah | Balayage vers le haut ou vers le bas de la Wah. |
| Sens. enveloppe | Détermine avec qu'elle précision la Wah suit le signal d'entrée. Plage : -12 dB à +18 dB |
| Attaque enveloppe | Détermine la vitesse de réponse de la Wah en fonction du signal d'entrée. Plage : 0 ms à 500 ms |
| Rétablissement d'enveloppe | Détermine la vitesse de fin de la Wah par rapport au signal d'entrée. Plage : 10 ms à 1000 ms |
| Plage de balayage | Détermine l'amplitude de balayage de la Wah. Plage : 0 % à 100 % |
| Fréquence de filtré | Détermine la fréquence du filtré passe-bande. Plage : 80 Hz à 2400 Hz |
| Largeur de bande | Détermine la largeur de bande du filtré passe-bande. Plage : 1 Hz à 800 Hz |
Chorus
Un retard de l'ordre de 15-20 milliseconds est trop court pour être un écho, mais est très bien perché par l'oreille comme un son distinct. Si le retard est modifié dans cette plage, un effet appelé chorus est obtenu, donnant l'illusion de sources sonores multiples. Une légère réinjection sert à accroître l'effet. Une vitesse de LFO très lente estCOMMUE pour obtaining un effet réaliste. Une vitesse plus rapide peut être utile avec une profondeur LFO minimale (.2). Comme il s'agit d'un chorus stéreo, vous disposez d'un paramètre de phase de LFO qui peut être utilisé pour élargir le champ stéreo de l'effet.
| Paramètre | Description |
| Délambdai | Temps de retard de 0 à 20 ms. Plage : 0 ms à 20 ms |
| Réinjection | Déterminé le niveau de sortie réinjecté en entrée de l'effet. Plage : 0 % to 100 % |
| Vitesse LFO | Fréquence de l'oscillateur basse fréquence. Plage : .01 Hz à 10 Hz |
| Profondeur LFO | Déterminé l'incidence du LFO sur le temps de retard. Accroit l'amplitude de l'effet de Chorus. Plage : 0 % à 100 % |
| Formed'onde LFO | Sélectionnez sinusoïde ou triangle. |
| Phase LFO L/R | Contrôle la largeur stéreo en modifiant le déphasage de la forme d'onde du LFO entre les canaux gauche et droit. Plage : -180° à +180° |
Compresseur
Dans leur forme la plus simple, les compresseurs sont des régulateurs automatiques de gain. Lorsque le volume est trop fort, le comprateur le réduit automatiquement. Les compresseurs sont utiles pour les applications musicales car ils permettent d'enregistrer un signal de niveau plus élevé sans surcharger le périphérique d'enregistrement. Alors que le comprateur réduit le gain du signal, vous devez vous demander comment il peut remonter le niveau du signal. Un contrôle de gain de sortie vous permet d'augmenter le gain en sortie du comprateur afin de compenser la perte de niveau. Le niveau général est plus élevé et n'est réduit que lorsque le niveau du signal est trop élevé. Ce seuil, est le réglage le plus important du comprateur.

Réglages élémentaires
Les trois principaux régages d'un compresseur sont le contrôle du taux, le contrôle du seuil et le contrôle du gain.
Si le signal est inférieur au seuil, aucun traitement n'est appliqué. Les signaux supérieurs au seuil reçoivent une réduction de gain déterminée par le taux. Ce réglage vous permet de contrôler la plage dynamique du signal d'entrée. Par exemple, si vous ne souhaitez réduire que les créés de signaux les plus élevées, réglez le seuil de sorte que l'afficheur de réduction de gain n'indique la compression que lors de ces créés. L'une des erreurs les plus courantes lors de l'utilisation des compresseurs est de définir un seuil trop bas. Ceci ajoute du bruit alors que le compresseur réduit toujours le volume.
Le réglage de taux déterminé l'action du compresseur sur le signal. Plus le taux est élevé, plus la réduction appliquée est importante. Si le taux est assez élevé (supérieur à 10:1), le compresseur empêche le signal de dépasser le seuil. Dans ce cas, le compresseur agit comme un limiteur, fixant une limite supérieure dans le niveau du signal. Les taux allant de 2:1 à 6:1 correspondent généralement à une compression alors que les taux supérieurs à 10:1 s'appearnt à la limitation.
Le réglage de gain de sortie remonte le niveau du signal après le traitement. Si vous n'augmentez pas le gain de sortie, le niveau du signal compressé est inférieur au niveau d'entrée.
Deux autres réglages importants sont l'attaque et le rétablissement. L'attaque contrôle la vitesse à laquelle le gain est réduit lorsque le signal dépasse le seuil. Le rétablissement contrôle la vitesse à laquelle le gain retrouve une valeur normale lorsque le signal est de nouveau inférieur au seuil. Une attaque d'environ 10 milliseconds retarde le début de la compression pendant un laps de temps assez long pour préserver les transitaires d'attaque des guitares, des basses ou des percussions tout en permettant la compression du reste du signal. Des valeurs de rétablissement plus importantes sont généralement utilisées pour réduire l'effet de "pompage". Cependant, n'augmentez pas trop le temps de rétablissement ou le compresseur ne disposera pas du temps nécessaire à sa récapération avant l' apparition du signal suivant. Les réglages d'attaque et de rétablissement sont généralement utilisés pour adoucir l'action du compresseur, mais ils peuvent également être utilisés pour creer des effets spéciaux. Le paramètre de pré-retard permet au détecteur de niveau d'anticiper jusqu'à 4 milliseconds afin d'anticiper sur les crétes du signal. L'insertion de pré-retard dans le trajet du signal permet d'obtenir ce résultat. Cette technique d'anticipation permet d'utiliser des temps d'attaque plus lents entraitant toutes les crétes de signal. Ce paramètre est particulièrement efficace sur les batteries et percussions. L'afficheur de niveau d'entrée vous permit de surveiller le niveau du signal d'entrée. Vous pouvez toujours essayer d'augmenter le niveau du signal en冲动 du compresseur si vous le pouze.
L'afficheur de réduction de gain indique la réduction de gain appliquée. Il varie de droite à gauche, et non de gauche à droite comme avec les afficheurs conventionnels.
| Paramètre | Description |
| Threshold | Le seuil déterminé le point à partir duquel la compression est appliquée au signal d'entrée. Plage : -60 dB à +12 dB |
| Ratio | Déterminé le taux de compression du traitement. Plage : 1:1 à ∞:1 |
| Post Gain | Remonte le niveau de sortie du signal pour compenser le traitement. Plage : -60 dB à +60 dB |
| Attack | Déterminé la vitesse de déclenchement de l'effect une fois que le niveau du signal passé au-dessus du seuil. Plage : .1 ms à 500 ms |
| Release | Détermine le temps mis par le traitement pour cesser, une fois que le niveau du signal d'entrée est repassé en-dessous du seuil. Plage : 50 ms à 3000 ms |
| Pre-Delay | Permet d'utiliser un temps d'attaque plus long tout entraitant les pointes de signal. Plage : 0 ms à 3 ms |
Niveau d'entrée ... Affiche le niveau du signal d'entrée.
Gain Reduction - - Affiche la réduction de gain appliquée.
Distorsion
La plupart des processeurs tendent à minimiser la distorsion, mais pas celui-ci! L'unique but de cet effet est d'ajouter de la distorsion, et ceci en grande quantité. Cet effet offre un type de distorsion "Fuzz", particulièrement efficace sur les guitares, les basses, les orgues, les pianos électriques, etc.
Le signal d'entrée passée tout d'abord par un filtre passer-bas. La féquence de coupure du filtre passer-bas vous permet de contröler les harmoniques générées par l'étage de saturation. L'étage de saturation dispose d'un réglage Edge qui déterminne le niveau de distorsion ajouté. Un filtre passer-bande suit l'étage de saturation. Le réglage d'équaliser vous permet de sélectionner une bande de féquences particulière. La largeur de bande de l'équaliser est régblable aujourd'hui de la féquence centrale. Au final, un réglage de gain vous permet de compenser toute perte de gain due au traitement.
Utilisez le réglage signal traité/non traité associé au réglage Edge pour réduire le niveau de la distorsion, ou dans un moment de folie, réglez le tout sur 11!

| Paramètre | Description |
| Pre EQ LP Cutoff | Détermine les haute fréquences en entrées de la distorsion. Plage : 80 Hz à 24 kHz |
| Edge | Détermine le taux de saturation et les harmoniques génériées. Plage : 0-100 |
| Gain | Volume de sortie de l'effet. Plage : -60 dB à 0 dB |
| Post EQ Center Freq. | Détermine la fréquence du filtre passe-bande de sortie. Plage : 80 Hz à 24 kHz |
| Post EQ Bandwidth | Détermine la largeur du filtre passe-bande de sortie. Plage : 80 Hz à 24 kHz |
Flanger
Les Flangers sont des délaiss à retard très court dont le signal de sortie est mélangé au signal initial. Le mélange du signal initial et des signaux retardés entraine des déphasages multiples connus sous le nom de filtrage en peigne. Étant donné que les Flangers sont des filtres, ils sont plus adaptés aux signaux riches en harmoniques.

L'effet dispose d'un oscillateur basse fréquence permettant de faire varier lentement le temps de retard. Ceci create un effet de balayage riches sur les variations de phase. Le niveau de contre-reaction accentue les déphasages, intensifiant l'effet. Vous pouvez inverser le signal de contre-reaction enCHOISSSANT une valeur négative. L'inversion du signal de contre-reaction creedes crêtes dans le filtrde déphasage et approfondit l'effet.

| Paramètre | Description |
| Delay (retard) | Déterminé le retard initial du Flanger de 0 à 4 ms par pas de 1 millisecond. Permet d'adapter le Flanger à une plage de fréquence spécifique. Plage : .01 ms à 4 ms |
| Feedback (contra- réaction) | Déterminé le niveau du signal de sortie réinjecté en entrée et accroît la résonance. Les valeurs négatives peuvent produit des effets de Flanger intenses avec certains signaux. Plage : 0 % à 100 % |
| Vitesse LFO | Fréquence de balayage du Flanger. Plage : .01 Hz à 10 Hz |
| Profondeur LFO | Déterminé l'incidence du LFO sur le temps de retard. Plage : 0% à 100 % |
| Forme d'onde LFO | Sélectionnez sinusoise ou triangle. |
| LFO L/R Phase | Déterminé la largeur du champ stéréo en modifiant le déphasage gauche/droite. Plage : -180° à +180° |
Freq Shifter
Cet effet inhabituel est parfois appelé "modulation de bande unilatérale". La transposition de fréquence transpose les harmoniques du signal d'une valeur fixe exprimée en Hz. Les harmoniques n'ont alors plusaucun rapport normal avec le signal.À l'opposé, les harmoniseurs conservent le rapport harmonique du signal et sont ainsi utilisés à des fins plus musicales.
Ceci ne peut pas dire que le Frequency Shifter ne peut pas ettre utilisé de façon musicale. Les petits intervalles de transposition (1 Hz et moins) produit un son très riches de Chorus ou de Phasing. Pour obtaining des effets moins naturels, montez le reglage de fréquence. Les fréquences peuvent etre transposées de 0,1 Hz à 24kHz .Vos pouvez également augmenter la transposition d'un cotoe et la diminuier de l'autre.
Vous pouvez
eigalement saisir les
frequences exactes pour
une resolution de
1/10eme de Hz.
Comparaison entre harmonisation et Frequency Shifting
| Harmonique | Original (Hz) | Harmoniseur (100 Hz) | Frequency Shifter (100 Hz) |
| 1 | 200 | 300 | 300 |
| 2 | 400 | 600 | 500 |
| 3 | 600 | 900 | 700 |
| 4 | 800 | 1200 | 900 |
| 5 | 1000 | 1500 | 1100 |
| 6 | 1200 | 1800 | 1300 |
| 7 | 1400 | 2100 | 1500 |
| 8 | 1600 | 2400 | 1700 |
| Paramètre | Description |
| Fréquence | Détermine le nombre de Hz ajoutés ou soustraits à chaque harmonique du signal. Plage : 0,01 Hz à 24 kHz |
| Direction Left | Transposition vers le haut ou vers la bas du canal gauche. |
| Direction Right | Transposition vers le haut ou vers la bas du canal droit. |
Leveling Amp — Compresseur optique
Les premiers compresseurs développés dans les années 1950 étaient basés sur des cellules optiques de gestion du gain à action lente capables de contrôle le niveau des signaux d'une manière sociale extrémement subtile. Cet effet est une recreated numérique des amplificateurs de cet effet Vintage.
L'amplificateur Leveling utilise un "retard d'anticipation" important pour appliquer une faible réduction de gain. À cause de ce retard, l'amplificateur Leveling ne convient pas aux applications qui nécessitent une gestion en temps réel du niveau des signaux. Ce compresseur doux et régulier est adapté aux situations dans lesquelles le retard ne pose aucun problème, par exemple lors du contrôle d'un mixage ou de la compression d'un morceau stéreo préenregistré.
Le gain de sortie est le seul réglage liént sur cet amplificateur. Ce réglage est utilisé pour compenser la perte de niveau due à la compression. Le taux de compression est fixé à environ 2.5:1. Si une crête importante est détectée, l'effet augmente automatiquement le taux de compression pour conserver un niveau de sortie homogène.
L'afficheur de réduction de gain indique la réduction de gain appliqué. Comme cet afficheur la réduction du gain, il varie de droite à gauche, et non de gauche à droit comme avec les compteurs conventionnels.
| Gain de sortie | Augmente le niveau de sortie pour compenser la perte de niveau due à la compression. Plage ; 0 dB à 36 dB |
Lite Reverb
La réverbération est une simulation d'un espace naturel tel qu'unepiece ou une salle. L'algorithmde réverbération stéreo est concu pour simuler diverses salles, pièces et espaces réverbérants.
Le temps de chute définit le temps nécessaire à l'affaiblissement ou à l'extinction du son réfléchi par la piece. Le diagramme ci-après illustré une enveloppe de réverbération type.

Au bout d'une courte période de pré-retard, les échos provenant des murs les plus proches ou du plafond se font entendre. Ces premiers échos ou premières réflexions, varient enormément en fonction du type de la piece. Quelque temps après la fin du groupe de premières réflexions, la chute de réverbération (un nuage dense de réflexions murales complexes) commence et s'affaiblit en fonction du temps régle par le paramètre du temps de déclin. Le paramètre Reverberance contrôle la densité et la transition entre les premières réflexions et le corps de la réverbération.
L'énergie haute féquence a tout d'abord tendance à s'affaïblir lorsqu'un son se dissipe dans une piece. Le paramètre High Frequency Decay Factor déterminé le temps nécessaire à l'extinction des hauteures féquences, et ainsi modifie les caractéristiques de la piece. Les pieces dont la surface est lisse et durable sont plus sujettes aux réflexions et l'atténuation des hauteures féquences est moins importante. Les pieces pourvues de matériaux absorbant le son, tels que des rideaux ou des personnes physiques, offrent une atténuation haute féquence plus importante.
Le paramètre Low Frequency Decay Factor détermine le temps de déclin des basses fréquences.
| Paramètre | Description |
| Decay Time | Temps de déclin de réverbération. Plage : 0 % à 100 % |
| HF Decay Factor | Vitesse d'atténuation des haute fréquences. Les haute fréquences durent plus longtemps avec un pourcentage élevé. Plage : 0 % à 100 % |
| LF Decay Factor | Vitesse d'atténuation des basses fréquences. Les basses fréquences durent plus longtemps avec un pourcentage élevé. Plage : 0 % à 100 % |
| Early Reflections | Volume des premières réflexions sur les murs. Plage : 0 % à 100 % |
| Reverberance | Transition entre les premières réflexions et le nuage de réverbération. Plage : 0 % à 100 % |
Délais mono - 100, 250, 500, 750, 1500, 3000
Les délays font une copie de l'audio en entrée, la conservent en mémoire, puis la lisent après un temps défini. La valeur de délambda fait réference au temps de retard maximum disponible. Les six longueurs, de 100 ms à 3 secondes, vous permettent d'utiliser l'effect adapted en optimisant les ressources mémoire disponibles.
Les retards longs produit des échos, les retards courts peuvent être utilisés pour les effets de doublage. Les retards très courts peuvent être utilisés pour produit des effets résonants de Flanger ou de filtré en peigne (utilisez la réinjection). Les signaux stéreo sont mélangés en mono en entrée du-delai.
Le circuit de réinjection (contré-réaction) injecte le signal de sortie retardé en entrée. Lors de la création des effets d'écho, ce paramètre déterminé le nombre de répetitions. Avec les délays courts, le réglage de Feedback agit comme un réglage de résonance, augmentant l'effet de filtré en peigne produit par la ligne à retard. Filtres en peigne : Voir page 68.
Un filtrhe hautes fréquences situé dans le circuit de réinjection attenue les haute fréquences à chaque traitement par la ligne à retard. Cette opération, qui simule l'absorption naturelle des fréquences élevées d'une piece, peut également être utilisée pour simuler les échos à bande.
Le réglage Wet/Dry déterminé le mixage du signal traité avec le signal original.

| Paramètre | Description |
| Delay Time | Détermine la durée du retard en milliseconds. (par pas minimum de 0,01ms) |
| Mono Delay 100 | Plage : 1 millisecond à 100 milliseconds |
| Mono Delay 250 | Plage : 1 millisecond à 250 milliseconds |
| Mono Delay 500 | Plage : 1 millisecond à 500 milliseconds |
| Mono Delay 750 | Plage : 1 millisecond à 750 milliseconds |
| Mono Delay 1500 | Plage : 1 millisecond à 1.5 secondes |
| Mono Delay 3000 | Plage : 1 millisecond à 3 secondes |
| Feedback | Détermine le niveau du signal traité réinjecté en entrée, c'est-à-dire le nombre de répetitions. Plage : 0 % à 100 % |
| High Freq. Rolloff | Attenue les haute fréquences du signal traité dans la boucle de réinjection. Plage : 0 % à 100 % |
Phasing
Un effet de Phasing produit un nombre fixe de déphasages dans le spectre audio qui peuvent être balayés vers le haut et vers le bas au rythme d'un oscillateur BASSE fréquence (LFO). Ceci create un son aérien et tourbillonnant sur les sources riches en harmoniques. Le Phasing a été inventé dans les années 1970 et le son caractéristique de cet apparil évoque cette étre musicale.
En réglant la profondeur du LFO sur zéro et en activant le centre du LFO, un filtré à déphasages mutiples est créé.

| Paramètre | Description |
| LFO Center | Définit le décalage initial du LFO et modifie la position des déphasages. Plage : 0 % à 100 % |
| Feedback | Augmente la profondeur du déphasage. Plage : 0 % à 100 % |
| LFO Rate | Contrôle la vitesse de balayage de l'oscillateur basse fréquence. Plage : 0,01 Hz à 10 Hz |
| LFO Depth | Détermine la profondeur du LFO. Plage : 0 % à 100 % |
| Waveform | Sélectionne une onde sinusoidale ou triangulaire pour le LFO |
| LFO L/R Phase | Contrôle la largeur stéreo en réglant le déphasage entre les signaux gauche et droit. Plage : -180° à +180° |
Haut-parleur tournant
Il s'agit d'une simulation de la rotation d'un haut-parleur utilisé avec les orgues. Les haut-parleurs tournant ont été inventés pour donner au son des orgues une animation de type orgues à tuyaux, mais ce son particulier est devenu une légende à part entière. La rotation d'un son dans une piece creé un effet Doppler, ainsi que de nombreux autres effets acoustiques complexes et agréables. Cet effet dispose d'une fonction d'accélération et de ralentissement lorsque vous basculez entre les deux vitesses.
| Paramètre | Description |
| Speed (vitesse) | Bascule entre les vittesses rapide ou lente avec une accelération et un ralentissement entre les changements de vitesse. |
Simulateur d'enceinte
Le simulator d'enceintes offre des réponses réalisistes d'enceintes guitare et s'utilise avec une guitare, uneasse ou un synthétiseur.Douze enceintes célibres sont disponibles. Un seul paramètre est associé à cet effet.Sélectionnez simplement l'enceinte puis écoutez.Cet effet doit normalement être utilisé avec le réglage signal traité/nontraité régle sur 100%
| Enceinte | Description |
| British Stack 1 & 2 | Modélisé à partir d'un Stack anglais à 8 haut-parleurs. |
| British Combo 1-3 | Modélisé à partir d'un Combo anglais à 2 haut-parleurs. |
| Tweed Combo 1-3 | Modélisé à partir d'un Combo américain à 2 HP des années 1950. |
| 2 x 12 Combo | Modélisé à partir d'un Combo américain à 2 HP des années 1960. |
| 4 x 12 Combo | Modélisé à partir d'un Combo américain à 4 HP des années 1960. |
| Metal Stack 1 & 2 | Modélisé à partir d'un Stack de puissance moderne. |
Délai stéréo - 100, 250, 550, 750, 1500
Les délais stéreo sont de vérables délais stéreo dont les canaux gauche et droit sont totally indépendants. Le temps de retard maximum est donné dans le nom du délai. Les cinq durées de retard disponibles (de 100 ms à 1,5 s) vous permettent d'utiliser l'effet le mieux adapté à vos besoin tout en optimisant les ressources mémoire.
Etant donné que les canaux gauche et croit offrent des temps de retard différents, vous pouze creator un effet de panoramicique en augmentant la durée d'un des retards. Les temps de retard très courts associés à une réinjection élevée peuvent également être utilisés pour creator des effets de voix de robot. Utilisez des temps plus longs pour superposer des lignes musicales différentes.

| Paramètre | Description |
| Left Delay Time | Définit le retard du canal gauche en milliseconds. |
| Right Delay Time | Définit le retard du canal droit en milliseconds. |
| Delay Time (L & R) | (pas minimum de 0,01 ms entre réglages) |
| Stereo Delay 100 | Plage : 1 millisecond à 100 milliseconds |
| Stereo Delay 250 | Plage : 1 millisecond à 250 milliseconds |
| Stereo Delay 550 | Plage : 1 millisecond à 550 milliseconds |
| Stereo Delay 750 | Plage : 1 millisecond à 750 milliseconds |
| Stereo Delay 1500 | Plage : 1 millisecond à 1,5 seconde |
| Feedback | Détermine le niveau du signal traité réinjecté en entrée, c'est-à-dire le nombre de répétitions. Plage : 0 % à 100 % |
| High Freq. Rolloff | Attenue les hautes fréquences du signal traité dans la boucle de réinjection. Plage : 0 % à 100 % |
Réverbération stéreo
La réverbération est une simulation d'un espace naturel tel qu'unepiece ou une salle. L'algorithmé de réverbération stéreo est concu pour simuler diverses salles, pièces et espaces réverbérants. Le temps de chute définit le temps nécessaire à l'affaiblissement ou à l'extinction du son refléchi par la piece. Le diagramme ci-après illustrte une enveloppe de réverbération type.

Au bout d'une courte période de pré-retard, les échos provenant des murs les plus proches ou du plafond se font entendre. Ces premiers échos ou premières réflexions, varient enormément en fonction du type de la piece. Quelque temps après la fin du groupe de premières réflexions, la chute de réverbération (un nuage dense de réflexions murales complexes) commence et s'affaiblit en fonction du temps régle par le paramètre du temps de déclin. La diffusion est la quantité d'émission et la densité du nuage de la chute de la réverbération. Les pieces dont la surface est complexe représentent une diffusion plus importante que les pieces nues. L'énergie haute féquence a tout d'abord tendance à s'affaibrir lorsqu'un son se dissipe dans une piece. Le paramètre d'atténuation des hautes féquences déterminé le temps nécessaire à l'extinction des hautes féquences, et ainsi modifie les caractéristiques de la piece. Les pieces dont la surface est lisse et durable sont plus sujettes aux réflexions et l'atténuation des hautes féquences est moins importante. Les pieces poursuives de matériaux absorbant le son, tels que des rideaux ou des personnes physiques, offrent une atténuation haute féquence plus importante. Le paramètre d'atténuation des basses féquences déterminé le temps nécessaire à l'atténuation totale des basses féquences. Ce contrôle détermine la résonance grave de la piece.
| Paramètre | Description |
| Decay Time | Durée de chute de réverbération de 1,5 à 30 secondes. Plage : 1,5 à 30 secondes |
| Early Reflections Level | Volume des premières réflexions. Plage : 0 % à 100 % |
| Early/Late Reverb Bal | Équilibre entre premières réflexions et chute de réverbération. Plage : 0 % à 100 % |
| Late Reverb Delay | Temps entre les premières réflexions et les chutes de la réverbération. Plage : 1 ms à 350 ms |
| Diffusion | Diffusion de la chute de réverbération. Plage : 0 % à 100 % |
| High Freq. Damping | Vitesse d'attenuation des haute fréquences. Plage de facteur d'ammortissement : -10 à +3 |
| Low Freq. Damping | Vitesse d'attenuation des basses fréquences. Plage de facteur d'ammortissement : -10 à +3 |
Morphing vocal
Cet effet vous permet deCHOISIR entre deux phonemes et leur morphing a l'aide d'un LFO. Les phonemes sont les consonnes et voyelles utilisées pour l'articulation des sons de la parole. Il existe trente phonemes differents disponibles dont la hauteur peut etre decalée vers le haut ou vers le bas pour obtaining encore plus d'effets. Pour utiliser le Morphing vocal, il vous suffit de selectionner un phoneme A et un phoneme B dans la liste des trente phonemes. Le LFO opere alors automatiquement un Morphing avant et arrriere entre deux phonemes selectionnés, créant des articulations vocales interessantes. La vitesse de LFO est reglable et vous pouvezCHOISIR entre les formes d'onde sinusoidale, triangulaire ou en dent de scie. Les ondes sinusoidale et triangulaire s'affaiblissant en douceur. L'onde en dent de scie s'affaiblit progressivement, puis se redresse brusquement. Lorsque la fréquence du phoneme A ou B est transposée vers le haut ou vers le bas, des effets complètement nouveaux peuvent etre produits. Ces contrôles de fréquence peuvent etre utilisés pour régler les fréquences de phoneme.

Listedesphonemesdisponibles
| Paramètre | Description |
| Phoneme A | Sélectionne l'un des phonèmes disponibles pour le phonème A. |
| Phoneme A Tuning | Augmente ou diminue la fréquence du phonème A sur deux octaves par intervalles d'un demi-ton. Plage : -24 à +24 demi-tons |
| Phoneme B | Sélectionne l'un des phonèmes disponibles pour le phonème B. |
| Phoneme B Tuning | Augmente ou diminue la fréquence du phonème A sur deux octaves par intervalles d'un demi-ton. Plage : -24 à +24 demi-tons |
| LFO Rate | Contrôle la vitesse de Morphing en aller et-retour des phonèmes. Plage : 0,01 Hz à 10 Hz |
| LFO Waveform | Sélectionne la forme d'onde du morphé. |
Effects PowerFX E-MU
Les effets accelerés par composants matériels du système audionumérique E-MU peuvent être utilisés comme insertions VST dans Cubase. Les effets PowerFX E-MU vous permettent d'utiliser les effets DSP PatchMix dans Cubase sans charger votre CPU.
Les effets PowerFX E-MU disposent d'une fonction d'alignment temporelle qui compense automatiquement les latences système et assure la synchronisation des signaux audio dans la chaine VST (si l'application hote le permet).

Les effets PowerFX E-MU ne sont pas disponibles avec les fréquences d'échantillonnage de 88,2 kHz, 96 kHz, 176,4kHz et 192kHz.
Cubase SX/SL/LE 2.0, Nuendo et Sonar (avec I'adaptateur Cakewalk VST 4.4.1) permettant la compensation automatique des temps de retard VST 2.X.
| Paramètre | Description |
| PowerFX On/Off | Active ou bypassé les effets PowerFX E-MU. |
| FX Palette | Sélectionné un effet interne “Core” ou un multi-effet. |
| Insertions d'effets | Tirez et déposez ici les effets depuis la palette FX. |
| Leds de signal | S'allument en bleu en présence d'un signal en entrée ou en sortie. |
| Paramètres d'effet | Sélectionné l'effect souhaité dans la section d'insertion centrale, et réglez le niveau traité/non traité et les paramètres de l'effect. |
| Presets d'effets | Sélectionné dans la liste des Presets. |
| Édition de Preset | Cliquez pour auvegarder, supprimer, renomer ou replacer un Preset utilisé. Voir “Section des Presets utiliser” pour de plus amples informations. |
| Préférences | Le menu Preferences vous permet de : • Activer/désactiver les astuces sur les outils • Extra Buffers - Cochez si vous obtenez trop de décrochages lorsque vous utilisez PowerFX E-MU avec votre application VST. Cochez cette case si vous utilisez Fruity Loops. • Mode de rendu - Lance le rendu en temps réel dans les applications non compatibles avec le rendu en temps réel (WaveLab, SoundForge). |

Configuration et utilisation de PowerFX E-MU :
Configuration dans Cubase ou Cubasis
- Lancez Cubase ou Cubasis.
- Placez PowerFX E-MU dans une insertion ou un départ Aux dans Cubase (dans le repertoire EMU des Plug-Ins VST).
- Appuyez sur la touche Insert Edit e de Cubase pour afficher la fenetre du Plug-In PowerFX E-MU indiquée plus haut.
Configuration de PowerFX E-MU
- Vérifiez que le bouton soit allumé, ce qui indique que l'effet E-MU Power FX est actif. Les témoins bleus "Signal Present" s'allument si E-MU PowerFX est correctement affecté dans un trajet de signal.
- Tirez les effets souhaités de la palette d'effets vers l'insertion centrale.
- Cliquez sur l'effet à éoperator dans la zone d'insertion centrale (elle s'allume en jaune), puis réglez les paramètres d'effets dans la section de droite de la fenêtre.
- Vous pouvez aussi sélectionner les Presets utiliser dans la section sous les paramètres d'effets. Voir "Section des Presets utilisé".
Compensation des retards (en cas de besoin)
Si vous utilisez Cubase VST 5.1, vous doivent insérer un Plug-InE-Delay Compensator dans les autres pistes audio pour conserver l'alignement temporel.
- Insérez simplement un Plug-In E-Delay Compensator dans la même insertion utilisée pour le PowerFX E-MU sur les autres pistes audio. C'est tout.
L'utilisation d'un Driver autre que "E-MU ASIO" peut produit des résultats médiocres lorsque vous utilisez PowerFX E-MU.
Automation de PowerFX E-MU
PowerFX E-MU peut être automatisé dans Cubase LE (ou autre) comme tout autre effet VST. Lorsque l'écriture de l'automation est activée dans Cubase, les modifications apportées aux réglages dans la fenêtre de PowerFX E-MU lors de la lecture sont enregistrées sur une piste "Audio Mix" spéciale située en bas de la fenêtre d'arrangement. Lorsque la lecture de l'automation est activée, les variations sont appliquées en temps réel.
Enregistrement des modifications de réglage de PowerFX E-MU dans Cubase LE
- Enregistrez une piste dans Cubase en utilisant PowerFX E-MU en insertion de voie.
- Revenez au début du morceau et activez l'écriture de l'automation en appuyant sur le bouton WRITE , qui s'allume (Consultuez la documentation de Cubase LE ou de l'application que vous utilisez).
- Placez la fenêtre PowerFX E-MU en avant plan et Sélectionnez l'effet à automatiser. Les paramètres d'effets s'affichent à l'écran TV. Vérifie que la touche bleue "On" est allumée.
- Appuyez sur le bouton Play de la zone de transport de Cubase. La lecture du morceau commence.
- Reglez les paramètres PowerFX. Revenez au début du morceau.
- Désactivez l'enregistrement de l'automation et activéz la lecture de l'Automation
R. Lancez le morceau en lecture pour contrôler les changements.
- Pour éoperator l'automation, activez au préalable les fonctions "Automation Write" et "Automation Read" et appuyez sur Play. Cubase/Cubasis commence à replacer les données lors que vous modifiez un réglage.
- Si vous n'aimez pas le résultat, selectionnez Show Used Automation dans le menu Project. La fenêtre Automation Subtrack s'affiche. Cliquez dans la zone Parameter et selectionné Remove Parameter.
Remarque : Ceci ne fait qu'effacer un paramètre d'automation de la sous piste Automation Subtrack. Pour effacer plusieurs réglages, repêzez la procédure. Consultez le mode d'emploi de Cubase LE sur l'automation.
Disponibilité des ressources PowerFX E-MU
Étant donné que vous pouvez utiliser simultanément plusieurs Plug-Ins VST et sessions PatchMix, il se peut que vous ayez besoin d'utiliser un Plug-In, mais que les ressources viennent à manquer. Si les ressources DSP ne sont PAS disponibles pour une configuration donnée :
- PowerFX E-MU charge un trajet matériel d'E/S et transmet le signal audio sans les effets. Les points d'insertion dans PowerFX sont désactivés à l'affichage.
- Si aucun trajet matériel d'E/S n'est disponible, le Plug-In est désactivé et tourne en mode de bypass logiciel. Les points d'insertion dans PowerFX sont grisés.
- Si les ressources DSP SONT disponibles, maisaucun trajet matériel d'E/S n'est disponible,le Plug-In tourne en mode de bypass logiciel.
- Si vous modifie la fréquence d'échantillonnage en cours de session PowerFX, les Plug-Ins PowerFX E-MU sont bypassés, étant donné que les effets internes ne fonctionnent pas à 96 kHz ou à 192 kHz.
Steinberg Cubasis ne dispose pas de fonction d'automation.
Une fois que vous avez enregistré ou dessiné l'automation. n'efface pas et ne déplace pas les effets de l'insertion. Les conséquences seraient alors imprévisibles.
Tableau de compatibilité PowerFX E-MU
| Nom de l'application | Compatible ? | Remarque | Render | Extra Buffers |
| Steinberg Cubase VST 5.1 | Oui | Off | Off | |
| Steinberg Cubase SX 1 | Oui | Off | Off | |
| Steinberg Cubase SX 2 | Oui | La fonction Freeze de l'instrument déclenché une erreur si pas en mode de rendu. | Off | Off |
| Steinberg Cubase LE | Oui | Off | Off | |
| Steinberg Cubase SL | Oui | Off | Off | |
| Steinberg WaveLab 4 | Oui | On | Off | |
| Steinberg WaveLab Lite (ver 4) | Oui | On | Off | |
| Steinberg WaveLab 5 | Non | Bruits de pops et de clics possibles (essayez 8 Buffers à 1024) | On | Either |
| Sony Acid 4 | Oui | On | Off | |
| Sony Vegas 5 | Oui | On | Off | |
| Sony SoundForge 7 | Non | PowerFX E-MU plante au lancement. | On | Off |
| Adobe Audition 1.5 | Non | Distorsion audio et plantage immédiate. | Any | Any |
| FruityLoops Studio 4.5 | Oui | Off | On | |
| Ableton Live 3.5 | Non | Distorsion lors des variations de paramétres d'affets | On | Off |
| Cakewalk Sonar 3 | Oui | Off | Off |
Rendu audio avec PowerFX E-MU
Le rendu (parfois appelé export) est un mixage final réalisé par l'application hôte, qui create un nouveau fichier audionumérique à partir d'un morceau multipiste. Le rendu permet l'utilisation d'un nombre quasiment illimité d'effets VST, car le traitement audio ne se fait pas en temps réel.
PowerFX E-MU et les effets DSP de PatchMix sont des processus uniquement en temps réel. Lorsque vous utilisez les effets PowerFX E-MU lors du rendu audio, le processus de rendu doit se faire en temps réel. Certaines applications hôte ne sont pas conçues pour gérer le rendu audio en temps réel, ce qui peut cause des problèmes. PowerFX E-MU peut être utilisé avec ces applications, en respectant certaines conditions.
Astuces pour le rendu audio avec PowerFX
- En présence de message d'erreur, augmentez la valeur du paramètre "ASIO Buffer Latency" dans la boîte de dialogue de configuration Setup. Selon votre configuration, vous devrez augmenter ou réduire les réglages Buffer Latency pour trouver la valeur qui fonctionne.
- Plutôt que de réaliser le rendu audio avec PowerFX E-MU, faites un report de pistes sur une autre piste avec les effets PowerFX E-MU.
- Cochez "Realtime Render" dans la boite de dialogue Render lorsque vous utilise Cubase SX2 ou Cubase SL2. Vous obtiendrez de plusieurs résultats.
Astuces d'utilisation du mode Freeze dans Cubase SX2
- Donnez une longueur aussi courte que possible au projet. La fonction Freeze réalise toujours un rendu audio de la totalité de la longueur du projet.
- Astuce très pratique : Bypassez temporairement PowerFX E-MU, même lorsque vous appliquez le Freeze à une autre piste. Ceci vous permet de réaliser le Freeze de la piste plusrapidement qu'en temps réel.
Utilisation de PatchMix DSP avec WaveLab et SoundForge
Il se peut que vous rencontres des décrochages audio lors du rendu dans SoundForge ou les différentes versions de Steinberg WaveLab. Ce problème est causé par les discontinuities des premières mémoires tampon audio lorsqu'elles sont transmises par WaveLab vers PatchMix DSP. Pour éliminer le problème :
- Cochez "Render Mode" dans les préférences PowerFX E-MU. Voir page 79.
- Il est recommandé de n'utiliser que les Drivers MME/WAVE E-DSP Wave [xxxx].
- Réduisez la taille du paramètre "Buffer Size" de WaveLab, dans la boîte de dialogue Audio Preferences. Ceci place les décrochages en début de fichier.
- Placez un blanc de 0,5 à plusieurs secondes en début (ou en fin) de fichier. Les discontinuitemés des Buffers sont alors transférées lors du blanc, avant le début du morceau.
E-Wire VST E-MU
E-Wire est une passerelle VST/ASIO spéciale permettant de router les sigaux audionumeriques par ASIO vers PatchMix, ainsi que dans l'autre sens. E-Wire VST fait appel à une technologie intelligente d'alignement temporel qui compense automatiquement les retards système et garantit la synchronisation des signaux audio dans la chaine VST. De plus, E-Wire vous permit également d'insérer des équipements audio externes dans l'environnement VST.
E-Wire est basé sur trois composants principaux :
- Un Plug-In VST qui gère le routage audio vers PatchMix DSP.
- Une voie de mixage ASIO dans PatchMix DSP configurée pour router l'audio vers le Plug-In E-Wire. Il vous suffit de déposer les effets dans cette voie.
- Pour les applications hôte non compatibles avec la compensation automatique des retards, vous pouvez insérer un Plug-In de compensation manuel sur les pistes/voies de Cubase qui n'utilisent pas E-Wire pour compenser le retard ASIO.
Cette illustration vous donnea une(Meilleure idée du fonctionnement de E-Wire:
Plug-In VST E-Wire

E-Wire est une passerelle entre les E/S physiques de la carte et le monde VST. Le Plug-In E-Wire VST transmit l'audio à la voie contenant l'effet. Un départ ASIO route de nouveau les signaux audio vers E-Wire VST.
Remarque : Il est plus simple d'utiliser PowerFX que E-Wire si vous souhaitez uniquement utiliser les effets internes de la carte (E-Wire est le précurseur de PowerFX E-MU). Ceci dit, E-Wire peut être très utile car il vous permet de router les insertions VST ou les départs vers les entreprises et sorties physiques via PatchMix DSP.
Configuration et utilisation de E-Wire :
Configuration de PatchMix DSP
- Ouvrez PatchMix DSP.
- Insérez une voie de mixage d'entrée ASIO dans PatchMix DSP (vous pouvez aussi sélectionner "New Session", "E-Wire Example" et passer à l'étape 6).
- Coupez la voie ou placez le Fader au minimum.
- Insérez un Plug-In de départ ASIO dans la voie ASIO.
- Nommez la voie ASIO "E-Wire".
- Insérez les effets PatchMix DSP dans les insertions au-dessus du départ ASIO.
- Sauvegardez la session.
Configuration de Cubase
- Lancez Cubase.
- Placez E-Wire VST dans une insertion ou un départ Aux de Cubase.
- Éditez le Plug-In E-Wire et activez le Plug-In en appuyant sur le bouton rouge.
- Réglez le départ et le return ASIO du Plug-In E-Wire pour correspondre à la voie configurée pour E-Wire.
- Vous avez terminé.
VouvelezinsererunE-DelayCompensator surlesautrespistesaudioquinutilisent pasE-Wire,pourconserverl'alignmenttemporel.
13. Insérez simplement un Plug-In E-Delay Compensator dans la même insertion que E-Wire, mais sur les autres pistes audio. C'est tout.
E-Delay Compensator
Lors du transfert dans un sens ou dans l'autre des signaux audio entre l'application hôte VST et la carte E-MU, un retard dans l'audio se produit. Normalement, ce retard est compensé automatiquement par l'application hôte, mais certaines applications hôte VST ne sont pas compatibles avec cette compensation automatique.

L'hôte est compatible avec la compensation de retard des Plug-Ins PowerFX et E-Wire s'il est compatible avec la fonction SetInitialDelay de VST 2.0.
À l'heure actuelle, la compensation automatique des retardes est garantie par les produits de la famille Steinberg 2.0 (Nuendo 2.x, Cubase SX 2.0, Cubase LE 2.0), Magix Samplitude 7.x et Sonar (à l'aide de l'adaptateur Cakewalk VST 4.4.1), mais malheureusement pas par Steinberg Cubase VST 5.1 et Cubasis.
Le Plug-In E-Delay Compensator est utilisé pour compenser manuellement le retard de transfert des hôtes NON COMPATIBLES avec la compensation des retards.
Le Plug-In E-Delay Compensator est utilisé pour retarder les pistes non traitées (sans PowerFX ou E-Wire en insertion) ou les voies auxiliaires. Pour chaque piste ou départ non traité, ajoutez un Plug-In E-Delay Compensator pour aligner à nouveau la piste. Le E-Delay Compensator est automatique et ne nécessite aucun réglage.
Par exemple, imaginez une session Cubase avec deux pistes audio. Si PowerFX ou E-Wire est appliqué en insertion à la première piste audio, mais pas à la seconde, la première piste est retardée par rapport à la seconde. Le Plug-In E-Delay Compensator doit être inséré sur la seconde piste pour compenser le retard de la première.

Utilisation de E-Delay Compensator
Pour les applications hôte non compatibles avec la compensation automatique du retard.
- Utilisez E-Delay Compensator sur les pistes audio non traitées, lorsque les pistes traitées utilisent PowerFX ou E-Wire.
- Insérez un E-Delay Compensator sur les pistes n'utilisant pas PowerFX ou E-Wire.
Paramètre E-Delay Units
La valeur Units de la boîte de dialogue E-Delay doit être régée en fonction du nombre de fois où vous transféré un signal ASIO vers le mélangeur PatchMix DSP et inersement pour une voie unique. Une seule insertion PowerFX ne nécessite qu'une seule unité de retard car l'échange entre la voie et la carte ne se fait qu'une seule fois. Si vous utilisez deux insertions Cubase en série sur une piste utilisant à la fois PowerFX ou E-Wire, réglez le paramètre sur 2 sur toutes les autres pistes audio. Chaque échange vers PatchMix DSP et retour vers Cubase correspond à une unité.
Dans la pratique, cependant, vous n'aurez probablement jamais à utiliser plus d'un seul E-Wire VST sur une piste, étant donné que les effets PowerFX peuvent être placés en série. Nous avons ajouté cette fonction "au cas où".
Voici un autre exemple d'utilisation de E-Delay Compensator avec des nombres différents de départ PowerFX/E-Wire sur chaque piste. La compensation du retard sur chaque piste doit être égale au nombre maximum de départ PowerFX/E-Wire de la piste. Voir l'illustration ci-dessous.

Cubase VST ou Cubasis
Étant donné que la piste 1 utilise deux insertions PowerFX/E-Wire, le retard de toutes les autres pistes doit être égal à deux. La piste 2 à une insertion PowerFX/E-Wire, ce qui fait qu'en ajoutant une unité à E-Delay, vous conservez la synchronisation. La piste 3 n'utilise pas PowerFX/E-Wire, ce qui fait que vous doivent utiliser deux unités E-Delay pour rester aligné.
Grouper les pistes
Lorsque plusieurs pistes nécessitent l'utilisation de E-Delay Compensator, vous pouvez envoyer la sortie de chaque piste à un groupe ou un bus et ainsi, vous n'utilisez qu'un seul E-Delay Compensator en sortie du groupe ou du bus.
- Vous doivent installer E-MU Digital Audio System et PatchMix DSP.
- E-Wire est compatible avec Cubase SX/SL/LE, Cubase VST, Wavelab et Cakewalk Sonar (via l'adaptateur DirectX-VST), entre autres.
6 - Annexes
Fréquences d'échantillonnage élevées
Tour d'horizon
Lorsque vous utilisez les fréquences de 176,4 kHz ou 192 kHz le nombre de voies d'entrées/sorties sont réduits du fait de la limitation de la bande passante des ADAT. Le nombre de canaux ADAT diminue également à 88 kHz/96 kHz et 176 kHz/192 kHz (du fait de la limitation de la bande passante des composants optiques). Lorsque vous travailliez à 88,2 kHz, 96 kHz, 176,4 kHz ou 192 kHz :
- Les effets sont désactivés (les périats et retours restent disponibles).
- Le format ADAT ne permet que 4 canaux à 88 kHz/96 kHz, et 2 canaux à 176 kHz/192 kHz.
- Les canaux ASIO sont réduits à 8 canaux ASIO (4 stéreo) à 88/96 kHz et à 4 canaux ASIO (2 stéreo) à 176/192 kHz.
- À 176,4 kHz et 192 kHz, le nombre d'entrées et de sorties physiques est réduit.
- À 176,4 kHz et 192 kHz, la liaison S/PDIF optique est désactivée.
L'interface optique ADAT a été conçue pour porter 8 canaux à une fréquence d'échantillonnage de 48kHz . Nous utilisons la norme Sonorus® S/MUX™ pour coder l'audio avec des fréquences d'échantillonnage plus élevées avec la liaison optique ADAT. Dans ce cas, deux canaux ADAT sont utilisés pour transporter un flux à 88,2kHz ou 96kHz et quatre canaux ADAT sont utilisés pour transporter un flux audio à 176kHz ou 192kHz . Afin d'utiliser l'interface ADAT à ces fréquences d'échantillonnage plus élevées, vous doivent désposer d'autres équipements qui prennten en charge la norme Sonorus S/MUX.
Sélection d'une session à 176/192 kHz
Vous pouvez selectionner les trois configurations d'entrée enCHOIssant unmodele de session contenant les E/Ssouhaitees dans la fenetre New Session. Une fois la session selectionnee, vous ne pouve zplus changer de type sans lancer une nouvelle session.
- Sélectionnez New Session dans la barre d'outils de PatchMix DSP.
- Sélectionez l'onglet 176k/192k.
- Sélectionnez le modele souhaite et cliquez sur OK.

Analog et S/PDIF


ou…
Analog et ADAT


ou…
S/PDIF et ADAT


Au taux de l'échantillon 192kHz, vous pouvez désir une de ces trois options :
-
Gardez tout I' I/O analogue, mais perdez S/PDIF
-
La subsistence S/PDIF et ADAT, mais perdent la
-
Gardez tout I'o analogue, mais perdez ADAT
ligne les entrées 2L/2R et rayent les sorties 3L/3R
Entrées/sorties E-MU 1616 à 176,4/192 kHz
| Source | Entrées Analog et SPDIF | Sorties Analog et SPDIF | Entrées SPDIF et ADAT | Sorties SPDIF et ADAT | Entrées Analog et ADAT | Sorties Analog et ADAT |
| ADAT | 0 | 0 | 2 | 2 | 2 | 2 |
| Microphone | 2 | - - - - - | 2 | - - - - - | 2 | - - - - - |
| Ligne 1 | 2 | 2 | 2 | 2 | 2 | 2 |
| Ligne 2 | 2 | 2 | 0 | 2 | 2 | 2 |
| Ligne 3 (sortie) | - - - - - | 2 | - - - - - | 2 | - - - - - | 2 |
| S/PDIF | 2 | 2 | 2 | 2 | 0 | 0 |
| Totales | 8 | 8 | 8 | 8 | 8 | 8 |
Système E-MU 1212M à 88,2k ou 96k (carte PCI 1010 et carte E/S)
Lors de l'utilisation du système E-MU 1212 à 88,2 kHz ou 96 kHz, vous dispose de deux entrées et sorties analogiques et de deux entrées et sorties S/PDIF. Les canaux d'entrée/sorting ADAT sont réduits de huit à quatre avec la norme S/MUX.
Entrées/sorties E-MU 1212M à 88,2 kHz ou 96 kHz
| Source | Entrées | Sorties |
| ADAT | 4 | 4 |
| S/PDIF | 2 | 2 |
| Ligne | 2 | 2 |
| Total | 8 | 8 |
Système E-MU 1212 à 176,4k/192k (carte PCI 1010 et carte E/S)
À 176,4/192 kHz, vous dispose de deux entrées et sorties 24 bits. Le format S/PDIF n'est pas prévu pour travailler à 176,4/192 kHz ; ainsi, toutes les entrées et sorties S/PDIF sont désactivées. Les canaux d'entrée/sorting ADAT sont réduits à deux (norme S/MUX).
Entrées/sorties E-MU 1212M à 176,4 kHz ou 192 kHz
| Source | Entrées | Sorties |
| ADAT | 2 | 2 |
| S/PDIF 1 | 0 | 0 |
| Ligne | 2 | 2 |
| Total | 4 | 4 |
Fonctionnement en lecture et enregistrement WDM
L'enregistrement et la lecture WDM sont acceptés par PatchMix à toutes les fréquences d'échantillonnage. Voici une description du fonctionnement du Driver en fonction de la fréquence d'échantillonnage de PatchMix.
Lorsque PatchMix et le contenu audio WDM (format de fichiers .WAV, paramètres de lecture et d'enregistrement dans WaveLab. etc.) utilisent la meme frquence d'échantillonnage, et lorsque la configuration de mixage de PatchMix contient une voie ou un départ Wave, les signaux audio WDM sont lus et enregistrés à la précision de l'échantillon pres, sans conversion de la fréquence d'échantillonnage et sans modification de la résolution.
Lorsque vous utilisez PatchMix à 44 kHz/48 kHz, s'il y a une différence entre la lecture de l'audio WDM et la fréquence d'échantillonnage de PatchMix, la fréquence d'échantillonnage est convertie, pour que les signaux WDM puisent toujours êtrelus ou enregistrés. De la même façon, les fréquences non compatibles sont rapportées en 16-bits.
Lorsque vous utilisez PatchMix à 88,2 kHz, 96 kHz, 176,4 kHz ou 192 kHz, la lecture ou l'enregistrement WDM doit être réalisé à la même fréquence d'échantillonnage que PatchMix. Si les fréquences d'échantillonnage ne correspondent pas, AUCUN SIGNAL AUDIO n'est produit ou enregistré. En d'autres termes, le Driver WDM n'effectue pas la conversion de la fréquence d'échantillonnage lorsque PatchMix tourne à 88,2 kHz, 96 kHz, 176,4 kHz ou 192 kHz.
Supplément sur la carte fille de synchronisation
Conversion SMPTE
L'une des fonctions principales de la carte fille de synchronisation est la conversion du code SMPTE (LTC) en code temporel MIDI (MTC) et vice-versa. Le terme « MTC hôte » se rapporte au code MTC généra ou utilise par l'application hôte (Cubase, etc.). Le code MTC est également disponible sur la prise MIDI à l'arrête de la carte de synchronisation.
Fonctions SMPTE
- Conversion du code SMPTE en messages d'un quart de trame et en messages de trame pleine MTC.
Les messages quart de trame constants sont générés par une entrée de données SMPTE stable. Les messages de trame pleine MIDI occasionnels sont générés lorsque le code SMPTE contient des pertes de données.
- Conversion des messages MTC (quart de cadre et cadre plein) de l'ordinateur hôte vers la sortie SMPTE.
Sortie simultanée SMPTE et MTC lors de la réception MTC de l'ordinateur hôte
Transmission des données d'entrelacement SMPTE et MTC.
L'heure de début et le type SMPTE peuvent être définis dans la boite de dialogue Paramètres du système.
Options SMPTE
Lorsque la carte fille de synchronisation est installée sur votre système, un bouton SMPTE apparait dans la table de mixage PatchMix DSP. Appuyez sur le bouton SMPTE pour faire apparaitre la fenêtre SMPTE.

t Attention: SMPTE et MTC ne proposent pas de synchronisation des échantillons pour l'entrée et la sortie numériques. Vous doivent utiliser les synchronisations Word Clock, S/PDIF ou ADAT.
| Mode (ips) | Définit la fréquence de trame SMPTE transmise. |
| SMPTE Striping | Modifie ce champ pour définir l'heure de début en heures:minutes:secondes:trames du code SMPTE. |
| Bouton Stripe | Lance la génération du code temporel SMPTE sur la sortie SMPTE, commençant à l'heure définie dans l'affichage des pistes. |
| Bouton Stop | Arrête le code SMPTE. Ce bouton arrêté également le code SMPTE lorsque la synchronisation One Tine Lam Sync a été lancée. |
| Mode Flywheel | Sélectionne l'un des quatre modes Flywheel. Voir ci-après. |
| Niveau de sortie | Niveau de sortie SMPTE (-10 dBV - grand public, ou +4 dBu -professionnel). |
| Trames Fly/Jam | Si le mode Flywheel est activé et qu'un décrochage est détecté, le nombre de trames Flywheel est transmis en sortie avant l'arrêt et le redémarriage de la carte de synchronisation. |
| Terminaison Word Clock | Active ou désactive la terminaison Word Clock. Sauf exception, cette commande doit rester activée. Voir "Entrée/sorting « word clock »". |
| Source de sortie SMPTE/MTC | Cette commande sélectionna la source de la sortie SMPTE. Les可以选择 possibles sont : MTC hôte ou entrée SMPTE (pour régénérer la SMPTE). |
Modes de fonctionnement SMPTE
Mode hôte
L'ordinateur hôte est la source de synchronisation. Les messages MTC sont envoyés à la carte fille de synchronisation à partir de l'application de l'ordinateur et sont convertis en SMPTE. Le code MTC est transmis en sortie du port MIDI sur la carte fille de synchro.
Mode externe
Les messages SMPTE de l'entrée SMPTE sont convertis en MTC (messages quart de trame) et envoyés vers l'application hote. Cette opération se produit automatiquement à chaque fois que le LTC est reçu en entrée SMPTE. Des données SMPTE propres sont aussi transmises à partir de la sortie SMPTE si l'option « SMPTE (Régénérule) » est activée.
Mode Flywheel
Si les données SMPTE reçues sont corrompues ou que des trames sont manquantes, le code MTC est toujours transmis en sortie si l'option « Mode Flywheel » est activée.
Modes Flywheel
| Inactif | A chaque décrochage, le MTC s'accrête et la carte de synchro attend la réception d'un code correct. Si un code correct est reçu, elle se verrouille à nouveau. |
| 0-127 fixe | A chaque décrochage, le MTC continue de transmettre en sortie les messages quart de trame à la même vitesse (mode Flywheel). Lorsqu'un décrochage est détecté, le nombre de trames est transmis en sortie avant que la carte de synchro n'accrête la transmission du MTC et attend la réception d'un code correct. Si un code correct est reçu, elle se verrouille à nouveau. |
| Continu | A chaque décrochage, le MTC continue de transmettre en sortie les messages quart de trame à la même vitesse (mode Flywheel). La carte de synchronisation attend la réception d'un code correct et continue en mode Flywheel jusqu'à la réception d'un code correct, puis se verrouille. |
| 1-Time Jam Sync | A chaque décrochage, le MTC continue de transmettre en sortie les messages quart de trame à la même vitesse (mode Flywheel) sans attendre le signal SMPTE jusqu'à ce que le bouton Stop soit activé. |
Mode Stripe
Ce mode est utilisé pour enregistrer le code temporel SMPTE sur une piste audio d'un enregistrateur. La transmission du code SMPTE est lancée lorsque vous cliquez sur Stripe et commence à l'heure définie dans le paramètre SMPTE Striping. Le code MTC est également transmis par la sortie MIDI de la carte fille. La transmission des codes SMPTE et MTC se poursuit jusqu'à ce que vous cliqueez sur Stop.
MIDI Time Code (MTC)
Le code temporel MIDI est le code temporel SMPTE adapté au MIDI. Le code MTC indique les informations temporelles « absolues » en heures:minutes:seconds:trames, tout comme le code SMPTE. Il existe deux types de messages principaux dans le code MTC : les messages pleine trame et les messages quart de trame. Les messages pleine trame ont une longueur de dix bits et sont transmis lorsque le code SMPTE commence, s'arrête ou se replace. Les messages pleine trame contiennent la valeur totale du code SMPTE : heures, minutes, secondes, trames, ainsi que le type de SMPTE : 24 ips, 25 ips, 30 Non Drop, 30 Drop.
Les messages quart de trame sont transmis à chaque quart de trame SMPTE et ne portent qu'1/8ème du message temporel SMPTE. Les messages quart de trame requisérènt deux trames SMPTE entières pour transmettre la position temporelle totale (h:m:s:t). La précision horsaire est maintainue tant que les messages quart de trame sont transmis à une vitesse constante.
Note: Quand la carte de synchro est installee, le MIDI 2 sur le MicroDock est handicapé. (MTC emploie le port du MIDI.)
Pour activer le code MTC :
- Ouvrez une session dans la barre d'outils.
- Sélectionnez l'onglet MIDI et choisissez Sync Card/MTC dans les options MIDI.
- Cliquez sur OK pour fermer la fenetre.
Comme il est important d'avoir une reférence horsaire régulière pour votre morceau ou votre séquence, une sortie MIDI a été spécialement attribuée au code MTC sur la carte fille de synchronisation. Ceci permet de ne pas affecter les informations horaires par les autres données MIDI de la ligne.
Les codes MTC et SMPTE ne fournissent pas de données de synchronisation de la fréquence d'échantillonnage et ne sont pas liés aux données Word Clock.
Les codes SMPTE et MTC synchronisent la musique mais n'offrent pas une résolution suffisante pour synchroniser des appareils audionumeriques à l'échantillon pres.
Entrée-sortie « word clock »
Les données Word clock permettent de synchroniser divers apparéils audionumériques pour transférer les données de manière numérique. Pour permettre le transfert numérique d'un apparéil à un autre, les deux apparéils DOIVENT seront synchronisés. Les "clics" et autres bruits parasites prênts dans le son apparaisent lors des transferts audionumeriques non synchronisés.
Dans les studios numériques, tous les équipements numériques du système doivent utiliser la même horloge Word Clock maître.
Pour synchroniser PatchMix DSP sur une horloge externe :
- Vérifiez que la source d'horloge exter est connectée à la carte numérique E-MU par l'entrée Word Clock ou S/PDIF.
- Ouvrez la fenêtre Session Settings.
- Dans l'onglet System, Sélectionnez External Source, puis Word Clock ou S/PDIF.
- Cliquez sur OK pour fermer la fenetre.
- Verifiez la section Sync de PatchMix DSP pour vous assurer que le témoin Locked est allumé.
Les péripériques peuvent être connectés en série (la sortie Word Clock étant connectée à l'entrée Word Clock de l'appareil suivant) ou en parallèle. Cependant, les studios numériques professionnels utilisent habituèlement un générateur de Word Clock maître avec un système de distribution tel que chaque péripérisque recoit les données Word Clock en phase et dépourvues de toute fluctuation.

Pour les configurations audionumériques importantes, il est conseilé d'utiliser une horloge Word Clock maitre.
Entrée Word Clock : Reçoit le signal Word Clock (horloge d'échantillonnage) en provenance d'un autre apparéil numérique tel qu'un apparéil video numérique, un enregistrur numérique ou une console de mixage numérique.
Sortie Word Clock : Transmet le signal Word Clock (horloge d'échantillonnage) à un autre enregistrreur numérique. Les données Word Clock sont toujours transmises en sortie, qu'elles soient générées par l'horloge interne ou qu'elles passent par l'entrée Word Clock.
75 Ω On/Off: La terminaison de l'entrée Word Clock peut être activée ou désactivée dans le menu de la carte de synchronisation de l'application PatchMix DSP. La terminaison Word Clock doit normalement rester activée. Si vous rencontres des problèmes de signal Word Clock faible, essayez de désactiver la terminaison.
Voir Terminaison Word Clock.
L'illustration de la page suivante indique comment connecter et terminer une chaine Word Clock. L'utilisation d'un connecteur BNC en "T" vous garantit la mise en phase entre les deux apparêls connectés. Sur l'ordinateur du milieu, la terminaison est désactivée (Off) — la terminaison est activée sur le dernier apparéil de la chaine (On).

Important: Quand le MicroDock est relié à la carte 1010 de PCI, l'E/S numérique sur la carte de PCI est handicapé. Employez l'E/S numérique sur le MicroDock.
Cette illustration montre la connexion correcte des données Word Clock si vous ne disposez pas d'une horloge Word Clock à plusieurs sorties. La terminaison Word Clock doit être activée sur le dernier élément de la chaine.
Synchronisation
Lorsque vous connectez des équipements audionumériques externes, vous devez vous assurer qu'ils sont synchronisés. La connexion de la sortie numérique du premier appareil à l'entrée numérique du second ne garantit pas leur synchronisation, même si les signaux audio sont lus. À moins de définir l'un des appareils comme maitre et l'autre comme esclave, ils ne sont probablement PAS synchronisés et la qualité audio en souffre. Les formats S/PDIF et ADAT sont probablement les plus courants. Ces formats fournissant une horloge Wordclock servant à la synchronisation. Vous devez activer la fonction "External Clock" sur l'ordinateil esclave pour utiliser l'horloge pour la synchronisation! Les illustrations ci-dessous indiquent deux façon de synchroniser un convertisseur A/N au système audionumérique E-MU par liaison optique ADAT.
Dans le premier exemple, seuls les convertisseurs A/N externes sont utilisés. Vous n'avez besoin que d'une seule liaison optique tant que PatchMix est configuré pour receivevoir le signal Wordclock de l'appareil externe. Le convertisseur A/N externe est le maitre et le système E-MU DAS est l'esclave.


Dans le second exemple, une deuxième liaison optique fournit la source Wordclock, et les huit canaux audio aux convertisseurs A/N - N/A externes. L'appareil externe DOIT est configuré pour receivevoir l'horloge externe par ADAT sinon, la synchro ne se fait pas. Le système E-MU est maître et le convertisseur A/N - N/A externe est esclave.
Important: Quand le MicroDock est relié à la carte 1010 de PCI, I'E/S numérique sur la carte de PCI est handicapé. Employez I'E/S numérique sur le MicroDock.
Informations utiles
Câbles — Symétriques ou asymétriques ?
Toutes les entrées du système E-MU sont conçues pour une utilisation avec des câbles symétriques ou asymétriques. Les signaux symétriques offrent un gain supplémentaire de +6 dB et sont recommendés pour deGXleurs résultats audio, même si les câbles asymétriques convennent pour la plupart des applications. En cas de bruits et de renflements ou pour obtenir deGXleurs résultats, utilisez des câbles symétriques.
Cables symétriques
Les câbles symétriques sont utilisés dans les studions professionnels car ils éliminent les bruits de fond et les interférences. Les connecteurs symétriques sont : XLR (micro, 3 broches) ou Jack stéreo 6,35 mm.
XLR Symétriques

Entée

Sortie
1 = Masse/blindage
2 = Point chaud (+)
3 = Point (-)
Jack stéreo 6,35 mm symétrique

Jack 6,35 mm asymétrique

Les liaisons symétriques utilisent un fil de masse (blindage, et deux fils de signaux de tension égale, mais déphasés à 180^ (avec un point chaud et un point froid). Ces deux fils peuvent prélever des interférences, mais le déphasage opéré par l'étage d'entrée de l'appareil connecté supprime ces interférences.
Cables asymétriques
Les cables asymétriques disposent d'un conducteur et d'une connexion à la masse (blindage) et sont généralement connectés par Jacks mono 6,35 mm ou par RCA. La tension de la masse (blindage) reste constante alors que la tension du signal du conducteur central varie. Le blindage entoure complètement le conducteur central portant le signal et est connecté à la masse afin d'interceptor la majorité des interférences électriques que le cable rencontres. Les cables asymétriques sont plus sensibles aux renflements et interférences que les cables symétriques, mais plus le cable est court, moins les renflements peuvent s'introduire dans le système.
▼ ATTENTION :
N'utilise PAS de cables audio symétriques pour la connexion de sorties symétriques à des entrées asymétriques. Ceci peut augmenter le niveau de bruit et introduire des ronflements. Utilizez des cables symétriques (à 3 conducteurs SEULEMENT si vous connectez des entrées symétriques à des sorties symétriques.
Cables adaptateurs
Adaptatour mini-Jack 3,5 mm/Jack 6,35 mm
Pour connecter les casque en mini-Jack 3,5 mm au MicroDock, vous devez utiliser un adaptateur mini-Jack/Jack 6,35 mm. Vous touvrez ce type de cable dans les magasins de hi-fi et de musique.

Adaptatour RCA/Jack 6,35 mm
Les équipements utilisant des connecteurs RCA peuvent se connecter au MicroDock en utilisant ce type de cable très repandu dans le commerce.

Cables numériques
Utilisez des cables (S/PDIF) électriques de faible capacité et des cables à fibre optique (ADAT) de haute qualité afin d'éviter toute corruption des données. Il est également préférible que les cables numériques soient aussi courts que possible (1,5 mètes pour les liaisons optiques en plastique ; 5 mètes pour les liaisons optiques en fibre de verre de haute qualité). Utilisez des cables à faible capacitance, de qualité video pour les liaisons coaxiales S/PDIF et éviter toute détérioration des données.
Câble adaptateur AES/EBU vers S/PDIF
Ce simple cable adaptateur vous permet de receivevoir les signaux audionumeriques AES/EBU via l'entrée S/PDIF sur la carte E-MU 1010 PCI. Ce cable peut également permettre la connexion de la sortie S/PDIF de la carte E-MU 1010 PCI à l'entrée AES/EBU d'un autre appeareil numérique.

Mise à la masse
Pour obtenir de plusieurs résultats et des bruits de fond minimaux, vérifie que vous ordinateur et tous les apparêls audio externes possèdent la même ↔reference de mise à la masse. Ceci signifie que vous devez utiliser des cordons mis à la masse sur les deux systèmes et que vous devez vérifier que les deux systèmes sont connectés à la même ligne secteur, avec la même terre. Le non respect de ces consignes courantes peut proveroquer une boucle de masse. Les ronflements à 60 Hz dans un signal audio sont presque always dus à une boucle de masse.
Alimentation fantôme
L'alimentation fantôme est une tension continue (48 Volts) utilisée normalement pour alimenter les micros à condensateur. Certaines boîtes de direct utilisent l'alimentation fantôme. Les broches 2 et 3 des entrées micro du MicroDock portent chacune une tension de 48 Volts dont la reférence est la broche 1. Les broches 2 et 3 portent le signal audio avec la tension d'alimentation. Les entrées du MicroDock annulent la tension continue avant la conversion numérique du signal. Le signal audio est coupé pendant une seconde lorsque l'alimentation fantôme est activée. Une fois l'alimentation fantôme coupée, attendez deux minutes avant l'enregistrement pour permettre à la tension continue de se vider (cette tension pourrait affecter la réserve dynamique maximale.

Les micros dynamiques symétriques ne sont pas affectés par l'alimentation fantôme. Un micro dynamique asymétrique peut ne pas fonctionner correctement, mais ne sera probablement pas endommagé si l'alimentation fantôme n'est pas coupée. Les micros à ruban NE doivent PAS être utilisés avec l'alimentation fantôme. Le ruban pourrait s'en couver endommagé. Les micros à ruban sont relativement spécialisés
et généralement couâteux. La plupart des micros sont soit de type dynamique, soit de type à condensateur, et ne sont pas sensibles à l'alimentation fantôme.
Réglages d'affichage dans Windows
Modifiez le réglage "Options de Performances" de Windows pour améliorer l'affichage lorsque vous déplacez la fenêtre de mixage à l'écran.
Pour améliorer les paramètres d'apparce :
- Ouvrez le Panneau de configuration de Windows. (Démarrer, Paramètres, Panneau de configuration)
- Sélectionnez Systeme. Sélectionnez l'onglet Paramètres avances.
- Sous Effets visuels, Sélectionnéz Ajuster afin d'obtenir les valeurs performances. Cliquez sur OK.
éristiques techniques
Caracteristiques : Système 1616m
GENÉRALITÉS
| Fréquence d'échantillonnage | 44.1 kHz, 48 kHz, 96 kHz, 192 kHz du quartz interneHorloge externe S/PDIF, ADAT |
| Résolution | 16 ou 24-bits |
| DSP | DSP audio spécifique à 100 MIP.Ecoute directe matérielle sans latence avec effets. |
| Convertisseurs et amplis opérationnels | ADC - AK5394 (AKM)DAC - CS4398 (Cirrus Logic)Ampli opérationnel - NJM2068M, NJM2122, NJM2082 (JR) |
| Drivers WDM | 2-in/8-out at 44.1kHz, 48kHz, 88.2kHz, 96kHz2-in/4-out at 176.4kHz & 192kHz |
| Consommation MicroDockm | 0,32 A à +48 Vcc 15,4 Watts |
ENTRÉES LIGNE ANALOGIQUES
| Type | Symétrisation électronique, découvertes, faible bruit |
| Niveau (réglage logiciel) | Professionnel : 18 dBV maximum (symétrique) |
| Professionnel : 6 dBV maximum (asymétrique) | |
| Réponse en fréquence | 20 Hz - 20 kHz, 0/-0,03 dB |
| DHT + Bruit | -110 dB (0,0003 %) (-1 dBFS1bande de 20 kHz) |
| Signal/Bruit | 120 dB (mesure A-pondérée bande de 20 kHz) |
| Plage dynamique | 120 dB (mesure A-pondérée bande de 20 kHz) |
| Diaphonie | -120 dB, (1 kHz) |
| Réjection de mode commun | -79 dB à 60 Hz |
| Impédance d'entrée | 10 kOhms |
SORTIES LIGNE ANALOGIQUES
| Type | Symétrisation électronique, découvertes en tension continue,faible bruit, fille passage-bas différentiel 2 pôles |
| Niveau (réglable par logiciel) | Professionnel : 18 dBV maximum (symétrique) |
| Grand public : 6 dBV maximum (asymétrique) | |
| Réponse en fréquence | 20 Hz - 20 kHz, 0/-0,03 dB |
| DHT + Bruit | -105 dB (0,0005 %) (-1 dBFS, bande de 20 kHz) |
| Signal/Bruit | 120 dB (mesure A-pondérée bande de 20 kHz) |
| Plage dynamique | 120 dB (mesure A-pondérée bande de 20 kHz) |
| Diaphonie | < -115 dB, 1 kHz |
| Impédance de sortie | 560 Ohms |
Caracteristiques : Système 1616m
PREAMPLI MICRO/LINE
Entree ligne haute impedance
Plage de gain : -15 à +51 dB
Niveau maximal : 19 dBV (21,2 dBu)
DHT+Bruit : -105 dB (0,00056 %), -1 dBFS, sur bande de 20 kHz
Signal/Bruit : 118 dB, (mesure A-ponderée, sur bande de 20 kHz)
Plage dynamique : 118 dB, (mesure A-ponderée, sur bande de 20 kHz)
Diaphonie : Gain minimum : -140 dB (1 kHz)
Gain maximum : -80 dB (1 kHz)
Réponse en fréquence : +0,10/-0,00 dB, 20 Hz - 20 kHz
Impédance : 1 MOhms
Réjection de mode commun : -44 dB (60 Hz)
PREAMPLIS MICRO
Plage de gain : -1,3 à +65 dB
Niveau maximal : -5,6 dbV (7,8 dBu)
DHT+Bruit : Gain min. : -112 dB (0,00025 %), (1 kHz, -1 dBFS, sur 20 kHz)
Gain de 40 dB : -96 dB (0,0015 %)
Gain de 60 dB : -75 dB (0,017 %)
Signal/Bruit : 119 dB (mesure A-pondérée, gain min.)
Réponse en fréquence : 20 Hz - 20 kHz ±0,08 dB (20Hz - 20kHz, gain +40 dB)
Input Impedance: 1,5 kOhms
Réjection de mode commun : -95 dB (60 Hz, gain de 35 dB, -1 dBFS)
Diaphonie : -100 dB ( 1 kHz, gain de 40 dB, -1 dBFS)
CASQUE
Réponse en fréquence : 0/-0,07 dB, 20 Hz - 20 kHz
DHT+Bruit : (1 kHz, niveau maximal) Charge de 24 Ohms : -85 dB (0,018 %) Charge de 600 Ohms : -94 dB (0,002 %)
Signal/Bruit : 118 dB (mesure A-pondérée)
Plage dynamique : 118,5 dB (mesure A-pondérée)
Diaphonie : Charge de 24 Ohms : < -43 dB (1 kHz à 0 dBFS) Charge de 600 Ohms : < -100 dB (1 kHz à 0 dBFS)
Puisance de sortie : 100 mW (charge de 24 Ω)
Impedance de sortie : 22 Ohms
Plage de gain : 85 dB
Caracteristiques : Système 1616m
AMPLICASQUECARTE
Réponse en fréquence: +0,05/-0 dB, 20 Hz - 20 kHz
DHT+Bruit : Charge de 24 Ohms : -80 dB (0,01 %)
Charge de 65 Ohms : -85 dB (0,0056 %)
Charge de 600 Ohms : -96 dB (0,0016 %)
Signal/Bruit : 116 dB (mesure A-pondérée), bande de 22 kHz
Plage dynamique : 116 dB (mesure A-pondérée), bande de 22 kHz
Diaphonie : -99 dB (1 kHz à -1 dBFS, cahrge de 660 Ohms)
Puisance de sortie : 50 mW (charge de 24 Ω)
Impedance de sortie : 22 Ohms
ENTRÉE PHONO
Réponse en fréquence : +/0,5 dB, 50 Hz - 20 kHz
Derive RIAA +0,2 / - 0,3 dB (50 Hz à 15 kHz)
DHT+Bruit -92 dB (0,0025 %) (bande de 20 kHz, asymétrique)
Signal/Bruit : 107 dB (mesure A-pondérée, sur bande de 20 kHz)
Diaphonie : < -80 dB (1 kHz à -1 dBFS)
Niveau maximal : Professionnel : 60 mV eff.
Impedance d'entree : 47 kOhms
E/S NUMÉRIQUES
S/PDIF -Deux entrées/deux sorties coaxiales (couplage par transfo.)
- Deux entrées/trois sorties optiques (commutables par logiciel avec ADAT)
AES/EBU ou S/PDIF (commutable par commande logicielle)
ADAT Huit canaux, 24 bits à 44,1/48 kHz
- Quatre canaux, 24 bits à 96 kHz
- Deux canaux, 24 bits à 192 kHz
MIDI 2 MIDI In, 2 MIDI Out
SYNCHRONISATION
Synchro. interne à quartz : 44,1 kHz, 48 kHz, 88,2 kHz, 96 kHz, 176,4 kHz, 192 kHz
ADAT, S/PDIF (optique ou coaxial)
JITTER efficace à 44,1 kHz Sq. Éch. Source Jitter efficace en picosecondes
(Mesuré avec banc Audio 44,1 kHz Quartz interne 596 ps
44,1 kHz Entrée optique 795 ps
Caracteristiques : Système 1212m
| GÉNÉRALITÉS | |
| Fréquence d'échantillonnage | 44,1 kHz, 48 kHz, 88,2 kHz, 96 kHz, 176,4 kHz, 192 kHz par quartz interne. Horloge externe par S/PDIF, ADAT (ou Word-clock avec carte de synchro optionnelle) |
| Résolution | 16 ou 24-bits |
| DSP | DSP audio spécial à 100 MIPS Le sous-système DMA de contrôle du bus PCI réduit l'utilisation du processeur. Contrôle du matériel direct sans latence avec effets. |
| Convertisseurs & amplis opérationnels | A/N - PCM1804 (TI/Burr-Brown) N/A - CS4392 (Cirrus Logic) Ampli opérationnel - NJM2068M (JRC) |
| Drivers WDM | 2-in/8-out at 44.1kHz, 48kHz, 88.2kHz, 96kHz 2-in/4-out at 176.4kHz & 192kHz |
| Conso. AudioDockM | 1,25 A à +12 V 15 W |
| ENTRÉES LIGNE ANALOGIQUES | |
| Type | Symétrielectronique, découvert en cc, faible bruit |
| Niveau (logiciel) | Professionnel: +4 dBu nominal, 20 dBu max. (symétrique) Gd public: -10 dBV nominal, 6 dBV max. (asymétrique) |
| Bande passante | +/- 0,05dB, 20 Hz - 20 kHz |
| DHT+Bruit | -110 dB (.0003 %) signal de 1 kHz à -1 dBFS |
| Signal/bruit | 120 dB (mesure pondérée A) |
| Plage dynamique | 120 dB (mesure pondérée A) |
| Diaphonie | < -115 dB, (signal 1 kHz à -1 dBFS) |
| Réjection mode commun | >40 dB à 60 Hz |
| Impédance d'entrée | 10 KOhm |
| SORTIES LIGNE ANALOGIQUES | |
| Type | Symétrique, faible bruit, filtre passer-bas 2 pôles différentiel |
| Niveau (logiciel) | Professionel: +4dBu nominal, 20dBu (symétrique) Gd public: -10d BV nominal, 6 dBV max. (asymétrique) |
| Bande passante | +0/-0,35 dB, 20 Hz - 20 kHz |
| DHT+Bruit | -105 dB (.0006 %) signal de 1 kHz à -1 dBFS |
| Signal/bruit | 120 dB (mesure pondérée A) |
| Plage dynamique | 120 dB (mesure pondérée A) |
| Diaphonie | < -120 dB, 1 kHz |
Caracteristiques : Systeme 1212m
| Impédance de sortie | 560 Ohms | |
| E/S NUMÉRIQUES | ||
| S/PDIF | 2 entrées/2 sorties coaxiales (découplées par transfo.)2 entrées/3 sorties optiques (par logiciel avec ADAT)AES/EBU ou S/PDIF (commutable par commande logicielle) | |
| ADAT | 8 canaux, 24 bits à 44,1/48 kHz4 canaux, 24 bits à 96 kHz2 canaux, 24 bits à 192 kHz | |
| Firewire | Port 400 IEEE 1394a (six broches)Compatible avec caméras video numériques ou HD | |
| MIDI | 1 entrée, 1 sortie (16 canaux) | |
| SYNCHRONISATION | ||
| Quartz interne : | 44,1 kHz. 48 kHz, 88,2 kHz, 96 kHz, 176,4 kHz, 192 kHzADAT, S/PDIF (optique ou coaxiale)Word Clock (carte de synchro uniquement) - (terminaison de 75 Ohm, commutable) | |
| JITTER efficace à 44,1 kHz(Mesuré avec banc Audio Precision 2) | Sq. Éch. SourceJitter efficace en picoseconds | |
| 44,1 kHz Quartz interne596 ps44,1 kHz Entrée optique795 ps | ||
Caracteristiques : Système 1616
GÉNÉRALITÉS
| Fréquence d'échantillonnage | 44.1 kHz, 48 kHz, 96 kHz, 192 kHz du quartz interne Horloge exter S/PDIF, ADAT |
| Résolution | 16 ou 24-bits |
| DSP | DSP audio spécifique à 100 MIP. Écoute directe matérielle sans latence avec effets. |
| Convertisseurs et amplis opérationnels | ADC - PCM1824 (TI) DAC - CS4392 (Cirrus Logic) Ampli opérationnel - NJM2068M (JCR) |
| Drivers WDM | 2-in/4-out at 44.1kHz, 48kHz, 88.2kHz, 96kHz 2-in/4-out at 176.4kHz & 192kHz |
| Consommation MicroDockm | 0,32 A à +48 Vcc 15,4 Watts |
| ENTRÉES LIGNE ANALOGIQUES | |
| Type | Symétrisation electronique, découplées, faible bruit |
| Niveau (réglage logiciel) | Professionnel : 18,1 dBV maximum (symétrique) |
| Professionnel : 6,28 dBV maximum (asymétrique) | |
| Réponse en fréquence | 20 Hz - 20 kHz, 0.,05/-0,05 dB |
| DHT + Bruit | -10,5 dB (0,0007 %) (bande de 20 kHz) |
| Signal/Bruit | 110 dB (mesure A-pondérée bande de 20 kHz) |
| Plage dynamique | 110 dB (mesure A-pondérée bande de 20 kHz) |
| Diaphonie | -120 dB, (1 kHz) |
| Réjection de mode commun | -50 dB à 60 Hz |
| Impédance d'entrée | 10 kOhms |
| SORTIES LIGNE ANALOGIQUES | |
| Type | Symétrisation electronique, faible bruit, filtre passa-bas férentiel 2 pôles |
| Niveau (réglable par logiciel) | Professionnel : 18,6 dBV maximum (symétrique) |
| Grand public : 6,5 dBV maximum (asymétrique) | |
| Réponse en fréquence | 20 Hz - 20 kHz, 0/-0,08 dB |
| DHT + Bruit | -98 dB (0,0012 %) (-1 dBFS, bande de 20 kHz) |
| Plage dynamique | 112,5 dB (mesure pondérée A, bande de 20 kHz) |
| Diaphonie | < -115 dB, 1 kHz |
| Impédance de sortie | 560 Ohms |
Caracteristiques : Système 1616
PREAMPLI MICRO/LINE
Entree ligne haute impedance
Plage de gain : -12 à +28 dB
Niveau maximal : 19,5 dBV
DHT+Bruit : -101 dB (0,0009 %), -1 dBFS, sur bande de 20 kHz
Signal/Bruit : 110 dB, (mesure A-pondérée, sur bande de 20 kHz)
Plage dynamique : 110 dB, (mesure A-ponderée, sur bande de 20 kHz)
Diaphonie : Gain minimum : -140 dB (1 kHz)
Gain maximum : -80 dB (1 kHz)
Réponse en fréquence: +0/-0,06 dB, 20 Hz - 20 kHz
Impédance : 1 MOhms
Réjection de mode commun : -75 dB (60 Hz)
PREAMPLIS MICRO
Plage de gain : -1,9 à +64,5 dB
Niveau maximal : -6,5 dbV
DHT+Bruit : Gain min. : -102 dB (0,0008 %), (1 kHz, -1 dBFS, sur 20 kHz)
Gain de 40 dB : -90,5 dB (0,0029 %)
Gain de 60 dB : -69 dB (0,035 %)
Signal/Bruit : 110 dB (mesure A-pondérée, gain min.)
Réponse en fréquence : 20 Hz - 20 kHz (gain min. : +0/+0,05 dB, gain de 40 dB : 0/+0,16)
Input Impedance: 1,5 kOhms
Réjection de mode commun : -67 dB (60 Hz, gain de 35 dB, -1 dBFS)
Diaphonie : -100 dB ( 1 kHz, gain de 40 dB, -1 dBFS)
CASQUE
Réponse en fréquence : 0/-0,07 dB, 20 Hz - 20 kHz
DHT+Bruit : (1 kHz, niveau maximal) Charge de 24 Ohms : -80 dB (0,01 %) Charge de 600 Ohms : -94 dB (0,002 %)
Signal/Bruit : 112.2 dB (mesure A-pondérée)
Plage dynamique : 112,54 dB (mesure A-pondérée)
Diaphonie : Charge de 24 Ohms : < -43 dB (1 kHz à 0 dBFS)
Charge de 600 Ohms: < -90 dB (1 kHz à 0 dBFS)
Puisance de sortie : 100 mW (charge de 24 Ω)
Impedance de sortie : 22 Ohms
Plage de gain : 85 dB
Caracteristiques : Système 1616
AMPLI CASQUE CARTE
Réponse en fréquence : +0,05/-0 dB, 20 Hz - 20 kHz
DHT+Bruit : Charge de 24 Ohms : -80 dB (0,01 %)
Charge de 65 Ohms : -85 dB (0,0056 %)
Charge de 600 Ohms : -96 dB (0,0016 %)
Signal/Bruit : 116 dB (mesure A-pondérée), bande de 22 kHz
Plage dynamique : 116 dB (mesure A-pondérée), bande de 22 kHz
Diaphonie : -99 dB (1 kHz à -1 dBFS, cahrge de 660 Ohms)
Puisance de sortie : 50 mW (charge de 24 Ω)
Impedance de sortie : 22 Ohms
ENTRÉE PHONO
Réponse en fréquence: +/-0,5 dB, 50 Hz - 20 kHz
Dérive RIAA +0,2/-0,3 dB (50 Hz à 15 kHz)
DHT+Bruit -90 dB (0,003 %) (bande de 20 kHz, asymétrique)
Signal/Bruit : 96 dB (mesure A-pondérée, sur bande de 20 kHz)
Diaphonie : < -80 dB (1 kHz à -1 dBFS)
Niveau maximal : Professionnel : 60 mV eff.
| MICRODOCK | |
| Poids total : | 2,56 kg |
| MicroDock seul : | 1,03 kg |
| Dimensions : | L : 184 mm H : 41 mm L : 196 mm |
| Carte 1010 PCI | |
| Poids : | 0,043 kg |
| Dimensions : | L : 54 mm H: 14 mm L : 117 mm |
| Carte fille 0202 | |
| Poids : | 0,10 kg |
| Dimension s: | L : 128 mm |
Références Internet
Internet est une mine d'informations pour le musicien ingénieur du son. Quelques sites utiles sont répertoriés ici, mais il en existe des centaines d'autres. Jetez-y un oeil.
Mises à jour, astuces & didacticiels.... http://www.emu.com
Configurations audio pour PC. http://www.musicxp.net
Principes de base MIDI .................... Search for "MIDI Basics" (many sites)
Enregistrement MIDI et audio.... http://wwwmidiworld.com
Enregistrement MIDI et audio.... http://www.synthzone.com
ASIO, Cubase & audio numérique.... http://www.steinberg.net
Groupe d'utilisateurs Cubase http://www/groups.yahoo.com/group/ cubase/messages
Forums
Forum non officiel E-MU. http://wwwproductionforums.com/emu/
Forum KVR http://www.kvr-vst.com/forum/
Forum Driver Heaven http://www.driverheaven.net/search.php?s
Forum MIDI Addict. http://forum.midiaddict.com/search.php
Déclaration de conformité (Amérique du Nord)
Nom commercial : E-MU Systems
Modèle : EM8850
EM8870
EM8871
Informations de normalisation
USA
FCC Part 15 Subpart B Class B using:
CISPR 22(1997) Class B
ANSI C63.4(1992) method
FCC Site No.90479
Canada
ICES-0003 Class B using:
CISPR 22(1997) Class B
ANSI C63.4(1992) method
Australie/Nouvelle Zélande
Attention : Utilisateurs en Europe
Ce produit a ete teste et repond aux normes EMC sur les cables de connexion inférieurs a 3 metres.
Attention
Si l'électricité statique ou les sources electromagnétiques interrompent les transferts de données (éché), relancez l'application ou déconnectez et reconnectctez à nouveau le cable Firewire.
Index
Numerics
1-Time Jam Sync, SMPTE 91
5.1 connexion des enceintes surround 25, 36
A
A/D - D/A Converter Type
1212m system 102
1616 system 104
1616m system 99
Activer/Désactiver les Astuces d'Outils 79
Adaptateur AES/EBU à S/PDIF 97
Adaptateur S/PDIF à AES/EBU 97
Adaptatour Secteur 48 Vcc 15
ADAT Optique
A 96kHz et 192 kHz 87
connecteur d'entrée/de sortie 17, 21
Affection des Effets Auxiliaires 51
Affichage des Entrées Hôte 50
Affichage des Entrées Physiques 50
Affichage des Sorties Hôte 50
Affichege des Sorties Physiques 50
Afficheur de Niveau
crete 40
insertion 40
mesure du niveau d'entrée 41
réglage des niveaux d'entrée 41
sortie générale 52
Afficheur de Niveau 52
Alimentation Fantôme 20
description 98
Alimentation Fantôme 48 Volts 20, 98
Attaque, Compresseur 66
Attenuation des Basses Fréquences 76
Attenuation des Hautes Frequences 71, 76
délaimono72
réverbération stéreo 76
Automation de PowerFX 80
Auto-Wah 64
B
Bande de Marquage 47
BarredOutils,vue d'ensemble 29
Barre de tâches Windows, icône E-MU 29
Baxendale 1 Bande 61
Boucle de Masse, prévention 98
Buffers Supplémentaires 79
Bus Aux 45
Bypass
insertion 44
insertion d'effet 57
insertion de département/retour 49
C
Cable EDI 15
Cables Asymétriques 96
Cables Equilibrés 96
Cables Numériques 96, 97
Cables Optiques 97
Cables S/PDIF 97
Cables Symétriques 23
\section*{Caracteristiques}
Système 1212m 102
Système 1616 104
Système 1616m 99
\section*{Caracteristiques Techniques 99}
Carte Fille 0202 E-MU, description 18
Carte Fille de Synchronisation, description 26
Carte PCI E-MU 1010 17
description 17
installation 13
Categoriè
crier un nouveau preset 55
renomer les effets 55
supprimer les effets 55
Chaines d'insertion d'effets 54
Chorus 65
utilisation du freq. shifter 69
Clics et Parasites
dans le résultat audio 17, 93
Dans le signal audio 21
Clock, external 26
Code Temporel, conversion SMPTE 90
Compresseur 65
Configuration du Systeme Audionumérique E-MU 11
Connecteur EDI 17, 24
Connecteur en T, word clock 94
Connecteur XLR 20
Connection Diagrams 22
Connexion des Enceintes, surround 5.1 25, 36
Connexion, word clock 93
Connexions
ADAT optique 21
cable EDI 15
face arriere 23
face avant 20
S/PDIF 20
Connexions de Face Avant, MicroDock 20
Déclin des Hautes Fréquences, effet lite reverb 71
Dépannage, utilisation des afficheurs de niveau et des générateurs basse fréquence 43
Départ
/retour d'insertion 38, 39
bypass ou solo 49
auxiliaire 45
insertion 38
Départs Aux Pré-Fader 48
Départs Auxiliaires 45
utilisés comme bus de mixage supplémentaires 51
Désactiver l'afficheur de niveau créé 40
Diffusion 76
Distorsion 67
Doppler, effet utilisant la rotation 73
Écoute Sans Temps de Retard 39
Ecran d'Edition des Effets 57
Ecran d'Effets 49
Ecran TV 48, 49
Écretage 20
amplificateur leveller 70
auto wah 64
chorus 65
compresseur 65
crier un nouveau repertoire 55
délaimono300072
descriptions 61
distorsion 67
édition 54
égaliseur 3 bandes 62
flanger 68
haut-parleur tournant 73
insertion 37
morpheur vocal 77
palette 53
paramétrique 1 bande 61
phasing 73
preset
creer nouveau 58
delete 59
replacements 59
renommer 59
réverbération stéreo 71, 76
slection 54
utilisation dans une application hôte VST 78
vued'ensemble 53
Effets de Boucle 51
Effets Internes
descriptions 61
liste 60
Effets Latéaux, routage 45
Effets Voix de Robot, creation 75
Egaliseur 3 Bandes 62
Egaliseur 4 Bandes 63
Égaliseur Paramétrique, configuration 62
Elargissement Sonore à l'Aide du Chorus 65
Enregistrement et Lecture WDM 89
Entrée
affichage 50
niveau
caracteristiques 99, 104
ligne 23
mesure 99, 104
réglage 41
platine 23
réduction à des taux d'échantillonnage élevés 89
type, couleur rouge 34
Entrée/Sortie Word Clock 93
Enveloppe, réverbération 71, 76
Éviter que les Leds Rouge ne s'Allument 20
E-Wire 83
Export
core FX preset 56
Facteur de Chute des Basses Fréquences 71
Fader 47
Filtre en Peigne 68
Flanger 68
Freq Shifter 69
Fréquence d'Echantillonnage, réglage 30
G
Gain de Sortie, amplificateur leveller 70
Gain, compresseur 66
Générateur de Bruit Blanc 43
Générateur de Bruit Rose 43
Générateur de Signaux, insérer 43
Généaux
bus 48
fader de sortie 52
insertions 52
master 48
niveau de départ/retour 48
H
Haut-parleur Tournant, effet 73
Icône E-MU, dans la barre de tâche 29
Illustrations de Connexion 24
Import
core FX preset 56
Importation et Exportation des Presets Core FX 56
Indicateurs de Niveau de Signa, Led 20
Input Type, mixer strip 34
Input, level specs 102
Insertion
afficheur de niveau 41
ajout d'effets 37
ajout d'un département 38
ajout d'un départ/retour 38, 39
bypass 44, 57
menu 38
solo 44, 57
suppression 44
types 37
voie de mixage 37
Insertion d'un attenuateur 42
Installation
carte fille 0202 E-MU 14
carte fille de synchronisation 14
carte PCI E-MU 1010 13
Installation logicielle 16
Interface
ADAT 17, 21
cables requis 15
EDI 24
MIDI 18, 24, 26
numérique, S/PDIF 17
S/PDIF 17,20
SMPTE 26, 90
word clock 93
Interface Numérique, S/PDIF 20
Interrupteur, MicroDock 15
Inversion de Phase 42
Inversion,polarité42
J
Jitter Spec
1212m system 103
1616m system 101
L
Latence, écoute sans 39
Led
rouge 20
verte 20
Leveler 70
Levels, setting input 41
LFO
flanger 68
morpheur vocal 77
phasing 73
Limeur 66
Limeurs Doux 42
M
Main Section 48
Master Clock 95
Mélangeur
affichage 27
synoptique 28
voie 34
bouton solo 47
départ aux 45
insertion 37
nouvelle 35
type 35
zone de marquage 47
vued'ensemble 27
Messages de Quart de Trame 92
Messages de Trame Pleine 92
MicroDock
connexion 15
entres/sorties 19
interrupteur 15
MIDI 2, ne fonctionnant pas 26, 92
MIDI Connecteurs d'E/S 24
MIDI Prises E/S, carte fille 0202 18
Mise à la Masse 98
Mixage Signal Traitenon Traité, effets 57
Mode de Rendu 79
Mode Externe, SMPTE 91
Mode Flywheel, SMPTE 91
Index
N
Mode Hôte, SMPTE 91
Modèles d'Usine 31
Modèles, session 31
Monitor
mixage 48
mate 48
réglagedebalance52
sortie 23
mate 52
réglagedeniveau52
Mono Delay 3000 72
Morpheur Vocal 77
MTC 92
activation 92
conversion SMPTE 90
Multicanaux, fichiers WAVE 36
Mute, voie de mixage 47
N
Niveau de Signal, croissant 18
Niveau Ligne
carte fille E/S entrée/sortie 18
entree/sortie 23
Niveau, réglage du niveau d'entrée 41
Niveau de Départ/Retour 48
Nouvelle
session 29, 30
voie de mixage 35
0
Oscillateur Sinusoidal 43
P
Palette, effets 53
Panoramaque 47
Paramètres, niveau d'entrée 20
Paramétrique 1 Bande 61
PatchMix DSP, désactiver 29
Phasing 73
Phonème 77
Plage Dynamique 104
Plot de Masse, platine 23
PowerFX 78
disponibilité des ressources 80
Preamplificateur
micro 20
platine 23
Pre-Retard, compresseur 66
Preset
creer nouveau 58
replacements les effets 59
renommer les effets 59
sLECTION d'un preset utiliser 58
supprimer 59
Preset Utilisateur, effet 58
Presets Core FX, importation et exportation 56
Programme an Arrière Plan, désactiver 29
R
Réduction du Bruit de Fond 98
Réglage de Balance, monitor 52
Réglages
E/S 32
système 31
Réglages Système 31
Remarques, astuces et mises en garde 10
Répertoire, effets 55
Rétabillisement, Compresseur 66
Retours Auxiliaires 51
Réverbération 71, 76
Réverbération Stéroe 71, 76
Réverbération, enveloppe 71, 76
Ronflements, dans l'audio 98
S
S/MUX 87
S/PDIF
cables 97
entrees et sorties 17, 20
Sauvegarde
chaines d'effets FX 54
preset d'effet utiliser 58
session 31
Session 30
chemin 31
creation 30
modeles 31
Seuil, compresseur 66
SMPTE 90
Solo
bouton 47
insertion départ/retour 49
Sortie
de PatchMix DSP 29
fader, général 52
mini-jack 24
monitor 21
niveau
afficheurs de niveau 52
ligne 23
monitor 52
SMPTE 91
section 52
sortie casque 21
Source de Synchro Externe 32
Suppression, preset utiliseur d'effet 59
Supprimer
répertoire 55
voie de mixage 36
Surround 5.1, connexion des enceintes 25, 36
Synchronisation Source 32
Synchronization, using S/PDIF 95
Système d'aide 29
T
Taux, Compresseur 66
Témoins de Niveau Crête 20
Témoins de Synchro/Fréquence d'Échantillonnage 51
Temps de Chute, réverbération 71, 76
Time Code
MIDI 92
SMPTE 90
Touche Effect 49
Tutorial
automation de PowerFX 80
configuration et utilisation de E-Wire 79, 84
configuration et utilisation de PowerFX 79
getting in sync 95
optimisation des enregistements 41
Type d'Ampli Opérationnel
Système 1616m 104
Système1212m 102
Système1616 99
Types de Connecteurs 16
Types de Convertisseurs A/N - N/A
Système 1212m 102
Système 1616 104
Système1616m 99
V
Valeurs de Jitter 101
Voie
ajouter 35
mélangeur 34
type d'entrée 34
Voie de Mixage
ajouter 35
supprimer 36
type 35
Voie Rouge 34
W
Wah-Wah 64
Word Clock In/Out 26
Z
Zone de Marquage de Voie 47
Notice Facile