ICLIMBER-DCX - Montre connectée IROX - Notice d'utilisation et mode d'emploi gratuit
Retrouvez gratuitement la notice de l'appareil ICLIMBER-DCX IROX au format PDF.
| Type d'appareil | Montre connectée |
| Affichage | Écran numérique |
| Fonctions principales | Heure, date, chronomètre |
| Connectivité | Non précisé |
| Autonomie | Non précisé |
| Étanchéité | Non précisé |
| Matériau du bracelet | Silicone ou plastique |
| Alimentation | Pile ou batterie rechargeable |
| Poids | Non précisé |
| Dimensions | Non précisé |
| Compatibilité | Non précisé |
| Fonctions sportives | Chronomètre, suivi d'activité basique |
| Type d'écran | LCD |
| Interface utilisateur | Boutons physiques |
| Langues disponibles | Multilingue |
| Garantie | Non précisé |
FOIRE AUX QUESTIONS - ICLIMBER-DCX IROX
Questions des utilisateurs sur ICLIMBER-DCX IROX
0 question sur cet appareil. Repondez a celles que vous connaissez ou posez la votre.
Poser une nouvelle question sur cet appareil
Téléchargez la notice de votre Montre connectée au format PDF gratuitement ! Retrouvez votre notice ICLIMBER-DCX - IROX et reprennez votre appareil électronique en main. Sur cette page sont publiés tous les documents nécessaires à l'utilisation de votre appareil ICLIMBER-DCX de la marque IROX.
MODE D'EMPLOI ICLIMBER-DCX IROX
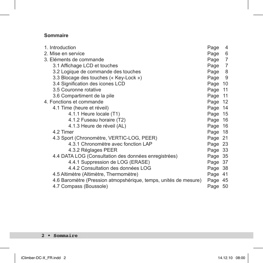
- Mise en service Page 6
- Éléments de commande
3.1 Affichage LCD et touches 3.2 Logique de commande des touches 3.3 Blocage des touches (« Key-Lock ») 3.4 Signification des icônes LCD 3.5 Couronne rotative 3.6 Compartiment de la pile Page 11
- Fonctions et commande Page 12 4.1 Time (heure et réveil) Page 14
4.1.1 Heure locale (T1) Page 15 4.1.2 Fuseau horaire (T2) 4.1.3 Heure de réveil (AL) Page 16
4.2 Timer Page 18 4.3 Sport (Chronomètre, VERTIC-LOG, PEER) Page 21
4.3.1 Chronomètre avec fonction LAP Page 23 4.3.2 Réglages PEER
4.4 DATA LOG (Consultation des données enregistrées) Page 35
4.4.1 Suppression de LOG (ERASE) Page 37 4.4.2 Consultation des données LOG Page 38
4.5 Altimètre (Altimètre, Thermomètre) Page 41 4.6 Baromètre (Pression atmosphérique, temps, unités de mesure) Page 45 4.7 Compass (Boussole)
2 • Sommaire
- Remplacement de la pile Page 54
- Entretien de l'appareil Page 54
- Support Page 55
- Données techniques Page 56
- VERTIC-LOG - comment l'utiliser Page 57
- Thermo Peer Page 59
10.1 Mise en service Thermo Peer Page 60 10.2 Éléments de commande Thermo Peer
10.2.1 Affichage LCD et touches Page 61 10.2.2 Logique de commande des touches Page 62 10.2.3 Signification des symboles LCD 10.2.4 Réglage de l'heure Page 64 10.2.5 Reglage de I'unité de température Page 65 10.2.6 Activer le mode SYNC 10.2.7 Activer le mode UPLOAD Page 66 10.2.8 Données techniques Thermo Peer Page 67
Manuel abrégé DATA LOG feuille séparée
Version 6.8.2009
Sommaire 3
1. Introduction
Nous vous remercions d'avoir choisi le iClimber-DCX de IROX. Vous êtes propriétaire d'une montre-bracelet de grande qualité, qui résulte de la combinaison entre un design italien, une ingénierie suisse, une technologie canadienne et suisse et une fabrication dans l'une des meilleures usines de l'agglomération de Hong Kong.
Le iClimber-DCX vous offre de réelles innovations dans le domaine des montres-bracelet. Il s'agit entre autres de la fonction VERTIC-LOG®, développée en partenariat avec des guides de montagne suisses. En plus des étapes de manipulation décrites au chapitre 4, vous trouvez au chapitre 9 une explication sur la manière d'utiliser cette fonction et la raison pour laquelle des guides de montagne nous ont recommandé cette fonction.
La DC-X propose des fonctions supplémentaires qui peuvent être utilisées avec des appareils périphériques (« Peer ») via un signal 2.4 GHz :
- Thermo Peer avec THERMO-LOG®
- Heart Peer (ceinture pectorale avec mesure de la fréquence cardiaque)
- Foot Peer (capteur de cadence pour la chaussure)
- PC Peer (clé USB avec logiciel PC pour évaluation des données)
Le Thermo Peer avec la fonction THERMO-LOG est une innovation de IROX. Cette fonction fait de la DC-X la première montre-bracelet capable de mesurer la véritable température ambiant et à l'afficher sur la montre.
Ces instructions décrivent toutes les fonctions Peer. Si vous n'utilisez pas le Peer correspondant, vous pouvez simplement passer aux paragraphes suivants. Un Peer peut être activé sans aucune restriction à un moment ultérieur.
Veuillez lire attentivement ce mode d'emploi. Vous y trouverez des indications utiles et intéressantes en plus des conseils d'utilisation.
Présentation de IROX
La marque IROX a été créée en Suisse en 2002. IROX s'est établie comme spécialiste en instruments de mesure destinés à la météorologie, à l'environnement et au sport, avec une présence internationale. En plus d'une collaboration étroite avec les fabricants du secteur électronique international, IROX a également développé et mis en marché de réelles innovations, qui ont en partie carrément révolutionné le marché. Les stations météorologiques en constituent un exemple avec le système Meteotime.
Le iClimber-DCX avec le Vertic-Log et le Thermo-Log est également une nouvelle mondiale absolue.
2. Mise en service
- Le iClimber est fourni avec une pile déjà insérée, et la montre est dans un mode veille permettant d'économiser la pile. Dans cet état, l'affichage est éteint, c'est-à-dire vide.
- Presser une touche quelconque pendant au minimum 3 à 5 secondes pour activer la montre.
- La montre peut être manipulée de la manière décrite au chapitre 4.

Remarque importante :
Le iClimber est un instrument de mesure de grande qualité, avec de nombreuses fonctions, dont certaines sont réglables mais d'autres non, étant donné qu'elles fonctionnent en permanence en arrière-plan (par exemple le mesurage de la pression). Veuillez noter que l'utilisation active de chacune des fonctions supplémentaires use de l'énergie et donc de la pile. Si vous activez plusieurs fois par jour l'éclairage de fond ou le Key-Tone, utilisez souvent les Peers ou la boussole, la performance de la pile sera également utilisée et cela aura un impact direct sur la durée de vie de la pile.
Lors d'une expulsion au cours de laquelle vous utilisez intensivement la montre et exposez votre équipement à des températures très basses, il est fortement recommandé d'emporter avec vous des piles de rechange (type CR2032).
Portée au poignet en tant que simple montre, la montre a une durée de vie allant jusqu'à un an. L'utilisation répétée d'un grand nombre de fonctions peut réduire la durée de vie des piles à seulement quelques mois!
3.1 Affichage LCD et touches
Toutes les fonctions sont représentées sur 5 lignes sur l'écran d'affichage à cristaux liquides (LCD), et la commande se fait au moyen des 4 touches latérales.

Segment plein avec les quatre noms de touches
Lorsque les générées instructions indiquent des affichages comportant des données, ces données s'écartent de celles affichées par votre montre. Les affichages imprimés sont uniquement destinés à une meilleure compréhension.
Éléments de commande • 7
3.2 Logique de commande des touches
Les fonctions des touches sont décrites en détail au chapitre 4. Lorsque des symboles sont utilisés pour représenter des touches, veuillez vous reporter à la logique suivante :

→ Appuyez brièvement sur la touche

→ Maintenez la pression sur la touche pendant 2 secondes

Bon à savoir
Attention : veiller à ne pas recouvrir du doigt l'ouverture à droite du boîtier lors de la manipulation des touches. Le détecteur de pression pour l'altimètre / le baromètre se trouve directement derrière et son mesurage risque d'être influencé par de telles opérations manuelles.

3.3 Blocage des touches (« key-lock »)
Pour éviter un actionnement involontaire des touches, vous pouvez désactiver les touches :
Activation de « key-lock » :

Appuyez simultanément sur les touches M et S/L pendant au moins 2 secondes.
Affichage lorsque « key-lock » est activé :

Lorsque les touches sont désactivées, 4 points apparaissent sur le bord de l'affichage.

Si vous appuyez sur une seule touche dans cet état, l'indication « LOCKED » apparait brièvement en bas de l'écran.
Éléments de commande · 9
Détection de « key-lock »:

Appuyez brièvement sur les touches M et S/L simultanément. Les quatre points disparaissent et les touches peuvent être utilisées à nouveau.
3.4 Signification des ICONES LCD

La fonction VERTIC-LOG est activée

Le réveil est activé

La tonalité des touches est activée

La pile est faible (voir chapitres 2, 3.6 et 5)

La fonction FOOT-PEER (capteur pour la chaussure) activée

La fonction HEART-PEER (fréquence cardiaque) activée

La fonction THERMO-PEER activée
3.5 Couronne rotative
La couronne rotative permet de s'orienter avec la boussole. La commande a été sciemment conçue de manière à pouvoir tourner la couronne, mais sans que celle-ci soit déréglée trop rapidement par un léger contact.
3.6 Compartiment de la PILE
Pile 1x3 du type CR2032. Vous pouvez remplacer la pile vous-même.
Procédez de la manière suivante :
- Disposez la montre sur un tissu posé sur une table, avec la face supérieure tournée vers le bas
- Munissez-vous d'une pièce de monnaie appropriée (par exemple une pièce de 2 Euro ou de 2 CHF) et ouvrez la fermeture rotative située à l'arrière de la montre, dans le sens inverse des aiguilles d'une montre.
- Retirez à présent la pile du compartiment à l'aide d'une pincette
- Introduisez une nouvelle pile dans la montre, en suivant l'ordre inverse (veiller à ne pas vous tromper dans la polarité)
- Assurez-vous que le joint soit toujours correctement disposé dans le support. Si possible, appliquez un peu de graisse de silicone sur la bague d'étanchéité.
- Révissez le couvercle sur la montre, dans le sens des aiguilles d'une montre. Veillez absolument à pouvoir effectuer sans trop de résistance au moins un tour complet dans le sens des aiguilles d'une montre. Dans le cas contraire, cela signifie que le couvercle n'est pas disposé correctement dans le filetage, et une force trop importante risquerait alors d'endommager le filetage.
Vous trouvez des instructions en images sur ce sujet sur www.irox.com
Éléments de commande • 11
4. Fonctions et commande
Le iClimber possède 7 fenêtres fonctionnelles. Il s'agit de :
TIMER organise une fonction de la durée et l'heure de réveil (AL)
TIMER Timer 1 et Timer 2
SPORT Chronomètre, VERTIC-LOG, Peer (recherche, paramètres, affichage des données)
DATA LOG Consultation des données de chronométrage enregistrées (données de tours par minute, temps de passage, évaluation Vertic-Log et l'évaluation des données Peer, lien PC)
ALTIMETER Altimetre, tempereature actuelle (de la montre et du Thermo Peer)
BARO Données de pression atmosphérique, prévisions météorologiques et réglage des unités de mesure, Thermo-Log
COMPASS Boussole et son calibrage

Utilisez la touche MODE pour passer d'une fonction à une autre.
Deux fonctions supplémentaires de la montre disposent d'un impact « prioritaire » sur toutes les autres fonctions : l'éclairage de fond et la tonalité des touches.
12 • Fonctions et commande
Éclairage de fond :
De plus, il est possible d'activer un éclairage de fond pour l'affichage.

Pour cela, appuyez simultanément sur les deux touches EL et S/L. L'éclairage LCD est alors activé pendant 4 secondes.
Bon à savoir
Si vous appuyez sur d'autres touches en l'espace des 4 secondes, l'éclairage reste allumé pendant 4 secondes supplémentaires pour chaque pression de touche. Cela permet par exemple de faciliter le réglage du réveil ou le relevé DATA LOG pendant la nuit!
b) Tonalité des touches :
Vous pouvez activer ou désactiver une tonalité de touches (« Key Tone »).

Pour cela, allez dans l'affichage de l'heure (avec l'indication du jour en-dessous de l'heure!) et appuyez sur S/R2
En haut de l'affichage, vous verrez alors apparaître ce symbole et la tonalité des
touches sera activée.

La déactivation se fait de manière correspondante, dans l'ordre inverse.
Fonctions et commande 13
4.1 TIME (HEURE et réveil)
La fenêtre du temps permet de voir l'heure, la date et le jour de la semaine. De plus, un deuxième fuseau horaire peut être affiché, et un réveil avec une alerte sonore de réveil d'une minute peut être activé.


Appuyez jusqu'à voir apparaitre l'indication TIME. Avec la même touche, vous pouvez à tout moment basculer vers la fonction suivante, tant que vous n'êtes pas en plein réglage.

Choix de l'affichage dans l'ordre suivant :
-ème heures locale (T1) - autre fuseau horaire (T2) - heures de réveil (AL)
Différentes saisies peuvent être effectuées en fonction de l'affichage.
4.1.1 Heure locale (T1)

Appuyez sur la touche jusqu'à l'apparition du jour (3 lettres en-dessous des minutes)

→ Activation / désactivation de la tonalité des touches

Vous entrez ainsi dans le réglage de l'heure.
L'élément à régler commence à clignoter, avec un texte en anglais sur les réglages.
Si pendant le réglage, vous n'appuyez sur aucune touche pendant plus d'une minute, la montre quitte automatiquement le mode réglage. Les réglages effectués jusqu'à sont appliqués.
Les commandes servant au réglage de l'heure sont les suivantes :

Vous pouvez modifier la valeur de réglage à l'aide des touches

Passer à la valeur de réglage suivante (jusqu'à la sortie du mode de réglage)

Quitter le mode de réglage. Les réglages effectués jusqu'à sont appliqués.
Fonctions et commande 15
4.1.2 Fuseau horaire (T2)
Dans le réglage de l'heure selon le point 4.2.1, vous pouvez également régler un « T2 Off-Set ». Pour le fuseau horaire T2, le « OFF Set » réglé est ajusté à ou déduit de l'heure locale (T1). Le réglage Off Set peut être réglé entre -23 et +23 heures.

Appuyez jusqu'à ce que l'affichage indique « T2 » en petit.

T2 s'affiche alors en grand en tant que heure principale. Votre « heures locale » apparait alors en bas (T1 en petit).
4.1.3 Heure de réveil (AL)
La montre propose une sonnerie de réveil quotidien, qui s'allume à l'heure correspondante pendant une minute au maximum lorsqu'elle est activée. L'heure utilisée pour le réveil est alors celle qui est affichée comme heure principale (en grand). Il peut s'agir de T1 ou de T2!

→ Appuyez jusqu'à l'apparition de « AL » en petit, avec l'heure de réveil.

→ Activation / déactivation du réveil. Lorsque la sonnerie du réveil est activée, un symbole de cloche apparait en haut de l'affichage.

16 • Fonctions et commande

Vous entrez ainsi dans le réglage de l'heure de réveil.
L'élément à régler commence à clignoter, avec un texte en anglais sur les réglages.
Si vous n'appuyez sur aucune touche pendant plus d'une minute pendant le réglage, la montre quitte automatiquement le mode de réglage.
Les réglages effectués jusqu'à sont pris en compte.
Attention : le réveil doit encore être activé séparément !
Les commandes servant au réglage de l'heure de réveil sont les suivantes :

Vous pouvez modifier la valeur de réglage à l'aide des touches.

Passez à la valeur de réglage suivante (jusqu'à la sortie du mode réglage).

Quittez le mode de réglage. Les valeurs saisies jusqu'à seront conservées.
Le réveil sonne pendant 1 minute et sonne à nouveau le jour suivant, tant qu'il n'est pas désactivé.

De cette manière, vous coupez la sonnerie d'une minute actuelle.
Fonctions et commande 17
4.2 TIMER
La fonction Timer vous permet de régler une heure et de déclencher un compte à rebours jusqu'à zéro, par paliers d'une seconde.
Il existe deux Timers (TIMER 1 et TIMER 2), réglables indépendamment l'un de l'autre.

Appuyez jusqu'à l'affichage de TIMER. Avec la même touche, vous pouvez à tout moment basculer vers la fonction suivante, tant que vous n'êtes pas en plein réglage.

Choix du Timer (TIMER 1 ↔ TIMER 2)


→ Vous entrez ainsi dans le réglage du Timer. L'élément à régler commence à clignoter, accompagné d'un texte en anglais sur les réglages. Si vous n'appuyez sur aucune touche pendant plus d'une minute pendant le réglage, la montre quitte automatiquement le mode de réglage. Les réglages effectués jusqu'à sont pris en compte.
18 • Fonctions et commande
Un seul Timer peut être activé à la fois.
Plusieurs fonctions spéciales peuvent être exécutées à l'aide des deux Timers :
INT. LEAVE (interleave) :
après l'écoulement du Timer 1, le Timer 2 se met automatiquement en marche.
REPEAT (répétition) :
dès que le Timer actif s'est écoulé (après l'écoulement du Timer 2 avec Interleave), le compteur reprend le compte à rebours depuis le début.
CT BEEP (tonalité du compte à rebours) :
pendant le compte à rebours, des signaux acoustiques sont émis à certains moments : un son de 1 seconde au moment de la dernière 5, 4, 3, 2 et 1 minute, un son de 1 seconde au moment des dernières 50, 40, 30, 20 et 10 secondes.
Un beep-beep rapide retentit pendant les 5 dernières secondes. Cette fonction peut par exemple être utilisée comme Timer de regates.
Après l'écoulement du temps réglé, donc au temps 0:00:00, un signal est émis (durée : 20 secondes)
Réglage du temps des Timers : de 0:01 à 9:59 heures, par paliers d'une minute.
Les commandes servant au réglage du temps des Timers sont les suivantes :

Vous pouvez modifier la valeur de réglage à l'aide des touches

Passer à la valeur de réglage suivante (jusqu'à la sortie du mode réglage)
Fonctions et commande · 19
Une fois les réglages effectués, les commandes suivantes sont proposées :

⇒ Départ du Timer

Arrêt du Timer

→ Retour du Timer à la valeur initiale (pendant que le Timer est éteint)

→ Interruption de la sonnerie de 20 secondes
Dans la fonction SPORT, le chronomètre est disponible avec jusqu'à 99 tours/intervalle (LAP). Une telle série de données peut ensuite être enregistrée dans un LOG à la fin du chronométrage.
La description concernant le relevé d'une série de mesurages (LOG) se trouve au chapitre 4.4.
Le temps de résolution est 1/100 jusqu'à un temps de passage maximum de 59 minutes. Par la suite et pour le temps accumulé, le temps de résolution est de 1 seconde.
Outre le chronomètre, des fonctions supplémentaires comme Vertic-Log et les Peers sont gérées dans la fonction SPORT.

→ Appuyez jusqu'à l'apparition de l'affichage SPORT. A l'aide de la même touche, vous pouvez à tout moment passer à la fonction suivante, tant que vous n'êtes pas en plein réglage.
Tout d'abord, la montre recherche pendant env. 15 secondes les PEERS connus, c'est-à-dire ceux qui ont déjà été connectés (PAIRED - voir chap. 4.3.2.1). Les symboles Peer clignotent à cet effet en bas de l'affichage. (symboles, voir au chap. 3.5)

Attention: Au cours de l'affichage « PEER SEARCHING», vous pouvez démarrer immédiatement le chronomètre avec S/L (chap. 4.3.1). La fonction PEER SEARCHING continue à fonctionner en arrière-plan (les symboles clignotants ne sont cependant plus affichés, dès qu'un PEER a été trouvé, le symbole correspondant apparaît). Il est également possible, dans la mesure où aucun chronomètre n'est en cours, d'accéder directement via touche EL2 au mode de réglage (chap. 4.3.2).
Fonctions et commande 21
Si un Peer est détecté comme présent, le symbole Peer reste actif dans l'affichage et après 15 secondes, le texte FOUND apparait brièvement (1 sec). Si aucun Peer connu n'est trouvé, FOUND n'apparait pas.

L'affichage du chronomètre apparaît ensuite. A supposer que le chronomètre ne fonctionne pas et soit sur zéro, l'affichage suivant apparait :

Dans ces deux cas, la fonction chronomètre peut être utilisée comme décrit ci-dessous. Les points suivants doivent être pris en compte.
- L'affichage de la fréquence cardiaque a lieu uniquement si une ceinture pectorale (HEART-PEER) est active.
- L'affichage MEM FULL signifie que la mémoire des données servant à la transmission sur le PC est pleine à au moins 95% et que d'autres enregistrements ne sont bientôt plus possibles.
4.3.1 Chronométrie avec fonction LAP et vertic-log®

Démarrage et redémarrage (« Restart ») du chronomètre Arrêt de l'écoulement du chronomètre Affichage de la fréquence cardiaque (uniquement si le HEART-PEER est présent, avec le symbole cœur sur l'affichage)

En cours de chronométrage :
Arrêt des tours/intervalles. Le chronométrage continue. Le temps LAP reste affiché pendant 5 secondes, avec le numéro LAP. Puis s'affiche le temps en cours du nouveau cycle.
Le chronomètre sert également à enregistrer les temps dans la zone correspondante, en cas d'utilisation de zones d'entraînement de la ceinture pectorale et/ou du capteur de cadence.
Fonctions et commande 23
Chronométrie avec fonction LAP

→ Démarrage et redémarrage (« Restart ») du chronomètre

→ Arrêt de l'écoulement du chronomètre
En cours de chronométrage :

Arrêt des tours/intervalles. Le chronométrage continue. Le temps LAP reste affichépend 5 secondes, avec le numéro LAP. Puis s'affiche le temps en cours du nouveau cycle.
Attention : aucun autre temps de passage ne peut être saisi pendant ces 5 secondes, signifiant que les touches S/L et S/R sont inactivées pendant ces 5 secondes.
Pendant l'arrêt du chronométrage:

Effacement (ERASE) des chronométrages. Puis la question « ERASE? » s'affiche sur l'écran. Pour confirmer, la touche doit rester appuyée pendant encore 3 secondes. Les données ainsi supprimées ne sont alors plus récapérables! Si vous ne souhaitez pas supprimer les données, appuyez une nouvelle fois brièvement sur la touche S/R.

De cette manière, les données peuvent être sauvegardées dans le LOG. La demande « HOLD TO SAVE » apparait. En relâchant la touche, vous revenez à l'affichage actuel. Si vous maintenez la touche enfoncée pendant 3 secondes de plus, les données sont enregistrées dans le DATABLOG. La mention « LOG xx SAVED » s'affiche alors brievement (xx correspond au numéro de LOG).

Une fois que la sauvegarde est terminée, le chronomètre indique la valeur de départ (0:00:00) dans le mode SPORT.
Au maximum 10 LOGS sont disponibles. S'ils sont tous utilisés, la mention « ALL LOGS FULL » apparait lors de la prochaine demande d'enregistrement.

Dans ce cas, entrez dans la fonction DATA LOG (voir chapitre 4.4), supprimez un LOG puis retournez à SPORT pour procéder à la sauvegarde.
Fonctions et commande 25
Chronométrie avec fonction Vercic-Log®
Pour activer cette fonction et dès lors l'utiliser, le chronomètre doit être à 0:00:00 et prêt pour un nouveau LOG.
Activation/désactivation de la fonction VERTIC-LOG : Renvoie uniquement la version corrigée du passage, en respectant les règles. N'ajoute aucun mot qui ne soit déjà présent ou clairement tronqué.

→ De cette manière, vous accédez au menu de réglage des fonctions PEER (voir 4.3.2) L'élément à régler (ON ↔ OFF) commence à clignoter.
Vous accédez à la fonction VERTIC-LOG en pressant trois fois la touche S/R de la manière suivante: PAIR DEV. S/R FOOT-PEER S/R SET ZONE S/R VERTIC-LOG.
L'élément à régler (ON ↔ OFF) commence à clignoter.

Cette touche permet d'activer / de désactiver la fonction VERTIC-LOG. Le symbole suivant apparait lorsque la fonction
est activée,



Quitter le mode de réglage. Les réglages effectués jusqu'à sont appliqués.
Si pendant réglage, vous n'appuyez sur aucune touche pendant plus d'une minute, la montre quitte automatiquement le mode réglage. Les réglages effectués jusqu'à sont appliqués.
Dès le départ du chronomètre, le VERTIC-LOG s'active avec l'indication du Log d'ascension. Un passage (LAP) est indiqué à chaque palier de 100 mètres franchis. Les premiers 100 m correspondent à LAP1, les deuxièmes à LAP2, ainsi de suite.
26 • Fonctions et commande
Après une ascension effective totale de 1000 m (c'est-à-dire 100 LAPs), le temps et les mètres parcourus en altitude pour ces 100 m sont enregistrés séparément (LAP +1000).
Puis la même chose s'applique pour les 1000 m suivants et ainsi de suite (c'est-à-dire LAP +2000, LAP +3000, etc.).
LAP 1-10 ↔ LAP +1000 LAP 11-20 ↔ LAP +2000 LAP 21-30 ↔ LAP +3000 etc.
Début de l'ascension
Pour démarrer la fonction VERTIC-LOG activée, vous devez démarrer le chronomètre au début de l'ascension à chronométrer!

Démarrage du chronomètre et affichage de VERTIC-LOG
Attention : l'indication de l'ascension est interrompue si chronomètre est arrêté. Si vous appuyez par erreur sur la touche S/R, vous devez effectuer un « RESTART » à l'aide de la touche S/L. Le LAP x interrompu est enregistré à l'état final, et un nouveau LAP x +1 commence avec le RESTART. Si vous avez parcouru des mètres en altitude pendant ce temps, ils ne seront pas pris en compte dans l'indication VERTIC-LOG. Pour éviter d'appuyer par erreur sur la touche STOP (S/R), il est recommandé d'activer le blocage des touches.
Fonctions et commande 27
Emploi pendant l'ascension
Les données suivantes peuvent être consultées pour chaque LAP, c'est-à-dire pendant que le chronomètre est en marche :
Vitesse d'ascension exprimée en m/h ou en min./100 m - Les mètres parcourus au total en altitude (UP) au cours de ce LAP. Si par exemple vous montez de 50 m, puis redescendez de 20 m et remontez de 40 m, vous êtes donc à 70 m plus haut par rapport au point de départ, l'UP indiqué sera alors 90 m. - Le numéro de LAP au rythme de 2 secondes, en alternance avec les mètres restant à parcourir pour atteindre 100m (c'est-à-dire 30m dans l'exemple ci-dessus).

L'indication suivante apparait alors ensembles avec les données ci-dessus:


Cet affichage montre toujours le dernier tronçon (LAP).

Les touches S/L et S/R permettent de consulter les affichages précédents, qui apparaissent alors pendant environ 4 secondes.
28 • Fonctions et commande
Lorsque au moins 10 LAPs sont terminés, le résumé des « 1000 mètres » s'affiche lors d'une nouvelle pression sur la touche EL.

De même que pour les différents LAPs, les touches S/L et S/R permettent ici aussi de faire défiler d'autres résumés éventuels.

→ Retour au chronomètre en marche.
Fonctions et commande · 29
Fin de l'ascension - sauvegarde des données dans le LOG

Arrêt du chronométrage en cours
Sauvegarde à l'état d'arrêt du chronomètre :

De cette manière, les données peuvent être enregistrées dans le LOG. La demande « HOLD TO SAVE » s'affiche. Si vous relâchez la touche, vous revenez à l'affichage actuel. Si vous maintenez la touche enfoncée pendant 3 secondes supplémentaires, les données sont enregistrées dans le DATA LOG. Puis la mention « LOG xx SAVED » apparait brievement (xx correspond au nombre de LOG).

Une fois que la sauvegarde dans le LOG est terminée, le chronomètre indique la valeur initiale (0:00:00) en mode SPORT.
Maximum 10 LOGs sont disponibles. Si tous les LOGs sont utilisés, la mention « ALL LOGS FULL » apparaît lors de la prochaine demande d'enregistrement.

Dans ce cas, entrez dans la fonction DATA LOG (voir chapitre 4.4), supprimez un LOG et retournez sur SPORT, afin de procéder à la sauvegarde.
Attention :
Pour pouvoir relever des données supplémentaires enregistrées dans le VERTIC-LOG, vous devez enregistrer le LOG dans la fonction de chronométrage à la fin de votre ascension. En effaçant les temps de chronométrage avant la sauvegarde, vous supprimez également les données VERTIC-LOG!
Important :
La fonction VERTIC-LOG a été conçue pour les alpinistes au cours d'une ascension. Lorsque vous avez atteint le point le plus haut de votre trajet, arrêtez la montre et enregistrez le LOG. Les données relatives à la descente n'ont pas de sens dans le VERTIC-LOG! En cas de non utilisation prolongée, il est recommandé de terminer le LOG et de redémarrer un nouveau LOG pour une prolongation du parcours.
Si vous ne souhaitez pas sauvegarder le LOG, vous pouvez supprimer les données (chronomètre et VERTIC-LOG):

Effacement (ERASE) des temps de chronométrage.
La question « ERASE? » s'affiche alors sur l'écran. Pour confirmer, la touche doit être maintenue enfoncée pendant encore 3 secondes. Les données effacées sont alors supprimées définitivement! Si vous ne pouvez pas effacer les données, appuyez à nouveau brièvement sur la touche S/R et passerez à la sauvegarde du LOG.
Fonctions et commande 31
Chronomètre avec fonction RUN (foot-peer)

Si un FOOT-PEER est présent (symbole actif sur l'affichage), les données telles que
«RUN SPD» Vitesse (km/h)
«RUN PACE» Cadence (min/km)
Distance (km)
peuvent être affichées.


L'affichage du chronomètre (recommandé en cas de chronomètre en marche!) vous permet d'appeler de manière séquentielle les données ci-dessus à chaque pression de touche.





4.3.2 Réglages PEER
Pour connecter les PEERs présents dans le système (PAIRING) et pour procéder aux calibrages/réglages du FOOT-PEER et du HEART-PEER, le chronomètre doit être placé sur 0:00:00.
Accéder au mode de calibrage/réglage PEER :

Vous accédez ainsi au menu de réglage des fonctions PEER. Le menu «PAIR DEVICE» apparaît tout d'abord.

Vous accédez ainsi au menu de réglage suivant selon le procédé : PAIR DEV. S/R CALIB FOOT-PEER S/R SET ZONE S/R VERTIC-LOG S/R PAIR DEV. S/R etc. VERTIC-LOG : Voir chap. 4.3.1

→ Vous accédez ainsi au mode de réglage de la fonction qui apparaît sur l'affichage (fonctions : PAIR DEV. ou CALIB FOOT-PEER ou SET ZONE).

Quitter le mode de réglage et retourner au chronomètre. Si aucune touche n'est pressée pendant env. une minute, le mode de réglage est quitté automatiquement et l'appareil retourne au chronomètre.
Fonctions et commande 33
4.3.2.1 Pairing (connexion des PEERS)

Les 3 symboles clignotent tant que le Peer correspondant est reconnu. Durée de la procédure : environ 15 secondes.
Si un Peer est connu, le symbole correspondant arrête de clignoter.
Si un Peer a été détecté après les 15 secondes environ, cet affichage apparait rapidement, et retourne ensuite à l'affichage initial PAIR DEV.
4.3.2.2 Réglages PEER (CALIB et SET ZONE)

Le FOOT-PEER est calibré dans ce mode. Lisez à cet effet les instructions séparées PEER SETTINGS.

Dans ce mode, les zones d'entraînement du FOOT-PEER et du HEART-PEER sont réglées. Lisez à cet effet les instructions séparées PEER SETTINGS.
Veuillez également tenir compte du manuel abrégé pour la commande de ces fonctions
Pour chaque LOG enregistré avec le chronomètre ou avec VERTIC-LOG dans la fonction SPORT, un certain nombre de données supplémentaires a également été enregistré. Ces LOGs peuvent être dans le DATA LOG, et certains ou tous les LOGs peuvent d'autre part être supprimés au besoin. Les capacités de stockage s'élèvent à maximum 10 LOGs de maximum 99 LAPS chacun.

Appuyez jusqu'à ce que DATA LOG s'affiche.
Un numéro de 00 à 10 s'affiche également pendant environ 1 seconde au-dessus du DATA LOG. Cela vous indique le nombre de LOGS contenus dans la mémoire. (A l'aide de la même touche, vous pouvez à tout moment passer à la fonction suivante, tant que vous n'êtes pas en plein réglage.)
Le premier affichage fournit l'information suivante (« AFFICHAGE LOG ») :

Deux réglages sont ici possibles
→ Date d'enregistrement du LOG x Heure d'enregistrement du LOG x → LOG prêt à être consulté → Choix du numéro de LOG à l'aide de la touche S/R

→ fonction de suppression du LOG (certains ou tous) - voir page 28 → Consultation des données du LOG - voir page 29
Fonctions et commande 35
4.4.1 Suppression de LOG (ERASE)
Tel qu'il a été décrit plus haut, la touche EL2 permet d'entrer dans la fonction de suppression de LOG. La suppression sert à se débarrasser de données anciennes et à libérer de l'espace pour de nouvelles données. Si vous disposez par exemple de 5 Logs, ceux-ci sont numérotés de 1 à 5. Si vous supprimez le numéro 3, les nombres 4 et 5 diminuent de un.
Avant la suppression, on vous demande si vous souhaitez charger les données sur le PC. Cette fonction est uniquement disponible dans le cas où vous disposez du PC PEER. Le PC PEER est une option supplémentaire que vous pouvez acquérir à part. Pour plus de détails à ce sujet, consultez les instructions fournies avec le PC PEER.

Si vous ne disposez pas d'un PC PEER, pressez simplement la touche à l'apparition de l'écran ci-dessus.

36 • Fonctions et commande
Le nombre du LOG prêt à être supprimé apparait sur l'écran de commande, ainsi que la question ERASE? (= Supprimer?).

Si oui : sélectionnez le nombre de LOG correspondant à l'aide des touches S/L et S/R. En appuyant alors à nouveau sur la touche EL2, le LOG sélectionné est supprimé de la mémoire. Puis le nombre de LOGs restants est indiqué (restant = REMAIN). Deux secondes plus tard, vous revenez à l'affichage LOG.
Si non : vous accéder à la question ALL ERASE ? à l'aide de la touche M.

Si oui : confirmez à nouveau EL2. Puis le nombre de LOGs restants est indiqué, c'est-à-dire zéro (= 00 DATABLOG). La touche M permet de passer à la fonction suivante - 4.5 ALTIMETER
Si non : retour à l'affichage LOG à l'aide de la touche M.
Fonctions et commande 37
4.4.2 Consultation des données LOG
Tel qu'il a été précisé au début de ce chapitre, la touche EL permet d'accéder à la consultation des données du LOG sélectionné dans AFFICHAGE LOG.

→ LOG prêt à être consulté (ici « 01 » à titre d'exemple) → Sélection du nombre de LOG à l'aide de la touche S/R. LOG xx (sélectionner xx avec S/R)
Un grand nombre de données est disponible. Pour vous déplacer avec clarté entre les données, imaginez que vous ouvrez et fermez des tiroirs contenant des données. Les touches de commande suivent ici une certaine logique :

Acceptez la sélection proposée et ouvrir un « tiroir de données »

Allez à l'information suivante à l'intérieur du tiroir de données

Fermez le tiroir et retournez à la sélection précédente (pression répétée pour l'accès au point initial, « AFFICHAGE LOG »)
Toutes les données sont disponibles pour les LOGs ayant été enregistrés soit par le chronomètre, soit par la fonction VERTIC-LOG après chaque ascension de 100 m nets. La seule exception concerne les LAP +1000 qui sont uniquement disponibles pour les affichages VERTIC-LOG.
38 • Fonctions et commande
Choix possible de « tiroirs de données » (avec EL à partir de AFFICHAGE LOG) :
SUMMARY ← touche S/R ⇒ LAP INFO

Avec EL à partir de SUMMARY : temps global du LOG sélectionné, donc de tous les LAPs (TOTAL TIME, données de l'altimètre ALTI UP, DOWN, MAX et MIN à sélectionner avec S/R)
Avec EL à partir de LAP INFO : des données à ce sujet dans le SUMMARY (résumé) !
La procédure est la suivante :
TOTAL TIME → RUN DIST → MAX/AVG PACE → MAX/AVG HR → ALTI UP → ALTI → DOWN, ALTI MAX → ALTI MIN → RUN LO → RUN IN → RUN HI → HR LO → HR IN2 → HR IN3 → HR IN4 → HR-HI, ici égallement toujours avec
S/R pour passer à l'étape suivante).
Pour plus de détails à ce sujet, consultez les instructions PEER SETTINGS.
Fonctions et commande · 39
- Avec EL à partir de LAP INFO : temps global (ACC. TIME) des différents LAPs en hh: mm: ss. Sélection du LAP souhaité dans ACC. TIME au moyen de la touche S/R.
- Avec EL à partir de ACC. TIME : données des différents LAPs (LAP TIME en mm: ss et 1/100 secondes), données de l'altimètre ALTI UP, ALTI DOWN à sélectionner avec S/R
Attention : Si le HEART-PEER et/ou le FOOT-PEER sont présents, des données à ce sujet sont également disponibles dans le SUMMARY ! La procédure est la suivante :
LAP TIME → LAP DIST → AVG PACE → MAX/AVG HR → ALTI UP → ALTI
DOWN, ici également toujours avec S/R pour passer à l'étape suivante).
Pour plus de détails à ce sujet, consultez les instructions PEER SETTINGS.
Si ce LOG compte des données VERTIC-LOG et au moins 10 LAPs complets : Avec EL à partir de LAP TIME : LAP +1000
- Dans le VERTIC-LOG, un résumé (LAP +1000, LAP +2000, etc.) est mémorisé tous les 10 x 100 m (donc tous les 10 LAPs). Si une telle série de données est disponible dans un LOG, ces données pourront être consultées à nouveau avec la touche EL, à partir de l'affichage LAP TIME / ALTI UP/DOWN. Si plusieurs séries sont disponibles, la touche S/R permet de les faire défilier.

Pendant la consultation des données, cette touche permet d'accéder à tout moment directement à la fonction suivante - 4.5 ALTIMETER
4.5 Altimètre (altimètre, thermomètre)
L'altimètre (ALTIMÉTRE) fonctionne par le mesurage de la pression atmosphérique.
La pression atmosphérique est déterminée par deux facteurs :
- le temps
- le niveau au-dessus de la mer de l'endroit où vous vous trouvez

Information importante :
L'affichage en mètres (ou en pieds) est donc soumis à certaines variations, en fonction de la pression atmosphérique, de votre déplacement vertical et des propriétés techniques de la montre.
N'oubliez pas : 1 m de différence d'altitude correspond à environ 0,1 hPa. Le mesure de la pression est effectué par intervalles réguliers et traité par la montre en interne. La valeur indiquée peut également être influencée par des arrondissements comptables.
Avant de commencer un parcours ou d'utiliser l'altimètre, il est recommandé de calibrer celui-ci.
Dans cette fonction, en plus de diverses options d'affichage, vous accédez également à des fonctions telles que le calibrage, l'alerte d'altitude ou l'enregistrement de maximum 3 valeurs de référence.

Appuyez jusqu'à l'apparition de l'affichage ALTIMÉTRE. (La même touche vous permet de passer à tout moment à la fonction suivante, tant que vous n'êtes pas en plein réglage).
Fonctions et commande 41
L'écran suivant apparait en tant que premier affichage :

Vitesse d'ascension en m/h ou en min/100 m → Mesurage actuel de l'altimètre → Mesurage de la température au niveau de la montre
Vitesse d'ascension : affichage en m/h. jusqu'à une valeur de 120 m/h. Puis l'affichage se met en min/100 m.
Les m/h concernnent la dernière heure. Ils représentent ainsi quasiment un fil continu pour la dernière heure, et l'ascension est indiquée pour ce fil.
Options d'affichage

Dans la fenêtre d'affichage de la température, l'information suivante peut être affichée à l'aide de cette touche (dans l'ordre d'affichage):

Tp = Thermo Peer, la température mesurée sur le Thermo Peer (uniquement si le Thermo Peer est présent et le mode SEND est activé!). Si aucune valeur n'est reçue pendant 2 minutes, des traits apparaissent dans cet affichage.
Important : Le Thermo Peer doit être en mode SEND pour cet affichage ! Observez pour cela les instructions du Thermo Peer au chapitre 9 (THERMO PEER)
- Heure (l'heure principale de la montre, c'est-à-dire T1 ou T2, conformément au chapitre 4.1)
- Dénivélé positif parcouru
- Dénivèle négatif parcouru

- Ces deux indications s'affichent seulement lorsque le chronomètre est en marche. Dès que le chronomètre est remis à zéro, ces deux valeurs sont également mises à zéro. Cela permet de définir clairement le laps de temps pendant lequel vous souhaitez surveiller le dénivelé parcouru.

Information importante :
Lorsque vous souhaitez effectuer un calibrage d'altitude, veuillez vous assurer que le TIMER et le CHRONOMÈTRE sont arrêtés à ce moment-là. Les fonctions peuvent avoir un effet négatif sur le calibrage en raison d'un besoin de stockage supplémentaire.

De cette manière, vous accédez au mode réglage, avec les menus SET ALTI - ALTI RECALL - ALTI ALARM

Ces touches permettent de se déplacer entre les trois menus de réglage ci-dessus.

De cette manière, vous accédez à partir de l'un des 3 menus au réglage correspondant dans le menu sélectionné.
L'altitude actuellement mesurée clignote et peut être ajustée vers le haut ou vers le bas (calibrage) à l'aide des touches S/R et S/L. Confirmer avec M. Sur l'affichage suivant, à sélectionner avec S/L et S/R, les possibilités suivantes sont proposées : Curr rEF-1 rEF-2 rEF-3 ABORT.
Cela permet de déterminer si l'altitude régée est seulement admise comme affichage actuel (Curr) ou bien également mémorisée en tant qu'altitude de référence (rEF 1-3). (ABORT = fin du réglage)
Confirmez avec M dès que l'option correspondante s'affiche, et revenez au menu SET ALTI.
Fonctions et commande 43
Permet de consulter l'une des 3 altitudes de référence. A sélectionner avec S/L et S/R: REF-1 ↔ REF-2 ↔ REF-3 ↔ ABORT
(réglement des altitudes de référence dans « SET ALTI »).
Lorsque l'altitude de référence interrogée apparait, appuyez brièvement sur M pour confirmer et revenez au menu ALTI RECALL. L'altitude de référence va d'abord apparaitre pendant 1 seconde, accompagnée du « APPLY ALTI »
Avec ABORT, la consultation de l'altitude de référence est arrêtée et l'on revient directement au menu ALTI RECALL.
3) Altialarm
Programmation d'une alerte d'altitude. L'évoyant ON et OFF à régler clignote et peut être modifié à l'aide des touches S/L et S/R. Confirmez ensuite avec M.
Avec OFF: retour au menu ALTI ALARM
Avec ON: accès au réglage de l'altitude à laquelle une alerte doit être déclenchée (réglage avec S/L et S/R). Si cette altitude est dépassée, une sonnerie sans fin se met en marche.

Bon à savoir :
Si au cours du réglage, vous n'appuyez sur aucune touche pendant plus d'une minute, les réglages effectués sont rejetés et le mode réglage est abandonné (retour à l'affichage de la valeur d'altitude actuelle).
4.6 Barométre (pression atmospherique, temps, UNITS de MESURE)
La fonction du BAROMÉTRE permet d'afficher la pression atmosphérique en mbar (hPa).
Les options d'affichage suivantes sont alors disponibles :
A) Affichage de la pression atmosphérique effective mesurée localement (LOCAL) et de la température mesurée au niveau de la montre, ensemble avec la représentation graphique de l'évolution de la pression au cours des dernières 24 heures (horizontalement les paliers de 12 heure, verticalement la résolution en 1 mbar). La valeur actuelle se trouve ici du côté gauche du graphique en barres et verticalement en son centre. B) Indication de la pression compensée avec le niveau de la mer (en fonction du réglage de l'altitude locale ou de la valeur « SEA LEVEL »), ensemble avec la température actuelle de la montre et de l'heure actuelle. C) Valeurs MAX journalières de la pression SEA LEVEL, accompagnées de la température de la montre. D) Valeurs MIN journalières de la pression SEA LEVEL, accompagnées de la température de la montre. E) Prévision / tendance météorologique, au moyen de 5 symboles et de la température de la montre. La prévision météorologique est valable pour le jour suivant et son degré de certitude est d'environ 70%. Si la montre est agitée en l'air, le degré de certitude de la prévision peut être diminué.
Voir exemples d'affichage A - E sur la page suivante.
La fonction du BAROMÉTRE permet également de régler les unités de mesure.
Fonctions et commande 45
Options d'affichage

→ Appuyez jusqu'à l'apparition de l'affichage ALTIMÉTRE. (La même touche permet de passer à tout moment à la fonction suivante, tant que vous n'êtes pas en plein réglage).
L'écran suivant apparait en tant que premier affichage :
Affichage A

Cet affichage permet de faire défiler les options d'affichage (de A à E et retour à A).

*B2 ne s'affiche que lorsque un Thermo Peer est présent
Affichage OPTION f (THERMO-LOG)

Si un Thermo Peer est présent (symbole actif sur l'affichage), la fonction THERMO LOG peut être utilisée.

Important :
Le Thermo Peer doit être en mode de téléchargement pour la fonction GET DATA! Observe pour cela la procédure décrite au chapitre 9 (Thermo Peer).
Si après l'affichage E (prévisions météo) S/R est pressé, les affichages suivants apparaissent :

Après une seconde (si encore aucune donnée dans le LOG)

Dans cet affichage, les données de mesure du Thermo Peer des dernières 24 heures sont chargées, ce, à des fréquences de mesure de 30 minutes, c'est-à-dire 48 valeurs max. au total.
Le nombre ci-dessus commence à 0 et augmente avec la procédure de chargement réussie jusqu'à la dernière valeur de mesure présente. Cette valeur de mesure peut être inférieure à 48.

Cette touche permet d'interrompre la procédure et vous accédez ainsi immédiatement à l'affichage A.
Fonctions et commande 47
Si des données ont déjà été chargées, un affichage de ce type apparaît :

Date de la valeur mesurée Rxx Heure de la valeur mesurée Rxx Rxx: Numéro d'enregistrement. Le tout dernier enregistrement apparait avec le numéro d'inscription le plus élevé. La valeur de mesure correspondante apparait derrière celui-ci.

Avec la touche S/L, les valeurs de mesure précédentes peuvent être affichées de manière séquentielle par fréquence de 30 minutes (par ex. R48 R47 R46 R45 R44 etc.).

Dans la fonction Thermo Log, une nouvelle procédure de chargement de données peut être démarrée.

L'affichage «Error GET DATA» apparait ensuite.

Si aucune donnée n'est présente dans le Thermo Peer ou si aucune connexion n'est possible, «Error GET DATA» apparait.

Cette touche vous permet de passer à l'étape suivante (c'est-à-dire, en fonction de l'affichage, de retourner à l'affichage A ou «GET DATA»).
Réglages
Plusieurs unités de mesure sont disponibles pour l'affichage des valeurs de mesure. Elles peuvent être définies dans la fonction BAROMÉTRE.

De cette manière, vous accédez au mode réglage des unités de mesure DEGREE ℃ <--> DEGREE ℉ mbar / hPa <--> inHg METRIC (m) <--> IMPERIAL (ft) Calibrage de l'indication de pression (au niveau SEA LEVEL) Calibrage du mesurage de la température Saisie du temps actuel (parmi les 5 symboles) *

Ces touches permettent de passer d'une unité à l'autre parmi les unités de mesure ci-dessus

Permet de passer à l'affichage suivant. Retour à l'affichage BAROMÉTRE après le dernier réglage
Attention
Lors des réglages, il est recommandé de ne modifier les valeurs que lorsqu'une référence claire est disponible.
Lors de la saisie de la pression, l'altitude affichée dans l'altimètre est également modifiée.
Tous les mesurages sont immédiatement corrigés dans le thermomètre.
Pour le temps, les ajustements dans des conditions météorologiques extrêmes sont les plus faciles et les plus efficaces.
Fonctions et commande 49
4.7 Compass (boussole)
La boussole repose sur un élément de mesurage magnétique sensible. Le triangle blanc compris dans le cercle intérieur de la montre doit ici pointer vers la montre. Dans la fonction COMPASS, l'heure actuelle apparait en grand au milieu de l'affichage. Au-dessus se trouve un affichage de l'orientation en degrés (0^ - 358^), et en-dessous sont indiquées l'orientation de la montre, représentée par les 4 points cardinaux (N, S, W, E=East=Est), ainsi que les 4 autres orientations.
Il est important de maintenir la montre à l'horizontal pour le relèvement exact, tout en effectuant tout relèvement à l'aide du triangle. Si vous regardez pile vers le Nord, la montre affiche NW-N-NE.
Au bord de l'écran LCD, vous trouverez également 1 à 3 points respectifs, orientés en fonction du relèvement (1 point : Nord / 3 points : Sud)

Exemple montrant le Nord dans la position 9 heures de la montre, décalé de
50 • Fonctions et commande

Appuyez jusqu'à l'apparition de l'affichage COMPASS.
(La même touche permet de passer à tout moment à la fonction suivante, donc à TIME, tant que vous n'êtes pas en plein réglage).
Un premier affichage apparait tout d'abord, tel que décrit à la page précédente, avec le relèvement actuel.
Le relèvement est étant environ 30 secondes plus tard, afin d'économiser la pile.

La touche EL permet de réactiver le relèvement en mode COMPASS pendant 30 secondes.
Attention : il peut arriver que l'iClimber requise un calibrage lors du premier démarrage de la fonction Boussole. Dans ce cas, veuillez vous reporter au déroulement figurant sur la page suivante, dans « Réglages »
Fonctions et commande 51
Réglages
Le calibrage est recommandé ou nécessaire si vous constatiez visiblement des écarts dans le relèvement. Un calibrage est également recommandé pour les appareils dans lesquels la boussole n'a pas encore été utilisée ou n'a plus été utilisée depuis longtemps.
La saisie de l'angle de déclinaison, l'écart entre le nord géographique et le nord magnétique, implique que vous connaissez ce dernier à l'endroit de l'utilisation de la boussole. Si cela s'avère impossible, alors maintenez l'angle de déclinaison à. Vous trouverez un grand nombre d'informations à ce sujet sur l'Internet (par exemple sur Wikipedia), ainsi que des liens vers des pages permettant de calculer la déclinaison à partir des coordonnées.
(par ex. http://www.ngdc.noaa.gov/geomagmodels/Declination.jsp) La plage de réglages de l'IClimber s'étend de -90° à +90°. On considère ici : Angle de declinaison Est (E - East) = nombre positif Angle de declinaison Ouest (W) = nombre négatif

De cette manière, vous accédez au mode de calibrage (CAL) Il existe alors deux possibilités - Calibrage - Réglage de l'angle de déclinaison

Avec cette touche, vous accédez d'abord au mode de calibrage (puis au réglage de l'angle de déclinaison) ou...

Avec cette touche, vous accédez directement au réglage de l'angle de déclinaison
Calibrage
L'affichage suivant apparait du calibrage :

Veuillez maintenir la montre le plus horizontalement possible par rapport au sol, et tournez 2 fois lentement dans le sens des aiguilles d'une montre (un tour dure environ 15 secondes).

Cette touche met fin au calibrage (CAL DONE). Au bout d'environ 2 secondes, il vous demande de saisir l'angle de déclinaison.
Déclinaison
L'affichage suivant apparait lors de la déclinaison :


Ces touches permettent de modifier l'angle de déclinaison de -90° à +90° (voir les explications plus haut dans ce chapitre).

Fonctions et commande 53
5. Remplacement de la PILE
Affichage de remplacement de la pile

La pile dure plusieurs mois ou jusqu'à un an, en fonction de l'utilisation qui est faite de l'instrument (veuillez lire à ce sujet le chapitre 2 « Mise en service »). Pour éviter un arrêt de fonctionnement imprévu et génant, un symbole de pile apparait au-dessus de l'affichage de l'heure, dès que la pile de l'appareil devient trop faible et nécessite un remplacement.
Pour le remplacement de la pile, veuillez vous reporter au chapitre 3.7 (Compartiment de la pile).
Lorsque la pile est remplacée en moins d'une minute, certaines données sont maintenues :
- Heure de réveil - Calibrage de la boussole DATALOGS - Unités d'affichage
Les autres réglages sont perdus et doivent être saisis à nouveau.
N'oubliez pas que les piles usagées ne doivent pas être jetées avec les ordures ménagères, mais déposées auprès des points de collecte prévus à cet effet. Notre environnement vous en remercie !
6. Entretien de l'appareil
- Ne pas exposer l'appareil à des températures extrêmes, ni directement aux rayons du soleil de manière prolongée.
- Eviter les chocs importants ou coups en tous genres sur l'appareil.
54 • Remplacement de la pile / Entretien de l'appareil
- Pour le nettoyage, veuillez utiliser un chiffon doux et sec, humidifié avec un mélange d'eau et de produit nettoyant. Ne jamais employer des substances volatiles, telles que le benzène, les diluants, les produits de nettoyage sous forme de bombe aérosol, etc.
- Entre les utilisations, veuillez ranger l'appareil dans un endroit sec et hors de portée des enfants en bas âge. Dans ce cas, vous nevez absolumentsterolir la pile!
- Lorsqu'une fonction est activée à une température extrêmement basse, il peut arriver que l'affichage devienne illisible ou que les cristaux liquides de l'affichage soient quasiment gelés. Dès que l'appareil se trouve à nouveau dans un environnement plus chaud, il se remet à fonctionner correctement.
- Conserve soigneusement le mode d'emploi et les autres documents fournis, afin de pouvoir les relire ultérieurement.
- Important : plusieurs taxes d'élimination sont compensées en Suisse (TAR) ainsi qu'en Europe (WEEE) pour tous les appareils Irox.
7. Support
Cet appareil est une innovation d'Irox Development Technology. Toutes les instructions ont été développées à l'aide d'un appareil opérationnel et vérifiées. Il peut cependant arriver que l'appareil nécessite des adaptations et des améliorations, qui n'ont plus pu être inclues dans le présent manuel pour des raisons techniques d'impression. Si vous constatiez des différences gênantes pour la commande et l'utilisation de l'appareil, vous pouvez toujours télécharger gratuitement la dernière version des instructions sur votre PC (veuillez vérifier le numéro de version). Nous vous remercions de bien pouvoir nous signaler de telles différences.
© IROX Development Technology ® IROX, iClimber et VERTIC-LOG sont des marques déposées et doivent être utilisées exclusivement par IROX.
Entretien de l'appareil / Support • 55
8. Données techniques
Important : toutes les données correspondant à une tension nominale de la pile !
Température de service
-10^ à +60^ (14^ à 140^)
Mesurage de la température
Plage de mesure: -40^ à +90.0^ (-40^ à 194^)
Résolution: 0.1°C (0.2^)
Précision de mesure : +/− 1°C dans la plage de 0°C à +40°C
+/− 2°C dans la plage restante
Mesure de la pression (baromètre / altimètre)
Plage de mesure : 300 - 1100 hPa (mbar) (8.86 - 32.48 inHg)
(correspond à environ -380 m à +9000 m)
Résolution : 0.1 hPa (0.01 inHg)
1 m (3.3 pieds)
Précision de mesure relative : +/− 0.5 hPa pour une certaine pression
Précision de mesure absolue: + / - 1 hPa au-dessus de 500-1100 hPa
Fréquence de mesure
de l'altimètre : toutes les 30 secondes
En cours de chronométrage : toutes les 2-4 secondes
Boussole
Plage de mesure: 0 à
Résolution : 1°
Précision de mesure: + / - 3°
Montre: écart de marche
pour montre quartz : ± 1 seconde/mois
Alimentation : 1 pile CR2032 3.0V
Dimensions : 67 g (pile incluse) ; affichage visuel Ø 30 mm
56 • Données techniques
9. Vertic-log - comment l'utiliser
Mischu Wirth est un alpiniste IVBV reconnu, formateur, guide d'expéditions aux quatre coins du monde et propriétaire de l'école de sports de montagne « MWGuiding » à Berne en Suisse (www.mwguiding.ch). Ensemble avec son réseau, Mischu a spécifié les fonctions du VERTIC-LOG.

- les sportifs et les randonneurs en plein air, également à la recherche d'un divertissement avec la montre et le contrôle de ses performances
- les alpinistes à la recherche d'une approche professionnelle de leurs parcours et de leurs comportements en montagne.
Pour les alpinistes, Mischu explique à la page suivante comment utiliser cette fonction de manière professionnelle.
VERTIC-LOG - comment l'utiliser • 57
Vertic-log - jusqu'au sommet !
Les sports de montagne sont agréables - et exigeants. En plus d'une bonne condition physique, de dispositions mentales appropriées, d'une endurance solide et de bonnes capacités techniques, la pratique active de ces activités sportives requiert une stratégie claire et bien pensée, avec une gestion du temps réaliste et adaptée.
Intégrez vos connaissances théoriques et votre expérience pratique à la planification de votre parcours. Visualisez votre parcours depuis le début, de l'ascension jusqu'à l'heure de retour souhaitée, en passant par les temps de pause au sommet et la descente. N'oubliez pas que les conditions peuvent changer rapidement en montagne. Organisez donc votre temps de manière à pouvoir rentrer à l'heure prévue, sans risquer de vous faire surpris par un orage.
Commencez l'enregistrement de votre ascension avec VERTIC-LOGès le début de votre parcours. Le VERTIC-LOG divise alors automatiquement votre ascension en paliers de 100 m de gain d'altitude effectif. Vous pouvez continuer à surveiller les données essentielles tout au long de l'ascension, et comparer votre progression avec vos objectifs. Ainsi, vous n'aurez pas à décider des mesures de sécurité en dernière minute.
À la fin de votre parcours, que ce soit à la maison ou au campement, vous pouvez évaluer les données enregistrées dans votre iClimber et les comparer à vos objectifs, pour ainsi en tirer de précieuses conclusions. Cela contribue au développement et à la consolidation de votre intelligence tactique. Vous renforcez donc votre sécurité en montagne.
Le THERMO PEER possède une montre à quartz et un thermomètre. L'heure peut être affichée au format 12 ou 24 heures et la température en °C ou °F.
Avec la bande velcro, le Thermo-Peer peut être fixé facilement à votre appareil de sport ou être placé dans une pièce afin de surveiller la température.
Si vous souhaitez connaître la température ambiantes tout en faisant du sport, fixez alors le Thermo-Peer à votre équipement, de manière à ce que la chaleur de votre corps ne puisse pas ALTERER le mesurage (par ex. à un sac à dos aussi loin que possible du corps et sans l'exposer au soleil direct).
Le THERMO PEER est résistant aux intempéries (pluie, éclaboussure), mais ne doit cependant pas être plongé dans l'eau ou autres liquides.
Le Thermo Peer affiche la température mesurée sur l'affichage encastré et la transmet, en cas de mode activé et dans la mesure où il est connecté à la montre, au iClimber DC-X.
La distance de transmission dépend de l'environnement (perturbations, protections etc.) et de la tension de la pile du Thermo Peer et du iClimber DC-X. Notez dans ce contexte que des températures froides influencent négativement la puissance de la pile!
Dans un champ libre non perturbé, une distance de 10 m et plus est possible. Dans un environnement véritable comme celui dans lequel nous vivons, de fortes restrictions de la distance sont possibles.
- Le Thermo Peer est fourni avec une pile insérée et se trouve dans un mode sommeil protégeant la pile. L'affichage est désactivé dans cet état, donc « vide ».
- Presser une touche quelconque pendant au minimum 5 secondes pour activer le Thermo Peer.
- Le Peer peut être utilisé comme décrit ci-dessous.
Le Thermo Peer est un appareil de mesure de haute qualité, compétent de nombreuses fonctions que vous pouvez influencer. Quelques fonctions exécutées en arrêt-plan (par ex. la montre) ne peuvent cependant pas être influencées. Soyez conscient que l'utilisation active de chaque fonction supplémentaire nécessite du courant et ainsi des piles. Si vous avez activé en permanence la transmission active, la puissance de la pile est alors également utilisée et ceci a une influence directe sur la durée de vie de la pile.
Si vous partez en expedition lors de laquelle vous utiliserez le Thermo Peer intensivement et vous serez soumis vous et votre équipement à des températures très froides, nous vous recommendons vivement d'emporter des piles de rechange (type CR2032).
Le Thermo Peer en tant que montre simple a une durée de vie de jusqu'à un an. L'utilisation répétée de nombreuses fonctions peut réduire la durée de vie des piles de jusqu'à quelques semaines!
10.2.1 Affichage LCD et touches
Toutes les fonctions sont représentées sur l'affichage à cristaux liquides (LCD) et la commande a lieu via 2 touches latérales.

Affichage segment plein avec les deux designations de touche
Si des affichages avec des données sont utilisées dans ces instructions, les données contenues divergeront de celles de votre montre. Ces affichages imprimés seront seulement d'aide à la compréhension.
Thermo Peer 61
10.2.2 Logique de commande des touches
Les fonctions des touches sont décrites en détail ci-dessous. Si les touches utilisent des symboles, veuillez retenir la logique suivante :

Presser brievement la touche

Maintenir la touche pressée pendant 2 secondes

Bon à savoir
Attention : Le Thermo-Peer est un appareil ultra sensible. Lorsque vous tenez l'appareil dans les mains lors de son utilisation, un réchauffement de celui-ci est entraîné, ainsi qu'une hausse de la température.

yours passes via thise touche d'un mode à l'autre (HEURE TEMP SYNC UPLAOD HEURE, etc.)
10.2.3 Signification des symboles LCD

Mode heure

→ Émetteur activé

→ Mode SYNC (transmission de la valeur de mesure actuelle) actif

→ Mode upload (transmission des enregistrements mesurés) actif

→ Pile faible (voir « remplacement de la pile »)

→ Thermomètre actif (dans chaque autre mode, le mesurage est désactivé!)
10.2.4 Réglage de l'heure

Vous accédez ainsi au mode de réglage

l'élément clignotant peut ainsi être modifié de manière incrémentielle

Passage à l'élément de réglage suivant


10.2.4 Activer le mode SYNC

Thermo Peer 65

10.2.8 Données techniques THERMO PEER
Important: toutes les données correspondant à une tension nominale de la pile!
Température de service -10°C à +60°C (14°F à 140°F)
Mesurage de la température
Plage de mesure: -30^ à + 90.0^ (-22^ à 194^)
Résolution: 0.5°C (0.9^)
Précision de mesure: + / - 1°C dans la plage de 0°C à +40°C
+/- 2°C dans la plage restante
Écart de marche
pour montre quartz : ± 1 seconde/jour
Alimentation : 1 pile CR2032 / 3.0V
Dimensions : 20 g (pile incluse)