GX4 - Kompresor Xblitz - Tasuta kasutusjuhend
Leidke seadme juhend tasuta GX4 Xblitz PDF-formaadis.
Korduma kippuvad küsimused - GX4 Xblitz
Kasutajate küsimused teemal GX4 Xblitz
0 küsimus selle seadme kohta. Vastake nendele, mida teate, või esitage oma.
Esita uus küsimus selle seadme kohta
Laadige alla juhend oma Kompresor PDF-formaadis tasuta! Leidke oma juhend GX4 - Xblitz ja võtke oma elektrooniline seade uuesti kätte. Sellel lehel on avaldatud kõik teie seadme kasutamiseks vajalikud dokumendid. GX4 kaubamärgi Xblitz.
KASUTUSJUHEND GX4 Xblitz
Täname teid Xblitz AIRMASTER kaasaskantava mini elektrilise pumba ostmise eest. Seade vöimaldab teil kiaresti pumbata erinevaid söidukirehve, palle ja muid esemeid, samuti saate tänu sisseehitatud manomeetrile igal ajal rohku kontrollida. Kompressor on varustatud laetava akuga, mis vöimaldab mugavalt ja juhtmevabalt pumbata. Enne kasutamist lugege lisatud juhiseid ja ettevaatusabinöusid, et vältna toote kahjustamist või ohtu.
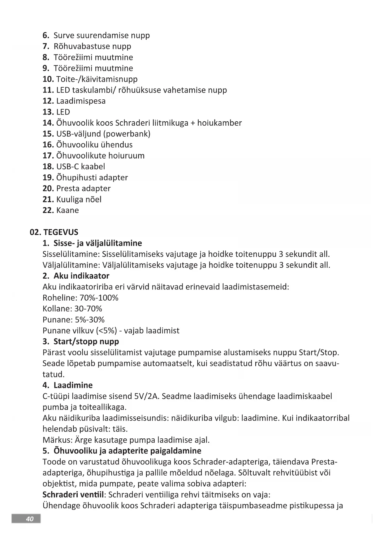
01. TOOTE KIRJELDUS VAATA JOONIST A
- Praegune survey
- Rōhuūhiku indikaator
- Määratud rohk
- Aku laetuse indikaator
-
Törežim
-
Surve suurendamise nupp
- Röhuvabastuse nupp
- Töreziimi muutmine
- Töreziimi muutmine
- Toite-/käivitamisnupp
- LED taskulambi/ rohuuksuse vahetamise nupp
- Laadimispesa
- LED
- Ohuvoolik koos Schraderi liitmikuga + hoiukamber
- USB-väljund (powerbank)
- Ohuvooliku ühendus
- Ohuvoolikute hoiruruum
- USB-C kaabel
- Ohupihusti adapter
- Presta adapter
- Kuuliga noel
- Kaane
02. TEGEVUS
1. Sisse- ja valjalulitamine
Sisselulitamine: Sisselulitamiseks vajutage ja hoidke toitenuppu 3 sekundit all.
Väljalulitamine: Väljalulitamiseks vajutage ja hoidke toitenuppu 3 sekundit all.
2. Aku indikaator
Aku indikaatoririba eri varvid naitavad erinevaid laadimistasemeid:
Roheline: 70% -100%
Kollane: 30-70%
Punane: 5% -30%
Pärast voolu sisselülitamist vajutage pumpamise alustamiseks nuppu Start/Stop. Seade lopetab pumpamise automaatset, kui seadistatud rohu vaartus on saavutatud.
4. Laadimine
C-tüpi laadimise sisend 5V/2A. Seadme laadimiseks ühendage laadimiskaabel pumba ja toiteallikaga.
Aku näidikuriba laadimisseisundis: näidikuriba vilgub: laadimine. Kui indikaatorribal helendab pusivalt: tais.
Markus: Arge kasutage pumpa laadimise ajal.
5. Ōhuvooliku ja adapterite paigaldamine
Toode on varustatud òhuvoolikuga koos Schrader-adapteriga, täiendava Presta-adapteriga, òhupihustiga ja pallile moeldud noelaga. Soltuvalt rehvitüübist voi objektist, mida pumpate, peate valima sobiva adapteri:
Schraderi ventil: Schraderi ventiiliga rehvi taitmiseks on vaja:
Uhendage ðhuvoolik koos Schraderi adapteriga tāispumbaseadme pistikupessa ja
seejärel ühendage see rehviventiliga.
Presta ventil: Presta ventiìliga rehvi tāitmiseks on vaja:
I. Ühendage öhuvoolik koos Schraderi adapteriga pumba pistikusse ja seejärel paigaldage sellele Presta adapter.
II. Keerake ventiili kork lahti, seejärel ühendage voolik koos adapteriga rehviventiili kulge.
Pallid/madratsid: pallide, madratsite voi muude esemete taitmiseks kasutage pali nõela voi ohpihustit. Taitmiseks peaksite:
I. Ühendage öhuvoolik koos Schraderi adapteriga pumba pistikusse ja seejärel ühendage sellele Presta adapter vöi ðupihusti.
II. Suruge noel voi otsik kindlalt palli voi muu pumatava objekti puiris.
6. Ohurohu kontrollimine
Kui pump on sisse lulitatud ja ühendatud pumatava objektiga, on pumba naidiku ülaosas olev number praegune rohu värtus, samas kui naidiku allosas olev number on seatud sihtvärtus.
Vajutage režiimi muutmise nuppu (NAIDE A), et valida viie olemasoleva režiimi vahel: auto, mootorratas, jalgratas, pallid ja individuaïsed seaded.
8. Rōhuīhiku muutmine
Vajutage ja hoidke all LED-lampide/rohuuhiku muutmise nuppu (vt joonist A), et muuta rohuuhikut. Ühiku teasendamise valem on jargmine: 1PSI=6,89KPA; 1BAR=14,5PSI/100KPA; 1Kg/cm2=98KPA.
9. LED valgus
Vajutage luhidalt LED-tulede/rohuaparaadi vahetamise nuppu (SEE KUVA A), et lulitada taskulamp sisse, vajutage luhidalt teist korda, et aktiveerida vilkuv reziim, vajutage luhidalt kolmandat korda, et aktiveerida SOS-reziim, vajutage luhidalt neljandat korda, et valja lulitada.
10. Röhuanduri lāhtestamine ja kalibreerimine
Lülitage pump sisse, kui seade ei ole ühegi objektiga ühendatud ja kuvatatav rohu värtus ei ole 0,0 BAR/PSI, hoidke "+" ja -" nuppu 2 sekundit all, kuni ekraan täielikult suttib ja värtus taastub normalaalseks.
Pange tāhele: pump lūlitub automaatelt välja pārast 3-minutilist tegevusetust. Seade on enne saatmist tehases lahtestatud. Erinevused körguses vōi andurites vōivad pōhjustada mōṭmishälbeid - kāsiti lahtestamine parandab tāpsust. Kali- breerimine ei ole soovitatav körgetel temperatuuridel.
11. Vördlusrohu värtused pumpamise ajal
Ohutuse tagamiseks lugege enne pumpamist kasutusjuhendist, et kontrollida omaseadme jaoks soovitatavat ohrhku. Ülepumpamine vobipohjustada plahvatusija vigastusi.
Rehvid - rehvi kuljepinnal on margitud rehvi talutav rohkude vahemik. Röhk peaks olema vastavuses koormuse kaaluga. Spordipallid (nt jalgpall, korvpall, vörkpall) - soovitatav rohk on tavaliselt margitud pumbaventiilli ümber. Nagu rehvide puhul, tuleks rohk kohandada vastavalt kasutustingimustele.
Vördlusröhk:
Auto: 26-43 PSI
Mootorratas: 30-45 PSI
Maanteeratas: 100-120 PSI
Mägijalgratas: 38-55 PSI
- Spordipallid: Korvpall: Jalgpall: 7-9 PSI; Jalgpall: 7-9 PSI; Jalgpall: 7-9 PSI; Jalgpall: 7-9 PSI: PSI: 10-12 PSI; vörkpall: 10-12 PSI; vörkpall: PSI: 4-6 PSI.
12. Ettevaatusabinöud körgete temperatuuride korral
Ohuklapi lahti keeramisel vöivad nii klapp kui ka pistikupesa saavutada körge temperatuuri seadme pika toöaja tõttu.
Ettevaatust: Arge puudutage kaablit ja ohpistikut pikema aja jooksul palja kæga!
03. TEHNILISED ANDMED
■ Aku: Li-Ion 4000mAh (7,4V/14,8Wh) ■ Väljundröhk: 2-150PSI / 0,1-10,3BAR ■ Öhuvool:
25 l/min■ Aku laadimisaeg: 3h Tööaeg: 25min Elektrooniline voolik 15 STOP röhk
LED-ekraaniga näidik 5 toorežiimi LED taskulamp USB-A (toitepank) väljund: 5V
2A= USB Type C sisend: 5V 2A= Tötemperatuur: -10~45 °C Möddud: 68x48x154g
Kaal: 450 mm
04. ETTEVAATUSTEL
- Ärge jätke pumpa pumpamise ajal järevalveta.
- Arge asetage seda tuleohtlike voi plahvatusohtlike materjalide lahedusse.
- Vältige kokkupuudet niiskuse, tolmu ja kukkumisega.
- Arge hoidke seadet aarmusliku temperatuuri ja niiskusega kohtades.
5 Toode sisaldab sisseehitatud liitiumakut - arge visake seda tulekahju voi kontrolimatul viisil. - Hoida lastele kattesaamatus kohas.
05. LAHENDAMINE
| Probleem Võimalikud põhjused Lahendusmeetod | ||
| Aeglane pumpamine | 1. Madal aku laetuse tase. | Kontrollige laadimi-staset. |
| 2. ðhuleke voolikust. | Kontrollige ðhuvooli-kut lekete suhtes. | |
| 3. Lahtised voolikuühendused. | Kontrollige ja pingutage ühendusi ðhuvooliku mõlemas otsas. | |
| 4. ðhuleke pumbatavast objektist. | Kontrollige, et pumbatas esemes ei olekslekkeid. | |
| Probleem Võimalikud | põhjused Lahendusmeetod | |
| Seade on sisse luli-tatud, kuid ei pumpa | 1. Madal aku laetuse tase. | Kontrollige laadimi-staset. |
| 2. rehvirõhk on seatud väärtusest kõrgem. | Seadke kõrgem rõhu väärtus. | |
| Seadistatud rõhku ei saa suurendada ega vähendada | Vale pumpamisrežiim on valitud. | Valige kohandatud režiim, et määrata väärtus vahemikus 2 kuni 150 PSI. |
| Pumpamine toötab, kuid rõhk naitab 0 | 1. Madala rõhuga tooted (nt ðhupal-lid) ei kuulu mõõtepiirkonda. | Kontrollige, et pumbatav objekt oleks seadme poolt toetatud. |
| 2. Kui rehv on tuhi, ilmub rõhu väär-tus alles pärast lühikest täiteaega. | Pumbake rehvi mõnda aega, et lugeda rõhku. | |
| Kui otsik on lahti keer-atud, lülitub seade automaatsalt välja. | Seadmel on automaatne väljalülitus-funktsion 3 minuti pärast. | Uuesti käivitamiseks vajutage ja hoidke all stardinuppu. |
| Öhuleke vooliku ühendamisel | Lekkinud ðhuooliku ühendus. Pingutage ðhuoolikut. | |
| Toiteindikaatori värvus muutub pumpamise ajal. | Liitiumaku tühjenemise käigus toimub pinge langus, mis toob kaasa indikaa-tori värvuse muutumise. | See nähtus on normaalne ja ei viita veale. |
| Toiteindikaatori ei sutti pärast laadimist | Vale laadimiskaabel või adapter. | Kasutage ühilduvat laadimiskaablit jaadapterit. |
06. GARANTII/KAEBUSKAART
Tootel on 24-kuuline garantii. Garantiitingimused on leitavad Aadressil:
Pretensioonid tuleb esitada, kasutades pretensioonivormi Aadressil:
Uksikasjad, kontaktandmed ja teenindusaadressi leiate Aadressilt: www.xblitz.pl.
Tehnilised andmed ja komplekti sisu voivad muutuda ilma etteatamiseta, vabandame voimalike ebamugavuste sparast.
Labi krilpsutatud prugikasti sumbol naitab, et kasutuskölmatuid elektri- wélektronikaseadmeid, nende lissaseadmeid (naleeks toiteallikad, juhtmed) wöi komponente (naleeks patareid, kui need on kaasas) el tohi koos olmejaatmetega āra visata. Seadmete vöi nende komponentide (naleeks patareide) körvaldamiseks toimetage seade kogumispunktti, kus see vaetakse tasuta vastu. Körvaldamine
toimub vastavait elektronikaromude direktivi uesti sonastatud versiononile (2012/19/EL) ning patareide ja akude direktivile (2006/66/EL). Seadme nouetekohane korvaldamine hoiaab ara looduskeskonna kahjustamise. Teavet seadmete kogumispunktide kohta annavad vila ja padevad kohlukud asutused. Jaatmete ebaöige korvaldamiise eest kehtivad karistused, mis on ette nahtud antud piirkonnas kehtiva seadusega.
BG

CnmboTbHa 3aepKHaTata K0a 3a 60knyk noKa3Ba,he HrOdHnte 3a ynotpe6a eneKtpueckn nn eneKtpoHHN yCTpoHCTBA,TexHnte npHnAdIeHHocTH (KATO 3axpaHbaun yCTPOHCTBA, KaBEN) nH KOMIOHENT (HanpHmep 6atepn, aKO ca BKNIOHEn B KOMNIeKTa) He Morat da bDaAT NxBpnnn 3aeHc 6ntoHTe OTnaDbu. 3a da HXBPnTe YCTPOHCTBATA NN TexHNTe KOMNOHENT (HanpMep
6atepn),npdaute yctpoNCTBOTo B nyHkTa 3a cbbpaHe, kdeTo ue 6bde npheo beaataHO.3xBbpnHero e npedmet Ha npepa6oteHata Bepcna Ha DnpeKTHbata 3a OEO (2012/19/EC) H Na DnpeHTbata 3a 6atepnTe anymynatopnte (2006/66/EC).PpabnnHoto hXbplnHae Ha yctpoCTBOTo npedotbpatraa BNOwabaHeto Ha CcTcHnEto Ha npipocnHata Cpeda. HOpmaunr 3a nyHKTOBeTe 3a cbbpaHe Ha CbOpbHexHHrTa Ce N3daBa OT KOMNETEHNTMeCTHM opraHH. HenpaBnHOTO 3XbBpIaHE Ha OTNaDbuntep NoJenHn Ha cAHKUnn, npedanDeHn B DeiCTBaUOTO B CbotBETHPAon OH3AKOHODaTeNCTBO.
RO
