Kübler CODIX 924 - Messgeräte

CODIX 924 - Messgeräte Kübler - Kostenlose Bedienungsanleitung

Finden Sie kostenlos die Bedienungsanleitung des Geräts CODIX 924 Kübler als PDF.

📄 152 Seiten Deutsch DE 💬 KI-Frage
Notice Kübler CODIX 924 - page 2
Handbuch anzeigen : Français FR Deutsch DE English EN Español ES Italiano IT

Benutzerfragen zu CODIX 924 Kübler

0 Frage zu diesem Gerät. Beantworten Sie die, die Sie kennen, oder stellen Sie Ihre eigene.

Eine neue Frage zu diesem Gerät stellen

L'email reste privé : il sert seulement à vous prévenir si quelqu'un répond à votre question.

Noch keine Fragen. Stellen Sie die erste.

Laden Sie die Anleitung für Ihr Messgeräte kostenlos im PDF-Format! Finden Sie Ihr Handbuch CODIX 924 - Kübler und nehmen Sie Ihr elektronisches Gerät wieder in die Hand. Auf dieser Seite sind alle Dokumente veröffentlicht, die für die Verwendung Ihres Geräts notwendig sind. CODIX 924 von der Marke Kübler.

BEDIENUNGSANLEITUNG CODIX 924 Kübler

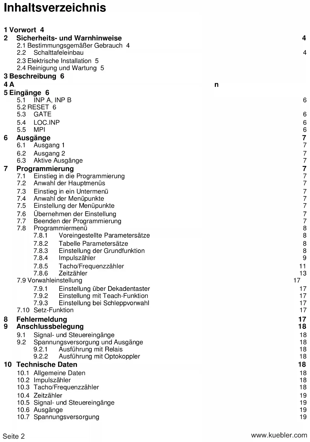
lInhaltsverzeichnis 1 Vorwort 4 2 Sicherheits- und Warnhinweise 4

2.1 Bestimmungsgemäßer Gebrauch 4

2.2 Schalttafeleinbau 4

2.3 Elektrische Installation 5

2.4 Reinigung und Wartung 5

3 Beschreibung 6 4 Anzeige/Bedienelemente 6 5 Eingänge 6

6.3 Aktive Ausgänge 7

7.1 Einstieg in die Programmierung 7

7.2 Anwahl der Hauptmenüs 7

7.3 Einstieg in ein Untermenü 7

7.4 Anwahl der Menüpunkte 7

7.5 Einstellung der Menüpunkte 7

7.6 Übernehmen der Einstellung 7

7.7 Beenden der Programmierung 7

7.8 Programmiermenü 8

7.8.1 Voreingestellte Parametersätze 8

7.8.2 Tabelle Parametersätze 8

7.8.3 Einstellung der Grundfunktion 8

7.8.4 Impulszähler 9

7.8.5 Tacho/Frequenzzähler 11

7.9.1 Einstellung über Dekadentaster 17

7.9.2 Einstellung mit Teach-Funktion 17

7.9.3 Einstellung bei Schleppvorwahl 17

7.10 Setz-Funktion 17

8 Fehlermeldung 17 9 Anschlussbelegung 18

9.1 Signal- und Steuereingänge 18

9.2 Spannungsversorgung und Ausgänge 18

9.2.1 Ausführung mit Relais 18

9.2.2 Ausführung mit Optokoppler 18

10 Technische Daten 18

10.1 Allgemeine Daten 18

10.2 Impulszähler 18

10.3 Tacho/Frequenzzähler 18

10.5 Signal- und Steuereingänge 19

10.7 Spannungsversorgung 19

Seite 2 www.kuebler.com10.8 Sensorversorgungsspannung 19

10.9 Klimatische Bedingungen 19

10.10EMV 19 10.11Gerätesicherheit 20

0.12Mechanische Daten 20 10.13Anschlüsse 20 11 Lieferumfang 20 12 Bestellschlüssel 20 13 Frequenzen (typ.) 20

13.1 Impulszähler 20

13.2 Frequenzzähler 21

14 Eingangsarten Impulszählung 22 15 Eingangsarten Zeitmessung 24 16 Eingangsarten Frequenzzähler 25 17 Ausgangsoperationen 26 18 Maßbilder 28

Seite 3 www.kuebler.com1 Vorwort Lesen Sie vor der Montage und der Inbetriebnahme diese Bedienungs- anleitung aufmerksam und vollständig durch. Beachten Sie zu Ihrer eigenen Sicherheit und der Betriebssicherheit alle Warnungen und Hinweise. Wenn das Gerät nicht nach dieser Bedienungsanleitung benutzt wird, kann der vorgesehene Schutz beeinträchtigt werden. 2 Sicherheits- und Warnhinweise Benutzen Sie das Gerät nur in technisch einwandfreiem Zustand, bestimmungs- gemäß, sicherheits- und gefahren- bewusst unter Beachtung dieser Bedienungsanleitung. Defekte oder beschädigte Geräte müs sen unverzüglich vom Netz getrennt und außer Betrieb genommen werden.

Das Gerät darf nicht geöffnet werden. Benutzen Sie den Reparaturservice des Herstellers.

Schließen Sie das Gerät nur an die vorgesehenen Stromnetze an.

Die Sicherheit des Systems in welches das Gerät integriert wird, ist in der Verantwortung des Einrichters.

Trennen Sie für Installations- und Wartungsarbeiten sämtliche Stromkreise.

Verwenden Sie nur für Ihr Land zugelassene, für Ihre Temperatur- und Leistungsbereich ausgelegte Kabel.

Installations- und Servicearbeiten dürfen nur von einer Fachkraft ausgeführt

Das Gerät muss zwingend mit externen, zugelassenen Sicherungen abgesichert werden. Den Wert entnehmen Sie den technischen Daten.

Das auf dem Gerät verwendete Symbol soll darauf hinweisen, dass es Gefahren gibt, auf die in dieser Anleitung hingewiesen wird.

2.1 Bestimmungsgemäßer

Gebrauch Der Vorwahlzähler erfasst Impulse, Zeiten und Frequenzen bis max. 60 kHz und bietet eine Vielzahl verschiedener Betriebsarten. Gleichzeitig verarbeitet der Vorwahlzähler programmierte Vorwahlen. Jeder darüber hinausgehende Gebrauch gilt als nicht bestimmungsgemäß. Der Einsatzbereich dieses Geräts liegt in industriellen Prozessen und Steuerungen von Fertigungs- straßen der Metall-, Holz-, Kunststoff-, Papier-, Glas- und Textilindustrie u.ä.. Überspannungen an den Schraubklemmen des Geräts müssen auf den Wert der Überspannungskategorie II begrenzt sein. Das Gerät darf nur im ordnungsgemäß eingebauten Zustand und entsprechend dem Kapitel „Technische Daten“ betrieben werden. Das Gerät ist nicht geeignet für den explosions- geschützten Bereich und den Einsatzbereichen, die in EN 61010 Teil 1 ausgeschlossen sind. Wird das Gerät zur Überwachung von Maschinen oder Ablaufprozessen eingesetzt, bei denen infolge eines Ausfalls oder Fehlbedienung des Gerätes eine Beschädigung der Maschine oder ein Unfall des Bedienungspersonals möglich ist, dann müssen Sie entsprechende Sicherheitsvorkehrungen treffen. Das Gerät ist für die Verwendung in Innenräumen konzipiert. Bei Einhaltung der technischen Daten kann das Gerät aber auch im Außenbereich verwendet werden. Achten Sie hierbei aber auch auf einen angemessenen UV-Schutz.

2.2 Schalttafeleinbau

Montieren Sie das Gerät entfernt von Wärmequellen und vermeiden Sie direkten Kontakt mit ätzenden Flüssigkeiten, heißem Dampf oder ähnlichen. Es muss sichergestellt werden, dass umlaufend um das Gerät 10 mm Umlüftung vorhanden ist. Das Gerät muss so eingebaut werden, dass die Anschl ussklemmen von einem Bediener unzugänglich und nicht berührbar sind. Beachten Sie beim Einbau, dass nur die Frontseite als Bedienerberührbar eingestuft ist.

1. Befestigungsrahmen vom Gerät abziehen.

2. Gerät von vorne in den Schalttafelausschnitt

einsetzen und auf korrekten Sitz der Frontrahmendichtung achten.

3. Befestigungsrahmen von hinten auf das

Gehäuse aufschieben, bis die Federbügel unter Spannung stehen und die Rastnasen oben und unten eingerastet sind. Hinweis: Bei fachgerechtem Einbau kann frontseitig IP65 erreicht werden. Seite 4 www.kuebler.com2.3 Elektrische Installation GEFAHR Trennen Sie vor Installations- oder Wartungsarbeiten das Gerät von allen Spannungsquellen und stellen Sie sicher, dass keine

BERÜHR- GEFÄHRLICHEN

Spannungen mehr vorhanden sind. AC-Versorgte Geräte dürfen nur über einen Schalter oder Leistungsschalter mit dem Niederspannungsnetz verbunden werden, welcher in der Nähe des Gerätes installiert und als dessen Trennvorrichtung gekennzeichnet ist. Installations- oder Wartungsarbeiten dürfen nur von einer Fachkraft durchgeführt werden und müssen nach den zutreffenden nationalen und internationalen Standards erfolgen. Es muss darauf geachtet werden, dass sämtliche Kleinspannungen welche in das Gerät gehen oder aus dem Gerät kommen durch doppelte bzw. verstärkte Isolation von gefährlichen, stromführenden Leitungen getrennt sind (SELV Kreise).

GEFAHR Das Gerät muss für den ordnungsgemäßen Betrieb extern abgesichert werden. Hinweise für die vorgeschriebenen Sicherungen finden Sie unter den Technischen Daten. Die Relaisausgänge sind geräteintern nicht gesichert. Ohne entsprechende Absicherung der Relaisausgänge kann es zu unerwünschter Wärmeentwicklung oder sogar zum Brand kommen. Die Relaisausgänge sind vom Errichter der Anlage extern abzusichern. Es muss auch im Fehlerfall sichergestellt werden, dass die unter den technischen Daten angegebenen Daten auf keinen Umständen überschritten werden.

  • Bei der Installation muss darauf geachtet werden, dass die Versorgungsspannung und Beschaltung der Ausgangskontakte von der gleichen Netzphase versorgt werden, damit die max. Spannung von 250V nicht überschritten wird.
  • Leitungen und deren Isolierungen müssen dem vorgesehenen Temperatur- und Spannungsbereich entsprechen. Für die Beschaffenheit der Leitungen sind die zutreffenden Standards des Landes und des Endgerätes einzuhalten. Die zulässigen Querschnitte für die Schraubbefestigungen finden Sie in den technischen Daten.
  • Überprüfen Sie vor der Inbetriebnahme den korrekten und festen Sitz der Leitungen. Nicht benutzte Schraubklemmen müssen bis zum Anschlag eingeschraubt werden damit sich diese nicht lösen und verlieren.
  • Das Gerät ist für die Überspannungskategorie II ausgelegt. Wenn nicht ausgeschlossen werden kann, dass höhere transiente Überspannungen auftreten können, müssen zusätzliche Schutzmassnahmen installiert werden, welche die Überspannungen auf die Werte der CAT II begrenzen. Hinweise zur Störsicherheit Alle Anschlüsse sind gegen äußere Störeinflüsse geschützt. Der Einsatzort ist so zu wählen, dass induktive oder kapazitive Störungen nicht auf das Gerät oder dessen Anschlussleitungen einwirken können! Durch geeignete Kabelführung und Verdrahtung können Störeinflüsse (z.B. von Schaltnetzteilen, Motoren, getaktete Reglern oder Schützen) vermindert werden. Erforderliche Maßnahmen: Für Signal- und Steuerleitungen nur geschirmtes Kabel verwenden. Kabelschirm beidseitig auflegen. Litzenquerschnitt der Leitungen min. 0,14 mm². Der Anschluss der Abschirmung an den Potentialausgleich muss so kurz wie möglich und großflächig (niederimpedant) erfolgen. Verbinden Sie die Abschirmungen nur mit der Schalttafel, wenn diese auch geerdet ist. Das Gerät muss in möglichst großem Abstand von Leitungen eingebaut werden, die mit Störungen belastet sind. Leitungsführungen parallel zu Energieleitungen vermeiden.

2.4 Reinigung und Wartung

Die Frontseite darf nur mit einem weichen, mit Wasser angefeuchteten Tuch gereinigt werden. Eine Reinigung der eingebauten Rückseite ist nicht vorgesehen und obliegt der Verantwortung des Servicepersonals oder Installateurs. Bei einem normalen Betrieb ist dieses Gerät wartungsfrei. Sollte das Gerät wiedererwartend nicht ordnungsgemäß funktionieren, muss das Gerät an den Hersteller oder Lieferanten geschickt werden. Ein eigenmächtiges öffnen und instand setzen ist nicht vorgesehen und kann den ursprünglichen Schutz beeinträchtigen.

Seite 5 www.kuebler.com3 Beschreibung 6-stellige Multifunktions- LCD-Anzeige Gut ablesbare 2-zeilige LCD-Anzeige mit Symbolen für die angezeigte Vorwahl und den Zustand der beiden Ausgänge Gleichzeitige Anzeige des Istwert und der Vorwahlen bzw. den Nebenzählern Ausführung ohne/mit hintergrundbeleuchtetem Display Add./Subtr. Vorwahlzähler mit zwei Vorwahlen Relais- oder Optokopplerausgänge Einfache Programmierung Einfache Einstellung der Vorwahlen über die Fronttasten oder über die Teach-Funktion Stufen- oder Schleppvorwahl Impuls-, Frequenz- oder Zeit- bzw. Betriebsstundenzähler Vorwahlzähler, Batchzähler oder Gesamtsummenzähler Setzfunktion für Impuls- und Zeitzähler Multiplikations- und Divisionsfaktor (00.0001 .. 99.9999) für Impuls- und Frequenzzähler Mittelwertbildung und Startverzögerung für Frequenzzähler Eingangsarten: Impulszähler: cnt.dir , up.dn , up.up , quad , quad2 , quad4 , A/B , (A-B)/Ax100% Frequenzzähler: A , A – B , A + B , quad , A/B , (A- B)/Ax100% Zeitzähler: FrErun , Auto , InpA.InpB , InpB.InpB Ausgangsoperationen: Add , Sub , AddAr, SubAr , AddBat , SubBat , AddTot , SubTot , Trail , TrailAr 4-stufiger RESET-Mode 3-stufige Tastaturverriegelung (Lock) MPI-Eingang für DisplayLatch, Teach-Funktion oder Setz-Funktion Spannungsversorgung 100 … 240 VAC ± 10%, 24 VAC oder 10 .. 30 VDC 4 Anzeige/Bedienelemente T1-6

Reset-Taste 8 Aktueller Zählwert / Hauptzähler 9 Vorwahlwert/ Gesamtsumme/ Batchzähler

Laufanzeige beim Zeitzähler

zeigt an, welcher Vorwahlwert angezeigt wird

zeigt an, welcher Vorwahlausgang aktiv ist

Zur Programmierung der Parameter benötigte

Tasten (grau hinterlegt) 5 Eingänge

Signaleingänge: Funktion je nach Betriebsart. Max. Frequenz 60 kHz, kann im Programmiermenü auf 30 Hz bedämpft werden. Impulszähler: Zähleingänge Frequenzzähler: Frequenzeingänge Zeitzähler: Starteingang bzw. Start/Stoppeingänge

Dynamischer Rücksetzeingang: Setzt den Impuls- bzw. Zeitzähler bei Add-Ausgangsoperationen auf Null, bei Sub-Ausgangsoperationen auf den Vorwahlwert 2. Der Rücksetzeingang kann im Programmiermenü gesperrt werden. Impulszähler: RESET-Eingang Frequenzzähler: ohne Funktion Zeitzähler: RESET-Eingang

Statischer Toreingang: Funktion abhängig von der Betriebsart. Impulszähler: keine Zählung solange aktiv Frequenzzähler: keine Zählung solange aktiv Zeitzähler: Zeitmessung solange aktiv (Gate.hi) Zeitmessung solange nicht aktiv (Gate.Lo).

Statischer Tastaturverriegelungseingang für Vorwahlen oder Programmierung. Verriegelungsstufe ist im Programmiermenü einstellbar.

Eingang. Programmierbar als DisplayLatch- , Set- oder Teach-Eingang. Seite 6 www.kuebler.com6 Ausgänge

Relais mit potentialfreiem Schließkontakt oder Optokoppler mit offenem Emitter und Kollektor

Relais mit potentialfreiem Wechselkontakt oder Optokoppler mit offenem Emitter und Kollektor.

Ein aktiver Ausgang wird auf dem Display mit oder angezeigt. Für Sicherheitsschaltungen können die Relais- bzw. die Optokopplerausgänge invertiert werden, d.h. die Relais werden bei Erreichen der Vorwahlen spannungslos bzw. die Optokoppler gesperrt. Hierzu müssen die Parameter Pr.OUT1 und Pr. OUT2 bei Dauersignal auf und bei Wischsignal auf bzw. eingestellt werden. 7 Programmierung

7.1 Einstieg in die Programmierung

Reset-Taste und Prog/Mode-Taste für 3 s gleichzeitig drücken In der Anzeige erscheint die Sicherheitsabfrage Mit der Prog/Mode-Taste kann die Programmierung wieder verlassen werden. Mit der Taste T2 wird die Weiterführung in der Programmierung gewählt In der Anzeige erscheint die Sicherheitsabfrage Einstieg in die Hauptmenüs durch Betätigung der Prog/Mode-Taste

7.2 Anwahl der Hauptmenüs

Mit den Tasten T2 (vor) und T1 (zurück) werden die Menüs angewählt

7.3 Einstieg in ein Untermenü

Mit der Prog/Mode-Taste wird das Untermenü geöffnet und der erste Menüpunkt wird angezeigt.

7.4 Anwahl der Menüpunkte

Mit der Prog/Mode-Taste wird innerhalb des Untermenüs ein Menüpunkt angewählt.

7.5 Einstellung der Menüpunkte

Mit der Taste T2 werden die einzelnen Einstellungen der Menüpunkte angewählt

Bei Einstellungen von Zahlenwerten ist jeder Dekade eine Taste zugeordnet, mit der der Wert um Eins erhöht werden kann

7.6 Übernehmen der Einstellung

Durch Betätigen der Prog/Mode-Taste wird die aktuelle Einstellung übernommen und in den nächsten Menüpunkt weiter geschaltet.

7.7 Beenden der Programmierung

Während der Programmierung kann durch Betätigung der Reset-Taste die Programmierung bei jedem Menüpunkt beendet werden. Reset-Taste betätigen

In der Anzeige erscheint die Sicherheitsabfrage Bei Bestätigung dieser Abfrage mit der Prog/Mode-Taste beginnt das Programmiermenü von vorne. Die zuletzt eingestellten Werte bleiben erhalten. Diese können nun nochmals verändert oder kontrolliert werden. Mit der Dekadentaste T2 wird die Beendung der Programmierung angewählt In der Anzeige erscheint die Sicherheitsabfrage

Seite 7 www.kuebler.comBei Bestätigung dieser Abfrage mit der Prog/Mode-Taste wird die Programmierung beendet und die geänderten Einstellungen im EEPROM gespeichert. In der Anzeige wird für 2 s der Text SAVE angezeigt

7.8.1 Voreingestellte Parametersätze

Hinweis Es sind drei Parametersätze fest hinterlegt, die bei Bedarf angepasst werden können. Bei jedem Bestätigen der Parametersätze werden alle Parameter auf die in der Tabelle aufgeführten Werte zurückgesetzt. Der dEFAuL P.USEr kann frei programmiert werden.

Voreinstellung Parametersatz 1 Voreinstellung Parametersatz 2 Voreinstellung Parametersatz 3 Freie Benutzereinstellungen

Werkseinstellungen sind grau hinterlegt

7.8.3 Einstellung der Grundfunktion

Programmiermenü Impulszähler (7.8.4)

Programmiermenü Zeitzähler/Betriebsstundenzähler (7.8.6) Programmiermenü Tacho/Frequenzzähler (7.8.5)

Seite 8 www.kuebler.com7 .8.4 Impulszähler

7.8.4.1 Hauptmenü für die Signal- und

Steuereingänge Hauptmenü zum Programmieren der Signal- und Steuereingänge

Eingangspolarität PnP: nach Plus schaltend für alle Eingänge gemeinsam

nPn: nach 0 V schaltend für alle Eingänge gemeinsam Filter für die Signaleingänge InpA und InpB maximale Zählfrequenz

auf ca. 30 Hz bedämpft (zur Ansteuerung mit mechanischen Kontakten) Zähleingangsart Zählung/Richtungssteuerung INP A: Zähleingang INP B: Zählrichtungseingang Differenzzählung [A – B] INP A: Zähleingang add INP B: Zähleingang sub Summenzählung [A + B] INP A: Zähleingang add INP B: Zähleingang add Phasendiskriminator INP A: Zähleingang 0° INP B: Zähleingang 90° Phasendiskriminator mit Impulsverdopplung INP A: Zähleingang 0° INP B: Zähleingang 90° Jede Flanke von INP A wird gezählt Phasendiskriminator mit Impulsvervierfachung INP A: Zähleingang 0° INP B: Zähleingang 90° Jede Flanke von INP A und INP B wird gezählt. Ratiomessung [A / B] Inp A: Zähleingang A Inp B: Zähleingang B Prozentuale Differenzzählung [(A – B) / A in %] Inp A: Zähleingang A Inp B: Zähleingang B Benutzereingang Anzeige wird beim Aktivieren des MPI-Eingangs „eingefroren“ und bleibt solange „eingefroren“ bis der MPI-Eingang deaktiviert wird. Intern zählt der Vorwahlzähler weiter. Beim Aktivieren des MPI-Eingangs wird der aktuelle Zählerstand für die gerade angewählte Vorwahl als neuen Vorwahlwert übernommen Siehe auch 7.9 Beim Aktivieren des MPI-Eingangs wird der Vorwahlzähler auf den Wert vom Parameter SEtPt gesetzt. Siehe auch 7.10 Verriegelungseingang Beim Aktivieren des Lock-Eingangs ist die Programmierung gesperrt. Beim Aktivieren des Lock-Eingangs ist die Einstellung der Vorwahlwerte gesperrt. Beim Aktivieren des Lock-Eingang sind die Einstellung der Vorwahlwerte und die Programmierung gesperrt.

7.8.4.2 Hauptmenü für Ausgangsoperationen

Hauptmenü zur Festlegung der Ausgangsoperation Addierende Zählung Ausgänge aktiv bei Zählerstand > Vorwahlwert Reset auf Null

Seite 9 www.kuebler.comSubtrahierende Zählung Ausgang 1 aktiv bei Zählerstand < Vorwahlwert 1 Ausgang 2 aktiv bei Zählerstand < 0 Reset auf Vorwahlwert 2 Addierende Zählung mit automatischem Reset Ausgang 1 aktiv bei Zählerstand > Vorwahlwert 1 Ausgang 2 (Wischsignal) aktiv bei Zählerstand = Vorwahlwert 2 Automatischer Reset auf Null bei Zählerstand = Vorwahlwert 2 Reset auf Null Subtrahierende Zählung mit automatischem Reset Ausgang 1 aktiv bei Zählerstand < Vorwahlwert 1 Ausgang 2 (Wischsignal) aktiv bei Zählerstand = 0 Automatischer Reset auf Vorwahl 2 bei Zählerstand = 0 Reset auf Vorwahlwert 2 Addierende Zählung mit automatischem Reset und Batchzähler Ausgang 2 (Wischsignal) aktiv bei Hauptzähler = Vorwahlwert 2 Automatischer Reset auf Null bei Hauptzähler = Vorwahlwert 2 Batchzähler zählt die Anzahl der automatischen Wiederholungen von Vorwahl 2 Ausgang 1 aktiv bei Batchzähler > Vorwahl 1 Manueller Reset setzt beide Zähler auf Null Elektrischer Reset setzt nur Hauptzähler auf Null Subtrahierende Zählung mit automatischem Reset und Batchzähler Ausgang 2 (Wischsignal) aktiv bei Hauptzähler = Null Automatischer Reset auf Vorwahlwert 2 bei Hauptzähler = Null Batchzähler zählt die Anzahl der automatischen Wiederholungen von Vorwahl 2 Ausgang 1 aktiv bei Batchzähler > Vorwahl Manueller Reset setzt Hauptzähler auf Vorwahlwert2, Batchzähler auf Null Elektrischer Reset setzt nur Hauptzähler auf Vorwahlwert 2 Addierende Zählung mit automatischem Reset und Gesamtsummenzähler Ausgang 2 (Wischsignal) aktiv bei Hauptzähler = Vorwahlwert 2 Automatischer Reset auf Null bei Hauptzähler = Vorwahlwert 2 Gesamtsummenzähler zählt alle Zählimpulse vom Hauptzähler Ausgang 1 aktiv bei Gesamtsummenzähler > Vorwahlwert 1 Manueller Reset setzt beide Zähler auf Null Elektrischer Reset setzt nur Hauptzähler auf Null Subtrahierende Zählung mit automatischem Reset und Gesamtsummenzähler Ausgang 2 (Wischsignal) aktiv bei Hauptzähler = Null Automatischer Reset auf Vorwahlwert 2 bei Hauptzähler = Null Gesamtsummenzähler zählt (sub von Vorwahlwert 1) alle Zählimpulse vom Hauptzähler Ausgang 1 aktiv bei Gesamtsummenzähler < Null Manueller Reset setzt beide Zähler auf die Vorwahlwerte Elektrischer Reset setzt nur Hauptzähler auf Vorwahlwert 2 Schleppvorwahlbetrieb Vorwahl1 wird bei Veränderung des Vorwahlwerts 2 automatisch nachgezogen. Reset auf Null Vorwahl 1 relativ zu Vorwahl 2 (siehe auch unter 17. Ausgangs- Operationen) Schleppvorwahlbetrieb mit automatischem Reset Vorwahl1 wird bei Veränderung des Vorwahlwert 2 automatisch nachgezogen. Automatischer Reset auf Null bei Hauptzähler = Vorwahlwert 2. Vorwahl 1 relativ zu Vorwahl2 (siehe auch unter 17. Ausgangs- operationen)

Seite 10 www.kuebler.com7.8.4.3 Hauptmenü zur Konfiguration Hauptmenü zur Anpassung der Eingangsimpulse und Anzeige

Multiplikationsfaktor Multiplikationsfaktor von 00.0001 bis 99.9999 einstellbar. Die Einstellung 00.0000 wird nicht übernommen Divisionsfaktor Divisionsfaktor von 01.0000 bis 99.9999 einstellbar. Die Einstellung < 01.0000 wird nicht übernommen Dezimalpunkteinstellung Dezimalpunkt (nur anzeigend) 0 keine Dezimalstelle 0.0 1 Dezimalstelle 0.00 2 Dezimalstellen 0.00 0 3 De zimals tele n 0.0000 4 Dezimalstellen 0.00000 5 Dezimalstellen Setzwert Setzwert von -999999 bis 999999 einstellbar Ein zuvor programmierter Dezimalpunkt wird angezeigt Anzeigefarbe (bei Gerät 6.92x.x1x3.xx0) Anzeigefarbe obere Zeile rot untere Zeile rot Anzeigefarbe obere Zeile rot untere Zeile grün

7.8.4.4 Hauptmenü für Rücksetzmode

Einstellung des Rücksetzmodes

manuelle Rückstellung (mit roter Taste) und elektrische Rückstellung (Reset-Eingang) keine Rückstellung möglich (rote Taste und Reset-Eingang gesperrt) nur elektrische Rückstellung möglich (Reset-Eingang)

nur manuelle Rückstellung möglich (rote Taste)

7.8.5 Tacho/Frequenzzähler

7.8.5.1 Hauptmenü für die Signal- und

Steuereingänge Hauptmenü zum Programmieren der Signal- und Steuereingänge Eingangspolarität PnP: nach Plus schaltend für alle Eingänge gemeinsam nPn: nach 0V schaltend für alle Eingänge gemeinsam Filter für die Signaleingänge Inp A und Inp B maximale Zählfrequenz

auf ca. 30 Hz bedämpft (zur Ansteuerung mit mechanischen Kontakten) Eingangsart Frequenzmessung Einfache Frequenzmessung Inp A: Frequenzeingang Inp B: ohne Funktion Differenzmessung [A – B] Inp A: Frequenzeingang A Inp B: Frequenzeingang B

Seite 11 www.kuebler.comSummenmessung [A + B] Inp A: Frequenzeingang A Inp B: Frequenzeingang B Frequenzmessung mit Richtungserkennung [Quad] Inp A: Frequenzeingang 0° Inp B: Frequenzeingang 90° Ratiomessung [A / B] Inp A: Frequenzeingang A Inp B: Frequenzeingang B Prozentuale Differenzmessung [(A-B) / A in %] Inp A: Frequenzeingang A Inp B: Frequenzeingang B Benutzereingang Anzeige wird beim Aktivieren des MPI-Eingangs „eingefroren“ und bleibt solange „eingefroren“ bis der MPI-Eingang deaktiviert wird. Intern arbeitet der Frequenzzähler weiter (Anzeigespeicher) Beim Aktivieren des MPI- Eingangs wird die aktuelle Frequenz für die gerade angewählte Vorwahl als neuen Vorwahlwert übernommen. Siehe auch 7.9 Verriegelungseingang Beim Aktivieren des Lock- Eingangs ist die Programmierung gesperrt. Beim Aktivieren des Lock- Eingangs ist die Einstellung der Vorwahlwerte gesperrt. Beim Aktivieren des Lock- Eingang sind die Einstellung der Vorwahlwerte und die Programmierung gesperrt.

7.8.5.2 Hauptmenü zur Konfiguration

Hauptmenü zur Anpassung der Eingangsfrequenz und Anzeige

Multiplikationsfaktor Multiplikationsfaktor von 00.0001 bis 99.9999 einstellbar. Die Einstellung 00.0000 wird nicht übernommen Divisionsfaktor Divisionsfaktor von 01.0000 bis 99.9999 einstellbar. Die Einstellung <01.0000 wird nicht übernommen Anzeigemode Umrechnung und Anzeige der Frequenz / Geschwindigkeit in 1/s Umrechnung und Anzeige der Frequenz / Geschwindigkeit in 1/min Dezimalpunkteinstellung Dezimalpunkt (legt die Auflösung fest) 0 keine Dezimalstelle

0.00 2 Dezimalstellen

0.00 0 3 De zimals tele n

Gleitende Mittelwertbildung Gleitende Mittelwertbildung aus AVG 2 über 2 Messungen AVG 5 über 5 Messungen AVG 10 über 10 Messungen AVG 20 über 20 Messungen Anlaufverzögerung Anlaufverzögerung von 00.0 bis 99.9 s einstellbar Beim Start einer Messung werden Messergebnisse innerhalb dieser Zeit unterdrückt Wartezeit Wartezeit von 00.1 bis 99.9 s einstellbar Dieser Wert gibt an, wie lange nach der letzten gültigen Flanke gewartet werden soll, bis in der Anzeige Null angezeigt wird. Anzeigefarbe (bei Gerät 6.92x.x1x3.xx0) Anzeigefarbe obere Zeile rot untere Zeile rot

Seite 12 www.kuebler.comAnzeigefarbe obere Zeile rot untere Zeile grün

7.8.6.1 Hauptmenü für die Signal- und

Steuereingänge Hauptmenü zum Programmieren der Signal- und Steuereingänge Eingangspolarität PnP: nach Plus schaltend für alle Eingänge gemeinsam nPn: nach 0 V schaltend für alle Eingänge gemeinsam Filter für die Signaleingänge Inp A und Inp B bei elektronischer Ansteuerung der Signaleingänge

bei mechanischer Ansteuerung der Signaleingänge (zur Ansteuerung mit mechanischen Kontakten) Eingangsart Zeitmessung Start: Flanke an Inp A Stop: Flanke an Inp B

Start: 1. Flanke an Inp B Stop: 2. Flanke an Inp B Zeitzählung kann nur über den Gate-Eingang gesteuert werden Inp A und Inp B ohne Funktion

Der Zeitzähler wird durch ein RESET (auf Null bei addierenden Ausgangsoperationen, auf Vorwahl 2 bei subtrahierenden Ausgangsoperationen) zurückgesetzt und wieder gestartet. Bei addierenden Ausgangsoperationen wird bei Erreichen der Vorwahl 2 , bei subtrahierenden Ausgangsoperationen bei Erreichen von Null die Zeitmessung gestoppt. Ein RESET während der Zeitzählung stoppt diese ebenfalls. Inp A und Inp B ohne Funktion. Gatesteuerung für Zeitmessung Zeitzählung erfolgt, wenn Gate-Eingang nicht aktiv ist. Zeitzählung erfolgt, wenn Gate-Eingang aktiv ist Benutzereingang Anzeige wird beim Aktivieren des MPI-Eingangs „eingefroren“ und bleibt solange „eingefroren“ bis der MPI-Eingang deaktiviert wird. Intern zählt der Zeit-Vorwahlzähler weiter (Anzeigespeciher). Beim Aktivieren des MPI-Eingangs wird der aktuelle Zählerstand für die gerade angewählte Vorwahl als neuen Vorwahlwert übernommen. Siehe auch 7.9 Beim Aktivieren des MPI-Eingangs wird der Zeit-Vorwahlzähler auf den Wert vom Parameter SEtPt gesetzt. Siehe auch 7.10 Verriegelungseingang Beim Aktivieren des Lock-Eingangs ist die Programmierung gesperrt. Beim Aktivieren des Lock-Eingangs ist die Einstellung der Vorwahlwerte gesperrt.

Beim Aktivieren des Lock-Eingang sind die Einstellung der Vorwahlwerte und die Programmierung gesperrt.

Seite 13 www.kuebler.com7.8.6.2 Hauptmenü für Ausgangsoperationen Festlegung der Ausgangsoperation

Addierende Zählung Ausgänge aktiv bei Zählerstand > Vorwahlwert Reset auf Null Subtrahierende Zählung Ausgang 1 aktiv bei Zählerstand < Vorwahlwert 1 Ausgang 2 aktiv bei Zählerstand < 0 Reset auf Vorwahlwert 2 Addierende Zählung mit automatischem Reset Ausgang 1 aktiv bei Zählerstand > Vorwahlwert 1 Ausgang 2 (Wischsignal) aktiv bei Zählerstand = Vorwahlwert 2 Automatischer Reset auf Null bei Zählerstand = Vorwahlwert 2 Reset auf Null Subtrahierende Zählung mit automatischem Reset Ausgang 1 aktiv bei Zählerstand < Vorwahlwert 1 Ausgang 2 (Wischsignal) aktiv bei Zählerstand = 0 Automatischer Reset auf Vorwahl 2 bei Zählerstand = 0 Reset auf Vorwahlwert 2 Addierende Zählung mit automatischem Reset und Batchzähler Ausgang 2 (Wischsignal) aktiv bei Hauptzähler = Vorwahlwert 2 Automatischer Reset auf Null bei Hauptzähler = Vorwahlwert 2 Batchzähler zählt die Anzahl der automatischen Wiederholungen von Vorwahl 2 Ausgang 1 aktiv bei Batchzähler > Vorwahl 1 Manueller Reset setzt beide Zähler auf Null Elektrischer Reset setzt nur Hauptzähler auf Null Subtrahierende Zählung mit automatischem Reset und Batchzähler Ausgang 2 (Wischsignal) aktiv bei Hauptzähler = Null Automatischer Reset auf Vorwahlwert 2 bei Hauptzähler = Null Batchzähler zählt die Anzahl der automatischen Wiederholungen von Vorwahl 2 Ausgang 1 aktiv bei Batchzähler > Vorwahl Manueller Reset setzt Hauptzähler auf Vorwahlwert 2, und den Batchzähler auf Null Elektrischer Reset setzt nur Hauptzähler auf Vorwahlwert 2 Addierende Zählung mit automatischem Reset und Gesamtsummenzähler Ausgang 2 (Wischsignal) aktiv bei Hauptzähler = Vorwahlwert 2 Automatischer Reset auf Null bei Hauptzähler = Vorwahlwert 2 Gesamtsummenzähler zählt alle Zählimpulse vom Hauptzähler Ausgang 1 aktiv bei Gesamtsummenzähler >Vorwahlwert 1 Manueller Reset setzt beide Zähler auf Null Elektrischer Reset setzt nur Hauptzähler auf Null Subtrahierende Zählung mit automatischem Reset und Gesamtsummenzähler Ausgang 2 (Wischsignal) aktiv bei Hauptzähler = Null Automatischer Reset auf Vorwahlwert 2 bei Hauptzähler = Null Gesamtsummenzähler zählt (sub von Vorwahlwert 1) alle Zählimpulse vom Hauptzähler Ausgang 1 aktiv bei Gesamtsummenzähler < Null Manueller Reset setzt beide Zähler auf die Vorwahlwerte Elektrischer Reset setzt nur Hauptzähler auf Vorwahlwert 2 Schleppvorwahlbetrieb Vorwahl1 wird bei Veränderung des Vorwahlwerts 2 automatisch nachgezogen Reset auf Null. Vorwahl 1 relativ zu Vorwahl 2 (siehe auch unter 17. Ausgangs- operationen) Schleppvorwahlbetrieb mit automatischem Reset Vorwahl1 wird bei Veränderung des Vorwahlwert 2 automatisch nachgezogen Automatischer Reset auf Null bei Hauptzähler = Vorwahlwert 2.

Seite 14 www.kuebler.comVorwahl 1 relativ zu Vorwahl 2 (siehe auch unter 17. Ausgangs-operationen) 7.8.6.3 Hauptmenü zur Konfiguration Parameter-Menü zum Anpassung der Zeitbereiche und Anzeige Zeiteinheit Zeiteinheit Sekunden Dezimalpunkteinstellung bestimmt die Auflösung Zeiteinheit Minuten Dezimalpunkteinstellung bestimmt die Auflösung Zeiteinheit Stunden Dezimalpunkteinstellung bestimmt die Auflösung Zeiteinheit Std. Min. s

Dezimalpunkteinstellung (Auflösung) Dezimalpunkt (legt die Auflösung fest) 0 keine Dezimalstelle 0.0 1 Dezimalstelle 0.00 2 Dezimalstellen 0.000 3 De zimalstelen Setzwert Setzwert von 000000 bis 999999 einstellbar Der zuvor programmierter Dezimalpunkt wird angezeigt

Anzeigefarbe (bei 6.92x.x1x3.xx0] Anzeigefarbe obere Zeile rot untere Zeile rot

Anzeigefarbe obere Zeile rot untere Zeile grün

7.8.6.4 Hauptmenü für Rücksetzmode Einstellung des Rücksetzmodes

manuelle Rückstellung (mit roter Taste) und elektrische Rückstellung (Reset-Eingang) keine Rückstellung möglich (rote Taste und Reset-Eingang gesperrt) nur elektrische Rückstellung möglich (Reset-Eingang) nur manuelle Rückstellung möglich (rote Taste)

7.8.6.5 Hauptmenü für Vorwahl 1 Hauptmenü zum Ein/ Ausschalten der Vorwahl 1

Vorwahl 1 aus und ohne Funktion add. Ausgangsoperationen: Dauersignal am Ausgang1, wird bei Zählerstand > Vorwahl 1 aktiv sub. Ausgangsoperationen: Dauersignal am Ausgang 1, wird bei Zählerstand < Vorwahl 1 aktiv add. Ausgangsoperationen: Dauersignal am Ausgang1, wird bei Zählerstand > Vorwahl 1 passiv sub. Ausgangsoperationen: Dauersignal am Ausgang 1, wird bei Zählerstand < Vorwahl 1 passiv add. Ausgangsoperationen: Wischsignal am Ausgang1, wird bei Zählerstand > Vorwahl 1 aktiv. (Aktivierung nur in positiver Richtung) sub. Ausgangsoperationen: Wischsignal am Ausgang 1, wird bei Zählerstand < Vorwahl 1 aktiv (Aktivierung nur in negativer Richtung) add. Ausgangsoperationen: Wischsignal am Ausgang1, wird bei Zählerstand > Vorwahl 1 passiv. (Deaktivierung nur in

Seite 15 www.kuebler.compositive Richtung) sub. Ausgangsoperationen: Wischsignal am Ausgang 1, wird bei Zählerstand < Vorwahl 1 passiv. (Deaktivierung nur in negativer Richtung). add. Ausgangsoperationen: Wischsignal am Ausgang1, wird bei positiver Richtung und Zählerstand > Vorwahl 1 aktiv und anschließend bei negativer Richtung und Zählerstand < Vorwahl 1 aktiv sub. Ausgangsoperationen: Wischsignal am Ausgang 1, wird bei negativer Richtung und Zählerstand < Vorwahl 1 aktiv und anschließend bei positiver Richtung und Zählerstand > Vorwahl 1 aktiv add. Ausgangsoperationen: Wischsignal am Ausgang1, wird bei positiver Richtung und Zählerstand > Vorwahl 1 passiv und anschließend bei negativer Richtung und Zählerstand < Vorwahl 1 passiv sub. Ausgangsoperationen: Wischsignal am Ausgang 1, wird bei negativer Richtung und Zählerstand < Vorwahl 1 passiv und anschließend bei positiver Richtung und Zählerstand > Vorwahl 1 passiv Dauer des Wischsignals von Ausgang 1, einstellbar von 00.01 bis 99.99 s. Wischsignal wird nachgetriggert

7.8.6.6 Hauptmenü für Vorwahl 2

Hauptmenü für Vorwahl 2

add. Ausgangsoperationen: Dauersignal am Ausgang2, wird bei Zählerstand >= Vorwahl 2 aktiv sub. Ausgangsoperationen: Dauersignal am Ausgang 2, wird bei Zählerstand < Null aktiv add. Ausgangsoperationen: Dauersignal am Ausgang2, wird bei Zählerstand > Vorwahl 2 passiv sub. Ausgangsoperationen: Dauersignal am Ausgang 2, wird bei Zählerstand < Null passiv add. Ausgangsoperationen: Wischsignal am Ausgang2, wird bei Zählerstand > Vorwahl 2 aktiv (Aktivierung nur in positiver Richtung). sub. Ausgangsoperationen: Dauersignal am Ausgang 2, wird bei Zählerstand < Null aktiv (Aktivierung nur in negative Richtung) add. Ausgangsoperationen: Wischsignal am Ausgang2, wird bei Zählerstand > Vorwahl 2 passiv (Deaktivierung nur in positive Richtung) sub. Ausgangsoperationen: Dauersignal am Ausgang 2, wird bei Zählerstand < Null passiv (Deaktivierung nur in negative Richtung). add. Ausgangsoperationen: Wischsignal am Ausgang2, wird bei positiver Richtung und Zählerstand > Vorwahl 2 aktiv und anschließend bei negativer Richtung und Zählerstand < Vorwahl 2 aktiv sub. Ausgangsoperationen: Wischsignal am Ausgang 2, wird bei negativer Richtung und Zählerstand < Null aktiv und anschließend bei positiver Richtung und Zählerstand > Null aktiv add. Ausgangsoperationen: Wischsignal am Ausgang2, wird bei positiver Richtung und Zählerstand > Vorwahl 2 passiv und anschließend bei negativer Richtung und Zählerstand < Vorwahl 2 passiv sub. Ausgangsoperationen: Wischsignal am Ausgang 2, wird bei negativer Richtung und Zählerstand < Null passiv und anschließend bei positiver Richtung und Zählerstand > Null passiv Dauer des Wischsignals von Ausgang 2, einstellbar von 00.01 bis 99.99 s. Wischsignal wird nachgetriggert.

Seite 16 www.kuebler.comAktiv: Relais bzw. Optokoppler werden bei Erreichen des Vorwahlwerts angesteuert. Passiv: Relais wird bei Erreichen des Vorwahlwert spannungslos bzw. der Optokoppler gesperrt.

7.9.1 Einstellung über Dekadentaster

Im Betriebsmode wird in der unteren Zeile immer Preset 2 angezeigt. Ausnahme sind die Ausgangsoperationen AddBat, SubBat,AddTot und SubTot. Prog/Mode-Taste betätigen bis die zu ändernde Vorwahl oder angezeigt wird. Beliebige Dekadentaste betätigen Anzeige schaltet in den Editiermode Mit Dekadentasten gewünschten Vorwahlwert einstellen

Prog/Mode-Taste betätigen um den Wert zu bestätigen und zu speichern Anzeige schaltet in den Editiermode der nächsten Vorwahl oder Ca. 3 s nach dem letzten Betätigen der Dekadentasten oder durch Betätigen der Reset-Taste wird der neue Vorwahlwert übernommen und in den Betriebsmode zurück geschaltet.

7.9.2 Einstellung mit Teach-Funktion

MPI-Eingang auf tEAch programmieren

Im Betriebsmode mit der Prog/Mode-Taste die zu ändernde Vorwahl auswählen

MPI-Eingang (NPN oder PNP-Eingangslogik) kurzzeitig aktivieren der aktuelle Zählerstand wird als neuer Vorwahlwert übernommen

Der Vorwahlwert kann anschließend weiter mit den Dekadentaster geändert werden

7.9.3 Einstellung bei Schleppvorwahl

Bei programmierter Schleppvorwahl kann der Wert für Vorwahl 2 über die Dekadenschalter oder über die Teach-Funktion eingestellt werden. Für Vorwahl 1 muss der Wert weiterhin über die Dekadenschalter eingestellt werden. Hier ist die Teach-Funktion ausgeschaltet.

Impulszähler und Zeitzähler können über die Setzfunktion auf einen Wert voreingestellt werden. MPI-Eingang auf SEt programmieren

Menüpunkt SEtPt auf gewünschten Wert einstellen

MPI-Eingang (NPN oder PNP-Eingangslogik) kurzzeitig aktivieren Impulszähler bzw. Zeitzähler wird bei add. Ausgangsoperationen auf den Wert von SEtPt voreingestellt, bei sub. Ausgangsoperationen auf die Summe von Vorwahl 2 und den Wert von SEtPt . 8 Fehlermeldung Err 1 Setzwert außerhalb des erlaubten Bereichs

Seite 17 www.kuebler.com9 Anschlussbelegung

9.1 Signal- und Steuereingänge

Bennennung Funktion 1 AC: 24 VDC/80 mA DC: U B durchgeschleift Sensorversorgungs- Spannung 2 GND (0 VDC) Gemeinsamer Anschluss Signal- und Steuereingänge 3 INP A Signaleingang A 4 INP B Signaleingang B 5 RESET Rücksetzeingang 6 LOCK Tastaturverriegelung 7 GATE Toreingang 8 MPI Benutzereingang

9.2 Spannungsversorgung und

9.2.1 Ausführung mit Relais

Benennung Funktion 9 Relaiskontakt C.1 Ausgang 1

Relaiskontakt C.2 Ausgang 2

DC: 10..30 VDC Spannungs- versorgung

DC: GND (0 VDC) Spannungs- versorgung

.2.2 Ausführung mit Optokoppler

Benennung Funktion 9 Collector 1 Ausgang 1

DC: 10..30 VDC Spannungs- versorgung

DC: GND (0 VDC) Spannungs- versorgung 10 Technische Daten

10.1 Allgemeine Daten

Anzeige LCD positiv oder negativ, hinterleuchtet 2 x 6-stellig Ziffernhöhe obere Zeile 9 mm untere Zeile 7 mm Sonderzeichen 2 mm Übersteuerung/ Blinken, 1 s Untersteuerung Zähler verliert bis 1 Dekade keine Impulse Datensicherung > 10 Jahre, EEPROM Bedienung 8 Tasten

Zählfrequenz max. 55 kHz (siehe unter 13. Frequenzen typ.) Ansprechzeit der Ausgänge: Relais Add;Sub;Trail < 13 ms bei automatischer Wiederholung < 13 ms A/B ; (A-B)/A < 34 ms Optokoppler Add/Sub/Trail < 1 ms bei automatischer Wiederholung < 1 ms A/B ; (A-B)/A < 23 ms

10.3 Tacho/Frequenzzähler

Frequenzbereich 0,01 Hz bis 65 kHz (siehe unter 13. Frequenzen typ.) Bei Frequenzen < 10 Hz muss die Wait-Time entsprechend vergrößert werden um eine Anzeige zu erhalten M e s s p r i n z i p ≤ 76.3 Hz Periodendauer > 76.3 Hz Torzeit Torzeit ca. 13,1 ms Seite 18 www.kuebler.comMessfehler < 0,1% je Kanal Ansprechzeit der Ausgänge: 1-Kanal-Betrieb < 100 ms @ 40 kHz < 350 ms @ 65 kHz 2-Kanal-Betrieb < 150 ms @ 40 kHz < 600 ms @ 65 kHz

10.5 Signal- und Steuereingänge

  • SELV Kreise, Reinforced / doppelte Isolierung Polarität: programmierbar NPN/PNP für alle Eingänge gemeinsam Eingangswiderstand 5 kΩ Impulsform beliebig Schaltpegel bei AC-Versorgung: HTL-Pegel Low: 0 p. 4
  • VDC High: 12 p. 30
  • VDC 4-30 VPegel Low: 0 p. 2
  • VDC High: 3,5 … 30 VDC Schaltpegel bei DC-Versorgung: HTL-Pegel Low: 0 p. 0
  • ,2 x UB High: 0,6 x UB p. 30
  • VDC 4-30 V Pegel Low: 0 p. 2
  • VDC High: 3,5 VDC Mindestimpulsdauer des Reseteingangs: 1 ms Mindestimpulsdauer der Steuereingänge: 10 ms p. 30

Ausgang 1 Relais mit Schließkontakt Vorgeschriebene Absicherung: 3A programmierbar als Öffner oder Schließer Schaltspannung max. 250 VAC/ 110 VDC Schaltstrom max. 3 A AC/ A DC min. 30 mA DC Schaltleistung max. 750 VA / 90 W

Die Maximalen Werte dürfen auf keinen Fall überschritten werden! Mechanische Lebensdauer (Schaltspiele) 2x10

Anzahl der Schaltspiele bei 3 A/ 250 V AC 1x10

Anzahl der Schaltspiele bei 3 A/ 30 V DC 1x10

oder NPN-Optokoppler Schaltleistung 30 VDC/10 mA

CESAT bei IC = 10 mA: max. 2,0 V

CESAT bei IC = 5 mA: max. 0,4 V Ausgang 2 Relais mit Wechselkontakt Vorgeschriebene Absicherung: 3A Schaltspannung max. 250 VAC/ 150 VDC Schaltstrom max. 3 A AC/ A DC min. 30 mA DC Schaltleistung max. 750 VA/ 90 W

Die Maximalen Werte dürfen auf keinen Fall überschritten werden! Mechanische Lebensdauer (Schaltspiele) 20x10

Anzahl der Schaltspiele bei 3 A/250 V AC 5x10

Anzahl der Schaltspiele bei 3 A/30 V DC 5x10

oder NPN-Optokoppler Schaltleistung 30 V DC/10 mA

CESAT bei IC = 10 mA: max. 2,0 V

CESAT bei IC = 5 mA: max. 0,4 V

10.7 Spannungsversorgung

AC-Versorgung: 100 ... 240 V AC / max. 9,5 VA 50/ 60 Hz, Toleranz ± 10% Absicherung extern: T 0,1 A 24 VAC +/- 10% / max. 6 VA 50 / 60 Hz Absicherung extern: T0,315 A DC-Versorgung: 10 ... 30 V DC/ max. 5 W mit Verpolschutz, SELV, CLASS II (Limited Power Source) Absicherung extern T 0,2 A

10.8 Sensorversorgungsspannung

(Spannungsausgang für externe Sensoren) SELV Kreise, Reinforced / doppelte Isolierung bei AC-Versorgung: 24 V DC ±15%, 80 mA bei DC-Versorgung: max. 80 mA, angeschlossene Spannungsversorgung ist durchverbunden

10.9 Klimatische Bedingungen

Betriebstemperatur: -20°C .. +65°C Lagertemperatur: -25°C .. +75°C Luftfeuchtigkeit: r.F. 93% bei +40°C, nicht betauend Höhe: bis 2000 m

Störfestigkeit: EN 61000-6-2 mit geschirmten Signal- und Steuerleitungen Störaussendung: EN 55011 Klasse B

Seite 19 www.kuebler.com10.11 Gerätesicherheit Auslegung nach: EN 61010 Teil 1 Schutzklasse: Schutzklasse 2 (frontseitig)

nur die Frontseite ist Bedienerberührbar eingestuft. Einsatzgebiet: Verschmutzungsgrad 2 Überspannungskategorie II Isolation: Front: Doppelte Isolierung, Rückseite: Basisisolierung, Signaleingänge und Sensorversorgung: SELV

10.12 Mechanische Daten

Gehäuse: Schalttafeleinbaugehäuse nach DIN 43 700, RAL 7021 Abmessungen: 48 x 48 x 91 mm Schalttafelausschnitt 45 +0,6 x 45 +0,6

Einbautiefe: ca. 107 mm inkl. Klemmen Gewicht: ca. 125 g Schutzart: IP65 (frontseitig), nur Gerät Gehäusematerial: Polycarbonat UL94 V-2 Vibrationsfestigkeit 10 - 55 Hz / 1 mm / XYZ (EN 60068-2-6): 30 min in jede Richtung Schockfestigkeit: EN 60068-2-27 100G / 2 ms / XYZ 3 mal in jede Richtung EN 60068-2-29 10G / 6 ms / XYZ 2000 mal in jede Richtung

Spannungsversorgung und Ausgänge: Steckbare Schraubklemme, 7-polig, RM5,08 Aderquerschnitt, max. 2,5 mm² Signal- und Steuereingänge: Steckbare Schraubklemme, 8-polig, RM 3,81 Aderquerschnitt, max. 1,5 mm² 11 Lieferumfang Vorwahlzähler Spannbügel Bedienungsanleitung

  • mit 24 VAC Versorgungsspannung auf Anfrage 13 Frequenzen (typ.)
  • HINWEIS: Schaltpegel der Eingänge Schaltpegel bei AC-Versorgung: HTL-Pegel Low: 0 p. 4
  • VDC High: 12 p. 30
  • VDC 4-30 V-Pegel Low: 0 p. 2
  • VDC High: 3,5 p. 30
  • VDC Schaltpegel bei DC-Versorgung: HTL-Pegel Low: 0 p. 0
  • ,2 x UB High: 0,6 x UB p. 30
  • VDC 4-30 V-Pegel Low: 0 p. 2
  • VDC High: 3,5 VDC p. 30

Seite 21 www.kuebler.com14 Eingangsarten Impulszählung Funktion Diagramm Hinweis: Wenn GATE-Eingang aktiv keine Zählung P = Preset (Vorwahlwert) PnP: Zählung bei steigender Flanke nPn: Zählung bei fallender Flanke Cnt.Dir

Inp A: Zähleingang Inp B: Zählrichtung Add: Anzeige 0 --> Vorwahl Sub: Anzeige Vorwahl -> 0 Up.Dn

Inp A: Zähleingang add Inp B: Zähleingang sub Add: Anzeige 0 --> Vorwahl Sub: Anzeige Vorwahl -> 0 Up.Up

Inp A: Zähleingang 1 add Inp B: Zähleingang 2 add Add: Anzeige 0 --> Vorwahl Quad

A 90° B Inp A: Zähleingang Zählung an einer Flanke Inp B: Umkehr der Richtung Add: Anzeige 0 --> Vorwahl Sub: Anzeige Vorwahl -> 0 Quad 2

A 90° B Inp A: Zähleingang Zählung bei steigender und fallender Flanke Inp B: Umkehr der Richtung Add: Anzeige 0 --> Vorwahl Sub: Anzeige Vorwahl -> 0

Seite 22 www.kuebler.comFunktion Diagramm Hinweis: Wenn GATE-Eingang aktiv keine Zählung PnP: Zählung bei steigender Flanke nPn: Zählung bei fallender Flanke Quad 4

A 90° B Inp A: Zähleingang Zählung bei steigender und fallender Flanke Inp B: Zähleingang Zählung bei steigender und fallender Flanke, Umkehr der Richtung Add: Anzeige 0 --> Vorwahl

Sub: Anzeige Vorwahl -> 0

Inp A: Zähleingang 1 Inp B: Zähleingang 2 Formel: A / B (A-B)/A

Seite 23 www.kuebler.com15 Eingangsarten Zeitmessung

Funktion Diagramm PnP: Zählung bei steigender Flanke nPn: Zählung bei fallender Flanke InA.InB

Inp A: Start Inp B: Stop Add: Anzeige 0 --> Vorwahl

Sub: Anzeige Vorwahl -> 0 InB.InB

Inp A: ohne Funktion Inp B: Start/Stop Add: Anzeige 0 --> Vorwahl

Sub: Anzeige Vorwahl -> 0 FrRrun

Inp A: ohne Funktion Inp B: ohne Funktion Steuerung der Zeitmessung nur über GATE-Eingang Add: Anzeige 0 --> Vorwahl

Sub: Anzeige Vorwahl -> 0

Inp A: ohne Funktion Inp B: ohne Funktion Steuerung der Zeitmessung über RESET (manuell oder elektrisch) Add: Anzeige 0 --> Vorwahl

Sub: Anzeige Vorwahl -> 0 Seite 24 www.kuebler.com16 Eingangsarten Frequenzzähler

Funktion Diagramm PnP: Zählung bei steigender Flanke nPn: Zählung bei fallender Flanke

Inp A: Frequenzeingang Inp B: ohne Funktion AsubB

Inp A: Frequenzeingang 1 Inp B: Frequenzeingang 2 Formel: A + B Quad

A 90° B Inp A: Frequenzeingang 1 Inp B: Umkehr der Richtung A / B

Seite 25 www.kuebler.com17 Ausgangsoperationen

Nur im Mode und Zusätzlich im Mode und Add

Seite 26 www.kuebler.comMode Diagramm Trail

Seite 27 www.kuebler.com18 Maßbilder Maße in mm [inch]

Schalttafelausschnitt

Handbuch-Assistent
Powered by Anthropic
Warten auf Ihre Nachricht
Produktinformationen

Marke : Kübler

Modell : CODIX 924

Kategorie : Messgeräte