PW 1405 CB - Váhy BOMANN - Bezplatný návod k obsluze

Najděte návod k zařízení zdarma PW 1405 CB BOMANN ve formátu PDF.

📄 54 stran Čeština CS 💬 Otázka AI ⚙️ Specifikace
Notice BOMANN PW 1405 CB - page 39
SKIP

Často kladené otázky - PW 1405 CB BOMANN

Stáhněte si návod pro váš Váhy ve formátu PDF zdarma! Najděte svůj návod PW 1405 CB - BOMANN a vezměte svůj elektronický přístroj zpět do rukou. Na této stránce jsou zveřejněny všechny dokumenty potřebné k používání vašeho zařízení. PW 1405 CB značky BOMANN.

NÁVOD K OBSLUZE PW 1405 CB BOMANN

ESKY Všeobecné bezpečnostní pokyny

  • Před uvedením tohoto přístroje do provozu si velmi pozorně přečtěte návod k obsluze a tento návod spolu se záručním listem, pokladním blokem a podle možností i s obalem a vnitřním vybavením obalu dobře uschovejte.
  • Používejte tento přístroj výlučně pro soukromou potřebu a pro stanovené účely. Tento přístroj není určen pro komerční použití. Nepoužívejte jej v otevřeném prostoru (s výjimkou přístrojů, které jsou podmíněné používání venku určeny). Chraňte jej před horkem, přímým slunečním zářením, vlhkostí (v žádném případě jej neponořujte do kapalin) a stykem s ostrými hranami. Nepoužívejte přístroj v případě, že máte vlhké ruce. Jestliže dojde k navlhčení nebo namočení přístroje, okamžitě vytáhněte zástrčku ze zásuvky. Vyvarujte se styku s vodou.
  • Přístroj vypněte a vždy vytáhněte zástrčku ze zásuvky (tahejte jen za zástrčku, nikdy ne za kabel), jestliže nebudete přístroj používat, chcete-li namontovat příslušenství, přístroj vyčistit nebo v případě poruchy.
  • Přístroj nesmí zůstat v provozu bez dozoru. Jestliže musíte pracoviště opustit, vždy přístroj vypněte, resp. vytáhněte zástrčku ze zásuvky (vždy tahejte za zástrčku, nikdy ne za kabel).
  • Abyste ochránili děti před riziky spojenými s elek- trickými přístroji, postarejte se o to, aby kabel nevisel dolů a děti na přístroj nedosáhly.
  • Pravidelně kontrolujte přístroj a přívodní kabel z hlediska poškození. Jestliže přístroj vykazuje nějakou závadu, neuvádějte jej do provozu.
  • Neopravujte přístroj vlastními silami, nýbrž vyhledejte autorizovaného opraváře. Abyste eliminovali rizika, nechejte poškozený přívodní kabel nahradit kabelem se stejnými hodnotami a to jen výrobcem, naším servisem pro zákazníky nebo jinou kvalifi kovanou osobou.
  • Používejte jen originální příslušenství.
  • Respektujte, prosím, následující „Speciální bezpečnostní pokyny ...“. Speciální bezpečnostní pokyny pro tento přístroj
  • Váha s funkcí analyzátoru tělesného tuku není vhod- ná pro následující okruh osob:
  • Děti mladší než 10 let a dospělí ve věku nad 80 let
  • Osoby s příznaky horečky, edemy nebo osteo- porózou
  • Osoby, které jsou léčeny dialýzou
  • Osoby užívající léky proti kardiovaskulárním chorobám
  • Sportovci, kteří podávají intenzivní sportovní výkony déle než 5 hodin denně
  • Osoby se srdeční pulsem nižším než 60 tepů za minutu
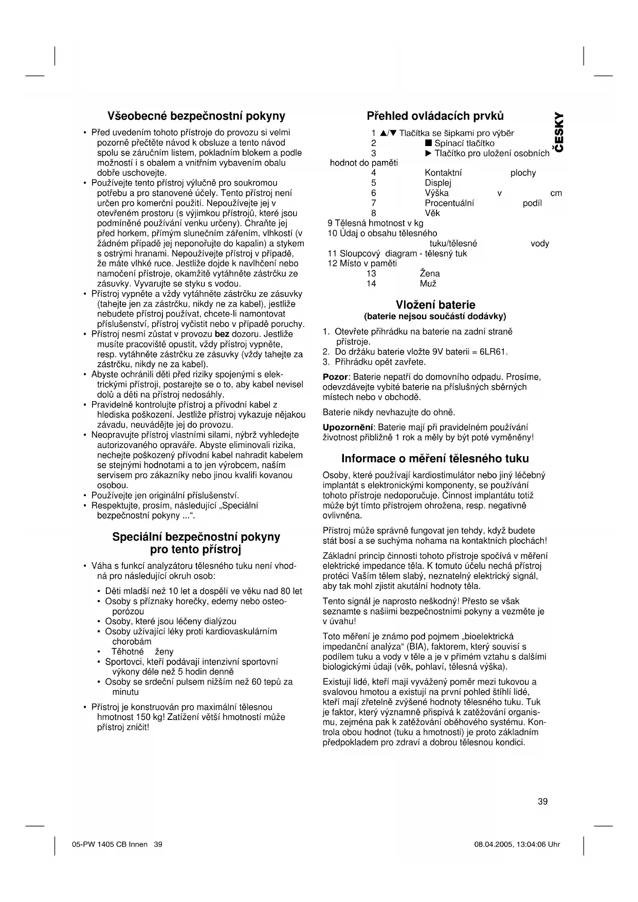
  • Přístroj je konstruován pro maximální tělesnou hmotnost 150 kg! Zatížení větší hmotností může přístroj zničit! Přehled ovládacích prvků 1 / Tlačítka se šipkami pro výběr 2 Spínací tlačítko 3 Tlačítko pro uložení osobních hodnot do paměti 4 Kontaktní plochy 5 Displej 6 Výška v cm 7 Procentuální podíl 8 Věk 9 Tělesná hmotnost v kg 10 Údaj o obsahu tělesného tuku/tělesné vody 11 Sloupcový diagram - tělesný tuk 12 Místo v paměti 13 Žena 14 Muž Vložení baterie (baterie nejsou součástí dodávky)

1. Otevřete přihrádku na baterie na zadní straně

3. Přihrádku opět zavřete.

Pozor: Baterie nepatří do domovního odpadu. Prosíme, odevzdávejte vybité baterie na příslušných sběrných místech nebo v obchodě. Baterie nikdy nevhazujte do ohně. Upozornění: Baterie mají při pravidelném používání životnost přibližně 1 rok a měly by být poté vyměněny! Informace o měření tělesného tuku Osoby, které používají kardiostimulátor nebo jiný léčebný implantát s elektronickými komponenty, se používání tohoto přístroje nedoporučuje. Činnost implantátu totiž může být tímto přístrojem ohrožena, resp. negativně ovlivněna. Přístroj může správně fungovat jen tehdy, když budete stát bosí a se suchýma nohama na kontaktních plochách! Základní princip činnosti tohoto přístroje spočívá v měření elektrické impedance těla. K tomuto účelu nechá přístroj protéci Vaším tělem slabý, neznatelný elektrický signál, aby tak mohl zjistit akutální hodnoty těla. Tento signál je naprosto neškodný! Přesto se však seznamte s našiimi bezpečnostními pokyny a vezměte je v úvahu! Toto měření je známo pod pojmem „bioelektrická impedanční analýza“ (BIA), faktorem, který souvisí s podílem tuku a vody v těle a je v přímém vztahu s dalšími biologickými údaji (věk, pohlaví, tělesná výška). Existují lidé, kteří mají vyvážený poměr mezi tukovou a svalovou hmotou a existují na první pohled štíhlí lidé, kteří mají zřetelně zvýšené hodnoty tělesného tuku. Tuk je faktor, který významně přispívá k zatěžování organis- mu, zejména pak k zatěžování oběhového systému. Kon- trola obou hodnot (tuku a hmotnosti) je proto základním předpokladem pro zdraví a dobrou tělesnou kondici. 05-PW 1405 CB Innen 39 08.04.2005, 13:04:06 Uhr40

ESKY Tělesný tuk Tělesný tuk je důležitou součástí organismu. Plní v těle důležité úkoly, od ochrany kloubů přes ukládání vitamínů až po regulaci tělesné teploty. Cílem tedy není radikálně zredukovat podíl tělesného tuku, nýbrž dosáhnout vyváženého poměru mezi svalovou a tukovou hmotou a udržet jej. Význam vody pro naše zdraví Lidský organismus se přibližně z 55 – 60% skládá z vody, a to vždy podle věku a pohlaví v rozdílném množství. Voda musí v těle plnit celou řadu úkolů: . Je stavebním kamene našich buněk. To znamená, že všechny buňky našeho těla, ať už buňky pokožky, žláz, svalů, mozku nebo jiné, jsou schopné plnit svoji funkci jen tehdy, jestliže obsahují dostatečné množství vody. . Je rozpouštědlem důležitých substancí v našem organismu. . Je transportním prostředkem pro živiny, tělu vlastní substance a produkty výměny látkové. Podklady pro Váš tělesný profi l zjistíte podle tabulky směrných hodnot. Ukazují závislost hodnot tělesného tuku na věku a pohlaví. Mějte vždy na paměti, že, stejně jako u obsahu vody v těle, i podíl tuku v průběhu dne silně kolísá. Měření proto provádějte vždy ve stejnou dobu, abyste získali srovnatelnou hodnotu. Vypočítané výsledky měření podílu tělesného tuku a vody jsou jen referenční hodnoty. Nelze je doporučit k použití pro medicínské účely. Prosím, poraďte se vždy s Vaším lékařem, jestliže máte dotazy týkající se nějakého lékařského ošetření nebo diety k dosažení normální hmotnosti. Technické údaje Přednastavení paměti: Paměť Pohlaví Výška Věk 1 Mužské 165 cm 25 Počet míst v paměti: 8 Výška: od 100 do 250 cm Věk: od 10 do 100 let Minimální hmotnost: od 2 kg Maximální hmotnost: 150 kg Rozlišení při vážení: kroky po 0,1 kg Tělesný tuk – měřící rozsah: 4 – 45 % Tělesná voda – měřící rozsah: 37,8 – 66 % Tabulka směrných hodnot (přibližně a v %) Věk Ženy Muži Tendence Tuk Hydratace Tuk Hydratace Do 30 4,0-16,0%66,0-57,8%4,0-11,0%66,0-61,2% Příliš málo tuku 16.1-20,5%57,7-54,7%11,1-15,5%61,1-58,1% Málo tuku 20,6-25,0%54,6-51,6%15,6-20,0%58,0-55,0% Normální 25,1-30,5%51,5-47,8%20,1-24,5%54,9-51,9% Vysoký 30.6-45,0%47,7-37,8%24,6-45,0%51,8-37,8% Velmi vysoký Nad 30 4,0-20,0%66,0-55,0%4,0-15,0%66,0-58,4% Příliš málo tuku 20,1-25,0%54,9-51,6%15,1-19,5%58,3-55,3% Málo tuku 25,1-30,0%51,5-48,1%19,6-24,0%55,2-52,3% Normální 30,1-35,0%48,0-44,7%24,1-28,5%52,2-49,2% Vysoký 35,1-45,0%44,6-37,8%28,6-45,0%48,1-37,8% Velmi vysoký Upozornění: Vzhledem k velkému kolísání podílu tělesného tuku je obtížné stanovit směrnou hodnotu. V průměru je optimální čas měření u dospělé osoby mezi 18,00 a 20,00 hod., protože v tomto časovém období zůstává podíl tuku velmi rovnoměrný! Uvedení do provozu Funkce normální váhy Postavte osobní váhu na tvrdý, rovný podklad (ne na koberec !). Nerovná podlaha má za následek nepřesné údaje.

1. Zapněte váhu lehkým tlakem nohy, resp. špičky nohy

na skleněnou plochu. Upozornění: Na displeji se objeví „88888“.

2. Na displeji (5) se po několika sekundách objeví „0.0“.

Postavte se oběma nohama na kontaktní plochy (4) přístroje. Hmotnost rozložte rovnoměrně a vyčkejte, než váha vypočítá Vaši hmotnost.

3. Na displeji (5) se zobrazí Vaše hmotnost. Po několika

sekundách se přístroj automaticky vypne! Naprogramování osobních údajů Upozornění: Následující kroky byste měli provést postupně a v průběhu několika sekund, protože jinak přístroj automaticky přeruší programovací proces!

1. Stiskněte spínač , abyste přístroj zapnuli. Na displeji

(5) se na krátkou dobu objeví všechny segmenty; poté bliká údaj (12) „Místo v paměti“.

2. Pomocí tlačítek se šipkami / si zvolte místo v paměti.

3. Znovu stiskněte spouštěcí tlačítko , aby se dostali

do programovacího režimu.

4. Na displeji se zobrazí a bliká ženský (13) nebo

mužský (14) symbol. Pomocí tlačítek se šipkami / si zvolte příslušné nastavení.

5. Znovu stiskněte spouštěcí tlačítko , abyste se dosta-

li do menu „Výška“. Pomocí tlačítek se šipkami / si zde zvolte hodnotu mezi 100 a 250 cm.

6. Znovu stiskněte spouštěcí tlačítko , abyste se dosta-

li do menu „Věk“. Zde si pomocí tlačítek se šipkami / zvolte hodnotu mezi 10 a 100 lety.

7. Opět stiskněte spouštěcí tlačítko a dostanete se

opět k údaji „Místo v paměti“. Zde můžete využít jednu ze dvou možností: a) Znovu stiskněte spouštěcí tlačítko , abyste si mohli ještě jednou prohlédnout všechna nastavení nebo eventuálně provést změny. b) Stiskněte paměťové tlačítko , abyste se dostali ro režimu pro měření tělesného tuku. Na displeji se na několik sekund objeví místo v paměti a nastavená tělesná výška, poté se údaj změní na „0.0“. Dále viz bod 4 „Určení hmotnosti, podílu tělesného tuku a vody“. Pro lepší pochopení si prostudujte následujcí funkční schéma: Zpět do normálního režimu analýzy tělesného tuku Stiskněte tlačítko Stiskněte Stiskněte Stiskněte Stiskněte Stiskněte Volba místa v paměti pomocí

ESKY Vaše osobní hodnoty jsou nyní uloženy na zvoleném místě v paměti. K dispozici máte celkem 8 místa v paměti. Máte tak možnost, uložit na dalších sedm míst v paměti kromě Vašich i osobní hodnoty dalších členů rodiny. Určení hmotnosti, podílu tělesného tuku a tělesné vody Před tímto procesem uložte do paměti Vaše osobní údaje. Upozornění: Měření lze provádět jen naboso. V případě nutnosti kontaktní plochy otřete, aby se zlepšila vodivost. Bosou nohu vždy postavte tak, aby se dotýkala 2 ze 4 kontaktních ploch.

1. Stiskněte spouštěcí tlačítko , aby se přístroj zapnul.

Na displeji (5) se na krátkou dobu objeví všechny segmenty; boté bliká údaj (12) „Místo v paměti“.

2. Pomocí tlačítek se šipkami / si zvolte místo v

3. Stiskněte paměťové tlačítko , abyste se dostali do

režimu pro měření tělesného tuku.

  • Na displeji se na několik sekund objeví číslo místa v paměti a nastavená tělesná výška, poté se údaj změní na „0.0“.

4. Postavte se oběma nohama na kontaktní plochy (4)

  • Na displeji se nejprve zobrazí Vaše hmotnost.
  • Poté během několika málo sekund váha automati- cky vypočítá Váš podíl tělesného tuku a tělesné vody.
  • Na displeji se pak zobrazí procentuální míra tělesného tuku (symbol „BF“), následovaná pro- centuální mírou tělesné vody (symbol „BW“).
  • Poté se na displeji pětkrát střídavě zobrazí hod- nota procentuální míry tělesného tuku a tělesné vody, ančež se přístroj automaticky vypne. Údaje na displeji a hlášení chyb Obecně Objeví-li se na displeji hlášení o chybě (Err), vyčkejte, až se přístroj vypne. Poté jej znovu zapněte, abyste mohli opět zahájit jeho provoz. Pro kompletní vynulování (Reset) vyjměte na okamžik baterii a poté ji znovu vložte do přístroje. Hlášení Zapnutí Všechny segmenty se zobrazí současně. Děje se tak pro kontrolu bezvadné funkce zobrazování.

Váha stojí špatně nebo je měřená hmotnost příliš nízká. Není možný bezvadný provoz. Postavte váhu na rovný, tvrdý podklad. „Err“ Váha stojí špatně nebo je přetížená Postavte váhu na rovný, tvrdý podklad. Je měření ještě v měřícím rozsahu 150 kg? „LO“ Stav nabití baterie je příliš nízký. „Err-h“ Vypočítaný procentuální podíl tělesného tuku leží nad horní hranicí měřícího rozsahu. „Err-l“ Vypočítaný procentuální podíl tělesného tuku leží pod dolní hranicí měřícího rozsahu. Tipy pro používání a ošetřování

  • Važte se vždy bez oděvu a bot před jídlem a vždy ve stejnou denní dobu.
  • Váha zaokrouhluje údaje nahoru nebo dolů vždy na nejbližší 100 g.
  • Jestliže se vážíte dvakrát a obdržíte dva různé údaje, pak je Vaše hmotnost mezi těmito dvěma hodnotami.
  • Váhu nikdy neponořujte do vody, protože by mohlo ke zničení elektroniky.
  • Vyjměte baterie, jestliže nebudete váhu delší dobu používat.
  • Zacházejte s váhou opatrně, neboť se jedná o měřící přístroj. Nenechte ji spadnout a neskákejte na ni.
  • Přístroj nevyžaduje žádnou údržbu.
  • Nezatěžujte přístroj hmotností větší než 150 kg, abyste předešli jeho poškození. Čištění
  • Přístroj čistěte jen měkkým, suchým hadříkem. Dbejte na to, aby do přístroje nevnikla vlhkost, resp. kapalina!
  • Nepoužívejte žádné drsné čistící prostředky! Mohly by poškodit těleso přístroje!
  • Jako přísadu můžete použít některý z běžných čistících přípravků nebo normální mýdlo!
  • Po vyčištění otřete přístroj suchým, měkkým hadříkem! Tento přístroj byl testován podle všech příslušných, v současné době platných směrnic CE, jako je např. elek- tromagnetická kompatibilita a direktiva o nízkonapěťové bezpečnosti, a byl zkonstruován podle nejnovějších bezpečnostně-technických předpisů. Vyhrazujeme si technické změny! Záruka Na námi prodaný přístroj poskytujeme záruku v trvání 24 měsíců od data prodeje (pokladní doklad). Během záruční lhůty odstraníme bezplatně všechny vady přístroje nebo příslušenství*), které vzniknou v důsledku vad materiálu nebo výrobních vad, a to opravou nebo, podle našeho uvážení, formou výměny. Záruční plnění nemají za následek ani prodloužení záruční doby ani tím nevzniká nárok na novou záruku! Jako záruční doklad slouží doklad o koupi. Bez tohoto dokladu nelze uskutečnit bezplatnou výměnu nebo bezplatnou opravu. V případě uplatnění záruky předejte, prosím, kompletní přístroj v originálním obalu spolu s pokladním dokladem Vašemu obchodníkovi. *) Poškození příslušenství není automaticky důvodem pro bezplatnou výměnu kompletního přístroje. V takovém případě se obraťte na naši Hotline! Prasklé skleněné resp. plastové díly zásadně podléhají povinnosti úhrady! Jak na vady na spotřebním příslušenství, resp. dílech podléhajících rychlému opotřebení (např. uhlíky motoru, hnětací háky, hnací řemeny, náhradní dálkové ovládání, náhradní zubní kartáčky, pilové listy atd.), tak i na čištění, údržbu nebo výměnu dílů podléhajících rychlému opotřebení se záruka nevztahuje a je proto nutno je uhradit! 05-PW 1405 CB Innen 41 08.04.2005, 13:04:09 Uhr42

ESKY Záruka zaniká v případě, že dojde k zásahu neautorizo- vanou osobou. Po uplynutí záruky Po uplynutí záruční doby je možno za úplatu provést opravy v příslušném odborném obchodě nebo opravně. 05-PW 1405 CB Innen 42 08.04.2005, 13:04:11 Uhr43 MAGYARUL Általános biztonsági rendszabályok

Asistent návodu
Využívá ChatGPT
Čekání na vaši zprávu
Informace o produktu

Značka : BOMANN

Model : PW 1405 CB

Kategorie : Váhy