AIRLUXTABLEDECUISSONATI32M - Placa de cozinha DARRY - Manual de utilização gratuito
Encontre gratuitamente o manual do aparelho AIRLUXTABLEDECUISSONATI32M DARRY em formato PDF.
Baixe as instruções para o seu Placa de cozinha em formato PDF gratuitamente! Encontre o seu manual AIRLUXTABLEDECUISSONATI32M - DARRY e retome o controlo do seu dispositivo eletrónico. Nesta página estão publicados todos os documentos necessários para a utilização do seu dispositivo. AIRLUXTABLEDECUISSONATI32M da marca DARRY.
MANUAL DE UTILIZADOR AIRLUXTABLEDECUISSONATI32M DARRY
instrções de uso e manutenção

FIG.1

FIG.2


FIG.2B

220-240V\~H05V2V2-F3G 2.5mm^2

220-240V2~ H05V2V2-F 3G 2.5mm²

380-415V2N ~ H05V2V2-F 4G 2.5mm²


220-240V~ H05V2V2-F 3G 2.5mm

220-240V2~ H05V2V2-F 3G 2.5mm²

380-415V2N ~ H05V2V2-F 4G 2.5mm²

FIG.3
00



FIG.3B

220-240V~ H05V2V2-F 3G 2.5mm²

220-240V2~ H05V2V2-F 3G 2.5mm²

380-415V2N ~ H05V2V2-F 4G 2.5mm²


220-240V~ H05V2V2-F 3G 2.5mm

220-240V2~ H05V2V2-F 3G 2.5mm²

380-415V2N ~ H05V2V2-F 4G 2.5mm²

FIG.4


FIG.4B

220-240V\~H05V2V2-F3G 2.5mm^2

220-240V2~ H05V2V2-F 3G 2.5mm²

380-415V2N ~ H05V2V2-F 4G 2.5mm²


220-240V~ H05V2V2-F 3G 2.5mm

220-240V2~ H05V2V2-F 3G 2.5mm²

380-415V2N ~ H05V2V2-F 4G 2.5mm²

FIG.5

FIG.5B
220-240 V~ H05V2V2-F 3Gx1.5mm²

220-240 V2~ H05V2V2-F 3Gx1.5mm²


FIG.6


A

FIG.7



FIG.7B



FIG.8

FIG.9 A
FIG.9 B


FIG.10 A
FIG.10 B

GENERALITA
1.3 RECIPIENTI PER LA COTTURA fig.7
Leia com atenção o conteudo deste livre de instruções porque contentem指示ores importantes que dizem respeito à segurarce de instalacao,utilização e manutençao.Conserve o livre de instruções para futura consulta. Todas as operações que dizem respeito à instalacao (ligações electrolyicas) devem ser feitas por pessoal especializzato segundo as normas em vigor.
1.1 PRINCÍPIO DA INDUÇÃO
O Sistema do foggao por inducao baseia-se no fenomeno fisico da inducao magnetica.
A característica fundamentaldehyde systemd é a transfurência directa da energia que aquece do gerador para a panela sem meios intermediços (diferentemente das placas tradicionais veja fig.1).
1.2 VANTAGENS
Se compararmos com asplaceds de fogo electrolyticas,verifica-se que a vossa placar por inducao e:
- Mais segura: temperatura baixa na superficie do vidro
- Mais rápida: tempos breves de aquecimiento dos ali-mentationos
- Mais precisa: a placarreage imeditamente aos vossos comandos
- Mais eficaz: 90% da energia absorvida é transformada em calor.
Além disto, uma vez que tirada a panela do plano, a transmissão do calor é interrompida imeditamente, evitando inueteis dispersões de calor.
O Sistema reconhece automaticamente también o diamétro diferente de cada panela,adoptando para cada medía o;nível de potência adequado.
Isto consente utiliser PANELas de varias medias, desde que o diametro das mismas nao sera superior ao 10% ou inferior ao 40% respeito a imagem serigrafada no plano de cozedura (fig.7B).
Atença: caso se utilize uma panela com diametro inferior ao 40% respeito à imagem serigrafada no vidro, a zona de cozedura pode não acender-se.
1.3 RECIPIENTES PARA COZINHAR fig.7
O fogo por inducao utilize o magnetismo para gerar calor. Os recipientes devem, portanto, conter ferro. Podem vericar se o material da panela é magnétique com um simples imã.
Important:
Para evaporar danos permanentes à superficie da placà não use:
- recipientemcfundo naoperfeitamenteplano.
- recipientes metálicos com fundo esmaltado.
- Não utilizes recipientes com base àspera, para fazer de riscar a superficie do fogão
AVISOS DE SEGURANÇA IMPORTANTES
Este aparecido não deve ser uso porcriancies ou pessoas que necessitem de supervisão.
Cuido! As crianças não devem brincar com o aparelho.
Para os portadores de stimuladores cardíacos e implantes activos é importante verificar, antes do uso da placar por
induçao, se oproprio estimulador é compativel com o aparelho.
Antes del ligar o modelo à rede electrica:
- controlar a placá de identificação (situada na parte inferior do aparecido) para confirmar que a tensão e a potência sejam correspondentes à aquela da rede e que a tomada está idonea.
En caso de dupidas, contacte um electricista oficial.
IMPORTANT
- objects metálicos como facas, garfos, colheres ou tampas não devem ser colocados sobre a superficie da placado fogoção porque pode fazer quentes.
- Depois do uso, apague a placá do fogão atraves do seu dispositivo de commando e não confie no detector de pane-las.
- evite que os liquidos extravasem, portanto, para ferver ou aquecer liquidos, reduz o calor.
- não deixe os elementos de aquecimento aceses com panelas bazias ou sem recipientes em cima.
- quando terminar de cozinhoar apague a relativa resistência atraves do commando indicado a seguir.
- para cozinhar nunca utilize folhas de papel de alúnbio ou nunca pouse directamente produits embalados com alúnbio. O alúnbio fundiria e danificaria irremediavelmente ovosso aparelho.
- Nunca aparecer uma conserva ou uma lata contendo alimentos sem antes os ter aberto: poderá explorir!Esta advertência aplicá-se a todos os outros想不到 fogoês
ATENÇAO: Não deve ser utilizes um limpador a vapor. ATENÇAO: Se a superficie estiver rachada, apague o aparelho para fazer a eventualidade de choques electricos.
Este aparelho está marcado em conformidade com a Direcva Europeia 2002/96/EC, Waste Electrical and Electronic Equipment (WEEE). Assegurar-se que este aparelho sera eliminado de maneira certa, o uso而导致 contribui averterir as consequências potenciais negativas para o meio ambiente e a saué.
O*simbolo no aparelho ou na documentação de accompanying指示 que o mesmo não deve ser tratado como residuo dométrico, mas deve ser levado a um ponto de colecta idoneo para recicular equipamento eletrico e electrónico. Para eliminá-lo obedecer os regulamentos locais sobre a eliminação de residuos. Para melhoras informações sobre o tratamento, a recuperação e a reciclagem deste aparelho, contactar o service local encarregado pela colecta de residuos domesticos ou a loja quando o mesmo foi comprado.
INSTRUÇões PARA INSTALAÇÃO
As instruções que se seguem foram feitas para instaladores especializados e servem de guía para instalação, regulação e manutençao de acordo com as leis e normas em vigor.
POSICIONAMENTO (Fig.6)
O electrodométrico é realizado para ser encastrado num plano de trabalho como ilustrado na figuraHOUSEc. Predispor o material isolante em dotação ao longo do inteiro perímetro do fogo e inserto lo nfouro para o encastro (dimensoes do
corte fig. 6B).
Blocar o electrodométrico no plano de trabajo mediante os 4ositos, rodando-os se necessário segudo a espessura do propre plano (fig.6A).
Se a parte inferior do aparelho, depuis da instalacao, resultacessivel, e necessario montar um painel separator G (Fig.9A)respeitando as distancias indicadas (Fig. 9B).
Se o aparelho é instalado em cima de uma forno, o painel não é necessário (Fig. 10A - 10B).
IMPORTANTE: se umorno está situacao debaixo do plano a inducao é preferivel que sera dotado de ventilador de arrerecimento.
Não usar o plano a indução quando a limpeza PIROLITICA está a funcional.
ATENÇA: para que possa circular o mais possivel o ar fresco, deve haber a distance minima de 40mm entre o modulo e uma qualer aparecido instalado debaixo do plano de indução.(fig.10B).
De qualquer maneira é necessário consentir uma areação adequada.
Para consentir a circunção de ar fresco, devem existir aberturas noovel da cozinha (fig.9A - 10A), respeitando as cotas indicadas nas fig.9B -10B.
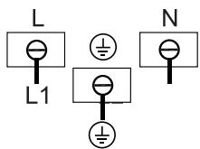
LIGAÇÖSES ELECTRICAS (Fig.2B-3B-4B-5B)
Antes de fazer as ligações electrolycas, assegur e-se de que:
-
o fio électrique de terra deve ser 2 cm mais comprido do que os outros fios;
-
as caracteristicas da instalación electrica de sua casa correspondem às indicações da chapa de identificacao da placá de fogão aplicada na parte inferior da superficie de trabalho;
-
a instalacao eletrica tem ligaçao a terra, que esta é eficiente e que cumpre o disconto nas normas e regulamentos de lei em vigor.
A ligaçao a terra e obligatória por lei.
Se o electrodométrico não dispon de cabo, utilizes o tipo:
"H0SV2V2-F" para potências de até 6400 Watt, a secção do cabo pode ser de no minimum 2,5 mm², quando para potências superiores, delve ser de 4 mm².
Em nenhum punto a temperatura do cabo delve superar de 50^ à temperatura ambiente.
O aparelho é destinado a estar permanentemente ligado à rede electrica, por isto é necessário interpor um interruptor omnipolar, com uma abertura minima de 3 mm entre os contactos, apropiado à cargo indica na placá e conforme às normas em vigor (o conductor de terra verde/amarelo não deve ser interrompido pelo comutador).
Umaz evelenada a instalacao da aparelhagem, o interruptor omnipolar deve ser alcancado fácilmente.
D = Indicadores de seleção da zona de cozedura
E = Display zona de cozedura
T = Timer
S = Safety lock
UTILIZACAO (Fig.2-3-4-5)
- Ao的选择ar a tecla A acende-se o plano; aparecerao algunos zeros con algunos pontos decimais piscando em todos os visores por 10 segundos.
Se nenhuma operação for efectuada dentro deste periodo de
tempo, o plano apaga-se.
Para ligar una zona de cozedura é suficiente selectionar o nivel de potência desejado com as teclas C.
Observação: cada tecla C corresponde a uma zona de cozedura.
No visor aparecerá o 0 com o punto decimal D fixo (não piscando) e a este punto, a zonauí selecionada.
SeutilizarateteclaB,ovisorvisualizarao nivel9;seusaratecla Covisor visualizarao nivel1.
- Uma vez efectuada esta operacao, poder-se escolher as regulações de temperatura com as teclas "C" ou "B".
Se for posicaoado um objecto sobre os comandos, o plano de cozedura irá colocar-se automaticamente na posicao OFF. Quando uma chapa está na posicao OFF e a temperatura da superficie do vidro for superior a 65^ aproximamente, aparecerauma sinalização luminosa"H"no visor da zona de cozedura interessada.
- Para desligar apenas una zona de cozedura, é necessario primero selección-a-lé em seguida carregar nas teclas "C" e "B" contemporaneamente.
FUNCAO CHAVE (Fig. 3-4-5)
Para fazer a utilização da superficie do plano por parte das crianças, é possível bloquear todas as funções correngando na tecla cheve S.
Esta funcao pode ser activada somente com o plano ligado.
TIMER (Fig.3-4)
É possévil utiliser um Timer contemporaneamente para cada zona de cozedura.
Selección a zona de cozedura(interessada carrengando na tecla C correspondente. En seguida, seleccion con as teclas +e- o nivelde potencia desejo.Ao carregar na tecla T (Timer), no visor aparecera "00" e comearca a pizar o led relativo a zona selecionada. Ao carregar na tecla B évisualizzato o tempo de 60 minuto, ao carregar na tecla T évisualizzato o tempo 1 minuto. Configurar portanto o tempo desejoutilizando T para augmenter E B para diminuir.
DepoS es esgotar-se o tempo de cozedura, o timer irá deslugar as zonas e desactivar a seleção. Um sinal acustico funciona para 2 segundos para indicar o fim da ativização do timer. Para desactivar, carregar em qualquer tecla.
Para saber o tempo faltante para cada zona de cozedura, ésoearragar na tecla C da zona interessada. Para colocar azero o timer, selecionar a zona, carregar na tecla T earethospontaneamente nas teclas T e B.
Atença!
Quando o plano de cozedura estiver em funcao, o visor do timer permanecer aceso no valor "00".
TIMER (Fig.5)
É possévil utiliser um Timer contemporaneamente para cada zona de cozedura.
Configurar o;nivel de potência desejado.
Selección o timar carreganado na tecla T (Timer) da zona de cozedura interesada, no visor aparecerá "00" e começará a pescar o led posicionado sobre os他们在 30 minuto. Aoregarra na tecla B é visualizzato o tempo de 30 minuto, aoregarra na tecla C é visualizzato o tempo 1 minuto. Configurar portanto o tempo desejado'utilizando C para aumento e B para diminuir.
Para visualizar o;nivel de potência ou para conhecer o tempo faltante, éso carregar na tecla T da zona interessada.
Depois de esgotar-se o tempo de cozedura, o timer irá deslugar a zona e desactivar a seleção. Um sinal acustico funciona para 2 segundos para indicar o fim daactivation do timer. Para
desactivar,regarar em qualquer tecla. Para colocar a zero o timer,carregar na tecla T e(depais contemporaneamente nas teclas C e B.
IMPORTANTE: Para evitar danos aos circuitos electrónicos, o plano dispõe de umsystema de segurarca contra o supraqueamento. Em situações deutilização prolongada de cozedura com níveis de potência elevados, o plano poderia temporariamente deslaggar uma ou mais zonas acases àsque as temperaturas voltem aos niveis programados. No visor da zona temporariamente desligada irão alternar-se o nível de potência com uma HE 2.Irá parar de piscar uma vez reactivada a zona de cozedura.
FUNÇA O MINUTE MINDER (Fig.3-4-5)
- Desbloquear o plano de cozedura mantendo pressionada a "tecla chave" S por 3 segundos, ante que o indicator luminoso da chave se deslque.
- Carregar na tecla "Timer" (T) até aparecer anea "00" no visor.
- Carregar em T ou B para seleccionar o número de horas.
- Carregar na tecla "Timer" para confirmar a seleção. No fim do tempo programado, ia activar-se um sinai acústico.
FUNCAO HEAT-UP (Fig.2-3-4-5)
Esta funciona consente ter a zona de cozedura com a temperatura maximal por um determinado periodo de tempo,进驻o a temperatura descera para um valor inferior precedenteamento configurado.
- Para fazer a função Heat Up, selecionce a zona, colocque-a no quando de temperatura "0" e correque novamente na tecla "+"No visor, aparecerá a leira A, portanto com a tecla "-" selecao o quando da temperatura final desejada.
No visor, quando a função estiver activa, aleiça "A" irá alternar-se com o nível final configurado.
RELEVADOR MAGNETICO (Fig.2-3-4-5)
- O plano dispôe de um relevidor de panelas: quando a panela for removida ou se for inadequada, aparecerá osímbolo Se ao contrário, a superficie do vidro não estiver quente, aparecerá osímbolo H.
O.S.D. (Overflow Safety Device). (Fig. 2-3-4)
O plano dispõe de umsystema de seguranga que coloca todas as chapas na posicao OFF e insere o safety lock em presence de liquidos ou de objectos na zona de comandos A.
No visor irão aparecer piscando estas sintoblos 8.8. 8.8. que seração desactivados uma vez eliminado o objecto ou o liquido. O plano desiga-se automaticamente.
O.S.D. (Overflow Safety Device). (Fig. 5)
O plano disponé de umsystema de seguraçance que coloca todas as chapas na posicao OFF e insere o safety lock em presence de liquidos ou de objectos na zona de comandos A.
Aparecerá no visor este símbolo B. que sera desactivado ao carregar em qualquer tecla. O plano desliga-se automaticamente.
MANUTENÇAO
Remova resíduos de alimentos e pingos de gordura da superficie de cozedura, utilizes o raspador especial que pode receber, aledo, a accompanying o aparelho (Fig.8). Limpe a zona aquecida da melhor maneira possível, utilizing SIDOL, STAHLFIX ou produits análogos e um pano-papel. A seguir enxague muito bem com água e seque com um pano limpo.
Usando o raspador especial (optional), remove imeditamente da zona de cozedura quente, todos os fragmentos de papel de aluminio e material de plácico detretidos acidentalmente, bem como quaisquer residuos de acúcar ou de alimentos com alto teor de acúcar (Fig. 8). Este modo é possivel evaporar danos na superficie da placá de cozedura.
Sejam quis forearm as circunstancias, nunca use esponjas abrasivas nem detergentes químicos irritantes como sprays para fornou ou outros produits para tirar manchas.
ManualFácil