M-1020 - Fax MURATEC - Notice d'utilisation et mode d'emploi gratuit
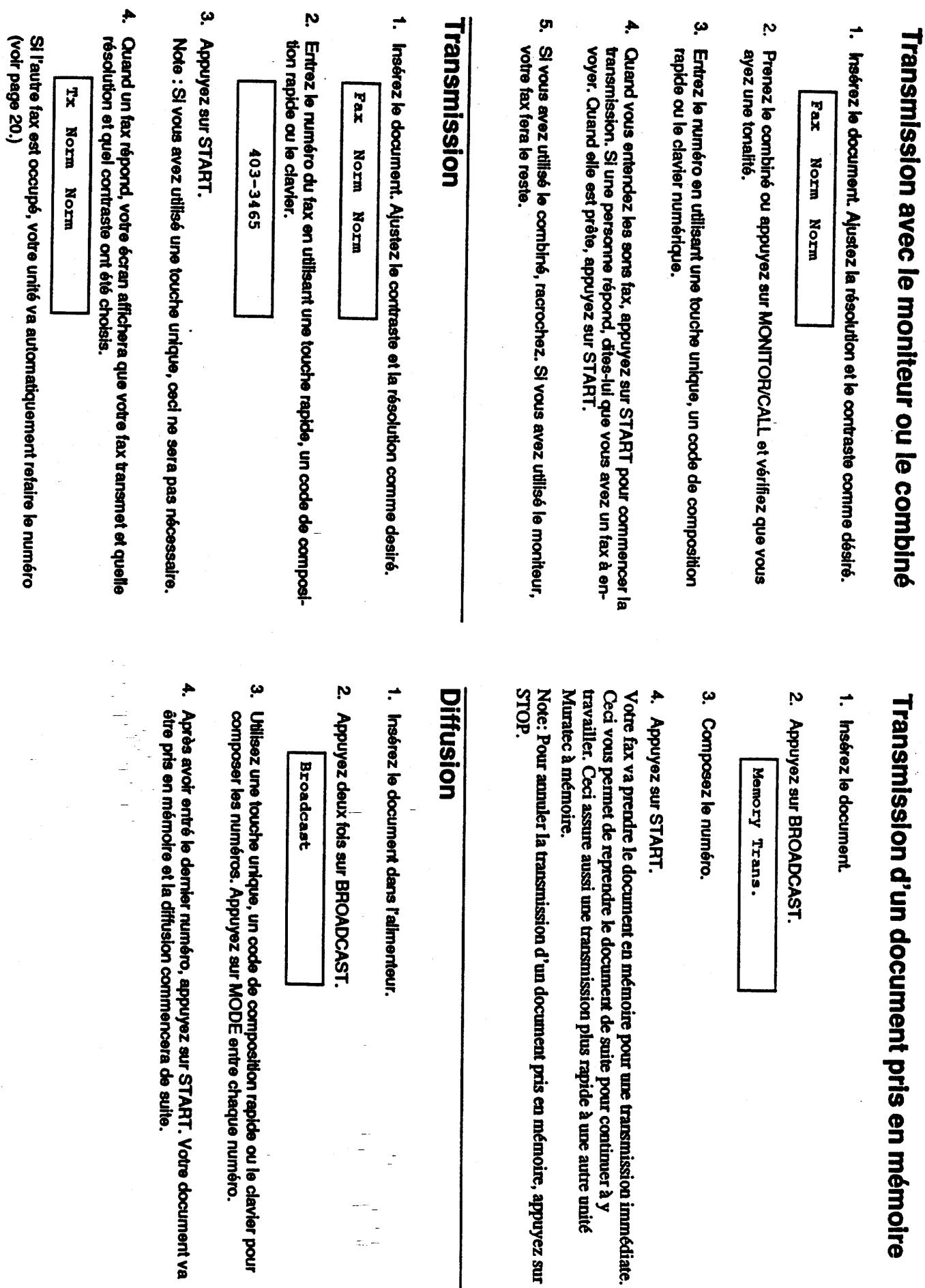
Retrouvez gratuitement la notice de l'appareil M-1020 MURATEC au format PDF.
| Intitulé | Description |
|---|---|
| Type de produit | Imprimante multifonction laser monochrome |
| Caractéristiques techniques principales | Impression, copie, numérisation et fax |
| Alimentation électrique | 220-240 V, 50/60 Hz |
| Dimensions approximatives | 400 x 350 x 300 mm |
| Poids | Environ 10 kg |
| Compatibilités | Windows, Mac OS, Linux |
| Type de batterie | Non applicable |
| Tension | Non applicable |
| Puissance | Environ 350 W (impression), 50 W (veille) |
| Fonctions principales | Impression recto verso automatique, impression à distance via Wi-Fi |
| Entretien et nettoyage | Nettoyage régulier des rouleaux et de l'intérieur, remplacement des toners |
| Pièces détachées et réparabilité | Disponibilité de toners, tambours et pièces de maintenance |
| Sécurité | Fonctionnalités de sécurité intégrées pour protéger les données |
| Informations générales utiles | Garantie de 1 an, support technique disponible |
FOIRE AUX QUESTIONS - M-1020 MURATEC
Questions des utilisateurs sur M-1020 MURATEC
0 question sur cet appareil. Repondez a celles que vous connaissez ou posez la votre.
Poser une nouvelle question sur cet appareil
Téléchargez la notice de votre Fax au format PDF gratuitement ! Retrouvez votre notice M-1020 - MURATEC et reprennez votre appareil électronique en main. Sur cette page sont publiés tous les documents nécessaires à l'utilisation de votre appareil M-1020 de la marque MURATEC.
MODE D'EMPLOI M-1020 MURATEC
Votre fax Muratec est un renfort remarquable pour la vieilles
La manufacture est un renfort remarquable pour votre bureau. Vous avez maintenant un fax, un téléphone et une copieuse en une seule machine facile d'emploi. Enveoyez de la correspondance du travail.
commande à un revendeur par catalogue ou vous C.V. par la simple pression d'une touche. La fonction copie vous laise reproduir tout de la commande.
rapide.

Conseils d'utilisation
Pour garder notre fax en bon etat de marche, gentefon 10
de la poussière—si elle s'amasse, elle lui mira
des claboussures--ne le placez pas nx dnn frice dnni
ou d'une autre source de projection de liamides on d'afrements.
a
performance et sa durée de vie
d'une surchauffe-laissez au moins 12 jours.
macchine. No l'etatellant se n'a pas sauf
jamais d'un drap ou d'une housee
Jannne e annap ou d une housse.
fax.



Gardez la bolte et le matériel d'emballage pour un transport eventuel.
-
Le plateau copie
-
Le cordon électrique
-
Le cordon téléphonique
-
Le combiné et son cordon en spirale
-
Le rouleau de papier thermique fourel conteltament
Lorsque vous déballez votre fax, vérifie que vous ayez : 1. La machine
- Plateau cople-Supporte les fuiules repees ou copies. 7. Alimentateur-Pen recevoir jusqu'a 10 pages a etre transmises ou copies. 8. Verrou du capot-Donne acces a l'inécur de l'unité. 9. Sortie de l'origina-Sort par cette fette. 10. Clavier-Programme vour tax ou exctale toutes les autres opérations.

e e e
eepnnpnsodsl
1
-00J/AAOeK, 00001
p 101
P 11111111111111111111111111111
sulunl ap unisoduo
eeppeep eeppeep eeppeep eeppeep eeppeep eeppeep eeppeep eeppeep eeppeep eeppeep eeppeep eeppeep eeppeep eeppeep eeppeep eeppeep eeppeep eeppeep eeppeep eeppeep eeppeep eeppeep eeppeep eeppeep eeppeep eeppeep
(9738ed JIOA)
1 1
sounounosop nonesneosrod mon

1
a, p no ooiisssusien 3n,p sioi npnsos i aesnfV-epoWm eoonl. 6
Installation de titre tax
1
aunusysmeuupes (p8X).
aournne eaeuee eonnee pah un hnrnpseur : youes pouriez raier
eess
a uing prase elecutive quest sur leieme circuit quun appellate a haute
votre prase murale soft une prese standard troles-fiches 120 Volts
Service "appelen atente"
Pere du comuucnns.
Exigences electiques et consommation d'energy
Eeennnneaaee
120VAC±10,50-60Hz
.
-
Consonnation d'energee: Atene 8V
Reception
268 Maximum
100W
e e aee eae eae eae eae eae eae eae eae eae eae eae eae eae eae eae eae eae eae eae eae eae eae eae eae eae eae eae eae eae eae eae eae eae eae eae eae eae eae eae eae eae eae eae eae eae eae eae eae eae eae e ae
e e e e e e e e e e e e e e e e e e e e e e
- Assurez-vous que le séchauteur
Pooonnnnne nnnnne eae
eene eee

- Piaeez le combine sur la fourche. Pour racorder un depordeur ou un seconde
5 Branchez la premiere fiche de
Branchez la prenne fiche de
120 Volts, 3 Riches, et d'oustépochonque standard (RJ-11C).
120 Volts, 3 Riches, et d'oustépochonque standard (RJ-11C).
Rrnnnne aee
- Attachez le plateau copie le cotoé à raynures vers le haut.
B. Prove that
Cous comme montre.


- Connectez l'autre bout à la prise murale standard 120 Volts, 3 fiches.

-
Connectez le téléphone ou le répondeur à la fiche "Phone 2" au dos du fax. Ne les raccordez jamais à une prise téléphonique murale.
-
Créosovato-moogowski, 13
Programmez votre répondeur pour qu'il prenne la ligne après une ou deux sonneries. Consultez le manuel du répondeur, si besoin est. Réglez votre fax à répondre après la sixieme sonnerie (voir page 11).
-
Programmez vous répondeur pour qu'il prenne la lione après une ou de
-
Appuyez sur RECEIVE/TONE jusqu'à ce que "Ans Ready" soit affchéé.
Ans Ready
12:45



- Branchez l'alimentation électrique du répondeur dans une prise murale standard.
Branchez l'alimentation électrique du réseauur dans une prise murale standard.
m - 1 0 ; 当 m < 32 且 m 1 时方程有两个不等实数根
( x - 1) ( x + 3) = 0
Branchez l'alimentation électrique du réseauur dans une prise murale standard.
( xt^2 - x) t + xy^2 = ( x) f^


- Appuyez sur MONITOR/CALL. Vous devriez entendre une tonalité. Si non, revérifiez les connexons faites jusqu'ài.
- (Alvaredes University)
- Agustez le volume a l'âge de la manette situé à l'arrière gauche. Appuyez sur MONITOR/CALL dés que le niveau est satisfaisant.
- Installee le papier (voir page 8).
- Branchez vous répondeur comme décrit à gauche.
- Installez la panier (vain panier)
- Branchez-vous répondeur comme décrit à gauche.
- Installee chez fax.
ou d'un répondeur - Agustez le volume a l'âge de la manette situé à l'arrière gauche. Appuyez sur MONITOR/CALL dés que le niveau est satisfaisant.


nne aenrnnn ennnn nnnn ennnn ennnn ennnn ennnn ennnn ennnn ennnn ennnn ennnn ennnn ennnn ennnn ennnn ennnn ennnn ennnn ennnn ennnn ennnn ennnn ennnn ennnn ennnn ennnn ennnn ennnn ennnn ennnn ennnn ennnn ennnn ennnn ennnn enennn ennnn ennnn ennnn ennnn ennnn ennnn ennnn ennnn ennnn ennnn ennnn ennnn enann
Bonjour. Yous dtes au... (voite numero de telephone) ou chez... (voies nom). Pour laisser vorre message, a: tendez le beep. Pour enloyer un fax, appuyez sur START. Ou laisses voire message, puis appuyez sur START pour enloyer voire fax. Merci! Limitiez en la durée a dix secondes pour le meilleur resultant.
Changement du message Volci un exemple que vous pouvez adapter à vos besoins :
- Poussez queques pôues de papier en dehors par l'arrête.
Poez 1-800-347-3271.
- Fermez le capot. Le coupe-papier va automatiquement couper lexcepident.

Éléments de votre téléphone
Votre fax est un centre personnel de communications qui repOND à vos besoin pour télé- et photocopie. C'est aussi un téléphone complet, équipé de beaucoup d'options.
Vou pOUvez l'utiliser comme téléphone ou fax. Quand vous appelez un autre fax du combiné, attendendez d'entendre les risqués de sécutis et le tissu
appuyez sur START pour transmettre le document placé dans 1'alimenteur.
Le téléphone vous offre:
La recomposition
Si vous appuyez sur REDIAL, vous recomposez automatiquement le dernier numéro fait.
Un numero composé par l'intémièdiare d'une touche unique, d'une composition
fois si nécessaire, a trois jours d'intervues.
Un numero composé après avoir pris le combiné ou après avoir appuyé sur MONITOR (CIA).
RREDIAL
La mise en attente
Mettez-vous correspondant en attene a tout moment en appuyant sur HOLD et en racchonnant la combiné. Para mons d'au
réappuyez sur HOLD.
Holo
Hold
Quand vous initiez un coup de téléphone en prénant le combiné ou en vous servant de MONITOR/CALL, l'écran de votre fax affiche la durée de cet appel en minutes et en secondes. Dans l'exemple montré plus haut, six minutes et 15 secondes se sont déjà écoulées. Ce chronomètre couvera toute son utilisé si la durée de certains de vos appeals vous tracasse.
Un chronomètre des appeals téléphoniques
Yous pouvez surveiller l'utilisation de la ligne longue, dire.
Vou puez surveiller l'utilisation de la ligne longue-distance avec ce chronomètre.
ART.
Un moniteur
Appuyez sur MONITOR/CALL pour pouvoir composer sans avoir à prendre le combiné. Composez le numéro en utilisant le clavier, une touche unique ou la composition rapide. Si vous utilisez le clavier, appuyez sur START quand vous entendez les sons fax de réponse. Si vous utilisez les touches uniques ou la composition rapide, votre fax essayera automatiquement de transmettre : pas besoin d'appuyer sur START.
Appuyez sur MONITOR/CALL pour pouvoir composer sans avoir à prendre le combiné. Composez le numéro en utilisant le clavier, une touche unique ou la
composition rapide. Si vous utilisez le clavier, appuyez sur START quand vous
et entendez lessons fax de reponse.Si vousutilisez les touches uniques ou la com
position facile, votre fax essayera automatique de transmettre : pas besoin d'approvageur START.
Pareaisur chape Page que youe enyeyz. L idenie-souscripeur es le numero de tellephone du fax. LTT peue eye your nom ou celui de la compag me peut comper jusqu a 25 caractes. La Loi de Protection de I Ullsateur du Tetephone, parre en 1991 aux Etats Unis, requirant que chaque utiliseauter ajoute son nom et son numéro fax a toute
3
- Appuyez sui MODE
Set Tax
1
- Appuyz sur PROGM pour saevegarder. La tax est pait pour cette
- Enrez vaive nom ou celui de la compagne, 25 carcaheres au plus.
hern le demier chois si vous aviez fait une ereur.
Appuyez six tos sur P
Fax Resol: Fine
- Apoyez sur PROGRAM pour faire vot choice
Fax Resol. Norm
1
- Appoyez sur MODE pour sauvageder.
Fax Ready 11:30
Le nombre des sanneries
aannnne aen ane ane ane ane ane ane ane ane ane ane ane ane ane ane ane ane ane ane ane ane ane ane ane ane ane ane ane ane ane ane ane ane ane ane ane ane ane ane ane ane ane ane ane ane ane ane ane ane ane ane anee
- Appledyaz hout fots sur PROGRAM, puts une fots sur MODE.
of Rings = 02
- Apuyez sur PROGRAMJusqu'a ce que voirschoix sifie
of 06
[
- Appuyez sur MODE pour faire voite chok
Pax Ready 11:35
aee aae eae aee aee aee aee
la deuxieme option est une a 15 sommeires, voyage en page 28.
Bloc fax publicitaires
Pnne nnnnne nee ne eannne nee nee nee nee nee nee nee nee nee nee nee nee nee nee nee nee nee nee nee nee nee nee nee nee nee nee nee nee nee nee nee nee nee nee nee nee nee nee nee nee nee nee nee nee nee nee nee nee nee nee neee
La résolution
nsssses des programmatons personnalises
Aprez avec個人nalise vov regles, imprime les pour reference. 1.Appuyez sur PROGRAM.
-
+
-
Appuyez deux fots sur MODE
Prrrnnnne
eaeaeaeaeaeaeaeaeaeaeaeaeaeaeaeaeaeaeaeaeaeaeaeaeaeaeaeaeaeaeaeaeaeaeaeaeaeaeaeaeaeaeaeaeaeaeaeaeaeaeaeaeaeaeaeae
es programmations personnalises
e e
parrnres a la positin usine
n nnnez ce nmeonde que si vouez rernment lout e fcar : ITR
vous devez repondre a chacun
maneulement en utilisant le
combiné du fax ou celui de tout
aute telepique de vous maison ou
devoirebureau.
Vetrorr
Votre fax répond automatiquement à
tous les appeils et essayera de
Un renpondents ou un dnujiome
Un repondeur ou un deuxième
telphony est connecté à voter for
Telephone is connecte a sua tax tomar la fiche "Phone2".Votra for me
e in a houne . You live lax likeyou prandim la ligne que estil fucto
les ions fax caractaristiques
annonçant qu'un autre fax essave de
transmettre.
Votre fax répond automatiquement à
ous les appels et vous alertera par
une somnerie spéciale de
| Options | Opération |
| Tel Ready 12:45 | Votre fax va ignorer tous les appeals. Vos devez répondre à chacun manuellement en utilisant le combiné du fax ou celui de tout autre téléphone de votre maison ou de votre bureau. |
| Fax Ready 12:45 | Votre fax répond automatiquement à tous les appeals et essayera de recevoir. |
| Ans Ready 12:45 | Un répondeur ou un deuxième déléphone est connecté à votre fax par la fiche "Phone2". Notre fax ne va prendre la ligne que s'il déteche les tons fax caractéristiques annonçant qu'un autre fax essaye de transmettre. |
| T/F Ready 12:45 | Votre fax répond automatiquement à tous les appeals et vous alertera par une sonnerie spécifique qu'une per- sonne veut vous parler. |
Line error
Une explication plus complète de ces modes vous est donné dans les chapîtres primitifs.
suiants.
Utilisez "Fax Rea
"ppoeoepnoons sur laueigne.Fouchoisir "Fax Ready",appuyez sun REVEIVE/TONE ingu's,co oue "Eao Proel" 100
REVEIVE/TONE jusqu'à ce que "Fax Ready" soit affché.
Votte tax repondra a chaque appel après le nombre de sonneries que vouschoisi, 4changars les sons for once l'immési qu'en?"
choll, cangirca les sous lax avec I unite qui vous appelle et essayera de meevie.
Réponse manuelle à tous les appeals—dans tous les modes
Dans chacun de ces modes, vous pourrez tous répondre manuellement auqu'enne:
-
Property 1
-
Prenez le

Si c'est une
personne...
SIVous chinekez les sois fax .
2. Appuyez sur START, puis raccrochez : la réception va commencer.

Votrefaxyousoffreplusieufasconfderepondredaunappel:
Ans Ready
aivee fax: Chosesz "Ans Ready" si youlisez un repondeur ou un desaieste telephone
Iusation d'un repondeur avec voite fax
Voue fax va veur en ligne avec le repondeur et rester silenciex pendant que.
votne message est fou.
Au moment même ou
Pour le métre en "Auss Ready"
Appuyez sur RECEIVERTONE jusqu'à que 'Ars Ready' soit afferché.
- Modifrez your message (not page 8).
uunnnnne nnnnne ennnnne nee
maitique nser de reoit.
e e e e e e e e e e e e e e e e e e e e e e e e e e e e e e e e e e e e e e e e e e e e e e e e
you obiger aas, a attendire is you voulez composer un autre numéro. Le fax
Prenant la ligne par le second téléphone, vous n'estimatez rien du tout.
Voue fax a déjà reconnue les sons fax, a repondu et est en train de receiveur.
T/F Ready
T/F (Tel/Fax) Ready" est idéal si vous n'avez pas deux lièges et que vous necevez autant de fax que d'appliels telephoniques. Dans ce mode, votre fax :
-
Commerce à recevoir automatique des fact.
-
Read one sentence
Tautureboutduil.
Appuyez sur RECEVETONE Jusqu'a que T'Reasy, soit affiche.
sIle réponds à un appel fax dans une autre place ?
aee aee eae ee eae eae eae eae eae eae eae eae eae eae eae
-
Alioz au fax. Prenez le combine, pls appuyez sur START
-
Raccroche les deux combins.
oos navez daue dues seconds out after tax deochber at aniver
eannnnnne nnnnne eannnnnne
"Being Called" à l'écran Quand votre fax répond à un appel, l'écran
"Appele"
Détction de fax silencieuxOrelaux vieux modélles de finiésanteur
Detection de fax silencieux Ouelles xieux modulos de for n'extent d'etat
Duce Fox repond a t
2144033465
Si I'appeel est d'un fax, I'ecran donna sera son numero de téléphone.
Receive
Norm
Avertissement de fin de rouleau
One ligne rouge puis noire au dos de la feuille de papier délivrée lors d'une réception ou d'une copie, vous permettra de juger si vous fax va bientôt manquer des papiers. Il faudit que l'informateur ne saura pas le cas.
Papier: A lauda Change le Rouel au sous peu, car voirs fax ne peut pas recevoir pendant longtemps s'il n'y a pas de papier dans la machine.
600 547 3271 ou votre revendeur pour toute question ayant trait à la commande de fournitures.
Reception en cas de manque de papier thermique
Si vous fax devait manquer de papier alors que vous etes absent, il pourra recevoir a peu pres 28 pages de documents en finmeir. Cet is
automanquement imprimés si vous changez le rouleau. Une coupure de courant effacerait tout ce qui est contenu dans cette mémoire de réception.
Quelquesieuxmodelesdefaxn'émettentpasdesonsfax quandilsenvoient. Normalement,votreyépondeurcontinueraitaenregisterr jusqu'àceque I'autre faxsedecideaquitterla ligne.VotrefaxMuratecpeut s'adapteracesmoderes sansinterromprelefonctionnementnormaldeyorepondeur.
Quand letdetectionde fax silencieuxestactivée en"AnsReady",votreyafxva donneràla personne quiyouappelle six secondes pourcommencera parler après queletrépondeuraitcommencéaenregisterr.Si le fax ne détectepas de voix,il essayeraderecevoir.Voyez enpage28pourlesinstructions utilesa la mise eneffetde cette détction.

e bas. 3. Inesrez le document face impormede vers
aee aae eae aee aee aee aee
Austoux les guides à la fille des pages à transmettre
Insertion des pages

e e aee
des pages extrément fines ou froissées
mals: Minimum : 4,8 pouces x 4,0 pouces
mnnn nnnn nnnn nnnn nnnn nnnn nnnn nnnn nnnn nnnn nnnn nnnn nnnn nnnn nnnn nnnn nnnn nnnn nnnn nnnn nnnn nnnn nnnn nnnn nnnn nnnn nnnn nnnn nnnn nnnn nnnn nnnn nnnn nnnn nannn nannn nannn nannn nannn nannn nannn nannn nannn nannn nannn nannn nannn nannn nannn nannn nannn nannn nannn nannn nannn
e e e e e e e e e e e e e e e e e e e e e e e e e e e e e e e e e
aannnnnne nnnnne aen annnnnne ennnnne eannnnnne
Transmission d'un fax
一
Choix de la résolution
eae eae eae eae eae eae eae eae eae eae eae eae eae eae eae eae eae eae eae eae eae eae eae eae eae eae eae eae eae eae eae eae eae eae eae eae eae eae eae eae eae eae eae eae eae eae eae eae eae eae eae
norm (normale) : pour tous les documents tapes à la machine.
Fine : pour tous les documents denses ou manuscripts.
Gray" (Niveaux degrs) : pour toutes les photos ou imaees en demi
Superfin est a vote disposition quand vous transnetez :
a tutes machines Muratec ayart此案 résolution superfine
Leu nne auve de gr (Gray) sont a vour disposition quou you transmetz vns innoque quelle unied du Groupe 3-meme si elle n est pas Equippe.
Choix du contraste
Ullise contrast pour selectionner le contrast d'equaiat.
nom" pour las plupart des documents.
nnon' pour as plupart des documents.
d: 44
Elements speciaux de composition
aannnnnne aannnnnne nnnnnnne annnnnne aannnnnne
Prrnne aenrnnnne nnnnne ennnnne nee annnnnne eannnnnne

Commandes differées
rnnnne nnnnne ennnnne nee annnnnne ennnnne ennnnne ennnnne ennnnne ennnnne ennnnne ennnnne ennnnne ennnnne ennnnne ennnnne ennnnne ennnnne ennnnne ennnnne ennnnne ennnnne ennnnne ennnnne ennnnne ennnnne ennnnne ennnnne ennnnne ennnnne
Time: 02, 11:39
n calehner hncporc est uilusd por 1eucution de ces commandes. Dars nore example, "02" represe la date et 11:39 Thea a laquelle la transmission dfoe doohi (11:20)
Pouvez entre le mois, soyez parentiement atteign que mon Comme younnes ne
eane) 1rreque que you eure est une heure plus tardive que celle se
e n non dans 1 mois et 39 minutes
ou youe quoz que cote manne ne soe exctude que dans un mois,
T 029:00
Comme 09:00 est plus tâque 11:00, voite fax Randela la commande en
nne nont pour 30 Jours, plus I'excutera comme programmada. Rapperez-vous:
Pour metre un fax en mémoire pour une transmission directe:
Pnnnnnnneep
Mernnrrrnnn rnrnnn
5, Entre la date et l'heure de la transmission koy.
Time: 02,11:39
( x - 2x) t - xy^2 = ( x - 2x) f^ t
- Appuyez sur START
Fax Ready +11:39
Difusio differée
-
Inspeziz document
-
Appuyez deux folles sur BROADCAST:
Broadcast
3 3
eerher les numeros. Appuyez sur MODE entre chaque numero.
ou you poyez enter un total de chq commands differes. Ou si you
aannnnnne aen nnnnne eanennnne
Prrnne aenrnnn ennnn nnnn ennnn ennnn ennnn ennnn ennnn ennnn ennnn ennnn ennnn ennnn ennnn ennnn ennnn ennnn ennnn ennnn ennnn ennnn ennnn ennnn ennnn ennnn ennnn ennnn ennnn ennnn ennnn ennnn ennnn ennnn ennnn ennnn ennnn enann
the
Tlme 03,12:00
eae eae
HVaS Jns zoAndy 9
L604 ApeoR x
eepnwnnne nnnnne nnnnne nnnnne nnnnne nnnnne nnnnne nnnnne nnnnne nnnnne nnnnne nnnnne nnnnne nnnnne nnnnne nnnnne nnnnne nnnnne nnnnne nnnnne nnnnne nnnnne nnnnne nnnnne nnnnne nnnnne nannnee
Recomposition automatique
2. Appuyez 4 tos sur PROGRAM
Prrnnt Setting
1: Appuyez sur PROGRAM, pulls sur MODE.
membre. Sur cette liste, vous aurez le nombre de téléphone de l'autre fax, Ithere a laquelle la transmission doit avoir lieu et un message disant si la transmisson se fera de mémoire ou si elle sera diffusée. Pour imprimerce cette liste :
mpeesion dune lste de commandes diferences
e en revue les autres commandes, Appuyez sur COPY pour limprimer.
COH 403-3465
0281BROCA51-P155BUT
Impression des documents en mémoire
Touchede recomposition
Poue rereune un munofo de eiohne, precez le combie ou appuyez sur
e aee eae ene eae ee eae eae eae eae eae eae eae eae eae eae eae eae eae eae eae eae eae eae eae eae eae eae eae eae eae eae eae eae eae eae eae eae eae eae eae eae eae eae eae eae eae eae eae eae eae eae eae eae eae eae e ae
aannnne nnnnne aannnne nnnnne nnnnne nnnnne nnnnne nnnnne nnnnne nnnnne nnnnne nnnnne nnnnne nnnnne nnnnne nnnnne nnnnne nnnnne nnnnne nnnnne nnnnne nnnnne nnnnne nnnnne nnnnne nnnnne nnnnne nnnnne nannnne nnnnne nnnnne nnnnne nnnnne nnnnne nnnnne nnnnne nnnnne nnnnne nnnnne nnnnne nnnnne nnnnne nnnnne nnnnne nnnnne nnnnne nnnnne nnnnne nnnnne nnnnne nnnnne nnnnne nnnnne
MONTYCAUL, PUSHER KEDCAL. Le dernier nombre fait sera recompose.
Poue rereune un munofo de eiohne, precez le combie ou appuyez sur
Avec le MCE activé, la durée de transmission peut être ralloyée, le fex pouvant
nssnnn aee nne nee ene nee
Cronnnn ene annnns) Quand le MCE est activé, vour fex va demanber a
Voe fex you of an palitafie a geur de probleme, appe MCB Mode de
aepnne nnnnne ene nee eaeennnne
rnnnne nnnnne nnnnne nnnnne nnnnne nnnnne nnnnne nnnnne nnnnne nnnnne nnnnne nnnnne nnnnne nnnnne nnnnne nnnnne nnnnne nnnnne nnnnne nnnnne nnnnne nnnnne nnnnne nnnnne nnnnne nnnnne
Mode de Correction des Erreires (MCE)
Pand a place d un espe aloe.
unluzet autant de pannes que vos voulz, mais rapelez vous que chacque
KETPNT aon the document dans almeceur, appoyez sur REDIAL, pus sa
aennn nnnnne aannnne ennnnne
Prrssnnn nnnnnn rannnnn nnne nee ene eanne aannn
Votr fay you servir de copier ben pranique pour vos formulaires d'assurance.
vos recettes et vos lettres. Il peut vousdonner jusqu'a 99 copies d'une page.
Los copies que vous ferrez sur du papier themanque se conserver partafement
trois ans a peu presi vous les gardez dans des conditions ideales, c'est-a-dire
Dans un endroit see et frats.
Pour faive une copie:
1. Inshez les pages a copier:
Pou fau plus d'une copie d'une seule page, suivez les instructions données plus haut. Avant d'appuyer sur COPY, utilisez le clavier pour entre le nombre de copies que vous venez.
-
Apuyez sur MODE pour la sauvageder
-
Applyez sur PROGRAM pour change:
Auto-composeur
Vot fay peu rrour un total de 100 mero fax et tlephone. Yingt touches
uniques et 80 a composition rapide meten meit le plus long numero interma-
tional a porte de qukes touches seentmentme le plus long numero intima-
parveant, en prime, reavoir 20 numere fax et 20 numere de tellephone. Cet
auto-composeur you simplifie grandement la composition des numere
unises le plus souvent.
Touches uniques
nunmo fax et un de tetephone. Admettons que vous programmez les numeros
fax et tetephone d'un client sous la touche unique A. Si vous mettez un docu-
ment dans l'alimenter et appuyez sur A, le fax assumera que vous pouze.
I envoyer et faire le numero fax entre sous A.
Si I'alimenteur reste vide, le fax ferra le numero de tetephone store sous A, car
Praera que you vouez parler a client.
Prrnnnne nnnnne nee
Aappoyez duos sur PROGAM, pusing ouos sur MODE.
Select A - V
- Appuyez sur la tode unique que vous coulez programmer.
Fax No.
Prrnne aenrnnn ennnn nnnn nee
- Pour enter le nom du correspondant, appuyez sur MODE
Pocn Pocn Pocn Pocn Pocn Pocn Pocn Pocn Pocn Pocn Pocn Pocn Pocn Pocn Pocn Pocn Pocn Pocn Pocn Pocn Pocn Pocn Pocn Pocn Pocn Pocn Pocn Pocn Pocn Pocn Pocn Pocn Pocn Pocn POC
Eefacement d un numero store sous une touche unique
- Appuyez deux fonds sur PROGRAM, pulls une fonds sur MODE.
seee
- Séléctionnez le nombre qui doit être faissé?
Fax No
( x - 2x) t - xy^2 = ( x - 2x) f^ t
Dre aee
2 2 2 3 3 3 3 3 3
Puyez sur STOP pour revenir en mode atte.
Reperatoire plein
Pepetroie est plain plus revendra en mode atte:
Fulll
Impression d'un repertoire
rnnnne nnnnne nnnnne nnnnne nnnnne nnnnne nnnnne nnnnne nnnnne nnnnne nnnnne nnnnne nnnnne nnnnne nnnnne nnnnne nnnnne nnnnne nnnnne nnnnne nnnnne nnnnne nnnnne nnnnne nnnnne nnnnne
eepnne eae aee nnnnne ennnnne nee
1: Appuyez sur PROGRAM, pals sur MODE.
Prrrnnnne
- Appuyez sur PROGRAM, puls sur MODE
Nuneros codes a composition rapide
puyant sur SPEED-DIAU, puis en faisant le code de deux chiffres assigné au
- Cholassez un autre numero a enter ou appuyez sur STOP pour revenir en mode aternte.
Prammatn d un numtro sous un code pour une composition rapde
-
Appuyez droits sur PROGRAM, pulls ou droits SUR MODE
-
Entrez un code comprise 01 et 80
08
- Appuyez sur MODE
Location IT
Aae aee eaae aee aee aee
e nero, aiez au paragraphe 6.
:
deuxieme colorne.
Teel Number
Appuyez sur PROGRAM quand c'est fait
- Appuyez sur MODE
aee aee eae ee eae eae eae eae eae eae eae eae eae eae eae eae eae eae eae eae eae eae eae eae eae eae eae eae eae eae eae eae eae eae eae eae eae eae eae eae eae eae eae eae eae eae eae eae eae eae eae eae eae eae e ae
Puyez sur STOp et reprenze au debut
rnnnne nnnnne eannnne
9124-403-3465
- Quand c'est fait, appuyez sur MODE
seee 1-80: 09
mne nnnnne
eannnnnne nnnnne ennnnne eennnnne
eae 1-080
- 8eaeane ne oed nu nroo que you vouez efacer.
9124-403-3465
- Appuyez sur CONTRAST:
1
aee aee eae
rrrnnnne rnrnnnne
e nom du correspondant et le numéro fix.
Appuyez sur PROGRAM, Puls sur MODE
Prrnnnne nnnnne
- Appuyez deux fois sur PROGRAM, plus une fois sur MODE
e e e e e e e e e e e e e e e e e e e e e
Elements spéciaux de composition
Poue cooep aun tne, appeyez sur HOLD. I ne sert qu'a rendre la lecture
a numero plus facie.
Pou inaeiree roe d aetre pour une loalite apnoyez deux Fois sur
HOLD: Un point d'exclamation apparat.
Pour estre une pause de composition, appuyez sur FLASH/PAUSE: un
aene aene aeneae aeneae aeneae aeneae aeneae aeneae aeneae aeneae aeneae aeneae aeneae aeneae aeneae aeneae aeneae aeneae aeneae aeneae aeneae aeneae aeneae aeneae aeneae aeneae aeneae aeneae aeneae aeneae aeneae aeneae aeneae aeneae aeneae aeneae
eae aee eae eae eae eae eae eae eae eae eae eae eae eae eae eae eae eae eae eae eae eae eae eae eae eae eae eae eae eae eae eae eae eae eae eae eae eae eae eae eae eae eae eae eae eae eae eae eae eae eae eae e ae
Fonctions spéciales de communication
Appelselectif
Prat a are extrait.
Assure you auusl que you n'ayez ren dans vote almeheur.
- Prinse le combié ou apouyez sur MONTBOCAL
-
Composez le numero du fax.
-
4.4.4.4.4.4.4.4.4.4.4.4.4.4.4.4.4.4.4.4.4.4.4.4.4.4.4.4.4.4.4.4.4.4.4.4.4.4.4.4.4.4.4.4.4.4.4.4.4.4.4 11111111111111111111111111111111111111111111111
Perrnant quote yoe fex recoiu enrode, appey2 sur MONITORCAL.
rere eae aee eae eae eae eae eae eae eae eae eae eae eae eae eae eae eae eae eae eae eae eae eae eae eae eae eae eae eae eae eae eae eae eae eae eae eae eae eae eae eae eae eae eae eae eae eae eae eae eae eae eae e ae
Pour répondre à une requête de conversation : Si qu'en un sollicité une conversation, vous entendra une sonnée prolongée. Pour y répondre, prendez le combiné et appuyez sur STOP. Quand le correspondant répond, la ligne s'ouvira et vous pourrez commencer la conversation.
Caaeeeee
Votre fax vous permet d'adapter son fonctionnement à vos besoines particuliers
"dipswitches", situés dans le logiciel.
Si vous pensez que vous avez fait un
800-347-3271 (voir aussi page 27).
Vou puez qauus utiliser la commande Clear Memory" (Effacement de la
membre), expliquee en page 12, pour retourer instantanement tous les com-. metatant a la catione rie, moi nottc compereffes aevi tertent in
mutateurs à la position usine, mais cette commande étracé aussi toute autre in-. mation que vous auriez programmée-- comme votre ITT, yours.
Identité-souscripteur et les numérios de l'auto-composeur—de la mémoire de
votre unité.
Ajout à la longueur de page pour l'ITT
Cette fonction est une courtoisie pour les propriétaires de fax utilisant du papier normal, avec lesquels vous communiqueriez.
L'ITT ajoute normalement en longueur à la page. Ceci n'a pas d'importance
quand vous utilisez du papier thermique qui est en rouleau. Mais ces autres
de l'ITT. Tout document plus long qu'une page normale les oblige à imprimer
une seconde page.
Pour éviter ici, votre fax annule une partie infime du haut de la page que vous
Transmette : ce 176 de ponce est pas transins et est remplice par vos P11 et Identite-souscripteur
Pour annuler cette fonction, utilisez la correction qui suit Ranpelez-vous que
certains fax utilisant du papier normal vont devoir imprimer deux pages pour
chaque page envoyee.
- Appuyez sur PROGRAM, *, 1.
dipsw-0 00010000
- Appuyez trois fols sur MODE.
dipsw-3 11010000
Elargissement de la lecture
Votre fax accepte les documents originaux ayant jusqu'à 8,5 pouces de large, mais n'est programmé qu'à生存 les 8,2 pouces à partie égale du centre des docu
d
i
ps
W
-2
?
d
i
ps
W
- Appuyez sur MODE, puls sur STOP pour revenir en mode attente, ou juste
sur STOP pour revenir en mode attente sans changer la programmation.
Note: N'oubliez pas de revenir à l'opération normale en répétant les étapes
de 1 à 4 et en entrant un "1" à la place du zéro. - Appuyez sur MODE, puls sur STOP pour revenir en mode attente, ou juste
sur STOP pour revenir en mode attente sans changer la programmation.
Note: N'oubliez pas de revenir à l'opération normale en répétant les étapes de 1 à 4 et en entrant un "1" à la place du zéro.
dipsw-2 01000000
- Appuyez une fois sur B. Entrez un zéro.
dipsw-2 00000000
- Appuyez sur PROGRAM, *, 1.
67
3U
PF
Longueur de page illimitée à la transmission :
Votre fax peut envoyer des pages longues de 15,7 pouces. Si vous deviez en
I voyer une page plus longue, comme un electrocardiogramme ou un journal de
puits de mine, utilisez la fonction suivante qui coupera le senseur de papier
changer la programmation.
dipsw-3 10010000
dipsw-3 10010000
- Appuyez une fois sur B. Entrez un zéro.
Apuyez sur PROGRAM, 1.
| Code ; neries | Son- Code ; neries | Son- Code ; neries |
| 0000 | 1 | 1000 |
| 0001 | 1 | 1001 |
| 0010 | 2 | 1010 |
| 0011 | 3 | 1011 |
| 0100 | 4 | 1100 |
| 0101 | 5 | 1101 |
| 0110 | 6 | 1110 |
| 0111 | 7 | 1111 |
yey six fois sur MODE.
- Appuyez sur PROGRAM. : 1:
72 sur PROGRAM. : 1
Detection de silence
que you ees certain que you comumnquerez avec un de cix fex aleieux n emetant aucen son fax. Si you utilise ce fonction en operation nominale, vessation pourraient amener le fax a partir en ligne et a essayer de revoir. Pour activ la detection:
e e e e e e e e e e e e e e e e e e e e e e e e e e e e e e e e e e e e e e e e e e e e e e e e e e e e e e e e e e
aero en 3. Pour revenir a 1'opération normale, repérez les étapes de 1 à 4, mais entre un
Papayez sur MODE, pals sur STOP pour returner en mode alternate, ou simplement sur STOP pour returner en mode alternate sans change le programmed.
( x - 2x) t - xy^2 = ( x - 2x) f^ t
1-6 111101
- Appoyez une fois sur B. Entrez le chiffre 1:
aannnnnne aannnnnne
- Apuyeze quatre fols sur B. Ehtoz un 260.
m - 1 0 ;
P 00000000000000000000000000000000000000
- Appuyez sept tos sur MODE
Appuyoyz sur PROGRAM:
nss. t a a
εει ApveoR xed
Resolution de problème
Tey B: Verifiez les documents focus.
T A2
aannnne aen nnnnne ennnnne ennnnne ennnnne ennnnne ennnnne ennnnne ennnnne ennnnne ennnnne ennnnne ennnnne ennnnne ennnnne ennnnne ennnnne ennnnne ennnnne ennnnne ennnnne ennnnne ennnnne ennnnne ennnnne ennnnne ennnnne
I'autre fax n'a pas responded provencement an yours et ne
e en derangement. Apelez son propriete.
131
rare rae a eae ane nane de alnneur
aee aeneae
D.00
L'autre facte est occupé.
Divers
14
a appuyesur S1OP pendent la reception.
Paae aee
Tey
R5
reception en MCE
reconnue ou une qu'envoie a besoin d'entrepreneur
a aae
1
eepion en MCE.
Gosaire
eessssssssssssssssssssssssssssssssssssssssssssssssssssssssssssssssssssssssssssssssssssss
Ciennele (you en page 27) en cas de questions
es des inatutions sur le mode de transmission, le nombre de pages envoyees les
Analogie Paximilie
Fecillement internonplus par tout "brut" sur la ligne telephonique.
BPS
Bins par seconde. Utilisés pour exprimer la vièse de transmission. Comme la
envoyer un document a une multitude de numeros Pree Prozernmns dans
rno
3
Cooaeus de charge disposets en ligre. Le mechanismisme de lecture utilise par les
aannnne aannnnn nnnnne annnnn ne ane ennnnne
verte en un signal binaire pour la transmission
( 0 < x) x > ( x + 1) x ≤ 0.
aenrnnnne aennnne ennnnne nnnnne ennnnne ennnnne ennnnne ennnnne ennnnne ennnnne ennnnne ennnnne ennnnne ennnnne ennnnne ennnnne ennnnne ennnnne ennnnne ennnnne ennnnne ennnnne ennnnne ennnnne ennnnne ennnnne ennnnne ennnnne ennnnne
Goupe 3, Certains masiques Muratec ofoient une compatibilite avec celles du
oTTT V29et V27ter.
Ensembl de procdures de communication nominalles permietant aux fex
rastant ces nimes de dialoguer entre eux.
Bien que le marché du fax n'a faitrialment pris son essor que depuis l'interduction des machines du Groupe 3 repides et pruissances, la communica-tion par fax a une bien plus longue histoire. Le premier systeme a eied inroduit en 1842 et une utilisation a grande eschelle etait en cours bien avant 1910.Aux Etats-Unis, des unites connectes a des postes TSP personnels ont permis la reception d'un journal dans plusieurs villes jusqu'en des années 40.Le développement de la television commerciale a ported un coup d'etre a son
Fall back
SMT2). Ces signaux de composition sont generés par les touches ou les systèmes téléphoniques "touch-tone." Ce service en SMT2 est une option dans la plus part des systèmes Nord-Ameriques. ECM (MCE: Mode de Correction des Ébriurs)
mepnne aenrnnnne nnnnne ennnnne nee annnne eannnne ennnnne ennnnne ennnnne ennnnne ennnnne ennnnne ennnnne ennnnne ennnnne ennnnne ennnnne ennnnne ennnnne ennnnne ennnnne ennnnne ennnnne ennnnne ennnnne ennnnne ennnnne ennnnne ennnnne ennnnne ennnnne enennnne ennnnne ennnnne ennnnne ennnnne ennnnne ennnnne ennnnne ennnnne ennnnne ennnnne ennnnne ennnnne ennnnne ennnnne ennnnne ennnnne ennnnne ennnnne ennnnne ennnnne ennnnne ennnnne ennnnne ennnnne enannnee
Le numero de charge est assigne au Canada a tout equipment de 16 communications axin de preven la surcharge d'un circuit tellephonique. Reliez les consignes étabies par le Département Canada du Commmica-tion dans ce manuel ou contactez cette compagnie de tellephone locale pour plus d'information.
ooue eoy systems, les macuns aunsean un protocoe pour ces sana- cions, pour par exemple, identifie le type d'uni ed ou pour commener la communication.
aannnne aen ane enan e ane ane ane ane ane ane ane ane ane ane ane ane ane ane ane ane ane ane ane ane ane ane ane ane ane ane ane ane ane ane ane ane ane ane ane ane ane ane ane ane ane ane ane ane ane ane ane ane ane ane anee
Handshaking
Pas un niveau de résolution, mais une méthode de lecture et de transmission d'images en demi-tons de grits. Les fax Muratte ayant cette capacité interconn les photographes en niveaux de grits compris entre le blanc et le noir. Le fax qui transmet doit pouvoir dire en demi-tons de grits pour envoyer une photo de façon exacte, mais le fax qui reçoit n'en pas besoin pour imprimier l'image.
Graayssale
Tn aenrnnnne nnnnne ennnnne nee eannnne nnnnne nnnnne nnnnne nnnnne nnnnne nnnnne nnnnne nnnnne nnnnne nnnnne nnnnne nnnnne nnnnne nnnnne nnnnne nnnnne nnnnne nnnnne nnnnne nnnnne nnnnne nnnnne nnnnne nnnnne nnnnne nennnne nnnnne nnnnne nnnnne nnnnne nnnnne nnnnne nnnnne nnnnne nnnnne nnnnne nnnnne nnnnne nnnnne nnnnne nnnnne nnnnne nnnnne nnnnne nnnnne nnnnne nnnnne nnnnne nnnnne nnnnne nannnee
Group 4
rnnnne nnnnne nee annne nnnnne ennnnne eannnne
- Group 3
Pruve de la transmission de sua fac. Imprimne apres la evro, ce rapport iden- tige le numero de telephone du faix recepteur du document envoye.
I idente du correspondant est une option utilise par les unite Muratac. Il vous penet de identifier par nom le numero de telephone programme dans votte anti-compoument. Se dit aussi identique du terminal transmertur. MHI Modified Hufman, le standard du CTT pour la compression des données employee Par the Groupe 3. Offet par toutes les unites Muratac, MH asseure une transmission a moins de 1 minute par page lors de communication entre machines du Groupe 3, quel qu'en soit fabriquer. MR Methode de compression des données opticonelle sur les Groupe 3. Utilise par quelques unites Muratac. MSL, SMSE Mothode exclusive de compression des données, offrent des transmissions plus rapides qu en MII toulles les fois que vos communesrez avec une unité Muratac, MSF et SMSE sont disponibles sur presque toutes les machines Maturer. Modem A I ogige une abréciation pour modulateur-demodulator, devenu d'empli- connu en langage fix et ordremateur. Un modern est un appellil (Tone). La pugnant des resaux téléphones en Andriey du Nord offrir une des deux options. Les unites Muratac sont compatibles avec les exiguences des systèmes de sig- max (Rutary/Tone). Vezcainz avec vour compagne de téléphone ai vous les sau rereau "Rotary", et changez le relagge de vour unite A l'able du manuel si necessaire. Resolution La resolution de documents transmis on copes par un fax est mesurée par le nomme de lignes horizontales (H) et verticules (V) par pouce que I'unité peut imprimer. Voite unis ollfe asissue une transmission en dermi-ions de grit pour une production idale de Photographies. Les résolutions standard du Groupe 3 liens: en normal : 2031 x 98V en fin : 2031 x 196V en superim : 2031 x 397V PBX Private branch exchange, ou aussi PABX et autres. Equipement de téléphone pètes deserve un edifice, une entreprise ou un groupe d'immatiles. Beancoup des systèmes PDX utilisent des lignes numériques qui au contraste des lignes du reseau public, ne sont pas compatibles avec l'empli de fax. Ne connectez telapphone locale si vous avces des questions. PES Impulsions par seconde. Uteses Pour identifier les besoins du systeme de com- posement par cadran rotaf. FSIN You've got an answer your document dans une "boite & keire" dans la menappe de une unite Muratac. La transmission sera protégé par un code d'accès créé par le propriétariat de la boite à dettes. Subscriber ID
L idenitè-souscRIPTeur est le numéro de téléphone de votre fax. Partie intégrante de l'ITT, elle est imprimée en haut de chaque page reçue de votre fax. La Loi de Protection de l'Usager du téléphone, parue en 1991 aux Etats Unis requiert que tous les usagers de fax passent en sorte que leur nom et numéro de téléphone et la date apparaiscent en haut de chaque page transmise.
Surge Protector
1 Protecté contre supsions sur les lignes téléphoniques et electromiques. Branché sur la ligne 16ophonique, il aechoit au-dessus le clair clair.
- An églée opéronique, à absorbera et déviera les surfions causées par la foudre ou de l'électricité statique sans interfêtes avec la fonctionnement des
des opérations téléphoniques. Sur la ligne Electrique, le dispositif de protection
fera de même et poursuivant éviter de graves dommages causés au fax ou aux
autre apparéils
Touch-Tone
Téléphone à touche ou lessons caractéristiques rendus par cet appareil. C'est
aussi un nom de marque deposée pour un modele de téléphone de Western Electric.
TTI
L'Identité du Terminal Transmetteur (TTT) est transmis automatiquement avec
chaque page que vous envoyé et apparait en haut de chaque page recue de vous
pou est que la société est correctement identifiée, auquel le Lie et Protection
de l'Utilisateur de téléphone parue en 1991 requiert que tous les utilisateurs de
The authors' abstracts are due to their hom. et numero de téléphone plus la date figurent sur chaque fax ou 'ils envoient.
que fax qu'ils envoient.
Questions/Réponses
Questions générales
Q: Où doit-je ajouter de l'encre ou la cartouche pour que mon fax imprime en plus foncé?
A: Votre fax n'en utilise pas. Il utilise une technique spéciale d'impression appelé impression thermique. Vous assombriez la page à transmettre ou la
Préférent impôtion technique. Vous assohibiez la page à un anisléte ou la copie en utilisant la touche CONTRAST (voir page 16).
Q: Quand je débranche ma machine, vais-je perdre les informations
programmee (TT, numeros de 1'auto-composeur, date et hour, etc.)? A: nate M1020.
sonnelles pour plusieurs jours si I'électricité était comme ou si vous
deplaciez le fax.
deplaciez le fax.
Q: Puis-je utiliser une housse anti-poussière?
chauffe.
Alarmen cas d'erreur
Q: Comment puis-je eteindre le message qui me signale une erreur?
A. Appuyez sur STOP. Dans certains cas, votrefax va vous i port d'erreur qui vous aidera a diagnostiquer le probleme.
__________
TransmissionQ: Je viens d'essayer d
A: Rientd'alarmant. Ce son sera audible chaque fois que vous appelezrez une
machine en reception automatique. Ce son sert à introduire une transmission de fox. La prétrieuse fais connexionner le transmissi
votré fax.
Q: Puis-je envoyer une page à laquelle je viens d'apporter des changements au liquide correcteur?
A: Oui, dés que le liquide aura eu le temps de bien sécher.
reception (voir page 23).
reception (voir page 23).
reception (voir page 23).
reception (voir page 23).
Q: Puis-je transmettre une page de journal ?
A: Non. Cette page pourrait se coincer dans le bloc d'alimentation. Faites d'abord une copie sur une photocopieuse puis transmettez-la.
Q: Comment puis-je estre sur que mon fax a etecereçu?
A: Voie tax peut vousdonner un rapport tax de conn
Q: Je ne veux pas installer de ligne spéciale pour mon rax, je l'ai donc connecté à l'origine.
Q: Je ne veux pas installer de ligne spéciale pour mon rax, je l'ai donc connecté à un système PBX. Quand je recois un appel, tous mes téléphones seront. Comment puis-je prévenir cela?
Q: Puis-je transmettre une page de journal ?
A: Non. Cette page pourrait se coincer dans le bloc d'alimentation. Faites d'abord une copie sur une photocopieuse puis transmettez-la.
Q: Comment puis-je estre sur que mon fax a etecereçu?
A: Voie tax peut vousdonner un rapport tax de conn
voyez dans ces cas.
A: Oui meaive rernonts qan (winae 00)
O: Puis- ie transmetre quand men for p's alas do cener 2
A: Les exigences pour les appeals outre-mer varieront suivant vos compagnies
Q: Comment transmettre un fax à un numéro autre-mer ?
composeur.
Q: Dois-je inclure le "1" pour les appel longue-distance?
ou receivevoir à la fin de votre envoi.
Q: Puis-je transmettre et recevoir en meme temps?
Identité-souscripteur.
- Les nombres à l'objet sont comptable dans 1111 par le propriétaire de l'autre fax. Il peut approucer non-importante quels autres, comme le chiffre dans son
celui qu j ai compose. Pourquoi?
Q: Je viens d'envoyer un fax, mais le nombre qui apparaft à l'écran n'est pas
| Journal et rapports | Appel Selcif |
| Q: Que signifièce cet anatissique dans ‘Résultat’? | A: Il servais une mode de Correction des Étres. Pour plus |
| Q: Que vous compose sur le clariant sont mis dans une memorie | A: Il servais un autre, automatisme un document placé dans |
| Q: T'appeil ne deviennent pas pour élever des numériques inconnues sur leur journal. Pourment, pour ne déduit que l'article est correctement appliquée en cas d'une maladie, sauf qu'en appuyant, mais en cas d'une maladie, sauf qu'en appuyant, sauf qu'en appuyant, sauf qu'en appuyant, sauf qu'en appuyant, sauf qu'en appuyant, sauf qu'en appuyant, sauf qu'en appuyant, sauf qu'en appuyant, sauf qu'en appuyant, sauf qu'en appuyant, sauf qu'en appuyant, sauf qu'en appuyant, sauf qu'en appuyant, sauf que l'article ne possuient pas | |
| A: Il servais une autre, automatisme une fonction Change du rapport dont vous est concerné par l'article et appuyant, mais en cas d'une maladie, sauf qu'en appuyant, sauf qu'en appuyant, sauf qu'en appuyant, sauf qu'en appuyant, sauf qu'en appuyant, sauf qu'en appuyant, sauf qu'en appuyant, sauf qu'en appuyant, sauf qu'en appuyant, sauf qu'en appuyant, sauf qu'en appuyrant, sauf qu'en appuyant, sauf qu'en appuyant, sauf qu'en appuyant, sauf qu'en appuyant, sauf qu'en appuyant, sauf qu'en appuyant, sauf qu'en appuyant, sauf qu'en appuyant, sauf qu'en appuyant, sauf qu'en appuyant, sauf qu'en appuyant, sauf qu'en appuyant, sauf nois si l'article ne possuient pas | |
| A: Il servais une autre, automatisme une fonction Change du rapport dont vous est concerné par l'article et appuyant, mais en cas d'une maladie, sauf qu'en appuyant, sauf qu'en appuyant, sauf qu'en appuyant, sauf qu'en appuyant, sauf qu'en appuyant, sauf qu'en appuyant, sauf qu'en appeyant, sauf qu'en appuyant, sauf qu'en appuyant, sauf qu'en appuyant, sauf qu'en appuyant, sauf qu'en appuyant, sauf qu'en appuyant, sauf qu'en appuyant, sauf qu'en appuyant, sauf qu'en appuyant, sauf qu'en appuyant, sauf qu'en appuyant, sauf qu'en appuyant, saf que l'article ne possuient pas | |
| A: Il servais une autre, automatisme une fonction Change du rapport dont vous est concerné par l'article et appuyant, mais en cas d'une maladie, sauf qu'en appuyant, sauf qu'en appuyant, sauf qu'en appuyant, sauf qu'en appuyant, sauf qu'en appuyant, sauf qu'en appuyant, saf que l'article ne possuient pas | |
| A: Il servais une autre, automatisme une fonction Change du rapport dont vous est concerné par l'article et appuyant, mais en cas d'une maladie, s'il ne possuient pas |
Documnre
A: I est tanps de remplorecer rouleau de napir Pour les meilleire rapies
unsez du papier Muratec en rouleau de 164 piers
e
Q:Le micro du monatier de marche 135
A: Le monnér n'est pas un émetteur-récepteur, mais un récepteur seul
e est une pour la composition de numeros et vous evide d'avoir a decrocher
e e aee eae eae eae eae eae eae eae eae eae eae eae eae eae eae eae eae eae eae eae eae eae eae eae eae eae eae eae eae eae eae eae eae eae eae eae eae eae eae eae eae eae eae eae eae eae eae eae eae eae eae e ae
rreennnnnne
eefneae ene eae
rnnnne nnnnne nnnnne nnnnne nnnnne nnnnne nnnnne nnnnne nnnnne nnnnne nnnnne nnnnne nnnnne nnnnne nnnnne nnnnne nnnnne nnnnne nnnnne nnnnne nnnnne nnnnne nnnnne nnnnne nnnnne nnnnne
duneir. En fait, un fact est comme im surer-164phore
aee aee eae aee
marrnns vist an assure la compatibilie de voe fax avec des millions d'autres
nne aene nane ne ane enanen eae
e en est simple
aenrnnnne nnnnne ennnnne nee eannnne ennnnne ennnnne ennnnne ennnnne ennnnne ennnnne ennnnne ennnnne ennnnne ennnnne ennnnne ennnnne ennnnne ennnnne ennnnne ennnnne ennnnne ennnnne ennnnne ennnnne ennnnne ennnnne ennnnne ennnnne ennnnne enennnne ennnnne ennnnne ennnnne ennnnne ennnnne ennnnne ennnnne ennnnne ennnnne ennnnne ennnnne ennnnne ennnnne ennnnne ennnnne ennnnne ennnnne ennnnne ennnnne ennnnne ennnnne ennnnne ennnnne ennnnne en
nne nnnnne nee e ane enne nne ne aenne nne ne nne ne ne ne ne ne ne ne ne ne ne ne ne ne ne ne ne ne ne ne ne ne ne ne ne ne ne ne ne ne ne ne ne ne ne ne ne ne ne ne ne ne ne ne ne ne ne ne ne ne
epeonique. La seule differenc entre un appel fax et un appel telephonique
normal reside dans le content de la transmission : dans le premier cas , c'est un
doumert et dans l'autre, une voix
aee eae aee eae ee eae eae eae eae eae eae eae eae eae eae eae eae eae eae eae eae eae eae eae eae eae eae eae eae eae eae eae eae eae eae eae eae eae eae eae eae eae eae eae eae eae eae eae eae eae eae eae eae eae eae eee
aou aou aou aou aou aou aou aou aou aou aou aou aou aou aou aou aou aou aou aou aou aou aou aou aou aou aou aou aou aou aou aou aou aou aou aou aou aou aou aou aou aou aou aou aou aou aou aou aou aou aou
Vouis, ou vour lax, ne decroches la figure.
Notice Facile