CRBT - Climatiseur S.PLUS - Notice d'utilisation et mode d'emploi gratuit
Retrouvez gratuitement la notice de l'appareil CRBT S.PLUS au format PDF.
| Type d'appareil | Cassette rayonnante |
| Température de fonctionnement | Basse température |
| Usage | Chauffage et rafraîchissement |
| Installation | Plafond |
| Dimensions | Non précisé |
| Poids | Non précisé |
| Matériau | Non précisé |
| Alimentation | Non précisé |
| Puissance thermique | Non précisé |
| Débit d'air | Non précisé |
| Type de fluide | Non précisé |
| Contrôle | Non précisé |
| Maintenance | Non précisé |
| Garantie | Non précisé |
| Normes | Non précisé |
FOIRE AUX QUESTIONS - CRBT S.PLUS
Téléchargez la notice de votre Climatiseur au format PDF gratuitement ! Retrouvez votre notice CRBT - S.PLUS et reprennez votre appareil électronique en main. Sur cette page sont publiés tous les documents nécessaires à l'utilisation de votre appareil CRBT de la marque S.PLUS.
MODE D'EMPLOI CRBT S.PLUS
Notice destinée à l'installateur et à l'utilisateur
AVERTISSEMENTS
Avant de passer à l'installation du produit, il est conseilé de dire attentivement les instructions générées ci-dessous.
Le fabricant ne peut etre considere comme responsable et decline toute responsabilité en cas de dommages subis par les personnes ou les biens, à la suite d'une installation improupre, en reference aux avertissements reportés dans ce manuel.
L'installation, et la mise en service de l'appareil doivent être effectuees par un professionnel.
1 - DESCRIPTION - APPLICATION
Les cassettes rayonnantes bajo température 300 W et 600 W sont destinées au chauffage global et par le plafond des batiments thermiquement isolés de grande hauteur (gymnases, halls, salles de spectacle, batiments industriels, ...), respectant la réglementation thermique en vigueur.
2-CARACTERISTIQUES
- Hauteur d'installation entre 3 et 4,5 m.
- Carrosserie métallique en acier galvanisé avec revêtement thermoquartz blanc.
- Film chauffant en graphite/fibre de verre.
Protection mécanique et dielectrique. - Isolation thermique à l'arrière en laine minérale (épaisseur : 40 mm).
- Température de surface inférieure: 100^ .
- Isolation électrique : Classe I.
- Les cassettes sont conformes aux normes NFEN 60335-1 et NFEN 60335-2-30.
| Puisance W | Tention V | Fréquence Hz | Indice de protection | Poids Kg |
| 300 | 230 V~ mono | 50 | IP44 | 5 |
| 600 | 230 V~ mono | 50 | IP44 | 10,1 |

3 - ENCOMBREMENT PRODUIT
L = 592 mm en 300 W
L = 1192 mm en 600 W

4 - IMPLANTATION
Les cassettes doivent etre suspendues en position horizontale par rapport a la structure du batiment.
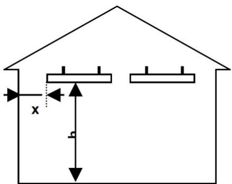
Avant de positionner les cassettes, il faut respecter les distances suivantes :
- Entre 1 m mini et 1,5 maxi entre le plafond (sous plancher béton ou sous plafond suspendu en fibres minérales) et la cassette.
- Du mur aux bords latéraux: x = 1,5 m mini à 3 m maxi.
- Du sol à la face de l'émetteur : les distances minimales pour un ratio de puissance installée de 60~W / m^2 sont h = 3m (300 W) et 3,5 (600 W). La hauteur maxi est de 4,5 m.
- L'évaluation de la hauteur d'installation en fonction du ratio de puissance peut se faire à partir d'abaques. Pour plus d'informations, nous consulter.
L'implantation des cassettes doit tener compte des aménagements afin qu'il n'y ait pas d'obstacle important entre les apparciels et le sol et en tout cas a moins d'un metre de la face émettrice.
L'espacement entre chaque cassette est au maximum d'une fois la hauteur de pose des émetteurs par rapport au sol.

5-INSTALLATION
Les cassettes doivent être mises en position horizontal, et peuvent être fixées soit :
- Au plafond avec les pattes fournies
- Suspendues par chaînettes
- Encastrées dans un plafond
Fixation plafond :
Pour fixer la cassette, visser les pattes de fixation directement au plafond,mettre en place la cassette dans les pattes de fixation etmettre la vis de blocage (voir schémas).


| Puissance | A | B | ∅C |
| 300 W | 340 | 280 | 6 |
| 600 W | 935 | 280 | 6 |
Fixation suspendue au plafond :
Pour assurer une résistance mécanique suffisante, nous conseillons d'utiliser de la chanette en acier électrozingué, du fil 2,5mm et des crochets de même diamètre (composants non fournis).

Cassette encastrée dans un plafond :
La fixation de la cassette chauffante doit être indépendante de cette du plafond, et ne pas reposer sur les ossatures. Utiliser le même type de fixation que pour les cassettes suspendues.
La cassette doit être installée sur des rails acier.

6 - RACCORDEMENT ÉLECTRIQUE
AVANT Toute OPÉRATION, DECONNECTER L'ALIMENTATION ÉLECTRIQUE ET S'ASSURER QU'ELLE NE POT PAS ÉTRE RÉTABLIE ACCIDENTIELLEMENT.
L'installation doit répondre aux normes en vigueur, notamment en France, à la norme NF C 15-100 et aux règles de l'art. Chaque produit ou composant entrant dans cette installation doit également être conforme aux normes qui lui sont applicables.
Assurez-vous que les caractéristiques du réseau sont compatibles avec l'appareil à brancher.
Pour le raccordement au réseau électrique, il est nécessaire d'utiliser un dispositif omnipolaire avec ouverture de contact d'au moins 3 mm, ainsi qu'un cable de raccordement rigide de type H05RN-F de section 3x1mm^2

Il faut dénuder les conducteurs sur 8 mm pour ne pas risquer d'entrée en contact avec d'autres fils ou des parties métalliques. Les fils ne devront pas être serrés sur l'isolant.
7 - REGULATION ET PROGRAMMATION
La souplesse d'utilisation des cassettes rayonnantes basse température permet d'intégrer les apports, les appels de puissance et gérer les possibités de la tarification EDF.
Un système de régulation et de programmation adapté permet une utilisation optimale de l'installation. Un thermostat simple allure disponible en accessoire peut être utilisé sur ce produit. Se réfééré à la notice du thermostat
Attention, au-delà d'une puissance cumulée de 2300 W, le raccordement doit se faire via un reliais externe.
Dans le cadre d'un chauffage global, il est indispensable de partirager le bâtiment en un ensemble de zones thermiquement homogènes et dont le mode d'utilisation est identique.
8-ENTRETIEN
Ne jamais utiliser des produits agressifs (acétone, trichloréthylène, ...) ou projeter de l'eau.
Pour nettoyer l'appareil, il suffit de le dépoussiérer, après avoir coupé l'alimentation électrique.
9 - GARANTIE
- La durée de garantie est de 1 an à compter de la date d'achat.
- S.PLUS assure l'échange ou la fourniture des pieces reconnues défectueuses à l'exclusion de tous dommages et intérêts.
- Les frais de main d'oeuvre, de déplacement et de transport sont à la charge de l'usager.
- Les déteriorations provenant d'une installation non conforme, d'un réseau d'alimentation ne respectant pas la norme NF EN 50160, d'un usage anormal ou du non respect des prescriptions de ladite notice ne sont pas couvertes par la garantie.
- Les dispositions des prsentes conditions de garantie de sont pas exclusives du benefice, au profit de l'acheteur, de la garantie legale pour defaults et vices cachés qui s'applique en tout etat de cause dans la conditions des articles 1641 et suivants du code civil.
Compte tenu des améliorations et des perfectionnements effectués sur nos apparciels, nous nous réservons le droit de modifier, sans préavis, leurs caractéristiques. Seule la notice technique accompagnant le matériel est valable.
Notice Facile