SAMSUNG UE37D5700RS - Televisie

UE37D5700RS - Televisie SAMSUNG - Gratis gebruiksaanwijzing en handleiding

Vind de handleiding van het apparaat gratis UE37D5700RS SAMSUNG in PDF-formaat.

📄 80 pagina's PDF ⬇️ Nederlands NL 💬 AI-vraag 🖨️ Afdrukken
Notice SAMSUNG UE37D5700RS - page 62
Bekijk de handleiding : Français FR Deutsch DE English EN Nederlands NL
Inhoudsopgave Klik op een titel om naar de pagina te gaan
Handleidingassistent
Aangedreven door ChatGPT
Wachten op uw bericht
Productinformatie

Merk : SAMSUNG

Model : UE37D5700RS

Categorie : Televisie

Download de handleiding voor uw Televisie in PDF-formaat gratis! Vind uw handleiding UE37D5700RS - SAMSUNG en neem uw elektronisch apparaat weer in handen. Op deze pagina staan alle documenten die nodig zijn voor het gebruik van uw apparaat. UE37D5700RS van het merk SAMSUNG.

GEBRUIKSAANWIJZING UE37D5700RS SAMSUNG

Functionaliteit betreffende digitale televisie (DVB) is alleen beschikbaar in landen/gebieden waar digitale DVB-T-televisiesignalen (MPEG2 en MPEG4 AVC) per zendmast worden uitgezonden of waar u toegang hebt tot een compatibele DVB-C-service (MPEG2 en MPEG4 AAC) voor kabel-tv. Informeer bij een lokale dealer of u DVB-T- of DVB-C-signalen kunt ontvangen. DVB-T is de Europese DVB-consortiumnorm voor de uitzending van digitale televisie per zendmast en DVB-C voor de uitzending van digitale televisie over de kabel. Bepaalde specifieke functies, zoals EPG (Elektronische programmagids), VOD (Video on Demand) enzovoort, zijn echter niet opgenomen in deze specificatie. Deze werken dus op dit moment nog niet. Hoewel dit televisietoestel voldoet aan de huidige DVB-T- en DVB-C-normen vanaf [augustus 2008], kan de compatibiliteit met toekomstige digitale DVB-T-signalen via de zendmast en digitale DVB-C-signalen via de kabel niet worden gegarandeerd. Afhankelijk van de landen/gebieden waar dit televisietoestel wordt gebruikt, kunnen leveranciers van kabeltelevisie aanvullende kosten voor dergelijke services in rekening brengen en moet u wellicht akkoord gaan met hun voorwaarden en bepalingen. Bepaalde digitale televisiefuncties zijn mogelijk niet beschikbaar in bepaalde landen of regio’s en DVB-C werkt mogelijk niet goed met bepaalde leveranciers van kabelservices. Neem voor meer informatie contact op met de klantendienst van Samsung. ✎✎ De ontvangstkwaliteit van televisie-uitzendingen kan minder goed zijn door verschil in uitzendmethode tussen landen. Controleer de televisieprestaties bij uw plaatselijke geautoriseerde SAMSUNG-dealer of bel de klantenservice van Samsung om te informeren of u de kwaliteit kunt verbeteren door de tv-instellingen aan te passen. Waarschuwing over stilstaand beeld Vermijd de weergave op het scherm van stilstaande beelden (zoals jpeg-foto’s) of statische beeldelementen (zoals het logo van tv-programma’s, een panorama- of 4:3-beeldverhouding, een aandelen- of nieuwsticker onder in het scherm, enz.). Wanneer er langdurig een statisch beeld op het LED-scherm wordt weergegeven, kan het beeld inbranden. Dit kan ten koste gaan van de beeldkwaliteit. Volg de onderstaande aanbevelingen op om de kans hierop te verkleinen:

  • Vermijd langdurige weergave van hetzelfde tv-kanaal.
  • Probeer beelden altijd schermvullend weer te geven; gebruik het beeldformaatmenu voor de beste optie.
  • Reduceer de helderheid en het contrast tot de minimaal benodigde waarden voor de gewenste beeldkwaliteit; hogere waarden kunnen het opbrandproces versnellen.
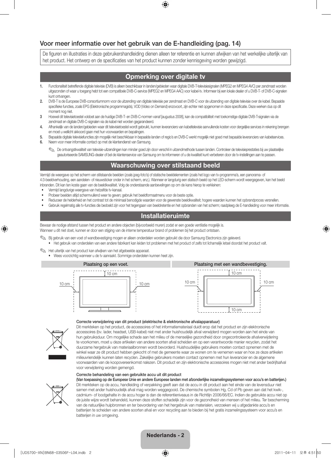
  • Gebruik regelmatig alle tv-functies die bedoeld zijn voor het tegengaan van beeldretentie en het opbranden van het scherm; raadpleeg de E-handleiding voor meer informatie. Installatieruimte Bewaar de nodige afstand tussen het product en andere objecten (bijvoorbeeld muren) zodat er een goede ventilatie mogelijk is. Wanneer u dit niet doet, kunnen er door een stijging van de interne temperatuur brand of problemen bij het product ontstaan. ✎✎ Bij gebruik van een voet of wandbevestiging mogen er alleen onderdelen worden gebruikt die door Samsung Electronics zijn geleverd.
  • Het gebruik van onderdelen van een andere fabrikant kan leiden tot problemen met het product of zelfs tot lichamelijk letsel doordat het product valt. ✎✎ Het uiterlijk van het product kan afwijken van het afgebeelde apparaat.
  • Wees voorzichtig wanneer u de tv aanraakt. Sommige onderdelen kunnen heet zijn. Plaatsing op een voet. Plaatsing met een wandbevestiging. 10 cm 10 cm 10 cm 10 cm 10 cm 10 cm 10 cm Correcte verwijdering van dit product (elektrische & elektronische afvalapparatuur) Dit merkteken op het product, de accessoires of het informatiemateriaal duidt erop dat het product en zijn elektronische accessoires (bv. lader, headset, USB-kabel) niet met ander huishoudelijk afval verwijderd mogen worden aan het einde van hun gebruiksduur. Om mogelijke schade aan het milieu of de menselijke gezondheid door ongecontroleerde afvalverwijdering te voorkomen, moet u deze artikelen van andere soorten afval scheiden en op een verantwoorde manier recyclen, zodat het duurzame hergebruik van materiaalbronnen wordt bevorderd. Huishoudelijke gebruikers moeten contact opnemen met de winkel waar ze dit product hebben gekocht of met de gemeente waar ze wonen om te vernemen waar en hoe ze deze artikelen milieuvriendelijk kunnen laten recyclen. Zakelijke gebruikers moeten contact opnemen met hun leverancier en de algemene voorwaarden van de koopovereenkomst nalezen. Dit product en zijn elektronische accessoires mogen niet met ander bedrijfsafval voor verwijdering worden gemengd. Correcte behandeling van een gebruikte accu uit dit product (Van toepassing op de Europese Unie en andere Europese landen met afzonderlijke inzamelingssystemen voor accu’s en batterijen.) Dit merkteken op de accu, handleiding of verpakking geeft aan dat de accu in dit product aan het einde van de levensduur niet samen met ander huishoudelijk afval mag worden weggegooid. De chemische symbolen Hg, Cd of Pb geven aan dat het kwik-, cadmium- of loodgehalte in de accu hoger is dan de referentieniveaus in de Richtlijn 2006/66/EC. Indien de gebruikte accu niet op de juiste wijze wordt behandeld, kunnen deze stoffen schadelijk zijn voor de gezondheid van mensen of het milieu. Ter bescherming van de natuurlijke hulpbronnen en ter bevordering van het hergebruik van materialen, verzoeken wij u afgedankte accu’s en batterijen te scheiden van andere soorten afval en voor recycling aan te bieden bij het gratis inzamelingssysteem voor accu’s en batterijen in uw omgeving. Nederlands - 2 [UD5700-XN]BN68-03506F-L04.indb 2 2011-04-11 오후 4:51:50 Accessoires ✎✎Controleer of de volgende onderdelen bij uw tv geleverd zijn. Neem contact op met uw verkoper als er onderdelen ontbreken. ✎✎De vorm en kleur van de items kunnen enigszins afwijken. Dit is afhankelijk van het model. ✎✎Kabels die niet bij het product worden geleverd, kunnen apart worden aangeschaft. ✎✎Controleer of er geen accessoire is achtergebleven in het verpakkingsmateriaal in de doos. [[LET OP: STEVIG BEVESTIGEN ZODAT DE ADAPTER GOED IS VASTGEKOPPELD
  • • Gebruikershandleiding
  • • Garantiekaart (niet op alle locaties beschikbaar) / Veiligheidsvoorschriften Houderring (4ea) Snoervoet AV / Componentadapter Scart-adapter CI Card-adapter
  • • In de volgende gevallen kunnen administratiekosten in rekening worden gebracht: –– (a) Er wordt op uw verzoek een engineer gestuurd, maar het product is niet defect (wanneer u deze gebruikershandleiding niet hebt gelezen). –– (b) U brengt het apparaat naar een reparatiecentrum, maar het product is niet defect (wanneer u deze gebruikershandleiding niet hebt gelezen).
  • • U wordt op de hoogte gesteld van deze administratiekosten voordat een dergelijke reparatie of bezoek wordt uitgevoerd. De snoervoet installeren Nederlands- 3 [UD5700-XN]BN68-03506F-L04.indb 3 2011-04-11 오후 4:51:51 Overzicht van het bedieningspaneel ✎✎De vorm en kleur van het product kunnen afhankelijk van het model variëren. Configuratiescherm Sensor voor de afstandsbediening Richt de afstandsbediening op dit punt van de tv. Aan/uit-lampje Als de stroom is ingeschakeld, knippert het lampje even en gaat het vervolgens uit. In de stand-bymodus blijft het aan. SOURCEE Hiermee schakelt u tussen de beschikbare ingangsbronnen. Gebruik deze toets in het schermmenu zoals u de toets ENTERE op de afstandsbediening gebruikt. MENU Hiermee wordt het schermmenu met de functies van de tv weergegeven.

Hiermee regelt u het volume. Gebruik de Y-toetsen in het schermmenu zoals u de toetsen ◄ en ► op de afstandsbediening gebruikt.

Hiermee wisselt u van kanaal. Gebruik de z-toetsen in het schermmenu zoals u de toetsen ▼ en ▲ op de afstandsbediening gebruikt. P (Aan/uit) Hiermee schakelt u de tv in en uit. Stand-bymodus Laat de tv niet gedurende langere tijd in de stand-bymodus staan (bijvoorbeeld wanneer u op vakantie bent). Zelfs wanneer het apparaat via de aan/uit-knop is uitgeschakeld, wordt een kleine hoeveelheid stroom gebruikt. U kunt het netsnoer het beste loskoppelen. Nederlands - 4 [UD5700-XN]BN68-03506F-L04.indb 4 2011-04-11 오후 4:51:51 Overzicht van de afstandsbediening ✎✎Dit is een speciale afstandsbediening voor visueel gehandicapten en is voorzien van brailletekens bij de POWER-, kanaal- en volumetoetsen. POWER SOURCE Hiermee schakelt u de tv in en uit. De beschikbare videobronnen weergeven en selecteren. HDMI hiermee selecteert u rechtstreeks de HDMI-modus. Directe toegang tot kanalen. Wisselen tussen Teletekst AAN, Dubbel, Mix of UIT. PRE-CH TTX/MIX Hiermee regelt u het volume. Hiermee wordt het schermmenu geopend. verbinding maken met diverse toepassingsservices. snel veelgebruikte functies selecteren. hiermee gaat u terug naar het vorige menu. Deze toetsen zijn voor het menu van Kanalenlijst, SMART HUB enzovoort. Hiermee gaat u terug naar het vorige kanaal. Hiermee wordt het geluid tijdelijk uitgeschakeld. MUTE Hiermee worden kanalen gewijzigd. CH LIST MENU HUB SMART GUIDE TOOLS INFO RETURN

AD/SUBT. Gebruik deze toetsen in de modi SMART HUB en Anynet+. Hiermee wordt de kanaallijst op het scherm weergegeven. De EPG (elektronische programmagids) weergeven. hiermee wordt informatie op het tvscherm weergegeven. u/d/l/r: beweeg de cursor op het scherm voor het menu-item. ENTERE: selecteert het menu en kiest de overeenkomstige itemwaarde. hiermee kunt u het menu afsluiten. P.MODE: druk op deze toets om de Beeldmodus te selecteren. SRS: selecteert de modus SRS Theatersound zelf instellen. DUAL f-g: Geluidseffect selecteren. E-MANUAL: de e-Manual weergeven. P.SIZE: het Beeldformaat selecteren AD/SUBT.: hiermee wordt de audiobeschrijving in- en uitgeschakeld (op enkele locaties niet beschikbaar). / digitale ondertiteling weergeven. Batterijen plaatsen (batterijformaat: AAA) Nederlands- 5 [UD5700-XN]BN68-03506F-L04.indb 5 2011-04-11 오후 4:51:51 ✎✎Waneer u een pc met een HDMI-kabel aansluit De ingangsbron wijzigen op de HDMI IN 1(DVI)-poort, moet u de tv instellen op de modus PC onder Naam wijzigen. Bron Hiermee kunt u de tv of een externe ingangsbron selecteren, zoals een dvdspeler/Blu-rayspeler/kabelbox/STBsatellietontvanger. ✎✎Waneer u een pc met een HDMI-naar-DVI-kabel aansluit op de HDMI IN 1(DVI)-poort, moet u de tv instellen op de modus DVI PC onder Naam wijzigen. SOURCE ✎✎Waneer u AV-apparaat met een HDMI-naar-DVI- ■■ TV / Ext. / PC / HDMI1/DVI / HDMI2 / HDMI3 / HDMI4 / AV / Component / USB / AllShare kabel aansluit op de HDMI IN 1(DVI)-poort, moet u de tv instellen op de modus DVI-apparaten onder Naam wijzigen. ✎✎In de Bron worden aangesloten ingangen gemarkeerd. Favorieten bew. ✎✎Ext. en PC blijven altijd geactiveerd. Naam wijzigen Druk in de Bron op de toets TOOLS om Favorieten bew. te selecteren. U kunt een externe invoerbron selecteren als Favorieten. Druk in de Bron op de toets TOOLS. Hier kunt u een naam voor externe-invoerbron instellen. Informatie ■■ VCR / DVD / Kabel STB / Satelliet STB / PVR STB / AV-ontvanger / Spelcomputer / Camcorder / PC / DVI PC / DVI-apparaten / TV / IPTV /Blu-ray / HD DVD / DMA: geef het apparaat dat op de ingangen is aangesloten, een naam om de selectie van de ingangsbron gemakkelijker te maken. Hiermee kunt u gedetailleerde informatie over het geselecteerde externe apparaat weergeven. Vernieuwen Als het externe apparaat niet wordt weergegeven, in de Bron op de toets TOOLS om Vernieuwen te selecteren. Zoeken naar aangesloten apparaten. ✎✎Gebruik voor de beste kabelverbinding van dit product kabels met een maximale dikte die hieronder wordt aangegeven:

  • • Maximale dikte - 14 mm Aansluiten op een antenne Wanneer u de tv voor het eerst inschakelt, worden er automatisch enkele basisinstellingen uitgevoerd. ✎✎Vooraf doen: het netsnoer en de antenne aansluiten. VHF/UHF-antenne Satelliet Kabel

Nederlands - 6 [UD5700-XN]BN68-03506F-L04.indb 6 2011-04-11 오후 4:51:52 Plug & Play (eerste instelling) Wanneer de tv voor het eerst wordt ingeschakeld, verschijnen er een enkele instructies op het scherm die u helpen de basisinstellingen te configureren. Druk op de toets POWERP. Plug & Play is alleen beschikbaar als de Bron is ingesteld op tv. ✎✎Zorg ervoor dat de antennekabel is aangesloten voordat u de tv inschakelt (p. 6).

POWER Druk op de toets ▲ of ▼ en druk vervolgens op de toets ENTERE. Selecteer de gewenste taal voor het(On Screen Display). Het netwerk instellen Uw netwerkverbinding instellen. Druk op de ENTERE-toets om te starten. Als u later instellen wilt uitvoeren, selecteert u Overslaan. Zie voor meer informatie “Bekabelde/draadloze netwerkverbinding” in de E-handleiding. Selecteer Druk op de toets ◄ of ► en druk vervolgens op de toets ENTERE. Winkeldemo of Selecteer de modus Thuisgebruik. De modus Winkeldemo is alleen abedoeld Thuisgebruik. voor gebruik in winkels. De instellingen van het apparaat van Winkeldemo terugzetten op Thuisgebruik (standaard): druk op de volumeknop op de tv. Wanneer het schermmenu voor het volume wordt weergegeven, houdt u MENU 5 seconden ingedrukt.Winkeldemo is alleen voor winkelweergave. Als u deze modus selecteert, zijn verschillende functies niet beschikbaar. Selecteer Thuisgebruik als u thuis kijkt. Uw land selecteren Druk op de toets ▲ of ▼ en druk vervolgens op de toets ENTERE. Selecteer uw land. ✎✎Bij bepaalde modellen kunt u ervoor kiezen om een pincode in te stellen nadat u in het menu Land uw land hebt geselecteerd. Een taal selecteren

✎✎Wanneer u een pincode invoert, is “0-0-0-0” niet beschikbaar. ✎✎Deze optie kan afwijken, afhankelijk van het land.

Een antenne selecteren Een kanaal selecteren Stel de Klokmodus automatisch of handmatig in. Auto: Selecteer uw tijdzone. Handm.: hier kunt u de datum en tijd handmatig instellen. Druk op de toets ▲ of ▼ en druk vervolgens op de toets ENTERE. Selecteer antennebron om te onthouden. deze optie kan afwijken, afhankelijk van het land. Druk op de toets ▲ of ▼ en druk vervolgens op de toets ENTERE. Selecteer de kanaalbron die moet worden opgeslagen. Wanneer u de antennebron als Kabel instelt, kunt u numerieke waarden (kanaalfrequenties) voor de kanalen opgeven. Raadpleeg voor meer informatie Kanaal → Memorising Channels. ✎✎Wanneer Ant of Kabel als eerste is geselecteerd: nadat alle kanalen voor Ant of Kabel zijn opgeslagen, wordt de stap voor het opslaan van kanalen voor Satelliet weergegeven. ✎✎Wanneer Satelliet als eerste is geselecteerd: nadat alle kanalen voor Satelliet zijn opgeslagen, wordt de stap voor het opslaan van kanalen voor Ant of Kabel weergegeven. ✎✎Druk op elk gewenst moment op de toets ENTERE om de

Klaar opslagprocedure te onderbreken. Druk op de toets ENTERE. Als u deze functie wilt resetten... Ook al hebt u dit al in de winkel gedaan, moet u nogmaals Plug & Play (MENU → Systeem) uitvoeren. Selecteer Systeem – Plug & Play (eerste instelling). Voer uw viercijferige pincode in. De standaardpincode is ‘00-0-0’ (behalve Frankrijk). Als u de pincode wilt wijzigen, gebruikt u de functie PIN wijzigen. ✎✎Als u de pincode bent vergeten, drukt u in de stand-bymodus achtereenvolgens op de volgende toetsen van de afstandsbediening zodat de pincode opnieuw wordt ingesteld op ‘0-0-0-0’ (Frankrijk: ‘1-1-1-1’): POWER (uit) → MUTE → 8 → 2 → 4 → POWER (aan). Nederlands- 7 [UD5700-XN]BN68-03506F-L04.indb 7 2011-04-11 오후 4:51:52 Aansluiten op een AV-apparaat apparaten: DVD, Blu-ray player, HD cable box, HD STB (Set-Top-Box) satellite ¦¦ Beschikbare receiver, VCR HDMI-verbinding HDMI OUT HDMI-naar-DVI-verbinding DVI OUT AUDIO OUT R-AUDIO-L Een HDMI- een HDMI-naar-DVI-kabel gebruiken (tot 1080p) ✎✎HDMI IN 1(DVI), 2, 3, 4 / PC/DVI AUDIO IN xx Bij gebruik van de HDMI/DVI-kabelverbinding moet u de HDMI IN 1(DVI)-aansluiting gebruiken. A DVD, Blu-ray player, HD cable box, or HD STB satellite receiver may require a DVI-HDMI (DVI to HDMI) cable or DVI-HDMI (DVI to HDMI) adapter. Voor audio hebt u de PC/DVI AUDIO IN-aansluiting nodig. xx Gebruik een HDMI-kabel met een dikte van 14 mm of minder. xx Mogelijk wordt het beeld niet normaal (of helemaal niet) weergegeven of werkt het geluid niet als een extern apparaat dat met een oudere versie van HDMI werkt, op de televisie wordt aangesloten. Als een dergelijk probleem zich voordoet, informeert u bij de fabrikant van het externe apparaat naar de HDMI-versie die wordt ondersteund en vraagt u, als deze verouderd is, om een upgrade. xx Let op dat u een goedgekeurde HDMI-kabel aanschaft. Anders wordt het beeld mogelijk niet weergegeven of treedt er een verbindingsfout op. Nederlands - 8 [UD5700-XN]BN68-03506F-L04.indb 8 2011-04-11 오후 4:51:52

AUDIO OUT R-AUDIO-L SCART-verbinding EXT Een component gebruiken (maximaal 1080p) of een audio/video (uitsluitend 480i) en een scartkabel gebruiken ✎✎In de modus Ext. ondersteunt DTV Out alleen MPEG SD-video en -audio. ✎✎Wanneer u verbinding maakt met AV IN, komt de kleur van de AV IN [VIDEO]-aansluiting (groen) niet overeen met die van de videokabel (geel). ✎✎Voor de beste beeldkwaliteit kunt u beter de componentaansluiting in plaats van de A/V-aansluiting gebruiken. Nederlands- 9 [UD5700-XN]BN68-03506F-L04.indb 9 2011-04-11 오후 4:51:53 Verbinding maken met een pc en audio-apparaat ¦¦ Beschikbare apparaten: digital audio system, amplifier, DVD home theatre Verbinding dvd-thuisbioscoop OPTICAL Hoofdtelefoonaansluiting Een optische (digitale) aansluiting of een hoofdtelefoonaansluiting gebruiken ✎✎DIGITAL AUDIO OUT (OPTICAL) xx Wanneer een digitaal audiosysteem op de DIGITAL AUDIO OUT (OPTICAL)-aansluiting wordt aangesloten, moet u het volume van zowel de tv als het audiosysteem reduceren. xx 5.1-kanaals audio is mogelijk wanneer de tv op een extern apparaat is aangesloten dat dit ondersteunt. xx Wanneer de ontvanger (thuisbioscoop) is ingesteld op Aan, hoort u alleen geluid via de optische aansluiting van de tv. Wanneer de tv een DTV-signaal ontvangt, zendt de tv een 5.1-kanaalsgeluid naar de ontvanger van de thuisbioscoop. Wanneer de bron een digitale component is, zoals een dvdspeler/blu-rayspeler/kabelbox/STB-satellietontvanger (settopbox) en via HDMI op de tv is aangesloten, geeft de ontvanger van de thuisbioscoop alleen 2-kanaalsgeluid weer. Als u 5.1-kanaalsgeluid wilt horen, sluit u de digitale uitgang van de dvd-speler/Blu-rayspeler/kabelbox/STB-satellietontvanger (settopbox) rechtstreeks op een versterker of thuisbioscoop aan. ✎✎Hoofdtelefoon H: u kunt een hoofdtelefoon op de desbetreffende uitgang van uw set aansluiten. Wanneer de hoofdtelefoon is aangesloten, worden de ingebouwde luidsprekers uitgeschakeld. xx Mogelijk kunt u de geluidsfunctie beperkt gebruiken wanneer er een hoofdtelefoon op de tv is aangesloten. xx Het volume van de hoofdtelefoon en het volume van de tv worden apart geregeld. Nederlands - 10 [UD5700-XN]BN68-03506F-L04.indb 10 2011-04-11 오후 4:51:53 ¦¦ Een HDMI-kabel of een HDMI-naar-DVI-kabel of een D-subkabel gebruiken ✎✎Verbinding maken via de HDMI-kabel wordt mogelijk niet ondersteund, afhankelijk van de pc. pc-verbinding HDMI OUT DVI OUT AUDIO OUT AUDIO OUT PC OUT Weergavemodi (D-Sub en HDMI-naar-DVI-invoer) De optimale resolutie is 1920 x 1080 bij 60 Hz. Modus Resolutie Horizontale frequentie (kHz) Verticale frequentie (Hz) Pixelklokfrequentie (MHz) Synchronisatiepolariteit (H/V) IBM 640 x 350 720 x 400 31,469 31,469 70,086 70,087 25,175 28,322

✎✎OPMERKING xx Bij gebruik van de HDMI/DVI-kabelaansluiting moet u de HDMI IN 1(DVI)-aansluiting gebruiken. xx De interlace-modus wordt niet ondersteund. xx De tv werkt mogelijk niet normaal als een afwijkend videoformaat wordt geselecteerd. xx Afzonderlijke modus en compositemodus worden ondersteund. SOG (Sync On Green) wordt niet ondersteund. Nederlands- 11 [UD5700-XN]BN68-03506F-L04.indb 11 2011-04-11 오후 4:51:54 Aansluiten op een aansluiting voor ALGEMENE INTERFACE De CI-cardadapter bevestigen De adapter bevestigen zoals hieronder wordt weergegeven. Voor het aansluiten van de CI CARD-adapter volgt u deze stappen. ✎✎We raden aan de adapter de bevestigen alvorens de wandmontage te installeren of de “CI of CI+ CARD” te plaatsen. Achterzijde tv

1. Plaats de CI CARD-adapter in de twee openingen in het

product 1. ✎✎Zoek twee openingen aan de achterkant van de tv. De twee openingen zijn naast de poort voor de COMMON INTERFACE.

2. Plaats de CI CARD-adapter in de COMMON INTERFACE-poort op het product 2

3. Plaats de CI of CI+ CARD.

Wij bevelen aan dat u de CI card invoert voordat u de tv aan een muur bevestigt. Het is wellicht moeilijk om deze in te voeren als de tv aan de muur is bevestigd. Voer de kaart in nadat de CI-module aan de tv is bevestigd. Het is moeilijk om de module te bevestigen als u eerst de kaart hebt ingevoerd. De CI of CI+ CARD gebruiken Voor betaalde kanalen moet een “CI of CI+ CARD” zijn geplaatst.

  • • Als u de ‘CI- of CI+-kaart’ niet plaatst, wordt bij sommige kanalen het bericht ‘Gecodeerd signaal’ weergegeven.
  • • De koppelingsgegevens met een telefoonnummer, de ID van de “CI of CI+ CARD”, de host-ID en andere informatie worden na circa 2-3 minuten weergegeven. Neem contact op met uw serviceprovider als er een foutbericht wordt weergegeven.
  • • Wanneer de kanaalgegevens zijn geconfigureerd, wordt het bericht Update voltooid weergegeven. Hiermee wordt aangegeven dat de kanaallijst is bijgewerkt. ✎✎OPMERKING xx U kunt een “CI of CI+ CARD” bij een lokale kabelaanbieder aanschaffen. xx Wanneer u de “CI of CI+ CARD” wilt verwijderen, doet u dat door de kaart er met uw handen voorzichtig uit te trekken, want de kaart kan beschadigen als u deze laat vallen. xx Plaats de “CI of CI+ CARD” in de richting die op de kaart staat gemarkeerd. xx De plaats van de COMMON INTERFACE-aansluiting kan per model verschillen. xx “CI of CI+ CARD” wordt in sommige landen en regio’s niet ondersteund. Controleer dit bij uw geautoriseerde verkoper. xx Neem contact op met uw serviceprovider als u problemen ondervindt. xx Plaats de “CI of CI+ CARD” die de huidige antenne-instellingen ondersteunt. Er wordt een vervormd beeld of helemaal geen beeld weergegeven. Nederlands - 12 [UD5700-XN]BN68-03506F-L04.indb 12 2011-04-11 오후 4:51:55 Netwerkverbinding U kunt uw tv zodanig instellen dat u uw LAN-netwerk kunt gebruiken om bedraad of draadloos verbinding te maken met internet. Netwerkverbinding - draadloos U kunt uw tv aansluiten op uw LAN via een draadloze standaardrouter of -modem. Voor een draadloze aansluiting moet u eerst een draadloze LAN-adapter van Samsung (WIS09ABGN, WIS09ABGN2, WIS10ABGN – afzonderlijk verkocht) aansluiten op de USB 1 (HDD)- of de USB 2-poort aan de achterkant van de tv. Zie de onderstaande afbeelding. De LAN-aansluiting in de wand Draadloze IP-router (router met DHCP-server) Samsung Wireless LAN Adapter LAN-kabel Samsung draadloze LAN-adapter ondersteunt de communicatieprotocollen IEEE 802,11a/b/g en n. Samsung beveelt het gebruik van IEEE 802,11n aan. Wanneer u de video over een IEEE 802,11b/g-verbinding afspeelt, wordt de video mogelijk niet vloeiend weergegeven. De meeste netwerksystemen bevatten een beveiligingssysteem dat vereist dat apparaten die toegang krijgen tot het netwerk via een toegangspunt of draadloze router, een versleutelde beveiligingscode versturen, die een toegangscode heet. Als de modus Pure High-throughput (Greenfield) 802,11n is geselecteerd en het type codering voor uw toegangspunt is ingesteld op WEP, TKIP of TKIP-AES (WPS2Mixed), ondersteunt de Samsung-tv geen verbinding die voldoet aan de nieuwe Wi-Fi-certificeringsspecificaties. Netwerkverbinding - met gebruik van kabels Er zijn twee manieren om uw tv met een kabel op het netwerk aan te sluiten, afhankelijk van uw netwerkinstallatie. Zie de afbeeldingen hieronder: De modemaansluiting in de wand Achterpaneel tv Extern modem (ADSL/VDSL/kabel-tv) Modemkabel LAN-kabel De LAN-aansluiting in de wand Achterpaneel tv LAN-kabel ✎✎Een netwerksnelheid van minder dan 10 Mbps wordt niet ondersteund. Nederlands- 13 [UD5700-XN]BN68-03506F-L04.indb 13 2011-04-11 오후 4:51:56 De e-Manual weergeven Hier kunt u de introductie en instructies over de functies van uw tv lezen. E-MANUAL O MENUm → Ondersteuning → e-Manual → ENTERE ✎ Om terug te keren naar de E-handleiding drukt u op de toets E-MANUAL op uw afstandsbediening. ✎ U kunt de functie Probeer nu niet gebruiken als het menu niet is geactiveerd. Schermweergave Tv-scherm: geeft het beeld voor de huidige invoerbron weer. De categorie wijzigen. Druk op de toets l of r om de gewenste categorie te selecteren. Basisfuncties De vooraf ingestelde beeldmodus wijzigen De beeldinstellingen aanpassen De lijst met submenu’s wordt weergegeven. Druk op de toets ENTERE om het gewenste submenu weer te geven. Beeldformaat wijzigen De beeldopties wijzigen De tv instellen voor uw pc Help: De e-Manual Guide of Product guide weergeven. Druk op de toets ENTERE. Help Index Index: het indexscherm weergeven. X: de e-Manual sluiten. De Help gebruiken U kunt de producthandleiding gebruiken door op Help te drukken. ‰ De e-Manual weergeven Hier kunt u de introductie en instructies over de functies van uw tv lezen. Media van meerdere apparaten synchroniseren met AllShare Basisfuncties O MENUm → Ondersteuning → e-Manual → ENTERE AllShare™ synchroniseert uw digitale apparaten zodat u de muziek, films en foto’s die op uw computer, camera en mobiele apparaten staan op het grote tv-scherm kunt weergeven. Desgewenst kunt u verbinding maken met meerdere computers. De vooraf ingestelde beeldmodus wijzigen De beeldinstellingen aanpassen Beeldformaat wijzigen De beeldopties wijzigen De tv instellen voor uw pc Help Index Terug Terug <Product Guide> De producthandleiding wordt als hierboven weergegeven. <E-manual Guide> De e-Manual wordt als hierboven weergegeven. Schakelen tussen de e-Manual en de bijbehorende menu’s. Basisfuncties > De vooraf ingestelde beeldmodus wijzigen (5/10) Beeld ‰ De vooraf ingestelde beeldmodus wijzigen

Beeldmodus Beeldmodus t Selecteer het beeldtype dat uw voorkeur heeft. N Als een invoerbron is ingesteld op PC, zijn voor de Beeldmodus alleen Standaard en Amusement beschikbaar. Probeer nu

  • Dynamisch: geschikt voor een heldere kamer. voor plasma-tv :
  • Standaard: geschikt voor een normale omgeving.
  • Natural voor LED-tv / Ontspannen ogen tegen te gaan. Standaard Helderheid geschikt om vermoeide E-MANUAL
  • Film: geschikt om films in een donkere kamer te kijken.
  • Amusement: geschikt voor films en games.

G 50 R 50 ✎ Deze functie is niet beschikbaar sommige menu’s. Nederlands - 14 [UD5700-XN]BN68-03506F-L04.indb 14 2011-04-11 오후 4:52:03 Methode 1

1. Selecteer Probeer nu als u de bijbehorende

menu’s wilt uitvoeren.

2. Om terug te keren naar het vorige scherm van de

e-Manual drukt u op de toets E-MANUAL. Methode 2

1. Druk op de toets ENTERE wanneer u het

inhoudsgebied hebt geselecteerd. “Weet u het zeker?” wordt weergegeven. Selecteer Ja en druk vervolgens op de toets ENTERE. Het schermvenster wordt weergegeven.

2. Om terug te keren naar het vorige scherm van de

e-Manual drukt u op de toets E-MANUAL. De inhoud weergeven Basisfuncties > De vooraf ingestelde beeldmodus wijzigen (5/10) ‰‰ De vooraf ingestelde beeldmodus wijzigen Inhoudsgebied: als u een submenu selecteert, kunt u de bijbehorende inhoud weergeven. Druk op de toets l of r om naar de vorige of volgende pagina te gaan. OO MENUm → Beeld → Beeldmodus → ENTERE ■■ Beeldmodus t Selecteer het beeldtype dat uw voorkeur heeft. NN Als een invoerbron is ingesteld op PC, zijn voor de Beeldmodus alleen Standaard en Amusement beschikbaar.

  • Dynamisch: geschikt voor een heldere kamer.
  • Standaard: geschikt voor een normale omgeving.
  • Natural voor LED-tv / Ontspannen voor plasma-tv : geschikt om vermoeide ogen tegen te gaan.
  • Film: geschikt om films in een donkere kamer te kijken.
  • Amusement: geschikt voor films en games. Help Probeer nu Startpagina Zoom Index Try Now: de bijbehorende menu’s weergeven. Startpagina: het startscherm van de e-Manual weergeven. Zoom: een beeld vergroot weergeven. Index: het indexscherm weergeven. De zoomfunctie gebruiken Wanneer u de e-Manual-instructies weergeeft, selecteert u Zoom om in te zoomen op het scherm. U kunt door het ingezoomde scherm schuiven met de toetsen u en d. ✎✎Om terug te keren naar het vorige menu drukt u op de toets RETURN. ‰‰ De vooraf ingestelde beeldmodus wijzigen OO MENUm → Beeld → Beeldmodus → ENTERE ■■ Beeldmodus t Selecteer het beeldtype dat uw voorkeur heeft. NN Als een invoerbron is ingesteld op PC, zijn voor de Beeldmodus alleen Standaard en Amusement beschikbaar.
  • Dynamisch: geschikt voor een heldere kamer.
  • Standaard: geschikt voor een normale omgeving.
  • Natural voor LED-tv / Ontspannen voor plasma-tv : geschikt om vermoeide ogen tegen te gaan.
  • Film: geschikt om films in een donkere kamer te kijken.
  • Amusement: geschikt voor films en games. Terug Een trefwoord zoeken via de indexpagina ✎✎Deze functie wordt mogelijk niet in alle talen ondersteund.

1. Als u een trefwoord wilt zoeken, drukt u op de toets u / d / l / r om Index te selecteren.

2. Druk op de toets l of r om een beginletter te selecteren en druk vervolgens op de toets ENTERE.

3. Druk op de toets u of d om een trefwoord te selecteren die uw wilt weergeven, en druk vervolgens op de

4. U kunt het bijbehorende scherm met instructies voor de E-handleiding weergeven.

✎✎Als u het scherm Index wilt sluiten, drukt u op de toets Sluiten. Nederlands- 15 [UD5700-XN]BN68-03506F-L04.indb 15 2011-04-11 오후 4:52:04 De wandbevestiging plaatsen De wandbevestigingsset monteren Met de wandbevestigingsset (apart verkrijgbaar) kunt u de tv aan de muur bevestigen. Zie de instructies bij de onderdelen voor wandbevestiging als u wilt weten hoe u de wandbevestiging installeert. Neem contact op met een technicus voor hulp alvorens de wandbeugel te bevestigen. Samsung Electronics is niet verantwoordelijk voor schade aan het product of voor verwondingen die u zelf of anderen oplopen wanneer u besluit de tv zelfstandig te installeren. Voorbereiding voor installatie van de muurbevestiging Situatie A. De muurbevestiging van SAMSUNG plaatsen Situatie B. De muurbevestiging van een andere fabrikant plaatsen

Als u een muurbevestiging wilt installeren, gebruikt u de houderring 1. Nederlands - 16 [UD5700-XN]BN68-03506F-L04.indb 16 2011-04-11 오후 4:52:05 Specificaties voor de wandbevestigingsset (VESA) ✎✎De wandbevestigingsset is niet meegeleverd, maar wordt apart verkocht. Monteer de wandbevestiging op een stevige wand die loodrecht op de vloer staat. Wanneer de steun aan andere bouwmaterialen bevestigd moet worden, dient u contact op te nemen met de dichtstbijzijnde leverancier. Als u de wandbevestiging aan het plafond of een schuine wand monteert, kan de tv vallen en daarmee tot zwaar lichamelijk letsel leiden. ✎✎OPMERKING xx In de onderstaande tabel vindt u de standaardafmetingen voor wandbevestigingssets. xx Wanneer u onze wandbevestigingsset aanschaft, zijn een gedetailleerde installatiegids en alle vereiste montageonderdelen daarbij inbegrepen. xx Gebruik geen schroeven die niet aan de standaard VESA-schroefspecificaties voldoen. xx Gebruik geen schroeven die langer zijn dan de standaardafmeting of die niet aan de standaard VESA-schroefspecificaties voldoen. Schroeven die te lang zijn, kunnen de binnenkant van de televisie beschadigen. xx Voor wandbevestigingen die niet voldoen aan de standaardspecificaties voor VESA-schroeven, kan de lengte van de schroeven afwijken, afhankelijk van de specificaties voor wandbevestiging. xx Draai de schroeven niet te vast. Hierdoor kan het product beschadigd raken of vallen, wat kan leiden tot lichamelijk letsel. Samsung is voor dit soort ongevallen niet aansprakelijk. xx Samsung is niet aansprakelijk voor productschade of lichamelijk letsel wanneer een niet-VESA of niet- gespecificeerde wandbevestiging is gebruikt of wanneer de consument de installatie-instructies voor het product niet in acht heeft genomen. xx Bevestig de televisie niet in een hoek van meer dan 15 graden. Productgroep LED-tv formaat in cm VESA-spec. (A * B) 19~22 75 X 75 23~27 200 X 100 32~40 200 X 200 46~55 400 X 400 60~65 600 X 400 Standaardschroef Aantal

Monteer de wandbevestigingsset niet terwijl de tv is ingeschakeld. Dit kan resulteren in lichamelijk letsel door elektrische schokken. Nederlands- 17 [UD5700-XN]BN68-03506F-L04.indb 17 2011-04-11 오후 4:52:05 Problemen oplossen Wanneer u vragen over deze televisie hebt, kunt u eerst deze lijst raadplegen. Als geen van de tips in deze lijst van toepassing zijn, gaat u naar ‘www.samsung.com’ en klikt u daar op Ondersteuning, of neemt u contact op met een van de callcenters die u op de achterkant van deze handleiding vindt. Probleem Oplossingen en uitleg De tv kan niet worden ingeschakeld.

Controleer of het netsnoer stevig op het stopcontact en op de tv is aangesloten. Controleer of het stopcontact werkt. Druk op de POWER-toets op de tv om te controleren of het probleem niet bij de afstandsbediening ligt. Als de tv wordt ingeschakeld, raadpleegt u ‘De afstandsbediening werkt niet’ hieronder. Er is geen beeld/video.

Controleer de kabelverbindingen (haal alle kabels die op de tv en externe apparaten zijn aangesloten, los en sluit ze vervolgens weer aan). Stel de video-uitgang van het externe apparaat (aftakdoos, satellietdoos, dvd, Blu-ray enzovoort) in zodat deze overeenkomt met de aansluitingen van de tv-ingang. Als bijvoorbeeld de HDMIuitgang van een extern apparaat wordt gebruikt, moet deze op de HDMI-ingang van de tv worden aangesloten. Controleer of de aangesloten apparaten zijn ingeschakeld. Selecteer de juiste bron voor de tv door op de toets SOURCE op de afstandsbediening te drukken. Start het aangesloten apparaat opnieuw op door het netsnoer van het apparaat opnieuw aan te sluiten.

De afstandsbediening werkt niet.

Met de afstandsbediening van de kabelbox/settopbox kan de tv niet worden in- of uitgeschakeld of kan het volume niet worden geregeld.

Vervang de batterijen van de afstandsbediening en plaats de batterijen met de polen (+/–) in de juiste richting. Reinig het venster van de zender op de afstandsbediening. Richt vanaf circa 1,5 tot 2 meter afstand de afstandsbediening direct naar de televisie. Programmeer de afstandsbediening voor de kabelbox/settopbox zodanig dat deze werkt voor de tv. Raadpleeg de gebruikershandleiding van uw kabelbox/settopbox voor de code voor de SAMSUNGtv. ✎✎Het paneel van dit TFT LED-scherm bestaat uit subpixels die met geavanceerde technologie zijn geproduceerd. Het scherm kan echter enkele heldere of donkere pixels bevatten. Deze pixels zijn niet van invloed op de prestaties van het product. ✎✎U kunt uw tv in optimale toestand houden door de nieuwste firmware op de website (samsung.com → Ondersteuning

  • Downloads) via USB te installeren. Licentie-informatie Lijst met functies Excellent Digital Interface & Networking: Met een ingebouwde digitale HD-tuner kunnen HD-uitzendingen zonder abonnement worden bekeken zonder kabelbox/STB-satellietontvanger (settopbox). SMART HUB De gateway voor alle inhoud, op één locatie geïntegreerd
  • • Alles is geïntegreerd om u eenvoudiger een keuze kunt maken uit de diverse amusementsopties.
  • • Amusement beheren met eenvoudige en een gebruiksvriendelijke interface.
  • • Elke dag toegang tot nieuw Apps
  • • Uw tv aanpassen door Apps naar wens te sorteren AllShare™ Met AllShare™ brengt u via het netwerk een verbinding tot stand tussen uw tv en compatibele mobiele telefoon/apparaat van Samsung. Anynet+ (HDMI-CEC) Hiermee kunt u alle aangesloten Samsung-apparaten die Anynet+ ondersteunen met de afstandsbediening van de Samsungtv bedienen. Nederlands - 18 [UD5700-XN]BN68-03506F-L04.indb 18 2011-04-11 오후 4:52:05 De tv vastzetten aan de wand Let op: als u duwt of trekt aan de tv of op de tv klimt, kan deze vallen. Zie er met name op toe dat uw kinderen niet aan de tv gaan hangen of deze uit balans brengen. De tv kan dan omvallen, wat verwondingen kan veroorzaken of zelfs fatale gevolgen kan hebben. Neem alle voorzorgsmaatregelen die in de bijgesloten veiligheidsfolder worden genoemd. Om veiligheidsredenen is het raadzaam de antivalvoorziening te installeren om de stabiliteit van het toestel te verhogen. Voorkomen dat de tv valt

1. Plaats de schroeven in de beugels en bevestig deze stevig aan de wand.

Controleer of de schroeven stevig in de wand zijn gedraaid. ✎✎Afhankelijk van het wandtype hebt u mogelijk aanvullend materiaal nodig om het geheel te verankeren. ✎✎De benodigde beugels, schroeven en draad worden niet meegeleverd. Deze moeten apart worden aangeschaft.

2. Verwijder de schroeven in het midden aan de achterkant van de tv, steek de

schroeven door de beugels en draai de schroeven weer vast in de tv. ✎✎Het is mogelijk dat de schroeven niet bij het product worden meegeleverd. In dat geval moet u schroeven met de volgende specificaties aanschaffen. ✎✎Specificaties van de schroeven xx Voor een 19 ~ 68,58 cm: M4 xx Voor een 32 ~ 65 inch: M8 Muur 3. Verbind de beugels die aan de tv zijn bevestigd met een sterke draad aan de beugels die aan de muur zijn bevestigd en knoop de draad stevig vast. ✎✎OPMERKING xx Plaats de tv dicht bij de muur zodat deze niet achterover kan vallen. xx Het is veilig om de draad zodanig aan te brengen dat de beugels die aan de muur zijn bevestigd zich boven de beugels op de tv of op gelijke hoogte daarmee bevinden. xx Haal de draad los voordat u de tv verplaatst. 4. Controleer of alle bevestigingen goed zijn aangebracht. Controleer de bevestigingspunten regelmatig op tekenen van moeheid of verzwakking. Neem in geval van twijfel over de veiligheid van de bevestiging contact op met een professionele installateur. Opslag en onderhoud ✎✎Als u stickers op het tv-scherm hebt geplakt, kunnen er resten achterblijven als u de sticker weghaalt. Reinig het tv-scherm voordat u tv gaat kijken. Spuit geen water of reinigingsmiddel rechtstreeks Reinig het product met een zachte doek die licht met op het product. Vloeistoffen die in het product water is bevochtigd. terechtkomen kunnen een storing, brand of elektrische schok veroorzaken. Nederlands- 19 [UD5700-XN]BN68-03506F-L04.indb 19 2011-04-11 오후 4:52:06 Specificaties Beeldresolutie 1920 x 1080 Omgevingsvereisten Gebruikstemperatuur Gebruiksvochtigheid Opslagtemperatuur Opslagvochtigheid 10°C tot 40°C (50°F tot 104°F) 10% tot 80%, niet-condenserend -20°C tot 45°C (-4°F tot 113°F) 5% tot 95%, niet-condenserend Tv-systeem Kleuren-/videosysteem Analoog: B/G, D/K, L, I (afhankelijk van de landkeuze) Digitaal: DVB-T/DVB-C/DVB-S2 Analoog: PAL, SECAM, NTSC-4.43, NTSC-3.58, PAL60 Digitaal: MPEG-2 MP@ML, MPEG-4, H.264/AVC MP@L3, MP@L4.0, HP@L4.0 Geluidssysteem HDMI IN BG, DK, L, NICAM, MPEG1, DD, DD+, HEAAC. Video: 1080 24p, 1080p, 1080i, 720p, 576p, 480p Audio: 2-kan. lineair PCM 32/44.1/48 kHz, 16/20/24 bits. Draaivoet (Links / rechts) Modelnaam Schermformaat -20˚ ~ 20˚ UE32D5700 UE32D5720 UE37D5700 UE37D5720 32 inch (80 cm) 37 inch (94 cm) Geluid (Uitgang) Afmetingen (BxDxH) Behuizing Met voet Gewicht Zonder voet Met voet Modelnaam Schermformaat 10 W X 2 768,0 X 29,9 X 468,2 mm 768,0 X 240,0 X 532,1 mm 890,6 X 29,9 X 537,4 mm 890,6 X 255,0 X 602,1 mm 7,4 kg 10,2 kg 9,2 kg 12,5 kg UE40D5700 UE40D5720 UE46D5700 UE46D5720 40 inch (101 cm) 46 inch (116 cm) Geluid (Uitgang) Afmetingen (BxHxD) Behuizing Met voet Gewicht Zonder voet Met voet 10 W X 2 955,8 X 29,9 X 574,0 mm 955,8 X 255,0 X 638,5 mm 1091,8 X 29,9 X 650,4 mm 1091,8 X 275,0 X 714,8 mm 11,1 kg 14,4 kg 13,7 kg 17,3 kg ✎✎Vormgeving en specificaties kunnen zonder kennisgeving worden gewijzigd. ✎✎Zie voor informatie over de stroomvoorziening en het energieverbruik het etiket op het product. Nederlands - 20 [UD5700-XN]BN68-03506F-L04.indb 20 2011-04-11 오후 4:52:06