DTX390 - Weather Station Cresta - Free user manual and instructions
Find the device manual for free DTX390 Cresta in PDF.
User questions about DTX390 Cresta
0 question about this device. Answer the ones you know or ask your own.
Ask a new question about this device
Download the instructions for your Weather Station in PDF format for free! Find your manual DTX390 - Cresta and take your electronic device back in hand. On this page are published all the documents necessary for the use of your device. DTX390 by Cresta.
USER MANUAL DTX390 Cresta
text_image
30% 20% crestaDTX390
NL. WEERSTATION
EN. WEATHER STATION
FR. STATION MÉTÉO
DE. WETTERSTATION
GEBRUIKSAANWIJZING
USER MANUAL
MODE D'EMPLOI
BEDIENUNGSANLEITUNG
GEBRUIKSAANWIJZING
natural_image
Line drawing of a device rear panel connected to a cable, showing internal components and wiring (no text or symbols)MONTAGE VAN DE BUITENSENSOR
natural_image
Technical line drawing of a mechanical component with directional arrows indicating motion (no text or symbols)TIJD HANDMATIG INSTELLEN
DRAADLOZE VERBINDING MET DE BUITEN SENSOR
We thank you for buying one of our radio-controlled weather stations. It shows your confidence in our brand and our products. Please be assured you have bought a high-quality product which you will enjoy using for many years to come.
If you require technical support and or have questions about the functioning of the product, please contact our After Sales Service via the email address mentioned here under:
info@cresta.nl
Read this manual thoroughly before first use, even if you are familiar with this type of product.
It provides you several tips to make optimal use of your product. Keep this manual, your receipt and packaging in a safe place for future reference.
SAFETY PRECAUTIONS
Please only use this product for its design purpose. Do not use for any other purpose.
Before the first use inspect the product to make sure it is not damaged. In case you have a doubt please contact our After Sales Service via the above-mentioned email address.
If the batteries need to be renewed, please renew all batteries. Do not mix old - and new batteries. Preferably replace the old batteries by new batteries of one type; we advise to use alkaline batteries.
SPECIFICATIONS OF YOUR WEATHER STATION
- Your weather station is equipped with 6 operation buttons: MODE, CH, ALERT, ∧ · MEM ∨, ∨ · HISTORY, SNOOZE · LIGHT.
• Radio Controlled Clock
• Automatic receipt of the DCF 77-time signal to display the most accurate time
• Automatic switch from Summer - to Wintertime vice versa
• Time display selectable in 12 - or 24 hours format
• 24 adjustable time zones selectable (-12 / + 12)
• Continuous perpetual calendar up to 2099
• Display of Date, Month and Weekday - Display of Weekday available in 7 languages, i.e. German, English, Italian, French, Dutch, Spanish, Danish
• Week number display - Dual alarm with snooze function (5 minutes alarm interruption)
- 5 weather forecasts: sunny, partly sunny, cloudy, rainy, storm, weather symbol can be selected manually.
- Barometer and data of 12 hours history for air pressure
- Altitude-setting for calculation of air pressure
- Indoor /outdoor temperature and humidity with trend
• Minimum / Maximum of temperature and humidity
• Thermometer measuring range inside: °C to +50 °C, outside -20°C\~60 °C
• Temperature display selective in °C or °F
• Temperature alert
- Moon phase
- Low battery indication
- White V.A display
- Battery: 3 x AAA, LR03, 1.5V – not included
- Adapter 5.0V - included
Outdoor sensor:
• Frequency: 433 MHz
• Battery: 2 x AAA, LR03, 1.5 – not included
EXPLANATION OF THE OPERATION BUTTONS AND DISPLAY ICONS

text_image
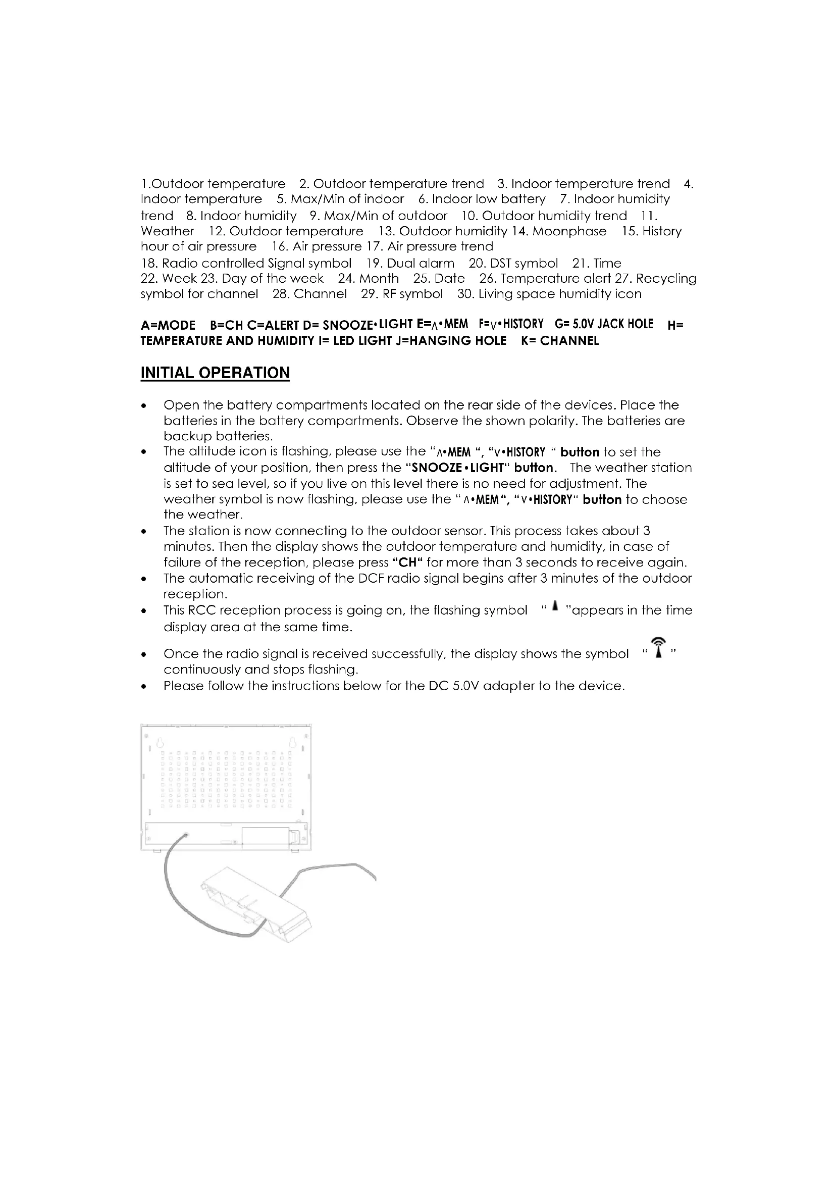
1 2 3 4 5 6 7 8 9 10 11 IN - 😊 MAX 24.2°52% OUT -3°22.5°45% DO M DAY WEEK MOON ALT PRESSURE HISTORY 27 12 10.03 28.10 FR 43 20:35 48 S 26 20 25 24 23 22 21 20 MODE CH ALERT SNOOZE·LIGHT A*MEN V·HISTORY A B C D E F
- Outdoor temperature 2. Outdoor temperature trend 3. Indoor temperature trend 4. Indoor temperature 5. Max/Min of indoor 6. Indoor low battery 7. Indoor humidity trend 8. Indoor humidity 9. Max/Min of outdoor 10. Outdoor humidity trend 11. Weather 12. Outdoor temperature 13. Outdoor humidity 14. Moonphase 15. History hour of air pressure 16. Air pressure 17. Air pressure trend 18. Radio controlled Signal symbol 19. Dual alarm 20. DST symbol 21. Time 22. Week 23. Day of the week 24. Month 25. Date 26. Temperature alert 27. Recycling symbol for channel 28. Channel 29. RF symbol 30. Living space humidity icon
A=MODE B=CH C=ALERT D=SNOOZE·LIGHT E=Λ·MEM F=V·HISTORY G=5.0V JACK HOLE H=TEMPERATURE AND HUMIDITY I=LED LIGHT J=HANGING HOLE K=CHANNEL
INITIAL OPERATION
- Open the battery compartments located on the rear side of the devices. Place the batteries in the battery compartments. Observe the shown polarity. The batteries are backup batteries.
- The altitude icon is flashing, please use the "Λ•MEM", "V•HISTORY" button to set the altitude of your position, then press the "SNOOZE•LIGHT" button. The weather station is set to sea level, so if you live on this level there is no need for adjustment. The weather symbol is now flashing, please use the "Λ•MEM", "V•HISTORY" button to choose the weather.
- The station is now connecting to the outdoor sensor. This process takes about 3 minutes. Then the display shows the outdoor temperature and humidity, in case of failure of the reception, please press "CH" for more than 3 seconds to receive again.
- The automatic receiving of the DCF radio signal begins after 3 minutes of the outdoor reception.
- This RCC reception process is going on, the flashing symbol “▲” appears in the time display area at the same time.
- Once the radio signal is received successfully, the display shows the symbol “ ” continuously and stops flashing.
- Please follow the instructions below for the DC 5.0V adapter to the device.

natural_image
Line drawing of a device rear panel with cable connector (no text or symbols)MOUNTING THE OUTDOOR SENSOR
We suggest you to hang the outdoor sensor as indicated here under, better not stand it at an outside place. Try to avoid direct sun shine or rain as much as possible.

natural_image
Technical line drawing of a mechanical component with directional arrows indicating motion (no text or symbols)If there is no reception due to a bad reception, or failure of a the RCC automatic time signal it is possible to set the time manually, please follow the steps here under:
MANUAL TIME SET-UP
- Press and hold key the "MODE" button for 3 seconds.
- The 12/24 hour icon is flashing. Use the "A•MEM" and "v•HISTORY" button to select.
- Press the "MODE" button to confirm.
- The display for the time zone is flashing. Use the "Λ•MEM" and "v•HISTORY" button to select the time zone(-12 to +12).
- Press the "MODE" button to confirm.
- The display for the D and M format is flashing, Use the "A·MEM" and "v·HISTOR" button to select.
- Press the "MODE" button to confirm.
- The display for the year is flashing. Use the "A•MEM" and "v•HISTORY" button to select the year.
- Press the "MODE" button to confirm.
- The display for the month is flashing. Use the "A•MEM" and "v•HISTORY" button to select the month.
- Press the "MODE" button to confirm.
- The display for the date is flashing. Use the "A•MEM" and "v•HISTORY" button to select the date.
- Press the "MODE" button to confirm.
- The display for the hour is flashing. Use the "Λ•MEM" and "v•HISTORY" button to select the hour.
- Press the "MODE" button to confirm.
- The display for the minutes is flashing. Use the "A·MEM" and "v·HISTORY" button to select the minutes.
-
Press the "MODE" button to confirm.
-
The language selection for the display of the weekdays is flashing. Use the “Λ•MEM” and “v•HISTORY” button to select the language.
- Press the "MODE" button to confirm
- The hPa unit of air pressure is flashing. Use “A•MEM” and “V•HISTORY” button to select hPa/ inHg.
- Press the "MODE" button to confirm
- The temperature °C is flashing. Use the “Λ•MEM” and “v•HISTORY” button to select °C and °F
- Press the "MODE" button to confirm
INFORMATION
- The clock automatically changes from the set-up mode to the time display mode if no keys are pressed for 20 seconds.
- Explanation for the time zone display: You can manually adjust the clock to the time zone of a country (up to 1500km distance to Frankfurt/Main) where the clock receives the DCF signal but where the actual time differs from the time received.
If, e.g. the time in a given country is 1 hour ahead of the German time, set the time zone display to 01. The clock is now DCF controlled but the time is one hour ahead.
DAILY ALARM SET-UP
- Press the "MODE" button to switch from the time display to the A1 display
- Press and hold the "MODE" button for 3 seconds, the flashing alarm time is shown
- The hour display of the alarm time is flashing. Use the “A•ME” and “v•HISTORY” button to select the hour.
- Press the "MODE" button to confirm.
- Then follow the minutes. Use the "A•MEM" and "v•HISTORY" button to select the minutes
- Press the "MODE" button to confirm.
- Then press the "MODE" button to switch from the A1 display to the A2 display
- The same setting procedure is to follow for Alarm 2 as for A1.
DAILY ALARM ON/OFF
- When the A1 alarm time is showing, press the “Λ•MEM” or “V•HISTORY” button to activate the alarm 1 with the alarm symbol showing in the display.
- Press the "A•MEM" or "V•HISTORY" button again to deactivate the alarm
- When the A2 alarm time is showing, press the "Λ•MEM" or "V•HISTORY" button to activate the alarm 2 with alarm symbol showing.
- Press the “Λ•MEM” or “V•HISTORY” button again to deactivate the alarm
INFORMATION:
- The clock automatically changes from the set-up mode to the time mode if no keys are pressed for 20 seconds.
- The alarm sounds for 2 minutes if no key is pressed to stop it and will then switch off automatically.
SNOOZE FUNCTION
To activate the snooze function, follow the steps below
- Press the key "SNOOZE·LIGHT" while the alarm sounds, to activate the snooze function.
- If the snooze function is activated, the alarm symbol is flashing.
• The alarm repeats after 5 minutes. - The snooze function can be stopped by pressing any key.
- The snooze function will last until you switch it off.
- If you do not switch off the alarm it will last for 2 minutes and stop. In this case the snooze function will also stop automatically.
12/24 HOURS MODE
The time display can be in 12 (AM/PM) or 24 hours mode.
°C/°F TEMPERATURE DISPLAY
The temperature display can be in °C or °F.
MAX/ MIN FOR THE INDOOR/OUTDOOR TEMPERATURE AND HUMIDITY
Press the “Λ•MEM” button for displaying the indoor/outdoor max./min. temperatures and humidity’s.
TEMPERATURE ALERT SET-UP
- Press the "CH" button to select the channel (1, 2, 3) if more than one outdoor sensors are within reach.
- Press the "ALERT" button to show the alert symbol
- Hold the "ALERT" button, the upper limit temperature is flashing, use the "A•MEM" and "V•HISTORY" button to set the maximum alert temperature.
- Press the "ALERT" button, the lower limit temperature is flashing, use the "∧•MEM" and "v•HISTORY" button to set the minimum alert temperature.
- When the alert is activated, the alert symbol will be shown.
TEMPERATURE ALERT ON/OFF
- Press and hold the key "ALERT" to set the temperature alert ON or OFF.
- Alert ON: Temperature alert symbol shown in display
- Alert OFF: Temperature alert symbol goes out.
INFORMATION
- A temperature alert can be set-up for each channel.
- The set-up process cannot be completed if the maximum temperature selected is lower than the minimum selected temperature.
- The minimum temperature selected must be at least 1^ C below the maximum selected temperature.
5 WEATHER FORCAST ICONS

Sunny

Partly Cloudy

Cloudy

Rainy

Rain Storm
Sunny
Partly cloudy
Cloudy
Rainy
Rain Storm
Remarks: as the weather is forecasted by air press, the display may often have discrepancy with the actual weather.
BAROMETER AND HISTORY FOR THE PAST 12 HOURS OF AIR PRESSURE
The air pressure can be displayed in hPa and inHg and you can check the past 12 hour air pressure development by pressing the "v•HISTORY" button.
ILLUMINATION
When you have no adapter in use but batteries only, press the key "SNOOZE·LIGHT" to activate the display illumination for 5 seconds.
When you have the adapter in use, there are 3 levels of light by pressing the "SNOOZE·LIGHT" button: Normal bright-> Brighter >Off
MOON PHASE DISPLAY
![]() | ![]() | ![]() | ![]() | ![]() | ![]() | ![]() | ![]() |
| New moon | Crescent | First half | Increasing Crescent | Full moon | Waning | Last half | Waning crescent |
LIVING SPACE HUMIDITY
The weather station uses saved data to determine the humidity in the living space and shows the respective symbols.



comfortable, dry, humid
LOW BATTERY CONDITION DISPLAY
The weather station displays the low battery condition symbol to remind you the batteries of the weather station or the outdoor sensor need to be exchanged.
• Weather station low battery condition display: within indoor area of the display
• Outdoor sensor low battery condition display: in the outdoor area of the display
WIRELESS CONNECTION TO THE OUTDOOR SENSOR
- Press the key "CH" to select a channel. You can read the data of up to 3 sensors at one weather station.
- Press and hold the key "CH" for 3 seconds to search for an outdoor sensor.
RECEPTION OF THE RADIO-CONTROLLED SIGNAL
- The DCF radio signal search starts automatically about 3 minutes after the battery exchange. The “signal is flashing.
- Press the "Λ•MEM" and "v•HISTORY" button for more than 3 seconds to enter or quit the Radio controlled signal reception
- The clock synchronizes with the DCF radio signal automatically and daily from AM 1:00 to 3:00 to correct potential time deviations each hour. If the synchronization is unsuccessful ("radio tower" symbol disappears), a further synchronization attempt is made at 4:00 and 5:00 until completed successfully. This process is repeated up until 5:00 AM. If still no success, daily reception stop.
INFORMATION
• The flashing “▲” symbol stands for DCF radio signal reception started.
- Continuous “↑” symbol stands for DCF radio signal reception successful.
- Please observe a minimal distance of 2.5 meter to sources of interference such as televisions or computer screens.
- The radio signal reception is weaker in rooms with concrete walls e.g. in the basement and in office buildings. For extreme cases, please put the clock near a window.
- There are less atmospheric disturbances at night. A radio time signal reception is usually possible at that time. One synchronisation per day is sufficient to keep the time display accuracy at 1 second.
TIP
You can adjust the time manually in case the clock cannot receive the DCF radio signal due to interferences, large distance to the sender, obstructions like mountains, etc. As soon as the radio signal can be received, the clock will be adjusted automatically. The radio signal sender coverage is up to 1.500km distance from Frankfurt/Main.
ENVIRONMENT FRIENDLY DISPOSAL
The European Directive 2002/96/EC on Waste Electrical and Electronic Equipment – WEEE – requires that old household electrical appliances must not be disposed of in the normal unsorted municipal waste stream. Old appliances must be collected separately to optimise the recovery and recycling of the materials they contain and reduce the impact on human health and the environment.

The crossed out "wheeled bin" symbol on the product reminds you of your obligation that when you dispose of the appliance, it should be separately collected. Contact your local authority for information concerning the correct disposal of your old appliance.
MODE D'EMPLOI
natural_image
Line drawing of a device rear panel with a cable inserted into a connector (no text or symbols)natural_image
Technical line drawing of a mechanical component with directional arrows indicating motion (no text or symbols)comfortable, sec, humide
AFFICHEUR DE PILES DÉCHARGÉES
text_image
H I 22.5 45%
EasyManual







