Siriux - Spillatore di birra Salmson - Manuale utente e istruzioni gratuiti
Trova gratuitamente il manuale del dispositivo Siriux Salmson in formato PDF.
Domande frequenti - Siriux Salmson
Scarica le istruzioni per il tuo Spillatore di birra in formato PDF gratuitamente! Trova il tuo manuale Siriux - Salmson e riprendi in mano il tuo dispositivo elettronico. In questa pagina sono pubblicati tutti i documenti necessari per l'utilizzo del tuo dispositivo. Siriux del marchio Salmson.
MANUALE UTENTE Siriux Salmson
INSTALLAZIONE E MESSA IN SERVIZIO
ITALIANO
1 Generalità 96
2 Sicurezza 96
2.1 Contrassegni utilizzati nelle istruzioni 96
2.2 Qualifica del personale 97
2.3 Pericoli seguenti al mancato rispetto delle prescrizioni di sicurezza 97
2.4 Lavori all'insegna della sicurezza 97
2.5 Prescrizioni di sicurezza per l'utente 98
2.6 Norme di sicurezza per operazioni di montaggio e manutenzione 98
2.7 Modifiche non autorizzate e parti di ricambio 98
2.8 Condiioni di esercizio non consentite 98
3 Trasporto e magazzinaggio 99
4 Campo d'applicazione 99
5 Dati e caratteristiche tecniche 99
5.1 Chiave dilettura 99
5.2 Dati tecnici 100
5.3 Fornitura 102
5.4 Accessori 102
6 Descrizione e funzionamento 102
6.1 Descrizione della pompa 102
6.2 Funzionamento della pompa 103
6.2.1 Modi di funzionamento 103
6.2.2 Modi di regolazione - differenza di pressione 104
6.2.3 Altri modi di funzionamento per il risparmio energetico 104
6.2.4 Funzioni generali della pompa 105
6.2.5 Modo di funzionamento pompa dopbia 105
6.2.6 Significato dei symboli sul display LC 107
7 Installazione e collegamenti elettrici 109
7.1 Installazione 109
7.1.1 Installazione pompa filettata 111
7.1.2 Installazione pompa flangiata 111
7.1.3 Isolamento della pompa in impianti di refrigerazione/condizionamento 112
7.2 Collegamenti elettrici 112
8 Messa in servizio 115
8.1 Riempimento e sfiato 115
8.2 Impostazione del menu 115
8.2.1 Uso del pulsante di regolazione 116
8.2.2 Commutazione della schermata del display 116
8.2.3 Impostazioni nel menu 117
8.3 Sezione del modo di regolazione 126
8.4 Impostazione della potenza della pompa 128
8.4.1 Limitazione della portata 129
8.5 Funzionamento 129
8.6 Messa a riposo 129
9 Manutenzione
9.1 Smontaggio/Installazione 130
9.2 Smontaggio/Installazione del modulo di regolazione 131
10 Guasti,cause erimedi 132
10.1 Messaggi di erre - modo di funzionamento riscaldamento/ventilazione HV ...132
10.2 Messaggi di erre - modo di funzionamento condizionamento AC 132
10.3 Aventimento 134
11 Parti di ricambio 137
12 Smaltimento 138
1 Generalità
Informazioni sul documento
Le istruzioni originali di montaggio, uso e manutenzione sono redatte in lingua tetedesca. Tutte le altre lingue delle presenti istruzioni sono una traduzione del documento originale.
Le presenti istruzioni di montaggio, uso e manutenzione sono parte integrante del prodotto e devono essere conservate sempre nelle sue immediate vicinanze. La stretta osservanza di queste istruzioni costituisce il requisito fondamentale per l'utilizzo ed il corretto funzionamento del prodotto.
Queste istruzioni di montaggio, uso e manutenzione corrispondono all'esecuzione del prodotto e allo stato delle norme tecniche di sicurezza presenti al momento della stampa.
Dichiarazione CE di conformità:
Una copia della dichiarazione CE di conformità è parte integrante delle presenti istruzioni di montaggio, uso e manutenzione.
In caso di modificata tecnia dei tipi costruttivi ivi specificati non concordata con!.
noi, la presente dichiarazione perdera agli efficacia.
2 Sicurezza
Le presentiistruzioni contengono informazioni fondamentalidar rispettore per il montaggio, l'uso e la manutenzione del prodotto.
Devono perché essere lette e rispetto scrupolosamente sia da chi esegue il montaggio, sia dal personale techniciane competente/gestore.
Oltre al rispetto delle norme di sicurezza in generale, devono essere rispettati tutti i punti specificamente contrassegnati.
2.1 Contrassegni utilizzati nelle istruzioni
Simboli:
Simbolo di pericologo generico

Pericolo dovuto a tensione elettrica

NOTA:

Parole chiave di segnalazione:
PERICOLO!
Situationo molto pericolosa.
L'inosservanza cui provocare infortuni gravi o mortali.
AVVISIO!
Rischio di (gravi) infortuni per l'utente. La parola di segnalazione "Avviso" indica l'elevata probabilità di riportare (gravi) lesioni in caso di mancata osservanza di quello avviso.
ATTENZIONE!
Esiste il rischio di danneggiamento del prodotto/dell'impiano. La parola di segnalazione "Attenzione" si riferisce alla possibilità di arrecare anni materiali al prodotto in caso di mancata osservanza di questo avviso.
NOTA:
Un'indicazione utile per l'utilizzo del prodotto. Segnala anche possibili dificoltà.
I richiami applicati direttamente sul prodotto, quali ad es.
- freccia indicante il senso di rotazione/simbolo indicante la direzione del flusso,
- contrassegni per attacchi,
- targhetto dati pompa,
- adesivi di segnalazione,
devono essere sempre osservati e mantenuti perfettamente leggibili.
2.2 Qualifica del personale
Il personale addetto a montaggio, impiego e manutenzione deve disporre dell'apposita qualifica richiesta per quello tipo di lavori. L'utente deve farsi garanthe delle responsabilità, delle competenze e della supervisione del personale. Se non dispone delle conoscenze necessarie, il personale dovrá essere addestrato e istruito di conseguenza. Ciò può rientrare, se necessario, nelle competenze del costruttore del prodotto, dietro incarico dell'utente.
2.3 Pericoli seguenti al mancato rispetto delle prescrizioni di sicurezza
Il mancato rispetto delle prescrizioni di sicurezza,或者其他 mettere in pericolò le persone, cui costituire una minaccia per l'ambiente e danneggiare il prodotto. Il mancato rispetto delle prescrizioni di sicurezza implica la perdita di qualsiassi diritto al risarcimento dei giorni.
Le consequence dell'inosservanza delle prescrizioni di sicurezza possono essere:
- pericoli per le persone consequences a fenomeni elettrici, meccanici e batteriologici,
- minaccia per l'ambiente dovuta a perdita di sostanze pericolose,
danni materiali, - mancata attivazione d'importanti funzioni del prodotto o dell'impiano,
- mancata attivazione delle procedure di riparazione e manutenzione previste.
2.4 Lavori all'insegna della sicurezza
Devono essere osservate le norme sulla sicurezza riportate nelle presenti istruzioni di montaggio, uso e manutenzione, le norme nazionali in vigore, che regolano la prevenzione degli infortuni, nonché eventuali norme interne dell'utente, in merito al lavoro, al funzionamento e alla sicurezza.
2.5 Prescrizioni di sicurezza per l'utente
Questo apparecchio non è destinato a essere utilizzato da persona (compresi i bambini) con limitate capacità fisiche, sensoriali o mentali oppure mancanti di esperienza e/o conoscenza, a meno che non vengano sorvegliate da una persona responsabile della loro sicurezza o abbiano ricevuto da quest'ultima istruzioni su come utilizzato l'apparecchio.
I bambini devono essere sorvegliati al fine di garantire che non giochino con l'apparecchio.
- Se si riscontrano pericoli dovuti a componenti bollenti o freddi sul prodotto/ impianto, provvedere sulippo ad una protezione dal contatto dei suddetti componenti.
- Non rimuovere la protezione da dato per componenti in movimento (ad es. giunto) nelle prodotto è in funzione.
- Eliminare le perdite di fluidi pericolosi (esplosivi, tossici, bollenti) evitando l'insor-gere di rischi per le persone e l'ambiente. Osservare le disposizioni nazionali vigenti.
- Tenere lontano dal prodotto i materiali lavoramente inflammabili.
- Prevenire qualsiasi rischio derivante dall'energia elettrica. Applicare e rispettore tutte le normative locali e generali (ad esempio IEC ecc.) e le prescrizioni delle aziende elettriche locali.
2.6 Norme di sicurezza per operazioni di montaggio e manutenzione
Il gestore deve assicurare che le operazioni di montaggio e manutenzione siano eseguite da personale autorizzato e qualificato che abbia fatto attentamente le presenti istruzioni.
Tutti i lavori che interessano il prodotto o l'impiano devono essere eseguiti esclusivamente in stato di inattività. Per l'arresto del prodotto/impiano è asso-lutamente necessario rispetto la procedura descritta nelle istruzioni di montaggio, uso e manutenzione.
Tutti i dispositivi di sicurezza e protezione devono essere applicati nuovamente o rimessi in funzione istantaneamente al termine dei lavori.
2.7 Modifiche non autorizzate e parti di ricambio
Modifiche non autorizzate e parti di ricambio mettono a repentaglio la sicurezza del prodotto/del personale e rendono inefficaci le dichiarazioni rilasciate dal costruttore in materia di sicurezza.
Eventuali modifiche del prodotto sono ammesses solo previo accordo con il costruttore. I peszi di ricambio origini e gli accessori autorizzati dal costruttore sono parte integrante della sicurezza delle apparecchiature e delle macchine. L'impiego di parti o accessori non origini fa decadere la garanzia per i dati che ne risultano.
2.8 Condizioni di esercizio non consentite
La sicurezza di funzionamento del prodotto fornito è assicurata solo in caso di utilizzo regolamentiare secondo le applicazioni e le condizioni descritte nel capitolo 4 e 5 del manuale. I valori limite minimi e massimi indicati nel catalogo/ foglio dati non possono essere superati in nessun caso.
3 Trasporto e magazzinaggio
Quando si riceve il prodotto, accertarsi che il prodotto stesso e l'imballaggio non abbiano subito danni durante il trasporto. Se si riscontrano danni da trasporto è necessario avviare le procedure richieste presso lo spedizione entro i termini previsti.

ATTENZIONE! Pericolò di danni a persone e a cose!
Il trasporto e il magazzinaggio eseguiti in modo improprio possono provocare danni materiali al prodotto e lesioni alle persone.
- Durante il trasporto e il magazzinaggio proteggere la pompa, compreso l'imballaggio, da umidità, gelo e danni meccanici.
- Gli imballaggi cedevoli perdono la loro rigidità e posso provocare lesioni alle persone, in caso di caduta del prodotto.
- La pompa può essere sostenuta, durante il trasporto, solo avvalendosi del motore/corpo pompa. Non sorreggerla mai per il modulo/la morsettiera, i cavi o il condensatore esterno.
4 Campo d'applicazione
Le pompé ad alta efficienza delle seriesirius/Sirius-D/Sirius-O servono per la circolazione dei liquidi (escludi oli e fluidi contententi oli) in
- impianti di riscaldamento ad acqua calda
- circuiti dell'acqua di raffreddamento e circuiti di acqua fredda
- sistemi di circolazione industriali chiusi
- implanti ad energia solare

AVVERTENZA! Pericolo per la salute!
In base ai materiali impiegati, le pompè delleserie Siriux/Sirioux-D non pos- sono essereutilizzate per l'acqua potabile e per il settore alimentare.
Le pompé delleserieSirieux-O,inoltre,sono idoneeall'impiego in
- impianti di circolazione per acqua sanitaria
5 Dati e caratteristiche tecniche
5.1 Chiave dilettura
| Esempio: Siriux-D 32-70 | |
| Siriux = pompa ad alta efficienza | |
| D = pompa singola | -D = pompa doppia -O = pompa singola per impianto di circolazione per acqua sanitaria |
| 32 32(F)= attacco flangiato diametro nominale 32 | |
| Attacco filettato: 25 (Rp 1), 32 (Rp 1¼) Attacco flangiato: DN 32, 40, 50, 65, 80 Flangia combinata (PN 6/10): DN 32, 40, 50, 65 | |
| 70 70 = prevalenza nominale in [dm] | |
| 5.2 Dati tecnici | |
| Portata max. In funzione del tipo di pompa, vedi catalogo | |
| Prevalenza max. | In funzione del tipo di pompa, vedi catalogo |
| Numero di giri | In funzione del tipo di pompa, vedi catalogo |
| Tensione di rete 1~230 V ±10% secondo DIN IEC 60038 | |
| Frequenza | 50/60 Hz |
| Corrente nominale | vedi targhetta dati pompa |
| Indice di efficienza energetica (EEI) | vedi targhetta dati pompa |
| Classe isolamento vedi targhetta dati pompa | |
| Grado protezione | vedi targhetta dati pompa |
| Potenza assorbita P1 | vedi targhetta dati pompa |
| Diametri nominali | vedi chiave dietta |
| Flange di raccordo | vedi chiave dietta |
| Peso della pompa In funzione del tipo di pompa, vedi catalogo | |
| Temperatura ambiente consentita | da -10°C a +40°C |
| Temperatura fluido consentita | Applicazione riscaldamento, ventilazione, condizionamento: da -10°C a +110°C Applicazione ricircolo acqua sanitaria: fino a 3,57 mmol/l (20°d): da 0°C a +80°C (max. 60°C secondo la norma francese) |
| Classe di temperature | TF110 |
| Umidità max. rel. | ≤95% |
| Grado di inquinamento 2 (IEC 60664-1) | |
| Pressione max. d'esercizio ammessa | PN 6/10 1) PN 16 2) |
| Fluidi consentiti Sireius/Sirius-D/Sirius-O | Acqua di riscaldamento (secondo VDI 2035/VdTÜV Tch 1466) Miscele acqua-glicole, titolo della miscela max. 1:1 (aggiungendo glicole si devono correggere i dati di portata della pompa in proportione alla maggiore viscosità, in fun-zione del titolo della miscela percentuale). Utilizzato solo prodotti dimarca con inibitori di corrosione, osservare leindicazioni del produttore e le schede tecniche di sicurezza. Se si utilizzato altri fluidi è necessaria l'omologazione da parte del costruttore della pompa. Etilenglicole/propilenglicole con inibitori di corrosione. Nessun fissatore di ossigeno, nessun sigillante chimico (accertarsi che l'implanto sia chiuso a prova di corrosione secondo la norma VDI 2035; riparare i punti non ermetici). Leganti dell'ossigeno comunmente in commercio 3) + senza inibitori anodici ad azione corrosiva (ad es. sottodo-saggio dovuto al consumo). Leganti dell'ossigeno comunmente in commercio 3) + senza agenti filmogeni o polimerici. Salamoie di raffreddamento comunmente in commercio 3) |
| Sirioux-O | La scelta dei materiali delle pompè corrisponde allo stato della tecnica ed è conforme alle linee guida dell'Agenzia federale dell'ambiente tedesca (UBA) a cui fa riferimento l'ordinamento sull'acqua potabile (TrinkwV). I disinfettanti chimici possono provocare danni ai materiali. |
| Livello di pressione acustica delle emissioni | < 54 dB(A) (in funzione del tipo di pompa) |
| EMC (compatibilità elettromagnetica) | Allgemeine EMV: EN 61800-3 |
| Emissione disturbi elettromagnetici | EN 61000-6-3 |
| Immunità alle interferenze EN 61000-6-2 | |
| Corrente di guasto ΔI | ≤3,5 mA (vedi andere cap. 7.2) |
1)Version standard
2) Versione speciale ovvero attrezzatura supplementare (con sovrapprezzo)
3)Vedi segnale di allarme seguente

ATTENZIONE! Pericolo di danni a persone e a cose!
Fluidi non ammessi possono distruggere la pompa e arrecare danni alle persone. Osservare tassativamente le schede tecniche di sicurezza e leindicazioni del costruttore!
3) Osservare leindicazioni del costruttore sul titolo della miscela.
3) Gli additivi devono essere miscelati al fluido sul lato mandata della pompa, although se in contrasto con le raccomandazioni del produttore dell'additivo!

ATTENZIONE! Pericolo di danni materiali!
Durante ilchio, il nuovo riempimento o il rabbocco del fluido con additivi sussiste il pericolò di danni materiali dovuti all'arricchimento di sostanze chimiche.
Lavare la pompa separamente e a lungo per assicurare che il vecchio fluido sia stato completamente eliminato dall'interno della pompa.
In caso di lavaggio a pressione alterna, è necessario scollegare la pompa. Interventi di lavaggio chimico non sono indicati per la pompa, in quanto richiedono lo smontaggio della pompa dalsystema per l'intera durata della pulizia.
Pressione minima di alimentazione (superiore a quella atmosferica) sulla bocca aspirante della pompa al fine di evitare rumori di cavitatione (alla temperatura del fluido T_Med ):
| Diametro nominale | TMed | TMed | TMed |
| -10°C...+50°C | +95°C | +110°C | |
| Rp 1 0,3 bar 1,0 bar 1,6 bar | |||
| Rp 1¼ 0,3 bar 1,0 bar 1,6 bar | |||
| DN 32 0,3 bar 1,0 bar 1,6 bar | |||
| DN 40 (Hmax=4 m, 8 m, 10 m) 0,3 bar 1,0 bar 1,6 bar | |||
| DN 40 (Hmax=12 m) 0,5 bar 1,2 bar 1,8 bar | |||
| DN 40 (Hmax=16 m) 0,7 bar 1,5 bar 2,3 bar | |||
| DN 50 (Hmax=8 m, 10 m) 0,3 bar 1,0 bar 1,6 bar | |||
| DN 50 (Hmax=9 m, 12 m) 0,7 bar 1,5 bar 2,3 bar | |||
| DN 50 (Hmax=16 m) 0,5 bar 1,2 bar 1,8 bar | |||
| DN 65 (Hmax≤9 m) 0,5 bar 1,2 bar 1,8 bar | |||
| DN 65 (Hmax=12 m, 16 m) | 0,7 bar | 1,5 bar | 2,3 bar |
| DN 80 0,7 bar 1,5 bar 2,3 bar |
I valori valgono fino a 300 m sul livello del mare, supplemento per livelli superiori: 0,01 bar/100 m di aumento in altezza.
5.3 Fornitura
-
Pompa completa
-
Due guarnizioni piano (non per Siriux-O)
- Otto rondelle M16 e viti per PN10 (per versione a flangia combinata DN32-DN65 e DN80 versione flangia)
- Istruzioni di montaggio, uso e manutenzione
5.4 Accessori
Gli accessori devono essere ordinata parte:
moduli IF
- Apparecchi di lavoro e di servizio a raggi infrarossi (Salmson Pump Control) Per un elenco dettagliato vedi catalogo.
6 Descrizione e funzionamento
6.1 Descrizione della pompa
Le pompé ad alta efficienza Sirius sono pompé con rotore bagnato con rotore a magnete permanente e integrato dispositivo di regolazione della pressione differenziale. La pompà può essere montata come pompa singola (fig. 1a) o come pompa doppia (fig. 1b).
1 Modulo di regolazione
1.1 Porta di comunazione a infrarossi
1.2 Display LC
1.3 Pulsante di regolazione
2 Simboloindicante la direzione del flusso
6.2 Funzionamento della pompa
Sul corso del motore c'è un modulo di regolazione (fig. 1a, pos.1) in tipo costruttivo assiale che regola la pressione differenziale della pompa su un valore di consegna regolabile nell'ambito di un range. A seconda del modo di regolazione la pressione differenziale segue criteri differenti. In tutti i modi di regolazione la pompa comunique si adegua costamente alle variazioni del fabbisogno di potenza dell'impianto, che si verificano in particolare in caso di impiego di valvole termostatiche, valvole a zona o miscelatrici.
Ivantaggi sostanziali della regolazione elettronica sono i seguenti:
- Risparnio energetico e nel contempo riduzione deiosti di esercizio,
- Riduzione di rumori di flusso,
- Possibilità di fare a meno delle valvole di sfioro.
Le pompé ad alta efficienza della serie Siriux-O sono messe particolarmente a punto, per scelta dei materiali e costruzione, per le condizioni di funzionamento in impianti di circolazione per acqua sanitaria.
6.2.1 Modi di funzionamento
La série costruttiva Siriusx più essere fattà funzionare nei modi "Riscaldamento" oppure "Refrigerazione/condizionamento". Entrambi i modi di funzionamento si differenziano nella tolleranza di erre relativà al trattamento di messaggi di erre visualizzati.
Modo di funzionamento "Riscaldamento":
Gli erre vengono elaborati (come di consueto) con tolleranza, ossia a seconda del tipo di erre萝 la pompa segnala un guasto solo se lo stesso erre si verifica più volte entro un determinato periodo di tempo.
Vedi in proposito capitolo 10.1 e rappresentazione segnalazione di guasto / avvertimento in "Funzionamento HV".
Modo di funzionamento "Refrigerazione/condizionamento":
Per tutte le applicazioni in cui è necessario che agli erre (nella pompa o nell'impiano) venga riconosciuto velocemente (ad es. applicazioni per condizionamento).
Ciascun erre, ad eccezione dell'erreore E10 (bloccaggio), viene immediamente segnalato (< 2 sec.). In caso di bloccaggio (E10) vengono effettuali diversi tentativi di riavvio, per cui in questo caso il messaggio di erreore viene visualizzato solo dopo max. 40 sec.
Vedi in proposito capitolo 10.2 e rappresentazione segnalazione di guasto / avvertimento in "Funzionamento AC".
Entrambi i modi di funzionamento differenziano fra guasti e avvisi. In caso di guasti il motore viene disinserito, ilsystema visualizza il codice erre sul display e il guasto viene segnalato con il LED roso.
I guasti determinano sempre l'attivazione della SSM ("segnalazione cumulativa di blocco"tramite un relè).
Nel caso di management pompa doppia (pompa doppia oppure 2 pompe sin-gole), la pompa di riserva si avvia entro il tempo di seguito specificato, dopo che si è verificato un erre.
| Sirieux, Sirieux-D, Sirieux-O | Tempo di avvio |
| 25-30, 25-40, 25-60, 32-30, 32-40, 32-60, 40-30 ca. 9 sec | |
| 25-65, 32-65, 32-65F, 40-65, 50-65, 50-110, 65-110, 80-40, 80-90 | ca. 7 sec |
| 40-80, 50-70, 50-80, 65-80 ca. 4 sec | |
| 32-90, 32-70, 40-60, 40-110, 50-60, 65-40, 65-90 ca. 3 sec |
6.2.2 Modi di regolazione - differenza di pressione
- p -v: Ilsysteme elettronico modifica in modo lineare il valore di consagra della differenza di pressione da mantenere tra prevalenza 1/2H_S e H_S . Il valore di consagra della differenza di pressione H diminuisce o aumento in modo direttamente proportionale alla portata (fig. 8), impostazione base di default.
- p -c: Ilsysteme elettronico mantiene costante la differenza di pressione generata dalla pompa sul valore di consegnata impostato H_S nel campo di portata consentito fino alla curva caratteristica massima (fig. 9).
-
p - T : Ilsysteme elettronico modifica il valore di consegnata della differenza di pressione che la pompa deve rispetto in funzione della temperatura del fluido rilevata. Questo modo di regolazione si può impostare solo con apparecchio di lavoro e servizio IR (accessori) o mediating LON/CAN/Modbus/BACnet. Le impostazioni possibili sono due (fig. 10):
-
Regolazione con incremento positivo: Se la temperature del fluido è in aumento, il valore di consegnata della differenza di pressione viene incrementato in modo lineare tra prevalenza H_Smin e H_Smax (impostazione: H_Smax > H_Smin ).
- Regolazione con incremento negativo: Se la temperatura del fluido è in aumento, il valore di consegnata della differenza di pressione viene ridotto in modo lineare tra prevalenza H_Smin e H_Smax (impostazione: H_Smax < H_Smin ).
6.2.3 Altri modi di funzionamento per il risparmio energetico
- Funzionamento come servomotore: Il numero di giri della pompa viene mantenuto su un valore costante tra n n (fig. 11). Il modo di funzionamento come servomotore disattiva la regolazione della pressione differenziale del modulo.
- Con modo di funzionamento "auto" attivato, la pompa ha la capacité di riconoscere un fabbisogno minimo di potenza termica del systema mediante una riduzione continua della temperature del fluido pompato e poi di commutare in funzionamento a regime ridotto. Se il fabbisogno di potenza termica è in aumento si ha la commutazione automatica in funzionamento di regolazione. Questa impostazione garantisce che il consumo di energia della pompa viene ridotto a un minimo e nella maggior parte dei casi risultata l'impostazione ottimale.

ATTENZIONE! Pericolo di danni materiali!
Il funzionamento a regime ridotto si cui abilitare solo se è stata eseguita la compensazione idraulica dell'impiano. In mancanza di tale compensazione le parti dell'impiano sotto alimentate possono gelare in caso di freddo rigido.
- Il modo di funzionamento "Q-Limit" può essere combinato con gli altri modi di regolazione ( p -v, p -c, p -T, funzionamento come servomotore) e consente una limitazione della portata massima al 25% - 90% di Qmax. Al raggiungimento del valore impostato, la pompa esegue la regolazione in base alla curva caratteristica della limitazione, nella superarla.

NOTA: "Q-Limit" più essere impostato solo mediante un apparecchio di lavoro e servizio IR (accessorio). In caso di applicazione di "Q-Limit" in sistemi nono compensazione idraulica, alcune parti dell'impiano sono venire sottoalimentate. Eseguire la compensazione idraulica.
6.2.4 Funzioni generali della pompa
- La pompa dispon di un relè per protezione da sovraccarichi elettronico che disinserisce la pompa in caso di sovraccarico.
- Per la memorizzazione dei dati il modulo di regolazione è equipaggiato di una memoria non volatile. Con un'interruzione di reteanche lunga, tutte le impostazioni e i dati restano conservati. Dopo il ritorno della tensione la pompa funziona con i valori di conseigna presenti prima dell'interruzione di rete.
- Impulso avviamento pompa: Per evitare un blocco durante periodi di arresto prolongati, le pompe disattivate dal menu (ON/OFF), da un lavoro bus, alla porta di comunicazione a infrarossi, dall'ingresso di lavoro Ext.Off o 0–10 V si attivano per un breve periodo agli 24 h. Questa funzione non richiede l'interruzione della tensione di rete. Se è prevista un'interruzione di rete per un periodo prolongato, l'impulso avviamento pompa deve essere rilevato dal lavoro del riscaldamento/della caldaia con una breve attivazione della tensione di rete. A tal fine la pompa deve essere attivata da lavoro prima dell'interruzione di rete (display → significolo del motore/modulo accesso).
- SSM: Il contatto della segnalazione cumulativa di blocco (contatto chiuso esente da potenziale) può essere collegato a un sistema di automazione degli edifici. Il contatto interno è chiuso, quando la pompa è alla tensione, se non si registrarano quasti o un'avaria del modulo di regolazione. Il comportamento del SSM è descritto nel capitolo 6.2.5, 10.1 e 10.2.
- Per il collegamento a unità di controllo esterne si può realizzare un'estensione del systema mediante moduli d'interfaccia allestibili in un secondo momento per la communicatesione. Sono disponibili moduli IF analogici e digitali come optional (vedi catalogo).
6.2.5 Modo di funzionamento pompa doppi
Le pompé doppie o le due pompé singole (installe in parallelo) posso sono essere equipaggiate successivamente con un management pompa dopbia integrato.
- IF-Module Siriux: Per la communicates tra le pompie viene integrato agli volta un modulo IFnel modulo di regolazione di agli pompa e tali moduli sono collegati tra loro mediating interfaccia DP.
Questo management pompa doppia presente le seguenti funzioni:
-
Master/Slave: La regolazione delle due pompè viene attuata dal master. Tutte le impostazioni si effettuano sul master.
-
Funzionamento principale/di riserva: Ognuna delle due pompe fornisce la portata di dimensionamento. La seconda pompa è disponibile in caso di guasto e funzione dopo lo scambio pompa. Funzione sempre solo una pompa. Il funzionamento principale/di riserva è completamente attivoanche con due pompe singole dello stesso tipo in un'installazione a pompa doppia.
- Rendimento ottimizzato in caso di funzionamento con carico di punta: Nel campo del carico parziale le prestazioni idrauliche vengono fornite inizialmente da una delle pompe. La seconda pompa viene attivata con rendimento ottimizzato, vale a dire quando la somma dei valori di potenza assorbita P_1 di entrambe le pompe è minore dei valori di potenza assorbita P_1 di una pompa. Entrambe le pompe vengono quando portate sin cronicamente, se necessario, fino al numero di giri massimo. Questo modo di funzionamento (comando on/off in base al carico) assicura un ulteriore risparmio di energia rispetto al funzionamento con carico di punta convenzione. Il funzionamento in parallelo di due pompe è possibile solo con due tipi di pompa identici.
- In caso di avaria/guasto di una pompa, l'altra funzione come pompa singola mediante il master, secondo le prescrizioni dei modi di funzionamento. Il comportamento in caso di guasto dipende dal modo di funzionamento HV o AC (vedic capitolo 6.2.1).
- In caso di interruzione della comunità (ad es. per cessazione della tensione di alimentazione sul master): Dopo 5 s parte la slave e funziona mediante il master secondo l'ultima prescrizione dei modi di funzionamento.
- Scambio pompa: Se è in funzione solo una pompa (funzionamento principale/di riserva, con carico di punta oppure a regime ridotto), lo scambio pompa avviene dopo ris波特ivamente 24 h di funzionamento effettivo. Al momento dello scambio pompa sono in funzione entrambre le pompe cosicché il funzionamento non viene interrotto.

NOTA: Se è Attivo il modo regolazione e contemporaneamente il funzionamento sincrono, sono in funzione sempre entrambé le pompè. Non avviene scambio pompa.
Durante la riduzione notturna attiva non avviene scambio pompa dopo 24 h di funzionamento effettivo.
- SSM: Il contatto della segnalazione cumulativa di blocco (SSM) può essere collegato a un'unità di lavoro centralizzata.
Il contatto SSM viene assegnato solo sul master: Si segnalano solo i guasti del master (impostazione di fabbrica "SSM singolo"). Se devono essere segnalati gli errorsi di master e slave, si deve programmare la funzione SSM sul master con un appearecchio di lavoro e servizio IR (accessori) in "SSM raccolta" (vediistruzioni di montaggio, uso e manutenzione di "Salmson Pump Control"). L'indicazione vale per l'intera unità. Unica eccezione, quando il master è privo di corrente.
Il contatto SSMiene assegnato sul master e sulla slave:Un guasto sul master o slave e segnalato come segnalazione singola di blocco.
6.2.6 Significato dei symboli sul display LC

NOTA: La leggibilità del display dipende in larga misura alla prospettiva dell'observatore. Forti variazioni della temperature ambiente accelerano l'invecchimento del display e possono limitarne la leggibilità.
| Simbolo Significato | |
| auto | La commutazione automatica su funzionamento a regime ridotto è abilitata. L'attivazione del funzionamento a regime ridotto avviene con fabbisogno di potenza termica minimo. |
| auto | In funzionamento a regime ridotto (riduzione notturna) la pompa funziona al numero di giri min. |
| (zenza symbolo) | Commutazione automatica su funzionamento a regime ridotto bloccata, overo la pompa gira solo in funzionamento di regolazione. |
| Funzionamento a regime ridotto attivato tramite porta seriale digitale o "Ext.Min", quindi non in funzione della temperatura del systema. | |
| Per il funzionamento di riscaldamento la pompa è attiva al numero di giri max. L'impostazione può essere attivata solo tramite porta seriale digitale. | |
| La pompa è attivata. | |
| OFF | La pompa è disattivata. |
| 5.0m | Il valore di consegna della differenza di pressione è impostato su H = 5,0 m. |
| Modo di regolazione Δp-v, regolazione su valore di consegna della dif-ferenza di pressione variabile (fig. 8). | |
| Modo di regolazione Δp-c, regolazione su valore di consegna della dif-ferenza di pressione costante (fig. 9). | |
| Il modo di funzionamento come servomotore disattiva la regolazione nel modulo. Il numero di giri della pompa viene mantenuto su un valore costante (fig.11). Il numero di giri viene impostato mediante il pulsante di regolazione ovverotramite l'interfaccia bus. | |
| Con il modo di funzionamento Q-Limit attivato compare l'indicazione "L". Il modo di funzionamento Q-Limit limita la portata massima ad un valore impostato. Impostazione possibile solo con appearecchio di lavoro e servizio IR (accessori) | |
| RPM x100 | La pompa è impostata su un numero di giri costante (qui 2.600 RPM) (funzionamento come servomotore). |
| 10V | Con il modo di funzionamento come servomotore, il numero di giri overo la prevalenza nominale del modo di funzionamento Δp-c o Δp-v della pompa viene impostato dall'ingresso 0-10 V dei moduli IF Siriusx Ext.Off, Ext.Min e SBM. Il pulsante di regolazione non svolge alcuna fun-zione per l'immissione del valore di consegna. |
| Modo di regolazione Δp-T, regolazione su valore di consegna della dif-ferenza di pressione in funzione della temperatura (fig. 10). Viene visua-lizzato il valore di consegna Hs attuale. Questo modo di regolazione si cui lo impostare solo con apparecchio di lavoro e servizio IR (accessori) o mediating porta seriala digitale. | |
| Tutte le impostazioni sul modulo sono bloccate tranne la conferma di erre. Il blocco viene arrivato dall'apparecchio di lavoro e servizio IR (accessori). Le impostazioni e il blocco si possono essere effettuare solo con l'apparecchio di lavoro e servizio IR (accessori). | |
| La pompa viene gestita tramite una porta dati seriale. Sul modulo non è Attivata la funzione "On/Off". Sul modulo occorre ancora impostare solo (++), (+1), posizione display, e conferma di guasto. Con l'apparecchio di lavoro e servizio IR (accessori) si cui lo interrompere provvisoramente il funzionamento dell'interfaccia (per controllo, perlettura dati). Con determinati moduli IF si cui riaprise il menu. (Il menu si cui usare manually nonostante ci si il modulo inserito) (vedi docu-mentatione moduli IF) | |
| La pompa funziona come pompa slave. è possibile che sulla schermata del display non si verifichino variazioni. | |
| La pompa doppià è attiva in funzionamento con carico di punta ottimizzato al migliorere rendimento (master + slave) | |
| La pompa doppià è attiva in funzionamento principale/di riserva (master o slave) | |
| Compare in caso di pompe con determinati moduli IF (vedi documenta-zione moduli IF), se è stata emessa una segnalazione (suggerimento) alla centralina di lavoro dell'edificio alla pompa. | |
| La pompa è impostata su modalità "Unità US" | |
| Matrice erre con tolleranza erreattivata. Modo di funzionamento riscaldamento (in caso di guasti vedi cap.10) | |
| Matrice erre con tolleranza erre disattivata. Modo di funzionamento condizionamento (in caso di guasti vedi cap.10) | |
Struttura menu: Esistono tre livelli di menu. Per accedere ai livelli sostosti l'indicazione dell'impostazione base, a partire dal livello 1, è necessario premere il pulsante e tenerlo premuto per tempi diversi di volta in volta.
- Livello 1 - Indicazione di stato (visualizzazione dello stato di esercizio)
-
Livello 2 - Menu operativo (impostazione delle funzioni di base):
-
Premere il pulsante per più di 1 s
-
Livello 3 - Menu opzioni (ulteriore impostazione):
-
Premere il pulsante per più di 6 s

NOTA: D再也没有 senza nessuna immissione il display ritorna al livello 1 (visualizzazione della condizione di funzionamento). Le modifiche temporanee e non confermate vengono respinte.
7 Installazione e collegamenti elettrici

PERICOLO! Pericolo di morte!
L'installazione e l'esecuzione di collegamenti elettrici eseguite in modo improprio possono essere fonte di pericoli mortali. Adottare le misure di protezione necessari per escludere pericoli causati da corrente elettrica.
- Far eseguire l'installazione e i collegamenti elettrici solo da personale specializzato e in conformità alle normative in vigore!
- Osservare le(norme per la prevenzione degli infortuni!
- Osservare le(norme delle aziende elettriche locali! Pompe con cavo premontato:
- Non tirare mai per il cavo della pompa!
- Non piegare il cavo!
- Non appoggiare oggetti sul cavo!
7.1 Installazione

AVVERTENZA! Pericolo di infortuni!
Un'installazione non corretta può arrecare danni alle persone.
- Sussiste pericolo di schiaccimento!
- Sussiste pericolo di lesioni causate da bordi/spigoli vivi. Indossare l'equipaggiamento di protezione adatto (ad es. quanti)!
- Sussiste pericolo di lesions in seguito a caduta della pompa/del motore! Assicurare eventualmente la pompa.il motore contro la caduta con dispositivi di sollevamento adatti!

ATTENZIONE! Pericolo di danni materiali!
Un'installazione non corretta può provocare danni materiali.
- Affidare l'installazione solo a personale technique qualificato!
- Osservare le normative nazionali e regionali!
-
La pompa può essere sostenuta, durante il trasporto, solo avvalendosi del motore/corpo pompa. Mai del modulo/della morsettiera o del cavo premontato.
-
Installazione all'interno di un edificio: Installare la pompa in un locale asciutto, ben ventilato e protetto alla polvere secondo il grado di protezione (vedi targhetto dati pompa). Non sono ammesses temperature ambiente sotto i -10^
-
Installazione all'esterno di un edificio (installazione all'aperto):
-
Installare la pompa in un pozzetto (ad es. pozzo di luce, pozzo ad anelli) con copertura o in un armadio/corpo come protezione contro le intemperie. Non sono ammesses temperature ambiente sotto i -10^ .
- Evitare l'irraggiamento diretto del sole sulla pompa
- La pompa deve essere protetta in modo che le scanalature di scolo del condensato risultino libero dallo sporco. (fig. 6)
- Proteggere la pompa alla pioggia. É consentita l'acqua di condensa dall'alto a condizione che il collegamento elettrico sia stato eseguito come previsto nelle Istruzioni di montaggio, uso e manutenzione e la morsettiera sia stata chiusa in modo corretto.

ATTENZIONE! Pericolo di danni materiali!
In caso di superamento/mancato raggiungimento della temperatura ambiente ammessa provvedere a una ventilazione/ un riscaldamento sufficiente.
Il modulo elettronico può disattivarsi in caso di sovrattemperature.
Non copire mai il modulo elettronico con oggetti. Osservare una distanza sufficiente di almeno 10 cm intorno al modulo elettronico.
- Prima di procedere all'installazione della pompa eseguire tutti i lavori di salute e brasatura.

ATTENZIONE! Pericolo di danni materiali!
Impurità nella tubatura possono distruggere la pompa in funzionamento. Prima di installare la pompa procedere al lavaggio della tubatura.
- Prevedere delle valvole d'intercettazione a monte e a vale della pompa.
- Fissare le tubazioni al pavimento, soffitto o alla parete con dispositivi adatti, per evitare che sia la pompa a sostenere il peso delle tubazioni.
- Per il montaggio nella mandata di impianti aperti la mandata di sicurezza deve diramarsi a monte della pompa (DIN EN 12828).
- Montare la pompa in un punto facilitmente accessibile, in modo da facilitare un successivo controlo o una sostituzione.
-
Da osservare durante il montaggio/installazione:
-
Eseguire il montaggio in assenza di tensione con l'albero della pompa orizzontale (v. posizione di montaggio come da fig. 2a/2b).
- Assicurarsi che sia possibile un'installazione della pompa con direzione di flusso corretta (cfr. fig. 2a/2b). Prestare attenzione al triangolo direzionale sul corpo pompa (fig. 1a; Pos2).
- Assicurarsi che sia possibile installare la pompa nella posizione di montaggio consentita (cfr. fig. 2a/2b). All'occorrenza ruotare il motore, incl. modulo di regolazione, vedi cap.9.1.

ATTENZIONE! Pericolo di danni materiali!
In caso di posizione non consentita del modulo, sussiste il pericolo che l'acqua di condensa penetri nel modulo. La posizione del modulo con il collegamento del cavo rivolto verso l'alto non è consentita!
7.1.1 Installazione pompa filettata
- Prima di procedere all'installazione della pompa, montare i raccordi filettati per tubi adatti.
- Per l'installazione della pompa, servirsi delle guarnizioni piatte, a corredo, tra bocca aspirante/bocca mandata e raccordi filettati per tubi.
- Avvitare i manicotti mobili sulla filettatura della bocca aspirante/bocca mandata e serrarli con chiave fissa o chiave inglse.

ATTENZIONE! Pericolo di danni materiali!
Quando si serrano gli attacchi filetti, non appoggiare la pompa al motore/ modulo, ma utilizzato le superfici della chiave contro la bogca aspirante/ bogca mandata.
| Tipo pompa | Apertura della chiave [mm] | Apertura della chiave [mm] |
| Bocca aspirante Bocca mandata | ||
| Sirius 25-30(40, 60, 65) 36 36 | ||
| Sirius 32-30(40, 60, 65) 36 36 | ||
| Sirius 32-90 41 41 | ||
- Verificare la tenuta ermetica dei raccordi filettati per tubi.
7.1.2 Installazione pompa flangiata
Installazione di pompe con flangia combinata PN6/10 (pompe flangiate da DN32 a DN 65 compreso) e pompe flangiate DN80.

AVVERTENZA! Pericolo di danni a persona e a cose!
Il raccordo a flangia più subire danni e perdere di tenuta. Sussiste pericolo di lesions e pericolo di danni materiali dovuto alla fuoriuscita di fluido bollente.
- Non unire mai insieme due flange combinate!
- Le pompè dotate di flangia combinata non sono omologate per pressioni di esercizio PN16.
- L'impiego di elementi di sicurezza (quali rondelle elastiche) cui lo sono consentiti. Utilizzare, pertanto, tra la testa della vite/del dato e la flangia combinata le rondelle fornite a corredo (fig. 3, pos. 1).
- Anche in caso di impiego di viti di resistenza magiore (≥ 4.6) non devono essere superate le coppie di serraggio consentite, come riportato nella tabella seguente, altrimenti potrebbero verificarsi scheggiature lungo i bordi delle asole. Le viti perderebberoosi la rispettova forza iniziale di serraggio e sul raccordo a flangia potrebber riscontrarsi mancanza di tenuta.
- Ricorrere a viti di larghezza sufficiente. La filettatura della vite deve spor-gere dal dato di almeno un filetto (fig. 3, pos.2).
| DN 32, 40, 50, 65 | Pressione nominale PN6 | Pressione nominale PN10/16 |
| Diametro vite M12 M16 | ||
| Classe di resistenza 4.6 o superiore 4.6 o superiore | ||
| Coppia di serraggio consentita | 40 Nm 95 Nm | |
| Lunghezza min. vite per | ||
| • DN32/DN40 55 mm 60 mm | ||
| • DN50/DN65 60 mm 65 mm | ||
| DN 80 | Pressione nominale PN6 | Pressione nominale PN10/16 |
| Diametro vite M16 M16 | ||
| Classe di resistenza 4.6 o superiore 4.6 o superiore | ||
| Coppia di serraggio consentita | 95 Nm 95 Nm | |
| Lunghezza min. vite per | ||
| • DN80 | 65 mm 65 mm |
- Montare tra le flange della pompa e le controflange delle guarnizioni piatte adatte.
-
Serrare le viti flangiate in 2 passi, a croce, sulla coppia di serraggio prescritta (vedi tabella 7.1.2).
-
Passo 1: 0,5 x coppia di serraggio consentita
- Passo 2: 1,0 x coppia di serraggio consentita
- Verificare la tenuta ermetica dei raccordi a flangia.
7.1.3 Isolamento della pompa in impianti di refrigerazione/condizionamento
- In impianti di refrigerazione e condizionamento ricorrere materiali di isolamento antidiffusione comunamente reperibili in commercio.

ATTENZIONE! Pericolo di danni materiali!
Se l'isolamento antidiffusione viene applicato sulippo, il corpo pompa deve essere isolato solo fino al giunto di separazione dal motore. I fori per lo scarico del condensato devono rinanere liberi, in modo che la condensa che si forma nel motore possa defluire nella ostacoli (fig. 6). Un aumento del condensato nel motore altrimenti può provocare un guasto elettrico.
7.2 Collegamenti elettrici

PERICOLO! Pericolo di morte!
In caso di collegamenti elettrici eseguiti in modo improprio sussiste il pericolo di morte in seguito a folgorazione.
- Far eseguire i collegamenti elettrici solo da un elettroinstallatore autorizzato dall'azienda elettrica locale e in conformità alle prescrizioni locali in vigore.
- Prima di procedere ad interventi sulla pompa, provvedere ad un'interruzione onnipolare dell'alimentazione elettrica. É consentito esguire lavori sul modulo solo dopo che sono trascorsi 5 minuti, poiché la tensione di con-tatto è ancora presente ed è pericolosa per le persone.
-
Controllare se tutti i collegamenti (anche quelli liberi da potenziale) sono privi di tensione.
-
Se il modulo di regolazione sono danneggiati, non mettere in funzione la pompa.
- La rimozione non autorizzata di elementi di regolazione e lavoro sul modulo di regolazione cui lo rischio è scoggia elettrica in caso di contatto con i componenti elettrici interni.
- La pompa non può essere collegata a un gruppo di continuità (UPS o cosidette reti IT).

ATTENZIONE! Pericolo di danni materiali!
collegamento elettrico improprio più causare danni materiali.
- L'application di tensione errata cui provocare danni al motore!
- L'attivazione mediante Triacs/rele a semiconducttre va verificata caso per caso, perché vi è il rischio di danneggiare il sistema elettronico o pregiudicare la compatibilità elettromagnetica (EMC)!
-
In caso di accensione/spegnimento della pompa attraverso dispositivi di lavoro esterni, la temporizzazione della tensione di rete (ad es. mediante lavoro a impulsi) va disattivata, in modo da non danneggiare il systema elettronico.
-
Il tipo di corrente e la tensione dell'alimentazione di rete devono corrispondere alleindicazioni riportate sulla targhetto dati pompa.
- Il collegamento elettrico deve avvenire mediante un cavo di collegamento alla rete fisso (3 × 1,5 ~mm^2 sezione minima), dotato di un dispositivo a innesto o di un interruptore onnipolare con almeno 3 ~mm di ampiezza apertura contatti.
- Se una disattivazione avvienetramite relè di rete del committente, è necessario che siano soddisfatti i seguenti requisiti minimi: Corrente nominale ≥ 10 A ,tensione nominale 250 VAC
-
Protezione con fusibili: 10/16 A, ritardato oppure fusibile automatico con caratteristiche C.
-
Pompe doppie: Dotare entrambi i motori della pompa doppia di un cavo di collegamento alla rete, che cui sono essere interrotto separatamente, e di una protezione con fusibili a parte sul dato alimentazione.
-
Non è necessario un salvamotore a cura del committente. Se al momento dell'installazione ce n'è uno disponibile, va eluso o impostato sul valore di corrente più elevato possibile.
- Corrente dispersa per singola pompa I eff ≤ 3,5 mA (secondo EN 60335)
- Si consiglia di renderere sicura la pompa con un interruptore automatico differenziale. Denominazione: FI -
Nel dimensionamento dell'interruttore automatico differenziale prestare attenzione al numero di pompe collegate e alle correnti nominali dei loro motori.
- Per l'impiego della pompa in impianti con temperature dell'acqua superiori a 90^ è necessario impiegare un cavo di allacciamento resistente al calore.
- Posare tutti i cavi di allacciamento in modo da evitare qualsiasi contatto con le tubazioni e/o il corso della pompa e del motore.
- Per isolare la protezione contro lo stillicidio e la sicurezza contro tensioni meccaniche dei pressacavo, utilizzare cavi con diametro esterno adeguato (vedi tabella 7.2) e avvitare bene i pezzi a pressione. Inoltre, si devono jegare i cavi in prossimità dell'attacco filettato per formare un'ansa di scarico che permetta di scaricare l'acqua di condensa in accumulo. Chiudere i pressacavi non occupati con le quarznizioni a disco a disposizione e serrare fino in fondo.

PERICOLO! Pericolo di morte a causa di folgorazione elettrica!
Sui contatti della porta di comunicazione del modulo IF più esserci una tension pericolosa in caso di sfioramento.
Se nel pozzetto del modulo non è inserto alcun modulo IF (accessori), il tappo (fig. 7, pos.1) deve copire la porta di Communicatione del modulo IF per proteggerla da eventuali contatti. Controllare che la posizione sia corretta.
- Mettere in servizio solo le pompé con coperchi del modulo correttamente avvi-tati. Prestare attenzione che la guarnizione dei coperchi sia ben in sede.

AVVERTENZA! Pericolo di danni a persone e a cose!
Se la copertura delle aperture di immissione e scarico dell'aria (copertura nera) è danneggiata, non sono più garantiti il grado di protezione e la sicurezza elettrica. Controllare il fissaggio delle copertura.
- Disposizione dei pressacavi:
La tabella seguente indica con quali combinazioni di circuiti elettrici sono essere disposti i singoli pressacavi in un cavo. A tale scopo atteneri alla norma DIN EN 60204-1 (VDE 0113, foglio 1):
- Par. 14.1.3 in merito: I conduttori di vari circuiti elettrici sono appartenere allo stesso cavo pluriconducttore, se l'isolamento della tensione massima nel cavo è sufficiente.
- Par. 4.4.2 in merito: In caso di eventuale riduzione delle funzioni per EMC si devono分开are i conduttori di segnale a livello ridotto dai conduttori ad alta tensione.
Attacco filettato: PG 13,5 PG 9 PG 7
Tabella 7.2
| Diametro cavo: 8...10 mm 6...8 mm 5...7 mm | |||
| 1. Funzione | Linea di rete SSM | Management DP | |
| Tipo cavo | 5x1,5 mm2 | Cavo a 2 conduttoril (I ≤ 2,5 m) | |
| 2. Funzione | Linea di rete 3x1,5 mm2 | SSM | Management DP |
| Kabeltyp | 3x2,5 mm2 | Cavo a 2 conduttori | Cavo a 2 conduttoril (I ≤ 2,5 m) |
| 3. Funzione | Linea di rete | SSM/0...10V/Ext.Off | DP-Management |
| SMM/0...10V/Ext.Min | |||
| SMM/SBM/0...10V | |||
| SMM/SBM/Ext.Off | |||
| Tipo cavo | 3x1,5 mm2 | Cavo di lavoro a più conduttori, numero di conduttori in funzione del numero dei circuiti di lavoro, elev. schermato | Cavo a 2 conduttori (I ≤ 2,5 m) |
| 3x2,5 mm2 | |||
| 4. Funzione | Linea di rete 3x1,5 mm2 | Porta serialle digitale | Management DP |
| Tipo cavo | 3x2,5 mm2 | Cavo bus | Cavo a 2 conduttori (I ≤ 2,5 m) |
| 5. Funzione | Linea di rete 3x1,5 mm2 | Porta serialle digitale | Porta serialle digitale |
| Tipo cavo | 3x2,5 mm2 | Cavo bus | Cavo bus |

PERICOLO! Pericolo di morte a causa di folgorazione elettrica!
Se la linea di rete e quella SSM vengono condotte insieme in un cavo a 5 conduc-tori (tab. 7.2, versione 1), la linea SSM non può funzionare con Bassa tensione di protezione, perché potrebbero verificarsi delle trasmissioni di tensione.
- Mettere a terra la pompa/l'impianto come prescritto.
L, N. tensione di rete: 1~230 V AC, 50/60 Hz, DIN IEC 60038, in alternatively e possibile l'alimentazione di rete tra 2 fasi di una rete a corrente trifase messa a tessa nel centro stella con una tensione a triangolo di 3~230 VAc, 50/60 Hz. -
SSM: Una segnalazione cumulativa di blocco integrata è disponibile sui morsetti SSM come contatto chiuso esente da potenziale. Carico del contatto:
-
minimo ammesso: 12 V DC, 10 mA
-
massimo ammesso: 250 V AC, 1 A
-
Freqenza di avviamenti:
Attivazione/disattivazione mediante tensione di rete ≤ 20 / 24h
- Attivazione/disattivazione mediante Ext. Off, 0–10 V o tramite porta seriale digitale ≤20/h
8 Messa in servizio
Attenersi assolutamenteagli avvisidi pericolo e ai segnali di allarme dei capitoli 7,8.5e9!
Prima di mettere in funzione la pompa, controllare se è stata montata e collegata a regola d'arte.
8.1 Riempimento e sfiato

NOTA: Uno sfiato completo produce rumori nella pompa e nell'impianto.
Riempire e sfiatare correttamente l'impiano. Uno sfiato del vano rotore pompa avviene automaticamente più après un breve tempo di funzionamento. Un breve funzionamento a secco non danneggia la pompa.

AVVERTENZA! Pericolo di danni a persona e a cose!
Non è consentito allentare la testa del motore o il raccordo a flangia/iraccordi filettati per tubi a fini di sfiato!
Pericolo di forti scottature!
La fuoriuscita di fluido può provocare lesioni e danni materiali.
- Pericolo di uszioni al contatto con la pompa!
A seconda dello stato di funzionamento della pompa o dell'impianto (temperatura del fluido) la pompa può diventare molto calda.
8.2 Impostazione del menu

AVVERTENZA! Pericolo di ustanioni!
A seconda dello stato di esercizio dell'impiano, la pompa può diventarere molto calda. Pericolo di uszione al contacto con superfici metalliche (ad es. alette di raffreddamento, corpo del motore, corpo pompa).
L'impostazione del modulo di regolazione si può esserequire a funzionamento in atto, utilizzando il pulsante di regolazione. Non toccare le superfici calde.
8.2.1 Uso del pulsante di regolazione (fig. 1a, pos.1.3)
- Dall'impostazione di base si selezionano i singoli menu in unasequenza fissa, uno除外. premando il pulsante (con il primo menu: premere per altri 1 s. Il simbolo corrispondente selezionato si accende. Ruotando a sinistra o a destra il pulsante, si possono modificare i parametri sul display incrementandoli o diminuendoli. Il nuovo simbolo impostato si accende. Premendo il pulsante si adotta la nuova impostazione. Contemporamente si commuta nell'eventuale impostazione successiva.
- Il valore di consegna (differenza di pressione o numero di giri) viene modificato nell'impostazione di base ruotando il pulsante. Il nuovo valore si accende. Premendo il pulsante si adotta il nuovo valore di consegna.
- Se la nuova impostazione noniene confermata, dopo 30 s si ripristina il valore precedente e il display ritorna all'impostazione di base.
8.2.2 Commutazione della schermata del display
- Per la disposizione specifica del modulo di regolazione, in posizione di montaggio orizzontale o verticale, si può impostare la posizione della schermata del display ruotata di 90^ . A tal fine si può effettuire l'impostazione della posizione alla voce 3 del menu. La posizione del display, prestabilita dall'impostazione di base, implica l'accensione di "ON" (per posizione di montaggio orizzontale). Se si ruota il pulsante di regolazione, si può variarare la posizione della schermata del display. "ON" si accende per la posizione di montaggio verticale. Premendo il pulsante di regolazione si conferma l'impostazione.
Orizzontale Verticale Impostazione


Impostazione della posizione alla voce 3 del menu



8.2.3 Impostazioni nel menu
Se si usa il display della pompa singola appaiono uno dopo l'alto i seguenti menu:
- Funzionamento a pompa singola: Impostazione della prima messa in servizio
/sequenza menu a funzionamento inatto
(rappresentazione orizzontale della schermata del display)
Display LCD Impostazione

①
All'accensione del modulo, sul display appaionotuttoi symboli per 2 s.
Poi si inserisce l'impostazione attuale ②

②
Impostazione (di base) attuale (impostazione di fabbrica):
H 5,0 m -ad es. prevalenza nominale Hs = 5,0m al tempo stesso 12 Hmax (impostazione di fabbrica in funzione del tipo di pompa)
Modo di regolazione p - v
- La pompa gira in funzionamento di regolazione, funzionamento a regime ridotto bloccato (vedi anche voce del menu)
manca = pompa singola
Ruotando il pulsante si regola il valore di consegna della differenza di pressione. Si accende il nuovo valore di consegna della differenza di pressione.
Premere brevamente il pulsante per accettare la nuova impostazione. Se non si preme il pulsante, il valore di consegnata della differenza di pressione, impostato finora e accesso, ritorna al valore precedente dopo 30 s.
Premere il pulsante di lavoro >1 s. Appare la voce di menu successiva 3
Se nei menu successivi non si accetta alcuna impostazione per 30 s, sul display appeare di nuovo l'impostazione di base ②
Display LCD Impostazione

③
Impostazione della posizione della schermata del display
verticale/orizzontale
La posizione impostata della schermata del display è visualizzata da un "ON" lampeggiante.

Ruotando il pulsante si selezione l'altra posizione.

L'impostazione viene accettata.

(4)
Il modo di regolazione impostato in quel momento si accende.

Ruotando il pulsante si possono selezionare altri modi di regolazione.
Il nuovo modo di regolazione selezionato si accende.

L'impostazione viene accettata e inserita nel menu successivo.

Display LCD Impostazione

(5)
La voce di menu compare solo, se è stato inserto un modulo IF Sirius con ingressso 0-10 V.
Sul display appeare il symbolo "10V"
Attivare/disattivare l'ingresso 0-10V
Attivare l'ingresso 0-10V:
Sul display compare "ON" e il "simpilo del modulo-motore".
Non è possibile un'impostazione manuale del valore di consegnata dal pulsante. L'indicazione "10V" è visible nell'impostazione di base ②


Ruotando il pulsante si può modificare l'impostazione.
Disattivare l'ingresso 0-10 V:
Sul display compare "OFF".

L'impostazione viene accettata.
Se l'ingresso è stato attivato, la guida del menu passa alla voce 7a

Se non c'è tensione d'ingresso sul contatto 0-10 V, sul display compare "Off" e il "simpolo del motore" non viene visualizzato.
| Display LCD Impostazione | ||
| 6 | ON OFF auto | Inserire/disinserire la pompa Inserire la pompa: Sul display compare "ON" e il"simbolo del modulo-motore" Ruotando il pulsante si può modificare l'impostazione. |
| Disinserire la pompa: Sul display compare "OFF". | ||
| L'impostazione viene accettata. | ||
| Con la pompa disinserita scompare il"simbolo del motore". | ||
| 7 | Abilitare/bloccare il funzionamento a regime ridotto è accesso funzionamento di regolazione normale, funzionamento a regime ridotto bloccato oppure, funzionamento a regime ridotto abilitato: compare sul display durante il funzio-namento di regolazione automatico oppure, durante il funzionamento a regime ridotto | |
| Ruotando il pulsante si selezione una delle due impostazioni. | ||
| L'impostazione viene accettata. Il display passa al menu successivo. | ||
| La voce di menu ène salute, se: •si ha il funzionamento della pompa con moduli IF Siriux, •è stato selezionato il funzionamento come ser- vomotore, •è stato attivato l'ingresso 0...10V. | ||
| 7a | Con funzionamento a pompa singola il display ritorna nell'impostazione di base 2. In caso di erre compare prima dell'impostazione di base 2 il menu errori 10. Con funzionamento a pompa doppià il display passa al menu 8. | |
- Funzionamento a pompa dopbia: Impostazione alla prima messa in servizio
Display LCD Impostazione

①
All'accensione del modulo, sul display appaionotutti i symboli per 2 s.
Poi compare il menu 1a

1a
Sul display delle due pompesi accende il symbolo MA = master.
Se non si accetta alcuna impostazione, le due pompe funzionano con differenza di pressione costante
$$ \left(\mathrm {H s} = \frac {1}{2} \text {H m a x} \text {c o n} Q = 0 \mathrm {m} ^ {3} / \mathrm {h}\right). $$
Premendo sul pulsante della pompa sinistra si selezionequesta pompa come master e sul display compare l'impostazione del modo di funzionamento menu 9.Sul display della pompa destra compare automaticamente SL = slave.

Così è selezionata la definizione: pompa sinistra master, pompa destra slave. La manopola della pompa slave non svolge più alla funzione. Qui non è possibile effettuare alla impostazione.
Sulla pompa slave non si può effettuire un'impostazione della posizione del display. L'impostazione della posizione della pompa slave viene assuntà alla prescrizione della pompa master.
Funzionamento a pompa doppia: Sequenza del menu a funzionamento in corso
All'accensione del modulo, sul display appaiano tutti i symboli per 2 s.1Poi si inserisce l'impostazione attuale ② . Con il commando "sfoglia" del display MA compare la stessa sequenza di menu 2 che compareda nella pompa singola. Poi il menu MA rimane come schermata fissa.
Display LCD Impostazione

8
Con su MA compare SL su quello display.
Se con si conferma SL, l'altra pompa (destra) diventa master.
In quello modo si è effettuato uno scambio tra master e slave. Adesso si cui programmare solo alla pompa (MA) destra.
Sulla SL non si possono effettuare impostazioni. Il passaggio da master a slave si può effettuare solo sulla pompa master.

9
Impostazione funzionamento con carico di punta o funzionamento principale/di riserva
Viene visualizzata l'impostazione attuale:

funzionamento con carico dipunta, oppure

funzionamento principale/di riserva

Ruotando il pulsante si accende l'altra impostazione.

L'impostazione viene accettata.
Il display ritorna all'impostazione di base 2
- Menu con moduli IF con funzione bus:
Display LCD Impostazione

Segnalazione al sistema di controllo dell'edificio (GLT)
L' "Id" (Numero d'identificazione) compare a moduli IF inserti con porta serialle digitale per emettere una segnalazione alla centralina di controllo dell'edificio. (Per servizio assistenza o per la messa in servizio delsystemadi automazione degli edifici (GA)).

Ruotando il pulsante si accende la visua- lizzazione dell'ld

La segnalazione dell'ld viene archiviata nel GLT.
Il display passa al menu successivo.
Se non si deve emettere alcuna segnalazione, si può ruotare il pulsante, finché scompare la visualizzazione dell'Id.
Preimento il pulsante, il display passa al menu successivo

Impostazione dell'indirizzo bus
"OFF": la comunazione bus è disattivata

compare sul display e indica la comunicazione tramite porta dati seriale.

Ruotando il pulsante si selezione un indirizzo BUS (ad es.64).
Il Campo degli indirizzi dipende dal
sistema bus utilizzato (vedi le istruzioni di montaggio, uso e manutenzione di riferimento)

L'impostazione viene accettata.
Il display passa al menu successivo.

Display LCD Impostazione

Descrizione dei moduli IF
Questa impostazione serve per configurare i moduli IF (ad es. velocità di trasmissione dati, formato bit).
A, C, E e F sono parametri liberi.
La comparna del menu e dei singoli parametri dipende dal modulo IF specifico.
Vedi Istruzioni di montaggio, uso e manutenzione dei moduli IF.

Ruotando il pulsante si posso regolare i valori.

L'impostazione viene accettata.
Il display ritorna all'impostazione di base 2
- Menu opzioni: Impostazione del modo di funzionamento riscaldamento (HV)/ refrigerazione condizionamento (AC) e commutazione da unità SI a unità US
Display LCD Impostazione

②
Impostazione del modo di funzionamento riscaldamento (HV) / refrigerazione condizionamento (AC)

Nell'impostazione di base (livello di menu 1) premere il pulsante >6 s.

③
Dopo ca. 1 s compare il livello di menu 2 per 6 s (voce di menu, impostazione della posizione della schermata del display).
Display LCD Impostazione

Dopo altri 5 s il display passa al livello di menu 3. Ilsystema visualizza l'indicazione "HV" (impostazione di fabbrica).

Ruotando il pulsante è possibile modificare l'impostazione sul modo di funzionamento refrigerazione/ condizionamento (AC). "AC" si accende.
L'impostazione viene accettata.

Il display passa al menu successivo.

Commutazione da unità SI a unità US
Compare l'indicazione "m ft", si accende l'unità attualmente impostata. (Impostazione di fabbrica [m]).

Ruotando il pulsante è possibile modificare l'impostazione su [ft]. La nuova impostazione lampeggia.

L'impostazione viene accettata.
Il display ritorna all'impostazione di base 2
Se nel menu non si accetta alcuna impostazione per 30 s, sul display appeare di nuovo l'impostazione di base ②
- Visualizzazione guasti: pompa singola e pompa doppia
Display LCD Impostazione
10

In caso di guasto, l'anomalia in corso viene visualizzata con E = Error, il n. codice e il lampeggiamento della sorgente del guasto, quando motore, modulo di regolazione o alimentazione di rete.
Per i n. codice e il loro significato vedi capitolo 10
8.3 Selezione del modo di regolazione
| Tipodi di impianto Condivizioni di sistema Modo di | regolazione consigliato | |
| Impianti di riscaldamento/ventilazione/condizione con resistenza nella parte della distribuzione(calorifero + valvola termosta) ≤ 25% della resistenza complessiva | 1. Sistemiet a due tubi con valvole termosta-tiche/a zona e piccola autorità di utenza ·HN>4m ·Cavo di distribuzione molto lungo ·Valvola sulla colonna portante a stroz-zamento marcato ·Regolatore pressione differenziale della colonna montante ·Elevate perdite di pressione nelle parti dell'impianto attraversate alla por-tata volumetrica complessiva (caldaia/dispositivo di raffreddamento, elevi-scambiatore di calore, cavo di distribu-zione fino alla prima diramazione) | Δp-v |
| 2. Circuiti primati con elevate perdite di pressione | ||
| Impianti di circolazione acqua sanitaria con resi-stenza nel circuito generatore ≥ 50% della resistenza nel trattato in salita | 3. Impianto di circolazione acqua sanitaria con valvole sulla colonna montante a regolazione termostatica | |
| Impianti di riscaldamento/ventilazione/condizione con resistenza nel circuito generatore/circuito di distribuzione ≤ 25% della resistenza nella parte della distribuzione (calorifero + valvola termostatica) | 1. Sistemiet a due tubi con valvole termosta-tiche/a zona e grande autorità di utenza ·HN≤2m ·Impianti a gravità modificati ·Riequipaggiamento su un'ampio salute o termico (ad es. teleriscaldamento) ·Elevate perdite di pressione nelle parti dell'impianto attraversate alla por-tata volumetrica complessiva (caldaia/dispositivo di raffreddamento, elevi-scambiatore di calore, cavo di distribu-zione fino alla prima diramazione) | Δp-c |
| 2. Circuito primario con perdite di pressione ridotte | ||
| 3. Pannelli radianti con valvole termosta-tiche o a zona | ||
| 4. Impianti monotubo con valvole termosta-tiche o sulla colonna montante | ||
| Impiani di circolazione acqua sanitaria con resistenza nel circuito generatore ≤ 50% della resistenza nel tratto in salute | 5. Impiani di circolazione acqua sanitaria con valvole sulla colonna montante a regolazione termostatica | Δp-c |
| Impiani di riscaldamento 1. Impiani a due tubi · La pompa è montata nella mandata. · La temperature di mandata è regolata in base alla condizioni atmosferiche Se la temperature di mandata è in aumento, si alza la portata. 2. Impiani monotubo · La pompa è montata nel ritorno. · La temperature di mandata è costante. Se la temperature del ritorno è in aumento, si riduce la portata. 3. Circuiti primari con caldaia di riscaldamento a condensazione · La pompa è montata nel ritorno. Se la temperature del ritorno è in aumento, si riduce la portata. 4. Impiani di circolazione acqua sanitaria con valvole sulla colonna montante a regolazione termostatica o portata costante. Se la temperature nella tuba-zione di ricircolo è in aumento, si riduce la portata. | Δp-T | |
| Impiani di circolazione acqua sanitaria | ||
| Impiani di riscaldamento-ventilazione/condizione impiani di circolazione acqua sanitaria | 1. Portata costante | Funzioni come servomotore |
| Impiani di riscaldamento 1. Tutti gli impiani · La pompa è montata nella mandata. · La temperature di mandata viene abbassata nei periodi di basso carico (ad es. dinotatione). · La pompa funzione penzaCommando esterno 24h in rete. | Funzioni a re-gime ridotto | |
8.4 Impostazione della potenza della pompa
Nella pianificazione l'impiano viene posato su un determinato punto di lavoro (punto di carico idraulico massimo con fabbisogno di potenza termina calcolo al massimo). Alla messa in servizio la potenza della pompa (prevalenza)iene impostata in base al punto di lavoro dell'impiano. L'impostazione di fabbrica non corrisponde alla potenza della pompa richiesta per l'impiano. Essa viene ricavata con l'ausilio del diagramma a curveATTERISTiche del tipo di pompa selezionato (dal catalogo/foglio dati). Vedi ancche fig. 8 - 10.
Modi di regolazione p - c , p - v e p - T :
| Δp-c (fig. 9) | Δp-v (fig. 8) | Δp-T (fig. 10) | |
| Punto di lavoro sulla curva caratteristica max. | Tracciare una linea dal punto di lavoro verso sinistra. Leggere il valore di consegnha S e impostare la pompa su quello valore. | Le impostazioni vanno eseguite dal Servizio Assistenza Clienti mediante la porta serialle digitale o l'appa- recchio di lavoro e servizio IR (accessori), tenendoiconto dei rap-porti dell'impiano. | |
| Punto di lavoro nel Campo di regolazione | Tracciare una linea dal punto di lavoro verso sinistra. Leggere il valore di consegnha Hs e impon-stare la pompa su quello valore. | Spostarsi sulla curva caratteristica di regolazione fino alla curva caratteristica max., poi orizzontal-mente versuso sinistra, leggere il valore di consegnha Hs e impon-stare la pompa su quello valore. | |
| Campo di impostazione | Hmin, Hmax vedi5.1 Chiave dilettura | Tmin: 20 ... 100 °CTmax: 30 ... 110 °CTΔT = Tmax - Tmin ≥ 10 °CPendenza: ΔHs/ΔT ≤ 1 m/10 °CHmin, HmaxImpostazione dire-zione di controllo positiva: Hmax > Hminimpostazione dire-zione di controllo negativa: Hmin > Hmax | |
8.4.1 Limitazione della portata
Nel caso di una sovralimentazione causata alla regolazione della pressione differenziale ( p - c, p - v) , la portata massima può essere limitata ad un limite del 25% - 90% di Qmax mediante un appearecchio di lavoro e servizio IR (accessorio). (Versione software pompe SW ≥ 6.0 ). Al raggiungimento del valore impostato, la pompa esegue la regolazione in base alla curva caratteristica della limitazione, nella superarla.

NOTA: "Q-Limit" più essere impostato solo mediante un apparecchio di lavoro e servizio IR (accessorio). In caso di applicazione di "Q-Limit" in sistemi nono compensazione idraulica, alcune parti dell'impianto sono venire sottoalimentate. Eseguire la compensazione idraulica.
8.5 Funzionamento
Guastiagliapparecchi elettronici dovuti a campi elettromagnetic
I campi elettromagneti si creano quando si utilizzato le pompé con convertitore di frequenza. Ciò cui disturbare le apparecchiature elettroniche. La consegenza cui è essere un funzionamento difettoso dell'apparecchio che cui causere danni alla salute delle persone e addirittura la morte, ad es. nei portatori di apparecchi medici attivi o passivi impiantati. Per quello durante il funzionamento alle persone, ad es. con pace-marker, è vietato sostare in prossimità dell'impianto/della pompa. In caso di supporti dati magneti o elettronici si possono verificare perdite di dati.
8.6 Messa a riposo
La pompa deve essere messa fuori servizio durante gli interventi di manutenzione/riparazione o in caso di smontaggio.

PERICOLO! Pericolo di morte!
Durante i lavori su apparecchi elettrici sussiste pericolo di morte in seguito a folgorazione.
-
Affidare i lavori nella parte elettrica della pompa solo ad un elettroinstallatore qualificato.
-
Durante tutti i lavori di manutenzione e riparazione, disinserire la tensione di rete della pompa e assicurarla contro il reinserimento non autorizzato.
-
É consentito eseguire lavori sul modulo solo après che sono trascorsi 5 minuti, poiché la tensione di contatto è ancora presente ed è pericolosa per le personne.
-
Controllare se tutti i collegamenti (anche quelli liberi da potenziale) sono privi di tensione.
-
La pompa può essereattraversata da correnteanche in stato di accensione libera da potenziale. In tal caso il rotore trainante induce una tension, pericolosa in caso di contatto, che è presente sui contatti del motore.
Chiudere le valvole d'intercettazione a monte e a vale della pompa.
- Se il modulo di regolazione sono danneggiati, non mettere in funzione la pompa.
AVVERTENZA! Pericolo di uszioni!
Pericolo di usioni al contatto con la pompa!
A seconda dello stato di funzionamento della pompa o dell'impianto (temperatura del fluido) la pompa può diventare molto calda.
Lasciare raffreddare impianto e pompa alla temperatura ambiente.

9 Manutenzione
Prima di anni intervento di manutenzione/pulizia o riparazione consultare i capitoli 8.5 "Funzionamento" e 8.6 "Messa a riposo".
Attenersi alle prescrizioni di sicurezza nel capitolo 2.6 e nel capitolo 7.
Terminati i lavori di manutenzione e riparazione, installare o allacciare la pompa come indicate nel capitolo 7 "Installazione e collegamenti elettrici". Eseguire l'inserimento della pompa come descripto nel capitolo 8 "Messa in servizio".
9.1 Smontaggio / Installazione

AVVERTENZA! Pericolo di danni a persona e a cose!
Un intervento di smontaggio/installazione improprio cui provocare lesioni e danni materiali.
- Pericolo di usioni al contatto con la pompa!A seconda dello stato di funzionamento della pompa o dell'impianto (temperatura del fluido) la pompa cui diventare molto calda.
- A temperature del fluido e pressioni di sistema elevate, sussiste il pericolo di forti scottature per via della fuoriuscita di fluido bollente.
Prima di procedere allo smontaggio chiudere le valvole d'intercettazione presenti su entrambi i lati della pompa, lasciare raffreddare la pompa alla temperature ambiente e svuotare la diramazione bloccata dell'impiano. Se mancano le valvole d'intercettazione scaricare l'impiano.
- Attenersi alleindicazioni del costruttore e alle schede tecniche di sicurezza relative a eventuali materiali additivi presenti nell'impiano.
- Pericolo di lesioni per caduta del motore/della pompa dopo aver allentato le viti di fissaggio.
Osservare le(norme per la prevenzione degli infortuni nazionali in vigore nonché eventuali norme interne dell'utente, in merito al lavoro, al funzionamento e alla sicurezza. Indossare, eventually, l'equipaggiamento di protezione!

AVVERTENZA! Pericolo per campo magnetico elevato!
All'interno della macchina si create sempre un Campo magnetico elevato che può causare lesioni o danni in caso di smontaggio impropriazio.
- In linea di principio la rimozione del rotore dal corso del motore cui èssere effettuata solo da personale specializzato autorizzato!
- Sussiste pericolo di schiacciamento Quando si estrae il rotore dal motore, c'è il rischio che il forte Campo magnetico lo ritiri indietro violentamente nella sua posizione di partenza.
- L'estrazione dal motore del gruppo costituito da girante, scudo e rotore è molto pericolosa, soprattutto per persona che usano aesili medici, quali pace-marker, pompé d'insulina, appearecchi acustici, impianti o simili. Ne possono conseguire morte, gravi lesioni corporali o danni materiali. Per queste Personen è comunque necessaria una dichiarazione della medicina del lavoro.
- Il forte Campo magnetico del rotore più influenzare il funzionamento degli appearecchi elettronici o danneggiarli.
- Se il rotore si trovava al di fuori del motore, gli oggetti magnetici sono essere attirati violentamente. Ciò può causare lesioni e danni materiali.
A installmenta avvenuta, il Campo magnetico del rotore viene condotto nel circuito metallico del motore. In tal modo, esternamente alla macchina, non si percepisce alcun campo magnetico pericoloso per la salute.

PERICOLO! Pericolo di morte a causa di folgorazione elettrica!
Ancheswana modulo (senza collegamento elettrico) ci cui possere tensione sui contatti del motore ed è pericolosa in caso di contatto.
Prestare attenzione al segnale di allarme sulla parte frontale del motore: "Attenzione, si genera tensione".
Se si intende portare il modulo di regolazione in un'altra posizione, non è necessario estrarre completamente il motore dal corpo pompa. Il motore può essere ruotato nella posizione desiderata pur restando inserito nel corpo pompa (osservare le posizioni di montaggio consentite come da fig. 2a e fig. 2b).

NOTA: In linea di massima, ruotare la testa del motore prima di riempire l'impianto.

ATTENZIONE! Pericolo di danni materiali!
Se durante gli interventi di manutenzione o riparazione si Separate la testa del motore dal corso pompa, occorre sostuire l'O-ring tra la testa del motore e il corso pompa con uno nuovo. Nell'eseguire il montaggio della testa del motore, osservare che l'O-ring sia correttamente in sede.
- Per staccare il motore svitare le 4 viti a esagono cavo (fig. 5, pos. 2).

ATTENZIONE! Pericolo di danni materiali!
Non danneggiare l'O-ring che si trova tra la testa del motore e il corpo pompa. L'O-ring deve trovarsi non capovolto nel lembo smussato dello scudo rivolto verso la girante.
- Al terme del montaggio, serrare nuovamente a croce le 4 viti a esagono cavo.
- Se non è possibile accedere alle viti sulla flangia del motore, il modulo di regolazione può essere rimioso allentando 2 viti del motore, vedi capitolo 9.2-
- Messa in servizio della pompa, vedi capitolo 8.
9.2 Smontaggio / Installazione del modulo di regolazione

AVVERTENZA! Pericolo di danni a persona e a cose!
Un intervento di smontaggio/installazione improprio cui provocare lesioni e danni materiali.
Prestare attenzione agli avventimenti di pericolo del capitolo 9.1!

PERICOLO! Pericolo di morte a causa di folgorazione elettrica!
Anche除去 modulo (senza collegamento elettrico) ci cui si sono iniziata.
Non inseire alcun oggetto (ad es. aghi, cacciaviti, filo metallico) nei contatti del motore.
Il modulo di regolazione viene molto allentando 2 viti del motore (fig. 4):
- allentare le viti del coperchio della morsettiera (pos. 1)
- togliere il coperchio della morsettiera (pos. 2)
- allentare le viti a esagono cavo M5 (SW4) nel modulo di regolazione (pos. 3)
- togliere il modulo di regolazione dal motore (pos. 4)
- eseguire il montaggio in sequenza inversa, alla dimenticare la guarnizione piatta (pos. 5) tra il corso del motore e il modulo di regolazione.
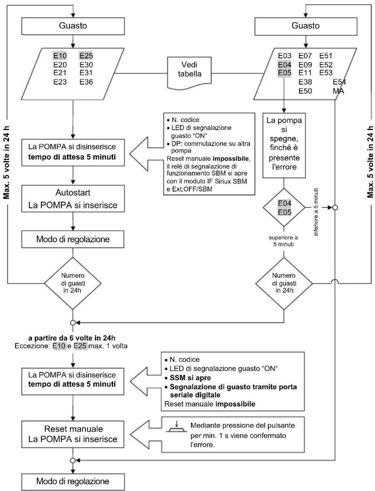
10 Guasti, cause e rimedi
Per guasti,cause e rimedi vedi la rappresentazione
"Segnalazione di guasto/avvertimento" e le tabelle 10, 10.1, 10.2.
Tabella 10: Guasti con origine esterna
| Guasti Cause Rimedio | ||
| La pompa non fun-ziona con l'alimen-tazione di corrente inserita. | Fusibile elettrico difettioso. | Controllare i fusibili. |
| La pompa non ha tensione. | Eliminare l'interruzione dell'alimenta- zione di tensione. | |
| La pompa è rumorosa. | Cavitatione a causa di pressione di mandata insufficiente. | Aumentare la pressione di ingresso delsystema entro il Campo consentito. |
| Controllare l'impostazione della pre-valenza ed eventualmente impostare un prevalenza più bassa. | ||
10.1 Messaggi di erre - modo di funzionamento riscaldamento/ventilazione HV
- Si verifica un guasto.
- La pompa si disinserisce, interviene il LED di segnalazione guasto (luce permanente rossa). Pompa doppia: La pompa di riserva viene inserita.
- Dopo 5 minuti di attesa la pompa si riaccende automaticamente.
- L'invio del guasto tramite la porta serialle digitale dipende dal tipo di modulo IF. Per dettagli vedi Documentazione (Istruzioni di montaggio, uso e manutenzione dei moduli IF).
- Solo se lo stesso guasto si ripresa 6 volte nell'arco di 24h , la pompa si disattiva definitivement, SSM si après. A quello punto il guasto va ripristinato manualmente.

ECCEZIONE: In caso di errori con il n. codice "E10" e "E25", la pompa si disattiva immediatamente al verificarsi dell'errore.
10.2 Messaggi di erre - modo di funzionamento condizionamento AC
- Si verifica un guasto.
- La pompa si disinserisce, interviene il LED di segnalazione guasto (luce permanente rossa). Sul display compare la segnalazione di erre, SSM si après.
A Anything pinto il guasto va ripristinato manualmente.
Pompa doppia: La pompa di riserva viene insertita.
- L'invio del guastotramite la porta seriale digitale dipende dal tipo di modulo IF. Per dettagli vedi Documentazione (Istruzioni di montaggio e uso dei moduli IF).

NOTA: I cod. nr. "E04" (sottotensione di rete) ed "E05" (sovratensione di rete) vengono classificati come erre esclusivamente nel funzionamento AC e comportano l'immediata disattivazione.
Tabella 10.1: Segnalazioni di blocco
| N. codice | Il symbolo lampeggia | Guasto Causa Rimedio | ||
| E04 | Morsetto di rete | Tensione di rete insufficienti ciente | Tensione di alimentazione lato alimentazione troppo Bassa | Controllare la tensione di rete |
| E05 | Morsetto di rete | Tensione di rete eccessiva | Tensione di alimentazione lato alimentazione troppo alta | Controllare la tensione di rete |
| E10 | Motor Pompa bloccata | ad es. per depositi La routine di sbloccaggio viene eseguita automatica-mente. Se il bloccaggio non è stato eliminato dopo max. 40 s, la pompa si spegne. Richiedere l'intervento del Servizio Assistenza Clienti | ||
| E20 | Motore Sovratempe-ratura avvol-gimento | Motore sovraccaricato Far raffreddare il motore, controllare le impostazioni | ||
| Temperatura dell'acqua troppo alta | Ridurre la temperatura dell'acqua | |||
| E21 | Motore Sovraccarico motore | Depositi nella pompa Richiedere l'intervento del Servizio Assistenza Clienti | ||
| E23 | Motore Corto circuito /cortocircuito verso terra | Motore/modulo difettoso Richiedere l'intervento del Servizio Assistenza Clienti | ||
| E25 | Motore Errore con-tatto | Modulo non collegato correttamente | Inserire di nuovo il modulo | |
| E30 | Modulo Sovratempe-ratura modulo | L'afflusso di aria al corpo di raffreddamento del modulo è limitato | Migliorare l'asperazione dell'ambiente, controllare le condizioni di impiego, even-tualmente contattare il Servizio Assistenza Clienti | |
| E31 | Modulo Sovratempe-ratura modulo di potenza | Temperatura ambiente troppo elevata | Migliorare l'asperazione dell'ambiente, controllare le condizioni di impiego, even-tualmente contattare il Servizio Assistenza Clienti | |
| E36 | Modulo Modulo difet-toso | Componenti elettronici difettosi | Rivolversi al Servizio Assi-stenza Clienti/cambiare il modulo | |
10.3 Aventimento
- Il quasto (solo avvertimento) viene visualizzato.
- Il LED di segnalazione di guasto e il relè SSM non si attivano.
- La pompa continua a funzionare, il quasto può verificarsi un numero di volte indeterminato.
- Lo stato di esercizio con quasto segnalato non dovrebbe apparire per un periodo di tempo prolongato. La causa deve essere eliminata.

ECCEZIONE: Se gli avvisi "E04" e "E05" in modo di funzionamento HV permangono nelle 5 minuti, vengono inoltrati come segnalazioni di guasto (vedi cap. 10.1).
- L'invio del guastotramite la porta seriale digitale dipende dal tipo di modulo IF. Per dettagli vedi Documentazione (Istruzioni di montaggio, uso e manutenzione dei moduli IF).
| N. codice | Il symbolo lampeggia | Guasto Causa Rimedio | ||
| E03 Temperatura | dell'acqua >110 °C | Regolazione del riscalda-mente impostata in modo errato | Impostare una temperatura inferiore | |
| E04 Tensione di | rete insufficiente | Rete sovraccarica Controllare l'infallazione elettrica | ||
| E05 Tensione di | rete ecces-siva | Mancata immissione dell'azienda elettrica | Controllare l'infallazione elettrica | |
| E07 1.Funziona- | mento generatore | Azionata alla pompa a pressione d'ingresso (portata della pompa dal lato di aspirazione al lato di mandata) | Equilibrare la regolazione delle prestazioni delle pompè | |
| 2.Funzioni-mente turbina | La pompa viene azionata all'indietro (portata della pompa dal lato di man-data al lato di aspirazione) | Controllare portata, elev. montare valvole di ritegno | ||
| E09*) | Funzioni-mente turbina | La pompa viene azionata all'indietro (portata della pompa dal lato di man-data al lato di aspirazione) | Controllare portata, elev. montare valvole di ritegno | |
| E11 Funziona- | mento a vuoto pompa | Aria nella pompa Sfiatore pompa e impianto | ||
| E38 Motore Sensore tem- | peratura flu-ido guasto | Motore guasto Richiedere l'intervento del Servizio Assistenza Clienti | ||
Tabella 10.2: Aventimento
| N. codice | Il simbolo lampeggia | Guasto Causa Rimedio | ||
| E50 Guasto | comunica- zione bus | Porta di comunicazione, conduttore guasto, moduli IF non corretta-mente inserti, cavo difettoso | Dopo 5 min si ha la commu-tazione del commando su regolazione in local modetramite porta di comunica- zione | |
| E51 Combina- | Pompe differenti Pompe singole: utilizzato lo stesso tipo di pompa.Pompa doppia: rivolgersi al Servizio Assistenza Clienti o leggere il tipo di pompa su MA e SL con l'ausilio di un appearechio IR. In caso di moduli di tipo diverso, richiedere un modulo sostituito | |||
| zione master/slave non consentita | ||||
| E52 Guasto | comunica- zione Master/ Slave | Moduli IF non corretta-mente inserti, cavo difettoso | Dopo 5 s i moduli commu-tano nel funzionamento a pompa singola. Inserire nuovamente i moduli, con-trollare il cavo | |
| E53 Indirizzo bus | non consen-tito | Indirizzo bus assegnato due volte | Eseguire nuovamente l'indirizzamento del modulo | |
| E54 Collega- | mento I/O - modulo | Collegamento I/O - modulo interrotto | Controllare il collegamento | |
| MA Master/Slave | non impo-state | Definire master e slave | ||
*) solo per pompe con P1≥800W
Se l'irregolarità di funzionamento non può essere eliminata, rivolgersi a una ditta specializzata o al Servizio Assistenza Clienti o rappresentanza Salmson più vicini.
Diagramma di flusso messaggi di guasto/avviso nel funzionamento HV

Segnalazioni di blocco: Aventimenti:
Diagramma di flusso messaggi di guasto/avviso nel funzionamento AC
Segnalazioni di blocco: Aventimenti:

11 Parti di ricambio
L'ordinazione di parti di ricambio avviene tramite tecnici impiantisti del luogoe/o il Servizio Assistenza Clienti Salmson.
Per evitare richieste di chiarimenti e ordinazioni errate, all'atto dell'ordinazione è necessario sempreindicare tutti i dati della targhetto.
12 Smaltimento
Con uno smaltimento e riciclaggio corretti di quello prodotto si evitano danni ambientali e rischi per la salute delle persone.
Nello smontaggio e quello smaltimento del motore atteneri assolutamenteagli avventimenti riportati nel capitolo 9.1!
- Smaltire il prodotto o le sue parti ricorrendo alle società pubbliche o private di smaltimento.
- Per ulteriori informazioni relative a uno smaltimento corretto, rivolgersi all'amministrazione urbana, all'ufficio di smaltimento o al rivenditore del prodotto.

NOTA:
La pompa non è un rifiuto domestico!
Per ulteriori informazioni sul riciclaggio vedi www.salmson-recycling.com
Salvo modifiche tecniche!
Contedio.. Pagina
1 Generalidades 141
2 Seguridad 141
Quito prodotto e stato fabbricato in un site
certificato ISO 14.001, rispettoso dell'ambiente.
Questo prodotto è composto da materiali in grandissima parte riciclabile.
In fine di vita farlo eliminare nel settore appropriato.
Notice-Facile