Siriux - Dispensador de cerveza Salmson - Manual de uso y guía de instrucciones gratis
Encuentra gratis el manual del aparato Siriux Salmson en formato PDF.
Preguntas frecuentes - Siriux Salmson
Descarga las instrucciones para tu Dispensador de cerveza en formato PDF gratis! Encuentra tus instrucciones Siriux - Salmson y toma tu dispositivo electrónico nuevamente en la mano. En esta página están publicados todos los documentos necesarios para el uso de su dispositivo. Siriux de la marca Salmson.
MANUAL DE USUARIO Siriux Salmson
INSTALLACION Y PUESTA EN SERVICIO
ESPANOL

Fig. 1a: Fig. 1b:


Fig. 2a: Fig. 2b:
Fig. 3:


Fig. 4:



Fig. 5:

Fig. 6: Fig. 7:


Fig. 8:

Fig. 9:

Fig. 10:
Fig. 11:

fr Notice de montage et de mise en service 2
en Installation and operating instructions 49
it Istruzioni di montaggio, uso e manutenzione 94
es Instrucciones de instalacion y funciona 139
Table des matieres Page
2.1 Identificacion de los SYMBOLOs eindicacionesutilizados en este manual 141
2.2 Cualificacion del personal 142
2.3 Riesgos en caso de inobservancia de las instrucciones de seguridad 142
2.4 Seguridad en el trabajo 142
2.5 Instrucciones de seguridad para el operador 143
2.6 Instrucciones de seguridad para la instalacion y elostenimiento 143
2.7 Modificaciones del material y realizacion de repuestos no autorizados 143
2.8 Modos de uso no permittidos 143
3 Transporte y almacenamento
4 Aplicaciones 144
5 Especificaciones del producto 144
5.1 Códigos 144
5.2 Datos先进技术 145
5.3 Suministro 147
5.4Accesorios 147
6 Descripción y funciona 147
6.1 Descripción de la bomba 147
6.2 Funcion de la bomba 148
6.2.1 Modos de funciona . 148
6.2.2 Modos de regulacion por presion diferencial 149
6.2.3 Otros发展模式 de configuracion para el ahorro energetico 149
6.2.4Funciones generales de la bomba 150
6.2.5Funcionamento con bomba doble 150
6.2.6 Significado de los symbolos en la pantalla LC 152
7 Instalacion y connexion electrica 154
7.1 Instalación 154
7.1.1 Instalación de la bomba con uniones de tubos roscados 156
7.1.2 Instalación de la bomba embarIDA 156
7.1.3 Aislamento de la bomba en instalaciones de refrigeracion y climatizacion ....157
7.2 Conexión electrica 157
8 Puesta en marcha 161
8.1 Llenado y purga 161
8.2 Ajustedelmenu 161
8.2.1 Manejo del boton de ajuste 161
8.2.2 Giro de la indicacion en pantalla 162
8.2.3 Ajustes en el menu 163
8.3 SeLECTION del modo de regulacion 172
8.4 Ajuste de la potencia de la bomba 174
8.4.1 Limitación del caudal 175
8.5 Funcionamento 175
8.6 Puesta fuera de serviceo 175
9 Mantenimiento 176
9.1 Desmontaje/montaje 176
9.2 Desmontaje/montaje del modulo de regulacion 177
10 Averías,causas y solución 178
10.1 Indicaciones de avería - modo de funciona calefacción/ventilación HV ...178
10.2 Indicaciones de avería - modo de funciona el climatación AC 179
10.3 Advertencias 180
11 Repuestos 184
12 Eliminación 185
1 Generalidades
Acerca de este documento
El idioma de las instrucciones de funcionaoriginales es el aleman. Las instrucciones en los restantes idiomas son una traducción de las instrucciones de funcionaoriginales.
Las instrucciones de instalación y funcionaforman parte del producto y, por lo tanto, deben estar disponibles cerca del mesmo en todo momento. Es condidión indispensable respetar estas instrucciones para poder hacer un correcto uso del producto de acuerdo con las normativas vigilentes.
Las instrucciones de instalación y funciona el modelo actual del producto y a las versiones de las normativas tínicas de seguridad aplicables en el momento de su publicación.
Declaración de conformidad CE:
La copia de la "Declaracion de conformidad CE" es un componente esencial de las presentes instrucciones de funcionaimiento.
Dicha declaración perdá su validez en caso de modificación技术水平a de los theyos citados en la mesma no acordada con nosotros.
2 Seg uridad
Este manual contieneindicacionesbasicas quedeferan tenerse en cuenta durante la instalacion,funcionamento ymantenimiento delsystema.Por este motivo,el instalador y el personalequalido/operadorresponsablesdeferanleerloantesde montar yponer en marcha el aparato.
No solo es preciso Respectar las instruciones generales de seguridad incluidas en esteApartado, también se deben Respectar las instruciones especialas de los apartados siguientes que van precedidas por SYMBOLos de peligro.
2.1 Identificacion de los SYMBOLos eindicacionesutilizados en este manual
Símbolos:
Simbolo general de peligro



Peligro por tension electrica
INDICACION:
Palabras identificativas:
PELIGRO!
Situación extremadamente peligrosa.
Si no se tiene en cuenta las instrucciones siguientes, se corre el peligro de sufrir lesiones graves o incluo la muerte.
JADVERTENCIA!
El usuario podrá sufir lesiones que PODRIAN incluo ser de cierta gravidad. "Advertencia" implicá que es probable que se produzcan daños personales si no se respetan lasindicaciones.
jATENCIón!
Existe el riesgo de que el producto o el sistemas sufran daños. "Atencion" implicada que el producto pueda resultar dañado si no se respetan lasindicaciones.
INDICACION:
Información realizada para el manejo del producto. Tembloa y su magnificas de posibles problemas.
Lasindicaciones situadasdirectamente enel producto,comop.ej.,
- flecha de sentido de giro/símbolo del sentido de flujo,
- identificaciones de las conexiones,
- placadecaracteristicas,
- y etiquetas de advertencia,
deberán tenerse enIELDaymantenerse legibles.
2.2 Cualificación del personal
El personal responsable del montaje, el manejo y el mantenimiento debe tener la calidad ocportuna para efectuar这些东西eworkos. El operador se encargar de garantizar los ambitos de responsabilidad, las competencias y la vigilancia del personal. Si el personal no conta con los conocimientos necessarios, deben ser formado e instruido. En caso necessario, el operador peutecargar dicha instruccion al fabricante del producto.
2.3 Riesgos en caso de inobservancia de las instrucciones de seguridad
Si no se siguen las instrucciones de seguridad, podrjan producirse lesiones personales, asi como daños en el medio ambiente y en el producto o la instalación. La inobservancia de dichas instrucciones anularárialquierdechoa reclamaciones por los daños sufridos.
Si no se siguen las instrucciones, se pueda producir, entrethers, los siguientes daños:
- lesiones personales debidas a causas electricas, mecancias o bacteriológicas,
- daños en el medio ambiente debido a fugas de sustancias peligrosas,
- daños materiales,
-fallos en functions importantes del producto o elsystema, - fallos en los procedimientos obligatorios deostenimiento y reparacion.
2.4 Seguidad en el trabajo
Deberán respetarse las instrucciones de seguridad que aparecen en estas instructucciones de functionamento, las normativas naciales vigentes para la prevencion de accidentes, asi como cualquier possible norma interna de trabajo, manejo y sécurité por parte del operador.
2.5 Instrucciones de seguridad para el operador
Este aparato no ha sido concebido para ser utilisé por personas (incluidos los niños) con capacities físicas, sensoriales o mentalares limitadas o que carezcan de la experiencia y/o el conocimiento paraarlo, a no ser que Sean supervisas por una persona responsable de su seguridad o reciben de ella las instrucciones acerca del manejo del aparato.
Se debe supervisar a los niños para garantizar que no juguen con el aparato.
- Si existen componentes fríos o calientes en el producto o la instalación que pueda resultar peligrosos, el propietario deben asegurar de que está protegidos ante a cualquier contacto accidental.
- La proteccion contra contacto accidental de los componentes moviles (p. ej., el acoplado-miento) no debe ser retirada del producto cuando este se encuentra en configuracion.
- Los escapes de fluidos peligrosos (p. ej., explosivos, tóxicos, calientes) deben evacuarse de forma que no supogan ningún dano para las personas o el medio ambiente. En este sentido,deferán observarse las dispositions naciales vigentes.
- Los materiales fácilmente inflamables debenmantenerse alejados del producto.
- Es preciseo evaporar la posibidad de que se produzcan peligros debidos a la energia electrica. Asípus,deferán respetarse lasindicacionesde las normativas locales o generales (p.ei.IEC.UNE,etc.)vde lascompanieselectricas.
2.6 Instruetiones de seguridad para la instalacion y el mantenimiento
El operador deben asegurar de que todas las tareas de instalación y mantenimiento son efectuadas por personal autorizo yrialficado, y de queDICHO personal ha consultado detenidamente el manual para obtener la suficiente informacion necesaria.
Las tareas relacionadas con el producto o el sistema deben realizarse únicamente con el producto o el Sistema desconnectados. Es imprescindible que siga estRICTamente el procedimiento descririto en las instrucciones de instalacion y funciona para realizar la parada del producto o de la instalacion.
Inmediamente después de finalizar dichasareasdeferancolocarse de nuevo oponerse en functionamento todos los dispositivos de seguridad y proteccion.
2.7 Modificaciones del material y realizacion de repuestos no autorizados
Las modificaciones del material y la utilizacion de repuestos no autorizados ponen en peligro la calidad del producto/personal, y las explicaciones sobre la calidad mentionadas pierden su vigencia.
Sólo se permite modifier el producto con la aprobación con el fabricante. El uso de repuestos originales y accesos autorizados por el fabricante garantiza la seguridad del producto. No se garantiza un funciona correcto si se utilizes piezas de otro tipo.
2.8 Modos de'utilisation no permitted
La fiabilidad del producto suministrado sólo seuede garantizar si se respetan las instrucciones de uso del apartado 4 y 5 de este manual. Asimismo,los values limite indicados en el catalogo o ficha技术水平a no poderan sobrepasarse por excesso ni por defecto.
3 Transporte y almacenimiento
Comprobar inmediamente después de recibir el producto si se han producido daños durante el transporte en este o en su embalaje. Si constata que se han producido daños durante el transporte, siga los pasos pertinentes dentro de los plazos previstos por laagency de transporte.

;ATencion! Peligro de daños personales y materiales!
Si el transporte y el almacenimiento transistorio no tiene lugar en las condi- cionesADEUADAS,pueden producirse daños personales y en el producto.
- Durante el transporte y el almacenimiento transistorio, proteja la bombay su embalaje contra la humedad, las heladas y contra posibles daños mecánicos provocados por golpes.
- Los embalajes ablandados pierden firmeza, pudiendo provocar lesiones al caerse el producto.
- La bomba debe transporte unicamente en motor/carcasa de la bomba, nunca en el modulo/caja de bornes, el cable o el condensador exterior.
4 Aplicaciones
Las bombas de alta eficiencia de las series Siriux/Siriux-D sirven para hacer circular liquidos (no aceites, liquidos aceitosos) en
- sistemas de calefaction de agua caliente
- circuitos de agua de refrigeración y de agua fria
- sistemas de circulación industriales cerrados
- instalaciones solares

iADVERTENCIA! iRiesgo para la salute!
Debido a los materiales empleados, las bombas de la série Siriux/Siriux-D no deben utilizar para impulsar agua sanitaria ni en el ambito alimentario.
Las bombas de las series Siriux-O son tambiénADEUadas para su aplicacion en
- sistemas de recirculación de agua caliente sanitaria
5 Especillas del producto
5.1 Codigos
| Ejempio: Siriux-D 32-70 | |
| Siriux = bomba de alta eficiencia | |
| D = bomba simple | -D = bomba doble -O = bomba simple para sistemas de recirculación de ACS |
| 32 32(F)= conexión embaridada, diámetro nominal 32 | |
| Conexión roscada: 25 (Rp 1), 32 (Rp 1¼) | |
| Conexión embaridada: DN 32, 40, 50, 65, 80, 100 | |
| Brida combinada (PN 6/10): DN 32, 40, 50, 65 | |
| 70 70 = alta de impulsión nominal en [dm] | |
| 5.2 Datos tícrnicos | |
| Caudal volumétrico máximo. Depende del tipo de bomba, véase el CATALOGO | |
| Altura de impulsión máximo. | Depende del tipo de bomba, véase el CATALOGO |
| Velocidad Depende del tipo de bomba, véase el CATALOGO | |
| Tensión de red | 1~230 V ±10% según DIN IEC 60038 |
| Frecuencia | 50/60 Hz |
| Intensidad nominal Véase la placá de característica | |
| Índice de eficiência ener-gética (IEE) | Véase la placá de característica |
| Clase de aislamento Véase la placá de característica | |
| Tipo de protección | Véase la placá de característica |
| Potencia absorbida P1 | Véase la placá de característica |
| Diámetros nominales Véase Códigos | |
| Conexión embaridada | Véase Códigos |
| Peso de la bomba | Depende del tipo de bomba, véase el CATALOGO |
| Temperatura ambiente admissible | De -10°C a +40°C |
| Temperatura del fluido admissible | Para calefacción, ventilación, climatización: De -10°C a +110°C Para circulación de agua potable: hasta 3,57 mmol/l (20°d): de 0°C a +80°C (max. 60°C según la norma francesa) |
| Clase de temperatura | TF110 |
| Humedad rel. del aire máximo. ≤ 95% | |
| Grado de sociedad | 2 (IEC 60664-1) |
| Presión de trabajo máximo. admissible | PN 6/101) PN 162) |
| Fluidos admisibles Siriux/Siriux-D/Siriux-O | Agua de calefacción (según VDI 2035/VdTÜV Tch 1466) Mezclas de agua/glicol, en una proportión máximo de 1:1 (si se utilizes mezclas con glicol, sera preciso corregir los datos de bombeo de acuerdo con el aumento de la viscosa-d y en función del percentaje de la mezcla). Utilice sólo productos demarca que estén provistos de inhi-bidosores contra la corrosión. Respete siempre estRICTamente las instrucciones del fabricante y las hojas de seguridad. Antes de utiliserthers fluidos, es nécessaria la autorización del fabricante de la bomba. Glicol de propileno/etileno con inhibidores contra la corrosión. Ningún aglutinante de oxígeno, ningún sellante químico (en instalaciones cerradas en lo que respecta al aspecto técnico de la corrosión debe respetarse la norma VDI 2035; los pun-tos de fuga deben retocarse). |
| 5.2 Datos tícnicos | |
| Sirieux-O | Agentes anticorrosivos convenciones3)sin inhibidos anólicos de efecto corrosivo (p. ej. alimentación insufiente por el uso).Productos combinados convenciones3)sin agente filmógeno anorgánico o polímero filmógenoSalmuera convencional3)La selección del material de las bombas parte del estado actual de la的技术ica y tiene enckeña las directrices del Ministerio de Medioambiente de Alemania, recopiladas en el decreto aleman sobre agua potable. Los desinfectantes qui-micos peuvent provocar daños en los materiales. |
| Nivel sonoro de emisiones | < 54 dB(A)(en funciona del tipo de bomba) |
| CEM (compatibilidad electromagnética) | CEM general: EN 61800-3 |
| Emission de interferencias EN 61000-6-3 | |
| Resistencia ainterferencias | EN 61000-6-2 |
| Corriente de fuga ΔI | ≤ 3,5 mA (vexealsoIELD cap. 7.2) |
1) Ejecución estandar
2) Ejecución especial o equipimiento adicular (cargo adicular)
3)Véase la advertencia seguiente.

iATENCLION! Peligro de danos personales y materiales!
El uso de fluidos no permitidos pueda averiar la bomba y provocar lesiones.
Respete las hojas de seguridad y lasindicaciones del fabricante.
- 3) Respete lasindicaciones del fabricante sobre las proportionsiones de mezcla.
- 3) Los aditivos deben mezclarse con el fluido en el lado de impulsión de la bomba, incluo si el fabricante del aditivo recomienda lo contrario.

jATENCION! jPeligro de daños materiales!
Durante el cambio, renlenado o realizacion de fluidos con aditivos existe la posibididad de daños materiales por reacciones químicas. Es necesario enjuagar la bomba por分开o durante el tiempo suficiente como para garantizar que ya no quedan restos del medio antiguo en el interior de la bomba.
La bomba debe desconnectarse si se van a realizar enjuagues por cambio de presión. No está permittedos los enjuagues químicos para esta bomba; dato el caso, deben YTomontarse de la instalación durante todo el tiempo que duren theseños procesos de enjuague.
Presión minima (por encima de la presión atmosférica) en la Boca de aspiración de la bomba paraatar los ruidos causados por la cavitación (con una tempera-tura del fluido T_Med ):
| Dímetro nominal | TMed | TMed | TMed |
| -10°C...+50°C | +95°C | +110°C | |
| Rp 1 0,3 bar 1,0 bar 1,6 bar | |||
| Rp 1¼ 0,3 bar 1,0 bar 1,6 bar | |||
| DN 32 0,3 bar 1,0 bar 1,6 bar | |||
| DN 40 (Hmax=4 m, 8 m, 10 m) 0,3 bar 1,0 bar 1,6 bar | |||
| DN 40 (Hmax=12 m) 0,5 bar 1,2 bar 1,8 bar | |||
| DN 40 (Hmax=16 m) 0,7 bar 1,5 bar 2,3 bar | |||
| DN 50 (Hmax=8 m, 10 m) 0,3 bar 1,0 bar 1,6 bar | |||
| DN 50 (Hmax=9 m, 12 m) 0,7 bar 1,5 bar 2,3 bar | |||
| DN 50 (Hmax=16 m) 0,5 bar 1,2 bar 1,8 bar | |||
| DN 65 (Hmax≤9 m) 0,5 bar 1,2 bar 1,8 bar | |||
| DN 65 (Hmax=12 m, 16 m) | 0,7 bar | 1,5 bar | 2,3 bar |
| DN 80 0,7 bar 1,5 bar 2,3 bar |
Datas validos para una instalacion situada a 300m sobre el nivel del mar, anadase: 0,01 bar por cada 100m adiconiales.
5.3 Suministro
-
Bomba completa
-
Dos jintas planas (no es para Siriux-O)
- Ocho arandelas M16 y tornillos para PN10 (para bridas combinadas DN32-DN65 y brida DN80)
- Instruetiones de instalacion y funciona en
5.4 Accesorios
Los accesos deben solicitarse porSeparated:
- Modulos IF
- Dispositivos IR de mando y servicios (Salmson Pump Control) Para consultar un lista detallado,véase el catalogo.
6 Descripción y funciona
6.1 Descripción de la bomba
Las bombas de alta eficiencia Siriusx son bombas de rotor humedo con rotor de iman permanente y una regulacion de presion diferencial integradra.
La bomba puede montarse como bomba simple (Fig. 1a) o como bomba doble (Fig. 1b).
1 Modulo de regulación
1.1 Interfaz de infrarrojos
1.2 Pantalla LC
1.3 Botón de ajuste
2 Símbolo de direccion de flujo
6.2 Función de la bomba
Sobre la carcaja del motor hay instalado un modulo de regulación (Fig. 1a, pos.1) que regula la presión diferencial de la bomba a un valor de consigna ajustable en el margen de regulación definido. En función del modo de regulación, la presión diferencial sigue有一些criterios. Sin embargo, en todos los发展模式 de regulación la bomba se adapta continuamente a las variaciones de la demanda de potencia de la instalación, que se producen especially cuando se utilizes valvulas termostáticas, valvulas de zona o mezcladores.
Las principales ventajas de la regulación electrónica son:
- Ahorro de energia acompañado de una reduccion en los costes de functiOnamento,
Reducción de ruidos de flujo, - Ahorro de valvulas de rebose.
Las bombas de alta eficiencia de la serie Siriux-O estan especialmente adaptadas, en cuando a materiales empleados y construccion, a las conditiones de的功能amiento en los sistemas de recirculacion de agua caliente sanitaria.
6.2.1 Modos de funciona
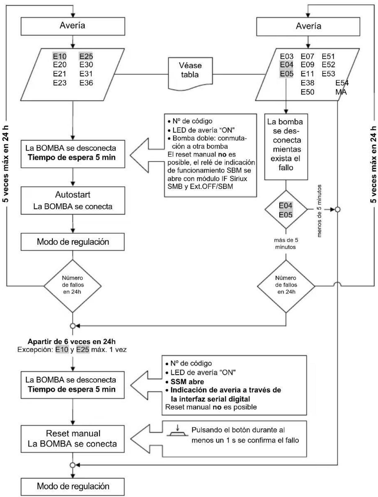
La série Sirius既可以 utiliser en losodos de funciona "calefacción" o "refrigeración/climatización". Ambosodos de funciona se diferencian en la tolerancia a losfallos durante el tratamento de lasindicaciones delallo que se presentan.
Modo de funciona "calefacción":
Los fallos se procesan (como era habitual anteriormente) de modo tolerante, es decir que,dependiendo del tipo de fallo, la bomba unicamente sealingiza una avería si se presenta el本身就是 error varias vezes dentro de un periodo determinado.
Véase el capité 10.1 y la representation del proceso de indicación de averías/ advertencias en "funcioncimiento HV".
Modo de funciona "refrigeración/climatización":
Para todas las aplicaciones en las que cada fallo (en la bomba o instalacion) seiene que detectarrapidamente (porejemplo, aplicaciones de climatizacion).
Cada fallo, con la exception del fallo E10 (bloqueo), se Penaliza inmediamente (< 2 seg.). En caso de bloqueo (E10) se intenta volver a arrancar varias vezes, de modo que en este caso la indicacion de fallo solo se realiza cuando de pasados un max. de 40 seg.
Véase el capité 10.2 y la representation del proceso de indicación de averías/ advertencias en "funciramente AC".
Ambos modelos de funciona el motor, se indica el número de fallo en la pantalla y se Penaliza la avería mediante el diodo LED rojo.
Las averías siempre producen la activación de SSM ("indicación general de avería" a工程技术 de un rele).
En caso de gestion de bombas doibles (bomba doble o 2x bombas simples), la bomba deresherva arranca pasado el periodo que se indica a continuacion,soon de la aparacion del fallo.
| Sirieux, Sirieux-D, Sirieux-O Tiempo de arranque | |
| 25-30, 25-40, 25-60, 32-30, 32-40, 32-60, 40-30 aprox. 9 seg. | |
| 25-65, 32-65, 32-65F, 40-65, 50-65, 50-110, 65-110, 80-40, 80-90 | aprox. 7 seg. |
| 40-80, 50-70, 50-80, 65-40, 65-80 aprox. 4 seg. | |
| 32-90, 32-70, 40-60, 40-110, 50-60, 65-90 aprox. 3 seg. | |
6.2.2 Modos de regulación por presión diferencial
- p - v : el Sistema electrónico modificada de forma lineal el valor de consigna de la presión diferencial que debe mantener la bomba entre 1/2 H_S y H_S . El valor de consigna de la presión diferencial H aumenta o disminuye con el caudal (Fig. 8), ajuste Basics de fabrica.
- p - c : en el margen de caudal permitted, el sistema electrónico mantiene constante la presión diferencial de la bomba en el valor de consigna HS ajustado hasta alcantar la curva característica Tmaxima (Fig. 9).
-
p -T: el sistema electrónico modifica el valor de consigna de la presión diferencial que debe mantener la bomba en función de la temperatura medida en el fluido. Este modo de regulación solo puede ajustarse si se dispone de un dispositivo IR de mando y servicios (accesorio) o deLON/CAN/Modbus/BACnet. En tal caso, existen dos ajustes (Fig. 10):
-
Regulación con pendiente positiva:
- Regulación con pendiente negativa:
A medida que augenta la temperatura del fluido, se reduce el valor de consigna de la presión diferencial de forma lineal entre H_S y H_S (ajuste: H_S < H_S ).
6.2.3 Otros发展模式 de funciona para el时辰o energetico
- Modo manual: la velocidad de la bomba se mantiene constante a un valor entre n_ y n_ (Fig. 11). El modo manual desactiva la regulación de presión diferencial realizada en el modulo.
- En modo de funciona "auto", la bomba es capaz de reconocer una demanda minima de potencia calorifica delsystema reduciendo la temperatura del fluido de forma duradora y de commutar, a continuacion, a reduccion nocturna. Si la demanda de potencia calorifica augmenteda, se commuta automatistically a funciona de regulacion. Este ajuste garantiza la reduccion del Consumo de energia de la bomba a un minimum, sido en la mayoria de los casos el ajuste optimo.

iATENCLION! iPeligro de que se produzcan daños materiales!
Sólo está permittedo activar la reduccion nocturna si se ha efectuado la compensacion hidr\ulica de la instalacion. De lo contrario, los componentes de la instalacion mal alimentados coulden congelarse en caso de heladas.
- El modo de funciona "Q-Limit"uede combinarse con los otheros modelos de regulacion ( p - v, p - c, p - T, Steller) y permite establisharuna limitacion del caudal maximo de 25% - 90% para Qmax.Al alcancarse el valor ajustado,la bomba realiza la regulacion por todo el limite de la curva caracteristica, sinninger a sobrepasarlo nunca.

INDICACION: "Q-Limit" solamente puede ajustarse utilizing los dispositivos IR de mando y servicios (accerosios).
En caso de utiliser el "Q-Limit" en instalaciones no compensadas hidráulica-mente, es possible que lasdietes seconces de piezas no reciban suficiente alimentacion. Realizar una compensacion hidráulica.
6.2.4 Funciones generales de la bomba
- La bomba está equipada con una proteccion contra sobrecargas que la desconecta en caso de sobrecarga.
- El modulo de regulación dispone de una memoria no volátil para la memorización de datos. En caso de corte de corriente, se mantienen todos los ajustes eindicaciones. Cuando vuelte la tensión, la bomba sigue funciona con losvalores ajustados antes de que se produjera el corte de corriente.
- Arranque de prueba de la bomba: las bombas desconnectadas a工程技术 del menu (ON/OFF), unaorden de bus,la interfaz de infrarrojos,la entrada de control Off ext. o 0-10 V arrancan brevemente cada 24 horas para evaporar que se bloqueen por estar demasiado tiempo paradas. Para this func iOn no debe cortarse la tnsiOn de red. Si seiene previsto cortar la corriente durante un periodo prolongado,la regulacion de la calefacion/caldera debe asumir el arranque de prueba de la bomba conectando brevemente la tension de red. Para ello,la bomba debe estar connectada en la regulacion antes de cortar la corriente (pantalla el simbolo del motor/modulo está iluminado).
- SSM: El contacto para la indicación general de avería (contacto de aperture libre de tension) pueda connectarse a la gestión技术水平 centralizada. El contacto interno está cerrado cuando la bomba no tiene corriente y cuando no existe ninguna avería ni fallo del modulo de regulación. El funciona bajo el control de SSM se describe en los capítulos 6.2.5, 10.1 y 10.2.
- Para la conexión a unidades de vigilancia externa, el sistema pueda ampliarse con发展模式 de interfaz reequipables para lacomings. Además se dispone de发展模式 IF analógicos y digitales.optionales (vease el catalogo).
6.2.5 Funcionamento con bomba doble
Las bombas doles o dos bombas simples (instaladas en paralelo) peuvent equipoarse posteriormente con una gestión de bombas doles integrable.
- Modulos IF Sirius: para lacomingsacion entre las bombas se instala un modulo IF en el modulo de regulacion de cada bomba, las cuales estan connectadas entre si medianta la interfaz de bomba doble.
La gestión de bombas dobles Tiene las siguientes失落es:
-
Bomba principal/dependiente: la regulación de ambas bombas se efectúa a partir de la bomba principal. Todos los ajustes se realizan en la bomba principal.
-
Funcioncimiento principal/reserva: cada una de las dos bombas aporta la potencia de im-pulsión prevista. La othera bomba está preparada por si se produce una avería o bien funciona según la alternancia de bombas. Sólo una bomba está en funcióncimiento. El funciona principal/reserva funciona igualmente en el caso de dos bombas simples de tipo identico instaladas en una instalación de bomba doble.
- Funcionamiento de cargo punta con rendimiento optimizzato: en el margen de cargo parcial, la potencia hidráulica es producida en primer lugar por una de las bombas. La另一边 bomba se activa con rendimiento optimizzato cuando lasuma de las potencias absorbidas P_1 de ambas bombas es inferior a la potencia absorbida P_1 de una bomba. En este caso, ambas bombas son reguladas a un niveau elevado de forma sincrónica hasta alcanzar la velocidad maximala. Este modo de funcionalmente consigue, frente al modo de cargo punta convencional (arranque y parada en referencia de la hora), un ahorro energetico adicional. El funcionalismo en paralelo de dos bombas simples solo es possible en bombas para las cuales existe un tipo de bomba doble equivalente.
- En caso de avería/fallo de una de las bombas, la另一边 bomba sigue funciona como bomba simple según el modo de funciona bajo por la bomba principal. El comportimiento en caso de avería depende del modo de funciona bajo, ya sea HV o AC (vease el capítulo 6.2.1).
- En caso de interrupción de lacomingsación (p. ej. por corte de corriente en la bomba principal): La bomba dependiente arranca transcurridos 5 segundos y funciona en elultimate modo de functionamento definido por la bomba principal.
- Alternancia de bombas: Si solo funciona una bomba (funccioniento principal/reserva, dearga punta o reduccion nocturna), cada 24h de tiempo de marcha efectiva se produce una alternancia entre las bombas. En el momento de la alternancia funcional ambas bombas, por lo que el functionamento no se interruppe.

INDICACION: Si está activos al mesmo tiempo el modo manual y el funciona bajo el sancrónico, siempre funciona las dos bombas. No se produce alternancia entre las bombas.
Durante la reduccion nocturna activa no se produce ninguna alternancia entre las bombas despues de un tiempo de funciona el efectivo de 24h
- SSM: El contacto para la indicación general de avería (SSM) pueda conectarse a una coordinación central.
El contacto SSM sólo se ocupa en la bomba principal: sólo se indica las averías de la bomba principal (ajuste de fabrica "SSM individual"). Si deseña que se indiquen losfallos tanto de la bomba principal como de ladependiente,deberte programar la funciona SSM a "SSM colectiva" en la bomba principal con un dispositivo IR de mando y servicios (accesorio) (veanse las instrucciones de funciona bajo el complementocomplete,aexceptiondeque se corte la corriente de la bomba principal. ElcontactoSMMseocupa enla bomba principaly enla dependiente:Unave- ría en la bomba principal o la bomba dependiente se comuna comoindicacion simple de avería.
6.2.6 Significado de los símbolos en la pantalla LC

INDICACION: La legibility de la pantalla depende considerablemente del ángulo de visibiliad de la persona que la está observando. Las grandes oscilica- ciones en la temperatura ambiente aceleran el envejecimiento de la pantalla y pueda provocar dificultades al leer la pantalla.
| Simbolo Significado | |
| auto | Conmutación automática a reducción nocturna autorizada. La reducción nocturna se activa cuando la demanda de potencia calorífica es minima. |
| auto | La bomba funciona en modo de reducción (reducción nocturna) a veloc-cidad mínma. |
| (Sin symbolo) | La conmutación automática a reducción nocturna está bloqueada; por consiguiente, la bomba funciona sólo en modo de regulación. |
| C | Reducción nocturnaactivada através de la interfaz serial digital o "Ext. Min", independientelemente de la temperatura del sistema. |
| La bomba funciona a velocidadolestima para el calentimiento. Este ajuste sólo puedaactivarse através de la interfaz serial digital. | |
| La bomba estáconectada. | |
| OFF | La bomba estádesconectada. |
| H 5.0m | El valor de consigna de la presión diferencial estáajustado a H = 5,0 m. |
| Modo de regulación Δp-v, regulación a un valor de consigna variable para la presión diferencial (Fig. 8). | |
| Modo de regulación Δp-c, regulación a un valor de consigna constante para la presión diferencial (Fig. 9). | |
| El modo manual desactiva la regulación del modulo. La velocidad de la bomba se mantiene a un valor constante (Fig.11). La velocidad se ajusta con el botón de ajuste o viene ya definida através de la interfaz de bus. | |
| Se muestra"L"si el modo de functionamento Q-Limit estáactivado. El modo de functionamento Q-Limit limita el caudal máximo hasta un valor preajustado. El ajuste solamentees possibleutilizando los dispositivos IR de mando y servicios (accerosios). | |
| 26.0 RPM x100 | La bomba estáajustadaa una velocidadconstante (aquí 2600 rpm.) (modo manual). |
| Símbolo Significado | |
| 10V | En el modo manual, la velocidad o la alta nominal de impulsión de los modos Δp-c o Δp-v de la bomba se ajusta a工程技术 de la entrada 0-10 V de losolestados IF Siriusx Ext.Off, Ext.Min y SBM. El botón de ajuste no tiene función para la introducción del valor de consigna. |
| modo de regulación Δp-T, regulación a un valor de consigna para la presión diferencial en funciona de la temperatura (Fig. 10). Se visualiza el valor de consigna Hsactual. Este modo de regulación sólo puedeactivarse a工程技术 del dispositivo IR de mando y servicios (accesorio) o la interfaz serial digital. | |
| Todo losajustes, a exception de la confirmación de averías, estábloqueadas. El bloqueo se activa con el dispositivo IR de mando y servicios (accesorio). Losajustes y eldesbloqueo sólo puedarealizarse mediante el dispositivo IR de mando y servicios (accesorio). | |
| ↑↓ | La bomba se haceFuncionar através de una interfaz de datos serial. Lafunción "ON/OFF" no estáactivada en el modulo. En el modulo sólouedeajustarse ++Ila posición de la pantalla y la confirmación de averías. Con el dispositivo IR de mando y servicios (accesorio) PUede interruptirsetemporalmente el functionamento en la interfaz (para un control,descargar datos). Con determinadosolestados IF puedavolver abrirse el menú. (A pesar de estar enchufado el modulo, el menú PUedeutilizarse de forma manual)(vease ladocumentación de losolestados IF) |
| SL | La bomba funciona como bombadependiente.En la pantalla no puedarealizarse ningunamericanacion. |
| ⊕+⊕ | La bomba doblefunciona en modo dearga punta con rendimiento optimizado (bomba principal + bombadependiente). |
| ⊕1⊕ | La bomba doblefunciona en mode principal/reserva (bomba principal o bombadependiente). |
| id | Se visualiza en bombas con determinadosolestados IF (vease la docu-mentation de losolestados IF), cuando la centralita del edificio envía un mensaje (Wink) a la bomba. |
| f | La bomba estáajustada en el mode "unidades americanas". |
| HV | Matriz defallostoleranteactivada. Modelo defunctionamento calefacación (en caso deaverías véase el cap. 10). |
| AC | Matriz defallostolerante desactivada. Modelo defunctionamento climatazación (en caso deaverías véase el cap. 10). |
Estructura del menu: Existen tres niveles de menu. Se accede a los niveles situados bajo del indicator de ajuste Basicspartiendo siempre del nivel 1 pulsando durante periodos mas o menos largos el boton de mando.
- Nivel 1 - indicación de estado (indicación del estado de funciona)
-
Nivel 2 - menu operativo (ajuste de las/DDesiones bicasas):
-
Pulsar el botón de mando durante más de 1 s.
-
Nivel 3 – menu de options (otros ajustes):
- Pulsar el botón de mando durante más de 6 s.

INDICACION: Pasados 30 s sin realizarse ninguna entrada, el indicator vuye al nivel 1 (indicación del estado de funciona). Las modificaciones temporales no confirmadas se descartan.
7 Instalación y connexion electrica

'PELIGRO! Peligro de muerte!
Si la instalación y la connexion electrica no son correctas, puede provocar lesiones mortales. Deberán tomarse las medidas OPPORTunas para prevenir peligos provocados por la energia electrica.
- La instalacion y la connexion electrica deben ser realizadas exclusivamente por personalrial significado y de acuerdo con la normativa vigente.
- Es imprescindible Respectar en todo momento la normativa de prevencion de accidentes.
- Deberán respétarse lasindicaciones de las normativas locales de las compañías electricas.
Bombas con cable premontado:
- No tire nunca del cable de la bomba.
- No doble el cable.
- No Coloque ningún objeto sobre el cable.
7.1 Instalación

iADVERTENCIA! iPeligro de lesiones!
Una instalación inadequada puede causar dáños personales.
- Existe peligro de aplastamento.
- Existe peligro de que se produzcan lesiones causadas por rebabas o cordes aflados. Utilice equipo de proteccion personal apropiado (p. ej. guantes).
- Existe peligro de lesiones causadas por la caía de la bomba o el motor. Asegure la bomba y el motor contra caías con los medios de suspensa de cargas pertinentes.

jATENCLION! jPeligro de que se produzcan daños materiales!
Una instalación inadeuda puede causar daños materiales.
- La instalación debe ser realizada exclusivamente por personalrialmente.
- Observe las prescricciones naciales y regionales.
-
La bomba debe transporte unicamente en motor/carcasa de la bombay no debe sujetarse nunca del modulo/caja de bornes ni del cable premontado.
-
Instalación dentro de un edificio:
La bomba debe instalarse en un lugar seco, bien ventilado y libre de polvo, segun el tipo de proteccion (vease la placac de caracteristicas de la bomba).
No se permite una temperatura ambiente inferior a -10^
-
Instalación fauna de un edificio (instalación en el exterior):
-
Instalar la bomba en un pozo (p. ej. un pozo de luz o un pozo anular) con cubiertao en un armario/carcasa como proteccion contra conditiones meteorologicasdesfavorables. No se permitte una temperatura ambiente inferior a -10^
- Evitar la radiación solar directa sobre la bomba.
- Proteger la bomba de forma que las ranuras de evacuacion de condensados no queden obstruidas por sociedad. (Fig. 6)
- Proteger la bomba contra la lluvia. El goteo de agua desde arriba está permittedo siempre y cuando la connexion electrica se haya realizado conforme a las instrucciones de instalacion y funciona bajo y la caja de bornes se haya cerrado debidamente.

jATENCLION! Peligro de que se produzcan daños materiales!
Procure ventilación/calefacción suficiente en caso de que se supere o no se alcance la temperatura ambiente admissible.
El modulo electrónico puede desconnectarse en caso de sobretemporatura.
El modulo electrónico no debe cubirse nunca con ningún objeto. Mantener una distancia de seguridad de como最小o 10 cm alrededor del modulo electrónico.
- Realice todos los trabajo de soldadura antes de instalar la bomba.

jATENCLION! jPeligro de que se produzcan daños materiales!
Las impurezas del sistema de tuberías peuvent destruir la bomba en función. Limpie el Sistema de tuberías antes de instalar la bomba.
- Instale valvulas de cierre delante y detrás de la bomba.
- Fije las tuberías al suelo, el techo o la pared utilizando dispositivos adecuados y de forma que la bomba noonga que.sojar el peso de las tuberías.
- Si la bomba se monta en la alimentacion de instalaciones abiertas, la alimentacion de seguridad debe desviarse de la bomba (DIN EN 12828).
- Monte la bomba en un lugar de fácil acceso para poder realizar posteriormente su inspeccion o sustitución.
-
Durante la instalación,onga en cuenta lo suiviente:
-
Realice el montaje libre de tensiones y con el eje de la bomba en posicion horizontal (v. posiciones de montaje en Fig. 2a/2b).
- Para la instalación de la bomba, asegúrese de que la direction de flujo es la correcta (veanse Fig. 2a/2b). Observe el triángulo indicador de direccion situado en la carcaza de la bomba (Fig. 1a; pos. 2).
- Asegürese de que la bomba pueda instalarse en la posición de montaje admi-sible (veanse Fig. 2a/2b). En casoecessary, gire el motor incluido el modulo de regulación, vexe el cap.9.1.

iATENCLION! iPeligro de que se produzcan daños materiales!
Si el modulo se coloca en una posicion no permitida, existe el peligro que se produzca un goteo de agua en el modulo. No está permittedo colocar el modulo con la connexion de cable hacía arriba.
7.1.1 Instalación de la bomba con uniones de tubos roscados
- Antes de instalar la bomba, Coloque los racores apropriados.
- Para montar la bomba, Coloque las juntas planas suministradas entre las bocas de aspiracion/impulsion y los racores.
- Enrosque las tuercas ciegas en las roscas de las bocas de aspiracion/impulsion y apriételas con una llave de Boca o una llave para tubos.

jATENCION! jPeligro de que se produzcan daños materiales!
Al apltar los racores, no ejerza presion sobre el motor/modulo, utilize las superficies que hay en la Boca de aspiracion/impulsion destinadas a colocar las llaves.
| Tipo de bomba Ancho de llave [mm] Ancho de llave [mm] | |
| Boca de aspiración Boca de impulsión | |
| Sirius 25-30(40, 60,65) 36 36 | |
| Sirius 32-30(40, 60,65) 36 36 | |
| Sirius 32-90 41 41 | |
- Compruebe la estanqueidad de los racones.
7.1.2 Instalación de la bomba embarIDA
Instalacion de bombas con brida combinada PN 6/10 (bombas embaridas DN 32 hasta DN 65 incl.) y bombas embaridas DN 80.

iADVERTENCIA! iPeligro de daños personales y materiales!
En caso de instalacion incorrecta, la connexion embarida pueda resultar dañada y estar de ser estanca. Existe peligro de lesiones y de daños materiales a causa de posibles fugas de fluido de impulsión caliente.
- No connecte nunca dos bridas combinadas.
- Las bombas con brida combinada no está permitidas para presiones de trabajo PN16.
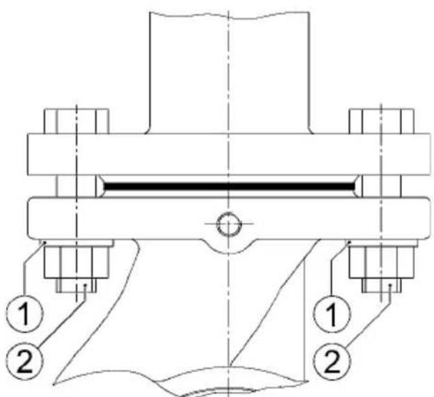
- El uso de elementos de seguridad (p. ej., arandelas elásticas) puede dar lugar a fugas en la brida y, por tanto, no está permitido. Es indispensableable utilizar las arandelas suministradas entre la cabeza de tornillo/cabeza de tuerca y la brida combinada (Fig. 3, pos. 1).
- No deben superarse los pares de apriete indicados en la tablasumaque aunque seutilicen tornillos conuna mayor resistencia (≥ 4.6) ,ya que de lo contrario podrian astillarse los laterales de los agujeros ovalados.Por consiguiente,los tornillos pierden su tension inicial,con la posibidad de que disminuya la estanqueidad de la connexion embarida.
- Emplee tornillos suficientemente largos. La rosca del tornillo debe sobresalir por los menos una vuelta de la tuerca (Fig. 3, pos. 2).
| DN 32, 40, 50, 65 | Presión nominal PN6 | Presión nominal PN10/16 |
| Diámetro del tornillo M12 M16 | ||
| Clase de resistencia 4.6 o superior 4.6 o superior | ||
| Par de apriete admisible 40 Nm 95 Nm | ||
| Longitudín. de tornillo con | ||
| • DN32/DN40 55 mm 60 mm | ||
| • DN50/DN65 60 mm 65 mm | ||
| DN 80 | Presión nominal PN6 | Presión nominal PN10/16 |
| Diámetro del tornillo M16 M16 | ||
| Clase de resistencia 4.6 o superior 4.6 o superior | ||
| Par de apriete admisible 95 Nm 95 Nm | ||
| Longitudín. de tornillo con | ||
| • DN80 65 mm 65 mm |
Monte las juntas planas adecuadas entre las bridas de la bomba y las contrabridas.
- Apriete los tornillos de brida en dos pasos y en cruz con el par de aprietepecifiedo (vease la tabla 7.1.2).
- Paso 1: 0,5 x par de apriete admissible
- Paso 2: 1,0 × par de apriete admissible
- Compruebe la estanqueidad de las conexiones embridadas.
7.1.3 Aislamento de la bomba en instalaciones de refrigeracion y climatizacion
- En el caso de aplicación en instalaciones de climatización y refrigeración, utilise materiales aislantes de difusión cerrada de vente en commercios.

jATENCION! jPeligro de que se produzcan daños materiales!
Si se encarga el propietario de colocar el aislamento de difusión cerrada, la carca sa de la bomba solo debe quedar aislada hasta la ranura que laSeparated motor. Las aberturas de evacuation de condensados no deben estar obstruidas, ya que los condensados que se generen en el motor deben salir porellas (Fig. 6). Los condensados que se generate en el motor peuvent provocar un fallo electrico.
'PELIGRO! Peligro de muerte!
Una connexión electrica inadequada supone peligro de muerte por electrocución.
- La instalación electrica debe efectuarla únicamente un instalador electrico que CCTe con la autorizacion de la compania electrica local y de acuero con la normativa vigente del lugar de la instalacion.
-
Antes de realizar trabajo de mantenimiento en la bomba, deben cortarse la tensión de alimentación en todos los polos. Debido al riesgo de producirse daños personales si seenta en contacto con la tensión, espere siempre al menos 5 Minutes antes de comenzar cualquier trabajo en el modulo.
-
Compruebe si todas las conexiones (tambien los contactos libres de tension) estan exentes de tensiones.
- La bomba no debeponerse en functionamento si el modulo de regulacion está dañados.
- En caso de retiring sin autorizacion los elementos de ajuste o de mando del modulo de regulacion, existe el peligro de electrocución al tocar componentes electricos del interior.
- La bomba no debe conectarse a un sistemas de alimentacion de corriente ininterrupida (SAI o las denominadas redes IT).

jATENCION! jPeligro de que se produzcan daños materiales! Una connexion electrica inadequada pueda provocar daños materiales.
- Una tensión errónea pueda darnar el motor.
- Laactivacionde la bomba através de triacs/relés semiconductores se debecomprobar en cada caso concreto,dado que elsystema electrónico pueedesimilar dañado o la CEM (compatibiliad electromagnética)uede verseaffectada de forma negativa.
- En caso de connexion/desconexión de la bomba mediante dispositivos deMANDO externos,debte desactivarse una temporizacion de la tension de red (por ej.,a工程技术 de disparo por rafaga) para evaporar daños en el systema electrónico.
- El tipo de corriente y la tensión de la alimentación electrica deben coincidir con los datos de la placá de caracteristicas.
- La connexion électrique debe realizarse mediante un cable de alimentacion electrica bajo (3 x 1,5 mm² de seccion minima) provisto de un enchufe o un interruptor para todos los polos con un ancho de contacto de al menos 3 mm.
- Si se produce una desconexión por medio de un relé de red del propietario deben裱plirse las conditiones minimas siguientes: Intensidad nominal ≥ 10 A, tensión nominal 250 VAC
-
Fusible: 10/16 A, de ACCION Lenta o fusibles automaticos con caractertistica C.
-
Bombas doles: Equipe los dos motores de la bomba doble con un cable de alimentacion electrica con desconexion independiente y un fusible en lado de la red.
-
No se requires ningún guardamotor. En caso de que existiera uno en la instalación, habrá que ponerlo en derivación o ajustarlo al valor de corriente máximo possible.
- Intensidad de derivacion por bomba I_eff ≤ 3,5mA (según EN 60335)
- Se recomienda asegurar la bomba con un interruptor diferencial.
Identificacion: ID-
Para el dimensionado del interruptor diferencial,onga en cuenta el numero de bombas connectadas y la corriente nominal de sus motores.
- Si se utilizes bombas en instalaciones con temperatas del fluido de impulsión superiores a los 90^ , esnecessaryutilizarunaconexiónconla debida resistencia al calor.
-
Tienda los cables de connexion de modo que no toquen en ningún caso la tuberia y/o la carca sa de la bomba y del motor.
-
Para garantizar la proteccion de la instalacion contra el agua de goteo y la descarga de traccion de los prensaestopas, emplee cables con diametro exterior apropiado (vease la tabla 7.2) y apriete las piezas de presion fuertamente. Ademas, doble los cables proximos al prensaestopas formando un bucle para evacuar el agua precedente del goteo. Cierre los prensaestopas que no esten occupies con las arandelas de obturacion disponibles y apiretelas bien.

jPELIGRO! jPeligro de muerte por electrucacion!
En los contactos de la interfaz del modulo IF puede existir una tension peligrosa en caso de contacto.
Si no hay ningún modulo IF (accesorio) enchufado, deben cubrirse la interfaz del modulo IF con la tapa (Fig. 7, pos.1) paraatar cualquier contacto accidental. Asegúrese de que está bien colocada.
- Ponga en marcha las bombas únicamente cuando la taps del modulo está bien cerrada. Observe que la junta de la taps está bien asentada.

iADVERTENCIA! iPeligro de daños personales y materiales!
Si la cubierta de las aperturas de entrada y calidad del aire está dañada (cubierta negra), el tipo de protección y la seguridad electrica dejan de estar garantizados. Controle que las cubiertas están bien colocadas.
- Asignación de prensaestopas:
La?siga?e tabla muestra las distinctas combinaciones de circuitos elcricos en un cable que pueda asignarse a cada uno de los prensaestopas. Para la asignaciondebe respetarse la DIN EN 60204-1 (VDE 0113, hoja 1):
- Párrafo 14.1.3: Los conductores de différentes circuitos electricosULDuenpenerteneceralismo cable multiconductor si elapantallamento es suficientepara la tension maxima existente en el cable.
- Párrafo 4.4.2: Con el fin de evaporar perturbaciones por CEM, los cables de señales con bajo nivel debenSeparated de cables de corriente de alta tensión.
Racor:PG13,5PG9PG7
| Diámetro del cable: | 8...10 mm | 6...8 mm | 5...7 mm | |
| 1. Función | Cable de red SSM | Gestión de bombas doles | ||
| Tipo de cable | 5x1,5 mm2 | Cable de 2 hilos (I ≤ 2,5 m) | ||
| 2. Funktion | Cable de red SSM | Gestión de bombas doles | ||
| Tipo de cable | 3x1,5 mm2 | Cable de 2 hilos | Cable de 2 hilos (I ≤ 2,5 m) | |
| 3x2,5 mm2 | ||||
Racor:PG13,5PG9PG7
Tabla 7.2
| 3. Función | Cable de red | SSM/0...10V/Ext.Off o SSM/0...10V/Ext.Min o SSM/SBM/0...10V o SSM/SBM/Ext.Off | Gestión de bombas dobles |
| Tipo de cable | 3x1,5 mm² 3x2,5 mm² | Cable de mando multifi- lar, número de hilos en função del número de circuito de mando, si fuera Neededo apanta- llado. | Cable de 2 hilos (I ≤ 2,5 m) |
| 4. Función | Cable de red | Interfaz serial digital | Gestión de bombas dobles |
| Tipo de cable | 3x1,5 mm² 3x2,5 mm² | Cable bus | Cable de 2 hilos (I ≤ 2,5 m) |
| 5. Función Tipo de cable | Cable de red 3x1,5 mm² 3x2,5 mm² | Interfaz serial digital Cable bus | Interfaz serial digital Cable bus |

;PELIGRO! Peligro de muerte por electrucacion!
Si la linea de red y la linea SSM se colocan en un@mimo cable de 5 hilos (tab. 7.2, tipo 1),la linea SSM noDebeutilizarse con tensionde bajo de proteccion,ya que pueda darse transmisiones de tension.
- Conecte la bomba/la instalacion a tierra segun indique la normativa correspondiente.
- L, N, :tensión de alimentación electrica: 1~230 VAC, 50/60 Hz, DIN IEC 60038, como alternatively, la alimentación electrica pueda realizarse entre 2 fases de una red de corriente trifásica con neutro a tierra con una tensión en triángulo de 3~230 VAC, 50/60 Hz.
- SSM:En los Bornes SSM se dispone de una indicación general de avería integra de forma de contacto de aperture libre de tension. Carga de contacto:
Minima admissible: 12 V DC, 10 mA
- Maxima admissible: 250 V AC, 1 A
-
Frecuencia de arranque:
-
Conexiones/desconexiones a工程技术 de red ≤ 20/24 h
- Conexiones/desconexiones a泛建 de Ext. Off, 0-10 V o interfaz serial digital ≤ 20 / h
8 Puestaen marcha
Es imprescindible observar lasindicaciones depeligroylas advertencias dellos capitulos 7,8.5y9.
Antes deponer en marcha la bomba, compruebe que ha sido montada y conduc-tada correctamente.
8.1 Llenado y purga

INDICACION: Una purga incomplete可以使 dar lugar a ruidos en la bombay la instalacion.
Llene y purgue la instalacion correctamente. El hueco del rotor de la bomba se purga de forma automatica a las pocas horas de funcionaimiento. Un breve intervalo de marcha en seco no dañará la bomba.

iADVERTENCIA! iPeligro de daños personales y materiales!
Está prohibido aflojar el casingzal motor o la connexion embaridada/el racor para realizar la purga.
- [Existe peligro de quemaduras!]
Las fugas de fluido能把 occasionalidades personales y materiales. - iExiste peligro de quemaduras en caso de entrada en contacto con la bomba! En funciona del estado de functionamento de la bomba o de la instalacion (temperatura del fluido), la bomba pueda alcanzar temperatas muy altas.
8.2 Ajuste del menu

jADVERTENCIA! jPeligro de quemaduras!
En función del estado de funciona el la instalación, la bomba pueda alcanzar temperatas muy altas. Existe peligro de quemaduras si seenta en contacto con superficies metálicas (p. ej. las aletas refrigeradoras, la carca sa del motor o la carca sa de la bomba).
Los ajustes en el modulo de regulación peuvent realizarse durante el funciona conridge del botón de ajuste. No toque ninguna superficie caliente.
8.2.1 Manejo del boton de ajuste (Fig. 1a, Pos. 1.3)
- Partiendo del ajuste Basics, los manos de ajuste se van selectionando uno tras除外 en unorden fijo cada vez que se pulsa el botón (en el primer menu: pulsar el botón durante más de 1 s). El símbolo correspondiente parpadea. Girando el botón hacía la izquierda o la derecha pueda modificarse los parámedros, hacer delante o hacer atrás, en la pantalla. El nuevo símbolo ajustado parpadea. Pulsando brevamente el botón se acpeña el nuevo ajuste. A continuación, se pasa alisible ajuste posible.
- El valor de consigna (presión diferencial o velocidad) se modifica en el ajuste Basicso girando el botón. El nuevo valor parpadea. Pulsando brevamente el botón se acepta el nuevo valor de consigna.
- Si no se confirma el nuevo ajuste, transcurridos 30 s se adopts el valor antiguo y la pantalla vuela al ajuste Basics.
8.2.2 Giro de la indicación en pantalla
- En funciona de como está montado el modulo de regulación, ya sea en posición horizontal o vertical, es possible girar 90^ la indicación en pantalla. En el punto de menu 3 pueda ajustarse la posición. La posición de pantalla predefinida en el ajuste Basics se muestra mediante el parpadeo de la indicación "ON" (para la posición de montaje horizontal). Girando el pulsador, puedaCambiar la posición de la indicación de pantalla. La indicación "ON" parpadea ahora para la posición de montaje vertical. El ajuste se confirmáersionando el pulsador.
Horizontal Vertical Ajuste


Ajuste de la posicón en el punto de menu 3



8.2.3 Ajustes en el menu
Al usar la pantalla de la bomba simple, se muestran suscesivamente los siguientes ☆menús:
- Funcionamento de bomba simple:
Ajuste en lapellaa en marcha inicial/Secuencia de menus durante elfuncionamento (indicacion en pantalla horizontal)
Pantalla LC Ajuste

①
Al conectar el modulo, aparecen en pantalla durante 2segundos todos los simbolos.
A continuación, aparece el ajuste actual (2)

②
Ajuste (básico) actual (ajuste de fabrica):
H 5,0 m·p. ej. alta nominal de impulsión Hs = 5,0 m, alismo tiempo 1/2 Hmax (el ajuste de fabrica depende del tipo de bomba)
Modo de regulacion p - v
- La bomba funciona en modo de regulación, reducción nocturna bloqueada (vease también el punto de menu)
falta = bomba simple
Girando el pulsador, pueda ajustarse el valor de consigna para la presión diferencial. El nuevo valor de consigna para la presión diferencial parpadea.
Pulsando brevemente el boton se acaeta el nuevo ajuste. Si no se pulsa el boton, transcurridos 30 s el valor de consigna parpadeante cambia al valor anterior.
Pulsar el botón > 1 s.
A continuación aparece el siguientes punto de comida.③
Si en los menos seguides no se realiza ningún ajuste durante 30 s, vuede a aparecer en la pantalla el ajuste Basics ②
Pantalla LC Ajuste

③
Ajuste de la posicion de la indicacion de pantalla vertical /horizontal
La posicion ajustada para la indicacion de pantalla se visualiza mediante un "ON" parpadeante.

Girando el pulsador, se selección la otra posición.

Se acapta el ajuste.

(4)
El modo de regulación ajustado parpadea.
Girando el pulsador pueda seleccionnarseothersmodosderegulacion.
El nuevo modo de regulación selecciónnado parpadea.

Elajuste se acpey se pasa al seguiente menu.

Pantalla LC Ajuste

(5)
El punto de menu sào aparece si se ha conec-tado un modulo IF Siriux con entrada 0-10 V.
El símbolo "10V" aparece en la pantalla
Conectar/ desconectar la entrada 0-10V
Activar la entrada 0-10V:
En la pantalla aparece "ON" y el "simpilo modulo/motor".
No es possibleaabstarmanualmenteelvalor de consigna con el pulsador.Laindicacion"10V"se visualliza en elajustebasico ②

Girando el pulsador pueda modificarse el ajuste.
Desactivar la entrada 0-10 V:
En la pantalla aparece "OFF".

Se acepta el ajuste.
Si se había activado la entrada, la guía del menu salta al punto de dato 7a
Si no hay tensión de entrada en el contacto 0-10 V, aparece "Off" en la pantalla y el "Simbolo de motor" no se visualiza.


| Pantalla LC Ajuste | |
| 6 | Conectar/descenectar la bomba Conectar la bomba: En la pantalla aparece "ON" y el "simpilo moleu/motor" Girando el pulsador pueda modificarse el ajuste. |
| Desconectar la bomba: En la pantalla aparece "OFF". ↓ Se acepta el ajuste. Cuando la bomba está desconnectada, el "Simbolo de motor" deja de visualizarse. | |
| 7 | Desbloquear/bloquear la reduccion nocturna Parpadean o bien funcionamente normal de regulacion, reduccion nocturna bloqueada o bien desbloquear reduccion nocturna: ↓全能 auto desbloquear reduccion nocturna: ↑全能 auto aparece en la pantalla durante el funcionamiento de regulacion automática, o ↓全能 auto desbloquear reduccion nocturna C duringe la reduccion nocturna Girando el pulsador, puede selectionarse una de las dos options. ↓全能 La pantalla salta al menu suigiente. El punto de menu no se visualiza si: ·la bomba funciona con moleculos IF Siriux, ·se ha seleccionado el modo manual, ·se ha activado la entrada 0...10V. |
| 7a | En el caso de configuracion con bomba simple, la pantalla vuelte al ajuste Basics 2 En caso de avería, delante del ajuste Basics 2 aparece el menu de averías 10. En caso de configuracion con bomba doble, la pantalla salta al menu 8. |
- Funcionamento con bomba doble: Ajuste en caso de puesta en marcha inicial
Pantalla LC Ajuste

①
Al conectar el modulo, aparecen en pantalla durante 2segundos todos los simbolos. A continuacion aparece el menu ① a

1a
En la pantalla de ambas bombas parpadea el simbolo MA = Master, bomba principal.
Si no se realiza ningún ajuste, ambas bombas func- tionan con presión diferencial constante (Hs = 1 / 2 Hmax con Q = 0m^3 /h)
Si elpulsador de la bomba izquierda, esta se selecciona como bomba principal y en la pantalla aparece el menu de ajuste del modo de referencia. En la pantalla de la bomba derecha aparece automatamente la indicacion SL = Slave, bombadependiente.
El ajuste es el suiviente: bomba izquierda = bomba principal, bomba derecha = bombadependiente. El botón giratorio de la bombadependiente ya no Tiene ninguna funciona.
No puede efectuarse nunca ajuste.
En la bombadependiente tampoco peutajustarse la posicion de la pantalla. Para la bomba dependiente se adoptsa la posicion ajustada en la bomba principal.
Funcionamento con bomba doble:
Secuencia de menus durante el funcionaarto
Al conectar el modulo, aparecen enpellala durante 2 segundos todos los simbolos A continuacion, aparece el ajuste actual . Al pasar los menus en lapellala MA, la secuencia de menus 2 es la misma que en el caso de la bomba simple. A continuacion aparece el menu MA de forma permanente.
Pantalla LC Ajuste

⑧
Mediante en MA, aparece en esta pantalla SL.
Si mediate confirma SL, la other bomba (derecha) se convierte en bomba principal (Master).
Con elo se intercambian las bombas principal y dependiente. Ahora es solo la bomba derecha (MA, principal) la que pueda programarse.
En la bombadependiente, SL, no pueda efectuarse ningúnajuste. El intercambio entre principal y dependiente solo puede realizarse en la bomba principal.

9
Ajuste del funcionaamento de energia punta, principal oreshva
Se visualiza el ajuste actual:

Girando el pulsador, se ilumina el除外ajuste.
Se accepta el ajuste.
La pantalla vuede al ajuste Basics ②

- Menu en caso de发展模式 IF con referencia de bus:
Pantalla LC Ajuste

Mensaje al edificio intelligente
"Id" (número de identificación) aparece en caso de que haya发展模式 IF con interfaz serial digital connectados para enviar un mensaje al edificio inteligente. (Para el Servicio o para la puesta en marcha de la Gestion Tecnica Centralizada (GA)).

Girando el pulsador parpadea la identación Id.

El mensaje ld se envia al edificio intelligente
La pantalla salute alARRYme.
Si no quiere que se envie nunca mensaje, pueda seguir girando el pulsador hasta que la indicación Id deje de parpadear.
Pulsando el botón, la pantalla salta alleysnte menu.

Ajuste de la direccion de bus
"OFF": Lacomingsvia bus estadesconectada

aparece en la pantalla,indicando que la comunicacion se realiza a工程技术 de la interfaz de datos serial.

Girando el pulsador, pueda selectionar una direccion de bus (p. ej. 64).
El rango de direcciones depende del sistemas de busempleo (veanse las Instrucciones de instalacion y funciona correspondentes).

Se acepta el ajuste.
La pantalla salute al seguido menu.

Pantalla LC Ajuste

Configuración de los发展模式 IF
Este ajuste sirve para configurar los módulos IF (p. ej. velocidad de transmisión, formatting de bit).
A, C, E y F son parámetros de libre configuración.
Los manos y parámetros disponibles dependen del modulo IF en@cuestion.
Véanse las instrucciones de instalación y funciona miento de los modulos IF.

Girando el pulsador pueda ajustarse los valores.

Se acapta el ajuste.
La Pantalla vuelve al ajuste Basicsco

- Menu de options: Ajuste del modo de funciona de calefaction (HV) / refrigeracion climatizacion (AC) y cambio de unidades SI a unidas americanas
Pantalla LC Ajuste

②
Ajuste del modo de funciona calefacción (HV)/refrigeracion climatizacion (AC)

En el ajuste Basics (nivel de menu 1),感应el pulsador >6s

③
Durante los 6 s, aparece el nivel de menu 2 tras aprox. 1 s (Punto de menu, ajuste de la posicion de la indicacion de pantalla).
Pantalla LC Ajuste

Pasados ○ los 5 s la pantalla vuelve al nivel de menu 3.
Aparece el indication "HV" (ajuste de fabrica).

Girando el pulsador se puedaonianer refrigeracion/climatacion (AC).
"AC" parpadea.
Se acapta el ajuste.

La pantalla salute al menu seguiente.

Cambio de unidades SL a unidades americanas
Aparece la indicación "m ft", en la que parpadea la unidad que está ajustada. (Ajuste de fabrica [m]).

Girando el pulsador se pueda cambiar al ajuste a [ft]. El nuevo ajuste parpadea.

Se acapta el ajuste.
La Pantalla vuede al ajuste Basics 2
Si en el menu no se realiza ningún ajuste durante 30 s, vuede a aparecer en la pan-talla el ajuste Basics 2
- Indicación de averías: Bomba simple y bomba doble
Pantalla LC Ajuste

10
Si se produce una avería, en pantalla se visualiza una E = error, el n° deIELD y el origen de la avería mediate el parpadeo del motor, el modulo de regulación o la alimentación electrica.
En el capítulo 10 encontrará los nombres deIELD y su significado.
8.3 SeLECTION del modo de regulación
| Tipo de instalación Requisitos del sistema Modo de | regulación recomendado | |
| Instalaciones de calefacción/ventilación/ climatización con resistencia en la parte transmisora (radiador + valvula termosática) ≤ 25% de la resistencia total | 1. Sistemas de dos tubos con valvulas termostáicas/de zona y baja secuencia de actuación de valvulas • HN>4 m • Tuberías de distribución muy largas. • Valvulas de corte de ramales de fuerte estrangulamente • Regulador de presión diferencial en ramal • Elevadas perdidas de presión en las partes de la instalación por las que fluye el caudal completo (caldera/refrigeradora, combustor de calor, tuberia de distribución hasta la prima desviación) 2. Circuitos primarios con elevadas perdidas de presión 3. Sistemas de recirculación de ACS con valvulas de corte de ramales de regulación termostática | Δp-v |
| Sistemas de recirculación de ACS con resistencia en el circuito del generator ≥ 50% de la resistencia en el ramal ascendente | ||
| Instalaciones de calefacción/ventilación/ climatización con resistencia en el circuito generator/ de distribución ≤ 25% de la resistencia en la parte transmisora (radiador + valvula termostática) | 1. Sistemas de dos tubos con valvulas termostáicas/de zona y elevada secuencia de actuación de valvulas • HN≤2 m • Instaluciones por termosifón transformadas • Transformación para grandes saltos tírmicos (p. ej. calefacción urbana) • Bajas perdidas de presión en las partes de la instalación por las que fluye el caudal completo (caldera/refrigerador, combustor de calor, tuberia de distribución hasta la prima desviación) 2. Circuitos primarios con bajas perdidas de presión 3. Calefacción de sueño radiante con valvulas termostáticas o de zona 4. Sistemas monotubo con valvulas termostáticas o de corte de ramales | Δp-c |
| Sistemas de recirculación de ACS con resistencia en el circuito del generador ≤ 50% de la resistencia en el ramal ascendente | 5. Sistemas de recirculación de ACS con val-vulas de corte de ramales de regulación termostárica | Δp-c |
| Instalaciones de calefacción | 1. Sistemas de dos tubos | Δp-T |
| • B o m b a m ontada en la alimentación. | ||
| • Temperatura de alimentación contro-lada por las conditiones atmóricas. A medida que augmente la temperatura de alimentación, se augmente el caudal. | ||
| 2. Sistemas monotubo | ||
| • Bomba montada en el returno. | ||
| • La temperatura de alimentación es constante. A medida que augmente la temperatura de returno, se reduce el caudal. | ||
| 3. Circuits primarios con caldera de gas de condensación | ||
| • Bomba montada en el returno. A medida que augmente la temperatura de returno, se reduce el caudal. | ||
| Sistemas de recirculación de ACS | 4. Sistemas de recirculación de ACS con val-vulas de corte de ramales de regulación termostárica o caudal constante. A medida que augmente la temperatura en la tuberia de recirculación, se reduce el caudal. | |
| Instalaciones de calefac-cción, ventilación/climati-zacion Sistemas de recirculación de ACS | 1. Caudal constante | Modo manual |
| Instalaciones de calefacción | 1. Caudal constante | Modo manual |
| Instalaciones de calefacción 1. Todlos los sistemas ReducciónBomba montada en la alimentación y manta en la cuestionaprimatacablese reduce en periodos de energia débil (p. ej. por la noche).La bomba funciona 24 h en red sin mando externo. | ||
8.4 Ajuste de la potencia de la bomba
Durante la planificacion, la instalacion se concibe para un punto de funciona determinado (punto deargaplena, demanda maxima de potencia calorificacullada).En la puesta en marcha inicial, la potencia de la bomba (altura de impulsion) se ajusta segun el punto de funcionaimiento de la instalacion. El ajuste de fabrica no se corresponde con la potencia de la bomba necessitiesa para la instalacion.Esta potencia se calcula con aplicadela diagrama de curvascharacteristicadel tipo de bomba seleccionado (vease catalogo/ficha tecnica).Veanse también Fig. 8 a 10.
Modos de regulación p - c , p - v y p - T :
| Δp-c (Fig. 9) | Δp-v (Fig. 8) | Δp-T (Fig. 10) | |
| Punto de func- nacimiento en la curva característica max. | Dibujar desde el punto de funciona , hacia la izquierda. Leer el valor de consigna H S yJKLM yJKLM a este valor. | El ajuste es realizado por el service Tecnico a工程技术 no con un dispositivo IR de mando y servicios (accosorios) teniendo enIELD las condi- ciones de la instalada. ción. | |
| Punto de func- nacimiento en el margen de regula- ción | Dibujar desde el punto de funciona , hacia la izquierda. Leer el valor de consigna H S yJKLM a este valor. | Ir sobre la curva característica de la regulación hasta la curva característica máx. a continuación, horizontalmente hacia la izquierda, leer el valor de con- signa H S yJKLM a este valor. | |
| Margon de ajuste H | min, Hmaxythease 5.1 Códigos | Tmin: 20 ... 100 °CTmax: 30 ... 110 °CT= Tmax-Tmin ≥ 10 °CPendiente: ΔHs/ΔT ≤ 1 m/10 °CHmin, HmaxAjuste del sentido de actuación positivo: Hmax> HminAjuste del sentido de actuación negativo: Hmin > Hmax | |
8.4.1 Limitación del caudal
En caso de que se produzca un excesso de suministro debido a la regulación de presión diferencial (Δp-c, Δp-v), el caudal máximo可以选择 limitarse al 25%-90% de Qmax utilizing los dispositivos IR de mando y servicios (accerosios). (version de software de las bombas SW ≥ 6.0). Al alcancarse el valor ajustado, la bomba realiza la regulación por todo el limite de la curva característica, sinURTAR a sobrepasarlo nunca.

INDICACION: "Q-Limit" solamente puede ajustarse utilizing los dispositivos IR de mando y servicios (accerosios).
En caso de utiliser el "Q-Limit" en instalaciones no compensadas hidráulica-mente, es possible que lasdietes secciones de piezas no reciban suficiente alimentacion. Realizar una compensacion hidráulica.
8.5 Funcionamento
Perturbación de aparatos electrónicos por Campos electromagnéticos
Las bombas con convertidor de Frequencia generan Campos electromagnéticos durante el funciona. Esto peut provocar perturbaciones en aparatos electrónicos. Como consecución, el aparato peut estar de functionar correctamente y suponer un riesgo para la salute de las personas. En personas con aparatos Médicos activos o pasivos implantados existe peligro de muerte. Por este motivo, durante el funciona el aparva está prohibido que personas con marcapasos se encontrar en las proximas de la instalación. En soportes de datos magnéticos o electrónicos, existe riesgo de perdida de datos.
8.6 Puesta fauna de servicios
La bomba ha de ponserse fuera de service para realizar problemas de mantenimiento, reparacion o de desmontaje.

'PELIGRO! Peligro de muerte!
Durante la realización de tareas en los equipos electricos existe peligro de muerte por electrocución.
- Ordene que los trabajo en la parte electrica de la bomba sean realizados por grado únicamente por un electricista instaladorrial.
- Antes de起初 las tareas de mantenimiento y reparación, desconnecte la bomba para que quede exenta de tensiones y asegúrela contra una reconexión no autorizada.
- Debido al riesgo de producirse danos personales si seenta en contacto con la tension, espere siempre al menos 5 horas antes de comenzar cualquier trabajo en el modulo.
- Compruebe si todas las connexiones (tanmoi lo contacts libres de tension) estan exentes de tensiones.
- Incluso estando exenta de tensiones, pode circular fluido por la bomba. Esto provoca el acontecimiento del rotor que, a su vez, induce una tension en los contactos del motor que pueda suponer un riesgo para la salute en caso de contacto. Cierre las valvulas de cierre situadas delante y detrás de la bomba.
- La bomba no debeponerse en functionamento si el modulo de regulacion estan dañados.

jADVERTENCIA! Peligro de quemaduras!
;Existe peligro de quemaduras en caso de entrada en contacto con la bomba! En funcion del estado de functionamento de la bomba o de la instalacion (temperatura del fluido),la bomba能把 alcantar temperatas mucy altas.Deje que la instalacion y la bomba se enfien hasta alcantar la temperatura ambiente.
9 Mantenimiento
Antes de realizareworkos demantimiento,limpieza y reparacion,tenga en-.
cuentalo indico en los capitulos 8.5 "Funcionamento"y 8.6 "Puesta fuera de
servicio".Tenga en cuanta las instrucciones de seguidad que aparecen en los
capitulos 2.6 y7.
Una vez realizados los problemas de mantenimiento o de reparación, monte y conecte la bomba según lo indicado en el capítulo 7 "Instalación y conexión electrica".
Ponga en marcha la bomba según lo indicado en el capítulo 8 "Puesta en marcha".
9.1 Desmontaje/montaje

iADVERTENCIA! iPeligro de danos personales y materiales!
Una desmontaje/montaje inadequados puede occasionar daños personales y materiales.
- iExiste peligro de quemaduras en caso de entrada en contacto con la bomba! En funciona del estado de functionamento de la bomba o de la instalacion (temperatura del fluido), la bomba pueda alcanzar temperatas muy altas.
- Si la temperatura del fluido y la presión del sistema son muy altas, existe riesgo de quemaduras a Causea de posibles fugas de fluido de impulsión caliente.
Antes de proceder al desmontaje, cierre las valvulas de cierre situadas a ambos lados de la bomba, deja que la bomba se enfiree a temperatura ambiente y vacie la derivacion de la instalacion que está cortada. Si no hay valvulas de cierre, vacie la instalacion.
- Observe lasindicaciones delfabricante ylas hojas deseguidadde los aditivos que pudiera CONTENER la instalacion.
- Existe peligro de lesiones causadas por una possible caía del motor/de la bomba al aflojar los tornillos de fijación.
Observe las normativas naciales vigentes para la prevencion de accidentes asi como cualquier possible norma de trabajo, manejo y seguridad por parte del operador. Si esnecessary,utilice equipo de proteccion personal.

iADVERTENCIA! iPeligro por fuerte campo magnético!
En el interior de laquina existe siempre un fuerte campo magnétique que pueda provocar danios personales y materiales si el desmontaje no se efectua correctamente.
- La extracción del rotor de la carcaja del motor sóloDebe realizarla personalrialcualificado y autorizzato.
- Existe peligro de aplastamento. Al extraer el rotor del motor, pueda suceder que, deben al fuerte camino magnético, sea atraido bruscamente a su posición inicial.
- Al extraer del motor la unidad compuesta por rodete, plac de cojinete y rotor, las personas que tengan marcapasos, bombas de insulina, audifonos, implants u other aparatos medicos corren peligro. La inobservancia de esta
indicación puede tener como consecuencia la muerte o lesiones muy graves, asi como daños materiales. Para estas personas se precise, en cualquier caso, un examen Médico de salute laboral.
- El fuerte campo magnético del rotor pueda perturbar o darar el funcionaimiento de aparatos electrónicos.
- Si el rotor se encuesta fuera del motor, es possible que objetos magnéticos Sean atráidos bruscamente por este. Este pueda provocar lesiones corporales y daños personales.
Estando montado, el camino magnétique del rotor se concentra en el entrehierro del motor. Porarlo, en el exterior de laquina no pueda detectarse ningún camino magnétique nocivo.

!PELIGRO! !Peligro de muerte por electrucución!
Incluso sin modulo (sin conexión electrica) pueda existir una tension peligrosa en los contactos del motor.
Observe la advertencia en la parte frontal del motor: "Atencion, tension por generator".
Si se va a colocar solamente el modulo de regulacion en另一边 posicion, no esnecessary sacar el motor Completely de la carca sa de la bomba. En este caso, se pueda girar el motor hasta la posicion deseada sin sacarlo de la bomba (tenga en cuenta las posiciones de montaje admisibles en las Fig. 2a y 2b).

INDICACION: En general, deben girarse el cabezal motor antes de que se llene la instalacion.

!ATENCLON! !Peligro de que se produzcan daños materiales!
En el caso de que el cerrazal motor se separe de la carcasa de la bomba para realizareworks deostenimiento o reparacion,debere reemplazarse la junta tórica que se encuentra entre ambos. Observe que la junta tórica esté bien asentada cuando vuelva a montar el cerrazal motor.
- Para descrear el motor, suele los 4 tornillos de cabeza con hexagono interior (fig. 5, pos. 2).

iATENCLON! iPeligro de que se produzcan daños materiales!
Procure no dañar la junta tórica que se encuesta entre el casingzal motor y la carcaja de la bomba. La junta tórica debe permanecer en su asiento en la brida orientada hacía el rodete y no debe estar torcida.
- Una vez finalizo el montaje, vuelva a preparar los 4 cinco tornillos en cruz.
- Si no se pueda acceder a los tornillos de la brida del motor, es possible分开ar el modulo de regulacion del motor aflojando 2 tornillos, vexe capitulo 9.2.
- Puesta en marcha de la bomba, véase capítulo 8.
9.2 Desmontaje/montaje del modulo de regulación

iADVERTENCIA! iPeligro de daños personales y materiales!
Una desmontaje/montaje inadequados puede occasionar daños personales y materiales. Observe lasindicaciones depeligro del capitulo 9.1.

iPEligro! iPeligro de muerte por electrucacion!
Incluso sin modulo (sin conexión electrica) puede existir una tension peligrosa en los contactos del motor (causa: funciona bajo el control de la bomba). No introducesczka objetos (p. ej. clavos, destornilladores, alambre) en los contactos del motor.
El modulo de regulación se Separate del motor aflojando 2 tornillos (Fig. 4):
- Afloje los tornillos de la tapa de la caja de bornes (pos. 1).
- Retire la tapa de la caja de bornes (pos. 2).
- Afloje los tornillos de cabeza con hexágono interior M5 (SW4) del modulo de regulación (pos. 3).
- Retire el modulo de regulación del motor (pos. 4).
- Montaje enorden inverso, sin olvidar colocar la junta plana (pos. 5) entre carcas del motor y modulo de regulacion.
10 Averías, causas y solución
Para consultar una avería, su Cause y la solución, Videase la representation del proceso "Indicación de averías/advertencias" y las tablas 10, 10.1, 10.2.
Tabla 10: Averías con causa externa
| Averías Causas解決ión | ||
| La alimentación electrónica está connectada pero la bomba no funciona. | El fusible electrico está defectuoso. | Compruebe los fusibles. |
| La bomba no recibe tensión. | Resuelva el corte en la tensión. | |
| La bomba emite ruidos. | Cavitationcede a una presión de alimentación insufiente. | Aumente la presión previa del sistemas bajo el rango permitido. |
| Compruebe la alta de impulsión ajustada y redúzcala, si fuera precise. | ||
10.1 Indicaciones de avería - modo de funciona calefacción/ventilación HV
- Ha surgido una avería.
- La bomba se desconecta, se enciende el LED de avería (luz roja continua). Bomba doble: Se conecta la bomba deresherva.
- Tras 5 Minutes de espera, la bomba se vuye a conectar automatistically.
- La transmisión de la avería a性和 de la interfaz serial digital depende del tipo de modulo IF. Para más detalles, vaanse las instrucciones de instalación y configuracionado de los发展模式 IF.
- Si se produce laquia 6 vezes en un periodo de 24 horas, la bomba permanece desconectada y SSM abre. En este caso, la avería debe restablecersemanualmente.

EXCEPCION: En el caso averías con loscottos "E10" y "E25",la bomba se desconecta inmediamente la primera vez que se produce el fallo.
10.2 Indicaciones de avería - modo de funciona el climatización AC
- Ha surgido una avería.
- La bomba se desconecta, se enciende el LED de avería (luz roja continua). La indicación de fallo aparece en pantalla, SSM abre. En este caso, la avería debe restablecerse manualmente. Bomba doble: Se conecta la bomba deresherva.
- La transmisión de la avería a性和 de la interfaz serial digital depende del tipo de modulo IF. Para más detalles,年起anse las instrucciones de instalación y configuracionado de los发展模式 IF.

INDICACION: Los@codes "E04" (baja tension de red) y "E05" (sobretenacion de red) solo se consideran fallos en functionamento AC y producen la desconexion inmediata.
| № decottido | Símbolo parpa-deante | Avería Causa Solución | ||
| E04 Borne de red | Baja tensión de red | Suministro de corriente en lado de la red dema-siado bajo | Comprobar la tensión de red | |
| E05 Borne de red | Sobreten-sión de red | Suministro de corriente en lado de la red dema-siado alto | Comprobar la tensión de red | |
| E10 Motor Bloqueo de la bomba | p. ej. por depósitos | La rutina de desbloqueo funciona automatistically. Si transcurridos 40 s como max. no se ha eliminado el bloqueo, la bomba se des-connecta. Contactar con el servicios técnico | ||
| E20 Motor Sobretem- peratura del bobinado | Motor sobrecargado Dejar enfiar el motor; comprobar el ajuste | |||
| Temperatura del agua demasiado alta | Reducir la temperatura del agua | |||
| E21 Motor Sobrecarga del motor | Depósitos en la bomba Contactar con el servicios工程技术 | |||
| E23 Motor Cortocir-cuito/contacto a tierra | Motor/módulo averiado Contactar con el技术服务工程技术 | |||
| E25 Motor Fallo de contacto | Conexión errónea del modulo | Volver a connectar el modulo | ||
| E30 Módulo Sobretem- peratura del módulo | Ventilación del disipador del módulo limitada | Mejore la ventilación de la estancia, disfruebe las condiiones de utiliser y, en caso necasario, contacte con el service technician | ||
Tabla 10.1: Indicaciones de avería
| N° de., código | Símbolo parpa- deante | Avería Causa Solución | |
| E31 Módulo Sobretem- peratura de la parte de potencia | La temperature ambiente es demasiado alta | Mejore la ventilación de la estancia, compruebe las condiciones de UTILIZación y, en caso necasario, contacte con el serviceo técnico | |
| E36 Módulo Módulo ave- riado | Componentes electrónicos defectuosos | Contactar con el serviceio technico/sustituir el modulo | |
10.3 Advertencias
- Se visualiza la avería (sólo advertencia).
- El LED de avería y el relé SSM no seactivan.
- La bombacedefuncionando;esta advertenciapuedeaparecerconfrecuencia.
- El estado de funciona como erroneo no deben prolongarse. Por ese, identifique la causa inmediamente.

EXCEPCION: Si las advertencias "E04" y "E05" en el modo de funciona HV se visualizan durante más de 5 Minutes, se Transmitirán como indicación de avería (vease cap. 10.1).
- La transmisión de la avería a性和 de la interfaz serial digital depende del tipo de modulo IF. Para más detalles, vaanse las instrucciones de instalación y configuracionado de los发展模式 IF.
| № de número | Símbolo parpa- deante | Avería Causa Solución | ||
| E03 | Temperatura del agua >110 °C | La regulación de la cale- fación está mal ajustada | Ajustar una temperatura inferior | |
| E04 Baja tensión | de red | Red sobrecargada Comprobar la instalación electrónica | ||
| E05 Sobreten- | sión de red | Alimentación incorrecta de la compañero electrónica | Comprobar la instalación electrónica | |
| N° decottó | Símboloparpa-deante | Avería Causa Solución | ||
| E07 1.Funcionaw | miento porgenerador | Accionado por la bombade presión previa (flujo por la bombaderesde ellado de aspiración hacela lado de impulsión) | Compensar la regulaciónde la potencia de lasbombas | |
| 2.Funcionaw.miento conturbinas | La bombasecciona deforma inversa (flujo por la bombaderesde ellado deimpulsión hacela lado deaspiración) | Controlar el flujo, en casoenecasar, montar valvulasanirretorno | ||
| E09*) | Funcionaw.miento conturbinas | La bombasecciona deforma inversa (flujo por la bombaderesde ellado deimpulsión hacela lado deaspiración) | Controlar el flujo, en casoenecasar, montar valvulasanirretorno | |
| E11 Punto | muerto de labomba | Aire en la bomba Purgar la bomba/la instalación | la instalación | |
| E38 Motor Sensor de | temperatura del fluidodefectuoso | Motor averiado Contactar con el serviceotécnico | técnico | |
| E50 Fallo en la | comunica-ción via bus | Interfaz, cable defec-tuoso, mídulos IF noestán correctamenteconectados, cable defec-tuoso | Tras 5 min, el mando con-muta a regulación Local-Mode a技术水平 de la interfaz | |
| E51 Combina- | ción inadmi-siblebomba prin-cipal/bombadependiente | Bombas differsentes Bombas simples: montarbombas del本身就是 tipo.Bomba doble: Contactarcon el serviceo tícnico oconsultar el tipo de bombacon ayud del dispositivoIR en MA (bomba principal)y SL (bombadependiente).En caso de temas de:módulodistinctos, Solicar emodulo de repuestoscorrespondiente | y SL (bomba dependiente).En caso de temas de:módulodistinctos, Solicar emodulo de repuestoscorrespondiente | |
Tabla 10.2: Advertencias
| N° de., código | Símbolo parpa- deante | Avería Causa Solución | ||
| E52 Avería de | comunica- cción bomba principal/ bomba dependiente | Los mídulos IF no está correctamente connecta- dos, cable defectuoso | Pasados 5 s, los mídulos conmutan a funciona- miento con bomba simple. Vuelva a conectar los módulos, compruebe el cable | |
| E53 Dirección de | bus inadmi- sible | La direccion de bus se ha asignado dos veces | Vuelva a realizar la asigna- cción en el;módulo | |
| E54 Conexión I/O | -;módulo | La conexión I/O -;módulo está interruppida | Compruebe la conexión | |
| MA No se han | definido la bomba prin- cipal/bomba dependiente | Definir la bomba principal y la bomba independiente | ||
*) solo para bombas con P1 ≥ 800W
Si no es possible resolver el fallo de funciona,[2] y como, póngase en contacto con la Empresa especializada o diríjase a la suscursal o a la central de atencion al cliente de Salmson más cercanas.
Representación del proceso de indicación de averías/advertencias en funciona HV

Indicaciones de avería: Advertencias:
Representación del proceso de indicación de averías/advertencias en funciona AC

Indicaciones de avería: Advertencias:
11 Repuestos
Los repuestos se piden a工程技术 de la Empresa especializada local y/o del servicei tecnico de Salmson.
Para evaporar errors y preguntas innecesarias, indique en cada pedido todos los datos de la plac de caracteristicas.
12 Eliminación
Eliminando y reciclando este producto correctamente se evitan daños medioambienteles yPEGROS para la salute.
Para el desmontaje y la eliminación del motor, deben observarse las advertencias del capítulo 9.1.
- Para eliminar el producto o partes de este, sirvase de entreprises de eliminación de desechos Públas o privadas.
- El ayuntamiento, el organo competente en materia de eliminacion de deschos o el proveedor del producto le proportionaran informacion más detallada sobre la eliminacion correcta del mesmo.

INDICACION:
La bomba no debe tirarse a la basura domestica.
Para más información sobre cuestiones de reciclaje, consulte el sitio web www.salmson-recycling.com
Quedareservadolederechoarelakizarmodificacionestécnicas.
DECLARATION DE CONFORMITE CE
Este producto se fabrico en un centro
certificado ISO 14.001, respetuoso del medio ambiente.
Este producto está formado por materiales en muy gran parte recicable.
En final de vida hacerlo eliminar en el sector conveniente.
Ciudad autonoma de Buenos Aires
ARGENTINA
TEL:(54)114361.5929
FAX:(54)114361.9929
info@salmson.com.ar
ManualFácil