PW 2982 FA - Vekter CLATRONIC - Gratis bruksanvisning og manual
Finn enhetens veiledning gratis PW 2982 FA CLATRONIC i PDF-format.
Ofte stilte spørsmål - PW 2982 FA CLATRONIC
Brukerspørsmål om PW 2982 FA CLATRONIC
0 spørsmål om dette apparatet. Svar på dem du kjenner, eller still ditt eget.
Still et nytt spørsmål om dette apparatet
Last ned instruksjonene for din Vekter i PDF-format gratis! Finn veiledningen din PW 2982 FA - CLATRONIC og ta den elektroniske enheten tilbake i hendene. På denne siden er alle dokumenter som er nødvendige for bruken av enheten din publisert. PW 2982 FA av merket CLATRONIC.
BRUKSANVISNING PW 2982 FA CLATRONIC
Oversikt over betjeningselementer .... Side 3
Bruksanvisning .... Side 28
Garanti.... Side 30
NEDERLANDS
ENGLISH
Inhoud
Overzicht bedieningselementen ...... Pagina 3
- Les nøye gjennom bruksanvisningen før du tar apparatet i bruk. Ta godt vare på bruksanvisningen, garantibeviset, kassalappen og helst også esken med innvendig emballasje.
- Apparatet må bare brukes til private formål og de formål det der er beregnet på. Dette apparatet er ikke ment for industriell bruk. Det må ikke benyttes utendørs (bortsett fra hvis det bare er beregnet på utendørs bruk). Hold det unna varme, direkte solskinn, fuktighet (senk det aldri ned i væsker) og skarpe kanter. Ikke bruk apparatet hvis du er fuktig på hendende. Hvis apparatet har blitt fuktig eller vått, må du trekke ut støpselet med en gang. Ikke kom borti vannet.
- Slå av apparatet og trekk alltid støpselet ut av stikkontakten (trekk i støpselet, ikke i ledningen) når du ikke bruker apparatet, fest tilbehørsdeler for rengjøring eller ved feil.
- Ikke bruk apparatet uten oppsikt. Hvis du forlater arbeidsplassen, må du alltid slå apparatet av eller trekke støpselet ut av stikkontakten (trekk i støpselet, ikke i ledningen.
- For å beskytte barn mot farer forbundet med elektriske apparater, må du alltid sørge for at ledningen ikke henger ned, og at apparatet ikke er tilgjengelig for barn.
- Kontroller jevnlig om det er skader på apparat og ledning. Skadede apparater må ikke brukes.
- Ikke reparer apparatet selv. Oppsøk en autorisert fagmann. Hvis en nettledning er defekt, må du sørge for at den kun skiftes ut med en lik ledning, for slik å unngå farer. Dette må gjøres av produsenten, vår kundetjeneste eller en lignende kvalifi sert person.
- Bruk bare originaltilbehør.
- Legg merke til "Spesielle sikkerhetsanvisninger" nedenfor.
Spesielle sikkerhetsanvisninger for dette apparatet
- Denne vekten med analyse av kroppfett egner seg ikke for følgende personer:
- Barn under 10 år og voksne over 80 år
- Personer med symptomer på feber, ødemer eller osteoporose
- Personer som får dialysebehandling
- Personer som tar kardiovaskulære medisiner
- Gravide
- Idrettsutøvere som trener intensivt i mer enn 5 timer daglig
- Personer med en hjertefrekvens på under 60 slag i minuttet
- Apparatet er beregnet for en maksimal kroppsvekt på 150 kg! Tyngre vekt kan ødelegge apparatet!
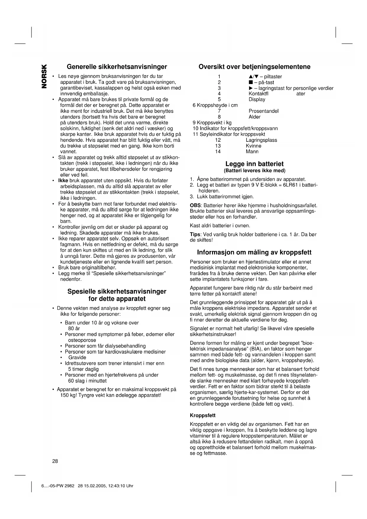
Oversikt over betjeningselementene
| 1 | ▲/▼ – piltaster | |
| 2 | ■ – på-tast | |
| 3 | ► – lagringstast for personlige verdier | |
| 4 | Kontaktfl | ater |
| 5 | Display | |
| 6 Kroppshøyde i cm | ||
| 7 | Prosentandel | |
| 8 | Alder | |
| 9 Kroppsvekt i kg | ||
| 10 Indikator for kroppsfett/kroppsvann | ||
| 11 Søyleindikator for kroppsvekt | ||
| 12 | Lagringsplass | |
| 13 | Kvinne | |
| 14 | Mann | |
Legge inn batteriet (Batteri leveres ikke med)
- Åpne batterirommet på undersiden av apparatet.
- Legg et batteri av typen 9 V E-blokk = 6LR61 i batteri-holderen.
- Lukk batterirommet igjen.
Tips: Ved vanlig bruk holder batteriene i ca. 1 år. Da bør de skiftes!
Informasjon om måling av kroppsfett
Personer som bruker en hjertestimulator eller et annet medisinisk implantat med elektroniske komponenter, frarådes fra å bruke denne vekten. Den kan påvirke eller sette implantatets funksjoner i fare.
Apparatet fungerer bare riktig når du står barbeint med tørre føtter på kontaktfl atene!
Det grunnleggende prinsippet for apparatet går ut på å måle kroppens elektriske impedans. Apparatet sender et svakt, umerkelig elektrisk signal gjennom kroppen din og fi nner deretter de aktuelle verdiene for deg.
Signalet er normalt helt ufarlig! Se likevel våre spesielle sikkerhetsinstrukser!
Denne formen for måling er kjent under begrepet "bioe-lektrisk impedansanalyse" (BIA), en faktor som henger sammen med både fett- og vannandelen i kroppen samt med andre biologiske data (alder, kjønn, kroppshøyde).
Det fi nnes tunge mennesker som har et balansert forhold mellom fett- og muskelmasse, og det fi nnes tilsynelaten-de slanke mennesker med klart forhøyede kroppsfett-verdier. Fett er en faktor som bidrar sterkt til å belaste organismen, særlig hjerte-kar-systemet. Derfor er det en grunnleggende forutsetning for helse og sunnhet å kontrollere begge verdiene (både fett og vekt).
Kroppsfett
Kroppsfett er en viktig del av organismen. Fett har en viktig oppgave i kroppen, fra å beskytte leddene og lagre vitaminer til å regulere kroppstemperaturen. Målet er altså ikke å redusere fettandelen radikalt, men å oppnå og opprettholde et balansert forhold mellom muskelmasse og fettmasse.
Hva vann betyr for helsen vår
Den menneskelige organismen består av ca. 55–60 % vann, noe avhengig av alder og kjønn.
Vann har en rekke oppgaver i kroppen:
- Det er byggestein i cellene våre. Det betyr at alle cellene i kroppen, både hud-, kjertel-, muskel-, hjerneceller og andre celler, bare kan fungere hvis de inneholder tilstrekkelig med vann.
- Det er oppløsningsmiddel for viktige substanser i organismen.
- Det er transportmiddel for næringsstoffer, kroppens egne substanser og stoffskifteprodukter.
Retningsgivende verdier for din helseprofi I fi nner du i referansetabellen. Den viser kroppsfettverdienes avhengighetsforhold til alder og kjønn. Legg merke til at både vannreservene i kroppen og fettandelen svinger kraftig i løpet av dagen. Mål derfor alltid på samme tidspunkt på dagen for å få en sammenlignbar verdi.
Måleresultatene for andelen kroppsfett og andelen kroppsvann er kun referanseverdier. De anbefales ikke brukt til medisinske formål. Rådfør deg alltid med legen din dersom du har spørsmål om en medisinsk behandling eller en diett for å oppnå normalvekt.
Tekniske kjennetegn
Forhåndsinnstilling av minnet:
| Minne Kjønn Høyde Alder | |||
| 1 Mann | 165 cm 25 | ||
Lagringsplasser:
Høydeinnstilling: fra 100 til 250 cm
Alder: fra 10 til 100 år
Minimumsvekt: 2,0 kg
Maksimumsvekt: 150 kg
Oppløsning ved vektmåling: trinn på 0,1 kg
Måleområde for kroppsfett: 4–45 %
Måleområde for kroppsvann: 37,8–66 %
Referansetabell (ca. og i %)
| Alder | Kvinner | Menn | Tendens | ||
| Fett | Hydratisering | Fett | Hydratisering | ||
| opptil 30 | 4,0-16,0% | 66,0-57,8% | 4,0-11,0% | 66,0-61,2% | for tynn |
| 16,1-20,5% | 57,7-54,7% | 11,1-15,5% | 61,1-58,1% | tynn | |
| 20,6-25,0% | 54,6-51,6% | 15,6-20,0% | 58,0-55,0% | normal | |
| 25,1-30,5% | 51,5-47,8% | 20,1-24,5% | 54,9-51,9% | høy | |
| 30,6-45,0% | 47,7-37,8% | 24,6-45,0% | 51,8-37,8% | svært høy | |
| over 30 | 4,0-20,0% | 66,0-55,0% | 4,0-15,0% | 66,0-58,4% | for tynn |
| 20,1-25,0% | 54,9-51,6% | 15,1-19,5% | 58,3-55,3% | tynn | |
| 25,1-30,0% | 51,5-48,1% | 19,6-24,0% | 55,2-52,3% | normal | |
| 30,1-35,0% | 48,0-44,7% | 24,1-28,5% | 52,2-49,2% | høy | |
| 35,1-45,0% | 44,6-37,8% | 28,6-45,0% | 49,1-37,8% | svært høy | |
Tips: På grunn av store svingninger i kroppsfettandelen er det vanskelig å få en referanseverdi. Normalt er det optimale måletidspunktet for et voksent menneske mellom klokka 18 og 20, for i dette tidsrommet ligger fettandelen svært jevnt!
Ta i bruk apparatet
Ren vektfunksjon
Sett badevekten på et hardt, fl att underlag (unngå teppegulv). Ujevne gulv fører til unøyaktigheter.
- Slå på vekten ved å trykke lett på glassflaten med foten eller täspissen.
Tips: På displayet vises "88888". - Etter noen sekunder vises "0.0" på displayet (5). Still deg med begge beina på kontaktfl atene (4). Fordel kroppsvekten din jevnt og vent mens vekten beregner hvor mye du veier.
- Vekten din vises på displayet (5). Etter noen sekunder slår apparatet seg av automatisk!
Programmere personlige data
Tips: De følgende trinnene bør utføres rett etter hverandre, i løpet av noen få sekunder, ellers avbryter apparatet programmeringsmodusen automatisk!
- Trykk på på-tasten ■ for å slå på apparatet. På displayet (5) vises kort alle segmentene, deretter blinker indikatoren (12) "Lagringsplass".
- Velg en lagringsplass med piltastene ▲/▼.
- Trykk en gang til på på-tasten ■ for å komme over i programmeringsmodus.
-
På displayet blinker et symbol for kvinne (13) eller mann (14). Velg riktig kjønn ved hjelp av piltastene ▲/▼.
-
Trykk en gang til på på-tasten ■ for å komme til inn-stillingen "Kroppshøyde". Bruk piltastene ▲/▼ og velg en verdi mellom 100 og 250.
-
Trykk en gang til på på-tasten ■ for å komme til inn-stillingen "Alder". Bruk piltastene ▲/▼ og velg en verdi mellom 10 og 100 år.
-
Trykk en gang til på på-tasten ■ og du kommer tilbake til indikatoren "Lagringsplass". Her har du to valg:
a. Trykk en gang til på på-tasten ■ for å se alle innstillingene en gang til og foreta eventuelle endringer.
b. Trykk på lagringsknappen ► for å komme over i modusen for kroppsfettmåling.
Lagringsplassen og den innstilte kroppshøyden vises på displayet i noen sekunder, deretter skifter indikatoren over til "0.0". For mer informasjon, se punkt 4 "Bestemme vekt og andel kroppsfett og kroppsvann".
Studer funksjonsskjemaet under for å forstå det hele bedre:

flowchart
graph TD
A["Trykk på tasten ■"] --> B["Lagringsvalg med ▲/▼"]
B --> C["Trykk på ■"]
C --> D["Kjønn ▲/▼"]
D --> E["Høyde ▲/▼"]
E --> F["Alder ▲/▼"]
F --> G["Terug naar de normale lichaamsvetanalyse-modus"]
B --> H["Trykk på ▲"]
H --> I["Terug naar de normale lichaamsvetanalyse-modus"]
Dine personlige verdier er nå lagret på den utvalgte minneplassen.
Du har totalt 8 lagringsplasser til disposisjon. Det står ytterligere sju lagringsplasser til disposisjon, og dermed har du mulighet til å lagre de personlige verdiene til andre familiemedlemmer i tillegg til dine egne.
Bestemme vekt, andel kroppsvekt og andel kroppsvann
Tips: Du kan bare måle deg når du er barbeint. Tørk av kontaktfl atene ved behov for å forbedre ledeeffekten. Still deg med nakne føtter på 2 av de 4 kontaktfl atene.
- Trykk på på-tasten ■ for å slå på apparatet. På displayet (5) vises alle segmentene kort, deretter blinker indikatoren (12) "Lagringsplass".
- Bruk piltastene ▲/▼ og velg en lagringsplass.
- Trykk på lagringstasten ► for å komme over i modu- sen for kroppsfettmåling.
- Lagringsplassen og innstilt kroppshøyde vises på displayet i noen sekunder, deretter skifter indikatoren over til "0.0".
-
Still deg med begge føttene på kontaktfl atene (4).
-
Først vises vekten din på displayet.
- I løpet av noen sekunder beregner vekten så automatisk din andel av kroppsfett og kroppsvann.
- Displayet viser så prosentsatsen for kroppsfett (symbolet "BF"), fulgt av prosentsatsen for kroppsvann (symbolet "BW").
- Deretter veksler LCD-indikatoren fem ganger mellom prosentverdiene for kroppsfett og kroppsvann, før den slår seg av automatisk.
Displayvisninger og feilmeldinger
Generelt
Hvis det vises en feilmelding (Err) på displayet, må du vente til apparatet slår seg av. Deretter kan du slå det på igjen og prøve en gang til.
For å nullstille alt (reset) kan du ta ut batteriet et øyeblikk og så legge det inn igjen.
Meldinger
| Slå på | Alle segmentene lyser samtidig. Dette er en kontroll av at apparatet fungerer som det skal. | |
| „----“ | Vekten står utstødig eller den som skal måles, veier for lite. | Vekten kan ikke fungere som den skal. Sett vekten på et jevnt og hardt underlag. |
| „Err“ | Vekten står ustødig eller er overbelastet. | Sett vekten på et jevnt og hardt underlag. |
| Ligger målingen innenfor måleområdet på 150kg? | ||
| „LO“ | Batteriet er dårlig. | |
| „Err-h“ | Den utregnede prosentandelen kroppsfett ligger over måleområdets øvre grenseverdi. | |
| „Err-l“ | Den utregnede prosentandelen kroppsfett ligger under måleområdets nedre grenseverdi. | |
Tips om bruk og vedlikehold
- Vei deg uten klær og sko før et måltid og alltid til samme tid på dagen.
- Vekten runder opp og ned til nærmeste 100 gram.
- Hvis du veier deg to ganger og får to ulike resultater, ligger vekten din et sted mellom disse to verdiene.
- Ikke legg vekten ned i vann, dette kan ødelegge elektronikken.
- Fjern batteriet hvis vekten ikke er i bruk over lengre
tid.
- Behandle vekten med forsiktighet – det er et måleinstrument. Ikke mist den i gulvet og ikke hopp opp på den.
- Apparatet er fullstendig vedlikeholdsfritt.
- For å unngå skader på apparatet må du ikke belaste det med mer enn 150 kg.
Rengjøring
- Rengjør apparatet med en lett fuktig – ikke våt – klut. Pass på at det ikke kommer fuktighet eller væske inn i apparatet!
- Ikke bruk sterke tilsetningsmidler! De kan skade apparathuset!
- Som tilsetningsmiddel kan du bruke vanlig oppvaskmiddel eller en enkel såpe.
- Tørk av apparatet med en tørr, myk klut etter rengjøring.
Dette apparatet har blitt testet i henhold til alle aktuelle CE-retningslinjer som det rammes av, f.eks. elektromagnetisk toleranse og direktiver om lavspenning. Det er laget i henhold til dagens nyeste sikkerhetstekniske forskrifter.
Med forbehold om tekniske endringer!
Garanti
For apparat som vi har solgt, påtar vi oss en garanti på 24 måneder fra kjøpsdato (kassalapp).
Innenfor garantitiden fjerner vi mangler på apparat eller tilbehør*) uten omkostninger hvis manglene skyldes material- eller produksjonsfeil. Dette gjør vi ved reparasjon eller – etter vår vurdering – bytting.
Garantiytelser medfører ingen forlengelse av garantitiden, og det oppstår heller ikke noe krav på en ny garanti på grunn av dette!
Som garantibevis gjelder kjøpsbeviset. Uten dette beviset kan du ikke få byttet eller reparert apparatet gratis.
I forbindelse med garanti ber vi om at du gir hele apparatet i originalemballasjen sammen med kassalappen til din forhandler.
*) Skader på tilbehørsdeler fører ikke automatisk til at du får byttet hele apparatet gratis. I slike tilfeller ber vi deg om å henvende deg til vår hotline! Glasskader eller sprekker i plastdeler er i prinsippet kostnadspliktige!
Verken defekter på forbrukstilbehør og slitasjedeler (for eksempel motorkull, eltekroker, drivremmer, ekstra fjernbetjening, ekstra tannbørster, sagblader osv.) eller rengjøring, vedlikehold og utskifting av slitasjedeler går inn under garantien. Slike ting er derfor kostnadspliktige!
Garantien utgår ved inngrep utenfra.
Etter garantien
Etter at garantitiden har gått ut, kan reparasjoner utføres av den aktuelle faghandelen eller reparasjonsservice mot betaling.