EABH16DF9W - Airconditioning DAIKIN - Gratis gebruiksaanwijzing en handleiding

Vind de handleiding van het apparaat gratis EABH16DF9W DAIKIN in PDF-formaat.

📄 156 pagina's Nederlands NL 💬 AI-vraag
Notice DAIKIN EABH16DF9W - page 44
Handleidingassistent
Aangedreven door ChatGPT
Wachten op uw bericht
Productinformatie

Merk : DAIKIN

Model : EABH16DF9W

Categorie : Airconditioning

Download de handleiding voor uw Airconditioning in PDF-formaat gratis! Vind uw handleiding EABH16DF9W - DAIKIN en neem uw elektronisch apparaat weer in handen. Op deze pagina staan alle documenten die nodig zijn voor het gebruik van uw apparaat. EABH16DF9W van het merk DAIKIN.

GEBRUIKSAANWIJZING EABH16DF9W DAIKIN

2.1 Onderdelen in een typische systeemlay-out ............................. 45

  • 3 Bediening 45 3.1 Gebruikersinterface: overzicht p. 453
  • .2 Mogelijke schermen: overzicht p. 463
  • .2.1 Startscherm p. 463
  • .2.2 Het scherm Hoofdmenu p. 473
  • .2.3 Instelpunt-scherm p. 473
  • .2.4 Gedetailleerd scherm met waarden p. 483
  • .3 De werking AAN of UIT zetten p. 483
  • .3.1 Visuele aanduiding p. 483
  • .3.2 Om AAN of UIT te zetten p. 483
  • .4 De regeling van de ruimteverwarming/-koeling p. 493
  • .4.1 De bedrijfsmodus instellen p. 493
  • .4.2 De gewenste kamertemperatuur wijzigen p. 493
  • .4.3 De gewenste aanvoerwatertemperatuur wijzigen p. 493
  • .5 Het warm tapwater regelen p. 503
  • .5.1 Stand Warmhouden p. 503
  • .5.2 Geplande stand p. 503
  • .5.3 De stand Gepland + warmhouden p. 503
  • .5.4 Krachtige warm tapwaterwerking gebruiken p. 513
  • .6 Gevorderd gebruik p. 513
  • .7 Programmascherm: voorbeeld p. 513
  • .8 Menustructuur: Overzicht gebruikersinstellingen p. 543
  • .9 Installateurinstellingen: tabellen die de installateur moetinvullen p. 553
  • .9.1 Configuratiewizard p. 553
  • .9.2 Menu Instellingen p. 55
  • 4 Tips om energie te besparen 55 5 Onderhoud en service 55 5.1 Overzicht: onderhoud en service p. 555
  • .2 Het contact/helpdesknummer vinden p. 56
  • 6 Opsporen en verhelpen van storingen 56 6.1 De help-tekst weergeven in geval van een storing p. 566
  • .2 Symptoom: u vindt het te koud (warm) in uw woonruimte p. 566
  • .3 Symptoom: het water uit de kraan is te koud p. 576
  • .4 Symptoom: Storing in de warmtepomp p. 576
  • .5 Symptoom: Het systeem maakt gorgelende geluiden na deinbedrijfstelling 7 Als afval verwijderen 57 8 Verklarende woordenlijst 57 1 Over dit document Onze welgemeende dank voor de aankoop van dit product. Verzoek: p. 57
  • Lees zorgvuldig de documentatie vooraleer de gebruikersinterface te gebruiken om zo de best mogelijke werking te kunnen garanderen.
  • Vraag de installateur u te informeren over de instellingen die hij gebruikte om uw systeem te configureren. Controleer of hij de tabellen met de installateurinstellingen ingevuld heeft. Indien niet, verzoek hem dit alsnog te doen.
  • Bewaar de documentatie voor latere raadpleging. Bedoeld publiek Eindgebruikers Documentatieset Dit document is een onderdeel van een documentatieset. De volledige set omvat:
  • Algemene veiligheidsmaatregelen:
  • Veiligheidsinstructies die u moet lezen vooraleer uw systeem te bedienen
  • Formaat: Papier (in de doos van de binnenunit)
  • Snelle gids voor basisgebruik
  • Formaat: Papier (in de doos van de binnenunit)
  • Uitgebreide handleiding voor de gebruiker:
  • Gedetailleerde stap per stap instructies en achtergrondinformatie voor basis- en gevorderd gebruik
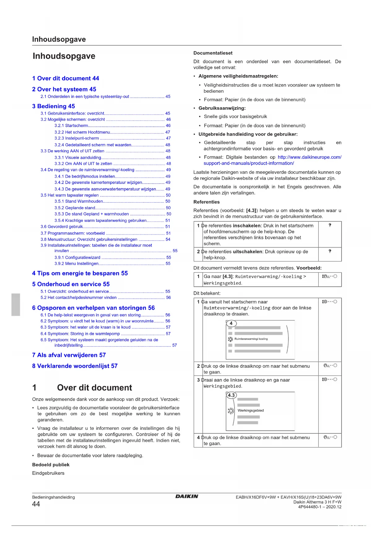
  • Formaat: Digitale bestanden op http://www.daikineurope.com/ support-and-manuals/product-information/ Laatste herzieningen van de meegeleverde documentatie kunnen op de regionale Daikin-website of via uw installateur beschikbaar zijn. De documentatie is oorspronkelijk in het Engels geschreven. Alle andere talen zijn vertalingen. Referenties Referenties (voorbeeld: [4.3]) helpen u om steeds te weten waar u zich bevindt in de menustructuur van de gebruikersinterface. 1 De referenties inschakelen: Druk in het startscherm of hoofdmenuscherm op de help-knop. De referenties verschijnen links bovenaan op het scherm. 2 De referenties uitschakelen: Druk opnieuw op de help-knop. Dit document vermeldt tevens deze referenties. Voorbeeld: 1 Ga naar [4.3]: Ruimteverwarming/-koeling > Werkingsgebied. Dit betekent: 1 Ga vanuit het startscherm naar Ruimteverwarming/-koeling door aan de linkse draaiknop te draaien.

Ruimteverwarming/-koeling 2 Druk op de linkse draaiknop om naar het submenu te gaan. 3 Draai aan de linkse draaiknop en ga naar Werkingsgebied. Werkingsgebied

4 Druk op de linkse draaiknop om naar het submenu te gaan.2 Over het systeem Bedieningshandleiding

EABH/X16DF6V+9W + EAVH/X16S(U)18+23DA6V+9W Daikin Altherma 3 H F+W 4P644480-1 – 2020.12 2 Over het systeem Afhankelijk van de systeemlay-out kan het systeem:

  • Een plaats verwarmen
  • Een plaats afkoelen (indien een model met verwarmings-/ koelwarmtepomp geplaatst werd)
  • Warm tapwater produceren (indien een warmtapwatertank geplaatst werd)

2.1 Onderdelen in een typische

A Primaire zone. Voorbeeld: Woonkamer. B Secundaire zone. Voorbeeld: Slaapkamer. C Technische ruimte. Voorbeeld: Garage. a Warmtepomp van de buitenunit b Warmtepompvan de binnenunit c Warmtapwatertank d Gebruikersinterface van de binnenunit e Gebruikersinterface die als kamerthermostaat gebruikt wordt f Vloerverwarming g Radiatoren, warmtepompconvectorenofventilatorconvectoren INFORMATIE De binnenunit en de tank voor warm tapwater (indien geïnstalleerd) kunnen afzonderlijk of geïntegreerd zijn afhankelijk van het type binnenunit. 3 Bediening

3.1 Gebruikersinterface: overzicht

De gebruikersinterface heeft de volgende onderdelen:

a Statusindicator b LCD-scherm c Draaiknoppen en toetsen Statusindicator De statusindicator-LEDs gaan branden of knipperen om de bedrijfsmodus van de unit aan te geven. LED Stand Beschrijving Knipperend blauw Stand-by De unit is niet in bedrijf. Constant blauw Bediening De unit is in bedrijf. Knipperend rood Storing Er is een storing. Zie "6.1De help-tekst weergeven in geval van een storing"[456] voor meer informatie. LCD-scherm Het LCD-scherm heeft een slaapstand. Wanneer de gebruikersinterface 15minuten niet wordt gebruikt, valt het scherm uit. Zodra u op een druktoets duwt of aan een van de draaiknoppen draait, licht het scherm weer op. Draaiknoppen en toetsen U gebruikt de draaiknoppen en toetsen:

  • Om door de schermen, menu's en instellingen van het LCD- scherm te navigeren
  • Om waarden in te stellen a b c d e Onderdeel Beschrijving a Linkse draaiknop Het LCD_scherm geeft een boog weer links op het display wanneer u de linkse draaiknop kunt gebruiken.
  • : Draai en druk vervolgens de linkse draaiknop in. Navigeer doorheen de menustructuur.
  • : Draai de linkse draaiknop. Kies een menu-item.
  • : Druk de linkse draaiknop in. Bevestig uw keuze of ga naar een submenu. b Terug-toets : Druk hierop om 1 stap terug te gaan in de menustructuur. c Home-toets : Druk hierop om terug te gaan naar het startscherm. d Help-toets : Druk hierop om een helptekst in verband met de huidige pagina weer te geven (indien beschikbaar).3 Bediening Bedieningshandleiding

EABH/X16DF6V+9W + EAVH/X16S(U)18+23DA6V+9W Daikin Altherma 3 H F+W 4P644480-1 – 2020.12 Onderdeel Beschrijving e Rechtse draaiknop Het LCD-scherm geeft een boog weer rechts op het display wanneer u de rechtse draaiknop kunt gebruiken.

  • : Draai en druk vervolgens de rechtse draaiknop in. Wijzig een waarde of instelling, die rechts op het scherm worden getoond.
  • : Draai de rechtse draaiknop. Navigeer door de mogelijke waarden en instellingen.
  • : Druk de rechtse draaiknop in. Bevestig uw keuze en ga naar het volgende menu-item.

3.2 Mogelijke schermen: overzicht

De meest voorkomende schermen zijn de volgende:

a Startscherm b Het scherm Hoofdmenu c Subschermen: c1: Instelpuntscherm c2: Gedetailleerd scherm met waarden c3: Scherm met weersafhankelijke curve c4: Scherm met programma

Druk op de -toets om terug te keren naar het startscherm. U krijgt een overzicht van de unitconfiguratie en de kamer- en instelpunttemperaturen te zien. Alleen symbolen die van toepassing zijn op uw configuratie zijn zichtbaar op het startscherm.

Mogelijke acties in dit scherm Ga door de lijst van het hoofdmenu. Ga naar het hoofdmenu-scherm. Referenties inschakelen/uitschakelen. Onderdeel Beschrijving

De temperaturen worden weergegeven in cirkels. Als de cirkel grijs is, is de overeenkomstige werking (bijvoorbeeld: ruimteverwarming) momenteel niet actief. Buitenunit

: Geluidsarme stand actief a3 Gemeten omgevingstemperatuur Binnenunit / tank voor warm tapwater

  • : Op de vloer staande binnenunit met geïntegreerde tank
  • : Op wand gemonteerde binnenunit met afzonderlijke tank
  • : Op wand gemonteerde binnenunit b2 Waterdruk Ruimtebedr ijfsmodus
  • : Verwarming Desinfectie / Krachtig
  • : Desinfectiestand actief
  • : Krachtige stand actief Datum / tijd e Huidige datum en tijd Vakantie f : Vakantiestand actief Primaire zone
  • : Radiator g2 Instelpunt van de aanvoerwatertemperatuur g3 Kamerthermostaattype:
  • : Daikin gebruikersinterface die als kamerthermostaat gebruikt wordt
  • Verborgen: Regeling van de primaire aanvoerwatertemperatuur g4 Gemeten kamertemperatuur Secundaire zone
  • : Radiator h2 Instelpunt van de aanvoerwatertemperatuur h3 Kamerthermostaattype:
  • Verborgen: Regeling van de primaire aanvoerwatertemperatuur3 Bediening Bedieningshandleiding

: Warm tapwater i2 Gemeten tanktemperatuur Storing j of : Er is een storing Zie "6.1De help-tekst weergeven in geval van een storing"[456] voor meer informatie.

3.2.2 Het scherm Hoofdmenu

Vanuit het startscherm drukt u ( ) of draait u ( ) de linkse draaiknop om het hoofdmenuscherm te openen. Via het hoofdmenu hebt u toegang tot de verschillende instelpunt-schermen en submenu's.

HoofdzoneSecundaire zoneKamerStoringRuimteverwarming/-koeling a Geselecteerd submenu Mogelijke acties in dit scherm Ga door de lijst. Ga naar het submenu. Referenties inschakelen/uitschakelen. Submenu Beschrijving [0] of Storing Beperking: Wordt alleen weergegeven als er een storing optreedt. Zie "6.1De help-tekst weergeven in geval van een storing"[456] voor meer informatie. [1] Kamer Beperking: Wordt alleen weergegeven als er een kamerthermostaat is aangesloten op de binnenunit. De kamertemperatuur instellen. [2] Hoofdzone Toont het symbool dat van toepassing is voor het type afgever van de primaire zone. De aanvoerwatertemperatuur voor de primaire zone instellen. [3] Secundaire zone Beperking: Wordt alleen weergegeven als er twee aanvoerwatertemperatuurzones zijn. Toont het symbool dat van toepassing is voor het type afgever van de secundaire zone. De aanvoerwatertemperatuur voor de secundaire zone (indien aanwezig) instellen. [4] Ruimteverwarming/- koeling Toont het symbool dat van toepassing is voor uw unit. De unit in verwarmings- of koelstand zetten. U kunt de stand niet wijzigen op modellen met alleen verwarming. [5] Sanitaire warmwatertank Beperking: Wordt alleen weergegeven als er een warm tapwatertank aanwezig is. De temperatuur van de warmtapwatertank instellen. Submenu Beschrijving [7] Gebruikerinstellin gen Biedt toegang tot gebruikersinstellingen zoals vakantiestand en geluidsarme stand. [8] Informatie Geeft gegevens en informatie over de binnenunit weer. [9] Installateursinste llingen Beperking: Alleen voor de installateur. Biedt toegang tot geavanceerde instellingen. [A] Inbedrijfstelling Beperking: Alleen voor de installateur. Testen en onderhoud uitvoeren. [B] Gebruikersprofiel Het actieve gebruikersprofiel wijzigen. [C] In werking De verwarmings/koelings-functie en productie van warm tapwater in- of uitschakelen.

3.2.3 Instelpunt-scherm

Het instelpuntscherm wordt weergegeven voor schermen die systeemonderdelen beschrijven die een instelpuntwaarde nodig hebben. Voorbeelden [1] Scherm Kamertemperatuur

Mogelijke acties in dit scherm Ga door de lijst van het submenu. Ga naar het submenu. Wijzig en pas de gewenste temperatuur automatisch aan. Onderdeel Beschrijving Minimale temperatuurbeperking a1 Vastgelegd door de unit a2 Beperkt door de installateur Maximale temperatuurbeperking b1 Vastgelegd door de unit b2 Beperkt door de installateur Huidige temperatuur c Gemeten door de unit3 Bediening Bedieningshandleiding

EABH/X16DF6V+9W + EAVH/X16S(U)18+23DA6V+9W Daikin Altherma 3 H F+W 4P644480-1 – 2020.12 Onderdeel Beschrijving Gewenste temperatuur d Draai aan de rechtse draaiknop om te verhogen/ verlagen. Submenu e Draai aan of druk op de linkse draaiknop om naar het submenu te gaan.

3.2.4 Gedetailleerd scherm met waarden

Voorbeeld: a bc a bc

Minuten a Instellingen b Waarden c Geselecteerde instelling en waarde Mogelijke acties in dit scherm Ga door de lijst met instellingen. Verander de waarde. Ga naar de volgende instelling. Bevestig de wijzigingen en ga verder.

3.3 De werking AAN of UIT zetten

3.3.1 Visuele aanduiding

Bepaalde functies van de unit kunnen afzonderlijk ingeschakeld of uitgeschakeld worden. Als een bepaalde functie is uitgeschakeld, dan zal het overeenkomstige temperatuursymbool in het startscherm grijs worden weergegeven. Regeling op basis van kamertemperatuur

a Regeling op basis van kamertemperatuur AAN b Regeling op basis van kamertemperatuur UIT Ruimteverwarming/-koeling

c Ruimteverwarming/-koeling AAN d Ruimteverwarming/-koeling UIT Tankverwarming

Regeling op basis van kamertemperatuur 1 Ga naar [C.1]: In werking > Kamer. In werkingKamerRuimteverwarming/-koeling Aan Aan C.1 2 Stel de werking in op Aan of Uit. Ruimteverwarming/-koeling OPMERKING Vorstbescherming kamer. Zelfs als u de ruimteverwarming/-koeling UIT zet ([C.2]: In werking > Ruimteverwarming/-koeling), kan de vorstbescherming kamer – indien ingeschakeld – nog worden geactiveerd. Voor regeling via de aanvoerwatertemperatuur en regeling via een externe kamerthermostaat is de bescherming echter NIET gegarandeerd. OPMERKING Vorstpreventie waterleidingen. Zelfs als u de ruimteverwarming/-koeling UIT zet ([C.2]: In werking > Ruimteverwarming/-koeling), zal de vorstpreventie voor de waterleidingen – als ingeschakeld – actief blijven. 1 Ga naar [C.2]: In werking > Ruimteverwarming/- koeling. In werkingRuimteverwarming/-koelingSanitaire warmwatertank Uit Aan Aan Kamer C.2 2 Stel de werking in op Aan of Uit. Tankverwarming OPMERKING Desinfectiestand. Zelfs als u de werking tankverwarming UIT zet ([C.3]: In werking > Sanitaire warmwatertank), zal de desinfectiestand actief blijven. Als u ze echter UIT zet terwijl de tank wordt gedesinfecteerd, zal er een AH-fout worden gegenereerd.3 Bediening Bedieningshandleiding

3.4 De regeling van de

ruimteverwarming/-koeling

3.4.1 De bedrijfsmodus instellen

Over de bedrijfsmodi Uw unit kan een verwarmings- of een verwarmings-/koelmodel zijn:

  • Als uw unit een verwarmingsmodel is, kan het een ruimte opwarmen.
  • Als uw apparaat een verwarmings-/koelmodel is, kan het een ruimte zowel opwarmen als afkoelen. U moet aan het systeem zeggen welke bedrijfsmodus gebruikt moet worden. Om aan het systeem te zeggen welk ruimtebedrijf te gebruiken, kunt u het volgende doen: U kunt… Plaats Nagaan welke bedrijfsmodus momenteel in gebruik is. Startscherm Stel de ruimtebedrijfsmodus permanent in. Hoofdmenu Beperk automatisch omschakelen volgens een maandelijks programma. De bedrijfsmodus instellen 1 Ga naar [4.1]: Ruimteverwarming/-koeling > Bedrijfmodus 2 Selecteer een van de volgende opties:
  • Automatisch: De bedrijfsmodus verandert automatisch tussen verwarming en koeling op basis van de buitentemperatuur. Beperkt per maand volgens het Bedrijfsmodus geprogrammeerd [4.2]. Om automatisch omschakelen te beperken volgens een programma Voorwaarden: U stelt de ruimtebedrijfsmodus in op Automatisch. 1 Ga naar [4.2]: Ruimteverwarming/-koeling > Bedrijfsmodus geprogrammeerd. 2 Selecteer een maand. 3 Selecteer voor elke maand een optie:
  • Omkeerbaar: Niet beperkt
  • Alleen verwarmen: Beperkt
  • Alleen koelen: Beperkt 4 Bevestig de wijzigingen.

3.4.2 De gewenste kamertemperatuur wijzigen

Tijdens de kamertemperatuurregeling kunt u het scherm voor het kamertemperatuurinstelpunt gebruiken om de gewenste kamertemperatuur af te lezen en aan te passen. 1 Ga naar [1]: Kamer. Kamer

2 Pas de gewenste kamertemperatuur aan.

a b Kamer a Werkelijke kamertemperatuur b Gewenste kamertemperatuur Als de programmawerking geactiveerd is nadat de gewenste kamertemperatuur werd gewijzigd

  • De temperatuur blijft hetzelfde zolang er geen geplande actie is.
  • De gewenste kamertemperatuur keert terug naar de geprogrammeerde waarde wanneer een geprogrammeerde actie plaatsvindt. U kunt geprogrammeerde acties vermijden door de programmawerking (tijdelijk) uit te schakelen. De programmawerking voor de kamertemperatuur uit zetten 1 Ga naar [1.1]: Kamer > Tijdschema. 2 Selecteer Nee.

3.4.3 De gewenste aanvoerwatertemperatuur

wijzigen INFORMATIE Het aanvoerwater is het water dat naar de warmteafgevers wordt gestuurd. De gewenste aanvoerwatertemperatuur werd in functie van het warmteafgiftesysteem door uw installateur ingesteld. Pas de instellingen van de aanvoerwatertemperatuur slechts aan als er zich problemen voordoen. U kunt het instelpunt-scherm van de aanvoerwatertemperatuur gebruiken om de gewenste aanvoerwatertemperatuur af te lezen en aan te passen. 1 Ga naar [2]: Hoofdzone of [3]: Secundaire zone. Hoofdzone

EABH/X16DF6V+9W + EAVH/X16S(U)18+23DA6V+9W Daikin Altherma 3 H F+W 4P644480-1 – 2020.12 2 Pas de gewenste aanvoerwatertemperatuur aan.

a b Secundaire zone a Werkelijke aanvoerwatertemperatuur b Gewenste aanvoerwatertemperatuur

3.5 Het warm tapwater regelen

3.5.1 Stand Warmhouden

In de stand Warmhouden warmt de warmtapwatertank doorlopend op tot de temperatuur die op het startscherm verschijnt (bijvoorbeeld 50°C) wanneer de temperatuur lager wordt dan een bepaalde waarde.

Warmtapwatertanktemperatuur t Tijd INFORMATIE Risico op te weinig ruimteverwarmingscapaciteit voor warm tapwatertank zonder interne boosterverwarming: in geval van frequent warm tapwatergebruik, zal er een frequente en lange onderbreking van de verwarming/ koeling plaatsvinden wanneer het volgende wordt geselecteerd: Sanitaire warmwatertank > Verwarmingsbedrijf > Enkel warmhouden. INFORMATIE Wanneer de warmtapwatertankstand op warmhouden is ingesteld, is de kans groot dat er te weinig ruimteverwarmings-/koelcapaciteit is en er dus comfortproblemen voorkomen. In geval van frequent warmhouden, wordt de ruimteverwarmings-/koelfunctie regelmatig onderbroken.

3.5.2 Geplande stand

In de geplande stand produceert de warm tapwatertankwarm water volgens een programma. Het beste ogenblik om de tank warm tapwater te laten aanmaken is 's nachts, omdat de vraag naar ruimteverwarming dan kleiner is. Voorbeeld:

Warmtapwatertanktemperatuur t Tijd

  • Oorspronkelijk is de warmtapwatertanktemperatuur dezelfde als de temperatuur van het tapwater dat in de warmtapwatertankgaat (voorbeeld: 15°C).
  • De warmtapwatertank is geprogrammeerd om water om 00:00 te verwarmen tot een voorgeprogrammeerde waarde (voorbeeld: Comfort = 60°C).
  • 's Morgens verbruikt u warm water, waardoor de warmtapwatertanktemperatuurdaalt.
  • De warmtapwatertank is geprogrammeerd om water om 14:00 te verwarmen tot een voorgeprogrammeerde waarde (voorbeeld: Eco = 50°C). Er is terug warm water beschikbaar.
  • 's Namiddags en 's avonds verbruikt u terug warm water, waardoor de warmtapwatertanktemperatuuropnieuw zakt.
  • De cyclus herhaalt zich de volgende dag om 00:00.

3.5.3 De stand Gepland + warmhouden

In de stand Gepland + warmhouden wordt het warm tapwater op dezelfde manier geregeld als in de geplande stand. Echter, als de warmtapwatertanktemperatuur onder een voorgeprogrammeerde waarde valt (=warmhouden tanktemperatuur – hysteresiswaarde; voorbeeld: 35°C), zal de warmtapwatertank opwarmen tot hij het warmhoudeninstelpunt bereikt (bijv. 45°C). Op die manier is er steeds een minimumhoeveelheid warm water beschikbaar. Voorbeeld:

Temperatuur warmtapwatertank t Tijd3 Bediening Bedieningshandleiding

gebruiken Over de functie krachtig verwarmen Met Krachtig verwarmen kan het warm tapwater worden opgewarmd door de back-upverwarming of boosterverwarming. Gebruik deze modus op dagen wanneer er meer warm water dan gewoonlijk wordt verbruikt. Nagaan of de functie krachtig verwarmen actief is Als wordt weergegeven op het startscherm, dan is de functie krachtig verwarmen actief. Activeer of deactiveer Krachtig verwarmen als volgt: 1 Ga naar [5.1]: Sanitaire warmwatertank > Krachtig verwarmen 2 Schakel krachtige werking Uit of Aan. Voorbeeld: u hebt onmiddellijk meer warm water nodig U zit in de volgende situatie:

  • U hebt haast al uw warm tapwater verbruikt.
  • U kunt niet wachten tot de volgende geplande actie om dewarmtapwatertank op te warmen. Dan kunt u de functie krachtig verwarmen activeren. De warmtapwatertank zal beginnen het water te verwarmen tot de Comfort-temperatuur. INFORMATIE Als de functie Krachtig verwarmen ingeschakeld is, kan het verwarmen of koelen van ruimten voor problemen zorgen of kan er onvoldoende capaciteit zijn om voor comfort te zorgen. Als warm tapwater vaak moet worden aangemaakt, zal het verwarmen of koelen van ruimten regelmatig en langdurig onderbroken worden.

3.6 Gevorderd gebruik

Hoeveel informatie u in de menustructuur kunt aflezen en bewerken, hangt af van uw gebruikertoegangsniveau:

  • Gebruiker: Standaardmodus
  • Gevorderde gebruiker: U kunt meer informatie aflezen en bewerken Het gebruikertoegangsniveau wijzigen U kunt het gebruikertoegangsniveau als volgt wijzigen: 1 Ga naar [B]: Gebruikersprofiel. Gebruikersprofiel

2 Voer de toepasselijke pincode voor het gebruikertoegangsniveau in.

  • Blader door de lijst van cijfers en wijzig het geselecteerde cijfer.
  • Verplaats de cursor van links naar rechts.
  • Bevestig de pincode en ga verder. Pincode gebruiker De pincode voor Gebruiker is 0000.

Gebruiker Pincode gevorderde eindgebruiker De pincode voor Gevorderde gebruiker is 1234. Bijkomende menu-items voor de gebruiker zijn nu zichtbaar.

Gevorderde gebruiker

3.7 Programmascherm: voorbeeld

Dit voorbeeld toont hoe u een kamertemperatuurprogramma instelt in de verwarmingsstand voor de primaire zone. INFORMATIE Andere planningen programmeren gebeurt op dezelfde manier. Het programma programmeren: overzicht Voorbeeld: U wilt het volgende programma instellen:

Eigen prog 1 Voorwaarde: Het kamertemperatuurprogramma is alleen beschikbaar als de kamerthermostaatregeling actief is. Als de aanvoerwatertemperatuurregeling actief is, kunt u in de plaats het programma voor de primaire zone instellen. 1 Ga naar het programma. 2 (optie) Wis de inhoud van het volledige weekprogramma of de inhoud van een geselecteerd dagprogramma. 3 Programmeer het programma voor Maandag. 4 Kopieer het programma naar de andere weekdagen. 5 Programmeer het programma voor Zaterdag en kopieer het naar Zondag. 6 Geef het programma een naam. Naar het programma gaan 1 Ga naar [1.1]: Kamer > Tijdschema. 2 Stel programmering in op Ja. 3 Ga naar [1.2]: Kamer > Programma verwarming.3 Bediening Bedieningshandleiding

EABH/X16DF6V+9W + EAVH/X16S(U)18+23DA6V+9W Daikin Altherma 3 H F+W 4P644480-1 – 2020.12 De inhoud van et weekprogramma wissen 1 Selecteer de naam van het huidige programma.

Eigen prog 1 2 Selecteer Verwijderen. VerwijderenHernoemenSelecteren 3 Selecteer OK om te bevestigen. De inhoud van het dagprogramma wissen 1 Selecteer de dag waarvoor u de inhoud wilt wissen. Bijvoorbeeld Vrijdag

2 Selecteer Verwijderen. VerwijderenBewerkenKopiëren 3 Selecteer OK om te bevestigen. Het programma programmeren voor Maandag 1 Selecteer Maandag.

Eigen prog 1 2 Selecteer Bewerken. VerwijderenBewerkenKopiëren 3 Gebruik de linkse draaiknop om een invoer te selecteren en bewerk de invoer met de rechtse draaiknop. U kunt tot 6 bewerkingen per dag programmeren. Een hoge temperatuur krijgt op de balk een donkerdere kleur dan een lage temperatuur.

Opmerking: Om een actie te wissen, stelt u de tijd ervan in als de tijd van de vorige actie. 4 Bevestig de wijzigingen. Resultaat: Het programma voor maandag is gepland. De waarde van de laatste actie is geldig totdat de volgende geprogrammeerde actie start. In dit voorbeeld is maandag de eerste dag die u hebt geprogrammeerd. De laatst geprogrammeerde actie is dus geldig tot de eerste actief van de volgende maandag. Het programma naar de andere weekdagen kopiëren 1 Selecteer Maandag.

Eigen prog 1 2 Selecteer Kopiëren. VerwijderenBewerkenKopiëren Resultaat: "C" wordt weergegeven naast de gekopieerde dag. 3 Selecteer Dinsdag.

4 Selecteer Plakken. VerwijderenBewerkenKopiërenPlakken Resultaat:

EABH/X16DF6V+9W + EAVH/X16S(U)18+23DA6V+9W Daikin Altherma 3 H F+W 4P644480-1 – 2020.12 5 Herhaal deze bewerking voor alle andere weekdagen.

Het programma programmeren voor Zaterdag en het kopiëren naar Zondag 1 Selecteer Zaterdag. 2 Selecteer Bewerken. 3 Gebruik de linkse draaiknop om een invoer te selecteren en bewerk de invoer met de rechtse draaiknop.

4 Bevestig de wijzigingen. 5 Selecteer Zaterdag. 6 Selecteer Kopiëren. 7 Selecteer Zondag. 8 Selecteer Plakken. Resultaat:

Het programma hernoemen 1 Selecteer de naam van het huidige programma.

Eigen prog 1 2 Selecteer Hernoemen. VerwijderenHernoemenSelecteren 3 (optie) Om de naam van het huidige programma te verwijderen, bladert u door de tekenlijst totdat u ← ziet. Druk erop om het vorige teken te verwijderen. Herhaal dit voor elk teken in de naam van het programma. 4 Om het huidige programma een naam te geven, bladert u door de tekenlijst en bevestigt u het geselecteerde teken. De naam van het programma kan tot 15tekens bevatten. 5 Bevestig de nieuwe naam. INFORMATIE Niet alle programma's kunnen worden hernoemd.3 Bediening Bedieningshandleiding

3.8 Menustructuur: Overzicht gebruikersinstellingen

[1] Kamer Afwijk. kamersensor Instelpuntbereik Vorstbescherming Programma koeling Programma verwarming Tijdschema [2] Hoofdzone Tijdschema Programma verwarming Instelpunt modus Programma koeling Stooklijn verwarming Stooklijn koeling [3] Secundaire zone Tijdschema Programma verwarming Instelpunt modus Programma koeling Stooklijn verwarming Stooklijn koeling [4] Ruimteverwarming/-koeling Bedrijfmodus Bedrijfsmodus geprogrammeerd [5] Sanitaire warmwatertank Krachtig verwarmen Instelpunt comfort bedrijf Instelpunt Eco bedrijf Instelpunt warmhouden Tijdschema [7] Gebruikerinstellingen Taal Tijd/datum Vakantie Stil Elektriciteitsprijs Gasprijs [8] Informatie Energiegegevens Historiek storingen Gegevens installateur Sensoren Stelmotoren Bedrijfsmodi Info Verbindingsstatus [B] Gebruikersprofiel [C] In werking Kamer Ruimteverwarming/-koeling Sanitaire warmwatertank [1.4] Vorstbescherming Activatie Instelpunt ruimtetemperatuur [1.5] Instelpuntbereik Minimum instelpunt verwarming Maximum instelpunt verwarming Minimum instelpunt koeling Maximum instelpunt koeling [7.2] Tijd/datum Uren Minuten Jaar Maand Dag Zomertijd Formaat [7.3] Vakantie Activatie Van Tot [7.4] Stil Activatie Tijdschema [7.5] Elektriciteitsprijs Hoog Middel Laag Tijdschema [8.1] Energiegegevens Opgenomen electrisch vermogen Geproduceerde warmte

Instelpunt-scherm (*) Alleen van toepassing voor omkeerbare modellen of voor modellen die enkel verwarmen + conversiekit INFORMATIE Naargelang de geselecteerde installateurinstellingen en het type unit, zullen de instellingen zichtbaar/onzichtbaar zijn.4 Tips om energie te besparen Bedieningshandleiding

  • Zorg ervoor dat de gewenste kamertemperatuur NOOIT te hoog (in de stand Verwarming) of te laag (in de stand Koeling) is, maar ALTIJD volgens wat u werkelijk nodig hebt. Elke graad minder kan een besparing tot 6% op de kosten voor verwarming/koeling opleveren.
  • Verhoog/verlaag de gewenste kamertemperatuur NIET om de ruimte vlugger te verwarmen/koelen. De ruimte zal NIET vlugger warm/koud worden.
  • Als uw systeemlay-out trage warmteafgevers bevat (voorbeeld: vloerverwarming), vermijd grote schommelingen van de gewenste kamertemperatuur en laat de kamertemperatuur NIET te laag zakken/te hoog stijgen. Het zal langer duren en meer energie kosten om de ruimte opnieuw te verwarmen/af te koelen.
  • Gebruik een weekprogramma voor uw normale behoeften aan ruimteverwarming of ruimtekoeling. Indien nodig kunt u gemakkelijk afwijken van het programma:
  • Voor kortere periodes: u kunt de geplande kamertemperatuur negeren tot de volgende geprogrammeerde bewerking. Voorbeeld: Als u een fuifje geeft of als u gedurende enkele uren uit huis bent.
  • Voor langere periodes: u kunt de vakantiestand gebruiken. Tips in verband met de temperatuur van de warmtapwatertank
  • Gebruik een weekprogramma voor uw normale behoeften aan warm tapwater (enkel in de geplande stand).
  • Programmeer zodat de warmtapwatertank 's nachts opwarmt tot een voorgeprogrammeerde waarde (Comfort = een hogere warmtapwatertanktemperatuur), omdat de vraag naar ruimteverwarming dan kleiner is.
  • Wanneer het onvoldoende is om de warmtapwatertank één maal 's nachts op te warmen, programmeer dan zodat de warmtapwatertank extra opwarmt tot een voorgeprogrammeerde waarde (Eco = een lagerewarmtapwatertanktemperatuur) overdag.
  • Waak erover dat de gewenste warmtapwatertanktemperatuur NIET te hoog is. Voorbeeld: Na de installatie, verlaag de warmtapwatertanktemperatuur dagelijks met 1°C en controleer of u nog steeds voldoende warm water hebt.
  • Programmeer om de pomp van het warm tapwater enkel AAN te zetten tijdens die periodes van de dag waar onmiddellijk warm water nodig is. Voorbeeld: 'sMorgens en 'savonds. 5 Onderhoud en service

5.1 Overzicht: onderhoud en service

De installateur moet een jaarlijks onderhoud doen. U vindt het contact/helpdesknummer via de gebruikersinterface. Als eindgebruikermoet u:

  • De ruimte rondom de unit zuiver houden.
  • De gebruikersinterface reinigen met een vochtig zacht doekje. Gebruik hiervoor NOOIT detergenten.
  • Controleer regelmatig of de waterdruk groter is dan 1bar. Koelmiddel Dit product bevat gefluoreerde broeikasgassen. Laat de gassen NIET vrij in de atmosfeer. Koelmiddeltype: R32 Waarde globaal opwarmingspotentieel (GWP): 675 OPMERKING De geldende wetgeving met betrekking tot gefluoreerde broeikasgassen vereist dat de koelmiddelvulling van de unit wordt aangegeven zowel in gewicht als in CO

-equivalent te berekenen: GWP-waarde koelmiddel × totale koelmiddelvulling [in kg] / 1000 Neem contact op met uw installateur voor meer informatie.6 Opsporen en verhelpen van storingen Bedieningshandleiding

Het koelmiddel in deze unit is licht ontvlambaar. WAARSCHUWING Het toestel wordt opgeslagen in een ruimte zonder ontstekingsbronnen die voortdurend branden (bijvoorbeeld: open vuur, een draaiend gastoestel of een draaiende elektrische verwarming). WAARSCHUWING

  • Doorboor of verbrand GEEN onderdelen van de koelmiddelcyclus.
  • Gebruik GEEN andere schoonmaakmiddelen of manieren om het ontdooien te versnellen dan die aanbevolen door de fabrikant.
  • Denk eraan dat het koelmiddel in het systeem geurloos is. WAARSCHUWING Het koelmiddel in de unit is weinig ontvlambaar, maar lekt normaal NIET. Als het koelmiddel in de kamer lekt en in contact komt met vuur van een brander, een verwarming of een fornuis, dan kan er brand ontstaan of kan een schadelijk gas worden gevormd. Schakel alle verwarmingstoestellen met verbranding uit, verlucht de kamer en neem contact op met de dealer waar u de unit hebt gekocht. Gebruik de unit NIET totdat iemand van de servicedienst heeft bevestigd dat het deel met het koelmiddellek gerepareerd is.

5.2 Het contact/helpdesknummer

vinden 1 Ga naar [8.3]: Informatie > Gegevens installateur. 6 Opsporen en verhelpen van storingen Contact opnemen Voor de hierna vermelde symptomen kunt u proberen om het probleem zelf op te lossen. Contacteer uw installateur voor alle andere problemen. U vindt het contact/helpdesknummer via de gebruikersinterface.

6.1 De help-tekst weergeven in geval

van een storing In geval van een storing, zal het volgende verschijnen op het startscherm naargelang de ernst:

  • : Storing U kunt als volgt een korte en een lange beschrijving van de storing zien: 1 Druk op de linkse draaiknop om het hoofdmenu te openen en ga naar Storing. Resultaat: Er wordt een korte beschrijving van de fout en de foutcode weergegeven op het scherm. 2 Druk op in het foutscherm. Resultaat: Er wordt een lange beschrijving van de fout weergegeven op het scherm.

6.2 Symptoom: u vindt het te koud

(warm) in uw woonruimte Mogelijke oorzaak Wat te doen De gewenste kamertemperatuur is te laag (hoog). Verhoog (verlaag) de gewenste kamertemperatuur. Zie "De gewenste kamertemperatuur wijzigen"[449]. Indien het probleem dagelijks terugkomt, doe dan een van de volgende zaken:

  • Verhoog (verlaag) de voorgeprogrammeerde waarde van de kamertemperatuur. Zie de uitgebreide handleiding voor de gebruiker.
  • Pas het programma van de kamertemperatuur aan. Zie "3.7 Programmascherm: voorbeeld"[451]. De gewenste kamertemperatuur kan niet bereikt worden. Verhoog de gewenste aanvoerwatertemperatuur in functie van het warmteafgiftesysteem. Zie "De gewenste aanvoerwatertemperatuur wijzigen"[449]. De weersafhankelijke curve is niet correct ingesteld. Pas de weersafhankelijke curve aan. Zie de uitgebreide handleiding voor de gebruiker.7 Als afval verwijderen Bedieningshandleiding

6.3 Symptoom: het water uit de kraan

is te koud Mogelijke oorzaak Wat te doen U hebt geen warm tapwater meer door een ongewoon hoog verbruik. Indien u onmiddellijk warm tapwater nodig hebt, activeer de Krachtig verwarmen van dewarm tapwatertank. Hierdoor verbruikt u echter extra energie. Zie "Krachtige warm tapwaterwerking gebruiken"[451]. Indien de problemen dagelijks terugkomen, doe dan een van de volgende zaken:

  • Verhoog de voorgeprogrammeerde waarde van de warmtapwatertanktemperat uur. Zie de uitgebreide handleiding voor de gebruiker.
  • Pas het programma van de warmtapwatertanktemperat uur aan. Voorbeeld: Programmeer om dewarmtapwatertank extra op te warmen tot een voorgeprogrammeerde waarde (Instelpunt Eco bedrijf = een lagere tanktemperatuur) overdag. Zie "3.7 Programmascherm: voorbeeld"[451].

gewenstewarmtapwatertanktem peratuur is te laag.

6.4 Symptoom: Storing in de

warmtepomp Indien de warmtepomp weigert te werken, kan de back- upverwarming en/of boosterverwarming als noodverwarming werken en al dan niet automatisch de volledige warmtebelasting overnemen.

  • Wanneer automatische noodstop is ingesteld op Automatisch en er zich een storing voordoet in de warmtepomp:
  • Voor EHVH/X: De back-upverwarming zal automatisch de warmtebelasting en de warm tapwaterproductie overnemen
  • Voor EHBH/X: De back-upverwarming zal automatisch de warmtebelasting overnemen en de boosterverwarming in de optionele tank zal automatisch de productie van warm tapwater overnemen.
  • Wanneer automatische noodstop is ingesteld op Handmatig en er zich een storing voordoet in de warmtepomp, stoppen het aanmaken van warm tapwater en het verwarmen van ruimten en moet het systeem handmatig worden hersteld via de gebruikersinterface. Om de werking handmatig te herstellen, gaat u naar het Storing hoofdmenu-scherm, waar de gebruikersinterface u dan zal vragen of de back-upverwarming en/ of de boosterverwarming de volledige warmtebelasting al dan niet moet overnemen. Als er zich een storing in de warmtepomp voordoet, zal of op de gebruikersinterface verschijnen. Mogelijke oorzaak Wat te doen De warmtepomp is beschadigd. Zie "6.1De help-tekst weergeven in geval van een storing"[456]. INFORMATIE Wanneer de back-upverwarming of de boosterverwarming de volledige warmtebelasting overneemt, zal het elektriciteitsverbruik aanzienlijk stijgen.

6.5 Symptoom: Het systeem maakt

gorgelende geluiden na de inbedrijfstelling Mogelijke oorzaak Wat te doen Er zit lucht in het systeem. Ontlucht het systeem. (a) Diverse storingen. Controleer of of op het startscherm van de gebruikersinterface verschijnt. Zie "6.1De help-tekst weergeven in geval van een storing"[456] voor meer informatie over de storing. (a) We raden aan om te ontluchten met de ontluchtingsfunctie van de unit (uit te voeren door de installateur). Als u de warmteafgevers of verdeelstukken ontlucht, dient u op het volgende te letten: WAARSCHUWING Warmteafgevers of verdeelstukken ontluchten. Vooraleer u warmteafgevers of verdeelstukken ontlucht, moet u eerst controleren of of op het startscherm van de gebruikersinterface wordt weergegeven.

  • Indien dit niet het geval, mag u deze onmiddellijk ontluchten.
  • Indien dit wel het geval is, zorg ervoor dat de kamer waarin u wilt ontluchten voldoende verlucht wordt. Reden: Er kan koelmiddel in het watercircuit lekken en dus ook in de kamer wanneer u de warmteafgevers of verdeelstukken ontlucht. 7 Als afval verwijderen OPMERKING Probeer het systeem NIET zelf te ontmantelen: het ontmantelen van het systeem en het behandelen van het koelmiddel, van olie en van andere onderdelen MOETEN conform met de geldende wetgeving uitgevoerd worden. De units MOETEN voor hergebruik, recyclage en terugwinning bij een gespecialiseerd behandelingsbedrijf worden behandeld. 8 Verklarende woordenlijst WTW = warm tapwater Warm water gebruikt, in elk type van gebouw, voor huishoudelijke doeleinden. LWT = temperatuur uittredend water Watertemperatuur aan de wateruitlaat van de unit.Tabla de contenidos Manual de instrucciones EABH/X16DF6V+9W + EAVH/X16S(U)18+23DA6V+9WDaikin Altherma 3 H F+W4P644480-1 – 2020.12 Tabla de contenidos 1 Acerca de este documento 58 2 Acerca del sistema 59