Corvette (2010) - Voiture CHEVROLET - Notice d'utilisation et mode d'emploi gratuit
Retrouvez gratuitement la notice de l'appareil Corvette (2010) CHEVROLET au format PDF.
| Caractéristiques | Détails |
|---|---|
| Moteur | V8 de 6,2 litres, puissance de 430 ch |
| Transmission | Manuelle à 6 vitesses ou automatique à 6 vitesses |
| Performances | 0 à 100 km/h en environ 4 secondes |
| Consommation de carburant | Environ 13 L/100 km en ville, 8 L/100 km sur autoroute |
| Dimensions | Longueur : 4 478 mm, Largeur : 1 843 mm, Hauteur : 1 235 mm |
| Poids | Environ 1 500 kg |
| Capacité du réservoir | 70 litres |
| Équipements de sécurité | ABS, airbags frontaux et latéraux, contrôle de traction |
| Entretien | Changement d'huile tous les 8 000 km, vérification des freins et des pneus régulièrement |
| Garantie | 3 ans ou 100 000 km |
| Options disponibles | Système audio haut de gamme, sièges en cuir, GPS |
FOIRE AUX QUESTIONS - Corvette (2010) CHEVROLET
Questions des utilisateurs sur Corvette (2010) CHEVROLET
0 question sur cet appareil. Repondez a celles que vous connaissez ou posez la votre.
Poser une nouvelle question sur cet appareil
Téléchargez la notice de votre Voiture au format PDF gratuitement ! Retrouvez votre notice Corvette (2010) - CHEVROLET et reprennez votre appareil électronique en main. Sur cette page sont publiés tous les documents nécessaires à l'utilisation de votre appareil Corvette (2010) de la marque CHEVROLET.
MODE D'EMPLOI Corvette (2010) CHEVROLET
GuidedupropriétaireCorvetteChevrolet2010
Enbref....1-1
Tableaudebord....1-2
Informationsurlaconduiteinitiale....1-4
Fonctionsduvéhicule....1-17
Performanceetentretien....1-23
Siègesetdispositifsderetenue....2-1
Siègesavant....2-2
Ceinturesdesécurité....2-8
Appareilsderetenuepourenfant......2-26
Systèmedesacgonflable....2-44
Vérificationdesdispositifsderetenue......2-62
Fonctionsetcommandes....3-1
Clés....3-3
Portesetserrures....3-11
Glaces....3-18
Systèmesantivol....3-20
Démarrageetfonctionnementdevotre
véhicule....3-23
Rétroviseurs....3-44
Systèmedetélécommandesansfilmaison
universel....3-47
Compartimentsderangement....3-55
Panneaudepavillon....3-60
Aperçudutableaudebord....4-3
Commandesdelaclimatisation......4-24
Feuxdedétresses,jaugesettémoins......4-31
Centralisateurinformatiquedebord......4-50
Systèmesaudio....4-92
Conduitedevotrevéhicule....5-1
Votreconduite,larouteetlevéhicule......5-2
Remorquage....5-38
GuidedupropriétaireCorvetteChevrolet2010
Réparationetentretiendel'apparence....6-1
Entretien....6-4
Carburant....6-7
Vérificationsouslecapot....6-14
Essieuarrière......6-65
Réglagedelaportéedesphares....6-66
Remplacementd'ampoules....6-66
Remplacementdepare-brise......6-71
Remplacementdelaracletted'essuie-glace.....6-71
Pneus....6-74
Entretiendel'apparence....6-107
Identificationduvéhicule......6-117
Réseauélectrique....6-118
Capacitésetspécifications....6-127
Programmed'entretien....7-1
Programmed'entretien....7-2
Informationducentred'assistanceàla
clientèle....8-1
Informationducentred'assistanceàla clientèle....8-2
Déclaration des défectuosités comprommettant las sécurité......8-18
Enregistrementdedonnéesduvéhiculeet politiquesurlavieprivée....8-21
Index......i-1



GENERALMOTORS, GM, l'emblèmedeGM, CHEVROLET, l'emblèmedeCHEVROLET, lesnoms CORVETTE, Z06, ZR1, CORVETTEGRANDSPORT ainsi quel'emblèmeCORVETTEsontdesmarques déposéesdelaGeneralMotors.
Cemanueldécritilesfonctionsquipeuventnepas existersurvotrevéhicule,soitparcequ'ils'agitd'options quevousn'avezpasachetées,soitsuiteàdes changementsintervenusaprèsl'impressionde ceguidedupropriétaire.Veuillezvousreporterà ladocumentationd'achatrelativeàvotrevéhicule spécifiquepourconfirmerchacunedesoptionsdu véhicule.Pourlesvéhiculesvenduslapremièrefois auCanada,substituerlenom«GeneralMotorsdu CanadaLimitée»à«ChevroletMotorDivision»à chaqueapparitiondanscemanuel.
Conserverceguidedanslevéhiculepourvousyréférer rapidement.
ImpriméauxÉtats-Unis Numérodepièce25895343FR
Propriétairescanadiens
PropriétairesCanadiens (CanadianOwners)
Onpeutobtenirunexemplairedeceguideenfrançais auprèsduconcessionnaireouàl'adressesuivante:
Helm, Incorporated
P.O.Box07130
Détroit,MI48207
1-800-551-4123
Numérodeposte6438delanguefrançaise
www.helminc.com
Index
L'index, àlafinduguide, permetdetrouverrapidement desrenseignements surlevéhicule. Ils'agitd'uneliste alphabétiquedes articles duguide, avecclenumérode lapage comportant l'article en question.
®2009GeneralMotors.Tousdroitsréservés.
AvertissementsetSYMBOLESDE sécurité
Lesmessages d'avertissement des étiquettes du véhiculesignalent des dangerset les précautions à prendre.
Dangersignaleundangerquiprésenteunrisqueélevé pouvantentraînerdesgravesblessuresouledécès.
Avertissement ou Attention signale un danger qui peutentraînerdesblessuresouledécès.

AVERTISSEMENT:
Cecisignifiequequelquechosepeutvousblesser oublesserd'autrespersonnes.
Remarque: Lespropriétésoulevéhicule risqueraientdesdégâtsnoncouvertsparla garantie.

Unelignediagonaleen traversd'uncercleestun symboledesécurité signifiant «Interdiction», «Interdictiondefaire ceci» ou «Nepaslaisser ceciseproduire.»
Symbolesdevéhicule
Levéhiculepeutêtreéquipédecomposantset d'étiquettessurlesquellesfigurentdessymbolesplutôt qu'untexte. Lessymbolessontillustrésdepairavecle textdécrivantlefonctionnementouavecl'information relativeàuncomposant, unecommande, unmessage, unejaugeouunindicateurparticulier.
: Ce symbole est présent lorsque vous devez consulterleguidedel'automobilistepourdes instructionsouinformationssupplémentaires.
Cesymboleestprésentlorsquevousdevez consulterunmanuelderéparationpourdesinstructions ouinformationssupplémentaires.
Tableaudessymbolesduvéhicule
Voiciquelquessymbolessupplémentairesquel'onpeut trouverdanslevéhiculeetleursignification. Pourde plusamplesinformationssurcessymboles, sereporter à l'index.
: Témoindedisponibilitédesacgonflable
:Climatisation
(ABS):Systèmedefreinageantiblocage(ABS)
(1):CommandesaudioauvolantouOnStar MD
(①):Témoindusystèmedefreinage
- + :Systèmedecharge
:Régulateurdevitesse
E: Températureduliquidederefroidissementdu moteur
-Éclairageextérieur
D:Pharesantibrouillard
:Jaugedecarburant
Fusibles
:Inverseurdephares
:SiègespourenfantàsystèmeLATCH(dispositifde verrouillage)
: Témoind'anomalie
:Pressiond'huile
①:Alimentation
Ω:Démarrageàdistanceduvéhicule
:Rappelsdeceinturedesécurité
(1):Surveillancedelapressiondespneus
: Tractionasservie
:Liquidedelave-glace
NOTES
Section1Enbref
Tableaudebord....1-2
Informationsurlaconduiteinitiale....1-4
Systèmedetélédéverrouillage....1-4
Serruresdeporte....1-5
Ouverturedecoffre....1-5
Glaces....1-6
Réglagedesiège....1-6
Ceinturedesécurité....1-9
Systèmededétectiondusacgonflablede passager....1-10
Réglagederétroviseur....1-11
Réglagedevolantdedirection....1-12
Éclairageintérieur....1-13
Éclairageextérieur....1-13
Fonctionsduvéhicule.... 1-17
Autoradio(s)....1-17
Autoradiosatellite....1-18
Dispositifsaudiportables....1-18
Commandesdevolantedirection....1-18
Bluetooth ^MD 1-19
Systèmedenavigation....1-19
Centralisateurinformatiquedebord(CIB).....1-20
Régulateurdevitesseautomatique......1-21
Prisesd'alimentation....1-22
Panneaudepavillon....1-22
Décapotable....1-22
Performanceetentretien....1-23
Systèmedetractionasservie(TCS)....1-23
Remorquage....1-23
Surveillancedelapressiondespneus......1-24
FonctionsZ06,Z16etZR1....1-25
Indicateurd'usured'huileàmoteur......1-25
Conduitepourunemeilleureéconomiede
carburant....1-26
Batterie....1-26
Programmed'assistanceroutière....1-26
OnStar ^MD 1-27
Tableaudebord

A. Réglage de bouche de sortie à la page 4-29.
B. Affichage à têtehaute (HUD) à lapage 4-18 (selonl'équipement).
C. Levierdesclignotants/multifonctions à la page4-4 . Régulateurdevitesse automatique à la page4-7 . Pharesantibrouillard à lapage4-15 . Éclairageextérieur à lapage4-12.
D. Manettesdechangementdevitessemanuel (simontées). Sereporteràlarubrique Fonctionnementdelaboïtedevitesses automatiqueàlapage 3-30.
E. Centralisateurinformatiquedebord(CIB) à la page4-50.
F. Ensemble d'instruments à la page 4-32.
G.Essuie-glacesdepare-brise àlapage4-6 et Lave-glacedepare-briseàlapage4-7.
H. Fonctionnementetaffichagesducentralisateur informatiquedebordàlapage4-50.
I. Feux de détresse à la page 4-3.
J. Systèmesaudioàlapage4-92.
K. Commandedeclimatisationautomatique à deuxzonesàlapage4-24.
L.Boutond'ouvertureduvoletd'accèsauréservoir decarburant.Sereporteràlarubrique Remplissageduréservoir àlapage6-11.
Boutond'ouvertureduhayon/coffre.Sereporterà larubrique«Ouvertureduhayon/coffre»sous Coffreàlapage3-15.
M. Intensité d'éclairagedutableaudebord à la page 4-17.
N. Commandedecapoteélectrique(simontée).Se reporteràlarubrique Toitdécapotable(Manuelle) à lapage3-66 ou Toitdécapotable(Alimentation) à lapage3-73.
O. Bluetooth ^MD àlapage4-110 (selonl'équipement). Commandesaudiointégréesauvolantdedirection àlapage4-122 (selonl'équipement).
P.Volantinclinableàlapage4-3.
Q. Klaxonàlapage4-3.
R. Boutondecolonnededirectiontélescopique (lecaséchéant). Sereporteràlarubrique Volant inclinableàlapage 4-3.
S.Positionsducommutateur d'allumage à la page3-25.
T.Siègeschauffants àlapage2-4 (selonl'équipement).
U.Levierdevitesses(automatiqueillustré).Se reporteràFonctionnementdelaboîtedevitesses automatique àlapage3-30 ouFonctionnementde laboîtedevitessesmanuelleàlapage3-35.
V. Dispositif d'assistance variable à la page 5-8.
W. Prises sélectriques pour accessoires à la page 4-22.
X. Suspension à géométrie variable à la page 5-15.
Y. Porte-gobelets à la page 3-55.
Z. Cendriers et allume-cigarette à la page 4-23.
AA. Frein de stationnement à la page 3-38.
AB.Boîteàgantsàlapage3-55.
AC.Bloc-fusiblesd'ensemble d'instruments à la page6-119.
Informationsurlaconduite initiale
Cettesectionprésentebrièvementd'importantes caractéristiquesquipeuventounonfairepartiedevotre véhicule.
Pourdesinformationsplusdétaillées, sereporterà chacunedescaractéristiquesdécritesplusloindansce guidedupropriétaire.
Systèmedetélédéverrouillage
L'émetteurdetélédéverrouillage(RKE)s'utilisepour verrouilleretdéverrouillerlesportesàunedistance pouvantatteindre30m(100pi)duvéhicule.

text_image
AAppuyersur pour déverrouillerlaportedu conducteur. Appuyerà nouveaudansles cinqsecondespour déverrouillerles deuxportes.
Appuyer pour verrouillertoutesles portes.
Maintenirenfoncé 📄 pendantunesecondeenviron pourouvrirlehayon/lecoffre.
Appuyersur pourfaireretentirleklaxon. Appuyer suruneautretouchedel'émetteurdetélédéverrouillage pourarrêterleklaxon.
Appuyersurlebouton(A)pourretirerlaclé.Laclépeut êtreutiliséepourverrouilleretdéverrouillerlaboîteà gantsetpourouvrirlehayonoulecouvercleducoffre encasdepanneélectrique.SereporteràCoffre à la page3-15 pourplusd'informations.
VoirlesrubriquesClés àlapage3-3 et Fonctionnementdusystèmed'accèsansclé à la page3-5.
Serruresdeporte
De l'extérieur, appuyer sur le bouton 🔒 ou 🔒 de l'émetteurdetélédéverrouillage.

text_image
A B CLorsquevousavezl'émetteurdetélédéverrouillage avecvous,vouspouvezégalementdéverrouillerou ouvrirlaporteenpinçantlecapteur(A)delapoignée deporte.
Depuis l'intérieur, utiliser le commutateur (B) deserrure deporte à commande électrique, placé ausommet du panne audeporte, près des deux glaces.
(déverrouillage): Presserpourdéverrouillerles portes.
(verrouillage): Presserpourverrouillerlesportes.
Pourouvriruneportedel'intérieuraprèsson verrouillage, appuyer sur le bouton (C) de l'avant de la poignéedeporteetpoussersurlaportepourl'ouvrir.
SereporteràPortesàverrouillageélectrique à la page3-13.
Ouverturedecoffre
(hayon/coffre): Appuyersurleboutonde déverrouillagedehayon/coffre, placésurletableaude bord, àgaucheduvolant. Lesystèmeantivolne peut êtrearmé.
(hayon/coffre): Appuyersurleboutonde déverrouillageduhayon/coffredel'émetteurde télédéverrouillage.
Pourobtenirdeplusamplesrenseignements,se reporterà Coffreàlapage3-15.
Glaces

Lescommandesdeslève-glacesélectriquesse trouventdanschaqueporte.
Tireroupresserl'avantducommutateurpourleverou abaisserlaglace.
Pourobtenirdeplusamplesrenseignements, se reporteràlarubrique Glacesélectriquesàlapage 3-19.
Réglagedesiège
Siègesàcommandemanuelle

- Leverlabarrepour déverrouillerlesiège.
2.Glisserlesiègeàla positiondésiréeet relâcherlabarre.
Essayerdedéplacerlesiègepourvérifiers'ilestbloqué enplace.
SereporteràSiègesàcommandemanuelle à la page2-2.
Siègesàcommandeélectrique

Lacommandeélectriquedessièges(option)setrouve surl'extérieurdusiège.
Déplacerlacommandevers l'avantoul'arrière repour régler l'emplacement dusiège.
Déplacerl'avantoul'arrière redelacommandeversle hautoulebaspourréglerlahauteurd'assisedesiège.
SereporteràSiègesàcommandeélectrique à la page2-3.
Supportlombaireetappuielatéral électriques

text_image
A BSurlesvéhiculesàsupportlombaireetappuislatéraux àcommandeélectrique:
- Déplacer(A) vers l'avantoul'arrière pour rajuster le supportlombaire.
- Déplacer(B)verslehautoulebaspourajusterles appuislatéraux.
Sereporterà Supportlombaireetappuielatéral électriquesàlapage2-3.
Siègesàdossierinclinable

Pourinclinerledossierdesiège:
- Leverlelevierd'inclinaison.
- Placerledossieràlapositiondésirée.
- Relâcherlelevierpourverrouillerledossier.
Sereporterà Siègesàdossierinclinableàlapage2-6.
Siègeschauffants
Lesboutonsdechauffagedesiège(option)setrouvent surlaconsolecentrale.Lecontactdoitêtremis.
:Appuyerpourréchaufferlesiègeàlatempérature maximale.
Réappuyerpoursélectionnerunetempératureinférieure
○:Presserpourdésactiverlesystème.
Ceinturedesécurité

Sereporterauxsectionssuivantespouruneimportante informationsurl'utilisationcorrectedesceinturesde sécurité.
• Ceintures de sécurité : Pour tous à la page 2-8.
- Portadéquatdesceinturesdesécurité à la page2-14.
• ceinture à triple point d'appui à la page 2-23.
- Ancragesinférieurspoursiège d'enfant(Système LATCH)(Modèlescoupéetcabrioletuniquement) àlapage2-35 ou Ancragesinférieurspoursiège d'enfant(Système LATCH)(ModèlesZ06etZR1 uniquement) àlapage2-36.
Systèmededétectiondusac gonflabledepassager
Danscertainescirconstances, lesystèmededétection dupassagerdésactivelesacgonflablefrontaletlesac gonflablelatéralintégréausiègedupassageravant droit. Lessacsgonflablesduconducteuretdelongeron detoitnesontpasconcernés.
Letémoind'étatdesacgonflabledepassagerest visible dans lerétroviseuraudémarrage.

text_image
PASSENGER AIR BAG OFF ONÉtats-Unis

Sereporterà Systèmededétection des occupants page2-54 pour d'importantesinformations.
à la
Réglagederétroviseur Rétroviseursextérieurs

Lescommandesélectriquesdesrétroviseursextérieurs setrouventsurlaporteduconducteur.
- Déplacerlacommandesupérieureverslagauche ouladroitepourchoisirlerétroviseurcôté conducteuroupassager.
- Déplacerlerétroviseurdansladirectiondésirée à l'aidedesflèchesdupavédecommande.
Laisserlecommutateurdusélecteurenposition centralesiaucunajustementdesrétroviseursextérieurs n'esteffectué.
Rabattremanuellements rétroviseurs pour réviter qu'ilssoientendommagés dans les slave-autos automatiques. Tirerler rétroviseur verslevéhicule. Pour les ramener à leur position d'origine, les repousser vers l'extérieur.
Rétroviseurintérieur
Lesvéhiculeséquipésd'unrétroviseurintérieur à assombrissement automatiqueréduisent automatiquementl'éblouissement desphares desvéhiculesquisuivent.
SereporteràRétroviseuràgradationautomatique à la page3-44.
Réglagedevolantdedirection

Leleviersetrouvesurlecôtégauchedelacolonnede direction. Pour régler levant:
- Tirerlelevierverssoi.
- Déplacerlevolantverslehautoulebasàune positionconfortable.
- Relâcherlelevierpourverrouillerlevolanten place.
Sereporterà Volantinclinableàlapage4-3.
Colonnededirectiontélescopique

Lecommutateurde colonnededirection télescopique(option)se trouveducôtédroitdela colonnededirection.
Pourréglerlacolonnededirectiontélescopique:
- Pousserlecommutateurversl'avantpouréloigner levolant.
- Tirerlecommutateurversvouspourrapprocherlevolant.
Lapositiondelacolonnetélescopiquepeutêtre mémoriséeavantvosréglagesdemémoire. Sereporter à Siège, rétroviseursetvolantdedirectionàmémoire lapage2-4 pourplusderenseignements.
Sereporterà Volantinclinableàlapage4-3.
à
Éclairageintérieur
Éclairaged'accueil
Quandl'unedesportesoulehayon/lecoffreestouvert, l'éclairageintérieurs'allume, àmoinsqu'ilnefasseclair àl'extérieur.
L'éclairaged'accueilpeutégalementêtrealluméou éteintenappuyantsurleboutonderéglagede l'intensitéd'éclairagedutableaudebord.
Lampesdelecture
Lerétroviseurintéieurcomprenddeuxliseuses. Elles s'allumentlorsqu'uneporteestouverte. Lorsqueles portessontfermées, appuyersurlesboutonsdes lampespourallumerchaquelampe.
Pourplusd'informationssurl'éclairage, sereppporterà:
- Intensitéd'éclairagedutableaudebord à la page4-17.
• Éclairaged'entréeetdesortieàlapage4-17.
Éclairageextérieur

text_image
AUTO 2005Lacommanded'éclairageextérieurstrouvesurle leviermultifonctionàgaucheduvolant.
☀ : Tourner l'anneau marqué de ce symbole pour allumerouéteindrel'éclairageextérieur.
:Extinctionel'éclairageextérieur.
AUTO(automatique): Placerlesfeuxextérieursen modeautomatique. Lemode AUTO(automatique) allumeouéteintlesfeuxextérieursenfonctiondu niveaudelumièreàl'extérieurduvéhicule.
306 : Fonctionnement manuel des feux de stationnement etdesautreslampesextérieures.
ID: Fonctionnementmanueldespharesetautres lampesextérieures.
Pourplusd'informations, sereporterà:
• Éclairageextérieuràlapage4-12.
Lelevierd'essuie-glaceestplacéàdroiteduvolant.
:Balayagesrapides.
:Balayageslents.
Permededéterminerundélaientrelesbalayages.
◆:S'utilisepourl'essuie-glaceintermittent.Faire tournerlabandederéglagedefonctionnement intermittentverslebaspourallongerlesinterruptions ouverslehautpourlesraccourcir.
○:Désactivelesessuie-glaces.
: S'utilise pour un seul cycle de balayage. Pour plusieurscycles, maintenirlabandepluslongtemps.
Lave-glace: Appuyersurleboutonàl'extrémitédu levierjusqu'àcequelelave-glacesemetteenfonction.
SereporteràEssuie-glacesdepare-brise à la page4-6 et Lave-glace de pare-brise à la page 4-7.
Commandesdeclimatisation
Grâceàcesystème, lechauffage, laclimatisation et la ventilation duvéhicule peuvent être contrôlés.

text_image
A B C AUTO AUTO AUTO D E F G H I JA. Commandedela températurecôté conducteur
B.Affichage
C.Climatisationàdeux
zones
D. AUTO(automatique)
E.Recyclaged'air
F.Climatisation
G. Commandedu ventilateur
H.Boutondemodede distributiond'air
I.Dégivrage
J. Désembueur delunette
arrière
Se reporter à Commande de climatisation automatique à deux zones à lapage 4-24.
Boîtedevitesses
Changementdevitessemanuelpar palettes(boîteautomatique)

Pourutiliserlesystèmedechangementderapport manuelparpalettes,lesélecteurdelaboîte automatique doit être en mode sport (S). Le système est activéenappuyantsurlapaletteplacéneau-dessusdes rayonsduvolant,pourpassermanuellementaurapport supérieur,ouentirantsurlapaletteplacéederrières rayonsduvolantpourrétrogradermanuellement.
Lerapportencourss'afficheaucentralisateur informatiquedebord(CIB)ouàl'affichagetête haute(HUD)(options).
Lesystèmedechangementderapportmanuelpar palettespeutêtredésactivéenquittantlemode Sport(S)ouenrepassantenmarcheavant(D), ouencoreenmaintenantleboutondepassageau rapportsupérieurpendantplusd'uneseconde.
Lesystèmedechangementderapportmanuelpar palettesnepermetpasdechangerderapportsila vitesseduvéhiculeesttropélevéeoutropbasse. Ilne permetpasnonplusdedémarrerenquatrième(4)ou dansunrapportsupérieur.
Sereporterà Fonctionnement delaboîtedevitesses automatique à lapage 3-30.
Témoindechangementdevitessedela premièreàlaquatrième(boîtede vitessesmanuelle)

text_image
1→4Encasdeboîtede vitessesmanuelle, lorsquecetémoin s'allume,onnepeut passerquedela première(1)àla quatrième(4),plutôt quedelapremière(1)àladeuxième(2).
Pourplusd'informationsausujetdelaconduite économisantlecarburant, sereporterà Fonctionnement delaboîtedevitessesmanuelleàlapage 3-35.
Fonctionsduvéhicule
Autoradio(s)

text_image
<< RDM RPT MUTE 1 2 3 4 5 6 SEEK SCAN 1234 H M BAND CD AUX CAT TRAF AUTO EQ AUTORadioaveclecteurdeCD
Boutonsupérieur(puissance/volume):Presserpour mettrelesystèmeen/horsfonction.Tournerpour augmenteroudiminuerlevolume.
BAND(bande): Appuyerpourcommuterentre FM1, FM2, AMetXM1ouXM2(option).
□□♪ : Tourner pour sélectionner les stations.
SEEK (recherche): Appuyer pour rechercher des émetteurs.
SCAN ▶ (exploration): Maintenir enfoncé pour balayerlesémetteurs.
i : Appuyer pour modifier l'information qui s'affiche en écoutantlaradio.
Pourplusd'informationsàcesujetetsurlesautres caractéristiquesderadio, sereporteràSystèmesaudio àlapage4-92 etàAutoradio(s)àlapage4-93.
Programmationdesstations
Jusqu'à30émetteurspeuventêtreprogrammés: sixFM1, sixFM2, etsixAM, ainsiquesixXM1 et sixXM2(option).
Pourprogrammerlesprésélections:
- Mettreenfonctionlaradio.
- AppuyersurleboutonBAND(bande)pourchoisir labandeFM1, FM2, AM, XM1ouXM2.
3.Syntoniserlastationvoulue. - Appuyersur AUTOEQ(réglageautomatiquedela tonalité)poursélectionnerl'égalisation.
- Presseretmaintenirl'undessixboutons-poussoirs numérotésjusqu'àcequelaradioémetteunbip.
- Répétercesétapespourchacunedestouches.
SereporteràAutoradio(s)àlapage4-93.
Réglagedel'horloge
Pourréglerl'heure:
- PresseretmaintenirHjusqu'àcequel'heure correctes'affiche.
- Presseretmaintenir Mjusqu'àcequelaminite correctes'affiche.
Se reporter à Réglage de l'horloge à la page 4-92.
Autoradiosatellite
XMestunservicederadiodiffusionparsatellite couvrantles48ÉtatscontigusdesEtats-Uniset 10provincescanadiennes.LesradiossatellitesXM proposent,avecunsondequaliténumérique,unvaste éventaildeprogrammesetmusiquesexemptsde coupurespublicitaires,etce,d'unecôteàl'autre.
Desfraisdeservicesontrequispourbénéficierdu serviceXM.
Pourplusd'informations, sereporterà:
• www.xmradio.comouappelerlenuméro 1-800-929-2100(États-Unis)
• www.xmradio.caouappelerlenuméro 1-877-438-9677(Canada)
Sereporteràl'informationausujetduservicederadio satelliteXM, sousAutoradio(s)àlapage4-93.
Dispositifsaudiportables
Cevéhiculepeutêtreéquipéd'uneprised'entrée auxiliaireplacéesurlafaçadedelaradio. Desappareils extérieurstelsquedes iPod ^MD , deslecteurs MP3, etc. peuventêtreconnectés à laprised'entréeauxiliaireen utilisant uncâbledeprised'entrée de 3,5mm (1/8po).
Sereporteràladescriptiondel'utilisationdelaprise d'entrée auxiliaire, sous Autoradio(s) à la page 4-93.
Commandesdevolanteddirection

Surlesvéhicules à commandesauvolant, certaines commandesaudiopeuventêtrerégléesauvolant.
© «Σ» : Appuyer pour activer ou désactiver les haut-parleursduvéhicule. Appuyerpendantplusde deuxsecondespourinteragiraveclesystèmeOnStar ouBluetooth.
: Presser pour rejeter un appel entrant ou mettre fin àunappelencours.
+ / -: Augmente ou diminue le volume
△ I ▽ : Presser pour changer les stations de radio ou poursélectionnerlespistesduCD.
1à6boutonspoussoirsdeprésélection: Appuyer surceboutonpourécouterlesstationsmémoriséessur lesboutons-poussoirs.
Pourobtenirdeplusamplesrenseignements, se reporteràlarubrique Commandesaudiointégréesau volantdedirection àlapage4-122.
Bluetooth ^MD
Encasdesystème Bluetoothembarqué, les utilisateurs Bluetoothpeuventlanceretrecevoir des appelsmains libresen utilisantlesystème audio et les commandes duvéhicule.
LetéléphonecompatibleBluetoothdoitêtrejumelé aveclesystèmeBluetoothembarquéavantd'être utilisédanslevéhicule. Certainstéléphonessont incompatibles. Pourplusd'informations, visiterlesite www.gm.com/bluetooth.
Pourobtenirdeplusamplesrenseignements, se reporteràlarubriqueBluetooth ^MD àlapage4-110.
Systèmedenavigation
Lesystèmedenavigationduvéhiculefournitdescartes détailléesdelamajoritédesautoroutesetroutes des Étas-UnisetduCanada. Aprèsavoirprogramméune destination, le système fournit des instructions de changementdedirectionquipermettent d'atteindrela destination. Enoutre, lesystème peut contribuer à localiserdenombreuxpointsd'intérêts (PDI), telsque lesbanques, lesaéroports, lesrestaurants, etc.
Sereporteraumoded'emploiusystèmedenavigation duvéhiculepourplusd'informations.
Centralisateurinformatiquede bord(CIB)
L'écranCIBsetrouveàlabasedutableaudebord. Ilindiquelestatutdenombreuxsystèmesduvéhicule etpermetd'accéderaumenudepersonnalisation.

flowchart
graph TD
A["iPhone"] --> B["Search Icon"]
B --> C["Info Icon"]
C --> D["Trip Icon"]
D --> E["Option Icon"]
E --> F["Reset Icon"]
LesboutonsduCIBsontplacéssurletableaudebord, àdroitedublocd'instruments.
B : Appuyer pour afficher l'information relative au carburantcommel'économieetlaconsommationde carburant.
:Appuyerpourafficherl'informationrelativeaux indicateurscommelapressionetlatempératurede l'huile, latempératureduliquidederefroidissementou duliquidedeboîtedevitessesautomatique(lecas échéant), latensiondelabatterieetlapressionde gonflagedespneusavantouarrière.
TRIP(totalisateurpartiel): Appuyerpourafficherle kilométragetotaletceluidutrajet, lafonctiondetemps écoulé, votreitessemoyenneetladuréedevieutile del'huilemoteur.
OPTION(option): Appuyerpourchoisirdesoptions personnellesdontlevéhiculepeutêtredoté, commele verrouillagedesportes, siègesàaccèsfacileetla langue.
RESET(réinitialisation): Appuyersurcebouton, ainsiquesurlesautresboutonspourréinitialiser desfonctionsdusystème, sélectionnerdesoptions personnellesetlesdésactiveroupourindiquerau centralisateurinformatiquedebord(CIB)quevous avezprisconnaissancedesmessagesaffichés.
Pourobtenirdeplusamplesrenseignements, se reporteràlarubrique Centralisateurinformatiquede bord(CIB)àlapage4-50.
Personnalisationduvéhicule
Certainesfonctionsduvéhiculepeuventêtre programméesenutilisantlesboutonsduCIBplacésà gaucheduvolant.Cesfonctionscomprennent:
- Unités
• Fonctionsdemémorisation - Fonctionsd'éclairage
• Confirmationdeverrouillageetdedéverrouillage - Paramétragedeverrouillageetdedéverrouillage deporte
- Langue
• Nomdelapersonnalisation
SereporteràPersonnalisationCIBduvéhicule à la page4-81.
Régulateurdevitesseautomatique

Lescommandesdu régulateurdevitesse à commandeadaptativese trouventàl'extrémitédu leviermultifonction.
○:Désactivelesystème.
I:Activelesystème.
+: Utiliser pour faire accélérer le véhicule ou revenir à unevitessepréalablementréglée.
Presserleboutonàl'extrémitédulevier multifonctionpourréglerlavitesse.
Voirlarubrique Régulateurdevitesse automatique à la page4-7.
Prisesd'alimentation
Laprisedecourantauxiliairepeutêtreutiliséepour brancherunaccessoireélectriquetelqu'untéléphone cellulaire.
Lapriseélectriquepouraccessoiresestsituéedansle compartimentderangementdelaconsolecentrale, côtéavantgauche.
Pourutiliserlaprise, retirerlecapuchonfixé.
Voir la rubrique Prises électriques pour accessoires à la page4-22.
Panneaudepavillon
Encasdetoitamovible, ilexistedeuxloquetsde déverrouillage. Unloquetsetrouvesurl'avantdu panneaudetoitetl'autre, audosdupanneaudutoit. Sereporterà Déposedupanneaudepavillon à la page 3-60.
Lespremièresfois, sefaireaider pour retirer le panneaudutoit. Lepanneaudetoitretirédoittoujours étrerangécorrectement dans le compartiment de rangementarrière.
Pourplusd'informations, sereporterà:
• Rangementdupanneaudepavillonàla page3-63.
• Installationdupanneaudepavillonàlapage3-64.
Décapotable
Letoitamovible(option) peut être abaisséetrangé derrièrelesiège. Pourlemoded'emploi, sereporter à Toitdécapotable (Manuelle) à lapage 3-66 ou Toit décapotable (Alimentation) à lapage 3-73.
Performanceetentretien
Systèmedetractionasservie(TCS)
Lesystèmedetractionasservielimitelepatinagedes roues. Lesystèmeestactivéautomatiquementau démarrage.
- Pourdésactiverlatractionasservie,appuyer etrelâcher 📄surlaconsole. 📄s'allume etlemessageadéquats'afficheauCIB. SereporteràCentralisateurinformatique debord-Avertissementsetmessages à la page4-57.
- Presseretrelâcherànouveauleboutonpour réactiverlatractionasservie.
SereporteràSystèmedetractionasservie(TCS) à la page5-7.
Levéhiculeestéquipéd'unsystemedecontrôle delastabilitéquicontribueàmaintenirlecontrôle directionnelduvéhiculedanslessituationsdifficiles.Se reporteràDispositifd'assistancevariableàlapage5-8.
Levéhiculepeutêtreéquipédumodedeconduite sportive(saufZR1),delagestiondetractionde performance(ZR1)etducontrôledelancementconçu pourfavoriserlerendementenaccélérationeten virage.SereporteràModedeconduitecompétitive à la page5-10.
Remorquage
Levéhiculen'apasétéconçuetn'estpasdestinéà êtreremorquéavecl'unedesrouesencontactavec lesol.
VoirlesrubriquesRemorquageduvéhicule à la page5-38 etRemorquaged'unvéhiculerécréatif à la page5-38.
Surveillancedelapressiondes pneus
Cevéhiculepeutêtreéquipéd'unsystemede surveillancedelapressiondespneus(TPMS).

Lesystèmenousavertit encasderéduction significativedepression d'unouplusieurspneus duvéhiculeenéclairantle témoindebassepression despneusdutableau debord.
Letémoinrestealluméjusqu'àlacorrectiondela pressiondespneus. Despressionscorrectespourvotre véhiculesontmentionnéessurl'étiquetted'informations surlespneusetlechargement, placéessurlemontant centralcôtéconducteur(montantB). Sereporterà Chargementduvéhiculeàlapage5-32.
Partempsfroid, vous pouvez constater que le pictogrammed'avertissement debassepression des pneuss'affichequandlevéhiculedémarrepourla premièrefois puiss'éteint quand vous commencez à rouler. Cecipeutêtre un indicateur précoce d'abaissement del apression des pneuset qu'il convient de les gonfler à lapression correcte.
Remarque : Le système signale une basse pression de pneu, maisilneremplacepasl'entretienmensuelle normale. Le conducteurestresponsabledumaintien depressionsdepneucorrectes.
Voirlesrubriques Systèmedesurveillancedela pressiondespneus àlapage6-88 et Fonctionnement dudispositifdesurveillancedelapressiondepneu à la page6-89.
FonctionsZ06,Z16etZR1
Vérificationdel'huilemoteur
LesmodèlesZ06,Z16(GrandSport)etZR1possèdent uncircuitdegraissagepourcartersechaute performance. Cesystémefonctionneautrementqu'un systèmeordinaire. SereporteràHuileàmoteur à la page6-22.
Avantdevérifierleniveaud'huile, lemoteurdoitêtre réchaufféetarrêtédepuisaumoinscinqminutes. Ceci permetd'obteniruneindicationpréciseduniveau d'huile.
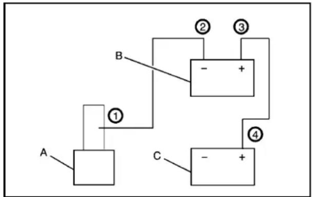
Démarrageparbatterieauxiliaire
LabatteriedesmodèlesZ06,Z16(GrandSport),et ZR1setrouveàl'arrièreduvéhicule.Ilestsuperflu d'accéderàlabatteriepourundémarrageparbatterie auxiliaire.Ilexistedesbornesàdistancepositive(+)et négative(-)danslecompartimentmoteuràceteffet. SereporteràBatterie àlapage6-59 etDémarrageavec batterieauxiliaireàlapage6-60.
Indicateurd'usured'huileàmoteur
Lesystèmededuréedeviedel'huilemoteurcalcule laduréedeviedel'huilesurbasedel'utilisationdu véhiculeetafficheunmessageauCIBlorsqu'ilest nécessairedevidangerl'huilemoteuretderemplacer lefiltre.Lesystèmededuréedeviedel'huiledoitêtre réinitialisé à 100% aprèsunevidange.
Réinitialisationdusystèmededuréedevie del'huile
-
AppuyersurleboutonTRIP (compteur kilométriquejournalier) jusqu'àceque lepourcentageOILLIFE (duréedevieutilede l'huile)s'affiche.
-
AppuyersurRESET(réinitialisation) pendant deuxsecondes. LemessageOILLIFE REMAINING 100% (durée de vie de l'huile moteur) s'affiche.
Sereporterà Indicateur d'usured'huile à moteur à la page 6-29.
Conduitepourunemeilleure économiedecarburant
Leshabitudesdeconduitepeuventaffecterla consommation. Voiciquelquesconseilsdeconduite permettantdediminueraumieuxlaconsommation.
- Éviterlesdépartsrapidesetaccélérerendouceur.
- Freinerprogressivementetéviterlesarrêts brusques.
- Éviterdefairetournerlemoteurauralentipendant delonguespériodes.
- Lorsquelesconditionsroutièreset météorologiqueslepermettent,utiliserle régulateurdevitesse,silevéhiculeenestdoté.
- Respectertoujoursleslimitationsdevitesseou roulerpluslentementlorsquelesconditions l'exigent.
- Maintenirlespneusàlapressioncorrecte.
• Combinerplusieurstrajetsenunseul. - Remplacerlespneusduvéhiculepardespneus demêmespécificationTPC,quifiguresurlaparoi dupneu,àcôtédelataille.
- Respecterlesprogrammesd'entretienpréconisés.
Batterie
Cevéhiculeestéquipéd'unebatteriesansentretien. SereporteràBatterie àlapage6-59 etàDémarrage avecbatterieauxiliaireàlapage6-60.
PourlesmodèlesZ06,ZR1etGrandSport,labatterie setrouvedanslazonedehayon/coffrearrière.Ilest superflud'accéderàlabatteriepourfairedémarrerle véhiculeaumoyend'unebatterieauxiliaire.Ilexiste dans des bornes positive (+) et négative (−) dans le compartimentmoteur.
Programmed'assistanceroutière
AuxÉtats-Unis:1-800-CHEV-USA(1-800-243-8872).
UtilisateursTTY:1-888-889-2438
Canada:1-800-268-6800
Entantquepropriétaired'unenouvelleChevrolet, vousbénéficiezautomatiquementduprogramme d'assistanceroutière. Ceprogrammevosdonneaccès àdesconseillerstechniquesdisponibles24heuressur 24,365joursparan, pour l'informationausujet de petitesréparationsouderendez-vousderemorquage.
AssistanceroutièreetOnStar
Sivousêtesabonné à OnStar, appuyersurlebouton OnStar: votre emplacement GPSestenvoyé à un conseiller On Star quivouvaidera a à résoud revotre problème, cont Algeria l'assistancer outière et signalera votre emplacement exact afin que vous puissiez obtenir l'aiden nécessaire.
Centred'aideenligneàlaclientèle
Lecentred'aideenligneàlaclientèleestunservice gratuitquiinclutlesrappelsd'entretien,desconseils d'entretien,leguidedupropriétaireenligne,des privilègesspéciaux,etc.
Abonnez-vousaujourd'huiurlesite: www.gmownercenter.com/chevrolet(États-Unis)ou www.gm.ca(Canada).
OnStar ^MD

Réactionautomatiqueencasdecollision
Encasdecollision, descapteurs intégrés peuvent automatiquement alerter un conseiller On Star, qui est immédiatement connecté au véhicule pours avoirs vous avez besoin d'assistance.
CommentfonctionneleserviceOnStar
: CeboutonbleuvousrelieàunconseillerOnStar spécialementformépourvérifiervotreinformationde compteetrépondreàvosquestions.
Appuyersurceboutonrouged'urgencepour obteniruneaideenprioritédesconseillersd'urgence OnStars spécialementformés.
: Appuyer sur ce bouton pour un appel mains libres activévocalementetpourdonnerdescommandes vocalesdenavigationvirageaprèsvirage.
Lesservicessuivantssontdisponiblessurlaplupart desvéhicules:assistanceencasdecrise,assistance encasdevolduvéhicule,diagnosticsduvéhicule, assistance routière pour le déverrouillage à distance desportes,navigationvirageaprèsvirageetappel mainslibres.TouslesservicesOnStarnesontpas disponiblessurtouslesvéhicules.Pourplus d'informations,consulterleguidedupropriétaire OnStarouvisiterlesiteInternetwww.onstar.com (auxÉtats-Unis)ouwww.onstar.ca(auCanada).Vous
pouvezégalementcontacterOnStarpartéléphoneau numéro1-888-4-ONSTAR(1-888-466-7827)ouparTTY au1-877-248-2080,ouappuyersur pourparleràun conseiller OnStar 24 heures sur 24, 7 jours sur 7.
Pourunedescription complètedesservices On Staret des limitations dusystème, consulterleguidedu propriétaire On Starplacéd dans laboîte à gants.
LesservicesOnStarsontsoumisauxtermeset conditionsOnStarfigurantdansl'informationde l'abonnéOnStar.
LeserviceOnStarnefonctionnequedansleszonesou OnStaraconcluunaccordavecunfournisseurde service sans fil local. Le service OnStar ne fonctionne également que si le fournisseur de service sans fil choisirOnStarpossèdelacouverture,leréseauet lescapacitésderéceptionnécessairesauservice,ainsi quelquechnologiecompatibleavecleserviceOnStar. Touslesservicesnesontpasdisponiblespartout, particulièrementdansleszonesdistantesou enfermées,nienpermanence.
LesystèmeOnStarpeutenregistrerettransmettredes informationsausujetduvéhicule.Cesinformationssont envoyéesautomatiquementàuncentred'appelOnStar lorsd'unepressionsur ou sur , ou si les sacs gonflablesoulesystèmeACRsedéploient.Les informationssurlevéhiculeincluenthabituellement l'emplacementGPSduvéhiculeet,encasdecollision, uneinformationsupplémentaireausujetdel'accident danslequellevéhiculeaétéimpliqué(p.ex.ladirection delacollision).Lorsquel'appelmainslibresOnStar estutilisé,levéhiculeenvoiceégalementOnStar l'emplacementGPSduvéhiculeafindepouvoiroffrir lesservicesnécessairessurlelieudel'accident.
Lesinformationsdepositionduvéhiculenesont disponiblesquesilessignauxdessatellitesGPSsont disponiblesetnerencontrentpasd'obstacle.
Levéhiculedoitposséderuncircuitélectriqueen étatdemarche, ycomprisl'alimentationdebatterie nécessaire, pour le fonctionnement del équipement OnStar. Ilexisted autres problèmesqu'OnStarne peut contrôleretquipeuventempêcher OnStard'offrir ceservicedansunlieouuntemps particulier. Exemples: dégâtsà desorganes importants devotre véhiculedansunaccident, zonemontagneuse, bâtiments sélevés, tunnels, conditions météo défavorables ou congestion duréseaudet téléphone sans fil.
CommandesOnStarauvolant
Cevéhiculepeutêtreéquipéd'unboutonTalk/Mute (parler/sourdine) permettant d'interagiraveclafonction mainslibresOnStar. Sereporterà Commandesaudio intégréesauvolantdedirection à lapage 4-122 pour plus d'informations.
Surcertainsvéhicules, leboutondesourdine peut être utilisé pour composer les numérods dans lessystèmes dem essagerievocaleoupours saisir les extensions de numérodetéléphone. Voirleguided d'emploi On Star pour plus d'informations.
Votreresponsabilité
AugmenterlevolumedelaradiosileconseillerOnStar nepeutêtreentendu.
SiletémoinplacéàcôtéduboutonOnStarestrouge, lesystèmepeutnepasfonctionnercorrectement.
Appuyersur OEt demander undiagnostic duvéhicule. Siletémoinest transparent (éteint), l'abonnement OnStara expiréettous less services sont tétédésactivés.
Appuyersur pour confirmerquel équipement On Star estactif.
NOTES
Section2Siègesetdispositifsderetenue
Sièges avant 2-2
Siègesàcommandemanuelle....2-2
Siègesàcommandeélectrique....2-3
Supportlombaireetappuielatéralélectriques...2-3
Siègeschauffants....2-4
Siège, rétroviseursetvolantdedirectionà mémoire....2-4
Siègesàdossierinclinable....2-6
Loquetspourdossierdesiège....2-8
Ceinturesdesécurité....2-8
Ceinturesdesécurité:Pourtous....2-8
Portadéquatdesceinturesdesécurité.....2-14
ceintureàtriplepointd'appui....2-23
Utilisationdelaceinturedesécuritépendantla grossesse....2-25
Rallongedeceinturedesécurité....2-26
Appareilsderetenuepourenfant....2-26
Enfantsplusâgés....2-26
Bébésetjeunesenfants....2-29
Appareilsderetenuepourenfant......2-33
Ancragesinférieurspoursièged'enfant
(SystèmeLATCH)(Modèles coupéet
cabriolet)....2-35
Ancragesinférieurspoursièged'enfant
(SystèmeLATCH)(ModèlesZ06etZR1
uniquement)......2-36
Fixationd'unappareilderetenuepourenfanten
positionsiègeavantdroit......2-40
Systèmedesacgonflable....2-44
Oùsetrouventlessacsgonflables?......2-47
Quandunsacgonflabledoit-ilsedéployer?...2-49
Qu'est-cequientraîneledéploiementdusac gonflable?......2-51
Dequellefaçonlesacgonflableretient-il?.....2-51
Queverrez-vousaprèsledéploiementd'unsac gonflable?......2-52
Systèmededétectiondesoccupants.....2-54
Réparationd'unvéhiculemunidesacs
gonflables....2-60
Ajoutd'équipementàunvéhiculemunidesacs
gonflables....2-60
Vérificationdesdispositifsderetenue....2-62
Vérificationdel'appareilderetenue......2-62
Remplacementdespiècesdesdispositifsde
sécuritéaprèsunecollision....2-63
Siègesavant
Siègesàcommandemanuelle

AVERTISSEMENT:
Sivousessayezderéglerlesiègeduconducteur àcommandemanuellelorsquelevéhiculeesten mouvement,vousrisquezdeperdrelecontrôle duvéhicule.Ledéplacementbrusquedusiège pourraiteneffetvousfairesursauter,vous dérouterouvousfaireactionnerunepédale sanslevouloir.Ilfautdoncréglerlesiègedu conducteurseulementquandlevéhicule estimmobile.
Si le véhicule est doté d'un siège manuel, celui-ci peut étredéplacéversl'avantouversl'arrière.

- Leverlabarrepour déverrouillerlesiège.
2.Glisserlesiègeàla positiondésiréeet relâcherlabarre.
Tenterdedéplacerlesiègeaveclecorpspours'assurer duverrouillagedusège.
Siègesàcommandeélectrique

Encasdesiègesàcommandeélectrique:
- Déplacerlacommandeversl'avantoul'arrière pourréglerl'emplacementdusiège.
- Déplacerl'avantoul'arrière redelacommande verslehautoulebaspour régler lahauteur d'assisedesiège.
Votrepositionassisepréféréepeutêtresauvegardée sivotrevéhiculeestéquipédelacaractéristiquede siègesàmémoireenoption.SereporteràSiège, rétroviseursetvolantdedirectionàmémoire à la page2-4.
Supportlombaireetappuielatéral électriques

text_image
A BSurlesvéhiculesàsupportlombaireetappuislatéraux àcommandeélectrique:
Déplacer(A)versl'avantoul'arrière repourajusterle supportlombaire.
Déplacer(B)verslehautoulebaspourajusterles appuislatéraux.
Siègeschauffants
Surlesvéhiculesdotésdesiègeschauffants,les boutonssetrouventsurlaconsolecentrale.
Lecontactdoitêtremispourquecedispositif fonctionne.
: Appuyer pour réchauffer le siège à la température maximale.
Réappuyer pour sélectionner une température inférieure
○ : Presser pour désactiver le système.
Siège, rétroviseursetvolantde direction à mémoire
Surlesvéhiculesdotésdugroupemémorisation, les commandessetrouventsurlaporteduconducteur.
1 : Sauvegardelapositiond'assiseduconducteur1.
2 : Sauvegardelapositiond'assiseduconducteur2.
☐ : Rappelle la position de recul automatique desiège.
Leschiffresaudosdesémetteursdetélédéverrouillage correspondentauxnombresquisetrouventsurles boutonsdemémorisation.
Pour mémoriser les positions d'assise :
-
Ajusterlesiègeduconducteur, les rétroviseurs extérieurs et la colonne de direction télescopique pour une positionde conduite confortable.
-
Maintenirenfoncélebouton1 jusqu'àcequedeux bipsretentissentpoursignalerquelapositionest enregistrée.
Vouspouvezmémoriserunedeuxièmepositionde siège,derétroviseursetdecolonnededirection télescopiqueenrépétantlesétapesci-dessuseten appuyantsurlebouton2.
Pourrappelerunepositionmémorisée:
- Surlesvéhiculesàboîtedevitessesautomatique, presseretrelâcherleboutondésiré.
Silevéhiculeestenpositiondestationnement(P), un signal sonore unique retentit et la position mémoriséeestrappeléeaprèsunbrefdélai.
Silevéhiculen'estpasenpositionde stationnement(P),troissignauxsonores retentissent et la position mémorisée n'est pasrappelée.
- Surlesvéhiculesàboîtedevitessesmanuelle, silecontactestmis, lefreindestationnement doitêtreserrépourpouvoirrappelerlaposition mémorisée. Presseretrelâcherleboutondésiré.
Unsignalsonoreuniqueretentitetlaposition mémoriséeestrappeléeaprèsunbrefdélai.
Silecontactestmisetquelefreinde stationnement n'est pas serré, trois signaux sonoresretentissentetlapositionmémorisée n'estpasrappelée.
Surlesvéhiculesdotésdelafonctionderappel automatiquedesréglagesmémorisés,seréférerà «Rappelautomatiquedesréglagesmémorisés» sous PersonnalisationCIBduvéhicule àlapage4-81 pourde plus amples informations.
Pour interrompre le mouvement de rappel, appuyer surl'undesboutonsdesiège à commande électrique, derétroviseurs à commande électrique oude mémorisation, ousurlecommutateur del acolonne de direction télescopique.
Siègefacilitantlasortie
(siège facilitant le sortie): Ce bouton sert à programmeretà rappelerlapositiondesortiedusège duconducteuràreculautomatique.
Pourprogrammerunepositiondesortie:
- Rappelerlapositiondeconduitedésiréeen appuyantsurlebouton1.
- Placerlesiègeetlacolonnededirection télescopiquepourunepositiondesortie confortable.
- Maintenirenfoncéleboutondesortiejusqu'àce quedeuxbipsretentissentpoursignalerquela positionestmaintenantprogrammée.
Unesecondepositiond'assiseetderétroviseurpeut êtreprogramméeenrépétantlesétapesprécédentes puisenappuyantsurlebouton2.
- Surlesvéhiculesàboîtedevitessesautomatique, sélectionnerlapositiondestationnement(P).
- Surlesvéhiculesàboîtedevitessesmanuelle, serrerlefreindestationnement.
Presserpourrappelerunepositiondesortie.
Unsignalsonoreretentiraelapositiondesortie mémoriséeserarappelée.
Surlesvéhiculesdotésdelafonctionderappel automatiquedesmémorisationsdesortie,seréférerà « Rappel automatique des mémorisations de sortie » sousPersonnalisationCIBduvéhicule àlapage4-81 pourdeplusamplesinformations.
Siègesàdossierinclinable

AVERTISSEMENT:
Sivousessayezderéglerlesiègeduconducteur à commandemanuellelorsquelevéhiculeesten mouvement, vous risquezdeprendrelecontrôle duvéhicule. Ledéplacementbrusquedusiège pourrait en effet vous fairesursauter, vous dérouterouvousfaireactionnerunepédale sans levouloir. Il faut donc réglerlesiègedu conducteur seulement quandlevéhicule estimmobile.

AVERTISSEMENT:
Siundossierdesiègen'estpasbloqué, ilrisque de se déplacer vers l'avant lors d'un arrêt brusque oud'un accidentetdeblesserlapersonneassise à cetendroit. Toujours pousserettirerledossier dusiègepours'assurerqu'ilestbloqué.
Lessiègessontéquipésdedossiersàinclinaison manuelle. Lelevierpermettantdelesfairefonctionner setrouveducôtéextérieurdessièges.

Pourinclinerledossierdesiège:
- Leverlelevierd'inclinaison.
- Placerledossieràlapositiondésirée.
- Relâcherlelevierpourverrouillerledossier.

Il peutêtredangereuxdes'asseoirenposition inclinéelorsquelevéhiculeestenmouvement. Mêmesivousportezvosceinturesdesécurité, ellesnepeuventpasbienvousprotégerquand vousêtesdansunetelleposition.
.../
AVERTISSEMENT:(suite)
Laceintureépaulièrenepeutpasêtreefficace. Lorsd'unecollision, vouspourriezêtreprojeté contrelaceintureetvousblesseràlanuque ouailleurs.
Laceintureventraleneserapasefficacenon plus.Lorsd'unecollision,ellepourraitexercersa forcesurl'abdomenetnonpassurlesosdu bassin.Cecipourraitentraînerdegraves blessuresinternes.
Pourêtrebienprotégéquandlevéhicule estenmouvement, placerledossierenposition verticale. Ilfautaussisecalerdanslesiègeet porterconvenablementlaceinturedesécurité.
Nepasconduireavecedossierdesiègeincliné.
Loquetspourdossierdesiège

Pourrabattreledossierdesiègeversl'avant,tirerle leviersituéal'arrière redusiège.Pousserledossiervers lebasjusqu'àcequ'il severrouilleenplace.
Pourredresserledossierenpositionverticale, tirerle levieretpousserledossiervers l'arrière jusqu'au verrouillage.
⚠ AVERTISSEMENT:
Siundossierdesiègen'estpasbloqué, ilrisque desedéplacerversl'avantlorsd'unarrêtbrusque oud'unaccidentetdeblesserlapersonneassise àcetendroit. Toujourspousserettirerledossier dusiègepours'assurerqu'ilestbloqué.
Ceinturesdesécurité
Ceinturesdesécurité:Pourtous
Cettepartieduguideexpliquecommentutiliser correctementlesceinturesdesécurité. Elleindique également les choses à nepasfaire avec lesseintures desécurité.
⚠ AVERTISSEMENT:
Nejamaislaisserunepersonneprendreplacelà oùilestimpossibledeportercorrectementune ceinturedesécurité. Encasdecollision, sivous ouvospassagersneportezpasdeceinturede sécurité, lesblessurespeuventêtrebeaucoup
.../
AVERTISSEMENT:(suite)
plusgraves. Vousrisquezdeheurterplus fortementcertainsobjetsàl'intérieurduvéhicule oud'enêtreéjecté. Vousouvospassagers pouvezêtregravementblessésoumêmetués. Vouspourriezsortirindemnedelamêmecollision sivousaviezattachévotreceinture. Attacher toujoursvotreceinturedesécuritéets'assurer quevospassagers sont attachéscorrectement.

AVERTISSEMENT:
Ilestextrêmementdangereuxdes'asseoirdansle compartimentutilitaire,àl'intérieurouàl'extérieur duvéhicule. Lorsd'unecollision,lespassagers assisàcesendroitsrisquentd'êtreblessés gravementoumêmed'êtretués. Nepermettre à personnedeprendreplacedanslevéhiculelàou iln'yapasdesiègesnideceinturesdesécurité. S'assurerquetouslespassagersduvéhiculeont unsiègeetqu'ilsutilisentleurceinturedesécurité convenablement.
Cevéhiculeestdotédetémoinsdestinésàvous rappelerd'attacherlesceinturesdesécurité.
SereporteràRappelsdeceinturedesécurité à la page4-34 pourplusd'informations.
Danslaplupartdesétatsetdanstouteslesprovinces canadiennes, laloixigeleportdesceinturesde sécurité. Voicipourquoi:
Il est impossible de prévoir une collision et sa gravité.
Certains accidents ne sont pas graves. D'autres sonsigravesquemêmelespersonnesattachéesne survivraientpas. Cependant, lapupartdescollisionsse situententrecesdeuxextrêmes. Dansdenombreux cas, lespersonnesattachéespeuentsurvivreet parfois s'ensortirindemnes. Sansceinturedesécurité, ellesrisquent d'êtregravement blesséesou même tuées.
Aprèsplusde40ansd'utilisationdesceinturesde sécurité dans les véhicules, les résultats sont clairs. Dans lapupart des collisions, les ceintures désécurité font...touteladifférence!
Efficacitédesceinturesdesécurité
Quandvousêtespassagerd'unvéhiculequelqu'ilsoit, vousvoudéplacezàlamêmevitessequecelui-ci.

Prenonslevéhiculeleplussimple.Supposonsqu'il s'agissesimplementd'unsiègesurroues.

Supposonsquequelqu'unprendplacesurlesiège.

Levéhiculeprenddelavitesse. Toutécoup,levéhicule s'arrête. Lepassager, lui, nes'arrêtepas.

Cepassagerpoursuivrasacoursejusqu'àcequ'ilsoit arrêtéparquelquechose. Dansunvraivéhicule, cela pourraitêtrelepare-brise...

Ouletableaudebord...Oulesceinturesdesécurité!

Aveclesceinturesdesécurité, vousralentissezen mêmetempsquelevéhicule. Vousavezplusdetemps pourvousarrêter. Vousvousarrêtezsurunedistance pluslongueetlesoslesplussolidesdevotrecorps amortissentlechoc. Ilestdonclogiquedeporterles ceinturesdesécurité.
Questionsetréponsesausujetdes ceinturesdesécurité
Q: Nevais-jepasrestercoincédanslevéhicule aprèsunaccidentsijeporteuneceinture desécurité?
A: Vous pourriez l'être — que vous portiez une ceinture desécuritéounon. Maissivousêtesattaché, vous avez plus de chances der ester conscient pendant et après un accident, cequivous permettrade débouclervotreceinture et desortir du véhicule. Et vous pouvez débouclervotreceinturedes sécurité mêmesivous voustrouvez latéteenbas.
Q: Simonvéhiculeestéquipédesacsgonflables, pourquoidevrais-jeporteruneceinturede sécurité?
A: Lessacsgonflablesnesontquedessystèmes complémentaires. Ainsi, ilsnesontefficaces qu'aveclesceinturesdesécuritéetneles remplacentpas. Qu'unsacgonflablesoitprésent ounon, tous les occupants doivent boucler leur ceinturedesécurité pour bénéficier d maximum de protection. Ceciestvrainon seulement en cas decollisionfrontale, mais particulièrement encas decollision latérale ou autre.
Q:Sijesuisunbonconducteuretquejenevais jamaisloindechezmoi,pourquoidevrais-je porteruneceinturedesécurité?
A: Vous êtes peut-être un excellent conducteur, mais sivous êtes impliquédans un accident—mêmesi vous n'enêtes pas responsable—vouset vos passagers serez peut-être blessés. Étreunbon conducteurne vous protègepas des faits que vous ne contrôlezpas, commedes mauvais conducteurs.
Laplupartdesaccidentsseproduisentàmoins de40km(25milles)delamaison.Deplus,leplus grandnombredeblessuresgravesetdemorts seproduisentàdesvitesseinférieuresà 65km/h(40mi/h).
Lesceinturesdesécuritésontpourtoutlemonde.
Portadéquatdesceinturesde sécurité
Cettesectionneconcernequelespersonnesde tailleadulte.
Setenircomptequ'ilyadesrenseignements spécifiquessurlebouclagedesceinturesdesécurité desenfants.Deplus,lesrenseignementssont différentspourlespetitsenfantsetlesbébés.Siun enfantvoyageàbordduvéhicule,sereporteràla rubriqueEnfantsplusâgés àlapage2-26 ouBébéset jeunesenfants àlapage2-29 .Suivrelesdirectivespour assurerlaprotectiondetoutlemonde.
Ilesttrèsimportantquetouslesoccupantsbouclent leurceinturedesécurité! Lesstatistiquesdesaccidents indiquentquelespersonnesneportantpasde ceinturesdesécuritésontplussouventblessées lorsd'unecollisionquecellesquienportentune.
Lesoccupantsquinebouclentpasleurceinture peuventêtreéjectésduvéhiculelorsd'unecollisionou heurterceuxdanslevéhiculequiportentdesceintures desécurité.
Avantdebouclerlaceinturedesécurité, vousetvos occupantsdevezsavoirceci.

S'asseoirdroitetgardertoujourslespiedsausol devantvous. Laceintureventraledoitêtreajustéele plusbaspossiblesurlebassin,justeau-dessusdes cuisses. Cettepositionpermetderépartirlaforcedela
ceinturesurlesossolidesdubassinencasde collision;ainsi,lesrisquesdeglissersouslaceinture ventralesontdiminués.Sivousglissiezsousla ceinture,l'abdomenabsorberaitlapressiondela ceinture,cequipourraitentraînerdesblessuresgraves, voiremortelles.Laceintureépaulièredoitpasser par-dessusl'épauleetsurlapoitrine.Cesontces partiesducorpsquipeuventlemieuxabsorberles forcesderetenuedelaceinture.
Laceintureépaulièresebloquelorsd'unarrêtsoudain oud'unecollision.
Q: Qu'est-cequinevapas?

A: Laceintureépaulièren'estpasassezserrée. Decettefaçon, ellen'assurepaslaprotection voulue.
⚠ AVERTISSEMENT:
Vousrisquezd'ètregrièvementblessésivotre ceintureépaulièreesttroplâche. Lorsd'une collision, votrecorpsse déplaceraittropvers l'avant, cequipourraitaugmenterlagravité des blessures. Laceintureépaulièredevraitreposer contrevotrecorps.
Q: Qu'est-cequinevapas?

A: Laceintureventralen'estpasassezsserrée. Decettefaçon, ellen'assurepaslaprotection voulue.

AVERTISSEMENT:
Vousrisquezd'êtregrièvementblessésivotre ceintureventralen'estpasserrée. Dansune collision, vous pourriez glissersous laceintureet appliquer del a force à votre abdomen. Ceci pourrait vous blesser grièvementou mêmevous tuer. Laceintureventraledo it être reportée baset serrées ur le shanches, entouchant les cuisses.
Q: Qu'est-cequinevapas?

A: Laceintureestraccordée à lamauvaiseboucle.
⚠ AVERTISSEMENT:
Vousrisquez d'êtregrièvement blessésivotre ceintureestattachée à lamauvaiseboucle, tel qu'illustré. Lorsd'unecollision, laceinturepourrait exercersaforcesurl'abdomenetnonpassurles osdubassin. Cecipourrait entraînerdegraves blessuresinternes. Vousdeveztoujoursattacher votreceinturedanslabouclelaplusproche devous.
Q: Qu'est-cequinevapas?

A: Laceinturepassepar-dessusunaccoudoir.

AVERTISSEMENT:
Vousrisquezd'êtregravementblessésivotre ceinturepassepar-dessusunaccoudoir,tel qu'illustré.Laceintureseraitbeaucouprophaute. Lorsd'unecollision,vouspouvezglissersousla ceinture.Laforcedelaceintureseraitalors exercéesurvotreabdomen,etnonpaslesosdu bassin,cequipourraitcauserdesblessures internesgravesoufatales.S'assurerquela ceinturepassesouslesaccoudoirs.
Q: Qu'est-cequinevapas?

A: Laceintureépaulièrepassesouslebras. Elledoit toujourspasserpar-dessus l'épaule.
⚠ AVERTISSEMENT:
Lerisquedeblessuregraveestaccrusila ceintureépaulièreestportéesouslebras. Lors d'unecollision, lecorpssedéplaceraittropvers l'avant, cequiaugmenteraitlerisquedeblessures à latêteetaucou. Deplus, ceciexerceraittrop deforcesurlescôtes, quinesontpasaussi solidesquelesosdesépaules. Lerisquede gravesblessuresauxorganesinternescommele foieoularateestégalement accru. Laceinture épaulièredoitpasserau-dessusdel'épauleeten traversdelapoitrine.
Q: Qu'est-cequinevapas?

A: Laceinturesetrouvederrièrelecorps.

AVERTISSEMENT:
Unportincorrectdelaceinturebaudrierpeutêtre sourcedegravesblessures.Encasd'accident, vouspourrieznepasêtreretenusparlaceinture desécurité.Votrecorpspourraitsedéplacertrop versl'avant,augmentantlesrisquesdeblessures àlatêteetaucou.Vouspourriezégalement glissersouslaceintureventrale.Laforcedela ceintures'appliqueraitalorsdirectementsur l'abdomen,causantdeslésionsgraves,voire fatales.Laceinturebaudrierdoitpasser au-dessusdel'épauleetentraversdelapoitrine.
Q: Qu'est-cequinevapas?

A: Laceintureestvrillée.
⚠ AVERTISSEMENT:
Vousrisquez d'êtregrièvement blesséparune ceinturetordue. Lorsd'unecollision, lesforces d'impactneseraientpasrépartiessurtoutela largeurdelaceinture. Siuneceintureesttordue, vousdevezladétordrepourqu'ellepuisse fonctionner convenablementoudemanderà votreconcessionnairedelaréparer.
Ceintureàtriplepointd'appui
Touteslespositionsd'assiseduvéhiculesontdotées d'uneceinture-baudrier.
Lesinstructionssuivantesexpliquentcommentporter correctementlaceinture-baudrier.
-
Réglerlesièges'ilestréglableafindepouvoirs'asseoirenétantredressé. Poursavoircomment, consulter « Sièges », dans l'index.
-
Prendrelaplaquedeverrouillageetverrouillerla ceintureenlaramenantsurvous. Vérifiersila ceinturen'estpasvrillée.
Laceintureépaulièrepeutsebloquersivousla tireztrèsrapidement. Sicelaseproduit, laisserla ceinturerevenirlégèrementversl'arrièreepourla débloquer. Tirerensuitelaceinturepluslentement.
Silaceinture-baudrierd'uneceinturedesécurité depassagerestentièrementétirée,ledispositif deblocagedesièged'enfantpeutêtreengagé. Sicecisproduit, laisserlaceintures'enrouler complètementetrecommencer.
L'engagementdudispositifdeblocagedesiège enfantàlapositionavantdroitepeutafacterle systèmededétectiondepassager.Sereporter àSystèmededétectiondesoccupants à la page2-54 pourdeplusamplesinformations.

- Enfoncerlaplaquedeverrouillagedanslaboucle jusqu'audéclic.
Tirersurlalanguettepours'assurerqu'elleestbien enplace.Silaceinturen'estpasassezlongue,se reporteràlarubriqueRallongedeceinturede sécuritéàlapage2-26.
Positionnerleboutondedéblocagedelaboucle demanièreàpouvoirdétacherrapidementla ceintureencasdebesoin.

- Pourserrerlaceintureabdominale, tirerlaceinture épaulièreverslehaut.
Ilpeuts'avérernécessairedetirerlacouturedela ceinturedesécuritéàtraverslaplaquedeblocage pourserrercomplètementlaceintureventralesur lesoccupantsdepetitetaille.

Pourdétacherlaceinture, appuyersurleboutonsitué surlaboucle. Laceinturedevraitrevenirenpositionde rangement.
Avantdefermeruneporte, vérifiersilaceinturenese trouvepasdanslechemin. Siuneporteestclaquée contreuneceinture, laceintureetlevéhiculepeuvent êtreendommagés.
Prétensionneursdeceinturede sécurité
Levéhiculeestéquipédeprétendeursdeceinturesde sécuritéauxplacesextérieuresavant. Bienqu'ilssoient invisibles, ilsfontpartiedel'ensembledeceinturede sécurité. Ilspeuventcontribueràserrerlesceintures desécuritélorsdespremiersinstantsd'unimpact frontalouquasifrontalmodéréàfortsilesconditions d'activationdesprétendeurssontrencontrées. Et, sur lesvéhiculesdotésdesacsgonflableslatéraux, les prétendeursdeceinturesdesécuritépeuventcontribuer àserrerlesceinturesdesécuritéencasd'impact latéral.
Lesprétendeursnefonctionnentqu'uneseulefois. S'ilssontactivéslorsd'unecollision,ilsdoiventêtre remplacés,etpeut-êtred'autrespiècesdusystème également.SereporteràRemplacementdespièces desdispositifsdesécuritéaprèsunecollision à la page2-63.
Utilisationdelaceinturedesécurité pendantlagrossesse
Lesceinturesdesécuritésontefficacespourtoutle monde, y comprislesfemmesenceintes. Commetous lesautresoccupantsduvéhicule, elles risquent d'être gravement blessé essiellesn'enportentpas.

Unefemmeenceintedevraitporterune ceinture-baudrieretlaceintureventraledevraitêtre portéesousleventreaussibasquepossibletoutau longdelagrossesse.
Lameilleurefaçondeprotégerlefoetusestdeprotéger lamère. Quandlaceinturedesécuritéestportée commeilfaut, ilestvraisemblablequelefoetusne serapasblessélorsd'unecollision. Pourlesfemmes enceintes, commepourtoutlemonde, lesecretde l'efficacitédesceinturesdesécuritéestdelesporter commeilfaut.
Rallongedeceinturedesécurité
Silaceinturedesécuritéduvéhiculepeuts'attacher autourdevous, lautiliser.
Maissilaceinturedesécuritén'estpasassezlongue, votreconcessionnairevouspermettrad'obtenirune rallonge. Lorsquevouspassezvotrecommande, porter leplusgrosmanteauquevousayezpourêtrecertain quelaceintureseraadaptéeàvous. Pouréviterles blessures, nelaisserpersonned'autres'enserviret l'utiliserseulementsurlesiègepourlequeelleaété commandée. Lesrallongessontconçuespourles adultes. Nejamaisl'utiliserpourfixerunsièged'enfant. Pourl'utiliser, ilsuffitdelafixeràlaceinturedesécurité ordinaire. Pourplusderenseignements, sereporterau modd'emploidarallonge.
Appareilsderetenuepour enfant
Enfantsplusâgés

Lesenfantsquisonttropgrandspourdessièges d'appointdevraientporterlesceinturesdesécurité duvéhicule.
Lesinstructionsdufabricantaccompagnant lesièged'appointindiquentieslimitesdepoids etdetaileddecesiège.Utiliserunsièged'appointet uneceinture-baudrierjusqu'àcequel'enfantpassele testd'ajustementci-dessous:
- L'asseoirenlereculantcomplètemsurlesiège. Sesgenouxsepliant-ilsauborddusège?Sioui, poursuivre. Danslecascontraire,revenirausiège d'appoint.
- Bouclerlaceinture-baudrier.Laceintureépaulière repose-t-ellesurl'épaule?Sioui,continuer.Sinon, revenirausièged'appoint.
- Laceintureabdominales'ajuste-t-elleleplus baspossiblesurlebassin,justeau-dessusdes cuisses?Sioui,poursuivre.Danslecascontraire,revenirausièged'appoint.
- L'ajustementcorrectdelaceinturedesécurité peut-ilêtremaintenupendanttoutletrajet? Sioui, poursuivre. Dans le cas contraire, revenir ausièged' appoint.
Q: Quelleestlafacçonappropriéedeporterune ceinturedesécurité?
A: Unenfantplusâgédevraitporterune ceinture-baudrieretbénéficierdelaprotection supplémentaired'uneceintureépaulière. Laceinture épaulièrenedevraitpaspasserdevantlevisageou lecou. Laceintureventraledevraitêtrereportéebas surleshanches, bienajustéeettouchantâpeine lescuisses. Ceciappliquelaforcedelaceinturesur lebassindel'enfantencasd'accident. Ellene devraitjamaisêtreportéesurl'abdomen. Ceci pourraitcauserdesblessuresgravesetmême desblessuresinternesfataleslorsd'unecollision.
Selonlesstatistiquesd'accident,lesbébésetles enfantssontplusensécuritédanslessiègesarrière quedanslessiègesavant,s'ilssontcorrectement retenus.
Lorsd'unecollision, lesenfantsquinesontpas attachéspeuventheurterd'autresoccupantsquilesont oupeuventêtreéjectéesduvéhicule. Lesenfantsplus âgésdoiventbienporterlesceinturesdesécurité.

AVERTISSEMENT:
Ànejamaisfaire.
Deuxenfantsnepeuventpartagerlamême ceinture.Laceinturenepeutpasbienrépartirles forcesd'impact.Lorsd'unecollision,lesdeux enfants peuvent s'écraser l'un contre l'autre et êtregrièvementblessés.Chaqueceinturenedoit servirqu'àunepersonneàlafois.

Unenfantnepeutporterlaceinturedesécurité aveclaceintureépaulièrederrièresondosau risquedeblessureparmanquederetenuepar laceintureépaulière.L'enfantrisquedese déplacertroploinetdeseblesserlatêteetle cou.Ilrisqueaussideglissersouslaceinture abdominale. La force de la ceinture s'appliquerait directementsurl'abdomen,causantuneblessure graveoufatale.Laceintureépaulièredoitpasser par-dessusl'épauleetàtraverslapoitrine.

Bébésetjeunesenfants
Toutlemondedansunvéhiculeabesoindeprotection ycomprislesbébésetlesenfants!Niladistance parcourue,nil'âgenilatailledel'occupantnechangent lebesoin,pourtoutlemonde,d'utiliserlesdispositifs deprotection.Eneffet,laloidechaqueprovince canadienneetdechaqueÉtataméricainexigeque lesenfants,jusqu'àuncertainâge,soientattachés dansunvéhicule.
⚠ AVERTISSEMENT:
Lesenfantspeuventêtregravementblessés ouétrangléssilaceintureépaulières'enroule autourdeleurcouetqu'ellecontinueàseserrer. Nejamaislaisserd'enfantsanssurveillancedans unvéhiculeetnejamaislaisserlesenfantsjouer aveclesceinturesdesécurité.
Lacombinaisondusacgonflableavecla ceinture-baudrieroffrelameilleureprotectionpossible pourlesadultesetlesgrandsenfants,maispaspour lesjeunesenfantsoulesbébés.Nilesceinturesde sécuriténillessacsgonflablesnesontconçuspoureux. Lesbébésetlesjeunesenfantsquiprennentplace danslevéhiculedoiventêtreprotégéspardes dispositifsderetenuepourenfantsadéquats.
Les enfants qui ne sont pas attachés correctement peuventheurterd'autrespersonnesouêtreéjectés duvéhicule.

AVERTISSEMENT:
Ànejamaisfaire.
Unepersonnenedevraitjamaistenirunbébéou unenfantdanssesbrasquandelleprendplace à bordd'unvéhicule. Eneffet, lors d'unecollision, le poids d'unbébéesttel qu'il seraimpossibledele retenir. Parexemple, lors d'unecollision à une vitessede 40km/h (25mi/h) seulement, lepoids d'unbébéde 5,5kg (12lb) exercerasoudainement une forcede 110kg (240lb) sur les bras de la personne quile transporte. Unbébédevrait être attachédansunsiège d'enfantadéquat.

Lesenfantsprochesd'uncoussingonflablequise déploiepeuventêtregrièvementblessésou mêmetués.Nejamaisplacerunsiègepour enfantdirigéversl'arrière danslesiègeavant droit.Leplacerdansunsiègearrière.Unsiège d'enfantdirigéversl'avantdoitaussiêtreplacé dansunsiègearrière.S'ilestnécessaire d'attacherunsièged'enfantorientéversl'avant danslesiègedepassageravant,toujoursreculer aumaximumlesiègedupassager.

Q: Quelssontlesdifférentstypesdesièges d'enfantsupplémentaires?
A: Quatretypesélémentairesdesiègesd'enfant supplémentaires, achetésparlepropriétairedu véhicule, sontdisponibles. Pourlasélectiond'un sièged'enfantspécifique, ilfauttenircomptenon seulementdupoids, delatailleetdel'âgede l'enfant, maisaussidelaccompatibilitédusigiègeavec levéhiculeautomobiledanslequelilserautilisé.
Pourlaplupartdestypesdesiègesd'enfant, différentsmodèleslessontdisponibles. Lorsdel'achat d'unsièged'enfant, s'assurerqu'ilestconçupour êtreutilisédansunvéhiculeautomobile. Sitelest lecas, lesièged'enfantporterauneétiquettede conformitéauxnormesfédéralesdesécuritédes véhiculesautomobiles.
Lesdirectivesdufabricantaccompagnantle sièged'enfantindiquentieslimitesdepoidset degrandeurd'unsièged'enfantspécifique.Deplus, ilexistedenombreuxtypesdesiègespourles enfantsayantdesbesoinsparticuliers.
⚠ AVERTISSEMENT:
Lesnouveau-nésontbesoind'unsoutiencomplet, ycomprislesoutiendelatêteetducou, notammentparcequelecoud'unnouveau-néest faibleetsatêteesttrèslourdecomparativement aurestedesoncorps. Lorsd'unecollision, un bébédansunsièged'enfantorientéversl'arrière s'immobilisedansl'ensemblederetenue, desorte quelesforcesdelacollisionsontdistribuéessur lespartieslesplussolidesducorpsdubébé, soit ledosetlesépaules. Unbébédevraittoujours êtreattachédansunsièged'enfantapproprié.

AVERTISSEMENT:
Lesosdubassind'unjeuneenfantsontencore sipetitsquelaceinturedesécuritéordinairedu véhiculepourraitnepasrestersurlesosdu bassincommeeelledevrait.Aucontraire, ellepourraîtremontersurl'abdomendel'enfant. Lorsd'unecollision,laceintureexerceraitalorsla forcedel'impactsurunepartieducorpsquin'est pasprotégéeparaucuneossature,cequipourrait entraînerdesblessuresgravesoufatales. Unjeuneenfantdevraittoujoursêtreattaché dansunsièged'enfantapproprié.
Appareilsderetenuepourenfant

Unsiègepourbébé orientéversl'arrière(A) assureuneretenuedu dosdel'enfantcontrela surfacedusiège.
Leharnaisretientlebébéenplacedanslesiègelors d'unecollision.

Unsièged'enfantorienté versl'avant(B) permetde retenirlecorpsdel'enfant parl'intermédiairedu harnais.


Unsièged'appoint(C-D)estundispositifderetenue pourenfantconçupourpermettreunmeilleur ajustementdusystèmedeceinturesdesécuritédu véhicule. Unsièged'appointpeutaussipermettreà unenfantdevoirdehors.
Fixationd'unsièged'enfant supplémentairedanslevéhicule
⚠ AVERTISSEMENT:
Encasdecollision, silesièged'enfantn'estpas correctementfixédanslevéhicule, unenfant risqued'êtresérieusementblesséoutué. Fixerle sièged'enfantcorrectementdanslevéhicule grâceàlaceinturedesécuritéouausystème LATCH (dispositifdeverrouillage), selonles instructionsfourniesavecclesièged'enfantet cellescontenuesdansleprésentmanuel.
Pourréduirelesrisquesdeblessure,lesièged'enfant doit être sécurisé à l'intérieur du véhicule. Les systèmes desièged'enfantdoiventêtresécuriséssurlessièges duvéhiculeaumoyendeceinturesventrales,dela sectiondelaceintureventraled'uneceinture-baudrier oubiendusystèmeLATCH.Pourplusd'informations, se reporter à la rubrique Ancrages inférieurs pour siège d'enfant(SystèmeLATCH)(Modèlescoupéetcabriolet uniquement) àlapage2-35 ouAncragesinférieurspour sièged'enfant(SystèmeLATCH)(ModèlesZ06et ZR1uniquement) àlapage2-36 .Encasdecollision,un enfantpeutêtreendangersilesièged'enfantn'estpas correctementfixédanslevéhicule.
Lorsdel'installationd'unsièged'enfantsupplémentaire, sereporterauxinstructionsfourniesaveclesiège d'enfantetquisetrouventsurlesièged'enfantet/ou dansunebrochureainsiquedansleprésentmanuel. Lesinstructionsfourniesaveclesièged'enfantsont importantes.Aussi,siellesnesontpasdisponibles, enobtenirunecopieauprèsdufabricant.
Nepasoublierqu'unsièged'enfantnonfixépeutse déplacerlorsd'unecollisionoud'unarrêtsoudainet blesserlesoccupantsduvéhicule.S'assurerquetout sièged'enfantestbienfixédanslevéhiculemême lorsqu'ilestinoccupé.
Installationdel'enfantsurlesiège d'enfant

AVERTISSEMENT:
Encasdecollision,sil'enfantn'estpas correctementattachédanslesièged'enfant,il risqued'êtresérieusementblesséoutué.Fixer l'enfantcorrectementselonlesinstructions fourniesaveccesièged'enfant.
Ancragesinférieurspoursiège d'enfant(SystèmeLATCH) (Modèlescoupéetcabriolet)
Certainssiègespourenfantspossèdentunsystème LATCH(dispositifdeverrouillage).Aveccesystème, votresièged'enfantpeutprésenterdesfixations inférieureset/ouuneattachesupérieure.Lesystème LATCHcontributeaumaintiendusièged'enfantpendant lestrajetsetdansunecollisionéventuelle.Certains véhiculeslessontéquipésd'ancragesd'attacheinférieure et/ousupérieureconçuspourassujettirunsiège d'enfant.
Certainssiègespourenfantsavecattachesupérieure sontconçuspourêtreutilisésavecl'attachesupérieure ancréeounon. D'autressiègesd'enfantsexigent l'ancragedel'attachesupérieure. Laréglementation peutexigerl'ancragedel'attachesupérieure.
AuCanada, laloixigequ'unsièged'enfantdirigévers l'avantsoitmunid'uneattachesupérieureetquecette attachesoitfixée.
Votrevéhiculenepossèdeniancragesinférieursni ancragessupérieursd'attached'unsièged'enfantavec lesystèmeLATCH.Silaréglementationexigequevotre attachesupérieuresoitancrée,n'utilisezpasdesiège d'enfantdanscevéhiculeétantdonnéqu'uneattache supérieurenepeutêtreancréecorrectement. Vousdevezutiliserlesceinturesdesécuritépour assujettirlesièged'enfantdanscevéhicule,saufsila réglementationnationaleoulocaleexigel'ancrage de l'attachesupérieure.Seréférerauxinstructionsdevotre sièged'enfantetauxinstructionsdecemanuelpour assujettirunsièged'enfantaumoyendesceintures de sécuritéduvéhicule.SereporteràlarubriqueFixation d'unappareilderetenuepourenfantenpositionsiège avantdroitàlapage2-40.
Ancragesinférieurspoursiège d'enfant(SystèmeLATCH) (ModèlesZ06etZR1uniquement)
Certainssiègespourenfantspossèdentunsystème LATCH(dispositifdeverrouillage).Aveccesystème, votresièged'enfantpeutprésenterdesfixations inférieureset/ouuneattachesupérieure.Lesystème LATCHcontribueaumaintiendusièged'enfantpendant lestrajetsetdansunecollisionéventuelle.Certains véhicules sont équipéésd'ancragesd'attacheinférieure et/ousupérieureconçuspourassujettirunsiège d'enfant.
Votrevéhiculenedisposepasd'ancrageinférieurpour accueillirdesfixationsinférieures.Votrevéhicule disposed'unancragedesanglesupérieure.Sivotre sièged'enfantestéquipéd'unesanglesupérieure, s'assurerqu'ilestcorrectementinstalléàl'aide de l'ancragedesanglesupérieureetdelaceinturede sécuritéduvéhicule.Lesièged'enfantnedoitjamais êtreinstalléuniquementàl'aided'unesangle supérieureetd'unancrage.Pourconnaîtreles instructionsrelativesàl'installationdevotresiège d'enfantàl'aidedesceinturesdesécuritéduvéhicule, sereporterauxinstructionsfourniesaveclesiège d'enfantetàlarubriqueFixationd'unappareilde retenuepourenfantenpositionsiègeavantdroit à la page2-40.
Pourutiliserlesancragesdesanglesupérieuredans votre véhicule, vous devezdisposerd'unsièged'enfant équipéd'unesanglesupérieure. Lefabricantdevotre sièged'enfantvousfourniratouteslesinstructions relativesàl'utilisationdusièged'enfantetdelasangle supérieure. Lasectionsuivanteexpliquelaprocédure defixationdusièged'enfantàl'aided'unesangle supérieuredansvotrevéhicule.

text_image
A B C BUnesanglesupérieure(A,C)retientlapartiesupérieure dusièged'enfantauvéhicule.Unancragedesangle supérieureestconstruitdanslevéhicule.Lafixationde lasanglesupérieure(B)situéesurlesièged'enfantest raccordéeàl'ancragedesanglesupérieuresituéedans levéhicule,cequipermetderéduirelemouvementvers l'avantetlarotationdusièged'enfantpendantla conduiteouencasdecollision.
Ilestpossiblequevotresièged'enfantdisposed'une sanglesimple(A)oud'unesangledouble(C).Chacune seramunied'uneseulefixation(B)permettantdefixer lasanglesupérieureàl'ancrage.
Certainssiègesd'enfantéquipésdesanglesupérieure sontconçuspourêtreutilisésavecunesangle supérieurefixéeounon.D'autresexigentlafixation permanentedelasanglesupérieure.AuCanada,laloi stipulequelessiègesd'enfantorientésversl'avant doiventdisposerd'unesanglesupérieureetquela sangledoitêtrefixée.Veilleràlireetsuivreles instructionsrelativesàvotresièged'enfant.
Sivotresièged'enfantn'estpaséquipéd'unesangle supérieure, vous pouvezobtenirunnécessaireincluant lasangle, quis'adapteàdenombreuxdispositifsde siègesd'enfant. Serenseignerauprèsdufabricantde siègesd'enfantpoursavoirsiunnécessaireest disponible.
Emplacementsdesancragesdesangle supérieure

(ancragedesangle supérieure): places assisesavecancrages desanglesupérieure.

Pourvousaideràrepérer lesancragesdesangle supérieure,lesymbole correspondantsetrouve surlepanneau garniture.

L'ancragedesanglesupérieuresetrouvederrièrele siègepassager.
Fixationd'unsièged'enfantàl'aided'une sanglesupérieure

AVERTISSEMENT:
Siunsièged'enfantéquipédusystème LATCH(dispositifdeverrouillage)n'estpas fixéauxancrages, l'enfantrisquedenepasêtre correctementprotégé. Encasd'accident, l'enfant pourraitêtresérieusementblesséoumêmetué. S'assurerqu'unsièged'enfantéquipédusystème LATCHestfixécorrectementauxancrages ou bienutiliserlesceinturesdesécuritéduvéhicule pourlefixer, ensuivantlesinstructionsfournies aveccesièged'enfantetcellescontenuesdans leprésentmanuel.
-
Fixerlesièged'enfantàl'aidedelaceinturede sécuritéduvéhicule. Sereporteràlarubrique Fixationd'unappareilderetenuepourenfanten positionsiègeavantdroitàlapage2-40.
-
Silefabricantdusiègepourenfantrecommande defixerlasanglesupérieure, l'attacheretlaserrer àl'ancragedesanglesupérieure, lecaséchéant. Sereporteraumoded'emploiusiegepourenfant etauxétapesquisuivent:
2.1. Repérerl'ancragedesanglesupérieure.
2.2. Presserlazonecanneléeducouverclede garnissagepourouvrirlecouvercleet exposerl'ancrage.
2.3.Acheminer, fixeretsserrerlasangle supérieureconformémentauxinstructions fourniesavecvotresiègepourenfantet respecterlesconsignessuivantes:

Silapositionutilisée comporteunappuie-tête fixeetsivousutilisezune sanglesimple,faire passerl'attache par-dessusl'appuie-tête.

- Tirerlesièged'enfantdanstouslessenspour s'assurerqu'ilestsolidementfixé.
Fixationd'unappareilderetenue pourenfantenpositionsiège avantdroit
Cevéhiculeestdotédesacsgonflables. Deplus, le véhiculeestéquipéd'unsystemedétéctionde passagerquiestconçupourdésactiverlesacgonflable frontaldupassageravantdroitetsonsacgonflable latéralintégréaussiègedanscertainesconditions. Sereporterà Systemedétéctiondesoccupants à la page2-54 et Témoindel'étatdusacgonflabledu passager àlapage4-36 pourdeplusamples informations, ycomprisdesinformationsimportantes relativesàlasécurité.
Uneétiquettesurlepare-soleilindique «Nejamais placerunsiègepourenfantorientéversl'arrière à l'avant ». Le risque pour un enfant assis sur un siège orientéversl'arrièreesttrèsgrandsilesacgonflable sedéploie.
⚠ AVERTISSEMENT:
Unenfantassisdansunsièged'enfantorienté versl'arrièrerepeutêtregravementblesséoutué silesacgonflabledupassageravantdroitse déploie, puisqueledossierdusièged'enfant orientéversl'arrièrereseraittrèsprèsdusac gonflabledéployé. S'assurerquelesacgonflable estdésactivéavantd'utiliserunsièged'enfant orientéversl'arrièreresurlesiègeavantdroit.
Mêmesilesystèmededétectiondepassagera mishorsfonctionlesacgonflablefrontaldu passageravantdroit,aucunsystèmen'est infaillible.Personnenepeutgarantirqu'unsac gonflablenesedéploierapasdanscertaines circonstancesinhabituelles,mêmes'ilest horsfonction.
.../
AVERTISSEMENT:(suite)
Placerlesiègepourenfantdirigéversl'arrière dansunsiègearrière. S'ilestnécessaire d'attacherunsièged'enfantorientéversl'avant danslesiègedepassageravant, toujoursreculer a maximumlesiègedupassager. Ilest préférabled'attacherunsièged'enfantsur unsiègearrière.
Sereporteràlarubrique Systèmededétection desoccupants àlapage2-54 purobtenirdeplus amplesrenseignements.
Lessiègesd'enfantorientésversl'arrièreenedevraient pasêtreinstallésdanslevéhicule,mêmesilessacs gonflablessontdésactivés.
Silesiègepourenfantestdotéd'unsystemeLATCH (dispositifdeverrouillage),sereporteràAncrages inférieurspoursiège d'enfant(SystèmeLATCH) (Modèles coupéetcabrioletuniquement) à lapage2-35 ouAncragesinférieurspoursiège d'enfant(Système LATCH)(Modèles Z06etZR1 uniquement) à la page2-36 pour connaîtrelaméthodedeposedusiege etoùl'installerenutilisantleLATCH.Silesiègeestfixé à l'aided'uneceinturedesécuritéetutiliseunesangle supérieure, se reporter à Ancrages inférieurs pour siège
d'enfant(SystèmeLATCH)(Modèlescoupéetcabriolet uniquement) àlapage2-36 ouAncragesinférieurspour sièged'enfant(SystèmeLATCH)(ModèlesZ06etZR1 uniquement) àlapage2-36 pourconnaîtreles emplacementsdesancragesdesanglesupérieure.
Nepasassujettirunsiègepourenfantàuneposition quinedisposepasd'ancraged'attachesupérieuresi uneloiexigel'ancragedel'attachesupérieureousile moded'emploiusiègepourenfantindiquequela sanglesupérieuredoitêtreancrée.
AuCanada, laloixigequ'unsiègepourenfantdirigé versl'avantsoitmunid'uneattachesupérieureetque cetteattachesoitfixée.
Vousutiliserezlaceinture-baudrierpourfixerlesiège pourenfantdanscetteposition.Observerlesdirectives jointesausiègepourenfant.
-
Reculerlesiègeautantquepossibleavantdefixer lesiègepourenfantdirigéversl'avant. Lorsquelesystèmededétectiondupassagera désactivélesacgonflableavantducôtépassager etlesacgonflablelatéralmontédanslesiège (selonl'équipement).letémoindedésactivation dutémoindestatutdusacgonflabledupassager devraits'allumeretdemeurerallumélorsquele véhiculedémarre.Sereporterà Témoindel'état dusacgonflabledupassageràlapage 4-36.
-
Placerlesièged'enfantsurlesiège.
-
Prendrelaplaquedeblocageetpasserla ceintureépaulièreetlaceintureventraleau traversouautourdusièged'enfant.Lesdirectives accompagnantlesièged'enfantindiquentlafaçon deprocéder.

- Enfoncerlaplaquedeblocagedanslaboucle jusqu'àcequevousentendiezundéclic.
Positionnerleboutondedéblocagedelaboucle demanièreàpouvoirdétacherrapidementla ceintureencasdebesoin.

- Tirercomplètementlerestedelaceinture épaulièredel'enrouleurpourengagerlesystème deblocage.

-
Pour serrerlaceinture, tirsurfaceinture épaulière pour serrerlaceinture ventralet outen appuyantsurlesièged'enfant, puis introduire la ceinture épaulièred dans l'enrouleur. Lors de l'installation d'unsièged'enfant orienté versl'avant, vous pouvez vous servir devot regen ou pour appuyersurlesièged'enfant toutenserrantla ceinture.
-
Silesiègepourenfantestpourvud'unesangle supérieure, suivrelesinstructionsdufabricant dusiègerelativesàl'utilisationdelasangle supérieure. Sereporterà Ancragesinférieurspour sièged'enfant(SystèmeLATCH)(Modèlescoupé etcabrioletuniquement) àlapage2-35 ou Ancragesinférieurspoursièged'enfant(Système LATCH)(ModèlesZ06etZR1uniquement) à la page2-36 pourplusd'informations.
- Tirerlesièged'enfantdanstouslessenspour s'assurerqu'ilestsolidementfixé.
Sile(s)sac(s)gonflable(s)est(sont)désactivé(s),le témoindedésactivationdutémoindestatutdusac gonflabledupassagers'allumeetresteallumélorsque levéhiculedémarre.
Siunsiègepourenfantaétéinstalléetqueletémoin d'activationestallumé, sereporterà «Siletémoin d'activationestalluméavecunsiègepourenfant» sous Systèmededétectiondesoccupants àlapage2-54 pourdeplusamplesinformations.
Pourretirerlesiègepourenfant, débouclerlaceinture desécuritéduvéhiculeetlalaissers'enrouler complètement.
Systèmedesacgonflable
Levéhiculeestdotédessacsgonflablessuivants:
• Unsacgonflablefrontalpourleconducteur.
- Unsacgonflablefrontalpourlepassageravant droit.
- Unsacgonflablelatéralintégréausiègepourle conducteur.
- Unsacgonflablelatéralintégréausiègepourle passageravantdroit.
Touslessacsgonflablesduvéhiculeportentle motAIRBAG(sacgonflable)incrustédanslagarniture ousuruneétiquettecolléreprèsdelazonede déploiement.
Surlessacsgonflablesfrontaux,lemotAIRBAG(sac gonflable)figureaumilieuduvolant,pourleconducteur, etsurletableaudebord,pourlepassageravantdroit.
Surlessacsgonflableslatérauxintégrésauxsièges, lemotAIRBAG(sacgonflable)figuresurlecôtédu dossierdesiègeleplusprochedelaporte.
Lessacsgonflablessontconçuspourcompléterla protectionapportéeparlesceinturesdesécurité. Même silessacsgonflablesd'aujourd'huiisontconçuspour réduirelesrisquesdeblessurescauséesparleurforce dedéploiement, touslessacsgonflablesdoiventse déployertrèsrapidementpourêtreefficaces.
Voicicequevousdevezsavoiràproposdessacs gonflables:

AVERTISSEMENT:
Mêmesivotrevéhiculeestéquipédesacs gonflables, sivousneportezpasvotreceinture desécuritélors d'unecollision, vous risquezd'être blességrièvementoutué. Lessacsgonflables sont conçuspourfonctionner avec les ceintures desécurité, mais neles remplacentpas. Enoutre, lessacsgonflables nesontpas conçuspourse déployerdanstous lescas d'accidents. Dans certains casseules les ceintures desécurité vous protègeront. Sereporter à Quanduns acgon flable doit-ilsedéployer? à lapage 2-49
Leportd'uneceinturedesécuritélors d'une collisionaideàréduirelesrisquesdeheurterles objets à l'intérieur duvéhiculeoud'enêtre éjecté. Lessacsgonflablessont des « dispositifs supplémentaires de protection » aux ceintures désécurité. Tous les occupants doivent boucler correctementleur ceinturedesécurité, quela personnesoit protégée parunsacgon flable ounon.

AVERTISSEMENT:
Lessacsgonflablessedéploientavecunegrande pression,plusrapidementqu'enunclind'oeil. Toutepersonnereposantcontreousetrouvant trèsproched'uncoussingonflablequisegonfle peutêtregravementblessée,voiretuée.Nepas seplacersansraisonàproximitéd'unsac gonflable,commepareexempleenvousasseyant auborddusiègeouenvouspenchantvers l'avant.Lesceinturesdesécuritécontribuentà vousmaintenirdansunebonnepositionavant etpendantunecollision.Portertoujoursvotre ceinturedesécurité,mêmesilevéhiculeestdoté desacsgonflables.Leconducteurdevrait s'asseoirleplusenarrièrepossibletouten gardantlamaîtriseduvéhicule.
Lesoccupantsinstallésauxpositionsd'assise avecsacsgonflablesdesiègenepeuventni s'appuyernis'assoupircontrelaporteoula glacelatérale.

AVERTISSEMENT:
Lesenfantsassiscontreoutrèsprèsd'unsac gonflablelorsqu'ilsedéploiepeuventêtre grièvementblessésoutués. Lacombinaisondu sacgonflableetdelaceinture-baudrieroffreune protectionauxadultesetauxenfantsplusâgés, maispaspourlesjeunesenfantsoulesbébés, carnilesceinturesdesécuriténillessacs gonflablesnesontconçuspoureux. Lesbébéset lesjeunesenfantsontbesoindelaprotectionque leuroffreundispositifderetenuepourenfant. Ilfauttoujoursattacherconvenablementles enfantsdansunvéhicule. Pourconnaîtrelabonne façondelefaire, sereporterauxrubriques Enfantsplusâgés àlapage2-26 et Bébéset jeunesenfantsàlapage2-29.

Letableaudebord comprenduntémoin demiseenétat de fonctionnement desacs gonflablesquimontrele symboledesacgonflable.
Lesystème électriquedessacsgonflablesest vérifié. Letémoinvousavertitencasdedéfaillance. Sereporterà Témoindesacgonflableprêta fonctionner(AIRBAG)àlapage4-35.
Oùsetrouventlessacsgonflables?

Lesacgonflablefrontalduconducteursetrouveau milieuduvolantdedirection.

Lesacgonflablefrontaldupassageravantdroitse trouvedansletableaudebordducôtépassager.

Côtéconducteurillustré, côtépassagersimilaire
Lessacsgonflableslatérauxmontésdanslessiègesdu conducteuretdupassageravantdroitsetrouventsurle côté dudossierdesiègeleplusprochedelaporte.

AVERTISSEMENT:
Siunobjetquelconqueseretrouveentreun occupantetlesacgonflable, ilrisquedenuire audéploiementouledéploiementpeutprojeter l'objetsurcettepersonne. Latrajectoirede déploiementd'unsacgonflabledoitêtrelibre. Nepasfixerouplacerquoiquecesoitsurle moyeuduvolantousurouprèsd'uncouvercle desacgonflable.
Nepasutiliserd'accessoiresdesiègepouvant empêcherledéploiementcorrectd'unsac gonflablelatéralmontédansunsiège.
Quandunsacgonflabledoit-ilse déployer?
Lessacsgonflablesfrontauxontconçuspourse déployerencasd'impactfrontalouquasi-frontal modéréàfortafinderéduirelerisquedeblessures gravespouvantêtreprincipalementinfligéesàlatête etàlapoitrineduconducteuroudupassageravant droit. Cependant, ilssontconçuspoursedéployer uniquementsil'impactdépasseunseuildedéploiement prédéterminé. Lesseuilsdedéploiementsontutilisés pourprédirelagravitéprobabled'unimpactetdoncle momentoùlessacsgonflablesdoiventsedéployer pourprotégeraumieuxlesoccupants.
Ladéterminationdumomentoùlessacsgonflables frontauxsedéploierontnereposepassurlavitessede votre véhicule. Elledépendprincipalementdeceque vousheurtez, del'orientationdel'impactetdelavitesse dedécélérationdevotre véhicule.
Lessacsgonflablesavantpeuentsedéployerà différentesvitessesdecollision.Parexemple:
- Lavitessedéploiementdessacsgonflables dépenddelamobilitédel'objetheurté.
- Silevéhiculeheurteunobjet, lavitessede collisionà laquelle less sac gon flablessed éploient peut nepasêtrelamêmes selon quel objetheurté sedéformeounon.
- Silevéhiculeheurteunobjetétroit(commeun poteau),lessacsgonflablesvontsedéployerà unevitessedifférentequesil'objetestlarge (commeunmur).
- Silevéhiculeheurteunobjetdebiais,lessacs gonflablesvontsedéployeràunevitesse différentequesilevéhiculeheurtel'objet frontalement.
Lesseuilspeuventégalement varierenfonctiondela conceptionspécifiqueduvéhicule.
Lessacsgonflablesfrontauxnesontpasconçuspour sedéployerlorsdestonneaux, descollisionsarrière et dansdenombreuxcasdecollisionslatérales.
Deplus, votrevéhiculeest dotédesacsgonflables frontauxàdeuxétapes, quiajustentlaprotectionen fonctiondelagravitédelacollision. Votrevéhiculeest dotédecapteursélectroniques frontauxquipermettent ausystèmededétectionddifférencierunimpact frontalmodéréd'unimpactfrontalplusimportant. Pour lesimpactsfrontauxmodérés, lessacsgonflablesnese déploientpascomplètementalorsquepourlesimpacts frontauxgraves, ilyadéploiementcomplet.
Votrevéhiculepeutêtredotédeunoudeux capteursdepositiondesiège, enfonctiondu modèle. Lescapteursdepositiondesiègepermettent ausystèmededétectiondecontrôlerlaposition dusiègeduconducteur(touslesmodèlessaufZ06 etZR1)etdupassageravant(touslesmodèles). Lescapeursfournissentdesinformationsutilisées pourdéterminersiledéploiementdessacsgonflables doitêtrepartielsoitcomplet.
Votrevéhiculepeutêtreounonéquipédesacs gonflableslatérauxmontéssurlessièges. Sereporterà larubrique Systèmedesacgonflable àlapage 2-44 Lessacsgonflableslatérauxmontéssurlessiègessont conçuspoursedéployerencasdecollisionlatérale modéréeouforte. Lessacsgonflableslatérauxmontés surlessiègesnesedéploientquesilagravitédela collisionestsupérieureauseuilprévu. Ceseuilpeut varierenfonctiondelaconceptionparticulièredu véhicule.
Lessacsgonflableslatérauxintégrésauxsiègesne sontpasconçuspoursedéployerlorsdecollisions frontalesouquasifrontales,detonneauxoude collisionsarrière. Unsacgonflablelatéralintégré ausiègeestconçupoursedéployerducôtéoûle véhiculeaétéheurté.
Lorsd'unecollision, ilnepeutpasêtreétabliqu'unsac gonflableauraitdûsedéployersimplementenraison desdommagescausésauvéhiculeoudesfraisde réparation. Dans le cas des sacs gon flables latéraux intégrésaux sièges, led'éploiementestdéterminé par l'emplacement et lagravité del'impact.
Qu'est-cequientraînele déploiementdusacgonflable?
Aucoursd'undéploiement, lesystèmededétection envoieunsignalélectriquédéclenchantlalibération d'ungazparl'inflateur. Cegazremlitlesacgonflable, cequiprovoquelebrisducouvercleetledéploiement dusac. L'appareildegonflage, lesacgonflableetles élémentsconnexesfonttouspartiedumodule de sacgonflable.
Lesmodulesdesacsgonflablesfrontauxontplacés danslevolantetletableaudebord. Pourlesvéhicules avecsacsgonflableslatérauxdesiège, ilexistedes modulesdesacsgonflablesducôtédudossierde siègeavantleplusprochedelaporte.
Dequellefaçonlesacgonflable retient-il?
Encasdecollisionfrontaleouquasi-frontalemodérée à sévère, mêmelesoccupantsportantuneceinture peuventheurterlevolantouletableaudebord. Encas decollisionlatéralemodérée à sévère, mêmeles occupantsportantuneceinture peuventheurter l'intérieurduvéhicule.
Lessacsgonflablesrenforcentlaprotectionoffertepar lesceinturesdesécurité. Lessacsgonflablesfrontaux répartissentlaforcedel'impactdemanièreplus uniformesurlapartiesupérieureducorpsdes occupants, arrêtantplusprogressivementle déplacementdel'occupant. Lessacsgonflables latérauxintégrésauxsiègesrépartissentplus uniformémentlaforcedel'impactsurlapartie supérieureducorpsdesoccupants.
Maislessacsgonflablesneserontpasutilesdans denombreuxtypesdecollisions,principalementparce quel'orientationdudéplacementdesoccupantsne correspondrapasàl'emplacementdecessacs gonflables.SereporteràQuandunsacgonflabledoit-il sedéployer? àlapage2-49 pourplusd'informations.
Lessacsgonflablesdoiventtoujoursn'êtreconsidérés quecommeundispositifdeprotectioncomplémentaire desceinturesdesécurité.
Queverrez-vousaprèsle déploiementd'unsacgonflable?
Après s'été déployé, less acsgonflables frontaux et less acsgon flables latéraux intégrés aux siègesse dégon flentrapidement sirapidement que certaines personnes neserendent même pas compte que les sacsées ontdéployés. Certaines parties des modules des acsgon flables peuvent restreter très chaudspendant uncertain temps. Pour l'emplacement des modules de sacsgon flables, sereporter à Qu'est-cequientraînele déploiement dus acgon flable ? à lapage 2-51.
Lespiècesdusacgonflablequientrentencontact avec l'occupantpeuventêtrechaudes, maispastrop chaudesautoucher. Delafuméetdelapoussière peuvent sortir des évents dessacsdégon flés. Le déploiement dessacsgonflables n'entravepaslavision du conducteur à traverslepare - briseousacapacité de dirigerlevéhicule, nin'empêchelesoccupants de quitterlevéhicule.
⚠ AVERTISSEMENT:
Lorsdudéploiementd'unsacgonflable, il yapeutêtredesparticulesde poussiè redans l'air. Les personnessouffrant d'asthmeoud'autres problèmes respiratoires auront peut-êtredela difficulté à respirer. Pouréviterceci, tous les occupants devraients sortirduvéhiculedèsqu'ils peuvent le faireent toutes sécurité. Sivoussouffrez deproblèmes respiratoireset que vous nepouvez passortirduvéhicule après ledéploiement du sac, vous pouvez ouvrir uneglace ou une reporte pour laisser entrer del airfrais danslevéhicule. Encas de problèmes der respiration après le déploiement d'unsacgon flable, il faut consulter un médecin.
Aprèsledéploiementdessacsgonflables, lesportespeuventêtredéverrouillées,les plafonnierspeuventêtreallumés,lesfeuxde détressepeuventêtreactionnésetl'alimentationen
carburantpeutêtre coupée, automatiquement. Vous pouvez verrouiller les portes, éteindre plafonnier ainsi que les feux dedétresse en utilisant les commandes prévues à cet effet.

AVERTISSEMENT:
Unecollisionsuffisammentsévèrepourdéployer lessacsgonflablesrisqued'avoirendommagé desfonctionsimportantesduvéhicule,commele circuitd'alimentationencarburant,lecircuitde freinageetladirection,etc.Mêmesilevéhicule peutrouleraprèsunecollisionmodérée,des dégâtspeuventêtredissimulésalorsqu'ils réduisentlasécuritéduvéhicule.
Agiravecprudenceententantdefaireredémarrer lemoteuraprèsunecollision.
Lorsdecollisionsassezgravespourdéployerlesac gonflable, lepare-brisesebrisehabituellement à cause deladéformationduvéhicule. S'ilyaunsacgonflable à laplacedupassageravantdroit, lepare-brisepeutse briserdavantage.
- Lessacsgonflablessontconçuspourse déployeruneseulefois. Aprèsledéploiement d'unsacgonflable, vousdevezvousprocurer certainespiècesderemplacement. Sivousne changezpascespièces, lessacsgonflablesne pourrontpasvousprotégerlorsd'uneautre collision. Unnouveausystèmecomprenddes modules desacsgonflableset probablement d'autrespièces. Lemanueld'entretiendevotre véhiculeportesurlanécessitéderemplacerles autrespièces.
- Levéhiculeestéquipéd'unmodulesdedétection decollisionetdediagnosticquienregistreles donnéesaprèsunecollision.Sereporterà Enregistrementdedonnéesduvéhiculeet politiquesurlavieprivée àlapage8-21 et Enregistreursdedonnéesd'événement à la page8-22.
- Seulsdestechniciensqualifiésdevraientréparer ouentretenirlessacsgonflablesdevotrevéhicule. Unmauvaisentretienpeutempêcherlebon fonctionnementdessacsgonflables.Consulter votreconcessionnairepourtouteopération d'entretien.
Systèmededétectiondesoccupants
Levéhiculeestdotéd'unsystèmededétectionde passagerpourlapositiondupassageravantdroit. Letémoindestatutdusacgonflabledepassagerest visibleaurétroviseurlorsdudémarrageduvéhicule.

text_image
PASSENGER AIR BAG OFF ONÉtats-Unis

LesmotsON(marche)etOFF(arrêt)oulesymbole correspondantsontvisiblespendantlavérification dusystème. Lorsquelavérificationdusystèmeest terminée,seullemotONouOFFoulesymbole correspondant,demeurevisible. Sereporterà Témoin del'étatdusacgonflabledupassageràlapage 4-36.
Lesystèmededétectiondupassagerdésactive lesacgonflablefrontaletlesacgonflablelatéralintégré ausiègedupassageravantdroitdanscertaines circonstances. Lessacsgonflablesduconducteurne sontpasaffectésparlesystèmededétectionde passager.
Lesystèmededétectiondepassagerfonctionneavec descapteursincorporésausiègedepassageravant droit. Lescapteurssontconçuspourdétecterla présenced'unpassagercorrectementassissurson siègeetdéterminersilesacgonflablefrontaletlesac gonflablelatéralintégréausiègedupassageravant droitdoiventêtreactivés(déploiementpossible)ounon.
Selonlesstatistiquesd'accident,lesenfantssontplus ensécuritélorsqu'ilssontattachésàl'arrière dansle sièged'enfantcorrespondant à leurpoidsetleur âge. Nouspréconisonsque lessi è gesd'enfantorient é svers l'arrièrenes oientpastransport é ds danslev é hicule, mêmesilessacsgon flabless ontd é sactiv é s.
Uneétiquettesurlepare-soleilindique «Nejamais placerunsiègepourenfantorientéversl'arrièreà l'avant». Lerisquepourunenfantassissurunsiège orientéversl'arrièreesttrèsgrandsilesacgonflable sedéploie.

AVERTISSEMENT:
Unenfantassisdansunsièged'enfantorienté versl'arrièrerepeutêtregravementblesséoutué silesacgonflabledupassageravantdroitse déploie, puisqueledossierdusièged'enfant orientéversl'arrièrereseraittrèsprèsdusac gonflabledéployé. S'assurerquelesacgonflable estdésactivéavantd'utiliserunsièged'enfant orientéversl'arrièreresurlesiègeavantdroit.
Mêmesilesystèmededétectiondepassagera mishorsfonctionlesacgonflablefrontalde passageravantdroitetlesacgonflablelatéral intégréausiègedupassageravantextérieur (selonl'équipement),aucunsystèmen'est infaillible.Personnene peut garantirqu'unsac gonflablenesédéploierapas dans certaines circonstancesinhabituelles,mêmes'ilest horsfonction.
.../
AVERTISSEMENT:(suite)
Placerlesiègepourenfantdirigéversl'arrière dansunsiègearrière,mêmesile(s)sac(s) gonflable(s)sonthorsfonction.S'ilestnécessaire d'attacherunsiègepourenfantorientévers l'avantdanslesiègedepassageravantdroit, toujoursreculeraumaximumlesiègedu passager.Ilestpréférabled'attacherunsiège pourenfantsurunsiègearrière.
Lesystèmededétectiondepassagerestconçupour désactiverlesacgonflablefrontaldupassageravant droitetlesacgonflablelatéralintégréausiègedansles cassuivants:
• Lesiègedupassageravantdroitestinoccupé.
- Lesystèmedéterminequ'unbébéestassisdans unsiègepourbébéorientéversl'arrière.
- Lesystèmedéterminequ'unpetitenfantest installédansunsiègepourenfant.
- Lesystèmedéterminequ'unpetitenfantest installédansunsièged'appoint.
- Lepassagerquioccupelesiègeavantdroitse lève,etsonpoidsnepèseplussurlesiège pendantuncertaintemps.
- Lesiègedupassageravantdroitestoccupépar unepersonnedepetitetaille,parexempleun enfantquin'estplusenâgedes'asseoirsurun sièged'enfant.
- Lesystèmedesacsgonflablesoulesystèmede détectiondepassagerprésenteunedéfectuosité importante.
Lorsquelesystèmededétectiondepassagerdésactive lesacgonflablefrontaldupassageravantdroitetle sacgonflablelatéralintégréausiège,letémoinde désactivations'allumeetresteallumépourvous rappelerquele(s)sac(s)gonflable(s)est(sont) désactivé(s).Sereporterà Témoindel'étatdusac gonflabledupassageràlapage4-36.
Lesystèmededétectiondupassagerestconçupour activer(déploiementautorisé)lesacgonflablefrontalet lesacgonflablelatéralintégréausiègedupassager avantdroitchaquefoisqu'ildétectequ'unepersonnede tailleadulteestcorrectementassisesurlesiègedu passageravantdroit.
Lorsquelesystèmededétectiondupassager activele(s)sac(s)gonflable(s),letémoind'activation s'allumeraetresteraallumépourvousrappelerqueles sacsgonflablessontactivés.
Danslecasdecertainsenfantsquisonttropgrands pourlesappareilsderetenue,oudanslecasd'adultes detrèspetitetaille,ilestpossiblequelesystèmede détectiondupassagerdésactive,ounon,lesac gonflablefrontaldupassageretsonsacgonflable latéral.Celadépenddelapostureetdelastaturede lapersonneassise.Toutpassagerduvéhiculequiest tropgrandpourlesappareilsderetenuepourenfant doitporteruneceinturedesécuritécorrectement ajustée — que la protection par sac gonflable soit assuréeounon.

AVERTISSEMENT:
Siletémoindedisponibilitédusacgonflable s'allumeetresteallumé, cecisignifiequele systèmedesacsgonflablesestdéfectueux. Pouréviterdevousblesseroudeblesserd'autres personnes, faireréparerauplusvitelevéhicule. Sereporterà Témoindesacgonflableprêta fonctionner(AIRBAG) àlapage4-35 pourdeplus amplesinformations, ycomprisdesinformations importantesrelativesàlasécurité.
Siletémoind'activationestallumé avecunsiègepourenfant
Siunsiègepourenfantaétéinstalléetqueletémoin d'activationestallumé:
- Couperlecontact.
2.Enleverlesiègepourenfantduvéhicule. -
Retirertoutélémentadditionneldusiègetelque couverture, coussin, houssedesiège, dispositifde chauffageoudemassage.
4.Reposerlesiègepourenfantensuivantles instructionsdufabricantdusiègepourenfantetse référeràFixationd'unappareilderetenuepour enfant en position siège avant droit à la page 2-40. -
Si, après laré installation dusiège pourenfantetle redémarrageduvéhicule, letémoind'activationest toujours allumé, couperlecontact. Inclinerensuite légèrement lecoussindusiège, s'ilestréglable, pour vérifiersiledossierdesiègenepoussepas lesiège pourenfant dans lecoussindesiège.
6.Démarrerlevéhicule.
Siletémoinresteallumé, nepasinstallerdesiège d'enfantdanslevéhiculeetconsultervotre concessionnaire.
Siletémoindedésactivationestallumé enprésenced'unoccupantdetaille adulte

Siunepersonnedetailleadulteestassisesurle siègedupassageravantdroitmaisqueletémoinde désactivationestallumé,ilsepeutquelapersonnene soitpascorrectementassisesurlesiège.Sitelestle
cas, exécuterlesétapessuivantespourpermettreau systèmededéteterlapersonneetactiverlesac gonflablefrontaletlesacgonflablelatéralintégré ausiège:
- Couperlecontact.
- Retirertoutélémentadditionneldusiègetelque couverture, coussin, houssedesiège, dispositifde chauffageoudemassage.
- S'assurerqueledossierdesiègeesttotalement redressé.
- Faires'asseoirlapersonnedroitesurlesiège, centréesurlecoussindesiège, lesjambes confortablementétendues.
- Redémarrerlevéhiculeetlaissercette personneassisedanscettepositionpendant deuxoutroisminutesaprès l'allumagedutémoin d'activation.
Facteursadditionnelsaffectantle fonctionnementdusystème
Lesceinturesdesécuritécontribuentàmaintenirle passagerenpositiondanslesiègependantles manoeuvresduvéhiculeetlefreinage. Ceciaidele systèmededétectiondepassageràmaintenirlestatut desacgonflabledepassager. Sereporterà «Ceintures desécurité» et «Siègespourenfant», dans l'index, pourplusd'informationsausujetdel'importancede l'utilisationcorrectedusiègepourenfant.
Silaceintureépaulièreestcomplètementtirée,le dispositifdeverrouillagedesièged'enfantseraengagé. Cecipeutamenerparerreurlesystèmededétectionde passageràdésengagerlessacsgonflablesdestinés auxoccupantsdetailleadulte.Danscecas,laisserla sangleserembobinercomplètementetrecommencer l'opération.
Unecoucheépaissedematériausupplémentairetel qu'unecouvertureouuncoussin,ouunéquipement d'après-ventetelqu'unehoussedesiege,undispositif dechauffageoudemassagepeutentraverlebon fonctionnementdusystèmededétectiondepassager. Nousvousrecommandonsdenepasutiliserde houssesdesiègesouéquipementsd'après-vente à l'exceptiondeceuxapprouvésparGMpourvotre véhicule.ConsulterAjoutd'équipementàunvéhicule munidesacsgonflables àlapage2-60 pourplus d'informationsausujetdesmodificationsquipeuvent affecterlefonctionnementdusystème.

AVERTISSEMENT:
Lefaitderangercertainsarticlessousle siègedupassagerouentrelecoussindesiège dupassageretledossierdusiègepeutentraver lefonctionnementadéquatdusystèmede détectiondepassager.
Réparationd'unvéhiculemunide sacsgonflables
Lessacsgonflablesmodifientlamanièred'entretenir votrevéhiculecarleursélémentssontrépartisen diversendroitsduvéhicule.Votreconcessionnaireetle manueld'entretienvousfournirontdesrenseignements surl'entretiendevotrevéhiculeetdessacsgonflables. Pouracheterunmanueld'entretien,sereporteràla rubriqueRenseignementsssurlacommandedeguides deréparationàlapage8-20.

AVERTISSEMENT:
Unsacgonflablepeutencoresedéployer aucoursd'unentretienmaleffectuéjusqu'à 10secondesaprèsquelecontactetlabatterie ontétécoupés. Vous pouvezêtreblessésivous êtesprèsd'unsacgonflablelorsqu'ilsedéploie. Éviterlesconnecteursjaunes.Ilsfont probablementpartiedusystèmedesacs gonflables.S'assurerquelesméthodes appropriéesd'entretiensontsuiviesetque letravailesteffectuéparunepersonne dûmentqualifiée.
Ajoutd'équipementàunvéhicule munidesacsgonflables
Q: Existe-t-ilquelquechosequejepourraisajouter oumodifierdanslevéhiculeetquipourrait empêcherlessacsgonflablesdefonctionner correctement?
A: Oui. Sivousajoutezquelquechosequimodifiele châssisduvéhicule, lesystèmedepare-chocs, la hauteur, latôleàl'avantousurlescôtés, ceci peutempêcherlesystèmedesacgonflablede fonctionnercorrectement. Lamodificationoule déplacementdepiècequelconquedessièges avant, desceinturesdesécurité, dedétection de sacgonflabledumoduledediagnostic, duvolant, dutableaudebord, durétroviseurintérieur, des capteursavantoudufaisceaudecâblagedesac gonflablepeutmodifierlefonctionnement du systèmedesacgonflable.
Enoutre,levéhiculeestdotéd'unsystèmede détectiondepassagerpourlapositiondupassager avantdroit,quicomprenddescapteursintégrésau siègedupassager.Lesystèmededétectionde
passagerpeutnepasfonctionnercorrectement silagarnitureoriginaledusiègeestremplacéepar unehousseouunrevêtementnonGMoud'une garnitureoud'unrevêtementGMconçupourun véhiculedifférent. Toutélément,commepar exempleunchauffagedesiègeouuncoussinou dispositifd'améliorationduconfort,installéparaprès surousouslerevêtementdusiège,peutégalement interféreraveclefonctionnementdusystèmede détectiondepassager.Cetélémentpeutempêcher ledéploiementcorrectdu(des)sac(s)gonflable(s) dupassagerouempêcherquelesystèmede détectiondepassagernedésactivecorrectement le(s)sac(s)gonflable(s)dupassager.Sereporterà Systèmededétectiondesoccupantsàla page2-54.
Sivousavezdesquestionsàcesujet, vous pouvez vousadresser à l'Assistance à la clientèle, avant de modifiervotrevéhicule. Les numérosdetéléphones et les adresses de l'Assistance à la clientèle figurent à l'étape 2 de la procédure de satisfaction des clients, danscemanuel. Voir Procédure de satisfaction de la clientèle à lapage 8-2.
Q: Monvéhiculedoitêtremodifiéenraisondemon invalidité. Commentpuis-jesavoirsiles modificationsaltérerontlesystèmedesacs gonflables?
A: Si vous avez des questions, appeler l'Assistance à laclientèle. Les numérosdetéléphone et les adresses figurent à l'étape 2 del a procédure de satisfaction des clients, dans cemanuel. Voir Procédure des satisfaction de la clientèle à la page 8-2.
Lesinformationsrelativesàl'emplacementdescapteurs desacsgonflables,dumodulededétectionetde diagnosticetducâblagedessacsgonflablessont disponiblesauprèsdevotreconcessionnaireetdans lemanuelderéparation.
Vérificationdesdispositifsde retenue
Vérificationdel'appareilderetenue Ceinturesdesécurité
Detempsentempscontrôlerlefonctionnementcorrect dutémoinderappeldeceinturedesécurité,des ceintures,desboucles,desplaquesdeverrouillage, desenrouleursetdesancrages.
Rechercherdespiècesdusystèmedeceinturesde sécuritédesserréesouendommagées. Lesfaireréparer parvotreconcessionnaire. Lesceinturesdéchiréesou effilochéesnevousprotégerontpeut-êtrepaslorsd'une collision. Ellespeuentsedéchirercomplètementsous laforceduchoc. Remplacerimmédiatementtoute ceinturedéchiréeoueffilochée.
S'assurer que le témoin de rappel des ceintures de sécuritéfonctionne.SereporteràRappelsdeceinture desécurité àlapage4-34 pourdeplusamples informations.
Maintenirlesceinturesdesécuritépropresetsèches. Se reporter à Entretien des ceintures de sécurité à la page6-110.
Sacsgonflables
Lesystèmedesacsgonflablesn'apasbesoin d'entretienrégulieroudereremplacement. S'assurerque letémoindedisponibilitédesacgonflablefonctionne. Sereporterà Témoindesacgonflableprêta fonctionner(AIRBAG) àlapage4-35 pourplus d'informations.
Remarque: Siunrecouvrement des acgonflable est endommagé, ouvertoubrisé, les acgonflable peut nepasfonctionner correctement. Nepasouvrirou briser les recouvrements des acgon flable. Encas derecouvrement des acgon flable ouvertoubrisé, faireer remplacerlere couvrement et/oule module de sacgon flable. Pour l'emplacement des modules de sacgon flable, sereporter à Qu'est-cequientraînele déploiement dus acgon flable? à lapage 2-51. Consulter votre concessionnaire pour la réparation.
Remplacementdespiècesdes dispositifsdesécuritéaprèsune collision

AVERTISSEMENT:
Lesdispositifsderetenuepeuventêtre endommagéssilevéhiculesubitunecollision. Or,undispositifderetenueendommagépeutne pasprotégeradéquatementlapersonnequi l'utilise,entraînantdesblessuresgravesoumême lamortencasdecollision.Afindes'assurerque lesdispositifsdeprotectionfonctionnentde manièrereadéquateaprèsunecollision,lesfaire vérifieretprocéderàtoutremplacement nécessairedèsquepossible.
Aprèsunecollision, faut-ilchangerlesceintures de sécurité ou les pièces dusystème LATCH (dispositifde verrouillage) (option)?
Aprèsunaccidentpeuimportant,ilnefaudrapeutêtre rienfaire.Maislesensemblesdeceintureutilisésau coursd'unaccidentpeuventavoirétésoumisàde fortestensionsouendommagés.Consulter votre concessionnairepourfaireinspecterouremplacerles ensemblesdeceinturedesécurité.
SilevéhiculeestdotédusystèmeLATCHetque celui-ciétaitutilisélorsd'unecollision,certainespièces dusystèmeLATCHdoiventêtreremplacées.
Denouvellespiècesetdesréparationspeuventêtre nécessairesmêmesilaceinturedesécuritéoule systèmeLATCH(selonl'équipement)n'étaientpas utilisésaumomentdel'accident.
Siunsacgonflablesedéploie, ilfaudraremplacer certainespiècesdusystèmedesacsgonflables. Sereporteràlapartieconcernantlesystèmede sacsgonflablesmentionnéeprécédemmentdans cette section.
Fairevérifierlesprétendeursdeceinturedesécurité silevéhiculeasubiunecollision,ousiletémoinde disponibilitédessacsgonflablesrestealluméaprèsle démarrageduvéhiculeouenroulant.Sereporteràla rubrique Témoin de sac gonflable prêt à fonctionner (AIRBAG)àlapage4-35.
NOTES
Section3Fonctionsetcommandes
Clés 3-3
Systèmed'accèsansclé....3-4
Fonctionnementdusystèmed'accès sansclé....3-5
Portesetserrures....3-11
Serruresdeporte....3-11
Portesàverrouillageélectrique....3-13
Verrouillageautomatiquedeporte......3-14
Déverrouillageautomatiqueprogrammabledes portes....3-14
Dispositifantiverrouillage....3-14
Coffre....3-15
Glaces 3-18
Glacesélectriques....3-19
Pare-soleil....3-20
Systèmes antivol 3-20
Fonctionnementdudispositifantidémarrage...3-22
Démarrageetfonctionnementdevotre
véhicule 3-23
Rodagedevéhiculeneuf....3-23
Déflecteur d'airavant....3-24
Positionsducommutateurd'allumage......3-25
Prolongationd'alimentationdesaccessoires...3-26
Démarragedumoteur....3-27
Fonctionnementdelaboîtedevitesses automatique....3-30
Fonctionnementdelaboîtedevitesses manuelle....3-35
Freindestationnement....3-38
Changementàlapositiondestationnement (Boîtedevitessesautomatique)....3-39
Retraitdelapositiondestationnement......3-40
Stationnementduvéhicule(Boîtedevitesses manuelle)....3-41
Stationnementau-dessusdematièresqui brûlent....3-41
Échappementdumoteur....3-42
Fairefonctionnerlevéhiculependantqu'ilest enpositiondestationnement....3-43
Section3Fonctionsetcommandes
Rétroviseurs 3-44
Rétroviseuràgradationautomatique......3-44
Boussole....3-44
Rétroviseursextérieursàcommande électrique....3-46
Rétroviseurextérieuràgradation automatique....3-46
Rétroviseurextérieurconvexe....3-47
Rétroviseursextérieurschauffants......3-47
Systèmedetélécommandesansfilmaison
universel 3-47
Fonctionnementdusystèmedetélécommande sansfilmaisonuniversel....3-48
Compartimentsderangement....3-55
Boîteàgants....3-55
Porte-gobelets....3-55
Rangementdeconsolecentrale....3-55
Tapisdeplancher....3-55
Compartimentderangementarrière......3-56
Filetd'arrimage....3-58
Cache-bagages....3-58
Panneaudepavillon....3-60
Déposedupanneaudepavillon....3-60
Rangementdupanneaudepavillon....3-63
Installationdupanneaudepavillon....3-64
Toit décapotable 3-65
Toitdécapotable(Manuelle)....3-65
Abandonnerdesenfantsdansunvéhiculeavec émetteurd'accèsanscléestdangereuxpour plusieursraisons.Lesenfantsoud'autres occupantspeuventêtregrièvementblessés,voire tués.Ilsrisquentd'actionnerleslève-glaces électriquesoud'autrescommandesoumêmede déplacerlevéhicule.Lesglacesfonctionneront avec l'émetteurd'accèsansclédanslevéhicule etlesoccupantspeuventêtregrièvementblessés outuéss'ilssonthappésparuneglace fermant.Nepaslaisserl'émetteurd'accèsans clédansunvéhiculeoccupépardesenfants.

Laclé, intégrée à l'émetteurd'accèsans clé, permetdeverrouiller etdedéverrouillerlaboîte àgantsetd'ouvrirle hayon/couvercledecoffre encasdepannede courant. Sereporterà Coffre àlapage3-15 pour plusd'informations.

text_image
AAppuyersurlebouton(A) placéprèsdubasde l'émetteurd'accèsans clépourretirerlaclé. Nejamaistirersurlaclé sansappuyersurle bouton.
Votrevéhiculeestéquipéd'unsystèmed'accèsans cléavec démarrage parbouton-poussoir. Pourde plus amples renseignements surledémarrageduvéhicule, sereporter à Positions ducommutateur d'allumage à la page 3-25.
Remarque:Sivousperdezvotreémetteurouvotre clé,ilpourraits'avérerdifficiled'entrerdansvotre véhicule.Vouspourriezmêmedevoirendommager votrevéhiculepouryentrer.S'assurerd'avoirun autreémetteuretuneautreclé.
Sivousavezverrouillévotrevéhiculeaveclesclésà l'intérieur, s'adresser à l'Assistanceroutière. Sereporter à Programme d'assistance routière à la page 8-8.
Systèmed'accèsansclé
SereporteràÉnoncédefréquenceradio àlapage8-23 pourlesinformationsrelativesàlaPartie15des règlementsdelacommissionfédéraledes communicationsdesÉtats-Unisetau RSS-210/211d'IndustrieetScienceCanada.
Deschangementsoudesmodificationsàcesystème effectuésparunautrétablissementqu'uncentre de réparationagréérisquentd'annulerledroitd'utilisercet équipement.
S'ilyadiminutiondelaportéedel'émetteurRKE, essayerceci:
- Vérifierladistance.L'émetteurpeutêtretroploin duvéhicule.Setenirplusprèsduvéhiculelorsqu'il pleutouqu'ilneige.
- Vérifierl'emplacement.D'autresvéhiculesoudes objetspeuventbloquerlesignal.Fairequelques pasverslagaucheouversladroite,tenir l'émetteurplushautetessayerdenouveau.
- Contrôlerlapiledel'émetteur.Sereporterà «Remplacementdepile»plusloindanscette section.
- Sil'émetteurnefonctionnetoujourspasbien, consultervotreconcessionnaireouuntechnicien qualifiépourlefaireréparer.
Fonctionnementdusystème d'accèsansclé
L'émetteurd'accèsanscléfonctionnejusqu'àune distancede30m(100pi)duvéhicule.
Déverrouillagesansclé
Presserlecapteurdepoignéedeportepour déverrouilleretouvrirlesportessil'émetteurd'accès sanscléestàportée.SereporteràSerruresdeporte lapage3-11 età«Déverrouillagepassifdesportes» sousPersonnalisationCIBduvéhicule àlapage4-81 pourdeplusamplesinformations.
à
Verrouillagesansclé
Leverrouillagedesportesseproduitaprèsquelques secondessitouteslesportessontferméesetqu'au moinsunémetteurd'accèsanscléaétéretiré del'habitacleduvéhicule. Pourpersonnaliserle verrouillageautomatiquedesportesàlasortiedu véhicule, sereporterà «Verrouillagepassifdesportes» sousPersonnalisationCIBduvéhicule àlapage4-81 pourdeplusamplesinformations.
Ouvertureducoffresansclé
Presserleboutondedéverrouillagedecoffre/hayon, situéàl'arrièreducouvercledecoffre/hayon,au-dessus delaplaqued'immatriculation,pourouvrirlecoffresi l'émetteurd'accèsanscléestàportée.Sereporterà Coffre àlapage3-15 pourdeplusamplesinformations.
D'autrescirconstancespeuventaffecterle fonctionnementdel'émetteur. Voir Systèmed'accès sansclé àlapage3-4 émetteurd'accèsansclé.

Cevéhiculeestlivréavec deuxémetteurs.
(verrouillage): Appuyerunefoispourverrouiller
lesportes.Lorsquevousappuyezsur 📋 deuxfois,les feuxclignotentetleklaxonretentitafindeconfirmerle verrouillage.
(déverrouillage): Presserunefoispourdéverrouiller laporteduconducteur. Presserdeuxfois dans les cinqsecondespourdéverrouillerlesdeuxportes. L'éclairageintérieurs'allume.
Unepressionde 📂 rappelleégalementlesréglages mémorisés. Sereporterà Siège, rétroviseursetvolant dedicationmémoire à lapage 2-4 pourdeplus amplesinformations.
(hayon/coffre): Presseretmaintenirpendant environunesecondepourdeverrouillerlecoffre/hayon. Silemoteurtourne, lelevierdesélectiondoitêtre en positiondestationnement(P)s'ils'agitd'uneboîtede vitessesautomatique. S'ils'agitd'uneboîtedevitesses manuelle, lelevierdechangementdevitessedoit occuperlapositiondepointmortetlefreinde stationnementdoitêtreserré.
(urgence): Presserpourfaireretentirleklaxon. Presserunautreboutondel'émetteurd'accèsansclé pourarrêterleklaxon.
Deuxémetteurssontfournisaveclevéhicule.Chacun porteunnumérosurledessus,«1»ou«2».Ces numéroscorrespondentauconducteurduvéhicule. Parexemple,lapositiondesiègeduconducteur1 serarappeléeparl'utilisationdel'émetteur«1»,sila fonctionestactivéeparleCIB.Pourplusd'informations, se reporter à Siège, rétroviseurs et volant de direction à mémoire àlapage2-4 etPersonnalisationCIBdu véhiculeàlapage4-81.
Programmationd'émetteurspourle véhicule
Seulslesémetteursd'accèsanscléprogramméspour cevéhiculefonctionneront.Siunémetteurestperduou volé,unémetteurdereremplacementpeutêtreachetéet programméparleconcessionnaire.Levéhiculepeut étrereprogrammédemanièreàcequelesémetteurs perdusouvolésnefonctionnentplus.Jusqu'àquatre émetteurspeuventêtreprogramméspourchaque véhicule.
Programmationàpartird'unémetteur reconnu
Unnouvelémetteurpeutêtreprogrammépourle véhiculelorsqu'ilyaunémetteurreconnu. Pour les véhiculesvendusauCanada, deuxémetteursreconnus sontrequispourprogrammerunnouvelémetteur.
- Levéhiculedoitêtreteint.
- L'émetteurreconnuetlenouvelémetteurdoivent êtreavecvous.
- Insérerlacléduvéhiculedanslebarilletdeserrure situéau-dessusdelaplaqued'immatriculation.
-
Ouvrirlecoffre/hayon.
-
Tournercingfois lacléenmoins decing secondes.
- Lecentralisateurinformatiquedebord(CIB)affiche READYFORFOB#2,3or4(prêtpourl'émetteur numéro2,3ou4).

-
Placerlenouvelémetteurdansleréceptaclede laboîteàgants, boutonsorientésverslecôté passager.
-
Unbipretentitlorsquelaprogrammationest terminée. LeCIBafficheREADYFOR#3or4(prêt pournuméro3ou4), ouMAXIMUMNUMBEROF FOBSLEARNED(nombremaximumd'émetteurs appris).
-
Pour programmer des émetteurss supplémentaires, répéterl'étape 7. Presser Acc. (accessoires) au commutateur d'allumagesilaprogrammationest terminée.
-
Presser 📋 surchaqueémetteurnouvellement programmépourterminerleprocessus.
Programmationsansémetteurreconnu
Cetteprocédurerequiertroiscyclesdedixminutes poureffectuertoutleprocessusdeprogrammation. Lespropriétairesaméricainspeuventprogrammerun nouvelémetteurpourleurvéhiculesiunémetteur reconnun'estpasdisponible. Lanormed'immobilisation canadiennerequiertdespropriétairescanadiensqu'ils serendentchezleconcessionnairepourprogrammer denouveauxémetteurslorsquedeuxémetteurs reconnusnesontpasdisponibles.
- Levéhiculedoitêtreteint.

-
Placerlenouvelémetteurdansleréceptaclede laboîteàgants, boutonsorientésverslecôté passager.
-
Insérerlacléduvéhiculedanslebarilletdeserrure situéau-dessusdelaplaqued'immatriculation.
-
Ouvrirlecoffre/hayon.
-
Tournercingfois lacléenmoins decinq secondes.
- LeCIBaffichelemessageOFF-ACCESSORYTO LEARN(arrêt/accessoirespourprogrammer).
- PresserAcc.aucommutateur d'allumage.
8.LeCIBafficheWAIT10MINUTES(attendre dixminutes)eteffectueundécomptejusqu'àzéro. - LeCIBafficheànouveau OFF-ACCESSORYTO LEARN (arrêt/accessoirespourprogrammer).
- PresserAcc.aucommutateur d'allumage.
- Lesétapes8,9et10serontrépétéesdeuxfois deplus.
-
Unbipestémisetle CIBannonce READY FOR FOB#1 (prétpour l'émetteurno1). Tousles émetteursprécédemmentconnussonteffacés.
-
Unbipretentitlorsquelaprogrammation estterminée. LeCIBaffiche READY FOR FOB#2 (prétpourémetteurno2).
Pourprogrammerdesémetteurssupplémentaires, retirerl'émetteur1duréceptacleaémetteuret leremplacerparl'émetteur2.Jusqu'àquatre émetteurspeuventêtreprogrammés.LeCIB affichealorsMAXIMUMNUMBEROFFOBS LEARNED(nombremaximald'émetteursappris)etsortdumodedeprogrammation.
PresserAcc.(accessoires)aucommutateur d'allumagepourterminerleprocessus. - PresserAcc.(accessoires)aucommutateur d'allumagesilaprogrammationestterminée.
- Presser surchaqueémetteurnouvellement programmépourterminerleprocessus.
Démarrageduvéhiculeavecunepile d'émetteurfaible
Silapiledel'émetteurestfaible,leCIBpeutafficher lemessageNOFOBSDETECTED(pasdedétection d'émetteur)lorsd'unetentativededémarragedu véhicule.Pourdémarrer,placerl'émetteurdansle réceptacledelaboïteàgants,boutonsorientésversle côtépassager.Puis,levéhiculeétantenpositionde stationnement(P)s'ils'agitd'uneboîtedevitesses automatique,presserlapédaledefreinet Q.S'ils'agit d'uneboîtedevitessesmanuelle,appuyersurlapédale d'embrayageetsur Q.Remplaceraussirapidement quepossiblelapiledel'émetteur.Changerlapilede l'émetteursileCIBafficheFOBBATTERYLOW(pile d'émetteurfaible).
Remplacementdepile
Remarque:Lorsduremplacementdelapile,ne pastoucherlescircuitsdelatélécommande. L'électricitéstatiqueducorpspourraitendommager latélécommande.

- Séparerlesdeuxmoitiésdel'émetteuràl'aided'un objetplatetfininsérédanslafentelatéraleouà l'arrière del'émetteur.
- Retirerl'anciennepilesansutiliserd'objet métallique.
- Introduirelapileneuve, côtépositifverslebas. Utiliserunepile CR2032oul'équivalent.
- Assembler l'émetteur.
Portesetserrures
Serruresdeporte

AVERTISSEMENT:
Desportesnonverrouilléespeuventêtre dangereuses.
- Despassagers,etspécialementdesenfants, peuventfacilementouvrirlesportièreset tomberàl'extérieurduvéhiculeentrainde rouler.Lorsqu'uneportièreestverrouillée, lapoignéenepermetpasdel'ouvrir.Vous augmentezvoschancesd'êtreéjectéhorsdu véhiculelorsd'unecollisionsilesportièresne sontpasverrouillées.Parconséquent,ajuster correctementvosceinturesdesécurité et verrouillerlesportièreschaquefoisquevous roulez.
.../
AVERTISSEMENT:(suite)
- Dejeunesenfantssetrouvantdansdes véhiculesdéverrouilléspeuventsetrouver dansl'impossibilitéd'ensortir. Unenfant peut avoiràsubirunechaleurextrêmeetsouffrir deblessuresdéfinitivesoumêmemourird'un coupdechaleur. Toujoursverrouillervotre véhiculechaquefoisquevouslelaissez.
- Desgensdel'extérieurpeuventfacilement pénétrerdansunvéhiculedontlesportesne sontpasverrouilléeslorsquecelui-ciralentit ous'arrête. Leverrouillagedesportespeut empêcherquecelaneseproduise.
Ilexisteplusieursfaçonsdeverrouilleretde déverrouillervotrevéhicule.
Del'extérieur, appuyersurleboutondeverrouillageou dedéverrouillagesituésurl'émetteurd'accèsansclé.

Porteouvertepourindiquerl'emplacementdu capteurdelapoignéedeporte
Lorsquevousavezl'émetteuravecvous, vous pouvez également déverrouilleretouvrirlaporteenserrant lecapteurdelapoignéedeporte(A). Il n'est pas nécessaire d'appuyersurleboutondedéverrouillage situésurl'émetteur. Vous pouvez ouvrirlaporteen appuyantsurlecapteurdelapoignéedeporte et le véhicule identifier avotre émetteurd'accès sans clé. Lorsquel aportedupassagerestouverteen premier, laportedu conducteurs ed séverrouille également.
Depuisl'intérieur, utiliserlecommutateur(B)de verrouillageélectriquedesportessituéenhautdu panneaudeporte, prèsdesdeuxglaces. Sereporterà larubrique Portes à verrouillageélectrique à la page 3-13.
Pourouvriruneportedel'intérieur,appuyersurle bouton(C)devantlapoignéedeporteetpoussersurla porte.Unetonalitéretentiralorsquevousappuyerezsur lebouton.
Sil'alimentationélectriqueduvéhiculeestcoupée ousiunémetteurd'accèsanscléestperdu,ilya deuxfaçonsd'ouvrirlaporte.
- Depuisl'intérieurduvéhicule, utiliserlapoignéede portesituéesurleplancherprèsdechacundes sièges. Tirersurlapoignéepourdéverrouilleret ouvrirlaporte.

- Del'extérieurduvéhicule, introduirelaclédansle barilletdeserruresituéau-dessusdelaplaque d'immatriculationpourouvrirlehayon.Ensuite, utiliserl'ongletdedéverrouillagedeporte(A)placé surlamoquette,danslecoffre,côtéconducteurdu véhicule.Tirersurl'ongletpourdéverrouilleret ouvrirlaporteduconducteur.Sereporterà Clés lapage3-3 pourdesinformationssurl'ouverture duhayonencasdeperted'alimentation.
Portesàverrouillageélectrique
Lesboutonsdeserruredeporte à commande électriquesontplacéssurlesportes.
Untémoinlumineuxestsituéàl'arrière redelaporte à côté delaglace.
(déverrouillage): Presser pour déverrouiller les portes.
Àlapression, unbipretentit. Silaporteestdéjà fermée, letémoinclignotedeuxfois. Silaporteest ouverte, letémoinclignote.
(verrouillage): Presserpourverrouillerlesportes.
Unbipretentit. Silaporteestfermée, letémoin s'allumependant quelquessecondes. Silaporteest ouverte, letémoinresteallumé.
Verrouillageautomatiquedeporte
Votrevéhiculeestprogrammédetellesortequetoutes lesportesseverrouillentlorsqu'ellessonftermées,que lecontactestmisetquelelevierdeboîtedevitesses estdéplacédelapositiondestationnement(P)si levéhiculeestéquipéd'uneboîtedevitesses automatique,oulorsquelavitesseduvéhiculedépasse 13km/h(8mi/h)s'ilestéquipéd'uneboîtedevitesses manuelle.
Siunpassagerdoitsortirduvéhiculelorsquelelevier desélectionn'estpasenpositiondestationnement(P), cepassagerdoitutiliserlecommutateurde déverrouillagedeporteàcommandeélectrique. Lorsquelaporteestànouveauaufermée,lesportesse bloquentdèsquevousretirezvotrepieddelapédale defreinouquelavitesseduvéhiculedépasse 13km/h(8mph).
Déverrouillageautomatique programmable desportes
Votrevéhiculeestprogrammédetellemanièreque, lorsquelevierdeboîtedevitessesestmisen positiondestationnement(P)pourlesboîtedevitesses automatiques,oulorsquelecontactestcoupéou enpositiondeprolongationdel'alimentationdes accessoires(RAP)pourlesboîtedevitesses manuelles,lesdeuxportessedéverrouilleront.
Lorsquelevéhiculeestarrêtéetquelemoteurest enmarche, ledéverrouillagedesportespeutêtre programméàpartirdesmessagesaffichésau centralisateurinformatiquedebord(CIB). Ces messagespermettentauconducteurdechoisir différentsmodesdedéverrouillage. Pour plus de renseignementssurlaprogrammation, sereporter à larubriquePersonnalisationCIBduvéhicule à la page4-81.
Dispositifantiverrouillage
Votrevéhiculepeutêtreprogrammépourfaireretentir leklaxontroisfoisepourdéverrouillerlaportedu conducteurlorsquelesdeuxportessontreferméeset qu'un'émetteurd'accèsanscléestrestéal'intérieur. Lorsquelaporteduconducteurestouverte,uncarillon derappelsonnecontinuellement.Levéhiculerestera verrouilléuniquement siaunoinsundesémetteursa étéretiréduvéhiculeetquelesdeuxportessont fermées.SereporteràPersonnalisationCIBdu véhiculeàlapage4-81.
Coffre

AVERTISSEMENT:
Lesgazd'échappementpeuventpénétrerdansle véhicules'ilestconduitaveclehayonoulecoffre ouvert,ouavecunobjetquitraverselejoint entrelacarrosserieetlecoffreoulehayon. L'échappementdumoteurcontientdumonoxyde decarbone(CO),gazinvisibleetinodore.Celui-ci peutprovoquerunepertedeconscienceetmême lamort.
Silevéhiculedoitêtreconduitaveclehayonoule coffreouvert:
• Fermertouteslesglaces.
- Ouvrircomplètementlesbouchesd'airsurou sousletableaudebord.
- Réglerlesystèmedeclimatisationdesorte qu'iln'amènequedel'airextérieuretrégler leventilateuràlavitessemaximale. Voir Systèmedeclimatisationdansl'index.
.../
AVERTISSEMENT:(suite)
- Silevéhiculeestéquipéd'unhayonà commandeélectrique, désactiverle fonctionnementélectriqueduhayon.
Pourplusderenseignementssurlemonoxydede carbone, sereporterà Échappementdumoteur à lapage3-42.
Remarque: Lafermetureaveforceduhayon/couvercledecoffre, ouparlescôtés, peut endommagerlaglace, ledésembueuroule caoutchoucd'étanchéité. S'assurerquelesobjets peuventêtreinsérésdanslasectionduhayon/coffreavantdefermerlehayon/couvercledecoffre. Lorsdelafermetureducouvercleduhayon/coffre, l'abaisserdélicatementenappuyantsurlecentre.
Remarque:Nepasrangerdesobjetslourdsou tranchantsdanslescompartimentsderangement arrièresituésdanslasectionduhayon/coffre.Ces objetspourraientendommagerlesoubassement.
Ouvertureducouvercledehayon/coffre
Vouspouvezouvrirlehayon/coffredeplusieurs manières. Sivotrevéhiculeestéquipéd'uneboîtede vitessesautomatique, vousdevezplacerlelevierde vitessesenpositiondestationnement(P). Sivotre véhiculeestéquipéd'uneboîtedevitessesmanuelle, vousdevezserrerlefreindestationnementaprèsavoir mislecontactpourquel'ouvertureduhayon/coffre fonctionne. Vousn'avezpasbesoindeserrerlefreinde stationnementlorsquelecontactestcoupépourque l'ouvertureduhayon/coffrefonctionne. Sereporteràla rubrique Frein de stationnement à la page 3-38.
(hayon/coffre): Appuyersurleboutond'ouverture duhayon/coffresituésurletableaudebord, àgauche duvolant. Lesystèmeantivolnedoitpasêtrearmé.
(hayon/coffre): Appuyersurleboutond'ouverture duhayon/coffresituésurl'émetteurd'accèsansclé. Sereporteràlarubrique Systèmed'accèsansclé page3-4 .
Appuyersurleboutond'ouvertureducoffre/hayonsitué àl'arrièreeducoffre/hayon,au-dessusdelaplaque d'immatriculation,pourvuquevousayezl'émetteur avecvous.

Sil'alimentationélectriquedevotrevéhiculeest coupée,ouvrirlecoffre/hayonàl'aidedelaclédu véhicule.SereporteràClés àlapage3-3 pourplus derenseignements.Lebarilletdeserrureestsituéà l'arrière reducoffre/hayon,au-dessusdelaplaque d'immatriculation.Insérerlaclédanslebarilletde serrureetlatournerdanslesensdesaiguillesd'une montre.
Fermerlecompartimentarrière (saufpourlesmodèlesdécapotables)
Pourfermerlecouvercleducompartimentarrière devotrecoupé, appuyersurlerebordarrière du couvercle. Appuyerdessusjusqu'àcequelafonction d'abaissementélectriqueduloquets'active, ferme complètementlecoffreetleverrouilleautomatiquement.
Poignéededéverrouillaged'urgence du coffre(coupé)

Remarque:Nepasutiliserlapoignéede dégagementd'urgenceducoffrecommepoint d'ancrageoudefixationlorsquevousplacez desobjetsdanslecoffrecarvousrisquez d'endommagerlapoignée.Lapoignéede dégagementd'urgenceducoffreestconçue uniquementpouraiderunepersonneenfermée dansuncoffreverrouillé,ilfautl'activerafin d'ouvrircedernierdel'intérieur.
Lapoignéelumineuseddéverrouillaged'urgence ducoffresetrouvesurlaparoiarrièreducoffre, sousleloquet. Cettepoignéeserailluminéeaprès uneexpositionàlalumière. Tirerlapoignéede déverrouillageverslebaspourouvrirlecoffrede l'intérieurduvéhicule.
Glaces

AVERTISSEMENT:
Ilestdangereuxdelaisserdesenfants, des adultesimpotentsoudesanimauxdecompagnie à l'intérieurduvéhiculelorsquelesglacessont fermées. Ilspeuventeneffetêtre exposésaune chaleurextrêmeetsubirdestroublesdesanté permanentsoumêmemourird'uncoupde chaleur. Nejamaislaisserunenfant, unadulte impotentouunanimaldecompagnieseuldans unvéhicule, surtoutsilesglacessontfermées partempschaudoutrèschaud.

Lescommandesdeslève-glacesélectriquesse trouventdanschaqueporte.
Tireroupresserl'avantducommutateurpourleverou abaisserlaglace.
Laprolongationdel'alimentationdesaccessoires(RAP) vous permetd'utiliserleslève-glaceélectriquesaprès quellecontactestcoupé. Pour plus derenseignements, sereporter à larubrique Prolongationd'alimentation des accessoires à lapage 3-26 .
Glaceàdescenterapide
Pouractiverlafonctiondedescenterapide, appuyersur lebasdelacommandejusqu'àladeuxièmeposition. Sivoudésirezarrêterlaglaceaucoursdesa descente, appuyerdenouveausurlacommande.
Indexationdesglaces
Cettefonctionpermetd'abaisserlégèrementet automatiquementlaglacelorsquelaporteestouverte. Lorsquelaporteestfermée,laglaceremonteetse fermecomplètement.Siaucunedesglacesneseferme correctement,celaestpeut-êtredûàunecoupure d'alimentation.Avantd'amenervotrevéhiculechez votreconcessionnairepourlefaireréparer,effectuer laprocédured'initialisationdesglacesélectriques.
Réinitialiserdesglacesélectriques
Unefois l'alimentationélectriquerétablie, parexemple, après savoir remplacélabatterie, lafonction d'indexation desglacesnefonctionnerapastantquelesystèmene serapasréinitialisé.
Unefois l'alimentation rétablie:
- Fermerlaporte.
- Leverlaglaceetmaintenirlecommutateurrelevé pendanttroissecondesaprèslafermeturedela glace.
- Relâcherlecommutateur, puislemaintenirà nouvellelevépendanttroissecondesetlerelâcher.
Pare-soleil
Rabattrelepare-soleilversvousouledéplacersurle côtépourréduirel'éblouissement.
Pourutiliserlemiroiréclairé, souleverlecouvercle.
Systèmesantivol
Levoldevoitureesttrèsrépandu, principalement danscertainesvilles. Bienquelevéhiculesoitdotéde fonctionsantivol, ellesn'enfontpaspourautantun véhiculeimpossibleàvoler.
Dispositifantivol
Cevéhiculeestdotéd'undispositifantivol.

Letémoindesécurité clignoteralorsquelaporte estouverteetverrouillée aveclecommutateurde verrouillageélectriquedes portes.
Sicetémoinresteallumépendantquelemoteur tourne, faireréparervotrevéhicule.
Armementdusystème
Pourarmerlesystème:
- Presser 📋surl'émetteurd'accèsansclé.
- Ouvriretverrouillerlaporteaveclecommutateur deverrouillageélectriquedesportes. Letémoinde sécuritédevraitclignoter. Retirerl'émetteurd'accès sansclédel'intérieurduvéhiculeetfermerla porte. Letémoindesécuritéarrêteradeclignoter etresteraallumé. Auboutde30secondes, le témoindevraits'éteindre.
Levéhiculepeutêtreprogrammépourverrouiller automatiquementlesportesetarmerledispositif antivollorsquevoussortezduvéhicule.Se reporteràlarubriquePersonnalisationCIBdu véhiculeàlapage4-81.
Siuneporte, lecoffreoulehayonestouvertsans l'émetteurd'accèsansclé, l'alarmesedéclenche. Leklaxonrésonnependant deux minutes, puiss'arrête pournepasdéchargerlabatterie. Levéhiculene démarrepassanslaprésenced'unémetteurd'accès sansclé.
Lesystèmeantivolnes'armerapassivousverrouillez laporteduconducteuràl'aideducommutateurde verrouillageélectriquedesportesaprèsavoirferméles portes.
Sil'émetteurd'accèsanscléestretiréduvéhicule alorsqu'unpassagerresteàl'intérieur, celui-cidoit verrouillerlesportesaprèsqu'ellessoientfermées. L'alarmenes'armerapasetlepassagernela déclencheradoncpas.
Pourtesterlesystème:
-
S'assurerquelecouvercleducoffre/hayonest bienverrouillé.
-
Baisserlaglacedelaporteduconducteur.
-
Armerledispositifmanuellement.
-
Fermerlesportesetattendre30secondes.
-
Atteindrelaglaceouverteettirermanuellement levierderedégagementsurleplancher.
-
Appuyersurleboutondedéverrouillagede l'émetteurpourdésactiverl'alarme.
Sil'alarmenesedéclenchepas,vérifiersileklaxon fonctionnebien.Lefusibleduklaxonestpeut-êtregrillé. SereporteràFusiblesetdisjoncteurs àlapage6-119. Sileklaxonfonctionne,maisquel'alarmenese déclenchepas,consultervotreconcessionnaire.
Désarmementdusystème
Appuyersurleboutondedéverrouillagedel'émetteur d'accèsanscléouappuyersurlecapteurdela poignéedeportelorsquel'émetteursetrouveprèsdu véhiculepourdéverrouilleruneporte. Déverrouiller uneported'uneautremanièredéclencheral'alarme. Sil'alarmeretentit, pressersurl'émetteurd'accèsans clépourladésarmer.
Nepasabandonnerdanslevéhiculelacléoule dispositifquidésarmeoudésactivelesystèmeantivol.
Dispositifantidémarrage
SereporteràÉnoncédefréquenceradio àlapage8-23 pourlesinformationsrelativesàlaPartie15 desrèglementsdelacommissionfédérale descommunicationsdesÉtats-Unisetau RSS-210/211d'IndustrieetScienceCanada.
Fonctionnementdudispositif antidémarrage
Levéhiculeestéquipéd'unantivolpassif.
Lesystèmeestarméautomatiquementlorsquele contactéestcoupé.
Lesystèmed'immobilisationestdésarméquand lecommutateur d'allumagepasseenposition OFF/ACCESSORY(horsfonction/accessoires)ou START(démarrage)etqu'unetélécommandevalide setrouvedanslevéhicule.
Ilestsuperflud'armeroudedésarmermanuellemente système.
Letémoindesécurités'allumeencasdeproblème d'armement ou de désarmement de l'antivol.
Lesystèmepossèdeunouplusieursémetteurs d'accèsanscléassociés à une unité décommande antidémarraged dans le véhicule. Seulunémetteur correctement apparié permet tradefaired démarrerle véhicule. Levéhicule peut nepas démarrersil émetteur d'accèsanscléestendommagé.
Silemoteurnedémarrepasetqueletémoinde sécurités'allume,ils'agitpeut-êtred'unproblèmede systèmeantivol.PresserànouveauleboutonSTART (démarrage).
Silevéhiculenedémarrepasetsil'émetteur d'accèsansclénesemblepasendommagé, essayer unautréémetteur. Ouplacerl'émetteurdanssa pochette. Consulter «NOFOBSDETECTED» (pasde détection d'émetteur) sous Centralisateur informatique debord-Avertissementsetmessages àlapage4-57 pourplusd'informations. Contrôlerlefusible. Voir Fusiblesetdisjoncteurs àlapage6-119. Silemoteur nedémarretoujourspasavecl'autreémetteur, le véhiculeexigeuneintervention. Silemoteurdémarre, lepremierémetteurpeutêtredéfectueux. Consulter leconcessionnairequipeutintervenirsurl'antivolet disposerd'unnouveauémetteurprogrammépourle véhicule.
Lesystèmeantidémarragepeutapprendredenouveaux émetteursd'accèsansclé.Jusqu'àquatreémetteurs peuventêtreprogramméspourlevéhicule.Pour programmerdesémetteurssupplémentaires,consulter «Appariementd'émetteur(s)àvotrevéhicule» sous Fonctionnementdusystèmed'accèsansclé à la page3-5.
Nepasabandonnerdanslevéhiculelacléoule dispositifquidésarmeoudésactivelesystèmeantivol.
Démarrageetfonctionnement devotrevéhicule
Rodagedevéhiculeneuf
Suivrelesdirectivesrecommandéespendantles premiers2414km/1500milles. Cettepériodederodage estnécessairepourconserverlemeilleurrendement pendantlongtemps.
- Lorsdurodagedepneusneufs, rouleràvitesse modéréetéviterlesviragesbrusquespendantles premiers322km/200milles.
- Lesnouvellesgarnituresdefreinexigent égalementunrodage. Éviterlesfreinagesbrutaux pendantlespremiers322km/200milles. Ceciest recommandélorsdechaqueremplacementdes garnituresdefrein.
- Éviterlesdémarragesàpleingazetlesfreinages brutaux.
• Nepasdépasser4000tr/min. -
Éviterderouleràvitesseconstante(rapideoulente)etnepasutiliserlarégulationdevitesse automatique.
-
Éviterderétrograderjusqu'àl'arrêtoudefreiner lorsquelerégimedumoteurdépasse4000tr/min.
- Nepassurchargerlemoteur.Nepassélectionner unegammehauteàpetitevitesse.Encasdeboîte devitessesmanuelle,rétrograder.Cetterègle s'appliqueégalementprèslapériodederodage.
- Nepasparticiperàdescompétitions,descours deconduitesportiveetdesactivitéssimilaires pendantlespremiers2414km/1500milles.
- Vérifierleniveaud'huileâchaqueappoint decarburantetajouterl'huilenécessaire. Laconsommationd'huileetdecarburant peutêtreplusélevéependantlespremiers 2414km/1500milles.
Déflecteur d'airavant
Votrevéhiculeestéquipéd'undéflecteur d'airavant avec unegardeausolréduite.
LesvéhiculesZR-1 sont égalementéquipésd'un déflecteur d'airenfibredecarbone.
⚠ AVERTISSEMENT:
Ledéflecteur d'airdumodèle ZR-1 estenfibrede carbone.
Encasdedommages,lesbordsàdécouvert peuventêtretrèscoupantsetdesblessures pourraientrésulterdecesbordscoupants.Faire trèsattentionlorsquevousnettoyezlevéhicule, quevousentrezencontactavecclespiècesen fibredecarboneendommagéesouquevousles retirez.Consultervotreconcessionnairepourqu'il procèdeàleurreplacement.
Enfonctionnementnormal, ilarrivequeceséléments entrentencontactaveclasurfacedelaroute(bosses dedécélération,bretellesd'uneallée,etc.). Depuis l'intérieurduvéhicule,onpeutalorsentendreunbruit degrattage.Celaestnormaletn'indiqueaucun problème.
Àl'approchedebossesoud'objetssurlaroute, conduireavecprécautionettenterdeleséviter,sicela estpossible.
Positionsducommutateur d'allumage

text_image
ENGINE Acc.Votrevéhiculeestéquipé d'unbouton-poussoirde démarrageélectronique sansclé.
Pourquitterlapositiondestationnement(P),levéhicule doitfonctionnerouêtreenmodeAcc.(accessoires)et lapédaledefreindoitêtreenfoncée.
Q(START)(démarrage):Pourdémarrerlemoteur, appuyersurceboutonaprèsavoirplacévotrepied surlefreinsivotrevéhiculeestéquipéd'uneboîte devitessesautomatiqueousurl'embrayagesivotre véhiculeestéquipéd'uneboîtedevitessesmanuelle. SivotrevéhiculeestenmodeOFF(arrêt)oude prolongationdel'alimentationdesaccessoires(RAP) vousdevezplacerl'émetteurd'accèsansclé à l'intérieurduvéhiculepourdémarrerlemoteur.
Acc.(OFF/ACCESSORY)(accessoires(arrêt/accessoires)): Aprèsavoirdémarrélemoteuroubien sivotrevéhiculeestenmoded'accessoires,ilest conseillédeplacerlelevierdelaboîtedevitesses manuelleenmarchearrière(R)etlelevierdelaboîte devitessesautomatiqueenmodedestationnement(P). Ensuite,appuyersurleboutonAcc.(modeaccessoires) pourcouperlemoteuretplacerlevéhiculeenmode deprolongationdel'alimentationdesaccessoires. Pourplusd'informations,sereporteràlarubrique «Prolongationdel'alimentationdesaccessoires (RAP)»plusbas.Sivotrevéhiculeestàboîtede vitessesautomatiqueetsivousneplacezpas correctementlelevierenpositiondestationnement(P), lemessageSHIFTTOPARK(passerenposition destationnement)apparaïtsurlecentralisateur informatiquedebord(CIB).
Pourobtenirdeplusamplesrenseignements, se reporteràlarubrique Centralisateurinformatiquede bord - Avertissements et messages à la page 4-57.
Lorsquelemoteurestcoupé, appuyersurcebouton pourmettrelevéhiculeenmodeaccessoires. LemessageACCESSORYMODEON(mode accessoiresactivé)s'afficherasurlecentralisateur informatiquedebord(CIB). Cemodevouspermet d'utiliserdesaccessoirescommelaradiooules essuie-glacespendantquelemoteurestcoupé. Utiliserlemodeaccessoiresessivousdevezdéplacer votre véhiculealorsquelemoteurestcoupé, par exemple, s'ilestpousséouremorqué.
Aprèsêtrerestéenviron10minutesenmode accessoires,levéhiculesemettraautomatiquement enmodeRAP(prolongationdel'alimentationdes accessoires)ouOFF(arrêt),selonquelesportessont ouvertesoufermées.
Prolongationd'alimentationdes accessoires
Cesaccessoiresduvéhiculepeuventêtreutilisés jusqu'à 10 minutes après l'arrêt dumoteur:
- Systèmeaudio
- Glacesélectriques
Cesdispositifsfonctionnentencorependant10minutes unefoislemoteurcoupéoujusqu'âcequ'uneporte soitouverte. Siuneporteestouverte, lesglaces à commandeélectriqueetlesystèmeaudiocesseront de fonctionner.
Démarragedumoteur
Placerlelevierdevitessesenpositionde stationnement(P)ouaupointmort(N)sivotrevéhicule estéquipéd'uneboîtedevitessesautomatique.S'ilest équipéd'uneboîtedevitessesmanuelle,levéhicule peutdémarreraupointmortoudansn'importequelle vitessedanslamesureoulapédaled'embrayageest enfoncée.Pourredémarrerunvéhiculeéquipéd'une boîtedevitessesmanuellealorsquecelui-ciestdéjàen mouvement,utiliseruniquementlapositiondepoint mort.Pourredémarrerunvéhiculeéquipéd'uneboîte devitessesautomatiquealorsquecelui-ciestdéjàen mouvement,utiliserlapositiondepointmort(N).
Remarque:Nepastenterdepasserenposition destationnement(P)lorsquelevéhiculeesten mouvement.Vouspourriezendommagerlaboïtede vitesses.Passerenpositiondestationnement(P) uniquementlorsquelevéhiculeestàl'arrêt.
L'émetteurdusystèmed'accèsansclédoitsetrouver à l'intérieurduvéhicule pour quelque contact fonctionne. Leschargeursdetéléphonescellulairespeuvent provoquerdesinterférencesavecclefonctionnementdu systèmed'accèsansclé. Leschargeursdebatteriene doiventpasêtrebranchéslorsdudémarrageoude l'arrêt dumoteur.
Pourdémarrerlevéhicule, effectuerlesétapes suivantes:
- Sivotrevéhiculeestéquipéd'uneboîtede vitessesautomatique, placerlepiedsurlapédale d'embrayageetappuyersurleboutonSTART (démarrage)situésurletableaudebord.Sivotre véhiculeestéquipéd'uneboîtedevitesses manuelle, appuyersurlapédaled'embrayage etsurleboutonSTART.
Siaucunémetteurd'accèsansclénese trouvedanslevéhiculeousiquelquechose provoquedesinterférencesavecl'émetteur, leCIBafficheNOFOBSDETECTED(pasde détectiond'émetteur).Pourplusd'information, sereporteràCentralisateurinformatiquede bord-Avertissementsetmessagesàlapage4-57.
- Lorsquelelancementdumoteurcommence, relâcherleboutonetlemoteurest automatiquementlancéjusqu'àcequ'ildémarre. Silapiledel'émetteurd'accèsanscléest faible, leCIBafficheFOBBATTERYLOW(pile d'émetteurfaible). Vous pouveztoujoursconduire levéhicule.
Sereporterà «Remplacementdelapile» sous Fonctionnementdusystèmed'accèsansclé à la page3-5 pourdeplusamplesinformations. Silapileestplate, vousdevezinsérerl'émetteur danslafented'émetteurpourpermettrele démarragedumoteur. Sereporterà «Aucun émetteurdétecté» sous Centralisateur informatiquedebord-Avertissementset messagesàlapage4-57.
-
Nepasemballerlemoteurimmédiatementaprès ledémarrage. Actionnerendouceurlemoteur etlaboîtedevitessesjusqu'àcequel'huilese réchauffeetlubrifietouteslespiècesmobiles.
-
SilemoteurnedémarrepasetqueleClBn'affiche aucunmessage, attendre 15secondesavantde faireunnouvelessaipourlaisserlemoteurde lancementrefroidir.
Silemoteurnedémarrepasaprès5-10secondes, spécialement par temps très froid (moins de -18°C ou0°F), il peut être renoyéparunexcès d'essence. Enfoncer complètement lapédaled'accélérateur auplancher et lamainteniren foncée en lançantle moteur pendant 15 secondes maximum. Attendre aumoins 15 secondes entre chaque essa pour permettre lerefroidissement dumoteur de lancement. Une fois lemoteuren marche, relâcher l'accélérateur. Silevéhiculed démarrebrièvement puiss arrête à nouveau, effectuer lam même procédure. Cecilimine lecarburant excessif du moteur.
Remarque:Lancerlemoteurpendantunelongue périodeenpressantleboutonSTART(démarrage) immédiatementaprèsfindulancementpeut provoquerunesurchauffe,endommagerlemoteur delancementetdéchargerlabatterie.Attendreau moins15secondesentrechaquetentativeafinde permettreaumoteurdelancementderefroidir.
Levéhiculeestéquipéd'unsystemedémarrage informatisé. Cedispositifcontributeaudémarragedu moteureprotègelesorganes. Lorsquelelancement aétéinitié, celui-cisepoursuitpendantquelques secondesoujusqu'acequelemoteurdémarre. Silemoteurnedémarrepas, lelancements'arrête automatiquementaprès 15secondespouréviter d'endommagerlemoteurdelancement. Pouréviter d'endommagerl'engrenage, cesystèmeempêche égalementlelancementsilemoteurtournedéjà.
Remarque:Lemoteurestconçupourfonctionner àpartirdel'équipementélectroniqueduvéhicule. Sidesaccessoiresoudescomposantsélectriques sontajoutés,vousrisquezdemodifierle fonctionnementdumoteur.Consulter votre concessionnaireavantd'ajouterdeséquipements électriques.Danslecascontraire,lemoteur risquedenepasfonctionnercorrectementetles dommagesrésultantsneseraientpascouvertspar lagarantieduvéhicule.
Arrêtdumoteur
Sivotrevéhiculeestéquipéd'uneboîtedevitesses automatique, placerlelevierenpositionde stationnement(P)etpresseretmaintenirlebouton Acc(misehorsfonction/accessoires)situésurle tableaudebordjusqu'àcequelemoteursecoupe. Silelevierdevitessesn'estpasenpositionde stationnement(P), lemoteursecoupeetlevéhicule passeenmodeaccessoires.LeCIBafficheSHIFTTO PARK(passerenpositiondestationnement). Après avoirplacélelevierdevitessesenpositionde stationnement(P), levéhiculeestmishorsfonction. Sivotrevéhiculeestéquipéd'uneboîtedevitesses manuelle, ilestpréconisédeplacerlelevierde vitessesenmarchearrière(R)etdeserrerlefrein destationnementaprèsdemaintenirenfoncéle boutonAcc.(horsfonction/accessoires).
Sil'émetteurd'accèsansclén'estpasdétectéà l'intérieurduvéhiculelorsquecelui-ciestàl'arrêt, leCIBafficheNOFOB-OFFORRUN?(pas d'émetteur-arrêtoufonctionnement?).
SereporteràCentralisateurinformatiquede bord-Avertissementsetmessages àlapage4-57 pourplusderenseignements.
Fonctionnementdelaboîtede vitessesautomatique
P R N D S
Ilyaplusieurspositions dulevierdesélection.
Stationnement(P): Cettepositionbloquelesroues arrière. C'estlameilleurepositiondedémarragedu moteurcarlevéhiculenepeutpasfacilementse déplacer.

AVERTISSEMENT:
Il peutêtredangereuxdequitterlevéhiculesile levierdesélectionn'estpascomplètementen positiondestationnement(P)aveclefreinde stationnementfermementserré. Levéhiculepeut rouler.
Nepasquitterlevéhiculelorsquelemoteurest enmarchesaufsivousyêtescontraint.Sivous laissezlemoteurtourner,levéhiculepourraitse déplacersoudainementetvousblesseroublesser d'autrespersonnes.Pourvousassurerquele véhiculenebougerapas,mêmelorsquevous voustrouvezsurunterrainrelativementplat, toujourserrerlefreindestationnement et placerlelevierdesélectionenpositionde stationnement(P).SereporteràChangementàla positiondestinationnement(Boîtedevitesses automatique)àlapage3-39.
S'assurerquelevierdesélectionestbienenpositionde stationnement(P)avantdedémarrerlemoteur.
Levéhiculeestéquipéd'unsystèmedeverrouillage dulevierdesélectiondelaboîteautomatique. Il faut appliquercomplètementlesfreinsavantdepouvoir sortirdelapositiondestationnement (P) lorsquele moteurtourne. Sivousnepouvezpassortirdela positiondestationnement (P), diminuerlapressionsur lelevierdesélection, lepoussercomplètementen positiondestationnement (P) en maintenantlesfreins appliqués. Ensuite, enfoncerleboutondulevierde sélectionetdéplacerlelevierdansuneautreposition. Sereporterà Retraitdelapositiondestationnement lapage 3-40 .
Marchearrière(R): Utilisercettepositionpourreculer.
Remarque:LepassageenpositionR(marche arrière)lorsquelevéhiculesedéplaceenmarche avantpeutendommagerlaboîtedevitesses.Les réparationsneserontpascouvertesparlagarantie duvéhicule.PasserenpositionR(marchearrière) uniquementaprèsl'arrêtduvéhicule.
Pourdéplacerlevéhiculed'avantenarrièrelorsqu'il estembourbédanslaneige,laglaceoulesablesans endommagerlaboîtedevitesses,sereporteràSile véhiculeestcoincédanslesable,laboueoulaneige lapage5-31.
à
à
Pointmort(N):Danscetteposition,lemoteurn'est pasreliéauxroues.Pourredémarrerlorsquele véhiculerouledéjà,utiliseruniquementlepoint mort(N).Silevéhiculeabesoind'êtreremorqué,se reporteràRemorquageduvéhiculeàlapage5-38.

AVERTISSEMENT:
Passerenvitesselorsquelemoteurtourneàun régimeélevéestdangereux. Silepiednepresse pasfermentlapédaledefrein, levéhiculepeut sedéplacertrèsrapidement. Ilpeutenrésulter unepertedecontrôleetlevéhiculepeutheurter despersonnesoudesobjets. Nepaspasseren vitesselorsquelemoteurtourneàhautrégime.
Remarque: QuitterlapositionP(stationnement) ouN(pointmort)alorsquelemoteurtourneà unevitesseélevéepeutendommagerlaboîtede vitesses. Lesréparationsneseraientpascouvertes parlagarantieduvéhicule. S'assurerquelemoteur netournepasàvitesseélevéelorsquevous changezderapport.
Marcheavant(D): Ceciestlapositiondeconduite normale. Elleréduitlaconsommationdecarburant duvéhicule. Sivousdésirezplusdepuissancepour dépasser, enfoncerlapédalepourobtenirledegré désiréd'accélération.
Larétrogradationdelaboîtedevitessessuruneroute glissantepeutentraînerundérapage.Sereporterà « Dérapage », sous Perte de contrôle àlapage5-21
Modesport(S): Lorsquelevéhiculeestenmode sport(S), laboîtedevitessesfonctionnecommeune boîtedevitessesautomatiquejusqu'àcequevous utilisiezlescommandesdechangementdevitesses manuellesauxpalettes, quipermettentd'activerla fonctiondechangementdevitessesmanuel. Se reporteràlarubriqueChangementdevitessesmanuel parpalettes, plusloindanscettesection. Enmode sport(S), lespassagesauxrapportssupérieurssont plusperceptiblespourunrendementplussportifdu véhicule.
Changementdevitessemanuelaux manettes
Enmodesport(S), vous pouvez utiliser les palettes du volant pour passermanuellement aurapports supérieur ou inférieur.

Lesystèmedechangementderapportmanuelpar palettesestactivéàpartirdumodesport(S)en appuyantsurlapalette,au-dessusdesrayonsdu volant,pourpasseraurapportimmédiatementsupérieur outirersurlapalette,derrièrelesrayonsduvolant, pourrétrograderaurapportinférieur.
Enaccélérationàpartirdel'arrêtsurneigeouroute verglacée,vouspouvezpasserenseconde(2)ou entroisième(3).Unrapportplusélevéaugmente l'adhérencesurlessolsglissants.Silafonctionde tractionasservieestactive,lespassagesaurapport supérieursontdifféréspouraugmentervotrecontrôle duvéhicule.SereporteràSystèmedetractionasservie (TCS)àlapage5-7.
Lesystèmedechangementderapportmanuelpar palettespeutêtredésactivéenquittantlemode sport(S)ouenrepassantenmarcheavant(D), ouencoreenmaintenantleboutondepassageau rapportsupérieurpendantplusd'uneseconde.
Lorsquelesystèmedesélectiondechangement de vitessesmanuelauxmanettesestactif, laboîtede vitessesrétrogradeautomatiquementaufuretà mesurequelevéhiculeralentit. Laboîtedevitesses sélectionneladeuxième(2)vitesselorsquelevéhicule s'arrête. Lorsqu'ilestarrêté, levéhiculedémarreen deuxième(2)etyrestesaufsileconducteurchange devitessemanuellementauxmanettesousélectionne lapositiondemarcheavant(D). Leconducteurpeut sélectionnerlapremière(1)vitessepouraccélérerau maximumdepuislapositiond'arrêt.

Lorsquevousutilisezle changementdevitesse manuelauxmanettes enmodesport(S),le rapportactuels'affiche surlecentralisateur informatiquedebord (CIB)ousurlesystème d'affichageâtêtehaute (HUD),silevéhiculeen estpourvu.
Sivotrevéhiculeestdotédusystèmedenavigation, sereporterà «Affichageâtêtehaute(HUD)» dans l'indexduguidedusystèmedenavigation.
Lesystèmedechangementdevitessemanuelaux manettesnepermetpasd'accélérerouderétrograder silavitesseduvéhiculeesttropélevéeoutropfaible. In'estégalement pas possiblédédémarrerlorsquele véhiculesetrouveenquatrième(4)ouenvitesse supérieure.
Sivousneparvenezpasàaccélérerlorsquevous lesouhaitez, lavitesseduvéhiculeestlimitéepour protégerlemoteur.
Lorsquelerapportdevitessenerépondpasàun changementdevitesse, le CIBafficheuneXàl'écran del'indicateurdevitesse.

Siuneaccélérationvous estrefuséeenraison deslimitesdevitesse indiquées, le CIBaffiche momentanémentune Xà l'écrandel'indicateurde vitesseetuncarillon retentit.
Silevéhiculeestéquipéd'unsystemed'affichageà têtehaute(HUD)etsilerapportdevitessenerépond pasencasdechangementdevitesse,uncarillon retentitetlesystèmed'affichageàtêtehauteaffiche momentanémentuneXàl'écrandel'indicateurde vitesse.
Lefonctionnementduchangementdevitessemanuel auxmanettespeutêtreutiliséàpartirdurégulateur devitesse. Pourplusd'informations, sereporteràla rubrique Régulateurdevitesse automatique à la page4-7.
Lesvitessesrequisespourlesaccélérationsmanuelles auxmanettesdépendentdeplusieursdispositifs présentssurlevéhiculeetquifontvarierlavitesse d'accélérationautoriséedequelqueskilomètres(mi/h).
Pourlesvéhiculesavecrapport d'essieu2,56/1(EFCGM8)
- Pourpouvoirpasserenquatrième(4), vous devez rouleràunevitessed'environ35km/h(22mi/h).
- Pourpouvoirpasserencinquième(5), vousdevez rouleràunevitessed'environ45km/h(28mi/h).
- Pourpouvoirpasserensixième(6), vous devez rouleràunevitessed'environ65km/h (41mi/h).
Pouréviterd'endommagerlegroupemotopropulseur, larétrogradationmanuelleauxmanettesnepeut pass'effectuerau-delàdecertainesvitesses. Les vitessesmaximalesautoriséespourrétrograderdela première(1)àlaquatrième(4)sontlessuivantes:
• Enquatrième(4),plusde250km/h(155mi/h).
• Entroisième(3),plusde188km/h(117mi/h).
• Endeuxième(2), plusde120km/h(75mi/h).
• Enpremière(1),plusde68km/h(42mi/h).
Pourlesvéhiculesavecrapport d'essieu2,73/1(EFCGU2)
• Pourpouvoirpasserenquatrième(4), vous devez rouleràunevitessed'environ31km/h(19mi/h).
- Pourpouvoirpasserencinquième(5), vous devez rouleràunevitessed'environ39km/h(24mi/h).
- Pourpouvoirpasserensixième(6), vous devez rouleràunevitessed'environ57km/h(35mi/h).
Pouréviterd'endommagerlegroupemotopropulseur, larétrogradationmanuelleauxmanettesnepeut pass'effectuerau-delàdecertainesvitesses. Les vitessesmaximalesautoriséespourrétrograderdela première(1)àlaquatrième(4)sontlessuivantes:
• Enquatrième(4),plusde234km/h(145mi/h).
• Entroisième(3), plusde176km/h(109mi/h).
• Endeuxième(2), plusde113km/h(70mi/h).
• Enpremière(1), plusde64km/h(40mi/h).
Sileconducteurn'accélèrepaslorsquelavitesse dumoteurserapprochedurégimedecoupurede carburant, lavitessedumoteurestlimitéeafinde protégerlemoteur. Pourplusd'informations, se reporter à la rubrique Tachymètre à la page 4-34.
Fonctionnementdelaboîtede vitessesmanuelle

text_image
1 2 3 4 5 6 RVoicilediagramme d'utilisationdelaboîte manuelleàsixvitesses.
Voicicommentutiliserlaboîtedevitesses:
Première(1): Appuyersurlapédaled'embrayage etpasserenpremière(1). Ensuite, laisserremonter lentementlapédaled'embrayagetoutenappuyantsur l'accélérateur.
Vous pouvez passeren première(1)sivous roulez àunevitesse inférieure à 64km/h (40mi/h).Sivous êtes complètement arrêté et que vous sé prouvez de ladifficulté à passeren première(1), placerlelevier de vitesses au point mort (N) et lâcher la pédale d'embrayage. Enfoncerden ouveau alapédale d'embrayage. Passerensuite en première(1).
Deuxième(2): Appuyersurlapédaled'embrayagetout enrelâchantl'accélérateuretpasserendeuxième(2). Ensuite, laisserremonterlentementlapédale d'embrayagetoutenappuyantsurl'accélérateur.
Troisième(3),quatrième(4),cinquième(5)et sixième(6):Passerentroisième(3),enquatrième(4),encinquième(5)etensixième(6)delamêmefaçon quepourladeuxième(2).Laisserremonterlentementla pédaled'embrayagetoutenappuyantsurl'accélérateur.
Pourarrêter, relâcherl'accélérateuretappuyersurla pédaledefrein. Justeavantquelevéhiculenes'arrête, appuyersurlapédaled'embrayageainsiquesurla pédaledefreinetpasseràlapositiondepointmort(N).
Pointmort(N): Utilisercettepositionpourfaire démarrerlemoteuroulefairetournerauralenti. Le levierdesélectionestapointmort(N) lorsqu'ilse trouve au centre de la grille de sélection, dans aucun rapport.
Marchearrière(R): Pourreculer, enfoncerlapédale d'embrayageetpasserenmarchearrière(R). Appuyer pourdéplacerlelevierau-delàdelacinquième(5) et delasixième(6) jusqu'àlamarchearrière(R). Laisser remonterlentementlapédaled'embrayagetouten appuyantprogressivementsurl'accélérateur.
Votreboîtemanuelleàsixvitessesdisposed'une fonctionvouspermettantdepasserenmarche arrière(R)entoutesécuritélorsquelevéhiculeroule àunevitesseinférieureà5km/h(3mi/h).Lelevier devitessessebloquesivousessayezdepasseren marchearrière(R)alorsquevotrevéhiculerouleàune vitessesupérieureà5km/h(3mi/h).
Vitessesdepassagedelaboîtede vitesses(boîtedevitessesmanuelle)

AVERTISSEMENT:
Sionsauteunevitesselorsd'unerétrogradation, onpourraitperdrelecontrôleduvéhicule. Onpeut seblesseroublesserautrui. Nepasrétrograder deplusd'unevitesseàlafois.
Cetableauindiquelemomentoùpasseràlaprochaine vitessesupérieurepermettantlameilleureéconomiede carburant.
| BoîtedevitessesmanuellerecommandéeVitessesdepassagedelaboîtedevitessesparrapportenkm/h(mi/h) | |||||
| Moteur | Vitessedepassagedelaboîtedevitessesenaccélération | ||||
| 1à22à3 | 3à44à55à6 | ||||
| Tousles moteurs | 15(24)2 | 5(40)40(6) | 4)45(72)5 | 0(80) | |
Sivotrerégimedumoteurdescendàmoinsde 900tr/min,ousilemoteurnetournepasendouceur, vousdevriezrétrograderàlavitesseinférieure prochaine. Vousdevriezpeut-êtrerétrograderde deuxvitessesoupluspourquelemoteurtourneen douceuroupourqu'iloffreunmeilleurrendement.
Remarque:Lorsduchangementdevitesses,ne pasmanipulerlelevierdesvitessesplusquecela nesoitnécessaire.Cettefaçond'agirpourrait endommagerlaboîtedevitesses.Passer directementàlavitessesuivante.
Témoindechangementdevitessede lapremièreàlaquatrième(boîtede vitessesmanuelle)

text_image
1→4Lorsquecetémoin s'allume,onnepeut passerquedela première(1)àla quatrième(4),plutôt quedelapremière(1)àladeuxième(2).
Se reporter à Témoin de passage de la première à la quatrièmevitesse(Boîtedevitessesmanuelle) à la page4-37 pourplusderenseignements.
Rétrogradation(boîtedevitesses manuelle)
Nepasrétrograderàlavitesseindiquéeci-dessussile véhiculerouleàunevitessesupérieureàcelleindiquée dansletableau:
| Première(1)80km/h(50mi/h) |
| Deuxième(2)119km/h(74mi/h) |
| Troisième(3)163km/h(101mi/h) |
| Quatrième(4)209km/h(130mi/h) |
Remarque:Siplusd'unevitessesauteen rétrogradantousilemoteurs'emballerenrelâchant lapédaled'embrayage,lemoteur,l'embrayage, l'arbredetransmissionoulaboïtedevitesses risquentdes'endommager.Nepassauterde vitessesouemballerlemoteurlorsdela rétrogradation.
Laboîteàsixvitessesestpourvued'unressortservant àcentrerlelevierdevitessesprèsdelatroisième(3) etlaquatrième(4). Ceressortvousaideàsavoirdans quelrapportsetrouvelaboîtelorsquevouschangez devitesse. Faireattentionlorsquevouspassezdela première(1)àladeuxième(2)ouquevousrétrogradez delasixième(6)àlacinquième(5)avecprécaution. Leressorttendàdéplacerlelevierdevitessesversla quatrième(4)etlatroisième(3). S'assurerdebien déplacerlelevierendeuxième(2)ouencinquième(5).
Sionlaisseleviersedéplacerdanslesensvers lequelilestattiré, ilpeutenrésulterunpassagede vitessedelapremière(1)àlaquatrième(4)oudela sixième(6)àlatroisième(3).
Freindestationnement
Lelevierdefreindestationnementsetrouveàdroitede laconsolecentrale.
Pourserrerlefreindestationnement, maintenirla pédaledefreinageenfoncée. Tirerlelevierdufrein destationnementverslehaut. Silecontactestmis, letémoindusystèmedefreinages'allume.
Pourdesserrerlefreindestationnement, maintenirla pédaledefreinenfoncée. Enfoncerensuiteleboutonde déblocagetoutenrelâchantcomplètementlefreinde stationnement.
Remarque: Conduirealorsquelefreinde stationnementestserrépeutcauserlasurchauffe dusystèmedefreinageetdel'usureprématuréeou desdommagesauxpiècesdusystème. S'assurer quelefreindestationnementestcomplètement desserréetqueletémoindufreinestéteintavant deconduire.
Changementàlapositionde stationnement(Boîtedevitesses automatique)

AVERTISSEMENT:
Ilpeutêtredangereuxdesortirduvéhiculesile levierdesélectionn'estpascomplètementen positiondestationnement(P)etsilefreinde stationnementn'estpasfermementserré. Levéhiculepourraitrouler.Sivouslaissezle moteurtourner,levéhiculepourraitsedéplacer soudainementetvousblesseroublesserd'autres personnes.Pourvousassurerquelevéhiculene bougerapas,mêmelorsquevousvoustrouvez surunterrainrelativementplat,effectuerce quisuit.
- Maintenirlapédaledefreinenfoncéeetserrerle freindestationnement.
SereporteràFreindestationnement à la page3-38 pourplusderenseignements.
-
Mettrelelevierdevitessesàlapositionde stationnement(P)enmaintenantleboutondu levierenfoncéetenpoussantlelevier complètementversl'avantduvéhicule.
-
AppuyersurleboutonAcc.(commutateur d'allumage) pour couper le moteur.
Quitterlevéhiculeenlaissanttournerle moteur(boîtedevitessesautomatique)

AVERTISSEMENT:
Ilpeutêtredangereuxdequitterlevéhicule lorsquelemoteurtourne. Levéhiculepourrait subitementsdéplacersilelevierdevitesses n'estpastotalementenpositionP(stationnement) aveclefreindestationnementfermementserré. Etsivousquittezlevéhiculeenlaissantlemoteur tourner, celui-cipourraitsurchaufferetmême prendrefeu, aurisquedecauserdesblessures. Nepasquitterlevéhiculeenlaissantlemoteur tourner.
Sivousdevezquittervotrevéhiculependant quelemoteurtourne, s'assurerquelelevierde vitessesestàlapositiondestationnement(P) et quelfreindestationnementestbienserré. Après
avoirdéplacélelevierdevitessesàlapositionde stationnement(P),maintenirlapédaledefrein enfoncée.Vérifiersilelevierdevitessespeutêtre déplacéhorsdelapositiondestationnement(P)sans devoird'abordappuyersurleboutondedéverrouillage dulevier.Sivouslepouvez,celasignifiequelelevier devitessesn'étaitpascomplètementverrouilléàla positiondestationnement(P).
Blocagedecouple(boîteautomatique)
Sivousstationnezenpenteetquevousn'engagez pascorrectementlaboîtedevitessesenpositionde stationnement(P),lepoidsduvéhiculepeutexercer tropdeforcesurlecliquetdestationnementdela boîtedevitesses. Ilvousserapeut-êtredificilede déplacerlevierdesélectionhorsdelapositionde stationnement(P). C'estcequ'onappellele « blocage decouple ». Pourévitercelui-ci, serrerlefreinde stationnement, puisbiendéplacerlevierdesélection enpositiondestationnement(P) avant desortirdu véhicule. Poursavoircommentlefaire, sereporteràla rubrique « Passageenpositiondestationnement(P) » plushautdanscettesection.
Quandvousêtesprêtàreprendrelaroute, déplacerlelevierdesélectionhorsdelaposition destationnement(P)avantdedesserrerlefreinde stationnement.
Siunblocagedecoupleseproduit, vousdevrez peut-être vous faire pousser par un autre véhicule pour remonter lapente. Ceci, pour diminuer lapressionsur le cliquet de stationnement delaboîte devitesses et pouvoir ainsi déplacer levier devitesses de la position destationnement (P).
Retraitdelapositionde stationnement
Ledéverrouillagedulevierdesélectionempêche dequitterlapositiondestationnement(P)saufsile véhiculefonctionneouestenmodeAccessoiresetque lapédaledefreinestpressée.
Ledéverrouillagedulevierdesélectionfonctionneen permanenceexceptélorsquelabatterieestdéchargée ouquesatensionestfaible(moinsde9V).Sereporter àDémarrageavecbatterieauxiliaire àlapage6-60 pour deplusamplesinformations.
Pourquitterlapositiondestationnement(P),agir commesuit:
- Appuyersurlapédaledefrein.
- Presserleboutondulevierdesélection.
- Déplacerlelevierdesélectionverslaposition désirée.
S'iln'esttoujourspaspossibledequitterlapositionde stationnement(P):
- Relâchercomplètementleboutondulevierde sélection.
- Toutenmaintenantenfoncéelapédaledefreins, presserdenouveauleboutondulevierde sélection.
- Déplacerlelevierdesélectionverslaposition désirée.
Silelevierdesélectionnepeuttoujourspassortir delapositiondestationnement(P), consulterle concessionnaireoufaireappelàuneentreprisede remorquage.
Stationnementduvéhicule (Boîtedevitessesmanuelle)
Avantdequitterlevéhicule, déplacerlelevierde sélectionenpositionR(marchearrière)etserrer fermementlefreindestationnement. Unefoislelevier enpositionR(marchearrière)etlapédaled'embrayage enfoncée, couperlecontactetrelâcherlapédale d'embrayage.
Stationnementau-dessusde matièresquibrûlent

AVERTISSEMENT:
Desmatièresinflammablessontsusceptibles detoucherdespièceschaudesdusystème d'échappementsituéessouslevéhiculeetde s'enflammer. Nepassegarersurdespapiers, desfeuilles, del'herbesècheoud'autresmatières inflammables.
Échappementdumoteur

AVERTISSEMENT:
L'échappementdumoteurcontientdumonoxyde decarbone(CO)quiestinvisibleleetinodore. L'expositionauCOpeutprovoquerunepertede conscienceetmêmelamort.
Lesgazd'échappementpeuventpénétrerle véhiculesi:
- Levéhiculetourneauralentidansdeszones malventilées(garages,tunnels,neige profondequipeutbloquerlacirculationde l'airsouslacarrosserieoudanslestuyaux arrière).
- L'échappementsentmauvaisouémetunbruit étrangeoudifférent.
- Lesystèmed'échappementfuitenraisonde lacorrosionoud'undégât.
.../
AVERTISSEMENT:(suite)
- Lesystèmed'échappementaétémodifié, endommagéouréparédemanièreincorrecte.
- Lacarrosserie duvéhicule présentedestrous oudesouvertures, causéspardes dégâts ou desmodifications après-vente, quinesont pas complètement bouchés.
Sivousdétectezdesémanationsinhabituellesou sivoussuspectezquedesgazd'échappement pénètrentdanslevéhicule:
- Neconduirequ'avectouteslesglaces complètementabaissées.
• Faireréparerlevéhiculeimmédiatement.
Nejamaisgarerlevéhiculemoteurtournantdans unlieuclostelqu'ungarageouunimmeublesans ventilationd'airfrais.
Fairefonctionnerlevéhicule pendantqu'ilestenpositionde stationnement
Ilestpréférabledenepasfairestationnerlevéhicule enlaissanttournerlemoteur. Cependant, sivousdevez lefaire, voicicertainsfaitsquevousdevriezconnaître.

AVERTISSEMENT:
Fairetournerauralentilemoteurduvéhicule dansunendroitclosdotéd'unemauvaise ventilationestdangereux. Lesgazd'échappement dumoteurpeuventpénétrerdanslevéhicule. Ceux-cicontiennentdumonoxydedecarbone (CO) invisibleetinodore, quipeutentraînerune pertedeconscience, voirelamort. Nejamaisfaire tournerlemoteurdansunendroitclosdépourvu deventilation d'airfrais. Pourdeplusamples informations, sereporterà Échappement du moteurà lapage 3-42.

AVERTISSEMENT:
Ilpeutêtredangereuxdesortirduvéhiculesi lelevierdesélectiondelaboîtedevitesses automatiquen'estpascomplètementen positiondestationnement(P)etsilefreinde stationnementn'estpasfermementserré. Le véhiculepourraitrouler.Nepasquitterlevéhicule lorsquelemoteurestenmarchesaufsivousy êtescontraint.Sivouslaissezlemoteurtourner, levéhiculepourraitsedéplacersoudainementet vousblesseroublesserd'autrespersonnes.Pour vousassurerquelevéhiculenebougerapas, mêmelorsquevousvoustrouvezsurunterrain relativementplat,toujoursserrerlefreinde stationnementetplacerlelevierdesélectionen positiondestationnement(P).
Suivrelesétapesappropriéespours'assurerquele véhiculenesedéplacepas. Sereporterà Changement àlapositiondestationnement (Boîtedevitesses automatique) àlapage 3-39.
Rétroviseurs
Rétroviseuràgradationautomatique
Levéhiculepeutêtreéquipéd'unrétroviseurintérieur àassombrissementautomatiqueavecboussole, lampesdelectureetOnStar ^MD .L'atténuationréduit l'éblouissementparlespharesquivoussuivent. Une temporisationsertàprévenirlechangementrapide entrelespositionsdejouretdenuitsousfortéclairage etenpleinecirculation.
Silevéhiculeestéquipéd'OnStar, ilexistetrois boutonsdecommandeplacésàlabasedurétroviseur. SereporterauguidedupropriétaireOnStar ^MD pourplus d'informationssurleserviceOnStar ^MD .
( en/hors fonction ): L'atténuation automatique est activéeaudémarrageduvéhicule.Pourmettreen serviceouhorsservicecettefonction,appuyerjusqu'à 6secondessurceboutonsituéaubasdurétroviseur.
0 (témoin): Ce témoin s'allume lorsque l'atténuation automatiqueestactivée.
Lampesdelecturedecarte
Lerétroviseurestéquipédeliseusesdanssapartie inférieure. Pour allumerou é teindre manuellement une deceslampes, appuyersurleboutonsitu é à côté.
Nettoyagedurétroviseur
Nepasvaporiserdirectementduproduitdenettoyage pourglacesurlerétroviseur.Utiliseruntissudoux humidifiéàl'eau.
Boussole
Fonctionnementdelaboussole
Lorsquelaboussoleestactivéeetquelevéhiculeest démarré, laboussolenécessitequelquessecondes pourrégleretafficherlecapactuelduvéhicule. Par exemple, NEestaffichépourindiquerNord-Est.
Étalonnagedelaboussole
Appuyerunefoissur pouractiveroudésactiverla boussole.
Siaprèsquelquessecondes, laboussolen'indique pasdecap, onestpeut-êtreenprésenced'uneforte interférencemagnétique. Cette interférence peut provenird'uneantenne à fixation magnétique, d'un bloc-notes magnétique ou d'autres objets magnétiques decetype. Silalettre Couleslettres CAL(étalonnage) s'affiche, laboussoledoitêtre étalonnée.
Selonlerétroviseur,leslettresCAL(étalonnage) doiventapparaîtredanslesfenêtresdelaboussoledu rétroviseurpourétalonnerlaboussole.SiCALn'estpas affiché,appuyersur 🏻 pendantquelquessecondesou jusqu'àcequeCALs'affiche.
Silaboussoleestéquipéedeliseuses, elle peut êtremiseenmodedecalibrageenappuyantsuret maintenantappuyéleboutondelalampedelecture decartegauchejusqu'àcequ'unCapparaissedans l'affichagedelaboussole.
Pourétalonnerlaboussole,fairedécrireàvotre véhiculedescerclesàunevitessemaximalede8km/h (5m/h),jusqu'àcequ'uncaps'afficheàl'écran.
Déclinaisonmagnétique
Lerétroviseurestréglépourlazonehuit. Sivousne vivezpasdanscettezoneouroulezendehorsde celle-ci, ladéclinaisondevraêtreadaptée à lazone appropriée.
Pourréglerladéclinaisonmagnétique, effectuerles étapessuivantes:
- Repérervotreemplacementactueletlenuméro dezone dedéclinaison magnétiquesurlacarte quisuit.

text_image
1 2 3 4 5 6 7 8 9 10 11 12 13 14 15-
Presseretmaintenir jusqu'àcequelalettreZ etqu'unnumérodezones'affichent.Laboussole estmaintenantenmodezone.
-
Unefoisquelenumérodezoneestaffiché, appuyezplusieursfoissur jusqu'àatteindre lenumérodezonecorrect. Relâcher etle rétroviseurretourneraufonctionnementnormal.
Rétroviseursextérieursàcommande électrique

Lescommandesélectriquesdesrétroviseursextérieurs setrouventsurlaporteduconducteur.
Pourréglerlesrétroviseurs:
- Déplacerlecommutateurdusélecteurversla gaucheouladroitepourchoisirlerétroviseurcôté conducteuroupassager.
- Déplacerlerétroviseurdansladirectiondésirée à l'aidedesflèchesdupavédecommande.
- Réglerchaquerétroviseurextérieurdemanièreà voirunpeulescôtésduvéhiculeetlazone derrièrecelui-ci.
Laisserlecommutateurdusélecteurenposition centralesiaucunajustementdesrétroviseursextérieurs n'esteffectué.
Silevéhiculeestéquipédelafonctionde mémorisation,ilestpossibledemémoriserune positionderétroviseurfavorite.Sereporteràla rubrique Siège,rétroviseursetvolantdedirectionà mémoireàlapage2-4.
Rabattremanuellements rétroviseurs pour réviter qu'ilssoientendommagés dans les slave-autos automatiques. Tirerler rétroviseur verslevéhicule. Pour les ramener à leur position d'origine, les repousser vers l'extérieur.
Rétroviseurextérieuràgradation automatique
Silevéhiculeestéquipédecettecaractéristique, lerétroviseurextérieurducôtéconducteurserègle afinderéduirel'éblouissementprovenantdesphares desvéhiculessetrouvantderrièrevous. Cette caractéristiqueestcontrôlééparlesréglagesdemise enfonctionethorsfonctiondurétroviseurintérieur.
Rétroviseurextérieurconvexe

AVERTISSEMENT:
Unrétroviseurconvexepeutfaireparaîtreles objets,commed'autresvéhicules,pluséloignés qu'ilsnelesont.Sil'ons'engagesurlavoiede droitetropbrusquement,onpeutheurterun véhiculeroulantàdroite.Regarderdansle rétroviseurintéieuroupardessussonépaule avantdechangerdevoie.
Lerétroviseurducôtépassagerestconvexe.
Sasurfaceestcourbéedefaçonàélargirlechamp devisionduconducteur.
Rétroviseursextérieurschauffants
(désembueurdelunettearrière): Appuyerpour chaufferlesrétroviseurs.
Pourplusd'informations, sereporteràlarubrique «Désembueurdelunette» danslasection Commande declimatisation automatique à deux zones à la page 4-24.
Systèmedetélécommande sansfilmaisonuniversel
SereporteràÉnoncédefréquenceradio àlapage8-23 pourlesinformationsrelativesàlaPartie15 desrèglementsdelacommissionfédérale descommunicationsdesÉtats-Unisetau RSS-210/211d'IndustrieetScienceCanada.
Lenuméroducertificatd'homologationd'équipementde laFCCestKOBFTE05A.
Lenumérod'identificationd'enregistrementcanadien est3521A-FTE05A.
Fonctionnementdusystèmede télécommandesansfilmaison universel

Lesvéhiculesdotésdecedispositifcomportent troisiodesrondes(DEL)au-dessusdesboutonsde l'émetteurdusystèmed'accueiluniverselàdistance.
Cesystèmepermetderemplacerjusqu'àtrois télécommandesutiliséespouractiverdesdispositifs telsqu'uneportedegarage,unsystèmedesécurité etunéclairagedelamaison.
Nepasutilisercesystèmeavecouvre-portedegarage quinepossèdepasdefonctiond'arrêtetdemarche arrière. Ceciincluttoutmodèled'ouvre-portedegarage fabriquéavantle1eravril1982.
Liretouteslesdirectivesavantdetenterdeprogrammer l'émetteur. Enraisondesétapesimpliquées, il peut s'avérerutiledebénéficier de l'assistance d'une autre personaucours del aprogrammation de l'émetteur.
Conserverlatélécommanded'originepourl'utilisation dans d'autres véhiculesetpouruneprogrammation future. Seulelatélécommanded'origineestnécessaire à laprogrammationducodefixe. Lesboutons programmés devraient être effacéslorsdela venteoudel'expiration du contrat delocation du véhicule. Consulter « Effacement des boutonsdela télécommande universelle » plus loindanscette section.
Lorsdelaprogrammationd'uneportedegarage,ilest recommandédelaisserlevéhiculehorsdugarage. S'assurerquepersonne,niaucunobjet,nesetrouve prèsdelaportedugarageoudumécanismedeportail àprogrammer.
Programmationdetélécommande maisonuniversel—Codedebrassage
Pourtoutrenseignementconcernantlaprogrammation dusystèmed'accueiluniverselàdistance,appelerle 1-866-572-2728ouallersurlesitelearcar2u.com.
Laplupartdesouvre-portedegaragevendus après 1996 sont des unités à codede brassage.
Laprogrammationd'unouvre-portedegarageimplique uneséquencetemporelle; il convientdoncdelirela descriptiondel'ensemble del améthode avant de commencer. Sivousnesuivezpasces consignes, le dispositif secoupera et vous devrezrépéterl'opération.
Pourprogrammerjusqu'àtroisdispositifs:
- PresserSTART(démarrage)ouplacerlevéhicule enmodeaccessoires.SereporteràPositionsdu commutateur d'allumage à lapage 3-25 pourde plusamplesinformations.
Laprogrammationpeutuniquementseproduire lorsquelevéhiculetourneouestenmode accessoires.

- Del'intérieurduvéhicule, pressersimultanément les deuxboutonsextérieurspendantune à deuxsecondespuislesrelâcherimmédiatement.

-
Localiser dans l'ouvre-portede garage (unitémoteur). Localiser lebouton «Learn» (apprentissage) ou «Smart» (mémoire). Il sétrouve habituellement près de la fixation du fil d'antennes suspendu à l'unitémoteur et peut être coloré. Presserce bouton. Vous avez ensuite moins de 30 secondespoure effectuer les étapes suivantes.
-
Retournerimmédiatementauvéhicule. Presser et maintenirleboutondelatélécommande universelleàutiliserpourcontrôlerlaportede garagejusqu'àcequecelle-cibouge. Letémoin placéau-dessusduboutonsélectionnédevrait clignoterlentement. Ilpeuts'avérernécessairede maintenirceboutonenfoncéjusqu'à20secondes.
- Relâcherimmédiatement, danslaseconde, leboutonquandlaportedegaragebouge. Letémoinclignoterapidementjusqu'àl'issue delaprogrammation.
- Presseretrelâcherànouveaulemêmebouton. Laportedegaragedoitsedéplacer, confirmant quelaprogrammationestterminéeetaréussi.
Pourprogrammerunautredispositifàcodede brassagetelqu'unouvre-portedegarage supplémentaire,undispositifdesécuritéouun systèmedomotique,répéterlesétapes1à6en choisissantàl'étape4unboutondefonctiondifférent deceluiutilisépourl'ouvre-portedegarage.
Sicesdirectivesnefonctionnentpas, l'ouvre-portede garageestprobablementuneunité à codefixe. Suivre les instructions de programmation ci-dessous destinées à unouvre-portedegarage à codefixe.
Programmationdelatélécommande domestiqueuniverselle—Codefixe
Pourtoutrenseignementconcernantlaprogrammation dusystèmed'accueiluniverselàdistance,appelerle 1-866-572-2728ouallersurlesitelearcar2u.com.
Laplupartdesouvre-portedegaragevendusavant 1996sontdesunitésàcodefixe.
Laprogrammatiod'unouvre-portedegarageimplique uneséquencetemporelle; il convientdoncdelirela descriptiondel'ensemble del améthode avant de commencer. Sivousnesuivezpasces consignes, le dispositif secoupera et vous devrezrépéterl'opération.
Pourprogrammerjusqu'àtroisdispositifs:
- PresserSTART(démarrage)ouplacerlevéhicule enmodeaccessoires.SereporteràPositionsdu commutateur d'allumage à lapage 3-25 pourde plusamplesinformations.
Laprogrammationpeutuniquementseproduire lorsquelevéhiculetourneouestenmode accessoires.

text_image
1 2 3 4 5 6 7 8 9 10 11 12 CT5 206-12 T124 EBER604- Pour vérifiersil'ouvre-portedegarageestàcode fixe, retirerlecouvercledelapiledel'émetteur portatiffourniparleconstructeur dumoteurde votreuvre-portedegarage. Sivousvoyezune rangéedecommutateursDIPsemblablesau graphiqueci-dessus, vousavezunouvre-porte degarage à code fixe. Sivousnevoyezpasde rangéedecommutateursDIP, retournezàla sectionprécédente, sousProgrammationd'un émetteurdesystèmed'accueiluniverselà distance-Codedebrassage.
Latélécommande peut être équipée de 8 à 12 contacteurs selon lamarquedela télécommande.
Lerécepteur d'ouvre-portedegarage (unitéde têtedemoteur) peut également présenter une rangée de commutateurs DIP quipeuvent être utilisépendant laprogrammation dusystème d'accueil universelà distance. Silenombretotal descommutateurs delatêtedemoteurdiffère deceluidelatélécommande, ousilespositions decommutateurs ontdifférentes, utiliser les paramétrages descommutateurs delatêtede moteur pour programmervotresystèmed d'accueil universelà distance. Les paramétrages des commutateurs delatêtedemoteur peuvent également être utilisés quand vous nepossédez pas latélé commanded d'origine.

text_image
1 2 3 4 5 6 7 8| Numéro de commutateur | 1 | 2 | 3 | 4 | 5 | 6 | 7 | 8 |
| Position de commutateur | Marche | Marche | Amût | Marche | Amût | Marche | Amût | Amût |
| Bouton de votre télécommande universelle | Gauche | Gauche | Droit | Gauche | Droit | Gauche | Droit | Droit |

text_image
1 2 3 4 5 6 7 8| Numéro de commutateur | 1 | 2 | 3 | 4 | 5 | 6 | 7 | 8 |
| Position de commutateur | Marche | Marche | Neutre | Neutre | Arrêt | Arrêt | Arrêt | Arrêt |
| Bouton de votre télécommande universelle | Gauche | Gauche | Milieu | Milieu | Droit | Droit | Droit | Droit |
ExempledehuitcommutateursDIPàdeuxpositionsExempledehuitcommutateursDIPàtroispositions
Lepanneaudecommutateurspeutnepas exactementcorrespondreàceluillustrédansles exemplesci-dessus, maisdevraitêtresimilaire.
Lespositionsdescommutateursdevotreémetteur portatifpeuventêtreétiquetéescommesuit:
- Uncommutateurenpositionhautepeutêtre étiqueté «Haute», «+» ou «Marche».
- Uncommutateurenpositionbassepeutêtre étiqueté «Verslebas», «—» ou «Arrêt».
-
Uncommutateurenpositionmédianepeutêtre étiqueté «Milieu», «0» ou «Neutre».
-
Copierlespositionsdeshuitàdouze commutateursdegaucheàdroite, commesuit:
-
Lorsqu'uncommutateurestenpositionhaute, inscrire «Gauche».
- Lorsqu'uncommutateurestenpositionbasse, inscrire « Droit ».
-
Lorsqu'uncommutateurestentrelaposition hauteetlapositionbasse, inscrire «Milieu».
Lesréglagesdecommutateursretranscrits à l'étape3serontlesfrappesdeboutonà saisiràl'étape5surl'émetteuruniversel. Veilleràentrerlesréglagesdecommutateurs retranscrits à l'étape3dansl'ordre, degauche àdroite, dans l'émetteurdusystèmed'accueil universelàdistancelorsdel'exécutionde l'étape5. -
Del'intérieurduvéhicule, commencerparpresser fermementlestroisboutonssimultanément pendanttroissecondesenviron. Relâcherles boutonspourplacerl'émetteurdusystème d'accueiluniverselàdistanceenmodede programmation.

text_image
Gauge + (Marche) Mlleu o (Neutre) Droit - (Arrêt)-
Lestémoinsclignotentlentement. Entrerchaque réglagetranscrità l'étape3 dans l'émetteurde systèmed'accueiluniverselàdistance. Vousavez deux minutesetdemiepourexécuterl'étape5. Presserunboutondel'émetteuruniverselpour chaqueréglagedecommutateur, commesuit:
-
Sivousavezécrit «Gauche», presserle boutongauchedevotrevéhicule.
- Sivousavezécrit « Droit », presserlebouton droitdevotrevéhicule.
-
Sivousavezécrit «Milieu», presserlebouton dumilieudevotrevéhicule.
-
Après l'entrée detoutes les positions de commutateur, presser et relâchers simultanément lestrois boutons. Letémoins allume.
- Presseretmaintenirleboutondelatélécommande universelleàutiliserpourcontrôlerlaportede garagejusqu'àcequecelle-cibouge. Letémoin placéau-dessusduboutonsélectionnédevrait clignoterlentement. Ilpeuts'avérernécessairede maintenirceboutonenfoncéjusqu'à55secondes.
- Relâcherimmédiatementleboutonquandla portedegaragesedéplace. Letémoinclignote rapidementjusqu'àl'issuedelaprogrammation.
- Presseretrelâcherànouveaulemêmebouton. Laportedegaragedoitsedéplacer, confirmant quelaprogrammationestterminéeetaréussi.
Pourprogrammerunautredispositifàcodefixetel qu'unouvre-portedegaragesupplémentaire, un dispositifdesécuritéouunsystèmedomotique, répéter lesétapes1 à 9 enchoisissant à l'étape 7 unboutonde fonctiondifférent deceluiutilisé pour l'ouvre-portede garage.
Utilisationdusystèmed'accueil universelàdistance
Appuyersurleboutonappropriédel'émetteur etlemaintenirenfoncépendantaumoins unedemi-seconde. Letémoins'allumependant latransmissiondusignal.
L'opérationpeuts'effectuer:
• Silevéhiculeestenmodeaccessoires.
• Silevéhiculeestenfonctionnement.
- Silevéhiculeestenmodedeprolongation d'alimentationdesaccessoires(RAP).Sereporter àProlongationd'alimentationdesaccessoires à la page3-26 pourdeplusamplesinformations.
- Jusqu'à10minutesaprèslafindumodeRAP.
- Jusqu'à 10 minutes après l'ouverture d'uneporte.
Reprogrammationdesboutonsde télécommandemaisonuniversel
Chacundestroisboutonspeutêtrereprogramméen répétantlesinstructions.
Effaçagedesboutonsdusystème d'accueiluniverselàdistance
Laprogrammationdesboutonsdevraitêtreeffacée lorsquelevéhiculeestvenduouàl'expirationdu contratdelocation.
Poureffaceruncodedebrassageouunicodefixedela télécommande:
- Maintenirenfoncéssimultanémentles deuxboutonsextérieurspendantenviron 20secondesjusqu'àcequelestémoins placésdirectementau-dessusdesboutons commencentàclignoterrapidement.
- Lorsquelestémoinscommencentàclignoter, relâcherlesdeuxboutons. Lescodesdes deuxboutonssonteffacés.
Pouruneassistanceoudesinformationsrelativesau systèmed'accueiluniverselàdistance,appelerle numéroducentred'assistanceclientèlefigurantsous Bureauxd'assistanceàlaclientèleàlapage8-6.
Compartimentsderangement
Boîteàgants
Pourouvrirlaboîteàgants, souleverlelevier. Utiliserla clépourverrouilleroudéverrouillerlaboîteàgants.
Porte-gobelets
Deuxporte-gobeletssetrouventsurlaconsolecentrale àcôtédulevierdevitesses.Faireglisserlapoignéede gaucheàdroitepouraccéderaucouvercle.
Rangementdeconsolecentrale
Pourutilisercecompartimentderangement, souleverle couvercledubordavantdelaconsole, côtéconducteur, etlepousserducôtépassager.
Tapisdeplancher
Lestapisdeplanchersontconçusdemanièreàrester enplacesouslespiedsethorsdeportéedelapédale d'accélérateur. Letapisdeplancherducôtéconducteur estmaintenuenplacepardeuxcrochetsdefixation, alorsqueceluiducôtépassagern'estretenuquepar unseulcrochet.
S'assurerqueletapisdeplancherducôtéconducteur estcorrectementenplacesurleplancheretqu'il n'entravepaslemouvementdel'accélérateur.
Commentenleveretreplacerlestapis deplancher

Pourréinstallerlestapisdeplancher, alignerses ouverturesaveclescrochetsdefixationetpousserles tapisenplace.
Compartimentderangementarrière
Ilyatroiscompartimentsderangementdansle plancherduhayon/coffrearrière.

Décapotableillustrée, coupésimilaire
Pouraccéderàuncompartimentderangement, souleverlecouverclepourl'ouvrir.Lescouvercles nesontpasamovibles.
SurlesmodèlesZ06,ZR1etGrandSport,le compartimentarrièredroitcontientlabatterieet nepeutêtreutilisépourlerangement.
Remarque:Nepasrangerdesobjetslourdsou tranchantsdanslescompartimentsderangement arrièresituésdanslasectionduhayon/coffre.Ces objetspourraientendommagerlesoubassement.
Séparationducoffrearrière
Pourlesvéhiculeséquipésdel'optiondetoit décapotableélectriqueuniquement, lecoffrecomporte unecloisonpermettantdeséparerlecontenuducoffre dutoitdécapotable. Cetteséparationdecoffredoitêtre enplacepourqueletoitdécapotablefonctionne. Sila séparationdecoffren'estpascorrectementfixée, le messageATTACHTRUNKPARTITION(attacherla cloisonducoffre)s'affichesurleCIB.Pourplus d'informations, sereporterâlarubrique Centralisateur informatiquedebord-Avertissementsetmessages page4-57.
Laséparationdecoffreestuneplancheplate recouvertedemoquetteavecunrabathorizontalqui peutsefixeraudessusducoffrepourdiviserle compartimentderangement,ouserangerà l'horizontalequandellen'estpasutilisée.

Tirerlaséparationverslehautetl'enclenchersurles fixationsdesdeuxcôtésducoffre.
Filetd'arrimage
Utiliserlefiletdecommoditéplacéàl'arrière, pour rangerdeschargeslégèresleplusenavantpossible. Le filet ne doit pas être utilisé pour ranger des charges lourdes.
Cache-bagages
Sivotrevéhiculeenestéquipé, lepanneaudesécurité permetdecacherlecontenudelasectionarrièredu véhicule. Lepanneauestégalementutilepourbloquer leséblouissementsproduitsparletoitamoviblelorsqu'il estrangédanslecompartimentarrière.
Utilisationdelahousseducompartiment utilitaire

-
Accrocherlesanneaux élastiquesdescoins avant(A)dupanneau auxécrousenTtsitués surlescoinsavantdu cadredehayonarrière.
-
Accrocher les anneaux élastiques des coins arrière (B) dupanneaux aux crochets en retrait à l'intérieur du cadre de hayon arrière, près des coins arrière.

- Attraperlaboucleaucentrearrièreredel'écranet l'enroulerautourdel'ensembledebutoir.

- Pousserlaboucle verslehautdubutoir (plaqueinférieure).
Panneaudepavillon
Surdesvéhiculeséquipésd'unpanneaudetoit ouvrant, suivrelesprocéduresdécriteslorsdu démontageoudel'installationdupanneau.
Déposedupanneaudepavillon

AVERTISSEMENT:
Nepastenterderetirerunpanneaudetoiten roulant,aurisqued'accident. Lepanneaurisque detomberdanslevéhicule,vousenfaireperdre lecontrôleouencores'envoleretheurterun autrevéhicule,aurisquedeblessures. Retirerle panneaudetoituniquementlorsquelevéhicule estenstationnement.
Sivousn'êtespassûrdepouvoirlefaireseul, demanderl'aidedequelqu'unpourretirerlepanneau depavillon.
Remarque:Sil'onéchappeouqu'onlaisse reposerlepanneaudepavillonsursesrebords,le panneaudepavillon,lapeintureoulecaoutchouc d'étanchéité peuvent subir des dommages. Toujours positionnerlepanneaudepavillondansles récepteurs de rangement après l'avoir enlevé du véhicule.
- Stationner sur une surface plane, et serrer le frein destationnement.Mettrelaboîtedevitesses automatiqueenpositiondestationnement(P). Pouruneboîtemanuelle,mettrelaboîtedevitessesaupointmort(N).
- S'assurerquelecontactsoitcoupé.
3.Abaisserlesdeuxpare-soleil. - Ouvrirlehayonarrièreetretirertousleséléments quipeuventnuireaurangementcorrectdu panneaudepavillon.
5.Abaisserlesglaces. Ilexistedeuxloquetsdedéblocage à l'avant du panneaudepavillonetunloquetdedéblocage à l'arrière redupanneaudepavillon.

- Pour déverrouiller les loquets dedé blocage à l'avant dupanneaude pavillon, saisir chaque poignée et latirervers l'extérieur.

Lapoignéeducôtéconducteursedéplaceversla porteconducteur. Lapoignéeducôtépassagerse déplaceverslaportepassager.

text_image
A B-
Pour déverrouiller l'arrière reduloquet dedé blocagedu panneaudepavillon, appuyersurl'arrière delapoignée de dé blocage(B). Appuyer ensuite avec votre poucesurlebouton à l'avant delapoignée dedé blocage(A).
-
Setenird'uncôtéduvéhiculeet, encasdebesoin, demanderàquelqu'undesetenirdel'autrecôté. Ensemble, souleveravecprécautionlebordavant dupanneaudepavillonetverslehautetvers l'avant.
-
Unefois lepanneau audégagéduvéhicule, une personnedevraitsaisirlepanneau depavillonle plus près possible du centreduvéhicule et le souleveren l'éloignant duvéhicule.
Tirerlelevierduloquetverslebas.
Rangementdupanneaudepavillon

AVERTISSEMENT:
Silepanneaudetoitn'estpasrangé correctement, il peut être projeté dans une collision ou un en mano euvre brusque. Des occupants du véhicule peuvent être blessés. Chaquefois que vous rangez le panne audetoit dans lé véhicule, s'assurer des on rangements sûr à l'endroit correct.
Remarque: Sil'onéchappeouqu'onlaisse reposerlepanneaudepavillonsursesrebords, lepanneaudepavillon, lapeintureoulecaoutchouc d'étanchéitépeuventsubirdesdommages. Toujours positionnerlepanneaudepavillondansles récepteurs derangement après l'avoirenlevédu véhicule.
- Tournerlepanneaudepavillondesortequele côtéavantdupanneausoitorientéversle compartimentderangement.

- Insérerlepanneau pavillondesorteque lesbordsextérieurs avantsoientalignés aveclesprotections desrécepteurs. Pousserlepanneau depavillonversl'avant jusqu'àcequ'ils'arrête.

- Abaisserdoucementle panneaudepavillon desortequelesaxes arrièredupanneau depavillonsemettent enplacedansles récepteursdufond ducompartiment de rangement.
Enfoncerfermementpourengagerlesaxesdansles récepteurs.
Installationdupanneaudepavillon

AVERTISSEMENT:
Unpanneaudetoitmalfixépeuttomberdansle véhiculeous'enéchapper. Cecipourraitblesser. Aprèsl'installationdupanneaudutoit,toujours vérifiersafixationenappuyantsurledessousdu panneau.S'assurerdelafixationdupanneauen place.
Remarque: Sil'onéchappeouqu'onlaisse reposerlepanneaudepavillonsursesrebords, lepanneaudepavillon, lapeintureoulecaoutchouc d'étanchéitépeuentsubirdesdommages. Toujours positionnerlepanneaudepavillondansles récepteurs derangement après l'avoirenlevédu véhicule.
Danslaplupartdescas,ilestplusaiséd'êtreàdeux pourremettreenplacelepanneaudepavillon.
- Stationnersurunesurfaceplane,etserrerlefrein destationnement.Mettrelaboîtedevitesses automatiqueenpositiondestationnement(P). Pouruneboîtemanuelle,mettrelaboîtedevitessesaupointmort(N).
- Vérifierquelesloquetsdedéblocageavantet arrièred'ouverturedutoitduvéhiculesoienten positionouverteavantd'essayerd'installerle panneaudepavillon.
- Pourretirerlepanneaudepavillondu compartimentderangementarrièreduvéhicule, souleverlerebordarrièreetleretirerdu compartimentderangement.
- Placersoigneusementlepanneaudepavillonsur ledessusduvéhicule.
- Placerl'arrièredupanneaudepavillonsurle profiléd'étanchéitéàl'arrière del'ouverturedu toit. Ensuite, aligneretmettreenplacelesaxes àl'arrièredupanneaudepavillondansles ouverturesdesprofilésd'étanchéitéarrière. Abaisserdoucementlapartieavantdupanneau depavillonsurledevantdel'ouverturedu toit.

-
Tournerlespoignées avantdedéblocage versl'intérieur pour qu'elless'enclenchent enpositionfermée.
-
Appuyersurlapoignéearrièrededéblocagedu toitpourenclenchersoncrochetenposition fermée.
- Saisirlepanneaudepavillonetletirerversle haut, verslebasetlatéralementpours'assurer qu'ilestsolidementinstallé.
Toitdécapotable
Toitdécapotable(Manuelle)
Pourl'entretienetlenettoyagedutoit, sereporterà la section Toitdécapotable àlapage6-114 delarubrique «Entretienetsoinscosmétiques». Leslavages de voitures à hautepression peuventengendrerdesfuites d'eaudanslevéhicule.
Silevéhiculeestéquipédecettecaractéristique,les procéduresquisuiventexpliquentlefonctionnement appropriédutoitdécapotablemanuel.
Lespartiesdutoitdécapotablemanuelutiliséespour sonouvertureetsafermeturesont:

text_image
A B CA. Bordavantdelacapote
B. Bordarrièredelacapote
C.Couvercleducompartimentderangementdetoit
Remarque:Laisserletoitabaisséalorsquele véhiculeestexposéauxconditionsextérieures peutcauserdesdommages.Toujoursfermerle toitdécapotablelorsquelevéhiculeestlaissé à l'extérieur.
Remarque:Sil'onabaisseletoitdécapotable alorsqu'ilyadesobjetsdanslecompartimentde rangement, celapeutendommagerletoitoucauser lebrisdelalunettearrière. Toujoursd'assurer qu'iln'yapasd'objetsdanslecompartimentde rangementavantd'abaisserletoitdécapotable.
Remarque: Abaisserletoitalorsqu'ilesthumide, détrempéousalepeutcauserdestachesoudela moisissure, etendommagerl'intérieurduvéhicule. Biensécherletoitavantdel'abaisser.
Remarque:Sivousouvrezletoitdevotrevéhicule partempsfroid(-18°C/0°Foumoins),vousrisquez d'endommagerlescomposantsdutoit.Nepas ouvrirletoitlorsqu'ilfaitfroid.
Remarque:Sivousouvrezoufermezletoit décapotablelorsquelevéhiculeestenmouvement, vousrisquezd'endommagerletoitoulemécanisme dutoit.Danscecas,lesréparationsneseraient pascouvertesparlagarantie.Avantd'ouvrirou defermerletoitdécapotable,toujoursembrayer laboïtedevitessesautomatiqueàlapositionde stationnement(P)oulaboïtedevitessesmanuelle àlapositiondepointmort(N).
Abaissementdutoitdécapotablemanuel
-
Stationnerlevéhiculesurunesurfaceplane. En casdeboîtedevitessesautomatique, placerle levier en position de stationnement (P) et serrer lefreindestationnement. Encasdeboîtede vitessesmanuelle, placerlelevieraupoint mort(N)etserrerlefreindestationnement.
-
S'assurerquelecontactsoitcoupé.
-
Vérifiersilecoffreestfermé.

- Leloquetsupérieurduoit, situéau-dessusde rétroviseurintérieur, doitêtredéverrouillé. Tirer verslebasleloquetsupérieurduoit, etletourner danslesensdesaiguilles d'unemontrepourle déverrouiller.

text_image
A B C- Souleverlebordavant(A) dutoitdécapotablede l'encadrementdupare-brise. Souleverensuitele bordarrière(B) dutoitdécapotabledemanière à cequ'ilsoitàlaverticaleparrapportaucouvercle ducompartimentderangement(C). Lesbords avant(A) etarrière(B) doiventêtredroits.

- Inclinervers l'avantledossierdusiègeconducteur et appuyersurleboutond'ouvertureducouvercle ducompartiment derangementsituéau-dessous ducouvercleducompartiment derangement (C) derrièrelesiègeconducteur. Souleverensuitele couvercleducompartiment derangement (C). Silecouvercleducompartiment derangementes s'ouvrepasetquetroiscarillonssefontentendre, s'assurerquelecouvercleducoffresoitbien fermé. Demême, lecouvercleducompartiment derangementes ouvrirapassil'alarmeestmise.
Aprèsavoirappuyésurleboutondedéblocage, lesglacesdesportesduconducteuretdu passagerdevraientsebaissercomplètement.
Silabatterieestfaible, lecouvercledu compartimentderangement(C) pourratoujours s'ouvriraumoyenducâbled'ouverturemanuelle.
Lecâbled'ouverturemanuelled'urgence du couvre-toitsetrouvesousletapis, derrière l'appuie-têtedusiègepassager, souslerebord avantducouvre-toit. Pour accéderaucâble, souleveretretirerletapis. Pour plusd'informations surlapoignéededéverrouillaged'urgence du coffre, se reporter également à la rubrique Coffre à lapage 3-15.
Remarque:Siletoitdécapotableestabaissédans lecompartimentderangementetquelerebord arrièreduutoitn'estpasenpositioncomplètement abaissée,letoitpeutsubirdesdommages.Toujours vérifierquelerebordarrièreduotoitdécapotableest enpositioncomplètementabaisséeavantd'abaisser letoitdanslecompartimentderangement.

- Tirersurlecâblepourouvrirlecouvre-toit.

text_image
A B- Pousservers l'avantsurlebordavant (A) dela capote afindepouvoir déplacerlebordarrière (B) delacapoteen position complètement abaissée.

text_image
A B9.Mettreensuitelapartiearrièredelacapoteàsa positionentièrementrangée.
-
Unefois lacapot erangée, appuyer uniformément sur le cent redubord avant (A) del acpot pour vous assurer quel acapote est bien rentrée.
-
Fermerlecouvercleducompartimentde rangement(B)enappuyantdessusd'un mouvementfermeetrapide.
Relèvementdutoitdécapotablemanuel
- Stationnerlevéhiculesurunesurfaceplane. Encasdeboîtedevitessesautomatique, placer lelevierenpositiondestationnement(P)etserrer lefreindestationnement. Encasdeboîtede vitessesmanuelle, placerlelevieraupointmort(N) etserrerlefreindestationnement.
- Abaisserlesdeuxglaces.
- S'assurerquelecontactsoitcoupé.
- Inclinerversl'avantlesiègeconducteuretappuyer surleboutond'ouvertureducompartimentde rangement, ouutiliserlecâbled'ouverture manuellesilabatterieestfaible. Sereporteràla sixièmeétapedelarubrique « Ouverturedutoit décapotablemanuel » plushautdanscette section.
Quandonappuiesurleboutondedéblocage,les glacesdesportesduconducteuretdupassager doiventdescendrecomplètement,siellesn'étaient pasdéjàdescendues.
- Souleverlecouvercleducompartimentde rangement.

- Souleverlebordarrière(B)delacapotejusqu'au maximumdesacourse,ensoulevantd'abordle bordavant(A).
-
Fermerlecouvercleducompartimentde rangement(C)enappuyantdessusd'un mouvementfermeetrapide.
-
Abaisserlebordarrière(B) delacapoteen poussant d'abordlégèrementsurlebordavant(A) delacapotevers l'avant.
-
Abaisserlebordavant(A)delacapotede l'extérieurduvéhiculeoutirerlebordavant(A)de lacapoteverslebasaveclapoignéecentralequi setrouveàl'intérieurduvéhicule.

Pourobtenirdesrenseignementsssurl'entretienet lenettoyagedutoitdécapotable, sereporterà Toit décapotable àlapage6-114 souslarubrique«Entretien généraletesthétique». Leslave-autosutilisantdes systèmesàhautepressionpourraientfairepénétrer del'eaudanslevéhicule.
Pourfairefonctionnerletoitdécapotableélectrique, suivrelesétapessuivantes.
Remarque: Laisser le toit abaissé alors que le véhiculeestexposéauxconditionsextérieures peutcauserdesdommages.Toujoursfermerle toitdécapotablelorsquelevéhiculeestlaissé à l'extérieur.
Remarque:Sil'onabaisseletoitdécapotable alorsqu'ilyadesobjetsdanslecompartimentde rangement,celapeutendommagerletoitoucauser lebrisdelalunettearrière.Toujoursd'assurer qu'iln'yapasd'objetsdanslecompartimentde rangementavantd'abaisserletoitdécapotable.
Remarque: Abaisserletoitalorsqu'ilesthumide, détrempéousalepeutcauserdestachesoudela moisissure, etendommagerl'intérieurduvéhicule. Biensécherletoitavantdel'abaisser.
Remarque:Sivousouvrezletoitdevotrevéhicule partempsfroid(-18°C/0°Foumoins),vousrisquez d'endommagerlescomposantsdutoit.Nepas ouvrirletoitlorsqu'ilfaitfroid.
Remarque:Sivousouvrezoufermezletoit décapotablelorsquelevéhiculeestenmouvement, vousrisquezd'endommagerletoitoulemécanisme dutoit.Danscecas,lesréparationsneseraient pascouvertesparlagarantie.Avantd'ouvriroude fermerletoitdécapotable,toujoursembrayerla boîtedevitessesautomatiqueàlapositionde stationnement(P)oulaboîtedevitessesmanuelle àlapositiondepointmort(N).
Abaissementdutoitdécapotableélectrique
-
Stationnerlevéhiculesurunesurfaceplane. Démarrerlemoteur. Encasdeboîtedevitesses automatique, placerlelevierenposition destationnement(P) et serrerlefreinde stationnement. Encasdeboîtedevitesses manuelle, placerlelevieraupointmort(N) et serrerlefreindestationnement.
-
S'assurerquelecoffreestfermé, quelacloison ducompartimentderangementarrièreestfixée enpositionverticaleet qu'aucunobjetnese trouvedevantlacloison. Sereporteràlarubrique « Séparationducoffrearrière » danslasection Compartimentderangementarrière à la page 3-56.

- Dégagerleloquetavantdutoitdécapotable, situé au-dessusdurétroviseurintérieur, enletiranteten letournant dans lesensdesaiguilles d'unemontre verslaportedu conducteur. Pousserlerebord avant verslehaut. Lesglacess'abaissent automatiquement.

Lesglacess'abaisserontautomatiquementetletoit décapotableserétracteraàl'arrièrereduvéhicule. Uncarillonretentiralorsqueletoitdécapotablesera complètementbaissé. Silaradioestallumée, leson pourraêtremisensourdinependantunbrefmoment pendantlechargementd'unnouveauréglage d'égalisationdusystèmeaudio.
- Appuyersurlapartie inférieuredubouton dutoitdécapotable électrique, situé à gaucheduvolant de directionsurletableau debord, etlamaintenir enfoncée.
Sivousfaitesfonctionnerletoitdécapotableàplusieurs reprises, lemoteurdoittournerpouréviterquela batterieduvéhiculenes'épuise. Danscertaines conditions, lecentralisateurinformatiquedebord(CIB) afficheunmessageausujetdutoitdécapotable électrique. Sereporteràlarubrique Centralisateur informatiquedebord-Avertissementsetmessages page4-57 pourplusderenseignements.
à la
Relèvementdutoitdécapotableélectrique
Remarque:Sivousouvrezoufermezletoit décapotablelorsquelevéhiculeestenmouvement, vousrisquezd'endommagerletoitoulemécanisme dutoit.Danscecas,lesréparationsneseraient pascouvertesparlagarantie.Avantd'ouvriroude fermerletoitdécapotable,toujoursembrayerla boîtedevitessesautomatiqueàlapositionde stationnement(P)oulaboîtedevitessesmanuelle àlapositiondepointmort(N).
-
Stationnerlevéhiculesurunesurfaceplane. Démarrerlemoteur. Encasdeboîtedevitesses automatique, placerlelevierenposition destationnement(P)etserrerlefreinde stationnement. Encasdeboîtedevitesses manuelle, placerlelevieraupointmort(N)et serrerlefreindestationnement.
-
S'assurerquelecoffreestfermé, quelacloison ducompartimentderangementarrièreestfixée enpositionverticaleet qu'aucunobjetnese trouvedevantlacloison. Sereporteràlarubrique « Séparationducoffrearrière » danslasection Compartimentderangementarrière à la page 3-56.
- Appuyersurlapartiesupérieureduboutondutoit décapotableélectriqueetlamaintenirenfoncée. Letoitsefermeraetlesglacess'abaisserontsi ellesétaientmontées. Uncarillonretentiralorsque letoitseracomplètementfermé.
- Aprèsavoirouvertcomplètementletoit décapotable, relâcherleboutondutoit décapotableélectrique.
- Abaisserleloquetavantdutoitdécapotableetle tournerverslagauchepourverrouillerletoit décapotable.

Si la radio est allumée, le son pourra être mis en sourdinependantunbrefmomentpendantle chargementd'unnouveauréglaged'égalisation dusystèmeaudio.
Sivotrevéhiculen'estplusalimenté, vous pouvez néanmoinsfermerletoitdécapotableenrelâchant lapressiondelapompehydraulique, situéesousle couvre-toit, côtépassager. Pourcefaire, procéder commesuit. Vous devezreplierletapiscôtépassager pouraccéderàlapompehydraulique.
Unemanipulationmanuelledutoitdécapotableassisté nepeutêtretentéependantlescingqminutessuivantla dernièrepressionsurleboutondelacapotesicelle-ci n'étaitpasentièrementabaisséeetrangée,couvre-toit verrouillé,ourelevée,loquetsupérieuravantenplace, aumentoùleboutondelacapoteaétérelâché.

- Ouvrirlecouvre-toitentirantlecâbled'ouverture d'urgence.
Lecâbled'ouvertured'urgenceducouvre-toitse trouvederrièrel'appuie-têtedusiègepassager, souslebordavantducouvre-toit.Pourplus
d'informationssurlapoignéededéverrouillage d'urgenceducoffre, sereporterégalement à la rubrique Coffre à la page 3-15.
Êtreprudentlorsdel'ouverturemanuelledu couvre-toit. Sivousouvrezrapidementle couvre-toit, vous risquez d'endommagerle mécanismedescharnièresetainsiempêcher lebonfonctionnement dutoit décapotable.

-
Repérerleboulondedécharge à l'avantdela pompehydraulique.
-
Àl'aidedelaclésituéedanslaconsole, tournerle boulondedécharged'untourverslagauchepour relâcherlapressionsurlapompehydraulique. Celavouspermetdefermermanuellementletoit décapotable.
- Suivreensuitelesétapesdécritespourfermer manuellementletoitdécapotable. Sereporterà «Toitdécapotable(manuel)» souslarubrique Toit décapotable(Manuelle) àlapage3-65 ou Toit décapotable(Alimentation) àlapage3-73.
Lorsquelevéhiculeestdenouveaualimenté, leboulon delapompehydrauliquedoitêtreserréenletournant versladroite. Leboutondutoitdécapotableélectrique peutparlasuiteêtreutilisépourouvriroufermerletoit décapotable.
Sivousfaitesfonctionnerletoitdécapotableàplusieurs reprises, lemoteurdoittournerpouréviterquela batterieduvéhiculenes'épuise. Dans certaines conditions, lecentralisateurinformatiquedebord(CIB) afficheunmessageausujetdutoitélectrique. Se reporteràlarubrique Centralisateurinformatiquede bord-Avertissementsetmessages àlapage4-57 pour plusderenseignements.
Silabatterieestdébranchée, vous devez initialiser les glacesélectriques pour que le to it é c t rique fonctionne. Pour plus d'informations, sereporter à larubrique Glacesélectriques à lapage 3-19.
Section4Tableaudebord
Aperçudutableaudebord....4-3
Feuxdedétresse....4-3
Klaxon....4-3
Volantinclinable....4-3
Levierdesclignotants/multifonctions......4-4
Signauxdechangementdedirectionetde changementdevoies(Signalautomatique)...4-5
Commandedefeuxderouteetfeuxde croisement....4-5
Clignotantdedépassement....4-6
Essuie-glacesdepare-brise....4-6
Régulateurdevitesseautomatique....4-7
Éclairageextérieur....4-12
Pharesactivésparlesessuie-glaces......4-13
Rappeldepharesallumés....4-13
Feuxdecirculationdejour(FCJ)......4-13
Pharesantibrouillard....4-15
Economiseurdebatteried'éclairage extérieur....4-16
Intensitéd'éclairagedutableaudebord.....4-17
Éclairaged'accueil....4-17
Éclairaged'entréeetdesortie....4-17
Protectionantidéchargedelabatterie......4-18
Affichageâtêtehaute(HUD)......4-18
Prisesélectriquespouraccessoires......4-22
Cendriersetallume-cigarette....4-23
Commandesdelaclimatisation....4-24
Commandedeclimatisationautomatiqueàdeux zones....4-24
Réglagedebouchedesortie....4-29
Filtreàairdel'habitacle....4-30
Feuxdedétresses,jaugesettémoins....4-31
Ensembled'instruments....4-32
Indicateurdevitesseetcompteur kilométrique....4-34
Tachymètre....4-34
Rappelsdeceinturedesécurité....4-34
Témoindesacgonflableprêtàfonctionner (AIRBAG)....4-35
Témoindel'étatdusacgonflabledu passager....4-36
Indicateurdevoltmètre......4-37
Témoindepassagedelapremièreàla quatrièmevitesse(Boîtedevitesses manuelle)....4
Témoindusystèmedefreinage....4-38
Témoindesystèmedefreinageantiblocage... 4-39
Témoindusystèmedetractionasservie.....4-40
Témoindudispositifd'assistancevariable.....4-40
Section4Tableaudebord
Indicateurdetempératureduliquidede refroidissementdumoteur....4-41
Témoindepressiondespneus....4-42 Témoind'anomalie....4-42
Manomètredepressiond'huiledumoteur.....4-46
Témoindesécurité....4-47
Témoindepharesantibrouillard....4-47
Rappeldepharesallumés....4-48
Témoindefeuxderoute....4-48
Jaugedecarburant....4-48
Jaugedesurpression(ZR1uniquement)......4-49
Centralisateurinformatiquedebord(CIB).....4-50
Fonctionnementetaffichagesducentralisateur informatiquedebord....4-50
Centralisateurinformatiquedebord-Avertissementsetmessages....4-57
Autresmessages....4-79
PersonnalisationCIBduvéhicule......4-81
Systèmesaudio....4-92
Réglagedel'horloge....4-92
Autoradio(s)......4-93
Al'aided'unMP3....4-106
MessagesautoradioXM....4-109
Systèmedenavigation/radio....4-110
Bluetooth ^MD 4-110
Commandesaudiointégréesauvolantde
direction....4-122
Réceptionradio....4-123
Dispositifd'antenneàréceptionsimultanée...4-124
Systèmed'antenneautoradio
satelliteXM™ 4-124
Aperçudutableaudebord
Feuxdedétresse
Lesfeuxdedétresseavertissentlesautresquevous avezunproblème. Leurboutonsetrouveprèsdu centredutableaudebord.
△ : Presser pour faire clignoter les feux de direction avantetarrière. Pourlesarrêter, presserànouveau.
Lesfeuxdedétressefonctionnentàtouteslespositions ducommutateur d'allumage, mêmesilecontactest coupé.
Quandlesfeuxdedétresseclignotent,lesclignotants nefonctionnentpas.
Klaxon
Appuyersurouàcôtédessymbolesdeklaxonsitués surlerembourrageduvolantpourklaxonner.
Volantinclinable

Leleviersetrouvesurlecôtégauchedelacolonnede direction. Pour réglerlevolant:
- Tirerlelevierverssoi.
- Déplacerlevolantverslehautoulebasàune positionconfortable.
- Relâcherlelevierpourverrouillerlevolanten place.
Colonnededirectiontélescopique

Lecommutateurde colonnededirection télescopique(option)se trouveducôtédroitdela colonnededirection.
Pourréglerlacolonnededirectiontélescopique:
-
Pousserlecommutateurversl'avantpouréloigner levolant.
-
Tirerlecommutateurversvouspourrapprocherle volant.
Lapositiondelacolonnetélescopiquepeutêtre mémoriséeavantvosréglagesdemémoire.Sereporter à Siège, rétroviseursetvolantdedirectionamémoire lapage2-4 pourplusderenseignements.
à
Levierdesclignotants/multifonctions

text_image
AUTO EDGELeleviersituésurlecôtégauchedelacolonnede directioncommandelesfonctionssuivantes:
→: Signaux de changement de direction et de changementdevoies
ID: Inverseurdefeuxderoute/feudecroisement
0:Pharesantibrouillard
:Régulateurdevitesse
:Commanded'éclairageextérieur
- Caractéristiqueavertisseurdedépassement. SereporteràClignotantdedépassement à la page4-6.
L'informationrelativeàcesfonctionsfiguredansles pagessuivantes.
Signauxdechangementde directionetdechangementdevoies (Signalautomatique)

Uneflèchesituéedansle grouped'instruments du tableaudebordclignote pourindiquerladirection duchangementde directionoudevoie.
Poursignalerunvirage, leverouabaisser complètementlelevier.
Poursignalerunchangementdevoie, leverou abaisserlelevierjusqu'àcequelaflèchesemette àclignoter. Relâcherlelevieretlaflècheclignotera automatiquementàtroisreprises. Maintenirleleviersi vousdésirezquelafècheclignotepluslongtemps.
Lelevierrevientàsapositiondedépartlorsqu'ilest relâché.
Siaprèsavoirsignaléunvirageouunchangementde voielesflèchesclignotentrapidementounes'allument pas,uneampouledeclignotantestpeut-êtregrillée.
Remplacerlesampoules.Sil'ampoulen'estpasgrillée, contrôlerlesfusibles.SereporteràFusibleset disjoncteursàlapage6-119.
Carillonderappeldesclignotants
Uncarillond'avertissementretentirasileclignotantest misenfonctionsurunedistancedeplusde1,2km (0,75mille).
Sivousdevezlaisserleclignotantactivésurune distancedeplusde1,2km(0,75mille),l'arrêter,puis leremettre.
Commandedefeuxderouteetfeux decroisement
Pourpasserdesfeuxdecroisementauxfeuxderoute, pousserlelevierdesclignotantscomplètementvers l'avant. Pourpasserdesfeuxderouteauxfeuxde croisement, tirerleleviersl'arrière.

Quandlesfeuxde routesontallumés, cetémoindansle grouped'instruments dutableaudebord s'allumeégalement.
Clignotantdedépassement
Pourutiliserlafonctionavertisseurdedépassement, tirerbrièvementlelevierdesclignotantsverssoi. L'indicateurdespharesderouteclignotepoursignaler votreintentiondedépasseràl'autreconducteur. Siles pharesdecroisementsonthorsfonctionetquevotre véhiculeestéquipédepharesantibrouillardenoption, lespharesantibrouillardclignotent.
Essuie-glacesdepare-brise

Lelevierd'essuie-glaceestplacéàdroiteduvolant. Déplacerlelevierdanslespositionssuivantes:
(vitesserapide): Balayagesrapides.
(vitesselente): Balayageslents.
( temporisation): Permededéterminerundélai entrelesbalayages.
(réglagedelatemporisation): Permetdechoisir uncycled'essuyageàtemporisation. Tournerl'anneau deréglaged'intermittenceverslebaspourobtenirun intervallepluslongentrelescyclesd'essuyageetvers lehautpourobtenirunintervallepluscourt. Vous pouvezréglerlavitessedescyclesd'essuyagedes essuie-glacesseulementquandlelevierestàcette position.
○(hors fonction): Désactive les essuie-glaces.
(bruine):Poureffectuerunseulcycled'essuyage, abaissercomplètementverslebasjusqu'àlaposition bruine,puisrelâcher.Lesessuie-glaccess'arrêteront aprèsunseulcycle.Pourplusdecyclesd'essuyage, maintenirl'anneauàlapositionbruinepluslongtemps.
Laneigeoulaglacelourdespeuventsurchargerles essuie-glaces. Danscecas, undisjoncteurarrêtele moteurdesessuie-glacesjusqu'àcequ'ilrefroidisse. Enleverlaglaceetlaneigedesraclettesd'essuie-glace avantl'utilisation. Sil'essuie-glaceestgelésurle pare-brise, ledesserrerouledégeler. Lesraclettes endommagéesdoiventêtreremplacées. Sereporterà Remplacementdelaracletted'essuie-glace à la page6-71.
Lave-glacedepare-brise
Lelevierducôtédroitdelacolonnededirectionsert égalementàlacrommandedelave-glace.Unboutonse trouveàl'extrémitédulevier.Pourenvoyerunjetde liquidedelave-glacesurlepare-brise,appuyersurce boutonetlemaintenirenfoncé.Lejetcontinuejusqu'à cequevousrelâchierlebouton.Lesessuie-glace continuentdebalayerlepare-brisependantenviron sixsecondesaprèsqueleboutonaétérelâché,puisils s'arrêtentoureviennentàlavitesseprésélectionnée.

AVERTISSEMENT:
Partempsdegel, attendreleréchauffement du pare-brisepourutiliserlelave-glace. Sinonle liquiderisquedegelersurlepare-briseetdevous dissimulerlaroute.
Sileniveauduréservoirdeliquidedelave-glaceest bas,lemessageCHECKWASHERFLUID(vérifierle niveaudulave-glace)s'afficheàl'écrandu centralisateurinformatiquedebord(CIB).Cemessage s'efface15secondesaprèsqueleréservoiraété rempli.Pourplusderenseignementssurletypede liquidedelave-glaceàutiliser,sereporteràLiquidede lave-glace àlapage6-50 etLiquidesetlubrifiants recommandésàlapage7-10.
Régulateurdevitesseautomatique
Lerégulateurdevitessepermetdemaintenirune vitessesupérieureouégaleà40km/h(25mi/h)sans avoiràlaisserlepiedsurl'accélérateur.Lerégulateur devitessenefonctionnepasàdesvitessesinférieures à40km/h(25mi/h).
Lerégulateurdevitessenefonctionnepaslorsquele freindestationnementestactivéousileniveaude liquidedanslemaître-cylindreestbas.

AVERTISSEMENT:
L'utilisationdurégulateurautomatiquedevitesse peutêtredangereuselorsquevousnepouvezpas roulerentoutesécuritéàunevitessefixe. Par conséquent, nepasl'utilisersurdesroutes sinueusesoudanslacirculationintense.
Ilpeutêtredangereuxd'utiliserlerégulateur automatiquedevitessesurdesroutesglissantes, cardeschangementsrapidesd'adhérencedes pneuspeuventcauserunglissageexcessifdes roues,etvouspourriezperdrelecontrôledu véhicule.Nepasutiliserlerégulateurautomatique devitessesurlesroutesglissantes.
Silerégulateurdevitesseestactivé,quevotrevéhicule estdotédusystèmedetractionasservie(TCS)etque celui-cicommenceàlimiterlepatinagedesroues,le régulateursedésengageraautomatiquement.Voir Systèmedetractionasservie(TCS) àlapage5-7 Lorsquel'étatdelaroutepermetdel'utiliserànouveau sansdanger,vouspouvezremettrelerégulateurde vitesseenfonction.

Votrevéhiculepossède unrégulateurdevitesse.
○(horsfonction):Désactivelesystème.
(enfonction):Activelesystème.
+(reprise/accélération): Utiliserpourfaireaccélérerle véhiculeoureveniràunevitessepréalablementréglée.
(réglage): Presserceboutonplacé à l'extrémitédu levierpoursélectionnerlavitesse.
Réglagedurégulateurdevitesse

AVERTISSEMENT:
Enlaissantlerégulateurautomatiquedevitesse enfonctionlorsquevousnel'utilisezpas, vous risquezdetoucherunboutonetdepasseren régulation de vitesse automatique sans l'avoir désiré. Une perte de contrôle du véhicule pourrait s'ensuivre. Lacommandederégulationdoitrester enpositionhorsfonctionlorsquelarégulation n'estpasutilisée.
- Déplacerlecommutateurdurégulateurdevitesse àlapositiondemarche.
2.Accélérerjusqu'àlavitessedésirée. - Appuyersurlebouton 📞-(réglage)situéà l'extrémitédulevier, puislerelâcher.
- Relâcherl'accélérateur.
Aprèsavoirenclenchélerégulateurdevitesse, le messageCRUISESETTOXXMPH(vitesseréglée surXXkm/h(XXmi/h))apparaïtsurlecentralisateur informatiquedebord(CIB). Sereporteràlarubrique Autresmessagesàlapage4-79.
Reprised'unevitessemémorisée
Silerégulateurdevitesseestrégléalavitessevoulue etquevousfreinez,ilestdésengagé,maisiln'estpas nécessairedeleréglerdenouveau.
Dèsquelevéhiculeatteintunevitessesupérieure ouégaleà40km/h(25m/h),vouspouvezdéplacer brièvementlecommutateurdurégulateurdevitesse de l(enfonction)à+(reprise/accélération).
Vous retournerez directement à la vitesse choisie et y resterez.
Sivousmaintenezlecommutateurenpositionreprise/accélération,levéhiculecontinued'accélérerjusqu'à cequevousrelâchiezlecommutateurouquevous freiniez.Nepasmaintenirlecommutateuràlaposition dereprise/accélération,saufsivoudésirezaccélérer.
Accélérationaumoyendurégulateurde vitesse
Ilyadeuxfaçonsd'accélérer.
- Utiliserl'accélérateurpouraugmenterlavitesse. Presser (réglage) à l'extrémitédulevier, puis relâcherleboutonetlapédaled'accélérateur. Levéhiculerouleramaintenantàunevitesse supérieure. Silapédaled'accélérateurest maintenuependantplusde60secondes, le régulateurdevitessesemethorsfonction.
- Déplacerlecommutateurdurégulateurdevitesse de l(enfonction) à + (reprise/accélération). Lemaintenirainsijusqu'àlavitessevoulue, puislerelâcher. Pouraugmenterlavitessepetità petit, déplacerbrièvementlecommutateursur Àchaqueimpulsion, levéhiculeaccélèred'environ 1,6km/h(1mi/h).
Décélérationaumoyendurégulateurde vitesse
- Presseretmaintenirleboutonderéglagejusqu'à cequelavitesseinférieuredésiréesoitatteinte puislerelâcher.
- Pourralentirgraduellement, presserbrièvement (réglage). Àchaquepression, lavitessedu véhiculediminued'environ 1,6km/h (1mi/h).
Dépassementd'unvéhiculeavecle régulateurdevitesse
Appuyersurl'accélérateurpouraugmenterlavitesse. Quandvouslerelâchez,levéhiculeralentitjusqu'àla vitesserégléeprécédemment.
Utilisationdurégulateurdevitesseencôte
Lerendementdurégulateurdevitessedansles cotesdépenddelavitesseduvéhicule, delacharge transportée et delaraideur delapente. Sivousmontez despentes abruptes, vous devrez peut-être appuyer sur l'accélérateur pour maintenirlavitesseduvéhicule. Enles descendant, vous devrez peut-être reiner ou rétrograder pour nepas accélérer. Lorsque les freins sont appliqués, lerégulateur devitesse est dés activé.
RégulateurdevitesseenmodeSportet sélectionduchangementdevitesse manuelauxmanettes
LorsquevotrevéhiculeestenmodeSport(S)etque vousn'utilisezpaslescommandesdechangementde vitessemanuelàpalettes,lerégulateurdevitesse fonctionnedelamêmemanièrequelamarche avant(D).
LorsquevotrevéhiculeestenmodeSport(S)etque vousutilisezlescommandesdechangementdevitesse manuelàpalettes,lerégulateurdevitessefonctionne delamanièresuivante:
- Silerégulateurdevitesseestactifetsivous sélectionnezunevitesseàl'aidedescommandes dechangementdevitessemanuellesaux manettes,levéhiculeconservesavitessesi celle-ciaétésélectionnéeparleconducteuretil n'accélèreninerétrogradeautomatiquementau niveaudelatransmissionlorsquelasélectiondela vitesseduconducteurestatic.
- Sivousconduisezlevéhiculeencôte,le régulateurdevitessepeutnepasêtreenmesure demaintenirlavitesseduvéhiculesileconducteur nechoisitpasd'accélérerouderétérograder. Lorsquevousroulezencôteetquelerégulateur devitesseaétéactivéàpartirduchangement devitessemanuelàpalettes,leconducteurdoit sélectionnerlavitesseappropriéepourlacôteou lamarcheavant(D)àpartirdusélecteurdevitesse pourquelatransmissionfonctionnedemanière entièrementautomatique.
Arrêtdurégulateurdevitesse
Pourmettrefinàunesessiondurégulateurdevitesse, appuyerlégèrementsurlapédaledefrein. Sivotre véhiculeestéquipéd'uneboîtedevitessesmanuelle, lefaitd'appuyerlégèrementsurl'embrayagemettra égalementfinàunesessiondurégulateurdevitesse.
Placerlecommutateurderégulationdevitesse sur ○(horsfonction)pourdésactivercomplètementle système.
Aprèsavoirdésactivélerégulateurdevitesse,le messageCRUISEDISENGAGED(régulateurde vitessedésactivé)s'affichesurlecentralisateur informatiquedebord(CIB).Sereporteràlarubrique Centralisateurinformatiquedebord-Avertissementset messagesàlapage4-57.
Effacementdelamémoiredurégulateurde vitesse
Lavitessemémoriséedurégulateurdevitesseest effacéeendésactivantlerégulateurouencoupantle contact.
Éclairageextérieur

text_image
AUTO EDGELacommanded'éclairageextérieurstrouvesurle leviermultifonctionàgaucheduvolant.
(commande d'éclairage extérieur) : Tourner l'anneaumarquédecesymbolepourallumerou éteindrel'éclairageextérieur.
L'anneaud'éclairageextérieuraquatrepositions:
(horsfonction): Extinctionel'éclairageextérieur.
AUTO(automatique): Placerlesfeuxextérieursen modeautomatique. Lemode AUTO(automatique) allumeouéteintlesfeuxextérieursenfonctiondu niveaudelumièreàl'extérieurduvéhicule.
PourdésactiverlemodeAUTO(automatique), tourner lacommande à laposition d'arrêt.
PourréinitialiserlemodeAUTO(automatique), tourner lacommandesurfeuxextérieursetensuite, à nouveau sur AUTO. Lemodeautomatiqueséréinitialise également lorsquelecontactestcoupéetremisensuite lorsquelacommandeestlaisséeenposition AUTO.
306(feuxdestationnement):Allumelesfeuxde stationnementetlesfeuxsuivants:
- Feuxdegabarit
- Feuxarrière
• Éclairagedelaplaqued'immatriculation
• Éclairagedutableaudebord
Letémoindefreindestationnements'allumeetreste allumésilesfeuxdestationnementsontallumés lorsquelemoteurnetournepasetquelecommutateur d'allumageestàlapositionACC/ACCESSORY (accessoires).
ID (phares): Allume les phares ainsi que tous les feux etéclairagesprécités.
Pharesactivésparlesessuie-glaces
Cettefonctionpermetd'activerlespharesetlesfeux destationnementaprèsuneutilisationd'environ 15secondesdesessuie-glacesdupare-brise,etde désactiveretderetournerauxconditionsd'éclairage ambiantes15secondesaprèsl'arrêtdesessuie-glaces.
Silacommandedesfeuxextérieursestdésactivée ouenpositiondefeuxdestinationnementlorsquela commanded'essuie-glacesestactivéeàn'importe quelleposition,lemessageHEADLAMPS SUGGESTED(utilisationdespharessuggérée) s'afficheaucentralisateurinformatiquedebord(CIB). Sereporteràlarubrique Centralisateurinformatiquede bord-Avertissementsetmessagesàlapage4-57.
Lorsquelecontactestcoupé, lespharesactivésparles essuie-glaccessontimmédiatementdésactivés.
Silacommandedesfeuxextérieursdemeureactivée à lapositiondepharesoudefeuxdestationnement que la porte du conducteur est ouverte alors que le contactestcoupé, uncarillonretentira.
Feuxdecirculationdejour(FCJ)
Lesfeuxdecirculationdejour(FCJ)améliorenten pleinjourlavisionqu'ontlesautresconducteurs de l'avantdevotrevéhicule. Desfeuxdecirculationde jourtotalementfonctionnelssontrequissurtous les véhiculesd'abordvendusauCanada.
LesFCJ(feuxdecirculationdejour)allumentlesfeux desclignotantsavantlorsquelesconditionssuivantes sontremplies:
• Ilfaitoujoursclairetlecontactestétabli.
- Lacommanded'éclairageextérieurestàla positionAUTO(automatique).
- Laboîtedevitessesautomatiquen'estpasen positiondestationnement(P)oulefreinde stationnementn'estpasserré.
- Lefreindestationnementn'estpasserréoula vitesseduvéhiculeestsupérieure à 13km/h (8mi/h).
Lorsque les FCJ sont allumés, seuls les clignotants avantfonctionnent. Lorsqueles FCJsontallumés, les feuxarrière, lesfeuxdestationnement, l'éclairagedu tableaudebord, oud'autresfeuxextérieurs, nesont pasallumés.
Quandilfaitassezsombreàl'extérieur, lesclignotants avants'éteignentetlesfeuxdecroisementnormaux s'allument.
Lorsqu'ilfaitassezclairàl'extérieur,l'éclairagegénéral s'éteintetlesclignotantsavantentrentenaction.Sile véhiculedémarredansungaragesombre,lesystème depharesautomatiquessemetimmédiatementen fonction.Unefoissortidugarage,s'ilfaitjourà l'extérieur,ilfaudraenvironuneminuteavantqueles pharesautomatiquesnepassentenmodefeuxde circulationdejour.Pendantcedélai,ilestpossibleque legrouped'instrumentsdutableaudebordnesoitpas aussilumineuxqu'àl'habitude.S'assurerquelebouton deluminositédutableaudebordestàlapositionpleine intensité.SereporteràIntensitéd'éclairagedutableau debord àlapage4-17 pourplusderenseignements.
S'ilfaitasseznoiràl'extérieurquelacommande d'éclairageextérieurestdésactivée,unmessage HEADLAMPSSUGGESTED(activationdesphares suggérée)s'affichesurlecentralisateurinformatiquede bord(CIB).SereporteràCentralisateurinformatiquede bord - Avertissements et messages à la page 4-57.
Tournerlacommanded'éclairageextérieuràlaposition off(arrêt)unedequièmefois,ouallumerlespharesfera disparaîtrelemessageHEADLAMPSSUGGESTED (activationdespharessuggérée)surlecentralisateur informatiquedebord(CIB).Si,aucontraire,lesfeuxde stationnementoulespharesantibrouillardavaientété allumés,lemessageHEADLAMPSSUGGESTEDserait restéaffiché.
Lesystèmedepharesordinairespeutêtreactivéen casdebesoin.
PouréteindrelesFCJ,mettrelacommanded'éclairage extérieurenpositiondedésactivationoumettrelevier devitessesenpositiondestationnement(P).LesFCJ restentéteintsjusqu'àcequelacommandesoit basculéedenouveauujusqu'àcequelelevierde vitessessortdelapositiondestationnement(P).
Cette procédures' appliqueseulementaux véhicules vendus d'abordaux États-Unis.
Pharesantibrouillard
Utiliserlespharesantibrouillardafind'améliorerla visibilitépartempsbrumeuxoubruineux.
Lacommandedesfeuxantibrouillardestsituéesurle leviermultifonctionàcôtédelacommanded'éclairage extérieur.
^10 (pharesantibrouillard): Tournerlabande à cette position pour allumer les pharesantibrouillard.
Sivospharesantibrouillardsontallumés,letémoin depharesantibrouillardapparaîtrasurlegroupe d'instrumentsdutableaudebordpourindiquerqueles pharesantibrouillardetlesfeuxdestationnementsont allumés.
Sivousallumezlesfeuxderoute,lesphares antibrouillards'éteindront.Ilsserallumerontquand vouspasserezauxfeuxdecroisement.
Lecontactdoitêtreétablipourquelesphares antibrouillardfonctionnent.
Certainesréglementationslocalesexigentqueles pharessoientallumésenplusdespharesantibrouillard.
TwilightSentinel ^MD
Laminuteried'extinctiondespharesautomatiques (TwilightSentinel ^MD ) peutallumerl'éclairagedu véhiculeetl'éteindrepourvous. Uncapteurde lumièresituéau-dessusdutableaudebordactionne laminuteried'extinctiondespharesautomatiques (TwilightSentinel ^MD ), s'assurerdoncqu'iln'estpas recouvert.
Voicicequisepasselorsqu'onutiliselesystème TwilightSentinel ^MD :
- Lorsqu'ilfaitsuffisammentsombreàl'extérieur, lesclignotantsavant(FCJ)s'éteignent,etles pharesetlesfeuxdestationnements'allument. L'éclairagequis'allumenormalementavecles feuxdestationnements'allumeégalement.
- Lorsqu'ilfaitsuffisammentclairàl'extérieur,les pharess'éteignentetlesclignotantsavant(FCJ) s'allument,silecommutateurd'éclairageextérieur estenpositionAUTO(automatique).
Silevéhiculedémarredansungaragesombre, le systèmed'allumageautomatiquedespharesentrera immédiatementenfonction. Unefoissortidugarage, s'ilfaitjouràl'extérieur, ilfaudraenvironuneminite pourquelesystèmed'allumageautomatiquedes pharespasseenfeuxdecirculationdejour(FCJ).
Pendantcedélai,ilestpossiblequelegroupe d'instrumentsdutableaudebordnesoitpasaussi lumineuxqu'àl'habitude. S'assurerquelacommande deluminositédutableaudebordsoitenpositionpleine intensité. SereporteràIntensitéd'éclairagedutableau debordàlapage4-17.
Vouspouvezlaisserlemoteurtournerauralentiavec lesfeuxéteints, mêmelorsqu'ilfaitsombreàl'extérieur.
Aprèsavoirdémarrélevéhicule, tournerlacommande d'éclairage extérieurdulevier multifonction à laposition d'arrêt, puislarelâcher. Les feuxdemeurerontéteints jusqu'à quel lacommandesoitdenouveautournée à laposition d'arrêt.
LeTwilightSentinel ^MD procureégalementunéclairage extérieurlorsquevoussortezduvéhicule. Sile Twilight Sentinel ^MD aallumél'éclairageextérieurlorsquevous avezcoupélecontact, l'éclairageextérieurrestera alluméjusqu'àceque:
- Lecommutateur d'éclairage extérieur passe delaposition d'arrêt à laposition des feux de stationnement, ou
- Undélaiquevousavezpréalablementchoisis'est écoulé.
Sereporteràlarubrique «Optionspersonnelles» sous PersonnalisationCIBduvéhicule àlapage4-81 pour sélectionnerledélaid'extinctionésiré. Vous pouvez également nepaschoisirdedélaid'extinction.
Sivouscoupezlecontactenlaissantlecommutateur d'éclairageextérieuràlapositionfeuxdestationnement ouphares,iln'yaurapasdetemporisationdela minutieried'extinctionespharesautomatiquesTwilight Sentinel ^MD .Lespharess'éteignentdèsquelecontact estcoupé.
Lesystèmedepharesordinairespeutêtreactivéen casdebesoin.
Économiseurdebatteried'éclairage extérieur
Sivousavezlaissélesfeuxdestationnement aveccommandemanuelleoulespharesallumés, l'éclairageextérieurs'éteindradèsquelecommutateur d'allumageestdésactivéouquel'alimentationdes accessoiresestactivée.Celaempêcheladécharge delabatteriesivousavezlaissélespharesoules feuxdestationnementallumésparmégarde.Cette caractéristiquenefonctionnerapassivousallumezles pharesaprèsavoirtournélecommutateurd'allumageà lapositiond'arrêt.
Sivousdevezlaisserlespharesallumés, utiliserla commandedesfeuxextérieurspourrallumerles phares.
Intensitéd'éclairagedutableau debord

Leboutondecette fonctionestsituéà gauchedutableau debord.
Enfoncerleboutonpourallumerl'éclairageintérieur.
Tournerleboutondanslesensdesaiguillesd'une montreetlemaintenirpouraugmenterl'intensitéde l'éclairageoudanslesensinversepourladiminuer. Lejour, ceboutonpermetderéglerl'intensitédu tableaudebordetlesoir, deréglertoutl'éclairage intérieur.
S'assurerdenepastournerceboutonenposition deluminositéminimalelorsquel'éclairageestallumé pendantlajournée. Votrecentralisateurinformatiquede bord(CIB)peutnepasêtrevisible.
Éclairaged'accueil
Quandl'unedesportesoulehayon/lecoffreestouvert, l'éclairageintérieurs'allume,àmoinsqu'ilnefasseclair àl'extérieur.
Vouspouvezaussiallumerouéteindrel'éclairage d'accueilenappuyantsurleboutonderéglagede l'intensitédel'éclairagedutableaudebord.
Éclairaged'entréedesortie
Lorsquel'éclairaged'accueilestactivé, l'intérieur duvéhicules'allumelorsquevouspénétrez dans le véhicule. L'éclairagedemeureallumépendant environ 20 secondes lorsquelemoteurestéteint.
Vouspouvezéteindrel'éclairagedesortieetd'accèsen allumantetéteignantrap rapidementl'éclairaged'accueil.
Lampesdelecture
Lerétroviseurintérieurcomprenddeuxliseuses. Elles s'allumentlorsqu'uneporteestouverte. Lorsqueles portessontfermées, chaqueliseusepeutêtreallumée individuellementenappuyantsursoninterrupteur respectif.
Protectionantidéchargedela batterie
Levéhiculeestdotéd'unefonctionempêchantla déchargedelabatterieaucasoûleslampessuivantes sontlaisséesallumées: lalampeducompartiment moteur, lecaséchéant, leslampesdepare-soleil, les lampesdel'espaceutilitaire, leslampesdeconsole, leslampesdelectureouleslampesdeboîteàgants. Siunedeceslampesresteallumée, elles'éteindra automatiquementaprèsenviron 10 minutes. Pour réinitialisercettefonction, toutesleslampesci-dessus doiventêtreéteintesoulecontactdoitêtremis.
Affichageâtêtehaute(HUD)

AVERTISSEMENT:
Sil'imageHUDesttropbrillanteoutrophaute dansvotrechampdevision,lesinformations affichéespourraientêtredifficilesàlirelorsqu'il faitsombreàl'extérieur.L'imageHUDdoitrester atténuéeetplacéebasdansvotrechampdevision.
Sivotrevéhiculeestéquipédusystèmed'affichagetête haute(HUD),vouspouvezvoircertainesinformations conducteuraffichéessurlegrouped'instrumentsdu tableaudebord.
Lesdonnéespeuventêtreaffichéesenunitésanglaises oumétriques,etellesapparaissent sousformed'image dont la focalisationse fait à l'avant duvéhicule.Le HUD afficheles données suivantes:
- Compteurdevitesse
- Clignotants
• Symboledesfeuxderoute
• Tachymètre - Témoindechangementdevitessemanuelaux manettes(simonté)
CesécransduHUDsontutiliséslorsdu changementdevitessesmanuelauxmanettes. Sereporteràlarubrique «Changementde vitessesmanuelauxmanettes» danslasection Fonctionnementdelaboïtedevitesses automatiqueàlapage3-30.
- Témoindechangementdevitesse
Cetémoinestutilisépourlaconduitesportive.
Ilindiquequelemeilleurniveaudeperformances duvéhiculeaétéatteintpourpasserlelevierde vitessesenpositiondevitessesupérieure. Une flècheorientéeverslehauts'allumeàl'écranjuste avant d'atteindrelemodedecoupuredecarburant. Cette coupuresproduitàenviron6500tr/min pourlemoteurLS3,à6600tr/minpourles moteursLS9etZR1,età7000tr/minpourle moteurLS7.
• Avertissementdevérificationdesindicateurs - Indicateurdetempératureduliquidede refroidissementdumoteur
- Jaugedetempératureduliquidedeboîtede vitesses(véhiculeséquipésd'uneboîtedevitesses automatiqueuniquement)
• Indicateurdetempératured'huilemoteur
• Manomètredepressiond'huiledumoteur
• Indicateurdeforced'accélération
• Jaugedesurpression(selonl'équipement) - Fonctionsaudio,moderueseulement
- Navigation,seulementaveclaradiodenavigation, changementsdedirectionsuccessifs
Vous pouvezchoisirtroismodesdifférentspourvoir l'affichaged'affichageâtêtehaute. Enappuyantsurle boutonMODE, ilestpossibledefairedéfilercesmodes dans l'ordresuivant:

text_image
63 MPHLemoderueprenden chargelesfonctionsaudio etnavigationavecles réglagesdetachymètre devotrechoix.

Lemodepiste1prend enchargel'indicateur d'accélérationetles indicateursmineursavec untachymètrecirculaire.

Lemodepiste2prenden chargelesindicateurs d'accélération, lesjauges desurpressionavec ZR1 et lesindicateurs mineursavecun tachymètrelinéaire.
Aprèsavoirsélectionnél'affichageHUDdésiré,relâcher leboutonMODE.
Danschaquemode, l'affichage peut être davantage personnalisé en appuyants sur le bouton PAGE.
Lapressionsurceboutondanschaquemodeactivera oudésactiveralesfonctionssuivantes:
- Moderue—pasdetachymètre, tachymètre circulaireettachymètrelinéaire.
- Modespiste1et2—pasd'indicateurmineur, températureduliquidederefroidissement, températureduliquidedeboîtedevitesses, températured'huilemoteur, pressiond'huilemoteur etjaugedesurpression.
Lorsquevousvoustrouvezenmodepiste1ou2, vouspouvezafficherlavaleurGmaximaleatteinte pendantlecycled'allumagecourantenappuyant surleboutonPAGEeitenlemaintenantenfoncé.
LavaleurGmaximales'affichejusqu'àceque vousrelâchiezleboutonPAGE.Cettevaleur estidentiqueàlavaleurGnormaleaffichée,à l'exceptiondeschiffresdelavaleurdelajaugeG maximale(X.XXG)etlabarredelajaugeG correspondanteremplacelavaleurGcourante.

S'assurerdecontinuerdejeteruncoupd'oeilaux affichages,auxcommandesetàl'environnementde conduitecommevousleferezdansunvéhicule dépourvud'unHUD.Enneregardantjamaislegroupe d'instrumentsdutableaudebord,ilestpossiblede manquerquelquechosed'important,telquel'allumage d'untémoin.Encasd'urgence,l'avertissementCHECK GAGES(vérificationdesindicateurs)s'allumesurle HUD.Pourplusderenseignements,sereporteràla rubriqueCentralisateurinformatiquedebord(CIB).

text_image
MODE PAGELescommandes de l'affichage à tête haute sont situées à gauchedu volant dedirection.
Pourréglerl'affichageâtêtehautedemanièreàbien voirl'affichage, procédercommesuit:
- Démarrerlemoteuretintensifieraumaximumle HUDenappuyantsurlebouton(+).
LaluminositéduHUDestfonctiondesconditions delumièredansladirectionfaisantfaceau véhiculeetduréglagedurhéostatduHUD. Silevéhiculefaitfaceàunobjetsombreouàun endroittrèsombragé, leHUDpeutanticiperqu'on entredansunendroitsombreetlaluminositépeut commenceràs'atténuer.
Ilestpossiblequelalumièresolairepénètre dans l'affichageâtêtehauterendant difficile la visualisation del'image. L'affichageredeviendra normalorsquelalumièresolairenepénètreraplus dans l'affichageâtêtehaute.
-
Réglerlesiège à un é position de conduite confortable. Silapositiond usiège change, ilse peut que vous deviez régler l'affichage a tête haute à nouveau.
-
Appuyersurlesflècheshautetbaspourcentrer l'imagedel'affichageâtêtehaute.
L'imageHUDpeutêtrerégléeseulementversle hautouverslebas,etnond'uncôtéàl'autre.
- Faireglisserlerhéostatverslebasjusqu'àceque l'imagedelaHUDparaissejusteassez lumineuse.
Pourcouperl'affichageâtêtehaute, maintenirappuyé lebouton(−)jusqu'àcequel'affichagedel'affichageà têtehautes'éteigne.
Silesoleilapparaîtouqueletempsdevientnuageux, il faudrapeut-êtreréglerlaluminositéàl'aidedurhéostat. Deslunettesdesoleilpolarisantespourraientrendre l'imagedelaHUDplusdifficileàvoir.
Lesinformationsdel'affichageâtêtehautepeuvent s'afficherdansl'unedessixlanguescomprenant l'Anglais,l'Espagnol,leFrançais,l'Allemand,l'Italien ou le Japonais. Le compteur de vitesse peut s'afficher enunitésanglaisesoumétriques.
Pourmodifierlasélectiondelangueoud'unités, sereporteràlarubrique «Options» delasection Fonctionnementetaffichagesducentralisateur informatiquedebordàlapage4-50.
Nettoyerl'intérieurdupare-briseaubesoinpourenlever toutesaletéoupelliculequidiminuelaclartéoula nettetédell'imageduHUD.
PournettoyerlaHUD,pulvériserduproduitde nettoyagesurunchiffondouxetpropre.Essuyer soigneusementlalentilledelaHUD,puislasécher. Nepaspulvériserdeproduitdenettoyagedirectement surlalentillecarleliquidepourraitpénétreràl'intérieur del'unité.
Silecontactestétablietquevousn'arrivezpasà voirl'imagedel'affichageâtêtehaute, vérifiersi:
- Quelquechosecouvrel'unitéaffichageâtête haute.
- Lacommanded'intensitédel'affichageâtête hauten'estpasrégléecorrectement.
• L'imageduHUDestrégléeàlabonnehauteur. - Lalumièreambianteestfaible, dansladirection où sedirigevotrevéhicule.
- Unfusibleestgrillé. Sereporteràlarubrique Fusiblesetdisjoncteursàlapage6-119.
Nepasoublierquelepare-brisefaitpartiedusystème d'affichageâtêtehaute(HUD).Sereporteràlarubrique Remplacementdepare-briseàlapage6-71.
Prisesélectriquespouraccessoires
Laprisedecourantauxiliairepeutêtreutiliséepour brancherunaccessoireélectriquetelqu'untéléphone cellulaire.
Lapriseélectrique pour accessoires estsituées dans le compartiment derangement del a console centrale, côté avant gauche.
Pourutiliserlaprise,retirerlecapuchon.Lorsquevous nel'utilisezpas,couvirtoujourslapriseàl'aidedu capuchondeprotection.
Remarque:Laisserunéquipementélectrique longtempsbranchélorsquelecontactestcoupé déchargeralabatterie.Lesprisessonten permanencesoustension.Toujoursdébrancher leséquipementsélectriqueslorsqu'ilsnesont pasutilisésetnepasbrancherunéquipement dépassantlavaleurmaximalede20ampères.
Certainsaccessoiresélectriquespeuventnepas êtrecompatiblesaveclesprisesdecourantpour accessoiresetpourraientfairegrillerlesfusiblesdu véhiculeetdel'adaptateur.Encasdeproblèmes, consultervotreconcessionnairepourplusde renseignementssurlesprisesdecourantpour accessoires.
Remarque:L'ajoutauvéhiculedetoutéquipement électriquerisquedel'endommageroud'empêcher lefonctionnementnormald'autrescomposants.Les réparationsneseraientpasprisesenchargeparla garantieduvéhicule.Nepasutiliserunéquipement dépassantlavaleurnominaled'ampéragemaximum de20ampères.Serenseignerauprèsdevotre concessionnaireavantd'ajouterunéquipement électrique.
Aumentd'installerdesappareilsélectriques, suivre àlalettrelesdirectivesd'installationjointesàl'appareil.
Nousvousrecommandonsdeconsulteruntechnicien qualifiéouvotreconcessionnairepourlaposecorrecte devotreéquipement.
Remarque: Uneutilisation incorrectedelaprise decourantauxiliairepeutcauserdesdégâtsnon couverts par la garantie. Éviter de suspendre tout typed'accessoireoudesupportd'accessoireà cetteprise. Lesprisesdecourantauxiliairesont conçuesexclusivementpourlesfiches d'alimentationdesaccessoires.
Cendriersetallume-cigarette
Lecendrieretl'allume-cigarettesontsituéssurle tableaudebord,enfacedulevierdevitesses.Pour utiliserlecendrier,appuyersurl'encochesurledessus delaporte.
Remarque:Sidespapiers,desépingles,oud'autresobjetsinflammablessontplacésdans lecendrier,descigaretteschaudesouautres objetsdefumeursrisqueraientdelesallumeret éventuellementendommagerlevéhicule.Nejamais mettred'objetsinflammablesdanslecendrier.
Lesobjetslâches, commelestrombones, peuvent selogerderrièreetsouslecouvercleducendrieret bloquersonmécanisme. Vousdevriezéviterdemettre depetitsobjetslâchesàproximitéducendrier.
Pourutiliserl'allume-cigarette, l'enfoncercomplètement etlerelâcher. Dèsqu'ilestprêtàl'usage, ils'éjectede lui-même.
Remarque: Maintenirunallume-cigareenfoncé pendantqu'ilchauffel'empêchedes'éloigner del'élémentchauffantlorsqu'ilestchaud. L'allume-cigareoul'élémentchauffantpeuvent êtreendommagésenraisond'unesurchauffe, ou bien un fusible peut griller. Ne pas bloquer un allume-cigaretteenpositionenfoncéependantqu'il chauffe.
Commandesdelaclimatisation
Commandedeclimatisation automatiqueàdeuxzones
Grâceàcesystème, lechauffage, laclimatisation et la ventilation duvéhicule peuvent être contrôlés.

text_image
A B C AUTO 65°F AUTO D E F G H I JA. Commandes de température côté conducteur
B.Affichage
C.Climatisationàdeuxzones
D. AUTO(automatique)
E.Recyclage
F.Climatisation
G. Commandedu ventilateur
H.Boutondemode dedistributiond'air
I.Dégivrage
J. Désembueur de lunettearrière
Lorsquevousdémarrezvotrevéhicule, l'affichage montreleréglagedetempératureduconducteur, la températureextérieure, lavitesseduventilateuretle débitd'air, pendantenviron 10 secondes.
Latempératureextérieures'affichedanslecentre del'écran.L'affichagenumériquemontrerales relevésenFahrenheitouCelsius.Sereporteràla rubrique«Optionspersonnelles»delasection PersonnalisationCIBduvéhicule àlapage4-81 pour desrenseignementssurlamodificationdevotre affichage.
Fonctionnementautomatique
AUTO(automatique): Appuyersurlebouton AUTO (automatique) pour mettret out lesystème en mode automatique. Lorsque le fonctionnement automatique estactif, lesystème commande automatiquement la température intérieure, le modedesoufflage et la vitesseduventilateur.
Aprèsdixsecondes d'affichagedes réglagesencours, lemot AUTO(automatique), leréglagedetempérature du conducteuret latempérature extérieures'afficheront.
Lesystèmefonctionnerademanièreàatteindreleplus rapidementpossiblelatempératurequevousavez réglée. Lesystèmedecontrôleautomatiquefonctionne àsonmieuxlorsquelesglacessontremontéesetletoit amovibleinstalléouletoitdécapotablerelevé.
-
AppuyersurleboutonAUTO(automatique).
-
Réglerlatempératureàunniveauconfortable entre 16°C (60°F) et 32°C (90°F). Lefaitdechoisir latempératurelaplusfroideoulapluschaude neferapaschaufferourefroidirlesystèmeplus rapidement. Unréglagede 23°C (73°F) est suggéré.
Partempsfroid, lesystèmerègleleventilateur à unevitesseréduite, afindenepasfairepénétrer trop d'air froid dans l'habitacle, jusqu'à ce que l'air seréchauffe. Lesystèmecommenceparsouffler l'airversleplancher, maispourrachangerde mode automatiquementtaufuretàmesureque levéhiculeseréchaufferapourmaintenirla températurechoisie. Laduréenécessaireau réchauffementdépenddelatempérature extérieureetdutempsécoulédepuisladernière foisoulevéhiculeaétéutilisé.
- Attendrequelesystèmesestabilise, cequipeut prendrede 10 à 30 minutes. Régleralorsla température, aubesoin.
S'assurerdenepascouvrirlecapteursolaire électroniquequisetrouvesurledessusdutableau debord,prèsdupare-brise.Pourplusd'informations surlecapteursolaire,sereporterà«Capteur»plus loindanscettesection.
Fonctionnementmanuel
Puissance/températureconducteur: Appuyersurle boutondetempératureduconducteurpourmettreen marcheouarrêterlesystèmedeclimatisation. C'est leseulréglagequicoupetotalementleventilateur. L'affichagenumériquemontreseulementlatempérature extérieure. Vouspouveztoujoursréglerlatempérature duconducteuretdupassageretlemoded'admission d'airlorsquelaclimatisationestcoupée.
Puissance/températurepassager: Appuyersurle boutondetempératuredupassagerpourmettreen marcheouarrêterlesystèmedeclimatisationdu passager. Tournerleboutonpouraugmenterou diminuerlatempératuredupassager. Silacommande declimatisationdupassagerestcoupée, leboutonde températureduconducteurcontrôleralatempérature pourl'ensembleduvéhicule.
▽※△(ventilateur):Presserpouraugmenterou diminuerlavitesseduventilateur.Lavitessedu ventilateurapparaîtàl'écran.
Lefaitd'appuyersurlesflèchespermettrade supprimerAUTO(automatique)del'afficheur numérique. Legraphiqueetlesbarresdevitesse duventilateurserontindiqués. Appuyersurle bouton AUTO pour retourner à lacommandede ventilateur automatique.
Siledébitd'airsemblefaiblelorsqueleventilateur estrégléàlavitesselaplusélevée, lefiltre à airde l'habitacledevraitêtreremplacé. Pour plus dedétails, sereporterauxrubriques Filtre à airdel'habitacle à la page 4-30 et Entretien prévu à lapage 7-3.
(commandedemodedistributiond'air):
Appuyersurceboutonpourverrouillermanuellementle réglagedesoufflageetarrêterlacommandedemode automatique.Presser 🚫poursupprimerAUTO (automatique)del'afficheurnumériqueetindiquerle graphiquedesmodes.Pourmodifierleréglage, presser denouveau 🚫. AppuyersurleboutonAUTO pour retourneràlasélectiondemode automatique.
Pourmodifierlemodeactuel, sélectionnerl'unedes positionssuivantes:
(ventilation): L'airestdirigéprincipalementversles bouchesd'aérationdutableaudebord, etunepartie verscellesduplancher.
(deuxniveaux): L'airestrépartientrelesbouches dutableaudebordetcellesduplancher.
j(plancher): Lamajeurepartiedel'airestdirigéevers lesbouchesd'aérationduplancheretunepartievers lesbouchesd'aérationdupare-briseetlesbouchesde désembuagedesglaceslatérales.
(π)(plancher/désembuage): Cemodedésembueles glaceset permetdedirigeruniformément l'airentrele pare-briseetlesvoletsduplancheravecunepetite quantitéverslesbouchesdesglaceslatérales. Lorsquevoussélectionnezcemode, lesystèmecoupe automatiquement la fonctionderrecirculationet fait fonctionner le compresseur declimatiseursaufsila température extérieure est inférieure ou é gale à 0°C. Lemodedere circulation ne peut être sélectionné lorsque amodé sembuage estencours.
(dégivrage) : Ce mode désembue ou dégivre les glacesplusrapidement. Unepressionsurcebouton feradirigerlamajeurepartiedel'airverslepare-brise avecunepetitequantitéverslesbouchesdesglaces latérales. Letémoins'allumeraetl'affichagedigital montreralesymboledumodededégivrageetla vitesseduventilateurlorsquelemodededégivrage avantestutilisé. Danscemode, lesystèmecoupe automatiquementlarecirculationetmetenmarchele compresseur, saufsilatempératureextérieureest inférieureouégale à 0°C. Lemodedere circulationne peutêtresélectionnélorsquelemodedégivrageest encours. Unenouvellepressionsur ramènerale système à sonmodedefonctionnementprécédent.
Encasdegelsérieux, tournerleboutondetempérature duconducteursur32°C(90°F) enmodededégivrage.
Nepasconduirelevéhiculeavantquetouteslesglaces soientdégagées.
✿ (climatisation désactivée) : Presser pour couper lecompresseurdeclimatisation.AppuyersurAUTO (automatique)pourrevenirenfonctionnement automatique.Enmodeautomatique,lecompresseur declimatisationsemetenrouteautomatiquementen fonctiondubesoin.
Leclimatiseurnefonctionnepasàdestempératures au-dessousde2°Cà4°C(35°Fà40°F)environ. Lorsquelatempératureestau-dessusde4°C(40°F),le climatiseur ne peut être mis hors fonction en mode de dégivrageetdedésembuage,carilcontribueàretirer l'humiditéduvéhicule.Ilaideégalementàfairedégager lesglaces.
Lorsquelecompresseurdeclimatiseurentreen/hors fonction, vous remarquerez parfois delégères variations de performance et depuisancedumoteur. C'est normal. Lesystème a été conçupour maintenir l'habitacle à latempérature voulues sans consommer trop decarburant.
Partempschaud, abaisserlesglacespourlaisserl'air chauds'échapperdel'habitacle, puislesremonter. Ceci permet au climatiseur de rafraîchir l'air ambiant plus rapidementetenaméliorel'efficacité.
Pourunrefroidissementrapidelesjourschauds, appuyersurleboutonAUTO(automatique)etrégler latempératuresurunréglagefraisetconfortable. Pourobtenirlerefroidissementmaximum, procéder commesuit:
- Sélectionnerlemode

2.Presser

-
Sélectionnerlaclimatisation.
-
Sélectionner latempérature laplus froide.
-
Sélectionnerlavitesselaplusélevéedu ventilateur.
Sivousutilisezceréglagependantdelongues périodes, l'airàl'intérieurduvéhicule peut devenirtrop sec. Pouréviterquecelaneseproduise, désactiverle modederecyclageunefois l'airrefroidiàl'intérieurde votre véhicule.
Leclimatiseurdéshumidifiel'airetunpeud'eau peut s'écoulersousvotrevéhiculelorsquelemoteurestau ralentiouunefoisquelecontactestcoupé. Cette situationestnormale.
( recyclage ): Appuyer sur ce bouton pour activer ou couperlemodederecirculation. Lorsqueleclimatiseur estenmodederecirculation, untémoinlumineux s'allumera. Cemodeempêchel'airextérieurdepénétrer dansvotrevéhicule. Il peut être utilisépourempêcher l'entrée dansvotrevéhicule d'airoud'odeursextérieurs, et pour contribuer à un refroidissement plus rapide de l'air à l'intérieur devotrevéhicule. Lemodede recirculationn'est pas disponible en modeledégivrage ou désembuage.
Capteurs
Lecapteurd'ensoleillementduvéhiculesurveillela chaleursolaireetsesertdesdonnéespourmaintenir latempératures sélectionnelorsquelesystème fonctionneenmodeAUTO(automatique)enprocédant automatiquementauxréglagesnécessairesdela température,delavitesseduventilateuretdusystème desoufflage.Lesystèmepeutégalementfournirunair plusfraisaucôtéduvéhiculequiestexposéausoleil. Lemodederecirculationseraégalementactivé,au besoin.Nepascouvrirlecapteurd'ensoleillementqui setrouvedanslapartiesupérieuredroitedutableaude bord,prèsdupare-brise,sinonlesystèmene fonctionnerapasnormalement.
Ilyaégalementuncapteurderrièrelepare-chocs avant. Cecapteurenregistrelatempératurede l'airextérieuretaideàmaintenirlatempérature sélectionnée à l'intérieur duvéhicule. Toutecouverture dutrainavant duvéhicule pour rait donner unefausse indication delatempérature.
Silatempératureextérieureaugmente, latempérature affichéenechangerapasjusqu'àceque:
• Lavitesseduvéhiculesoitsupérieure à 19km/h (12mi/h) pendant cinq minutes.
• Lavitesseduvéhiculedépasse52km/h(32mi/h) pendantdeuxminutesetdemi.
Cesdélais permettent d'éviter les fausses indications. Silatempérature baisse, latempérature extérieure seraindiquéelorsquevousmettrezlecontact. Sile contacta técoupépendantmoins detroisheures, la températurere prendraselon ler é glagepr é cédent.
Ilyaégalement tunesondedetempératureintérieure quisetrouve à gaucheducommutateur d'allumage. Lesystèmederégulationdetempératureautomatique sesertdecettesondepourobtenirdesdonnées, doncsielleestbloquéeoucouverte, lesystèmene fonctionnerapasnormalement.
Désembueurdelunettearrière
Ledésembueurdelunettearrièreutiliseunréseaude filschauffantspourenleverlabuéeoulegivredela lunette.
Ledésembueurdelunettearrièrenefonctionneque lorsquelemoteurtourne.
(đésembueur de lunette arrière): Presser pour activeroudésactiverledésembueurdelunette. Veiller adégagerlaplusgrandequantitédeneigepossible delasurfacedelalunette. Untémoins'allumepour indiquerqueledésembueurdelunetteeestenfonction.
Ledésembueurdelunettearrièresecoupeenviron 10minutesaprèsavoirappuyésurleboutonsil'on rouleàmoinsde48km/h(30mi/h).S'ilestremis enfonction,ilnefonctionneraquependantenviron cinqminutesavantdesecouper.Ilpeutégalement étredésactivéencoupantlemoteur.
Votrevéhiculeestmuniderétroviseursextérieurs chauffants. Lorsqu'onappuiesurleboutondu désembueurdelunette, les rétroviseurssemettentà chaufferpouréliminerlabuéeoulegivreformés à la surface.
Sivotrevéhiculeestdotédutoitdécapotableassisté, ledésembueurdelalunettearrièreetlesrétroviseurs chauffantssontautomatiquementdésactivéslorsquele toitestenmouvementououvert.
Remarque:Nepasutiliserd'objetstranchantssur lasurfaceintérieuredelalunette. Vousrisqueriez desectionneroud'endommagerleréseadefils chauffantsetlesréparationsneseraientpas couvertesparlagarantieduvéhicule. Nepasfixer deplaqued'immatriculationtemporaire, deruban adhésif, d'autocollantoud'objetsimilairesurla grilledudégivreur.
Réglagedebouchedesortie
Utiliserlalanguettequisetrouvesurlesvolets d'aérationpourchangerladirectiondudébitd'air.
Conseilsd'utilisation
- Dégagerlesprisesd'airàlabasedupare-briseen ôtantlaglace,laneigeoulesfeuillesquipeuvent bloquerl'entréed'airdansvotrevéhicule.
- L'utilisationdéflecteursdecapotnonautorisés parlaGMpeuventcompromettrelerendement du système.
- Éloignertoutobjetdelazoneentourantlabasede laconsoledutableaudebordetdupassaged'air souslessiègespourpermettreàl'airdecirculer plusefficacementàl'intérieurduvéhicule.
Filtreàairdel'habitacle
Lefiltre à air du compartiment passager retired del air certaines deurset particules compris le pollen et les poussières. Unéminution del acirculation d'air, quipeutse produire plussouvent dans les endroits poussi é reux, indique que le filtre doit être bientôt remplacé. Sereporter à larubrique Entretien prévu à la page 7-3 pour les renseignement surlafréquencede remplacement du filtre.
Remarque: Lefaitdeconduiresansfiltreàair d'habitaclepeutêtreàl'origined'uneaspiration d'eauetdeparticulesfines, commedesboutsde papieretdesfeuillesd'arbre, dansvotresystèmede climatisation, d'oùunepossibleavarie. S'assurerde toujoursremplacerl'ancienfiltreparunnouveau.
Lefiltreàairducompartimentpassagerestsituédu côtépassagerducompartimentmoteurprèsdela batterie. SereporteràlarubriqueAperçudu compartimentmoteuràlapage6-16.
Pourvérifierouremplacerlefiltreàair:

Feuxdedétresses,jaugeset témoins
Lestémoinsetlesindicateurspeuventsignalerune défaillanceavantqu'ellenedevienneassezgravepour nécessiteruneréparationouunremplacementcoûteux. Vous pouvezréduirelesrisquesdeblessuresen prêtantattentionàcestémoinsetindicateurs.
Lestémoinss'allumentencasdedéfaillancepotentielle ouréelled'unedesfonctionsduvéhicule. Certains témoinss'allumentbrièvementaudémarragedumoteur simplementpourindiquerqu'ilsfonctionnent.
Lesindicateurspeuventsignalerunedéfaillance potentielleouréellede l'unedesfonctionsduvéhicule. Lesindicateursetlestémoinsfonctionnentsouventde concertpourindiquerunedéfaillancedanslevéhicule.
Quandl'undestémoinss'allumeetdemeureallumé enroulantouquel'undesindicateurssignaleune défaillancepossible,sereporteràlasectionexpliquant quoifaire.Suivrelesinstructionsindiquéesdansce guide.Ilpeutêtrecoûteux-etmêmedangereux-de tarderàfaireréparervotrevéhicule.
Ensembled'instruments

text_image
RPM/1000 MPH km/h BRAKE 1+4 0 3 4 5 6 7 30 20 10 0 120 140 160 180 200 13 8 18 1/2 0 1 220 100 260 PSIVersionaméricainedeboitedevitessesmanuelleillustrée,boitedevitessesautomatique,canadienneet modèleZ06semblable

text_image
RPM / 1000 ZR1 1+4 MPH km/h BRAKE ABS 1/2 0 1 -15 PSI 100 260 300 4 5 6 7 8 90 100 120 140 160 180 200 220 240 260 280 300 30 50 100 PSI 100 220 100 260ZR1-États-Unisillustrés, Canadasimilaire
Indicateurdevitesseetcompteur kilométrique
L'indicateurdevitesseaffichelavitesseenkilomètres parheure(km/h)ouenmillesparheure(mi/h).Se reporteràlarubrique«Optionspersonnelles» sous PersonnalisationCIBduvéhicule àlapage4-81 pour obtenirdeplusamplesrenseignements.
Pourlirelecompteurkilométriqueaveclecontact coupé, allumerlesfeuxdestationnement.
Siunnouveaucompteurkilométriquedoitêtreinstallé dansvotrevéhicule, lekilométragetotaldunouveau compteurkilométriqueseralekilométragedel'ancien. Consultervotreconcessionnairesilecompteur kilométriquedevotrevéhiculedoitêtreremplacé.
Tachymètre
Letachymètreaffichelerégimedumoteurenmilliers detoursparminute(tr/min).
Remarque:L'alimentationencarburantseracoupée àenviron6500tr/minpourlemodèledebase,à 7000tr/minpourlemodèleZ06età6600tr/mnpour lemodèleZR1.Sivouscontinuezàconduirevotre véhiculeenrégimedecoupuredecarburant,vous risquezd'endommagervotremoteur.Veillerà conduirevotrevéhiculeàdesrégimesinférieursau
régimedecoupuredecarburantou, sil'alimentation encarburantestcoupée, veilleraréduire rapidementlerégimedevotremoteur.
Rappelsdeceinturedesécurité
Témoinderappeldesceinturesde sécurité
Lorsquelemoteuradémarré, uncarillonretentit pendantplusieurssecondspourrappelerau conducteurdebouclersaceinturedesécurité, à moinsquelaceinturenesoitdéjàbouclée.

Letémoinderappelde bouclagedeceinturede sécurités'allumeetreste allumépendantquelques secondes, puisclignote pendantquelques secondesdeplus.
Ledéclenchementducarillonetdutémoinserépètesi leconducteurnebouclepassaceinturedesécurité alorsquelevéhiculeeestenmouvement. Silaceinture duconducteurestdéjàbouclée, nilecarillonnile témoinnesedéclenchent.
Témoindesacgonflableprêta fonctionner(AIRBAG)
Lesystèmerecherchedesdéfaillancesurlecircuit électriquedessacsgonflables. Letémoinresteallumé pourvoussignalerunproblèmeélectrique. Lesystème vérifieledétecteurdesacsgonflable, lesprétendeurs, lesmodulesdesacsgonflables, lecâblageetlemodule dedétectiond'impacttediagnostic. Sereporterà Systèmedesacgonflable àlapage2-44 pourplus d'informationssurlesystèmedesacsgonflables

Letémoindedisponibilité desacgonflableclignote quelquessecondeslors dudémarrage. Sile témoinnes'allumepas àcemoment, lefaire réparerimmédiatement.

AVERTISSEMENT:
Siletémoindedisponibilitédessacsgonflables restealluméaprèsledémarrageduvéhicule, le systèmedesacgonflablenefonctionne peut-être pasdemanière correcte. Lessacsgonflables du véhiculerisquentdenepassegonflerlors d'une collisionou mêmedesegonflersanscollision. Afind'évitertouteblessure, faireréparerle véhicule immédiatement.
Silesystèmedesacsgonflablesprésenteun problème, unmessagedessacsgonflablespeut s'afficheraucentralisateurinformatiquedebord(CIB). Sereporteràlarubrique Centralisateurinformatiquede bord-Avertissementsetmessages àlapage4-57 pour plusd'informations.
Témoindel'étatdusacgonflabledu passager
Levéhiculeestéquipédusystèmededétectiondu passager. SereporteràSystèmededétectiondes occupants àlapage2-54 pourd'importantes informationsrelativesàlasécurité. Lerétroviseurest dotéd'untémoind'étatdesacgonflabledupassager.

text_image
PASSENGER AIR BAG OFF ONÉtats-Unis

Quandvousdémarrezlevéhicule,letémoindestatut ON(activé)etOFF(horsfonction)desacgonflable côtépassager,oulesymbolecorrespondant,s'allume
ets'éteintàtitredevérificationdusystème.Puis, quelquessecondesplustard,letémoinafficheON ouOFFoulesymbolecorrespondant,afindevous renseignersurl'étatdessacsgonflablesfrontalet latéralintégréausiège(lecaséchéant)dupassager avantdroit.
SilemotON(activé)oulesymboled'activationest allumésurletémoindestatutdesacgonflablede passager,ceciveutdirequelesacgonflablefrontalde passageravantdroitetlesacgonflablelatéralintégré ausiège(selonl'équipement)sontactivés(peuventse gonfler).
SilamentioulesymboleOFF(horsfonction) s'allumeautémoind'étatdesacgonflabledupassager, celasignifiequelesystèmededétectiondepassager adésactivélesacgonflablefrontaletlesacgonflable latéralintégréausiègeupassageravant(simonté). SereporteràSystèmededétectiondesoccupants à la page2-54 pourplusdedétailssurcesujet,incluantdes renseignementsimportantssurlasécurité.
Si, quelquessecondesplustard, les deux témoins d'état restent allumés ou s'ils ne s'allument pas du tout, celapeutindiquer l'existenced'un problème merelatifaux témoinsouausystèmededétectiondupassager. Consulterle concessionnaire pour tout service d'entretien.

AVERTISSEMENT:
Si le témoin de disponibilité du sac gonflable s'allumeetresteallumé, cecisignifiequele systèmedesacsgonflablesestdéfectueux. Pour éviterdevousblesseroudeblesserd'autres personnes, faireréparerauplusvitelevéhicule. Sereporterà Témoindesacgonflableprêta fonctionner (AIRBAG) à lapage 4-35 pourde plus amplesinformations, y comprisdesinformations importantes relatives à lasécurité.
Indicateurdevoltmètre

text_image
13 8 18BaseetZ06
Levoltmètreindiquela tensionélectriquede votre batterie. Lorsquele moteurtourne, ilaffiche ledébitélectriquedu systèmedecharge.
L'indicationchangeenfonctiondelavariationdutaux decharge(selonlerégimedumoteur,parexemple), maissilevoltmètreindiqueunevaleurde9voltsou moins,legrouped'instrumentsdutableaudebord ainsiqued'autressystèmespourraientêtredésactivés. Lecentralisateurinformatiquedebord(CIB)indique BATTERYVOLTAGELOW(bassetension)lorsque levéhiculeestà10voltsoumoins.Lefairevérifier immédiatement.Laconduitelorsquelevoltmètre indiqueunetensionde10voltsoumoinspourrait déchargerlabatterie,cequientraîneraitunepanne duvéhicule.
Témoindepassagedelapremière àlaquatrièmevitesse(Boîtede vitessesmanuelle)

text_image
1→4Lorsquecetémoin s'allume,onnepeut passerquedela première(1)àla quatrième(4),plutôt quedelapremière(1)àladeuxième(2).
Vousdevezeffectuerlepassageenquatrième(4)pour désactivercettefonction. Cecivouspermetd'obtenirla meilleure économiedecarburantpossible.
Aprèsavoirpasséenquatrième(4), vous pouvez rétrograder à unevitesse inférieure.
Remarque: Déplaceravecforcelevierdevitesses à uneposition quelconque à l'exceptiondela quatrième (4), quandletémoin 1TO4SHIFT (passerdelapremière à laquatrième) s'allume, peutendommagerlaboïtedevitesses. Passer uniquement delapremière (1) à laquatrième (4) quandletémoins'allume.
Cetémoins'allumedanslecassuivant:
- Latempératuredeliquidederefroidissementest supérieureà76°C(169°F),
• Lavitesseduvéhiculeestde24à31km/h (15à19mi/h)et
• L'admissiondesgazestinférieureouégale à 21 pourcent.
Témoindusystèmedefreinage
Lesystèmedefreinagehydrauliqueduvéhicule comportedeuxparties.Sil'uned'ellesnefonctionne pas,l'autrepeutencorefonctionneretarrêterle véhicule.Pourunbonfreinage,ilfautqueles deuxpartiesfonctionnentnormalement.
BRAKE

États-UnisCanada
Cetémoindevraits'allumerbrièvementaudémarrage dumoteur.S'ilnes'allumepas,lefaireréparerdefaçon àpouvoirêtreavertiencasdeproblème.

AVERTISSEMENT:
Lesystèmedefreinagepeutnepasfonctionner correctementsiletémoindusystèmedefreinage estallumé. Conduireaveccetémoinallumépeut causerunecollision. Siletémoinesttoujours alluméaprèslerangementetl'arrêtduvéhicule, faireremorquercelui-cipourintervention.
Sicetémoinrestealluméunefoisquelemoteurtourne, lefreindestationnementpeutêtreencoreserréouilse peutqu'ilyaitunproblèmedefreins.Sereporterà Freindestationnement àlapage3-38 pourvoirsile frein est serré. Si le frein de stationnement est desserré, faireinspecterimmédiatementlesfreins.
Siletémoins'allumeenroulantetquelemessage CHECKBRAKEFLUID(vérifierlebasniveaude liquidedefrein)s'afficheauCIB, quitterlarouteet s'arrêteravecprudence.Ilestpeut-êtreplusdifficile depoussersurlapédaleoucelle-cipeutêtreplus procheduplancher.S'arrêtercomplètementpeut doncprendreplusdetemps.Siletémoinresteallumé, faireremorqueretréparerlevéhicule.Sereporter àRemorquageduvéhicule àlapage5-38 et Centralisateurinformatiquedebord-Avertissementset messages àlapage4-57 pourplusderenseignements.
Témoindesystèmedefreinage antiblocage

text_image
(ABS)Surlesvéhiculeséquipés dusystèmeABS, cetémoins'allume brièvementaudémarrage dumoteur.
Sicen'estpaslecas, faireréparerlevéhiculeparvotre concessionnaire. Silesystémefonctionnedemanière correcte, letémoins'éteint.
SiletémoinABSresteallumé, couperlecontact. Sile témoins'allumeenroulant, s'arrêterdèsquepossible etcouperlecontact. Puis, redémarrerlemoteurpour réinitialiserlesystème. SiletémoinABSresteencore alluméous'allumeenroulant, celasignifiequevotre véhiculedoitêtreréparé. Siletémoindusystèmede freinagenormaln'estpasallumé, lesfreinsfonctionnent toujours, maislafonctionantiblocagenepeutêtre utilisée. Siletémoindusystèmedefreinagenormal estalluméaussi, lesfreinsantiblocagenefonctionnent pasetlesfreinsordinairesprésententunedéfectuosité. Sereporteràlarubrique Témoindusystèmede freinageàlapage4-38.
Silevéhiculeestéquipéd'uncentralisateur informatiquedebord(CIB),voir Centralisateur informatiquedebord-Avertissementsetmessages à la page4-57 pourlesmessagesduCIBausujetdes freins.
à la
Témoindusystèmedetraction asservie

Letémoindetraction asservie(TCS),doit s'allumerbrièvementau démarragedumoteur.
Sicen'estpasle cas, faireréparerle véhicule par votre concessionnaire. Sile système fonctionnede manière correcte, le témoins éteint.
Siletémoindemeureallumé,ous'allumeenroulant, etqu'unmessageSERVICETRACTIONSYSTEM (rappeld'entretiendelatractionasservie)s'afficheau centralisateurinformatiquedebord(CIB),faireréparer votre véhicule.
Cetémoins'allumelorsqueleTCSestdésactivéetun messageTRACTIONSYSTEMOFF(systèmede tractiondésactivé)s'affichesurleCIB.Lorsquece témoinestallumé,lesystèmeTCSnelimitepasle patinagedesroues.
LorsqueleTCSestréactivé, cetémoins' éteintetun message TRACTIONSYSTEMON(systèmedetraction activé)s'afficheauCIB.
Cetémoins'allumeégalement lorsquelevéhicule fonctionneenmodedeconduitesportive.
Sereporterauxrubriques Systèmedetractionasservie (TCS) àlapage5-7 et Centralisateurinformatiquede bord-Avertissementsetmessages àlapage4-57 pour plusderenseignements.
SereporteràDispositifd'assistancevariable à la page5-8 plusd'informationssurlemodedeconduite sportiveetlemodedetractiondeperformance.
Témoindudispositifd'assistance variable

Letémoindudispositif d'assistancevariable s'allumebrièvementau démarragedumoteur. Sicen'estpasle cas, faireréparerle véhiculeparvotre concessionnaire. Sile systèmefonctionnede manièrecorrecte, le témoins'éteint.
Siletémoinrestealluméous'allumependant laconduite, uncarillonsonneetlemessage SERVICEACTIVEHANDLINGSYSTEM(faireréviser lesystèmedecontrôledestabilité)s'afficheauCIB, ce quisignifiequevotrevéhiculerequiertunentretien.
Cetémoins'allumeégalement lorsquelevéhicule fonctionneenmodedeconduitesportive.
SurlemodèleZR1, cetémoins'allumelorsquelemode detractiondeperformanceestactivé, aveclemessage deCIBpourlescingmodesdetraction.
Lorsquelesystèmedecontrôledestabilitéest désactivé, letémoins'allume, uncarillonretentitet lemessageTRACTIONSYSTEMANDACTIVE HANDLING-OFF(systèmesdetractionasservieet decontrôledestabilitédésactivés)s'affichesurleCIB. Lesystèmedetractionasservieestdésactivéte systèmedecontrôledestabilitén'aidepasaucontrôle duvéhicule.
Lorsquelesystèmedecontrôledestabilitééstréactivé, letémoins'éteint, uncarillonretentitetlemessage TRACTIONSYSTEMANDACTIVEHANDLING—ON (systèmesdetractionasservieetdecontrôlede stabilitéactivés) s'affichesurleCIB.
Sereporterà Centralisateurinformatiquede bord-Avertissementsetmessages àlapage4-57 pourplusderenseignements.
Indicateurdetempératureduliquide derefroidissementdumoteur

text_image
220 100 260 °F
text_image
105 40 125°CÉtats-UnisCanada
Cetindicateurdonnelatempératureduliquidede refroidissementdumoteur. Sil'aiguillede l'indicateur passedanslazoneombrée, lemoteuresttropchaud.
Celasignifiequeleliquidederefroidissementdu moteurasurchauffé. Silevéhiculeafonctionnédans desconditionsnormales, quitterlaroute, arrêterle véhiculeletlemoteurdèsquepossible.
Sereporterà Surchauffedumoteur à lapage 6-45 pour plusderenseignements.
Témoindepressiondespneus

Surlesvéhiculesdotés d'unesurveillancede pressiondespneus, cetémoins'allume brièvementlorsquele moteurdémarreetfournit desinformationssurles pressionsdespneusetle systèmedesurveillance delapressiondespneus.
Siletémoinresteallumé
Ceciindiquequ'unouplusieurspneussontfortement sous-gonflés.
Un message de pression des pneus du centralisateur informatiquedebord(CIB) peut accompagnerle témoin. Se reporter à Centralisateur informatique de bord(CIB) à lapage 4-50 pourdeplusamples informations. S'arrêterauplusvitedansun emplacement sûr et contrôler la pression des pneus. S'ilssontsous-gonflés, les gonfler à lapression correcte. Sereporter à Gonflement - Pression des pneus à lapage 6-85 pourdeplusamplesinformations.
Lorsqueletémoincommenceparclignoter puisresteallumé
Ceci indique qu'il pourrait y avoir un problème de systèmedesurveillancedelapressiondespneus. Le témoin clignote pendant une minute environ puis resteconstammentallumépourlerestantducycle d'allumage.Cetteséquenceserépèteàchaquecycle d'allumage. Se reporter à Fonctionnement du dispositif desurveillancedelapressiondepneu àlapage6-89 pourdeplusamplesinformations.
Témoind'anomalie
Témoindevérificationdumoteur
Un système informatisé appelé OBD II (diagnostics embarquésdedeuxièmegénération)surveillele fonctionnementdessystèmesdecommande d'alimentation,d'allumageetdecontrôledesémissions. Il garantit que les niveaux d'émissions sont acceptables pendant toute la durée de vie du véhicule, ce qui contribueàcréerunenvironnementpluspropre.

Cetémoindevrait s'allumerbrièvementau démarragedumoteur. Siletémoinnes'allume pas, lefaireréparer.
Siletémoindevérificationdumoteurs'allumeetreste alluméalorsquelemoteurtourne,celasignaleun problèmed'OBDIletlanécessitéd'uneintervention.
Lespannessontsouventsignaléesparlesystème avantqu'unproblèmeapparaisse.L'attentionquevous portezautémoinpeutprotégerlevéhiculecontredes dégâtsplusgraves.Cesystèmeaideletechnicienà diagnostiquercorrectementtouteddéfaillance.
Remarque:Silevéhiculeroulecontinuellement aveccetémoinallumé,auboutd'unecertaine périodeledispositifantipollutionrisquedeneplus fonctionnercommeilsedoit,laconsommationde carburantpeutaugmenteretlemoteurrisquede neplustournerdemanièreoptimale.Cecipourrait entraînerdesréparationscoûteusesquinesontpas forcémentcouvertesparlagarantieduvéhicule.
Remarque: Lesmodificationsapportéesau moteur, àlaboîtedevitessesouauxystèmes d'échappement, d'admissionoud'alimentation du véhicule, ouleremplacementdespneus d'origine pardespneus dont léscaractéristiques (TPC) ne sont pasidentiques peuvent avoir uneffetsurle dispositifantipollution du véhicule et provoquer l'allumagedecetémoin. Lesmodifications effectuéessurcessystèmes pourraient entraîner desréparations coûteuses noncouvertes parla garantieduvéhicule. De plus, ceci peut faire échouer untest obligatoired d'inspection/d'entretien dus dispositifantipollution. Sereporter à larubrique Accessoires et modifications à la page 6-4.
Cetémoins'allumed'unedesdeuxfaçonssuivantesen casdedéfectuosité:
Clignotementdutémoin: Desratésdemoteurontété détectés. Lesratésaugmententlesgazd'échappement duvéhiculeetpeuventendommagerledispositif antipollution. Levéhiculeapeut-êtrebesoind'un diagnosticet d'unentretien.
Lesactionssuivantespeuventprévenirdesdommages plusimportantsauvéhicule:
• Réduirelavitesseduvéhicule.
- Éviterlesaccélérationsbrusques.
- Éviterlamontéedepentesraides.
Siletémoincontinueàclignoter, arrêterlevéhicule lorsquevouspouvezlefaireentoutesécurité. Rechercherunendroitsûrpourfairestationnerle véhicule. Couperlecontact, attendreaumoins 10secondesetredémarrerlemoteur. Siletémoin clignotetoujours, suivrelesétapesprécédentesetse rendredèsquepossiblechezleconcessionnairepour faireréparerlevéhicule.
Letémoinresteallumé: Unedéfaillancedansle dispositifantipollutionaétédétectéedanslevéhicule. Levéhiculeapeut-êtrebesoind'undiagnosticet d'une réparation.
Unedéfaillancedusystèmeantipollutionpeutêtre résoluecommesuit:
- Vérifiersilebouchonduréservoirdecarburant estbienenplace.Sereporteràlarubrique Remplissageduréservoir àlapage6-11. Le systèmedediagnosticpeutdéterminersile bouchonduréservoirn'estpluslàous'ilaété malposé.Unbouchonderéservoirdecarburant manquantoudesserrépermetaucarburant de s'évaporer dans l'atmosphère. Quelquestrajets avec un bouchon bien posé devraient éteindrele témoin.
- Silevéhiculeatraverséuneflaqued'eau profonde,lesystèmeélectriqueduvéhicule peutêtrehumide.Cetteconditionsecorrige normalementunefoisquelesystèmeélectrique estsec.Quelquestrajetsdevraientéteindrele témoin.
- S'assurerdefairelepleinavecducarburantde qualité. L'utilisation d'uncarburant de qualité inférieure entraînera un fonctionnement moins efficacedumoteuret peut causer: un calage dumoteur après ledémarrageoulors de l'engagement d'un rapport, desratés du moteur, deshésitationsoudesdécélérations momentanéesaucours des accélérations. Ces conditions peuvent disparaît relorsquele moteurs estréchauffé.
Siuneouplusieursdecesconditionsse produisent,utiliseruncarburantd'uneautre marque.Laconsommationd'unpleinréservoirde carburantappropriésarequisepouréteindrele témoin.
SereporteràIndiced'octaneàlapage6-8.
Siaucunedesactionsprécédentesn'apermis d'éteindreletémoin, faire vérifierlevéhiculeparle concessionnaire. Celui-cipossèdel'équipementd'essai et les outils dediagnosticadéquatspourréparertout problème électriqueoumécaniquequiapusurvenir.
Programmesd'inspectiondedispositifs antipollutionetd'entretien
Certainsgouvernementsd'états/provinciauxet régionauxontmissurpiedousontentraindemettre surpieddesprogrammesd'inspectiondudispositif antipollutionduvéhicule. Silevéhiculeéchoueàcette inspection, vous risquezdenepouvoirimmatriculerle véhicule.
Voicertaineschosesàsavoirafind'assurerquele véhiculen'échouepasàl'inspection:
- Levéhiculeéchoueraàl'inspectionsiletémoin d'anomalieestalluméalorsquelemoteurtourne. Poureffectueruncontrôledel'ampouledutémoin d'anomaliedumoteuràl'aidedel'allumage àdistance, s'assurerquel'émetteurde téléverrouillageestdansl'habitacle. VoirPositions ducommutateurd'allumage àlapage3-25. AppuyersurlabaseduboutonAcc.(accessoires) surletableaudebordetlemaintenirpendant cinqsecondes. Letableaudebord,y-comprisle témoind'anomaliedumoteur,vas'allumeretle contactseramis, maislemoteurnedémarrera
pas.SivousappuyezsurlabaseduboutonAcc. pendantmoinsdecinqsecondes,lemodede prolongationd'alimentationdesaccessoressera activé,maispasl'allumage.Aprèslecontrôle del'ampoule,s'assurerd'appuyeretrelâcherà nouveauxleboutonAcc.pouréteindrel'allumageet éviterdeviderlabatterieduvéhicule.
- Levéhiculeéchoueraàl'inspectionsilesystème dediagnosticembarqué(OBDII)détermineque lessystèmesprincipauxdudispositifantipollution n'ontpasétécomplètementdiagnostiquésparle système.Levéhiculeseraconsidérécommen t'étantpasprêtpourl'inspection.Cecipeutse produiresilabatteriearécemmentétéreemplacée ousielleestdéchargée.Lesystèmedediagnostic estconçupourévaluerlessystèmesprincipaux dudispositifantipollutionpendantuneconduite normale.Cecipeutexigerplusieursjours de conduitenormale.Siceciaetéfaitetquele véhiculenesatisfaittoujourspasàlavérification d'étatdemarchedusystèmedediagnostic embarqué(OBDII),leconcessionnairepeut sechargerdepréparervotrevéhiculepour l'inspection.
Manomètredepressiond'huiledu moteur

text_image
0 40 80 PSIÉtats-UnisCanada

text_image
300 0 600 kPa
text_image
50 0 100 PSIÉtats-Unis—Modèles Z06etZR1

text_image
350 0 700 kPaCanada—Modèles Z06etZR1
⚠ AVERTISSEMENT:
Nepascontinueràroulersilapressiond'huileest faible. Lemoteurpeutdevenirtellementchaud qu'ilpeutprendrefeu. Quelqu'unpourraitêtre brûlé. Vérifierl'huiledèsquepossibleetfaire réparerlevéhicule.
Remarque: Lemanqued'entretiencorrecte del'huilemoteurpeutendommagerlemoteur. Lesréparationsneserontpascouvertesparla garantieduvéhicule. Toujoursrespecterle programmed'entretiendecemanuelpourles vidangesd'huilemoteur.
Lemanomètredepressiond'huilemoteurindique lapressiondel'huilemoteurenlivresparpouce carré(psi)ouenkilopascals(kPa)lorsquelemoteur tourne.
Lapressiond'huiledoitsesituerentre140et550kPa (20et80psi).Danscertainscas,commelorsderalentis prolongésparjournéeschaudes,lemanomètrepeut indiquerunepressionaussibasseque40kPa(6psi) etêtreconsidéréetoutdemêmenormale.Lapression peutvarierenfonctiondurégimedumoteur,dela températureextérieureetdelaviscositédel'huile,mais lesrelevésau-dessusdelapartieombréesetrouvent danslagammedefonctionnementnormal.Lesrelevés danslapartieombréeindiquentunbasniveauud'huile demoteurouunautreproblèmereliéàl'huilede moteur.SereporteràHuileàmoteuràlapage6-22.
Lapressiond'huile-moteurpeutégalementêtre affichéeaumoyenduboutonGAGES(indicateurs)du centralisateurinformatiquedebord(CIB).Sereporter à Centralisateurinformatiquedebord(CIB) à la page4-50.
Témoindesécurité

Pourl'informationausujet decettelampeetdu systèmedesécuritédu véhicule, sereporterà Dispositifantivol à la page3-20.
Témoindepharesantibrouillard

Letémoindesphares antibrouillards'allume lorsqueceux-cisont activés.
Letémoins'éteintlorsquelespharesantibrouillardsont désactivés. Sereporterà Pharesantibrouillard à la page4-15 pour plus d'informations.
Cetémoins'allumeavec lesfeuxdestationnement.
SereporteràRappeldepharesallumés àlapage4-13 pourplusderenseignements.
Témoindefeuxderoute

Cetémoins'allume lorsquelesfeuxde routesontutilisés.
SereporteràCommandedefeuxderouteetfeuxde croisement àlapage4-5 pourplusde renseignements.
Jaugedecarburant

text_image
1/2 0 1Lajaugedecarburant indiquelaquantité approximative de carburantrestant dans leréservoirlorsquele moteurtourne.
Uneflèchesurl'indicateurdecarburantindiquelecôté oùsetrouvelatrappedecarburantduvéhicule.
Lorsquel'aiguilles'approchedupictogrammedebas niveaudecarburant,uncarillonretentitetlemessage LOWFUEL(basniveaudecarburant)s'affichesurle centralisateurinformatiquedebord(CIB).Àcemoment, ilresteencoreunepetitequantitédecarburant,maisil seraitsagedefairel'appointdèsquepossible.
AppuyersurleboutonRESET(remiseàzéro)pour indiqueraucentralisateurinformatiquedebord quevousavezprisconnaissanced'unmessage.
SivousappuyezsurRESET(remiseàzéro), vous effacerezunmessageducentralisateurinformatique debord, maislemessageLOWFUEL(basniveau decarburant)s'afficheradenouveauauboutde 10minutessivousn'avezpasajoutédecarburant danslevéhicule.
Voicicingchosesquecertainspropriétairesnous demandent. Toutescessituationssontnormaleset aucunen'indiqueunproblèmeavecl'indicateurde carburant.
- Àlastation-service, lapompes' arrête avant que l'indicateur montrequeleréservoir est plein.
- Ilfautunpeuplusouunpeumoinsdecarburant pourremplirlerréservoirquecequ'indique l'aiguille. Parexemple, l'aiguilleindiquequele réservoirestàmoitiéplein, maispourfaireleplein ilfautajouterunpeuplusouunpeumoinsde carburantquelamoitiédelacapacitéduréservoir.
• L'aiguilleoscilleunpeudanslesvirages, lorsque vousfreinezoulorsquevousaccélérez. - Ilestpossiblequelajaugen'indiquepasquele réservoirestvidelorsquelecontactestcoupé.
- L'indicationdelajaugepeutchangerlégèrement aucoursdespremièresminutesaprèsle démarrage.
SereporteràFonctionnementetaffichagesdu centralisateurinformatiquedebord àlapage4-50 pourplusderenseignements.
Jaugedesurpression (ZR1uniquement)

text_image
0 -15 15 PSI
text_image
0 100 100 kPaÉtats-UnisCanada
Silevéhiculeenestéquipé, cette jaugeestsituée après ducôté conducteur dugrouped' instruments dutableau debord.
Cetindicateurmontreladépressionsousune accélérationlégèreoumodéréeetsuralimentation sousuneaccélérationavecpapillongrandouvert.
Ilafficheleniveaudepressiond'airdanslecollecteur d'admissionavantquel'airn'entredanslachambrede combustiondumoteur.
L'indicateurestautomatiquementremisàzérochaque foisquelemoteurdémarre.Ladépressionoula suralimentationréelleestaffichéeàpartirdece pointzéro.Deschangementsdepressiondel'air ambiant,commeenconduiteenmontagneetlors dechangementsdetempérature,ferontchanger légèrementlerelevé.
Centralisateurinformatiquede bord(CIB)
L'écranducentralisateurinformatiquedebord(CIB) setrouvedansl'ensembled'instrumentsetafficheles fonctionsdepersonnalisationduconducteurainsique lesmessagesd'avertissement/état.LesboutonsduCIB setrouentsurletableaudebord,àdroitede l'ensembled'instruments.
LeCIBsemetenfonctionlorsquelecontactestmis. AprèsavoiraffichélemessageCORVETTEBY CHEVROLET(CorvettedeChevrolet),leCIBaffiche lesdonnéesquiétaientaffichéesavantl'arrêtdu moteur.
Encasdedétectiond'unproblème, l'écranduCIB afficheunmessaged'avertissement. Sereporterà Centralisateurinformatiquedebord-Avertissementset messages à lapage 4-57 pour plus derenseignements.
Fonctionnementetaffichagesdu centralisateurinformatiquedebord
Enfonctiondel'équipementduvéhicule,lerapport engagépeutêtreaffichéal'écranduCIB.Sereporterà «Changementdevitessemanuelauxmanettes» sous Fonctionnementdelaboïtedevitessesautomatique lapage3-30 et «Affichageâtêtehaute(HUD)» dans l'indexdumanueldusystèmedenavigationpourplus derenseignements.
Lecentralisateurinformatiquedebordpossède différentsmodesauxquelsonpeutaccéderen appuyantsurlesquatreboutonsducentralisateur informatiquedebordsituéssurletableaudebord,à gaucheduvolant.
à

flowchart
graph TD
A["Mobile Phone"] --> B["Mode Icon"]
B --> C["Phone Icon"]
C --> D["Trip"]
D --> E["Option"]
E --> F["Reset"]
i (carburant): Appuyer sur ce bouton pour afficher l'informationrelativeaucarburantcommel'économieet laconsommationdecarburant.
(indicateurs): Appuyersurceboutonpourfaire afficherl'informationrelativeauxindicateurscommela pressionetlatempératuredel'huile,latempératuredu liquidederefroidissementouduliquidedeboîtede vitessesautomatique, lecaséchéant, latensiondela batterieetlapressiondegonflagedespneusavantou arrière.
TRIP(totalisateurpartiel): Appuyersurcebouton pourafficherlekilométragetotaletceluidutrajet, la fonctiondetempsécoulé, votreitessemoyenneetla duréedevieutilledel'huilemoteur.
OPTION(option): Appuyersurceboutonafinde choisirdesoptionspersonnellesdontlevéhiculepeut étredoté, commeleverrouillagedesportes, siègesà accèsfacileetlalangue.
RESET(réinitialisation): Appuyersurcebouton, ainsi quesurd'autresboutons, pour réinitialiser des fonctions dusystème, sélectionner des options personnelles et les désactiver ou pour indiquera centralisateur informatique debord (CIB) que vous avez pris connaissances messages affichés.
BoutonFUEL(accèsauxdonnées relativesaucarburant)
Leboutondecarburantaffichelaconsommation moyenneetinstantanéedecarburantcalculéeen fonctiondelaplageetvosconditionsdeconduite particulières.
Consommationmoyennedecarburant: La consommationmoyennedecarburants'affichepour vousdonneruneapproximationàlongtermedevos conditionsdeconduiteengénéral. Vousdevezremettre àzérol'affichagedelaconsommationmoyennede carburantchaquefoisquevousfaitesleplein.
SivousappuyezsurleboutonRESET(remiseàzéro) lorsquevousconduisez,l'affichageestremisàzéroet lesystèmecommenceàcalculerlaconsommationde carburantàpartirdecemoment.
Appuyersurleboutondecarburantpourafficherla consommationmoyennedecarburant,comme:
• AVERAGEFUELECONOMY(consommation moyennedecarburant)11,7L/100kmou
• AVERAGEFUELECONOMY(consommation moyennedecarburant)20,1mi/g
Consommationdecarburantimmédiate: La consommationimmédiatedecarburantindique uniquementlaconsommationdecarburantduvéhicule encemomentetchangefréquemmentenfonction desconditionsdeconduite. Contrairementàla consommationmoyennedecarburant, cettefonction nepeutpasêtremiseàzéro.
Appuyerànouveausurleboutondecarburantpour afficherlaconsommationimmédiatedecarburant,par exemple:
- INSTANTFUELECONOMY(consommation instantanéedecarburant)11,7L/100kmou
- INSTANTFUELECONOMY(consommation instantanéedecarburant)20.1mi/g
Autonomie:Cettefonctionpermetdecalculerla distancequevouspouvezeffectuersansrefaireleplein del'essence.Cecalculestfondésurlaconsommation decarburantetlecarburantquirestedansleréservoir.
Appuyerdenouveausurleboutondecarburantpour afficherl'autonomie,parexemple:
• RANGE(autonomie)48kmou
• RANGE(autonomie)30milles
SilemessageLOWFUEL(basniveaudecarburant) s'afficheousil'autonomieestinférieureà64km (40milles),lemessageRANGELOW(autonomiefaible) s'affiche.
Les données de consommation utilisées pour le calcul del autonomie correspondent à unemoyennetenant comptedes conditions de conduiteles plus récentes. Ces données sont mises à jour automatiquement à mesure que les conditions de conduite évoluent.
Silevéhiculeafonctionnéauralentipendant longtemps,lagammeaffichéeaucentralisateur informatiquedebordpeutêtreanormalementbasse. Levéhiculedoitrouler8-16km(5-10milles)pour afficherunevaleurprécise.
BoutonGAGES(indicateurs)
Leboutondesindicateursaffichelapressiondel'huile, latempératuredel'huile, latempératureduliquidede refroidissement, latempératureduliquidedelaboîte devitessespourlesvéhiculesàboîtedevitesses automatiqueuniquement, latensiondelabatterieet desinformationsrelativesàlapressiondespneus.
Pressiond'huile:Cetaffichageindiquelapression d'huile.
Appuyersurleboutondesindicateurspourafficherla pressiond'huile,parexemple:
• OILPRESSURE(pressiond'huile)276kPaou
• OILPRESSURE(pressiond'huile)40PSI
Températured'huile:Cetaffichageindiquela températuredel'huile.
Appuyerdenouveausurleboutondesindicateurspour afficherlatempératuredel'huile,parexemple:
• OILTEMPERATURE(températured'huile) 112°Cou
• OILTEMPERATURE(températured'huile)234°F
Silatempératuredel'huileestbasse, l'affichage indiquera OIL TEMPERATURELOW (température d'huilebasse). Silatempératuredel'huileestélevée l'affichage indiquera OIL TEMPERATUREHIGH (température d'huileélevée).
Températuredeliquidederefroidissement:Cet affichageindiquelatempératureduliquidede refroidissementdumoteur.
Appuyerdenouveausurleboutondesindicateurspour afficherlatempératureduliquidederefroidissement, parexemple:
• COOLANTTEMPERATURE(températuredu liquidederefroidissement)51°Cou
• COOLANTTEMPERATURE(températuredu liquidederefroidissement)123°F
Silatempératureduliquidederefroidissement estbasse, l'affichageindiqueraCOOLANT TEMPERATURELOW (températuredeliquide refroidissementbasse). Silatempératuredeliquide derefroidissementestélevée l'affichageindiquera COOLANT TEMPERATUREHIGH (températurede liquidederefroidissementélevée).
Températureduliquidedeboîtedevitesses:
Sivotrevéhiculeestéquipéd'uneboîtedevitesses automatique, cetaffichageindiquelatempératuredu liquidedelaboîtedevitesses.
Appuyerdenouveausurleboutondesindicateurspour afficherlatempératureduliquidedeboîtedevitesses automatique, comme:
• TRANSFLUIDTEMP(températureduliquidede boîtedevitesses)51°Cou
• TRANSFLUIDTEMP(températureduliquidede boîtedevitesses)123°F
Silatempératureduliquidedeboîtedevitessesest basse, l'affichageindiqueraTRANSFLUIDTEMPLOW (températuredeliquidedeboîtedevitessesbasse). Silatempératureduliquidederefroidissementest élevée, l'affichageindiqueraTRANSFLUIDTEMP HIGH (températureduliquidedeboîtedevitesses élevée).
Tensiondelabatterie: Cetaffichageindiquela tensionactuelledelabatterie.
Appuyerdenouveausurleboutondesindicateurspour afficherlatensiondelabatterie,parexemple:
- BATTERYVOLTAGE13.5VOLTS(tensiondela batteriede13,5volts)
Pression des pneus : Cet affichage indique la pression dechacundespneus.
Appuyerdenouveausurleboutondesindicateurspour afficherlapressiondegonflagedespneusavant,par exemple:
• FRONTTIREPRESSURESL234kPaR228kPa (pressiondupneuavantgauche:234kPa, pressiondupneuavantdroit:228kPa)ou
• FRONTTIREPRESSURESL34PSIR33PSI (pressiondupneuavantgauche:34PSI, pression dupneuavantdroit:33PSI
Appuyerdenouveausurleboutondesindicateurspour afficherlapressiondegonflagedespneusarrière, par exemple:
- FRONTTIREPRESSURESL234kPaR228kPa (pressiondupneuarrièregauche:234kPa, pressiondupneuarrièredroit:228kPa)ou
- FRONTTIREPRESSURESL34PSIR33PSI (pressiondupneuarrièregauche:34PSI, pressiondupneuarrièredroit:33PSI
BoutonTRIP(trajet)
LeboutonTRIP( Trajet) affichelesrenseignements relatifsaucompteurkilométrique, àladistancedutrajet, autempsécoulé, àlavitessemoyenneet àladuréede vierestantedel'huile.
Compteurkilométrique: Letotalisateurindiquela distance parcourue parlevéhicule en kilomètres souen milles. Appuyersurlebouton TRIP (trajet) pour afficher les relevés du compteur kilométrique:
• ODOMETER(totalisateur)20008kmou
• ODOMETER(totalisateur)12345milles
Vouspouvezaussiafficherlecompteurkilométriqueen allumantlesfeuxdestationnement.
Totalisateurpartiel: Levéhiculeestéquipédedeux compteursjournaliers. AppuyersurleboutonTRIP (trajet) pourafficherlecompteur journalier A et appuyer denouveausurlebouton pourafficherlecompteur journalier B, parexemple:
• TRIPODOMETER(totalisateurpartiel)A 209,9kmou
• TRIPODOMETER(totalisateurpartiel)A 130,5milles
• TRIPODOMETER(totalisateurpartiel)B 483,5kmou
• TRIPODOMETER(totalisateurpartiel)B 300,5milles
Lesdeuxcompteursjournalierspeuventêtreutilisés simultanément. Lesdeuxcompteursjournalierspeuvent étreremisàzéroenappuyantsurleboutonRESET (remiseàzéro)ducentralisateurinformatiquedebord.
Ilexiste également unefonctionquipermetde connaîtrelenombredekilomètres(milles)parcous depuisquelemoteuraétédémarrépourladernière fois. Appuyersurlebouton RESET(remiseàzéro) et lemaintenirenfoncépendanttroissecondes, puisle relâcher. Lenombredekilomètres(milles)parcous depuislederniercycled'allumageseraaffichésurle compteurjournalier.
Chronomètredutempsécoulé: Appuyersurle boutonTRIP(trajet)jusqu'àcequeELAPSEDTIMER (chronomètredutempsécoulé)soitaffiché, par exemple: ELAPSEDTIMER.00 (chronomètreu tempsécoulé.00).
Lorsquelaclédecontactestmise, lecentralisateur informatiquedebordpeutêtreutilisécomme chronomètre. Lesheures, lesminutesetlessecondes peuventêtreaffichées. L'indicateurdetempsécoulé enregistrependantuneduréemaximalede 23 heures, 59 minuteset 59 secondes, aprèsquoilechronomètre revientàzéro, puis recommenceàcompter. Cet affichageindique ELAPSEDTIMER. 00 (chronomètre detempsécoulé. 00) dans la fonction detempsécoulé.
Vous pouvez démarrerou arrêter le chronomètre du temps séoulé en appuyantsurlebouton RESET (remise à zéro). Pour remettre à zéro le chronomètre dutemps séoulé, appuyersurlebouton RESET pendant trois secondes lors que le chronomètre est affiché.
AppuyersurleboutonRESET(remiseàzéro)etle maintenirenfoncépendantaumoins10secondespour remettreàzérol'affichagedutempsécoulédepuisle derniercycled'allumage.
Vitessemoyenne: AppuyersurleboutonTRIP(trajet) jusqu'àcequelavitessemoyennes'affiche, comme:
• AVERAGESPEED(vitessemoyenne)100km/hou
• AVERAGESPEED(vitessemoyenne)62mi/h
AppuyersurleboutonRESET(remiseàzéro)etle maintenirenfoncépourremettrel'affichageà 0,0km/h(mi/h).
Duréedevieutilerestantedel'huilemoteur:
AppuyersurleboutonTRIP(trajet)jusqu'àcequela duréedeviedel'huilemoteurs'affiche,commeOIL LIFEREMAINING89%(duréedevierestantedel'huile moteur).
Ils'agitd'uneestimationdeladuréedevieutile restantedel'huilemoteur.L'affichageindique 100%lorsquelesystèmeestremisàzéroaprèsune vidanged'huile.Lesystèmevousavertitd'effectuerla vidanged'huileselonuncalendrierquicorrespondà vosconditionsdeconduite.
Lorsqueladuréedevieutilerestantedel'huilemoteur estcourte,lesystèmevousavertitenaffichantle messageCHANGEENGINEOIL(vidanged'huile moteur).
Nepasoublierderéinitialiserl'indicateurd'usured'huile à moteuraprèschaquevidange. Ilneréinitialisepas automatiquement. Pourréinitialiserl'indicateur, se reporteràlarubrique Indicateurd'usured'huile à moteur à lapage 6-29 . Veillerànepasréinitialiser l'indicateurd'usured'huile à moteurparinadvertance à unautremomentquelorsdelavidange. L'indicateur nepeutpasêtreréinitialiséprécisément jusqu'à la prochainevidange.
SereporterauxrubriquesEntretienprévu à la page7-3 etHuileàmoteur àlapage6-22 pour plusderenseignements.
BoutonOPTION(options)
LeboutonOPTION(options)vouspermetd'accéderau menud'optionspersonnellesetd'établirlesparamètres depersonnalisationdevotrevéhicule.Sereporterà larubriquePersonnalisationCIBduvéhicule à la page4-81 pourobtenirdeplusamplesrenseignements.
BoutonRESET(réinitialisation)
LeboutonRESET(réinitialisation),utiliséconjointement avecd'autres,permetderéinitialiserlesfonctions dusystème,delesdésactiveroud'indiquerau centralisateurinformatiquedebordquevousavez prisconnaissancedesmessagesaffichés.
Centralisateurinformatiquede bord-Avertissementsetmessages
DesmessagessontaffichéssurleCIBpourindiquerau conducteurquel'étatduvéhiculeachangéetquedes actionsdoiventêtreentreprisesparleconducteurpour corrigerlacondition. Plusieursmessagespeuvent apparaîtrel'unaprèsl'autre. Vous pouvezfaire défilerlesmessagesquipeuventavoirétéenvoyés simultanément. LeCIBmetcontinuellementjourl'état duvéhicule.
Certainsmessagespeuventnepasnécessiterd'action immédiate, maisvouspouvezpresserleboutonRESET (réinitialisation) pour accuserréception des messages et leseffacerdel'écran.
Certainsmessagesnepeuventpasêtreeffacésde l'écrancarilssontplusurgents. Ces messagesexigent d'agiravantdepouvoirleseffacer. Vous devezprendre ausérieuxtousles messagesapparaissantàl'écran etvoussouvenirquelasuppressiondes messages entraîneseulementleurdisparitiondel'affichage, mais necorrigepasleproblème.
Lesmessagessuivantspeuventapparaîtreainsique certainesinformationss'yrapportant.
ABSACTIVE(systèmedefreinage antiblocageenfonction)
Cemessages'affichelorsquelesystèmedefreinage antiblocage(ABS)règlelapressiondefreinagepour éviterundérapageaufreinage.
Quandcemessages'affiche, laroutepeutêtre glissante, alorsréglervotreconduiteenconséquence. Cemessagedemeureaffichéquelquessecondesaprès quelesystèmecessederéglerlapressiondefreinage. SeréféreràSystèmedefreinageantiblocage(ABS) lapage5-5 pourdeplusamplesinformations.
à
ACTIVEHANDLING(contrôlede stabilitéactif)
Cemessages'affichelorsquelecontrôledestabilité fonctionne.Lesystèmedecontrôledestabilitéestun systèmeinformatiséquiaideleconducteuràcontrôler sonvéhiculelorsquelesconditionsdeconduitesont difficiles.Ilestpossiblequevousressentiezou entendiezlesystèmefonctionneretquevousvoyiez lemessageACTIVEHANDLING(contrôledestabilité actif)affichéauCIB.Cemessagedemeureaffiché quelquessecondesaprèsl'entréeenfonctiondu système.Ceciestnormallorsquelesystème fonctionne.SereporteràDispositifd'assistance variable àlapage5-8 etàFreinageàlapage5-4.
ACTIVEHANDLINGREADY(contrôlede stabilitéprêt)
Cemessages'affichelorsquelesystèmeaterminéla vérificationdefonctionnementdusystèmedecontrôle destabilité.SereporteràlarubriqueDispositif d'assistancevariable àlapage5-8 pourdeplus amplesrenseignements.
ATTACHTRUNKPARTITION(attacherla cloisonducoffre)
Sivotrevéhiculeestéquipéd'unecapoteàcommande électrique, cemessages'afficheetunsonretentitsila cloisonducoffren'estpasenplace. Ouvrirlehayon/ coffreets'assurerquelacloisondecoffreestbienen placeetqu'iln'yapasd'objetsurlacloisonducoffre. Sereporteràlarubrique Compartimentderangement arrière àlapage3-56 pourdeplusamples renseignements.
BATTERYSAVERACTIVE(protection contreladéchargedelabatterieen fonction)
Cemessages'affichequandlevéhiculeadétecté quelatensiondebatteriebaissetrop.Lesystèmede protectiondelabatterieréduitprogressivement, sans quevousleremarquiez,certainesfonctionsdevotre véhicule.Lorsqu'unedecesfonctionsestdésactivée, cemessages'affiche.Cecisignifiequelesystème essaied'enrayerladéchargedelabatterie.Coupertout accessoireinutilepourpermettreàlabatteriedese recharger.
BUCKLEPASSENGER(bouclerla ceinturedupassager)
Cemessagerappellequelepassagerdoitbouclersa ceinturedesécurité.
Cemessages'afficheetunsonretentitlorsquele contactestmis,laceinturedesécuritéduconducteur estbouclée,laceinturedesécuritédupassagern'est pasboucléemaislesacgonflabledupassagerest activéetlevéhiculeestenmouvement.Vousdevez demanderaupassagerdebouclersaceinturede sécurité.
Lemessageréapparaîtraetlesonretentiradenouveau silecontactestmis,levéhiculeeestenmouvement, laceintureduconducteurestbouclée,laceinturedu passagern'esttoujourspasbouclée,etlesacgonflable dupassagerestactivé.Silaceinturedupassagerest déjàbouclée,cemessagen'apparaîtrapas.
BUCKLESEATBELT(bouclervotre ceinture)
Cemessagerappelleauconducteurdebouclersa ceinturedesécurité.
Cemessages'afficheetunsonretentitlorsquele contactestmis,laceintureduconducteurn'estpas bouclée,etlevéhiculeestenmouvement.Vousdevez bouclervotreceinture.
Silaceintureduconducteurn'esttoujourspasbouclée alorsquelecontactestmisetquelevéhiculeesten mouvement,lemessageréapparaîtraetlecarillon retentiradenouveau.Silaceintureduconducteurest déjàbouclée,cemessagen'apparaîtrapas.
Cemessageconstitueunrappelsupplémentaireau témoinderappeldeceinturedesécurité, logédans legrouped'instruments. Sereporteràlarubrique Rappelsdeceinturedesécurité àlapage4-34 pour ensavoirplus.
CHANGEBRAKEPADS(changerles plaquettesdefreins)
Surdesvéhiculeséquipésdecapteursélectroniques d'usuredesplaquettesdefreins, cemessages'affiche lorsquelesplaquettesdefreinssontusées. Contacter votreconcessionnairepourlesremplacer.
CHANGEENGINEOIL(vidangerl'huile moteur)
Cemessages'affichelorsqueladuréedeviede l'huilemoteurestdépassée.Sereporteràlarubrique Entretienprévu àlapage7-3 .Unefoislavidange effectuée, l'indicateurdeduréedeviedel'huilemoteur doitêtreréinitialisé.Sereporteràlarubrique«Durée deviedel'huilemoteur» sous Fonctionnementet affichagesducentralisateurinformatiquedebord à la page4-50 .Sereporteraussiàlarubrique Huileà moteur àlapage6-22 etàlarubrique Indicateurd'usure d'huileàmoteur àlapage6-29 pourobtenirdeplus amplesrenseignements.
CHECKBRAKEFLUID(vérifierle liquidedefreins)
Cemessages'affiche, unsonretentitetletémoin dusystèmedefreinages'allumedanslegroupe d'instrumentsdutableaudebordsilecontactest mispourvousinformerqueleniveaudeliquide de freinsestbas. Sereporteràlarubrique Témoindu systèmedefreinage à lapage 4-38 . Faireréparer dèsquepossiblelesystèmedefreinagepar votre concessionnaire. Sereporteràlarubrique Freins à la page 6-51 .
CHECKCOOLANTLEVEL(vérifierle niveauduliquidederefroidissement)
Cemessages'affichelorsqueleniveauduliquidede refroidissementdumoteurestfaible.Faireeffectuer aussivitequepossibleunentretiendusystèmede refroidissementparunconcessionnaire.Sereporterà Liquidederefroidissementàlapage6-40.
CHECKGASCAP(vérifierlebouchon duréservoir)
Cemessages'affichesilebouchonduréservoirde carburantn'estpascomplètemesserré. Vérifiersi lebouchonderéservoirdecarburantestbienen place. Unefois serré, il faudraaunoinsunenuitde stationnement pour quelem messages' efface. Sile message CHECKGASCAP (vérifierlebouchondu réservoir) estafficheetsiletémoind'anomalie dugrouped'instruments detableaudebordest allumé, vous devrez peut-être vous rendrechez un concessionnaire pour une vérification. Sereporter à la rubrique Témoind'anomalie à lapage 4-42 purobtenir de plus samples renseignements.
CHECKOILLEVEL(vérifierleniveau d'huile)
Surcertainsvéhicules, cemessages'afficheetle carillonretentitdeuxfoissileniveaud'huileduvéhicule estfaible. Lorsquelevéhiculedétecteunemodification duniveaud'huilemoteur, letémoinresteéteint.
Sicemessages'affichelorsquevousdémarrezle moteur,leniveaud'huilepourraitêtretropbas.Ilfaudra peut-êtreajouterdel'huile.SereporteràSurchauffedu moteuràlapage6-45.
Pouraccuserréceptiondecemessage, presserle boutonRESET(réinitialisation). Lemessageréapparaît toutes les 10 minutes jusqu'à ce quecettesituation change.
CLOSETRUNKTOMOVETOP(fermer lecoffrepourdéplacerlacapote)
Cemessages'afficheetunsonretentitsilecoffre estouvertetquevoustentezdefairefonctionnerla capote.S'assurerquelecoffreestferméavantde fairefonctionnerlacapote.Sereporteràlarubrique Toitdécapotable(Manuelle) àlapage3-65 ou Toit décapotable(Alimentation)àlapage3-73.
COMPETITIVEDRIVINGMODE(mode deconduitesportive)
Cemessages'afficheetunsonretentitlorsquelemode deconduitesportiveestsélectionné. Letémoindu grouped'instrumentsdutableaudebords'allume lorsquelemodedeconduitesportiveestsélectionné. Encasdeboîtemanuelle, lecontrôledelancementest disponiblequandcemodeestsélectionné. Latraction asservie(TCS)nefonctionnepasdanscemode. Nous vousrecommandonsd'adaptervotreconduiteen conséquence. Cesystèmeestindisponiblesurle modèleZR1. VoirModedeconduitecompétitive à la page5-10, ycomprisl'informationsurlecontrôlede lancement, etConduitecompétitiveetcourse à la page5-22 pourplusderenseignements.
COOLANTOVERTEMPERATURE (surchauffeduliquidede refroidissement)
Cemessages'afficheetunsonretentitsila températureduliquidederefroidissementdépasse 124°C(255°F).Sivousavezconduitvotrevéhicule dansdesconditionsnormales, quitterlaroute, arrêter levéhiculeetcouperlemoteurdèsquepossible.
Vouspouvezsurveillerlatempératureduliquidede refroidissementàl'aideduboutondesindicateursdu ClBoudel'indicateurdetempératuredeliquidede refroidissementdumoteurdugrouped'instruments du tableau de bord. Se reporter à Surchauffe du moteur àlapage6-45 ,Fonctionnementetaffichagesdu centralisateurinformatiquedebord àlapage4-50 , et Indicateurdetempératureduliquidederefroidissement dumoteuràlapage4-41.
Pouraccuserréceptiondecemessage, presserle boutonRESET(réinitialisation). Lemessageréapparaît etunsonretentitchaqueminutejusqu'àcequecette situationchange. Sivousnepressezpaslebouton RESET, lemessageresteaffichéjusqu'àcequela conditionchange.
CRUISEDISENGAGED(régulateur automatiquedevitessedésactivé)
Cemessages'afficherabrièvementlorsquevouslibérez lerégulateurdevitesseenappuyantsurlefreinsur unvéhiculeàboîtedevitessesautomatique,ousur l'embrayagesurunvéhiculeàboîtedevitesses manuelleouencoupantl'interrupteurderégulateur devitesse.SereporteràlarubriqueRégulateurde vitesseautomatique àlapage4-7 pourplusde renseignements.
ENGINEDRAGCONTROLACTIVE (contrôledufreinmoteuractivé)
Cemessages'affichelorsquelecontrôledufrein moteurestactivé.Enconduitedansunevitesse inférieurepartempsdepluie,neigeouglace,lorsd'une décélérationoud'unrétrogradation,lesrouesarrière risquentdecommenceràpatiner,etcemessage apparaît.Cemessageresterapendantquelques secondesaprèsl'interventionducontrôledufrein moteur.
ENGINEOVERHEATED-STOPENGINE (surchauffedumoteur-arrêterle moteur)
Cemessages'afficheetunsonretentitlorsquele moteurasurchauffé. S'arrêteretcouperimmédiatement lemoteurpouréviterdesérieuxdégâts. Sereporteràla rubrique Surchauffe du moteur à la page 6-45.
ENGINEPROTECTIONREDUCE ENGINERPM(protectiondumoteur, réduirelerégimemoteur)
Cemessages'affichesilatempératured el'huiledu moteur dépasse 160°C (320°F). Vérifier latempérature duliquidederefroidissement dumoteuretleniveau d'huile. Silemoteurest tropchaud, sereporter à Surchauffedumoteur à lapage 6-45. Unentretien pourraits'avérernécessaire; consultervotre concessionnaire.
Vous pouvez contrôler latempératured el huileau moyenduboutondes indicateurs du CIB. Sereporter à Fonctionnement et affichages du centralisateur informatiquedebordàlapage 4-50.
Plusieurscarillonsretentissentlorsquecemessageest affiché. Cemessageresteaffichéetactifjusqu'àceque leproblèmesoitrésolu.
HEADLAMPSSUGGESTED(allumage despharesrecommandé)
Cemessages'affiches'ilfaitsombredehorsetqueles pharesetlesystèmeTwilightSentinel ^MD sonthors fonction.Cemessageinformeleconducteurqu'ilest recommandéd'allumerl'éclairageextérieur.Ilfaitassez sombredehorspourallumerlesphareset/oud'autres éclairagesextérieurs.
HIGHTIREPRESSURE(surpression despneus)
Cemessagepeuts'afficherlorsqu'unouplusieurs pneussontsuronflés. Cemessageaffiche également l'indication LEFTFRONT (avantgauche), RIGHT FRONT (avantdroit), LEFTREAR (arrière-gauche) ouRIGHTREAR (arrière-redroit) poursignalerlepneu concerné. Vous pouvez recevoir plusieurs messages depressiondespneusenmêmetemps. Pour lireles autresmessagesenvoyéssimultanément, appuyersur leboutonRESET (réinitialisation). Siunmessagede pressiondepneus'afficheau CIB, s'arrêterdèsque possible. Faire vérifier lapressiondespneusetlafaire régler à lavaleur indiquéesurl'étiquetted'information surlespneusetlechargement. Sereporterà Pneusà flancsrenforcés à lapage 6-83 , Chargement du véhicule à lapage 5-32 , Gonflement-Pression des pneus à lapage 6-85 et Systèmedesurveillancedela pressiondespneus à lapage 6-88 . Le CIBaffiche également les pressionsdespneus. Sereporterà Fonctionnementetaffichagesducentralisateur informatiquedebordàlapage 4-50.
Pouraccuserréceptiondecemessage, presserle boutonRESET(réinitialisation). Lemessageréapparaît toutes les 10 minutes jusqu'à cequel a condition soit corrigée.
HOTENGINEAIRCONDITIONINGOFF (moteurchaud, climatisation coupée)
Cemessages'affichequandlatempératureduliquide derefroidissementdumoteurdépasselanormale.Afin denepasimposerunecontraintesupplémentaireau moteurchaud,lecompresseurdeclimatiseurs'arrête automatiquement.Quandleliquidederefroidissement revientàsatempératurenormale,lefonctionnement normalduclimatiseurreviendraautomatiquement.Vous pouvezcontinueràconduirelevéhicule.Sicemessage s'affichecontinuellement,faireréparerlesystèmepar votreconcessionnairedèsquepossiblepouréviter d'endommagerlecompresseur.
ICEPOSSIBLE(possibilitédeverglas)
Cemessages'affichequandlatempératureextérieure estsuffisammentbassepourprovoquerlegeldela chaussée. Adaptervotreconduiteenconséquence.
LOWFUEL(basniveaudecarburant)
Cemessages'affichelorsqu'ilrestemoinsde10pour centdansleréservoirdecarburantetquel'affichage estdésactivé.Unsonretentitaussiàl'affichagedece message.Remplirdèsquepossibleleréservoirde carburant.SereporteràlarubriqueJaugedecarburant àlapage4-48.
LOWOILPRESSURE(faiblepression d'huile)
Cemessages'afficheencasdebassepressiond'huile. Sicemessages'affichependantquelemoteurtourne, arrêterlemoteuretnepaslefairefonctionnertantque lacausebassepressionn'apasétérectifiée. Vous risquezd'endommagergravementlemoteur. Unson retentitquandcemessages'affiche. SereporteràHuile àmoteuràlapage6-22.
LOWTIREPRESSURE(bassepression depneu)ouTIRELOWADDAIRTO TIRE(ajouterdel'airaupneu)

AVERTISSEMENT:
LorsquelesmessagesLOWTIREPRESSURE (bassepressiondepneu)ouTIREFLAT (crevaison)s'affichentsurlecentralisateur informatiquedebord, lamaîtrisedevotrevéhicule seraréduitelorsdemanoeuvresbrusques.
.../
AVERTISSEMENT:(suite)
L'efficacitédudispositifd'assistancevariable seraréduite.SereporteràDispositifd'assistance variable àlapage5-8 .Sivousconduiseztrop rapidement,vousrisquezdeperdrelecontrôle devotrevéhicule.Vousoud'autrespersonnes pourriezêtreblessés.Nepasrouleràunevitesse supérieureà90km/h(55mi/h)lorsqueles messagesLOWTIREPRESSUREouTIREFLAT s'affichent.Conduireprudemmentetvérifierla pressiondegonflagedevospneusdèsque possible.
Ce message s'affiche lorsqu'un ou plusieurs pneus sontsous-gonflés. Cemessageaffiche également l'indication LEFTFRONT (avantgauche), RIGHT FRONT (avantdroit), LEFTREAR (arrière-gauche) ou RIGHTREAR (arrière-droit) poursignalerlepneu concerné. Le carillon retentit plusieurs fois et le témoin depressiondepneus'allumeaugrouped'instruments dutableaudebordlorsquecemessageeestaffiché. Sereporterà Témoindepressiondespneus à la page 4-42. Vous pouvez recevoir plusieurs messages depressiondespneusenmêmetemps. Pour lireles autres messages envoyéssimultanément, appuyersur
leboutonRESET(réinitialisation).Siunmessagede pressiondepneus'afficheauCIB,s'arrêterdèsque possible.Fairevérifierlapressiondespneusetla fairerégleràlavaleurindiquéesurl'étiquette d'informationsurlespneusetlechargement.Se reporterauxrubriquesPneusàflancsrenforcés à la page6-83,Chargementduvéhicule àlapage5-32 , Gonflement-Pressiondespneus àlapage6-85 et Systèmedesurveillancedelapressiondespneus à la page6-88.LeCIBafficheégalementlesvaleursde pression des pneus. Voir Fonctionnement et affichages du centralisateur informatique de bord à la page 4-50.
Pouraccuserréceptiondecemessage, presserle boutonRESET(réinitialisation). Lemessageréapparaît toutes les 10 minutes jusqu'à cequel a condition soit corrigée.
MAXIMUMSPEED(vitessemaximale) 129km/h(80mi/h)
Cemessagesignaleunedéfaillancedanslesystème sélectifd'amortissemententempsréel. Lavitessedu véhiculeseralimitéeàunevitessedéterminéeparle véhiculelorsquelesystèmed'amortissementest défectueuxetquelesamortisseurssontenmodemou. Faireréparerlevéhiculeparvotreconcessionnairele plusrapidementpossible.
Pouraccuserréceptiondecemessage, presserle boutonRESET(réinitialisation). Lemessageréapparaît toutesles10minutesjusqu'àcequecettesituation change.
NOFOBSDETECTED(aucunémetteur détecté)
Cemessages'affichesilevéhiculenedétectepasla présenced'unémetteurd'accèsansclélorsquevous tentezdedémarrerlevéhiculeoudèsquelaportedu véhiculeaétéfermée.Lesconditionssuivantespeuvent êtreàl'originedecemessage:
- Unéquipementajoutéparleconducteurbranché danslaprised'alimentationdesaccessoiresde laconsolecentralecausedesinterférences. Exemplesd'équipement:téléphonecellulaireet chargeurpourtéléphone,émetteurrécepteur, inverseurs,etc.Tenterd'éloignerl'émetteurde ceséquipementsaudémarrage.Enoutre,les dispositifsPDAetdesouvre-portedegarage etdebarrièrepeeuventégalementgénérerdes interférencesélectromagnétiques(EMI)qui peuventaffecterlefonctionnementdel'émetteur. Nepasporterl'émetteurdanslamêmepocheou lemêmesacqueceséquipements.
- Levéhiculeestsoumisàdesinterférences électromagnétiques(EMI). Certainslieuxtelsque lesaéroports,lesbornesdepéageautomatique etcertainesstationsd'essence,possèdentdes champsélectromagnétiquesquipeuventinterférer avec votreémetteurd'accèsansclé.

Siledéplacementdel'émetteurdansdifférents pointsduvéhiculenerésoutpasleproblème, placerl'émetteurdanssonlogementdelaboiteà gantsaveclesboutonsorientésversladroiteet appuyersurleboutonSTART(démarrage).
- Latensiondelabatterieduvéhiculeestfaible. La tensiondelabatteriedoitêtresupérieure à 10 volts pour quel'émetteursoitcorrectement détecté.
NOFOB-OFFORRUN? (pasd'émetteurarrêtoumarche?)
Cemessages'affichelorsquel'émetteurd'accèsans clén'estpasdétectédanslevéhiculependantque voustentezdecouperlecontact.Levéhiculepeutêtre proched'unpuissantémetteurradioquiinterfèreavec lesystèmed'accèsansclé.Levéhiculeresteraen positionACCESSORY(accessoires)jusqu'àcequele contactsoitcoupéouquelevéhiculeaitredémarré, ouquecingqminutessesoientécoulées.Sivous coupezlecontactetquevousnepouvezpastrouver l'émetteurd'accèsansclé,vousneserezpascapable deredémarrer.L'émetteurd'accèsansclédoitse trouverdansl'habitaclepourdémarrer.Sereporterà Démarragedumoteur àlapage3-27 pourplus d'information.
OPTIONSUNAVAILABLE (optionsnon-disponibles)
Cemessages'affichequelquessecondession utiliseunémetteurd'accèsanscléquin'estpas numéroté1ou2etqu'onessayedepersonnaliser lesfonctionsduvéhiculeenappuyantsurlebouton OPTION(options).Lesystèmedepersonnalisationne reconnaitrapasl'émetteur,etleClBn'afficherapasle numéroduconducteuractuelnilesmenusutiliséspour réglerlapersonnalisation.Lescaractéristiquesde personnalisationserontalorsconfiguréespardéfaut. SereporteràlarubriquePersonnalisationCIBdu véhicule àlapage4-81 pourplusderenseignements.
PERFTRAC1-WETACTIVE HANDLINGON(modede traction1-contrôledestabilité activépourconditionshumides)
Cemessages'afficheetunsonretentitlorsquelemode degestiondetractiondeperformanceseestsélectionné. Letémoindutableaudebords'allumelorsquece modeestsélectionné.Lacommandedelancementest disponiblelorsquecemodeestsélectionné.Dansce mode,lesystèmedetractionasservieetdecontrôle destabilitésontdisponiblesmaisdestinésàl'utilisation surcircuithumide.Réglervotreconduiteen conséquence.Cesystèmeestdisponibleuniquement surlesmodèlesZR1.Sereporteràladescriptiondela gestiondetractiondesperformancesetducontrôlede lancementsousModedeconduitecompétitive à la page5-10 etConduitecompétitiveetcourse à la page5-22 pourplusd'informationsausujetde l'utilisationdecemode.
PERFTRAC2-DRYACTIVE HANDLINGON(modedetraction2-contrôledestabilité activépourconditionssèches)
Cemessages'afficheetunsonretentitlorsquelemode degestiondetractiondeperformanceestsélectionné. Letémoindutableaudebords'allumelorsquecemode estsélectionné.Lacommandedelancementest disponiblelorsquecemodeestsélectionné.Dansce mode,lesystèmedetractionasservieetdecontrôle destabilitésontdisponiblesmaisdestinésàl'utilisation surcircuitsec.Réglervotreconduiteenconsequence. Cesystèmeestdisponibleuniquementsurles modèlesZR1.Sereporteràladescriptiondelagestion detractiondesperformancesetducontrôlede lancementsousModedeconduitecompétitive à la page5-10 etConduitecompétitiveetcourse à la page5-22 pourplusd'informationsausujetde l'utilisationdecemode.
PERFTRAC3-SPORTACTIVE HANDLINGON(modede traction3-contrôledestabilité activépourperformancesport)
Cemessages'afficheetunsonretentitlorsquelemode degestiondetractiondeperformanceestsélectionné. Letémoindutableaudebords'allumelorsquece modeestsélectionné.Lacommandedelancementest disponiblelorsquecemodeestsélectionné.Dansce mode,lesystèmedetractionasservieetdecontrôle destabilitésontdisponiblesmaisdestinésàl'utilisation surcircuitsec.Réglervotreconduiteenconsequence. Cesystèmeestdisponibleleuniquementsurles modèlesZR1.Sereporteràladescriptiondelagestion detractiondesperformancesetducontrôlede lancementsousModedeconduitecompétitive à la page5-10 etConduitecompétitiveetcourse à la page5-22 pourplusd'informationsausujetde l'utilisationdecemode.
PERFTRAC4-SPORTACTIVE HANDLINGOFF(modede traction4-contrôledestabilité desactivépourperformancesport)
Cemessages'afficheetunsonretentitlorsquelemode degestiondetractiondeperformanceestsélectionné. Letémoindutableaudebords'allumelorsquecemode estsélectionné.Lecontrôledelancementestdisponible lorsquecemodeestsélectionné.Danscemode,la tractionasservieestdisponiblemaisdestinéeà l'utilisationsurcircuitsec.Lesystèmedecontrôlede stabilitéestdésactivélorsquecemodeestsélectionné. Cemodeexigedavantagedecapacitédelapartdu conducteurquelesmodes1-3.Réglervotreconduiteen conséquence.Cesystèmeestdisponibleuniquement surlesmodèlesZR1.Sereporteràladescriptiondela gestiondetractiondeperformanceetducontrôlede lancementsousModedeconduitecompétitive à la page5-10 etConduitecompétitiveetcourse à la page5-22 pourplusd'informationsausujetdecemode.
PERFTRAC5-RACEACTIVE HANDLINGOFF(moded traction5-contrôledestabilité desactivépourcircuitdecourse)
Cemessages'afficheetunsonretentitlorsquelemode degestiondetractiondeperformancesestsélectionné. Letémoindutableaudebords'allumeégalement lorsquecemodeestsélectionné.Lecontrôlede lancementestdisponiblelorsquecemodeest sélectionné.Danscemode,latractionasservieest disponiblemaisdestinéeàl'utilisationsurcircuitsec. Lesystèmedecontrôledestabilitéstdésactivé lorsquecemodeestsélectionné.Cemodeexige davantaged'aptitudequelesmodes1-4.Réglervotre conduiteenconséquence.Cesystèmeestdisponible uniquementsurlesmodèlesZR1.Sereporteràla descriptionelagestiondetractiondeperformance etducontrôledelancementsousModedeconduite compétitive àlapage5-10 etConduitecompétitiveet course àlapage5-22 pourplusd'informationsausujet decemode.
PRESSBRAKETOSTARTENGINE (appuyersurlefreinpourdémarrerle moteur)(Boîtedevitessesautomatique seulement)
Cemessages'affichesivousessayezdedémarrer lemoteurenappuyantsurleboutondedémarrage sansclésansappuyersurlesfreins.Ilestnécessaire d'appuyersurlesfreinsendémarrantlemoteur. Sereporteràlarubrique Positionsducommutateur d'allumage àlapage3-25 pourplusderenseignements.
REDUCEDENGINEPOWER(puissance dumoteurréduite)
Sicemessages'afficheetqueletémoindevérification dumoteurs'allume,uneforteréductiondeperformance duvéhiculepourraitseproduire.Silemessage REDUCEDENGINEPOWER(puissancedumoteur réduite)sansquevousneconstatiezpourautantune réductiondesperformances,continuerversvotre destination.Lesperformancespeuventêtreréduitesà laprochaineutilisationduvéhicule.
Ilestpossibledeconduirelevéhiculeàvitesseréduite lorsquelemessageREDUCEDENGINEPOWER (puissancedumoteurréduite)estaffiché, mais l'accélérationetlavitessepeuventêtrelimitées. Chaquefoisqueletémoindevérificationdumoteur resteallumé, levéhiculedoitêtreconduitchez votre
concessionnairedèsquepossiblepourdiagnostic etréparation.Sereporterà Témoind'anomalie à la page4-42 pourplusderenseignements.
Uncarillonretentitplusieursfoislorsquecemessage estaffiché.
Pouraccuserréceptiondecemessage, presserle boutonRESET(réinitialisation). Lemessageréapparaît touteslescingminutesjusqu'àcequecettesituation change.
SilemessageREDUCEDENGINEPOWER(puissance dumoteurréduite)estcombinéaumessageCOOLANT OVERTEMPERATURE(surchauffeduliquide de refroidissement),sereporteràSurchauffedumoteur à lapage6-45.
SERVICEACTIVEHANDLINGSYSTEM (faireréviserlesystèmedecontrôlede stabilité)
Cemessages'affiches'ilyaunproblèmedecontrôle destabilitéetquelevéhiculedoitêtrecontrôlé. Letémoindusystèmedecontrôledestabilitédu grouped'instrumentsdutableaudebords'allume également-tunsonretentit.Consultervotre concessionnaire.Lorsquecemessageestaffiché,le systèmenefonctionnepas.Adaptervotreconduiteen conséquence.SereporteràDispositifd'assistance variable àlapage5-8 pourplusderenseignements.
SERVICEAIRCONDITIONING (faireréviserlaclimatisation)
Cemessages'affichequandlescapteursélectroniques quicommandentlessystèmesdeclimatisationet dechauffagenefonctionnentplus.Faireréparerle systèmederégulationdetempératureparvotre concessionnaireencasderéductiondel'efficacitéde laclimatisationetduchauffage.
SERVICEANTILOCKBRAKES (faireréviserl'antiblocagedesfreins)
Sicemessages'afficheencoursderoute,s'arrêter dèsquepossibleetcouperlecontact.Puisredémarrer lemoteurpourréinitialiserlesystème.Silemessage subsiste,ourevientànouveauenroulant,votre véhiculeabesoind'entretien.Consultervotre concessionnaire.Siletémoindusystèmedefreinage antiblocage(ABS)estallumétandisqueletémoindu systèmedefreinagenormalnel'estpas,vousavez toujoursdesfreinsmaispasd'ABS.Siletémoindu systèmedefreinagenormals'allumeaussi,vousn'avez pasd'ABSetvosfreinsontégalementunproblème.Se reporterà Témoindesystèmedefreinageantiblocage lapage4-39 et Témoindusystèmedefreinage à la page4-38.
Sicemessageestaffiché,lesystèmedetraction asservie(TCS)etlesystèmedecontrôledestabilité serontaussidésactivés.LeCIBferadéfilertrois messages:SERVICEANTILOCKBRAKES(faire réviserl'antiblocagedesfreins),SERVICETRACTION SYSTEM(fairevérifierlesystèmedetractionasservie) etSERVICEACTIVEHANDLING(fairevérifierle contrôledestabilité)etlestémoinsdutableaudebord s'allumerontenmêmetempsqu'unsonretentira. Lorsquecesmessagessontaffichés,lessystèmes contrôlésparordinateurn'assisterontpasleconducteur. Faireréparerlesystèmedèsquepossibleparvotre concessionnaire.Ajusterlaconduiteenconsequence.
Pouraccuserréceptiondecemessage, presserle boutonRESET(réinitialisation).
SERVICECHARGINGSYSTEM (faireréviserlesystèmedecharge)
Sicemessages'afficheencoursderoute,lesystème dechargeélectriquepourraitêtredéfectueux.Ilpourrait signifierqu'unecourroied'entraînementestdesserrée ourompueoulaprésenced'unautreproblème électrique.Fairevérifierimmédiatementlevéhiculepar votreconcessionnaire.Conduireaveccemessage affichérisquededéchargerlabatterie.
Siondoitconduireunecourtedistanceavecce messageallumé, s'assurerd'éteindretousles accessoiresduvéhicule, telsquelaradioetle climatiseur.
Uncarillonretentitplusieursfoislorsquecemessage estaffiché.
Pouraccuserréceptiondecemessage, presserle boutonRESET(réinitialisation). Lemessageréapparaît toutesles10minutesjusqu'àcequecettesituation change.
SERVICEELECTRICALSYSTEM (faireréparerlecircuitélectrique)
Cemessages'affichesiunproblèmeélectriqueest survenudanslemoduledecommandedugroupe motopropulseur(PCM).Faireréviserlevéhiculepar votreconcessionnaire.
SERVICEFUELSYSTEM(faireréparer lesystèmed'alimentationencarburant)
Cemessages'affichesilemoduledecommandedu groupemotopropulseur(PCM)adétectéunproblème danslecircuitdecarburant.Faireréviservotrevéhicule parvotreconcessionnaire.Cemessages'affiche égalementselegrouped'instrumentsnereçoitpas d'informationrelativeaucarburantduPCM.
SERVICERIDECONTROL(faireréparer lesystèmedesuspensionàgéométrie variable)
Cemessages'affichelorsquelesystèmede suspensionàgéométrievariableadétectéune défaillanceetqu'ilestnécessairedeprocéderàla révisiondusystème.Consultervotreconcessionnaire.Encasdedéfaillanceauniveaudusystèmede suspensionàgéométrievariablemettantles amortisseursenmodeleplussouple,lesmessages SERVICERIDECONTROL,SHOCKSINOPERATIVE (faireréviserlasuspensionàgéométrievariable, amortisseurshorsservice)etMAXIMUMSPEED (vitessemaximale)129km/h(80mi/h)s'affichent simultanément.SereporteràSuspensionàgéométrie variable àlapage5-15 pourplusderenseignements.
SERVICETIREMONITOR(réparerle systèmedesurveillancedelapression despneus)
Cemessages'affichesiunélémentdusystèmede surveillancedelapressiondespneus(TPMS)ne fonctionne pas correctement. Le témoin de pression despneusclignoteégalementpuisresteallumé pendant ce cycle d'allumage. Se reporter à Témoin de pressiondespneus àlapage4-42 .Plusieurssituations peuventprovoquerl'apparitiondecemessage.
SereporteràFonctionnementdudispositifde surveillancedelapressiondepneu àlapage6-89 pourdeplusamplesinformations.Siletémoin d'avertissements'allumeetresteallumé,cepeutêtre l'indicationd'unproblèmedeTPMS.Consulter votre concessionnaire.
SERVICETRACTIONSYSTEM(rappel d'entretiendelatractionasservie)
Sicemessages'afficheencoursderoute,le systèmedetractionasservie(TCS)estdéfectueux etlevéhiculeabesoind'unentretien.Consultervotre concessionnaire.Lorsquecemessages'affiche,le systèmenelimitepaslepatinagedesroues.Adapter saconduiteenconséquence.
Letémoindusystèmedetractionasservie(TCS)du grouped'instrumentsdutableaudebords'allume égalementetunsonretentit.
Lorsquecemessageestaffiché, lessystèmescontrôlés parordinateurn'assistentpasleconducteur dans le contrôleduvéhicule. Faireréparerlesystèmepar votre concessionnairele plus vite possible. Adaptersa conduite en conséquence. Sereporter à Systèmede tractionasservie (TCS) à lapage 5-7 pour plus de renseignements.
Pouraccuserréceptiondecemessage, presserle boutonRESET(réinitialisation).
SERVICETRANSMISSION(fairevérifier laboîtedevitesses)
Cemessageapparaîtlorsqu'ilyaunproblèmeavecla boîtedevitesses.Consultervotreconcessionnairepour intervention.
SERVICEVEHICLESOON(réparerle véhiculesouspeu)
Cemessages'afficheetunsonretentitlorsqu'ilpeuty avoirunproblèmed'ordreélectriqueouautre.Faire vérifierlevéhiculeparvotreconcessionnairesice messagecontinuedes'afficher.
SETPARKBRAKEFORSEATRECALL (mettrelefreindestationnementpour rappelerlesréglagesdesiège)
Silevéhiculeestdotéd'uneboîtedevitesses manuelle, cemessages'affichesivousessayez derappelerlespositionenmémoirealorsquele contactestmisetpaslefreindestationnement. Silevéhiculeestenmarche, vousdevezmettrelefrein destationnementpourquelespositionenmémoire puissentêtrerappelées. Sereporterâlarubrique Siège, rétroviseursetvolantdedirectionàmémoire lapage2-4 pourplusderenseignements.
à
SETPARKBRAKETOMOVETOP (mettrelefreindestationnementpour actionnerletoit)
Silevéhiculeestdotéd'uneboîtedevitesses manuelle, cemessages'afficheetunson retentitsivousessayezdefairefonctionnerletoit décapotableassistésansavoird'abordmislefreinde stationnement. Mettrelefreindestationnement avant d'essayerdefairefonctionnerletoitdécapotable assisté. Sereporteràlarubrique Toitdécapotable (Manuelle) àlapage3-65 ou Toitdécapotable (Alimentation) àlapage3-73 pourplusde renseignements.
SHIFTTOPARK(passerenpositionde stationnement)
Silevéhiculeestdotéd'uneboîtedevitesses automatique, cemessageindiquequelevéhiculen'est pasenpositiondestationnement(P) lorsquelémoteur est coupé. Levéhiculeseraenmode ACCESSORY (accessoires). Unefoislelevierdéplacéenpositionde stationnement(P), levéhiculeserahorsfonction.
LevéhiculeresteraenpositionACCESSORY (accessoires)pendantles20minutesdetemporisation, jusqu'àcequeleleviersoitplacéenpositionde stationnement(P)ouqueleconducteurappuiesurle bouton-poussoirpourredémarrerlevéhicule.Pourplus d'informations,sereporteràlarubriquePositionsdu commutateurd'allumageàlapage3-25.
SHIFTTOPARKORSETPARKBRAKE FORTOP(passerenpositionde stationnementoumettrelefreinde stationnementpourletoit)
Silevéhiculeestdotéd'uneboîtedevitesses automatique, cemessages'afficheetunson retentitsivousessayezdefairefonctionnerletoit décapotableassistésansêtred'abordpasséen positiondestationnement(P)ouavoirmislefreinde stationnement. Passerenpositiondestationnement(P) oumettrelefreindestationnementavantd'essayerde fairefonctionnerletoitdécapotableassisté. Sereporter àlarubrique Toitdécapotable(Manuelle) àlapage3-65 ou Toitdécapotable(Alimentation) àlapage3-73 pour plusderenseignements.
SHOCKSINOPERATIVE(amortisseurs inopérants)
Cemessagesignaleunedéfaillancedanslesystème desuspensionàgéométrievariable,quimetles amortisseursenpositionlaplussouple.Ils'agitd'un avertissementauconducteurluisignalantquelatenue derouteduvéhiculepourraitêtreaffectée.Faireréviser votrevéhiculeparvotreconcessionnaireleplusvite possible.
Pouraccuserréceptiondecemessage, presserle boutonRESET(réinitialisation). Lemessageréapparaît toutes les 10 minutes jusqu'à ce quecettesituation change.
TIREFLAT(crevaison)

AVERTISSEMENT:
SilesmessagesLOWTIREPRESSURE(basse pressiondepneu)ouTIREFLAT(crevaison) s'affichentsurlecentralisateurinformatiquede bord,lamaîtrisedevotrevéhiculeseraréduite lorsdemanoeuvresbrusques.Sivousconduisez troprapidement,vousrisquezdeperdrele contrôledevotrevéhicule.Vousoud'autres
.../
AVERTISSEMENT:(suite)
personnespourriezêtreblessés. Nepasroulerà unevitessesupérieure à 90 km/h (55 mi/h) lorsque les messages LOWTIRE PRESSURE ou TIRE FLATs'affichent. Conduireprudemmentet vérifier lapressiondegonflagedevospneusdèsque possible.
Cemessages'affichelorsqueunouplusieurspneus sontplats. Cemessageafficheégalement l'indication LEFTFRONT (avantgauche), RIGHTFRONT (avant droit), LEFTREAR (arrièregauche) ou RIGHTREAR (arrièredroit) poursignalerlepneuconcerné. Le carillonretentitplusieursfoisetletémoindepression depneus'allumeaugrouped'instrumentsdutableau debordlorsquecemessageestaffiché. Sereporterà Témoindepressiondespneusàlapage 4-42.
CemessageestsuiviparlemessageMAXIMUM SPEED(vitessemaximale)90km/h(55mi/h),puis parlemessageREDUCEDHANDLING(contrôlede stabilitéréduit).Lesystèmedecontrôledestabilité interviendraplusrapidementencasdedétectiond'un pneudégonflé.Réglervotreconduiteenconséquence.
Vous pouvez recevoir plusieurs messages depression despneus en mêmetemps. Pour lire les autres messages envoyéssimultanément, appuyersurle bouton RESET (réinitialisation). Siunmessagede pression depneus'afficheau ClB, s'arrêterdèsque possible. Faire vérifier lapression des pneusetlafaire régler à lavaleur indiquéesurl l'étiquetted d'information surespneusetlechargement. Sereporter à Pneus à flancs renforcés à lapage 6-83 , Chargement du véhicule à lapage 5-32 , Gonflement - Pression des pneus à lapage 6-85 et Systèmedes surveillancedela pression des pneus à lapage 6-88 . Le Cl Baffiche également les pressions des pneus. Sereporter à Fonctionnement et affichages du centralisateur informatique de bord à lapage 4-50.
Pouraccuserréceptiondecemessage, presserle boutonRESET(réinitialisation). Lemessageréapparaît toutesles 10 minutes jusqu'àcequela conditions soit corrigée.
TOOCOLDTOMOVETOP(tropfroid pourdéplacerletoit)
Cemessages'afficheetunsonretentitlorsqu'onappuie surleboutondutoitdécapotableassistéetquela températuredumoteurdelapompedutoitdécapotable assistéestinférieureà-20°C(-4°F).Attendrequele moteurdelapompedutoitdécapotableassistémonte avantd'utiliserletoitdécapotableassisté.
TOPMOTOROVERTEMPERATURE (surchauffedumoteurdutoit décapotable)
Cemessages'afficheetunsonretentitlorsqu'onappuie surleboutondutoitdécapotableassistéetquela températuredumoteurdelapompedutoitdécapotable assistéestsupérieureà105°C(221°F).Attendreque lemoteurdelapompedutoitdécapotableassisté refroidisseavantd'utiliserletoitdécapotableassisté.
TOPNOTSECURE(toitnonverrouillé)
Cemessages'afficheetunsonretentitlorsqu'on relâcheleboutondutoitdécapotableassistéavant l'achèvementdel'ouvertureoudelafermetureousi letoitestfermésansqueleloquetsupérieursoit engagé.Appuyeretmaintenirlapressionsurlebouton dutoitdécapotableassistépourl'ouvriroulefermer complètement,ets'assurerqueleloquetsupérieursoit engagéaprèslafermeturedutoit.
TRACTIONSYSTEMACTIVE(système detractionactivé)
Cemessages'affichelorsquelatractionasservielimite lepatinagedesroues.Lachausséepeutêtreglissante sicemessageestaffiché,adapterdonclaconduiteen conséquence.Lemessagedemeureaffichépendant quelquessecondesaprèsl'arrêtdelimitationdu patinagedesrouesparleTCS.Sereporteràla rubriqueSystèmedetractionasservie(TCS) à la page5-7 pourensavoirplus.
TRACTIONSYSTEMANDACTIVE HANDLING-OFF(systèmesdetraction asservieetdecontrôledestabilité désactivés)
Cemessages'affiche,letémoindugroupe d'instrumentsdutableaudebords'allumeetunson retentitlorsquelesystèmedetractionasservie(TCS)et lesystèmedecontrôledestabilitésontdésactivésen pressantleboutondusystèmedecontrôledestabilité delaconsolependantcinqsecondes.Lesystèmede freinageantiblocage(ABS)resteenfonctionlorsque le TCSetlesystèmedecontrôledestabilitésont désactivés. Adaptervotreconduiteenconséquence.
SereporteràSystèmedetractionasservie(TCS) à la page5-7 etDispositifd'assistancevariable à la page5-8 pourdeplusamplesinformations.
Pouraccuserréceptiondecemessage, presserle boutonRESET(réinitialisation).
TRACTIONSYSTEMANDACTIVE HANDLING-ON(systèmesdetraction asservieetdecontrôledestabilité activés)
Silesystèmedetractionasservie(TCS)etlesystème decontrôledestabilitésontdésactivés, cemessage s'affichebrièvement, letémoindugrouped'instruments durableaudebords'étéintetunsonretentitlorsquele TCSetlesystèmedecontrôledestabilitésontactivés enpressantleboutondusystèmedecontrôlede stabilitédelaconsole. SereporteràSystèmede tractionasservie(TCS) àlapage5-7 etDispositif d'assistancevariable àlapage5-8 pourplusde renseignements.
TRACTIONSYSTEM-OFF(systèmede tractionasservie-horsfonction)
Cemessages'afficheetresteaffiché,unsonretentit etletémoindusystèmedetractionasservie(TCS)du grouped'instrumentsdutableaudebords'allume lorsqueleTCSsestdésactivéenpressantlebouton dusystèmedecontrôledestabilitédelaconsole.Se reporteràTémoindusystèmedetractionasservie à la page4-40 .SereporteràSystèmedetractionasservie (TCS) àlapage5-7 pourplusderenseignements. Pouraccuserréceptiondecemessage, presserle boutonRESET(réinitialisation).
TRACTIONSYSTEM-ON(systèmede tractionasservie-enfonction)
Cemessages'afficheetunsonretentitlorsquele systèmedetractionasservie(TCS)estactivéen pressantleboutondusystèmedecontrôledestabilité delaconsole.Cemessages'effaceautomatiquement del'écranduCIB.SereporteràSystèmedetractionasservie(TCS) àlapage5-7 pourplusde renseignements.
TRANSMISSIONHOTIDLE ENGINE(surchauffedelaboîtede vitesses-fairetournerlemoteurau ralenti)
Cemessages'afficheetquatrecarillonsretentissentsi latempératureduliquidedelaboîtedevitessess'élève au-dessusde132°C(270°F)ous'élèverapidement.La boîtedevitessespeutchangerderapportouengager l'embrayageduconvertisseurdecoupleafinderéduire latempératureduliquide.Uneconduiteagressiveou uneconduitesurdelonguescôtespeutêtreàl'origine d'unetempératureplusélevéequelanormaledu liquidedelaboîtedevitesses.Sicemessages'affiche, vouspouvezcontinueràconduire,maisàunevitesse pluslente.Contrôlerlatempératureduliquidedela boîtedevitessesetlalaisserserefroidiràaumoins 110°C(230°F).Latempératureduliquidedelaboîtede vitessespeutêtreobservéeaumoyenduboutondes indicateursduCIB.SereporteràFonctionnementet affichagesducentralisateurinformatiquedebord à la page4-50 etLiquidedeboîtedevitessesautomatique à lapage6-35 .Contrôlerégalementlatempérature duliquidederefroidissementdumoteur.Sielleest égalementélevée,sereporteràSurchauffedumoteur à lapage6-45 .
Si ce message s'affiche pendant une conduite normale surdesroutesplates, unentretienduvéhicule peut s'avérernécessaire. Consultervotre concessionnaire pouruneinspection.
Sivousroulezdanslebutd'obtenirlesmeilleures performancesoud'êtrelepluscompétitif,nousvous recommandonsdesélectionnerd'utiliserlemode sportifautomatique(S)oulemodedechangementde vitessesmanuelauxmanetteSportif(S).Pourplus d'informations,sereporteràlarubriqueFonctionnement de la boîte de vitesses automatique à la page 3-30.
Pouraccuserréceptiondecemessage, presserle boutonRESET(réinitialisation). Lemessageréapparaît toutesles 10 minutes jusqu'àcequecettesituation change. SivousnepressezpasleboutonRESET, le messageresteaffichéjusqu'àcequelacondition change.
TURNSIGNALON(clignotantactivé)
Cemessages'afficheetunsonretentitsiunclignotant est maintenu en fonction pendant 1,2 km (trois quarts demille). Déplacerlelevierdeclignotant/multifonction enpositionhorsfonction.
Pouraccuserréceptiondecemessage, presserle boutonRESET(réinitialisation).
UNLATCHHEADERTOMOVETOP (libérerleloquetpourouvrirletoit)
Cemessages'afficheetunsonretentitsivousessayez d'ouvrirletoitdécapotableassistésansavoird'abord libéré le loquet supérieur. Manoeuvrer la poignée du loquetpourouvrirletoitdécapotable.Sereporteràla rubrique Toitdécapotable(Manuelle) àlapage3-65 ou Toitdécapotable(Alimentation)àlapage3-73.
Autresmessages
Voicid'autresmessagesquipeuventapparaîtresur votrecentralisateurinformatiquedebord(CIB). Pour accuserréceptiond'unmessageetenlireunautre ayantpuêtretransmisenmémetemps, appuyersurle boutonRESET (remiseàzéro).
- ACCESSORYMODEON(modeaccessoiresen fonction)
- BATTERYVOLTAGEHIGH(tensiondebatterie élevée)
Sereporteràlarubrique Indicateurdevoltmètre à lapage4-37.
- BATTERYVOLTAGELOW(faibletensiondela batterie)
Sereporteràlarubrique Indicateurdevoltmètre à lapage4-37.
- CHECKWASHERFLUID(vérifierleniveaudu lave-glace)
SereporteràlarubriqueLiquidedelave-glace à la page6-50. - CRUISESETTOXXXMPH(XXXkm/h)(vitesse régléesurXXXkm/h(XXXmi/h))
SereporteràlarubriqueRégulateurdevitesse automatiqueàlapage4-7. - DRIVERDOORAJAR(porteduconducteur entrouverte)
- FOBAUTOLEARNWAITXXMINUTES (autoprogrammationdel'émetteur, attendre XXminutes)
Sereporterà «Émetteur(s)correspondant(s)à votre véhicule» souslarubrique Fonctionnement dusystèmed'accèsanscléalapage 3-5.
• FOBBATTERYLOW(piledel'émetteurfaible)
Sereporteràlarubrique «Remplacementde lapile» delasection Fonctionnement dusystème d'accèsanscléâlapage 3-5.
• HATCHAJAR(hayonouvert)(coupé) -
INTRUSIONSENSOROFF(détecteur d'intrusion désactivé), sivotrevéhicule estéquipédecette fonction
-
INTRUSIONSENSORON(détecteur d'intrusion activé), sivotrevéhicule estéquipédecette fonction
• KNOWNFOB(émetteurreconnu)
Sereporterà «Émetteur(s)correspondant(s)à votre véhicule» souslarubrique Fonctionnement dusystèmed'accèsanscléâlapage 3-5.
• MAXIMUMNUMBEROFFOBSLEARNED (nombremaximumd'émetteursprogrammés)
Sereporterà «Émetteur(s)correspondant(s)à votre véhicule» souslarubrique Fonctionnement dusystèmed'accèsanscléâlapage 3-5. - OFF-ACCESSORYTOLEARN(arrêt-accessoires pourprogrammer)
Sereporterà «Émetteur(s)correspondant(s)à votre véhicule» souslarubrique Fonctionnement dusystèmed'accèsanscléalapage 3-5.
• PASSENGERDOORAJAR(portedupassager entrouverte) - READYFORFOB#X(prêtpourl'émetteur numéroX)
Sereporterà «Émetteur(s)correspondant(s)à votre véhicule» souslarubrique Fonctionnement dusystèmed'accèsanscléalapage 3-5.
• TONNEAUAJAR(bâcheouverte)(cabriolet)
• TRUNKAJAR(coffreouvert)(cabriolet)
• UPSHIFTNOW(passageascendantmaintenant)
Sereporteràlarubrique Fonctionnement dela boîtedevitessesmanuelleàlapage3-35.
PersonnalisationCIBduvéhicule
Bonnombredescaractéristiquesdevotrevéhicule peuventêtrepersonnalisées, cequisignifiequ'elles peuventêtrerégléespourfonctionnerselonlapersonne quileconduit. Sereporteràlarubrique «Options personnelles» plusloindanslaprésentesection pourconnaîtrelescaractéristiquesquipeuventêtre personnalisées.
Lesparamètresdepersonnalisationd'autres caractéristiquessontautomatiquementmisàjouret sauvegardéslorsqueleconducteurlesrègle. Parmi ceux-ci, onretrouvelesparamètresetlesréglages suivants:
-
Lespréréglagesdestationsderadio, latonalité, le volume, l'équilibredroite-gaucheetavant-arrière, l'égalisationetlasource(radioulecteurde disquescompacts)
• Lesderniersréglagesdelaclimatisation -
La position de visualisation tête haute (HUD) et le réglaged'intensité, sivotrevéhiculeenestpourvu
- Leréglagedel'intensitédugrouped'instruments dutableaudebordetledernieraffichage sélectionnéàpartirducentralisateurinformatique debord
Lesparamètrespersonnaliséspeuventêtre sauvegardéspourdeuxconducteursdifférents. L'un desémetteursdetélédéverrouillageestassignéau conducteur numéro 1. L'autreestassignéauconducteur numéro 2. Leschiffres 1 ou 2 indiqués à l'arrière des émetteursdetélédéverrouillage correspondent à chacundesconducteurs.
Lespréférencesduconducteuractuelsontrappelées lorsqu'unedessituationssuivantessurvient:
- Leboutondeverrouillageoudetélédéverrouillage del'émetteurdetélédéverrouillage1ou2est enfoncé.
- Leboutondemémorisationapproprié1ou2situé surlaporteduconducteurestenfoncé.Sereporter àlarubrique Siège, rétroviseursetvolantde directionàmémoire àlapage2-4 poubttenir deplusamplesrenseignements.
- Unémetteurd'accèsansclévalableestdétecté lorsdel'ouverturedelaportièreduconducteur.
Siplusd'unémetteurd'accèsansclévalableest détectélorsdel'ouverturedelaportière,les préférencesprisesencompteserontcellesdu conducteurdontlenuméroestleplusfaible.
Siunémetteurdetélédéverrouillagequineportepasle numéro1ou2estutilisé,lesystèmedepersonnalisation nereconnaîtrapasl'émetteur.Lenuméroduconducteur neserapasaffichésurlecentralisateurinformatiquede bordetlescaractéristiquesquisonthabituellement programméesdanslecentralisateurinformatiquede bordneserontpasrappelées.Deplus,silebouton OPTION(options)estenfoncé,lecentralisateur informatiquedebordn'affichepaslesmenusutilisés pourpersonnaliserlesparamètres,maisplutôtle messageOPTIONSUNAVAILABLE(optionsnon disponibles)pendantquelquessecondes.
Accéderaumenudesaisiedesoptions personnelles
Pouraccéderaumenudesaisiedesoptions personnelles, procéderdelamanièresuivante:
- Sivotrevéhiculeestéquipéd'uneboîtede vitessesautomatique, démarrerlemoteur avecclelevierdevitessesàlapositionde stationnement(P).
Sivotrevéhiculeestéquipéd'uneboîtede vitessesmanuelle,démarrerlemoteuravecle freindestationnementserré.
Ilestconseilléd'éteindrelespharespournepas déchargerlabatterie.
- AppuyersurleboutonOPTION(options)afin d'accéderaumenuPERSONALOPTIONS (optionspersonnelles).
Lecentralisateurinformatiquedebordaffichera lenuméroduconducteuractuel(1ou2)pendant quelquessecondes,puisilafficherales instructionspourréglerlesparamètres.Lebouton RESET(réinitialisation)sertàsélectionnerles paramètresd'unecaractéristiquedonnée.Le boutonOPTION(options)sertàpasserd'une caractéristiqueàuneautre.
-
AppuyersurleboutonOPTION(options) lorsque l'écrand'instructionsestaffichéafind'afficherla premièrecaractéristiquequevouspouvez personnaliser.
-
Aprèsavoirparcourutouteslesoptions personnelles, appuyersurleboutonOPTION (options) unedernière foispoursortirdumenu desoptionspersonnelles. Deplus, siaucun boutonn'estenfoncédansles 45 secondes, le centralisateurinformatiquedebordsortiradumenu desoptionspersonnelles.
Optionspersonnelles
Lesoptionssuivantespeuventêtreprogrammées:
DisplayUnits(affichagedesunitésdemesure):
Cetteoptionvouspermetdechoisirlesunitésde mesure.
AppuyersurleboutonOPTION(options)jusqu'âce queDISPLAYUNITS(affichagedesunitésdemesure)s'affiche,puissurleboutonRESET(remiseàzéro)afin deparcourirlesmodessuivants:
• ENGLISH(anglais)(pardéfaut)
• METRIC(métrique)
SivoussélectionnezENGLISH(anglais),tousles renseignementsserontaffichésenmesuresanglaises.
SivoussélectionnezMETRIC(métrique),tousles renseignementsserontaffichésenmesuresmétriques.
Lorsquevousavezsélectionnélemodedésiré,appuyer surleboutonOPTION(options)pourenregistrervotre choixetpasseràl'optionpersonnellesuivante.
AutoMemoryRecall(rappelautomatiquedes réglagesmémorisés)(pourlesvéhiculeséquipés delaboîtedevitessesautomatiqueseulement):
Sivotrevéhiculeàboîtedevitessesautomatiqueest équipédugroupeMémorisation,ilestpossiblequ'il comportecetteoptionquifaitensortequelaposition dusiègeduconducteur, delacolonnededirection télescopique, lecaséchéant, etdesrétroviseurs extérieursserègleautomatiquementenfonctiondes paramètresétablisparleconducteurlorsquelemoteur estdémarré.
AppuyersurleboutonOPTION(options)jusqu'àce queAUTOMEMORYRECALL(rappelautomatique desréglagesmémorisés)s'affiche,puissurlebouton RESET(remiseàzéro)afindeparcourirlesmodes suivants:
- YES(oui)
• NO(non)(pardéfaut)
SivoussélectionnezYES(oui),lapositiondusiègedu conducteur,desrétroviseursextérieursetdelacolonne dedirectiontélescopique,lecaséchéant,serègle automatiquementlorsquelemoteurestdémarré.
SivoussélectionnezNO(non), cette optionest désactivée.
Lorsquevousavezselectionnélemodedésiré,appuyer surleboutonOPTION(options)pourenregistrervotre choixetpasseràl'optionpersonnellesuivante.
AutoExitRecall(rappelautomatiquedes mémorisationsdesortie):Sivotrevéhiculeà boîtedevitessesautomatiqueestéquipédugroupe Mémorisation,ilestpossiblequ'ilcomportecetteoption quifaitensortequelapositiondusiègeduconducteur etdelacolonnededirectiontélescopique, lecas échéant, serègleautomatiquementenfonctiondes paramètresétablisparleconducteurlorsquel'unedes situationssuivantessurvient:
- Lecontactduvéhiculeestcoupé, laprolongation del'alimentation des accessoiresestactive oulecontacteur d'allumage est à laposition d'accessoireset laportedu conducteurest ouverte.
- Levéhiculeestdésactivéouenmodede prolongation d'alimentation des accessoires (RAP) etleboutondedé blocagedel'émetteurd'accès sans cléesten foncé.
Pourquelafonctionderappelautomatiquedes mémorisationsdesortiesoitopérantesurlesvéhicules àboîtedevitessesautomatique, ceux-cidoiventse trouverenpositiondestationnement(P). Surles véhiculesàboîtedevitessesmanuelle, lefreinde stationnementdoitêtreserré.
AppuyersurleboutonOPTION(options)jusqu'àce que AUTOEXITRECALL(rappelautomatiquedes mémorisationsdesortie)soitaffiché, puissurlebouton RESET(remiseàzéro)afindeparcourirlesmodes suivants:
- YES(oui)
• NO(non)(pardéfaut)
SivoussélectionnezYES(oui),lorsquevouscoupezle contactetquevousouvrezlaporteduconducteurou quevousdéverrouillezlaporteàl'aidedel'émetteur d'accèsansclé,lesiègeetlacolonnededirection télescopique, lecaséchéant, retournerontâleur positiondesortiesauvegardéepourfaciliterl'entrée oulasortieduconducteur.
Lesiègeetlacolonnededirectionretournerontâleur positiondeconduitesauvegardéeuniquementssivous appuyezsurleboutondemémoireappropriéeouque vousactivezlafonctionderappelautomatiquedes réglagesmémorisés.
SivoussélectionnezNO(non), cette optionest désactivée.
Lorsquevousavezsélectionnélemodedésiré, appuyer surleboutonOPTION(options)pourenregistrervotre choixetpasseràl'optionpersonnellesuivante.
ApproachLights(feuxd'approche):Cetteoptionfait ensortequelesfeuxdestationnement,lesfeuxde routeetlesfeuxdereculs'allumentlorsqu'ilfaitsombre etquel'émetteurdetélédéverrouillageestutilisépour déverrouillerlevéhicule.
AppuyersurleboutonOPTION(options)jusqu'àce queAPPROACHLIGHTS(feuxd'approche)s'affiche, puissurleboutonRESET(remiseàzéro)afinde parcourirlesmodessuivants:
• OFF(désactivée)
• ON(activé)(pardéfaut)
SivoussélectionnezOFF(désactivée),cettefonction seradésactivée.
SivoussélectionnezON(activé),lesfeuxde stationnement,lesfeuxderouteetlesfeuxderecul s'allumerontpendant20secondeslorsqu'ilfaitsombre etquetouteslessituationssuivantessurviennent:
- Leboutondedéverrouillagedel'émetteurde télédéverrouillageeestenfoncé.
• Touteslesportessontfermées.
• Lecontactestcoupéoulaprolongationde l'alimentationdesaccessoiresestactive.
L'éclairagedemeuraallumépendant20secondesou jusqu'àcequ'uneportesoitouverte,queleboutonde verrouillagedel'émetteurdetélédeverrouillagesoit enfoncéouquelaprolongationdel'alimentationdes accessoiressoitinactive.
SereporteràSystèmed'accèsansclé àlapage3-4 pourplusderenseignements.
Lorsquevousavezselectionnélemodedésiré,appuyer surleboutonOPTION(options)pourenregistrervotre choixetpasseràl'optionpersonnellesuivante.
TwilightDelay(temporisationdel'éclairage):Cette optionvouspermetdeprogrammeladuréed'éclairage desfeuxdestationnementdesfeuxderouteavant unefoisquevousètessortiduvéhicule. Cettesituation seproduitlorsquelecontactestcoupéouquele prolongationdel'alimentationdesaccessoiresest activeetquelespharesontétéallumésparl'entremise dusystèmedepharesautomatiques. Lesfeuxde stationnementlesfeuxderoutedemeurerontallumés jusqu'àcequeledélaid'extinctionsoitexpiré, sile contrôledel'éclairageextérieurestactivé, quele véhiculesoitdémarréouquelaprolongationde l'alimentationdesaccessoiressoitinactive.
AppuyersurleboutonOPTION(options)jusqu'àce que TWILIGHTDELAY(temporisationdel'éclairage) s'affiche, puissurleboutonRESET(remiseàzéro) pour parcourirlesmodessuivants:
• OFF(désactivée)
• 15 S
• 30S(pardéfaut)
90 S
SivoussélectionnezOFF(désactivée),cettefonction seradésactivée.
Sivoussélectionnez15S, ledélaidetemporisation seraréglé à 15 secondes.
Sivoussélectionnez30S, ledélaidetemporisation serarégléà30secondes.
Sivoussélectionnez90S, ledélaidetemporisation serarégléà90secondes.
Lorsque vous avez sélectionné le mode désiré, appuyer surleboutonOPTION(options)pourenregistrervotre choixetpasseràl'optionpersonnellesuivante.
FlashatUnlock(clignotementdesfeuxau déverrouillage):Cettefonctionactionnedeuxfois (rapidement)lesclignotantsavantetarrièrelorsque vousappuyezsurleboutondedéblocageousurle boutonducoffredel'émetteurd'accèsansclé.Cette situationneseproduitquelorsquelecontactestcoupé.
AppuyersurleboutonOPTION(options)jusqu'ace FLASHATUNLOCK(clignotementdesfeuxau déverrouillage)s'affiche,puissurleboutonRESET (remiseàzéro)pourparcourirlesmodessuivants:
• YES(oui)(pardéfaut)
- NO(non)
Sivoussélectionnez YES(oui), les clignotants savant etarrière reclignoteront brièvement à deux reprises lorsque vous pressez le boutondé verrouillage ou d'ouverture du hayon/coffredel l'émetteur d'accès sans clé.
SivoussélectionnezNO(non), cette optionest désactivée.
Lorsque vous avez sélectionné le mode désiré, appuyer surleboutonOPTION(options)pourenregistrervotre choixetpasseràl'optionpersonnellesuivante.
FlashatLock(clignotementdesfeuxau verrouillage):Cetteoptionactionneunefois (longuement)lesclignotantsavantetarrièrerelorsque vousappuyezsurlatouchedeverrouillagede l'émetteurd'accèsansclé.Cettesituationnese produitquelorsquelecontactestcoupé.Sivous appuyezànouveausurlatouchedeverrouillagede l'émetteurd'accèsansclédanslescingsecondes, l'avertisseurretentitquelquesoitleréglage sélectionné.
AppuyersurleboutonOPTION(options)jusqu'à ceFLASHATLOCK(clignotementdesfeuxau verrouillage)s'affiche,puissurleboutonRESET (remiseàzéro)pourparcourirlesmodessuivants:
• YES(oui)(pardéfaut)
- NO(non)
SivoussélectionnezYES(oui),lesclignotantsavantet arrièreclignoterontbrièvementàunerepriselorsque vouspressezleboutondeverrouillagedel'émetteur d'accèsansclé.
SivoussélectionnezNO(non), cette optionest désactivée.
Lorsque vous avez sélectionné le mode désiré, appuyer surleboutonOPTION(options)pourenregistrervotre choixetpasseràl'optionpersonnellesuivante.
FOBReminder(rappeldel'émetteur): Cette fonction actionnebrièvementleklaxonàtroisrepriseslorsque laporteduconducteurestferméetqu'unémetteur d'accèsanscléestlaissé à l'intérieurduvéhicule. Cecin'arrivequelorsquelecontactestcoupé.
AppuyersurleboutonOPTION(options)jusqu'àceque FOBREMINDER(rappeldel'émetteur)s'affiche,puis surleboutonRESET(remiseàzéro)pourparcourirles modessuivants:
- YES(oui)
• NO(non)(pardéfaut)
SivoussélectionnezYES(oui), leklaxonretentira à troisrepriseslorsqu'unémetteurd'accèsanscléest laisséal'intérieurd'unvéhiculelorsquelecontactest coupéetqueleporteduconducteurestfermée.
SivoussélectionnezNO(non), cette optionest désactivée.
Lorsque vous avez sélectionné le mode désiré, appuyer surleboutonOPTION(options)pourenregistrervotre choixetpasseràl'optionpersonnellesuivante.
PassiveDoorUnlock(verrouillagepassifdes portes):Cettefonctionvouspermetdesélectionnerle verrouillageautomatiquedesportespendantlasortie normaleduvéhicule.Quandlecontactestcoupéetque touteslesportessontfermées,levéhiculedétermine lenombreémetteursd'accèsansclérestantdans l'habitacle.Siaumoinsunémetteurd'accèsanscléa quittél'habitacle,lesportesseverrouillentaprésunbref délais.
Parexemple, sivouspossédezdeuxtélécommandes danslevéhiculeetquel'uned'entreellesestretirée, l'autreseraverrouillée à l'intérieur. Latélécommande verrouillé danslevéhicule peut toujours être utilisée pour démarrerlevéhiculeoudéverrouillerlesportesen casdebésoin. Une personne approchant del extérieur duvéhicule verrouillés sans disposer detélécommande autorisée, seraincapabled ouvrirlaportemalgré la présenced unetélécommanded danslevéhicule.
Vouspouvezdésactiverprovisoirementleverrouillage passifdesportesenappuyantsurleboutonde déverrouillagedesportespendanttroissecondessur uneporteouverte. Leverrouillagepassifdesportes resteraalorsdésactivéjusqu'àcequevousappuyiez suruncommutateurdeserruredesportesoujusqu'à cequevouspassiezauxtransitionsàcommande électriquedepuislemodedecommandeélectrique horsfonction.
AppuyersurleboutonOPTION(options)jusqu'àceque PASSIVEDOORLOCKING(verrouillagepassifdes portes),puissurleboutonRESET(remiseàzéro)pour parcourirlesmodessuivants:
• OFF(désactivé)(pardéfaut)
- SILENT(silence)
• HORN(klaxon)
SivoussélectionnezOFF(désactivée),cettefonction seradésactivée.
SivoussélectionnezSILENT(silence),lesportesse verrouillerontautomatiquementquelquessecondes aprèsquel'émetteurd'accèsanscléaitétéretirédu véhiculeetquelesdeuxportesaientétéfermées.
SivoussélectionnezHORN(klaxon),lesportesse verrouillerontautomatiquementetleklaxonretentira quelquessecondesaprèsquel'émetteurd'accèsans cléaitétéretiréduvéhiculeetquelesdeuxportesaient étéfermées.
Sivousavezstationnédansunezonecalmeetque vousnevoulezpasquel'avertisseurretentisselors duverrouillagedesportes,appuyersurlebouton deverrouillagedel'émetteurd'accèsansclé immédiatementaprèsl'avoirretirédel'habitacledu véhiculeetaprèsavoirfermélesportes.Decettefaçon, lesportièresseverrouillentetleverrouillagepassifdes portesestannulédurantcecyclededémarrage.
Lorsquevousavezselectionnélemodedésiré,appuyer surleboutonOPTION(options)pourenregistrervotre choixetpasseràl'optionpersonnellesuivante.
PassiveDoorUnlock(déverrouillagepassifdes portes):Cetteoptionvouspermetdesélectionnerles portesquisedéverrouillerontautomatiquementlorsque vousapprocherezduvéhiculeetquevousouvrirezla porteduconducteuràl'aidedevotreémetteurd'accès sans clé. Se reporter à la rubrique Serrures de porte à lapage3-11 purobtenirdeplusamples renseignements.
AppuyersurleboutonOPTION(options)jusqu'àceque PASSIVEDOORUNLOCK(déverrouillagepassifdes portes)s'affiche,puissurleboutonRESET(remiseà zéro)pourparcourirlesmodessuivants:
- DRIVER(conducteur)
• BOTH(lesdeux)(pardéfaut)
SivoussélectionnezDRIVER(conducteur),seulela porteduconducteursedéverrouilleraautomatiquement lorsquevousapprocherezduvéhiculeetquevous ouvrirezlaporteduconducteuràl'aidedevotre émetteurd'accèsansclé.
SivoussélectionnezBOTH(lesdeux),lesdeuxportes sedéverrouillerontautomatiquementlorsquevous approcherezduvéhiculeetquevousouvrirezlaporte duconducteuràl'aidedevotreémetteurd'accès sansclé.
AutoUnlock(déverrouillageautomatique):Cette optionvouspermetdesélectionnersilaportedu conducteur,lesdeuxportesouaucunedesportes sontdéverrouilléesautomatiquementlorsquele levierdevitessesestdéplacéâlapositionde stationnement(P)danslecasdesvéhiculesàboîte devitessesautomatiqueoulorsquelecontactest coupéetquelaprolongationdel'alimentationdes accessoiresestactivéedanslecasdesvéhiculesà boîtedevitessesmanuelle.
AppuyersurleboutonOPTION(options)jusqu'âce queAUTOUNLOCK(déverrouillageautomatique)s'affiche,puissurleboutonRESET(remiseàzéro) pourparcourirlesmodessuivants:
• OFF(désactivée)
- DRIVER(conducteur)
• BOTH(lesdeux)(pardéfaut)
SivoussélectionnezOFF(désactivée),cettefonction seradésactivée.
SivoussélectionnezDRIVER(conducteur),laportedu conducteurs déverrouille automatiquement lorsque lelevierdevitessesestdéplacé à lapositionde stationnement(P)surlesvéhicules à boîte devitesses automatique. Dans le cas des véhicules à boîte devitesses manuelle,laportedu conducteurse déverrouille automatiquement lorsquale contactest coupé ouquel prolongationel'alimentationdes accessoiresestactivée.
SivoussélectionnezBOTH(lesdeux),lesdeuxportes sedéverrouillentautomatiquementlorsquelelevierde vitessesestdéplacéalapositiondestationnement(P) surlesvéhiculesàboîtedevitessesautomatique. Danslecasdesvéhiculesàboîtedevitessesmanuelle, lesdeuxportessedéverrouillentautomatiquement lorsquelecontactestcoupéouquelaprolongation del'alimentationdesaccessoiresestactivée.
Lorsquevousavezsélectionnélemodedésiré,appuyer surleboutonOPTION(options)pourenregistrervotre choixetpasseràl'optionpersonnellesuivante.
Language(langue):Cetteoptionvouspermetde sélectionnerlalangued'affichageducentralisateur informatiquedebord,dusystèmedevisualisationtête haute(HUD),lecaséchéant,tdelaradio.Chaque modedelangueestaffichédanslalangueenquestion.
Parexemple, ENGLISHpour l'anglais, ESPANOL pour l'espagnol, etc. Sivotrevéhicule estéquipédusystème navigation, il vous sera im possible desélectionner le modedelangue japonais.
AppuyersurleboutonOPTION(options)jusqu'àce queLANGUAGE(langue)s'affiche,puissurlebouton RESET(remiseàzéro)pourparcourirlesmodes suivants:
• ENGLISH(anglais)(pardéfaut)
• DEUTSCH(allemand)
• FRANÇAIS
• ITALIANO(italien)
- ESPANOL(espagnol)
Sivoussélectionnezunelanguequevousne comprenezpas,appuyersurlesboutonsOPTION (options)etRESET(remiseàzéro)pendant cinqsecondes.Lecentralisateurinformatiquedebord afficheralesdiverseslanguesdisponiblesuneàune, àconditionquelesdeuxboutonssoientenfoncés. Lorsque la langue choisie est affichée, relâcher les boutonsetlecentralisateurinformatiquedebord enregistreravotrechoix.
Lorsquevousavez sélectionnélemodedésiré, appuyer surleboutonOPTION(options) pourenregistrervotre choixetpasseràl'optionpersonnellesuivante.
Personalize Name (personnaliser nom) : Cette fonctionvouspermetd'entrerunnomouunmessage d'accueilquis'afficheàl'écranducentralisateur informatiquedebordchaquefoisquel'émetteurde télédéverrouillagecorrespondant(1ou2)estutiliséou quel'undesboutonsdemémorisation(1ou2)situé danslaporteduconducteurestenfoncé.
AppuyersurleboutonOPTION(options)jusqu'àce que PERSONALIZENAME(personnalisernom) s'affiche, puissurleboutonRESET(remiseàzéro) pourparcourirlesmodessuivants:
- YES(oui)
• NO(non)(pardéfaut)
SivoussélectionnezYES(oui), vous pouvezentrer un nom qui s'affichera à l'écran du centralisateur informatiquedebord.
Pourprogrammerunnom, procéderdelamanière suivante:
- Accéderaumenu PERSONALOPTIONS (options personnelles) etsélectionnerlenumérode conducteur (1ou2) que vous désirezprogrammer ensuivant les instructions contenues dans le menu des aisiedes options personnelles.
-
AppuyersurleboutonOPTION(options) jusqu'àcequel'optionPERSONALIZENAME (personnalisernom)s'afficheàl'écran.
-
Sélectionner YES(oui)sous PERSONALIZE NAME(personnalisernom)enappuyantsurle boutonRESET(remiseàzéro)
-
AppuyersurleboutonOPTION(options)etun curseurs'afficheraàl'endroitòvouspouvez inscrireunelettre.
-
AppuyersurleboutonOPTION(options)de nouveaujusqu'àcequelalettrequevousdésirez s'affiche. Pourfairedéfilerleslettresplus rapidementsansqu'unsignalsonoresoitémis, laisserleboutonOPTION(options)enfoncé. Les caractèresalphanumériquesetunespacesont disponibles.
6.Ensuite,appuyersurleboutonRESET(remiseà zéro)pourchoisiruneautrelettreetdéplacerle curseurversladroite.
Sivousfaitesuneerreuretquevousdésirez effaceroumplacerunelettre, voicicomment procéder:
6.1. Appuyersurlebouton RESET (remise à zéro) pour vous rendre à la lettre que vous désirez changer.
6.2.AppuyersurleboutonOPTION(options) pourfairedéfilerleslettres.
6.3. Appuyersurlebouton RESET (remise à zéro) pour choisirune autrelettreet déplacer lecurseurversladroite
- Répéterlesétapes5et6jusqu'àcequevousayez terminéd'inscrirelenomoulemessaged'accueil désiré. Ensuite, maintenirlebouton RESET (remiseàzéro) enfoncéjusqu'àcequecette optionnesoitplusaffichéeetqu'écransoit vierge. Vous pouvezprogrammerjusqu'à 20 caractères.
SivoussélectionnezNO(non), cette optionest désactivée.
Siunnompersonnaliséouunmessagedebienvenue n'estpasprogrammé, lecentralisateurinformatiquede bordafficheraDriver(conducteur)1ouDriver2pour correspondreaunuméroaudosdel'émetteurde télédéverrouillage(1ou2)utiliséouauboutonde mémorisation(1ou2)enfoncé.
L'optionPERSONALIZENAME(personnalisernom) estladernièreoptiondumenuPERSONALOPTIONS (optionspersonnelles). AppuyersurleboutonOPTION (options)poursortirdumenuPERSONALOPTIONS. Vousretournezaudernierécranaffichéavantd'accéder aumenuPERSONALOPTIONS.
Systèmesaudio
Déterminerletypederadioéquipantlevéhiculeetlire lespagessuivantespoursefamiliariseravecses fonctions.

AVERTISSEMENT:
Nepasgarderlesyeuxsurlaroutependantune périodeprolongéepeutentraînerunaccident pouvantvousblesseroublesserd'autres personnes. Nepaspréteruneattentionprolongée àlamanipulationdesdispositifsdedivertissement enroulant.
Cesystèmedonneaccèsàdenombreuxmenusaudio etnonaudio.
Pouréviterdequitterlaroutedesyeuxenroulant, effectuerlesopérationssuivanteslorsquelevéhicule estenstationnement:
- Sefamiliariseraveclefonctionnementetles commandesdusystèmeaudio.
- Réglerlatonalité,ajusterleshaut-parleurset préréglerlesstationsderadio.
Pourobtenirdeplusamplesrenseignements, se reporteràlarubrique Conduitedéfensiveàlapage5-2.
Remarque: Contacterleconcessionnaire avant d'ajouterunéquipement.
L'ajoutd'équipementsaudiooudecommunication peutinterféreraveclefonctionnementdumoteur, delaradiooud'autressystèmesduvéhicule etéventuellementlesendommager. Suivre lesrèglementationsfédéralesrelativesaux équipementsmobilesderadioetdetéléphonie.
Levéhiculeestdotéd'unefonctiondeprolongationde l'alimentationdesaccessoires(RAP).Grâceàcette fonction,lesystèmeaudiopeutfonctionnermêmeaprès avoircoupélecontact.SereporteràProlongation d'alimentationdesaccessoires àlapage3-26 pourplus derenseignements.
Réglagedel'horloge
Pourréglerl'heure:
- PresseretmaintenirHjusqu'àcequel'heure correctes'affiche.
- PresseretmaintenirMjusqu'àcequelaminute correctes'affiche.
Lemodederéglagedel'horlogeestautomatiquement abandonnélorsqueleformatd'affichagesélectionné devientleréglagepardéfaut.
Autoradio(s)

text_image
RDM RPT MUTE SEEK SCAN 1 2 3 4 5 6 1234 BAND CD AUX CAT TRAF AUTO EQ AUTORadioavecCDillustrée, Radiopourvued'un chargeurdeCDàsixdisquessimilaire
Lesystèmeaudioduvéhiculecomprendl'unedeces radios.
Untémoindanslecoinsupérieurgauchedelaradio clignote lorsque le contact est coupé pour indiquer que l'antivolestactivé. Pourdeplusamplesinformations, se reporter à Dispositif antivol à la page 4-121.
Fonctionnementdelaradio
Boutonsupérieur(puissance/volume):Presserpour mettrelesystèmeen/horsfonction.Tournerpour augmenteroudiminuerlevolume.
MUTE(sourdine):Presserpourcouperleson.Presser denouveaupourrétablirleson.
Ceboutonn'estpasdisponiblesurlaradioaveclecteur sixCD.
i(information): Presserceboutonjusqu'aceque l'affichagevouluapparaisse,puismaintenirlebouton enfoncédeuxsecondes,jusqu'acequelaradioémette unbippourmodifierl'affichagepardéfaut.L'affichage sélectionnédevientalorsceluipardéfaut.
PourlesystèmeRDS:
Presser ipourmodifierl'affichage.Lesoptions d'affichagepossiblessontl'indicatifdelastation, lafréquencedelastationRDS,lePTY(typede programme) et le nom du programme (le cas échéant).
PourlesystèmeXM™:
Presser ipourrécupérerquatretypesde renseignements relatifs à la chanson ou à la station encoursd'écoute:nomdel'artiste,titredelachanson, catégorieoutypedeprogrammesélectionné,fréquence ounomdelastation.
Paramètresaudio
Presseretmaintenir□□lorsqu'aucunetonalitéou aucunhaut-parleurn'estaffichépourréglertoutesles commandesdetonalitéetdehaut-parleurenposition moyenne.LamentionAUDIOSETTINGSCENTERED (réglagesaudioenpositionmoyenne)s'affiche.
Réglagedelatonalité(graves/aigus)
□□ ♪ (graves/aigus): Pour régler les niveaux des gravesoudesaigus.
Presseretmaintenir ♩jusqu'àcequeBASS (graves)ouTREBLE(aigus)s'affiche.
- Tournerlebouton□□ pouraugmenterou diminuerleniveausonore.
- Presseretmaintenirlebouton□♪jusqu'àce queleniveauserègleàlapositionmoyenne.
Réglagedeshaut-parleurs(équilibre gauche/droiteetavant/arrière)
□□ ♪ (équilibre gauche/droite et avant/arrière):
Pourréglerl'équilibregauche/droite:
Presseretmaintenir □♪ jusqu'àcequeBALANCE (équilibregauche/droite)s'affiche.
- Tournerlebouton□□●pourdirigerlesonvers leshaut-parleursdroitougauche.
- Presseretmaintenirlebouton□♪jusqu'àce queleniveauserègleàlapositionmoyenne.
Pourréglerl'équilibreavant/arrière:
Presseretmaintenir □□♪ jusqu'àcequeFADE (équilibreavant/arrière)s'affiche.
• Tournerlebouton□□ pourdirigerlesonvers leshaut-parleursavantouarrière.
- Presseretmaintenirlebouton□♪jusqu'àce queleniveauserègleàlapositionmoyenne.
AUTOEQ(réglageautomatiquedel'égalisation): La radiopermetd'enregistrerdesparamétrages AUTOEQ (réglageautomatiquedel'égalisation) distinctspour chaqueprésélectionetsource.
PourlesvéhiculessanssystèmeaudioBose MD :
- AppuyersurleboutonAUTOEQ(réglage automatiquedel'égalisation)pourchoisirles réglagesd'égalisationprésélectionnéspour CLASSICAL(classique),POP,ROCK,JAZZ,TALK (parole)etCOUNTRY.
- Pourretourneraumodederéglagemanueldela tonalité, sélectionnerCUSTOM(personnalisé)ou réglermanuellementlesgravesoulesaigus.
PourlesvéhiculeséquipésdusystèmeaudioBose MD :
- PresserleboutonAUTOEQ(réglageautomatique del'égalisation)poursélectionnerleréglage d'égalisation,deEQ1àEQ6.
- Pourretourneraumodederéglagemanueldela tonalité, sélectionnerCUSTOM(personnalisé)ou réglermanuellementlesgravesoulesaigus.
AUTO △(volumeautoréglable):Levolume autoréglableajusteautomatiquementlesystèmeaudio pourcompenserlebruitduventetdelarouteen montantlevolumeàmesurequelavitesseduvéhicule augmente.
PourlesvéhiculessanssystèmeaudioBose MD :
- Réglerlevolumeauniveaudésiré.
- Presser AUTO (volumeautoréglable) pour choisirentre AUTOVOLUMEMIN(minimum), AUTOVOLUMEMED(médium), ou AUTO VOLUMEMAX(maximum). Àchaqueréglage plusélevéséproduitunecompensationdevolume plusimportante à desvitessesplusgrandesdu véhicule.
- Presser AUTO △(volumeautoréglable) jusqu'à ceque AUTOVOLUMEOFF(volumeautoréglable désactivé)s'affichepourdésactiverlafonctionde volumeautomatique.
PourlesvéhiculeséquipésdusystèmeaudioBose MD :
LesvéhiculeséquipésdusystèmeaudioBose MD possèdentlatechnologiedecompensationdu bruitBose MD AudioPilot MD. AudioPilot MD règleen permanencel'égalisationdusystèmeaudioafinde neutraliserlesbruitsdefond. Cettefonctionestplus efficacelorsquelevolumeestbasetquelesbruits défondpeuventaffecterlaqualitéd'écouteledela musique. Aunvolumeplusélevé, leréglageeffectué parAudioPilot MD peutêtreminimeounul. Pourplus d'informationssurAudioPilot MD, visiterlesite www.bose.com/audiopilot.
PourutiliserAudioPilot MD :
- Réglerlevolumeauniveaudésiré.
- Presser AUTO △(volumeautoréglable) jusqu'à cequel'indication AUTOVOLUMECONTROL ON(puissancesonoreautoréglableenfonction) s'affiche.
- Presser AUTO △(volume autoréglable) jusqu'à cequel'indication AUTOVOLUMEOFF(volume autoréglabledésactivé)s'affichepourdésactiver l'AudioPilot ^MD .
Enutilisantlaradio
Systèmederadiocommunicationde données(RDS)
Lesfonctionsdusystèmederadiocommunicationde données(RDS)nepeuventêtreutiliséesquepour l'écoutedesstationsFMquidiffusentl'informationRDS. Lenomoul'indicatifd'appeldelastationserontaffichés àl'écranLorsquelaradioestsyntoniséesurune stationRDS.
Cesystèmereposesurlaréceptiond'informations particulièresdiffuséesparcesstations. In'intervient quelorsquecesinformationssontdisponibles. Dans derarescas, desinformationsincorrectesdiffusées parunestationderadiopeuventempêcherlebon fonctionnementdelaradio. Sicecasseproduit, communiqueraveclastationderadio.
Laradiopeuteffectuercequisuitaveclesystèmede radiocommunicationdedonnées(RDS):
- Rechercherlesstationsquidiffusentletype d'émissiondevotrechoix.
- Recevoirdesbulletinssurlesurgenceslocaleset nationales.
- Afficherdesmessagesprovenantdestationsde radio.
- Rechercherlesstationsdiffusantdesbulletinsdecirculation.
- Donnerl'heure.
- Donneruntypedeprogramme(PTY)àla programmationactuelle.
• Afficherlenomduprogrammediffusé.
ServicederadioparsatelliteXM™
XMestunservicederadiodiffusionparsatellite couvrantles48ÉtatscontigusdesÉtats-Uniset 10provincescanadiennes.LesradiossatellitesXM proposent,avecunsondequaliténumérique,unvaste éventaildeprogrammesetmusiquesexemptsde coupurespublicitaires,etce,d'unecôteàl'autre. Desfraisdeservicesontrequispourlaréceptiondes servicesXM.Pourplusd'informations,contacterXM vialesiteWebwww.xmradio.comouappelerle 1-800-929-2100auxÉtats-UnisetvialesiteWeb www.xmradio.caouappelerle1-877-438-9677au Canada.
RechercherunestationFM/AM/XM
BAND(bande): Presserpourbasculerentreles bandesFM1, FM2, AM, XM1 ou XM2.
□□ (syntonisation): Tourner pour sélectionner les stations.
SEEK (recherche): Presser pour passer à la stationsuivanteouàlaprécédenteetyrester.
Laradiones'arrêtequesurlesstationsdontlesignal estpuissant.
SCAN ▶ (exploration): Maintenir enfoncée ou pendant deux secondes jusqu'à l'affichage de FREQUENCY SCAN (exploration des fréquences). Laradiorecherche un émetteur, le faitentendre pendant quelques secondes puispasse à l'émetteur suivant. Appuyerànouveau sur «ou» pour arrêter l'exploration.
Pourrechercherunestationprésélectionnée:
Pourexplorerlesstationspréréglées, maintenir enfoncéependantquatresecondes |ou|jusqu'à l'affichagedePRESETSCAN(explorationdesstations présélectionnées). Laradiopasseàlastationsuivante prérégléeetlafaitentendrependantquelques secondesavantdepasseràlastationpréréglée suivante. Presserànouveau |ou|l'undes boutons-poussoirspourarrêterl'explorationdes stationspréréglés.
Laradion'explorequelesstationsdontlesignalest puissant.
1-6 (boutons de préréglage): Appuyer sur ce bouton pourécouterlesstationsmémoriséessurles boutons-poussoirs.
Programmationdesstations
Vouspouvezprogrammerjusqu'à30stations(6FM1, 6FM2et6AM,6XM1et6XM2)etdesréglages d'égalisationpourchaquestationsurles 6boutons-poussoirsnumérotés.
Pourprogrammerlespréréglages:
- Mettreenfonctionlaradio.
- AppuyersurleboutonBAND(bande)pourchoisir labandeFM1, FM2, AM, XM1ouXM2.
- Syntoniserlastationvoulue.
- Appuyersur AUTOEQ(réglageautomatiquedela tonalité)poursélectionnerl'égalisation.
- Presseretmaintenirl'undessixboutons-poussoirs numérotésjusqu'àcequelaradioémetteunbip.
- Répétercesétapespourchacunedestouches.
Recherched'unecatégoriedestation(CAT) (systèmederadiodiffusionparsatelliteXM uniquement)
PoursélectionnerunestationXMparcatégorie:
- AppuyersurleboutonCAT(catégorie). Ladernière catégories sélectionnées'affiche.
-
Poursélectionnerunecatégorie, tournerle bouton □□♪.
-
Unefois lacatégories ou haitée affichée, appuyer sur ▶ ou ▶ pour atteindre une station de cette catégorie. SEEKING CATEGORY (recherchede catégorie) s'affiche.
- Pourpasseràuneautrestationdecettecatégorie, appuyersurleboutonCAT(catégorie) pour afficherlacatégorie, puisappuyersur |◀ou▶|.
Silaradionepeuttrouverlacatégoriedésirée, l'indication NONE (aucune) s'affiche et la radio revient àladernièrestationsyntonisée.
SCAN(exploration):Pourexplorerlesstationsd'une catégorie:
- AppuyersurleboutonCAT(catégorie). Ladernière catégoriesélectionnées'affiche.
- Poursélectionnerunecatégorie, tournerle bouton □□♪.
- Appuyersur ▶ou▶letmaintenirappuyéjusqu'à cequevousentendiezunsignalsonoreetque lamentionSCANCATEGORY(explorationde catégorie)s'affiche.Laradiocommence l'explorationdesstationsdelacategorie.
- Presser | ou pour arrêter l'exploration.
Messagesradio
CALERR(erreurd'étalonnage):Apparaïtsilaradio n'estplusconfiguréecorrectementpourlevéhicule. Levéhiculedoitrevenirchezleconcessionnairepour intervention.
LOC (verrouillé): S'affiche lorsque le système THEFTLOCK ^MD (dispositifantivol) severrouille. Il faut alors rapporterlevéhiculechezle concessionnaire pour réparation.
Siuneerreurseproduitàplusieursreprisesounepeut êtrecorrigée, s'adresseràvotreconcessionnaire.
MessagesRDS
ALERT!(communiquésd'urgence):Cettefonction vousavertitdesurgenceslocalesetnationales. Lorsquelastationencoursd'écoutediffuseun messaged'urgence, l'indication ALERT!(communiqués d'urgence)s'affiche. Lemessageestaudiblemême si la sourdine est activée ou si un CD est en cours delecture. SilelecteurdeCDfonctionne, ils'arrête pendantladiffusionducommuniqué. Vousnepouvez pasinterrompreladiffusiondecommuniquésd'urgence.
L'affichagedumessageALERT!(communiqués d'urgence)n'estpasaffectéparlesessaisdusystème dediffusiondecommuniquésd'urgence.Cettefonction n'estpaspriseenchargepartouteslesstationsRDS.
i(information):Silastationactuellediffuseun message,l'indicationINFO(information)apparaît. Appuyersur ipourafficherlemessage.Lemessage peutcontenirlenomdel'artiste,letitredelachanson, desnumérosdetéléphonepourappelerlastation,etc.
Silemessagecompletnes'affichepas,ils'afficherapar parties,touteslestroissecondes.Pourfairedéfilerle message,enfonceretrelâcher i.Unnouveaugroupe demotss'affichechaquefoisquevousappuyezsurce bouton.Unefoislemessageentieraffiché,lamention INFO(information)disparaîtdel'affichagejusqu'à cequ'unnouveaumessagesoitdiffusé.Ledernier messagepeutêtreaffichéenappuyantsurcebouton. Lederniermessagepeutêtreaffichéjusqu'àcequ'un nouveaux messagesoitreçuouquelaradiosoit syntoniséesurunestationdifférente.
Lorsquelastationn'émetpasdemessage, NOINFO (aucuneinformation)s'affiche.
TRAF(circulation): TA(circulation)s'affichelorsquela stationsyntoniséeémetdescommuniquésd'information routière. Lorsqu'uncommuniquéestémis, vous l'entendez.
AppuyersurleboutonTRAF(circulation)etlaradio rechercheraunestationquidiffusedescommuniqués d'informationroutière. Unefoiscettestationtrouvée, la recherches'arrêteetTAs'affiche. Siaucunestation diffusantdesbulletinsdecirculationn'esttrouvée, NOTRAFFIC(pasdebulletindecirculation)s'affiche.
SiTA(circulation)s'affiche,appuyersurleboutonTRAF(circulation)pourdésactiverladiffusiondebulletinsdecirculation.
Laradiotransmetlesbulletinsdecirculationmêmesile volumeestbas.Elleinterromptégalementlalecture d'unCDsiladernièrestationsyntoniséediffuseles bulletinsdecirculation.
Cettefonctionn'estpascompatibleavecleservicede radiodiffusionparsatelliteXM.
MessagesradiopourXMuniquement
SereporteràMessagesautoradioXM àlapage4-109 messagesradioXMplusloindanscettesectionpour plusdedétails.
UtilisationdulecteurdeCD
LelecteurdeCDpeutlirelespetitsCDde8cm(3po)à l'aided'unanneauadaptateur.
UnCDchargérestedanslelecteurlorsquelecontact estcoupé. Lorsquelecontactestmisouquelaradio estallumée, lalecturedu CDdébutelàouelleaété interrompue, s'ils'agissaitdeladernièreresource sélectionnée.
Chargementd'unCD
RadioàlecteurCDmonodisque:
InsérerpartiellementleCDdanslafente, étiquettevers lehaut, jusqu'àcequelelecteurlerétracte. Lalecture débuteautomatiquement.
LesymboleCDapparaïtlorsqu'unCDestinséré, etlenumérodepistes'afficheaudébutdechaque nouvellepiste.
Radiosixdisques:
SivousavezinséréplusieursCD, unnuméroest attribué à chacund'entreeuxets'affiche.
(chargement): Presser pour charger des CD dans le lecteur.
PourinsérerunCD:
-
Presser
-
Lorsque INSERTCD# (introduireledisqueno) s'affiche, chargerundisqueet l'introduire partiellement dans lafente, l'étiquette orientées lehaut. Lelecteurireraledisquevers l'intérieur.
PourinsérerplusieursCD:
-
Presseretmaintenir pendant deuxsecondes. DeuxbipsretentissentetLOADALLDISCS (chargertouslesdisques)s'affiche.
-
Lorsque INSERTCD# (introduireledisqueno) s'affiche, chargerundisqueet l'introduire partiellement dans lafente, l'étiquette orientées lehaut. Lelecteurireraledisquevers l'intérieur.
-
UnefoisleCDchargé, attendrequelamention INSERTCD#(introduireledisqueno)s'affiche, puischargerleCDsuivant.LelecteurdeCD accepte jusqu'à6CD.
Pourinsérerentre2et5disques,effectuerles étapes1à3. Unefoislesdisquesinsérés,appuyersur lebouton pourannulerlafonctiondechargement. Lelecteursemetàjouerledernierdisqueinséré.
Lectured'unCD
□□ ♪ (syntonisation): Tourner pour passer à la piste suivanteouprécédente.
« (retour en arrière): Presser et maintenir pour reculerdanslapisteeactuelle.
(avancerapide): Presseretmaintenirpouravancer rapidementdanslapisteeactuelle.
SEEK (recherche): Appuyer sur la flèche gauche pourretourneraudébutdelapisteencours, sisa lectureadémarrédepuisplusde8secondes. Appuyer surlaflèchedroitepourpasseràlapistesuivante. Sivousmaintenezenfoncéel'unedesflèchesousi vousl'enfoncezplusieursfois, lelecteurcontinuede reculeroud'avancerd'unepisteàl'autre.
SCAN (exploration): Pour explorer un disque, presseretmaintenirunedesflèchespendant deuxsecondesjusqu'àl'affichagedeSCAN (exploration)et l'émissiond'unbip.Lelecteurpasse à lapistesuivante,lalitpendant10secondespuispasse àlapistesuivante.Appuyerànouveausurunefleche pourarrêterl'exploration.
Pourexplorertouslesdisquesinsérés,appuyersur l'unedesflèchesetlamaintenirenfoncéependantplus dequatresecondes,jusqu'àcequel'écranaffiche SCAN(exploration)etquevousentendiezunbip.
Utilisercettefonctionpourécouter10secondesdela premièrerepistedechaquedisqueinséré.Appuyerde nouveauxurunedesflèchespourarrêterl'exploration.
AUTOEQ(réglageautomatiquedel'égalisation): Appuyerpourchoisirl'égalisationpendantlalecture d'unCD.L'égalisationserarappeléeàlaecture de chaqueCD.Pourplusderenseignementsssurla fonctionAUTOEQ(réglageautomatiquede l'égalisation),sereporterà«AUTOEQ»,plushaut danscettesection.
BAND(bande):Presserpourécouterlaradiolorsqu'un CDestencoursdelecture.Le(s)CDinactif(s)reste(nt) en sécurité dans le lecteur jusqu'à la prochaine lecture.
CDAUX(lecteurCDauxiliaire):Presserpourécouter undisqueenécoutantlaradio.CDs'affichequandun disquesetrouvedanslelecteur.Sivotresystèmeest équipéd'undispositifdelectureàdistance,appuyersur ceboutonunesecondefoispourpermettreaudispositif àdistancedefonctionner.
▲(éjection):PresserpouréjecterunCDdelaradio aveclecteurdeCDuniqueetlaradiosixCD.
RadioaveclecteurdeCDunique:appuyer sur▲pouréjecterunCD.
Radiosixdisques:
Presser▲pouréjecterleCDencoursdelecture.
PouréjecterplusieursCD:
-
Presser et maintenir ▲ pendant deux secondes. UnbipretentitetEJECTALL(éjectertousles disques)s'affiche.
-
LeCDéjectépeutêtreretirélorsque REMOVE DISC(retirerledisque)s'affiche.
Pourinterromprel'éjectiondesCD, presserle bouton 📊ou▲.
SileCDn'estpasretiréaprès25secondes,ilest automatiquementrétractédanslelecteur.Repousser leCDdanslelecteuravantlafindelapériode de 25secondesprovoqueunedétectiond'erreurparle lecteuretcelui-citented'éjecterplusieursfoisleCD avant d'arrêter.
Attendrequelatemporisationsetermineavant d'appuyerdenouveauasur ▲. Latemporisation d'éjectionde25secondesdulecteurCDseremetà
zérosivousappuyezsur ▲demaniérerépétéeaprès avoirtentédepousserleCDàl'intérieur.
RPT(répétition): Appuyerpourécouterànouveau unepisteoul'ensembled'unCD.
RadioàlecteurCDmonodisque:
AppuyersurRPT(répétition)pourrécouterune piste.REPEAT(répétition)s'affiche.Réappuyerpour désactiverlalecturerépétitive.REPEATOFF(répétition désactivée)s'affiche.
Radiosixdisques:
- PresserRPT(répétition)jusqu'àcequeREPEAT (répétition)s'affichepourrépéterunepiste.
- PresserRPT(répétition)jusqu'àcequeREPEAT ONEDISC(répéterundisque)s'affichepour répéterunCDenentier.
- PresserRPT(répétition)jusqu'àcequeREPEAT OFF(répétitiondésactivée)s'affichepour désactiverlarépétition.
RDM(accèsaléatoire):Presserpourécouter lespistesd'unCDoudetouslesCDdansunordre aléatoireplutôtquedansunordreséquentiel.
RadioàlecteurCDmonodisque:
PresseretrelâcherRDM(accèsaléatoire)dèsque RANDOMDISCPLAY(lecturealéatoiredudisque) s'affiche.PresseretrelâcherRDMdèsqueRANDOM OFF(lecturealéatoiredésactivée)s'affichepour désactiverlalecturealéatoire.
Radiosixdisques:
- PourlirelespistesduCDencoursd'écoute dans unordrealéatoire, presseretrelâcherRDM (accès aléatoire) jusqu'àcequelament RANDOM DISCPLAY (lecturealéatoiredudisque) s'affiche. Lorsquetouteslespistesdudisqueontétélues, RANDOMDISCPLAYserépète.
- PresseretrelâcherRDM(accèsaléatoire)jusqu'à cequeRANDOMALLDISCS(lecturealéatoirede touslesdisques)s'affichepourlirelespistesde touslesCDchargésdansunordrealéatoire.
- PresseretrelâcherRDM(accèsaléatoire)jusqu'à cequeRANDOMOFF(lecturealéatoire désactivée)s'affichepourdésactiverlalecture aléatoire.
(liste de chansons): La fonction Liste de chansons peutmémoriser20sélectionsdepistes.
Pourmémoriserlespistes:
- SiS-LIST(listedechansons)estaffiché, presser pourladésactiver.
-
Sélectionnerledisquedésiréenappuyantsurle bouton-poussoirnuméroté, puisutiliserlebouton ou □□ pour repérer la piste que vous voulez mémoriser.
-
Presseretmaintenir ♪jusqu'àcequ'unbip retentisseetqueADDEDSONG(chansonajoutée) s'affiche.
-
Répéterlesétapes2et3pourmémoriserd'autres sélections.
SONGLISTFULL(listedechansonscomplète)s'affiche siplusde20sélectionssontmémorisées.
Pourlirelespistes:
- Presser 📋 UnbipretentitetS-LIST(listede chansons)s'affiche.Lespistesenregistrées commencentàêtreluesdansl'ordredeleur mémorisation.
- Presser ◀ ou ▶ pour reculer ou avancer dans la listedeschansons.
Poureffacerdespistes:
- Presser pouractiverlalistedechansons. S-LIST(listedechansons)s'affiche.
- Appuyersur | ou louutiliserle bouton □ pourrechercherlapiste quevousvoulezsupprimer.
- Presseretmaintenir jusqu'àcequeSONG REMOVED(chansonretirée)s'affiche.
Aprèslasuppressiond'unepiste,lespistesrestantes sedécalentverslehautdelaliste.Quandune autrepisteestajoutée,elleestplacéeenfindeliste.
Poursupprimerlatotalitédelalistedechansons:
- Presser 🚫 pouractiverlalistedechansons. S-LIST(listedechansons)s'affiche.
- Presseretmaintenir 📋 pendantplusde quatresecondes. UnbipretentitetSONGLIST EMPTY(listedechansonsvide) s'affichepour confirmerquelalistedechansonsaétéeffacée.
SiumCDestéjectéetquelalistedechansonscontient despistesdeceCD,ellessontautomatiquement effacéesdelaliste.Quanduneautrepisteestajoutée, elleestplacéeàlafindelaliste.
Poursortirdumodedelistedechansons, presser UnbipretentitetS-LIST(listedechansons)disparaît del'écran.

EntretiendesCDetdulecteurdeCD
EntretiendesCD
RangerlesCDdansleurboîtierd'origineoudans d'autresboîtiersdeprotectionetlesprotégerdes rayonsdusoleiletdelapoussière. LelecteurCD explorelafaceinférieuredudisque. Sicelle-ci estendommagée, leCDnepourraplusêtrelu correctement, voireplusdutout. Nepastoucherla faceinférieuredu CDlorsdesamanipulation. Prendre leCDenlesaisissantparlesbordsextérieursoule borddutrouetlebordextérieur.
Silasurfaced'unCDestsale,utiliseruntissudoux etnonpelucheuxoubienhumecteruntissudouxet propredansunesolutiondétergenteneutreetdouce pourlanettoyer.S'assurerdeprocéderàl'essuyage enpartantducentrepourrevenirverslebord.
EntretiendulecteurdeCD
Nepasajouterd'étiquettesurunCD,carcelle-ci pourraitseretrouverprisedanslelecteur.Utiliserun feutrepourécriresurlafacesupérieureduCDsiune descriptions'avèrenécessaire.
Nepasutiliserdeproduitsdenettoyagedelentillede CD, carceux-cipeuventendommagerlelecteurdeCD.
Remarque:Sivouscollezuneétiquettesurun CD,insérezplusieursCDàlafoisdanslafenteou tentezdeliredesCDrayésouendommagés,vous risquezd'endommagerlelecteurdeCD.Lorsque vousfaitesfonctionnerlelecteurdeCD,utiliser uniquementdesCDenbonétatetnonmunis d'étiquette,chargerunCDàlafoisetéloignertous corpsétrangers,liquidesetdébrisdulecteurdeCD etdelafentedechargement.
Siunmessaged'erreurs'affiche, sereporterà «MessagesdulecteurCD» plusloindanscette section.
Utilisationdelaprised'entréeauxiliaire
Lesystèmeradiopossèdeuneprised'entréeauxiliaire situéesurlecôtédroitdelafaçade. Cen'estpasune sortieaudio. Nepasbrancherlecasquedanslaprise d'entréeauxiliaireavant. Undispositifaudioexterne peutêtreconnectéàlaprised'entréeauxiliairepour l'utilisercommeautresourced'écoute.
Lesconducteurssontinvitésàparamétrerlesdispositifs auxiliairesquandlevéhiculeestenpositionde stationnement(P).SereporteràConduitedéfensive à lapage5-2
Pourutiliserunlecteuraudioportable,connecterun câblede3,5mm(1/8po)àlaprised'entréeauxiliaire avantdelaradio.Lorsqu'unappareilestconnecté,la radioafficheAUXINPUTDEVICE(dispositifd'entrée auxiliaire)etcommencelalectureaudiodepuiscet appareil.
Boutonsupérieur(puissance/volume): Tournerpour augmenteroudiminuerlevolumedulecteurportable. Desréglagessupplémentairesduvolumepeuventêtre effectuésdepuisledispositifportable.
BAND(bande): Appuyerpourécouterlaradioquand unlecteuraudioportablefonctionne. Celui-cicontinue lalecture.
CD/AUX(CD/auxiliaire): PresserpourlireunCD quandundispositifaudioportatiffonctionne. Presserà nouveau pour que les systém recommence à reproduire lesondulecteur audioportatif connecté. Siunlecteur audioportatif est connecté, AUXINPUTDEVICE (dispositifd'entréeauxiliaire) s'affiche. Siaucunlecteur audioportatif n'est connecté, AUXINPUTDEVICE en s'affichepas.
Àl'aided'unMP3
FormatMP3
LesradiosàfonctionMP3nepeuventlirequedes disquesCD-R.Nepasmélangerdesfichiersaudio standardetdesfichiersMP3surlemêmedisque.
Structuredefichierssupportée
LesradiosàfonctionMP3peuventaccepterjusqu'à:
- 50dossiers.
• 11arborescencesdedossiers. - 50listesdelecture.
• 255fichiers. - 10 sessions.
Répertoireracine:
Lerépertoireracineesttraitécommeundossier. Les fichierssontgardésdanslerépertoireracinelorsquele disqueouledispositifdestockagenecontientaucun dossier. Les fichiersouvertsdepuislerépertoireracine s'affichentcommeF1ROOT(racine).
Dossiervide:
Lesdossiersnecontenantpasdefichierssontsautés etlelecteurpasseaudossiersuivantcontenantdes fichiers.
Débitsbinairesgérés
Lesfichierspeuventêtreenregistrésselonlesdébits binaressuivants:32kbps,40kbps,56kbps,64kbps,80kbps,96kbps,112kbps,128kbps,160kbps,192kbps,224kbps,256kbps et 320kbps ou à un débitvariable.
Nomsdefichiers
LesidentificateursID3v1etID3v2sontsupportés. Lenomdelapistecontenudansl'identificateur ID3 s'affiche. L'écran n'affiche que 32 caractères pour lenomdespistesetdesfichiers.
Silenomdelapisten'estpascontenudans l'identificateurlD3,seullenomdufichiersans extensions'affiche.
Listesdelecture
Leslistesdelecturecomportantdesextensionsautres que.m3uou.wplpourraientnepasfonctionner.
Leslistesdelecturepréprogramméescrééesavec WinAmp™, MusicMatch™ ou Real Jukebox™ peuvent êtreutiliséesmaisellesnepeuventêtremodifiéesen utilisantlaradio.
Lectured'unMP3
InsérerpartiellementunCDdanslafente,étiquette au-dessus.LelecteurletracteetREADING(lecture)s'affiche.LalectureduCDdevraitdébuteretlesymbole CDs'affiche.
Silecontactoularadioestéteintalorsqu'unCD-Rse trouvedanslelecteur, celui-ciyrestera. Lorsquele contactoularadioserarallumé, lalecturereprendra oùelleaétéinterrompue, sileCD-Rétaitladernière sourcesélectionnée.
Lorsquelalectured'unenouvellepistecommence,son numéros'affiche.
Ordredelecture
Lespistessontluesséquentiellementdansl'ordre suivant:
1.Listesdelecture.
2. Fichierscontenus danslerépertoire racine.
3. Fichierscontenusdansdesdossiers.
☐/♪ (syntonisation): Tourner pour passer à la piste suivanteouprécédente.
«(dossierprécédent):Appuyerpouralleràla premièrepistedudossierprécédent.Maintenirappuyé pourrevenirenarrièresurlapisteencours.
»(dossiersuivant):Appuyerpouralleràla premièrepistedudossiersuivant.Maintenirappuyé pouravancerrapidementsurlapisteencours.
RDM(accèsaléatoire): Appuyerpourécouter lespistes d'un CD, d'undossieroudetous les CD chargés dans unordrealéatoire plutôt quedans un ordreséquentiel.
PresseretrelâcherRDMdèsque:
- RANDOMDISCPLAY(lecturealéatoiredudisque) s'affichepourlierelespistesd'unCDdansunordre aléatoire.
- RANDOMFOLDER(lecturealéatoiredudossier) s'affichepourlirelespistesd'undossierdansun ordrealéatoire.
- RANDOMALLDISCS(lecturealéatoiredetousles disques)s'affichepourlirelespistesdetousles CDchargésdansunordrealéatoire.
• RANDOMOFF(lecturealéatoiredésactivée) s'affichepourdésactiverlalecturealéatoire.
RPT(répétition): Appuyerpourécouterànouveau unepiste, unCDouundossier.
PressererrelâcherRPT(répétition)dèsque:
• REPEAT(répéter)s'affichepourrépéterunepiste.
- REPEATONEDISC(répéterundisque)s'affiche pourrépéterunCD.
- REPEATFOLDER(répéterundossier)s'affiche pourrépéterundossier.
- REPEATOFF(répétitiondésactivée)s'affichepour désactiverlalecturerépétée.
SEEK (recherche): Presser pour retourner au débutdelapisteencours, sisalectureadémarré depuis plus dehuit secondes. Presser pour passer à lapistes suivante. Presser ou plusieurs fois pour que le cteur continuedereculeroud'avancer d'un episte à l'autre.
i(information): Presserpourafficherlenomde l'artisteetletitredel'albumcontenudans l'étiquetteID3.
BAND(bande):Presserpourécouterlaradiolorsqu'un CDestencoursdelecture.LeCDinactifresteen sécuritédanslelecteurjusqu'àlaprochainelecture.
CDAUX(lecteurCDauxiliaire):Presserpourlireun CDpendantquevousécoutezlaradio.LesymboleCD s'affichelorsqu'unCDestchargé.
MessagesautoradioXM
XL(stationsenlangageexplicite): Cesstations, outouteautrestation, peuventêtrebloquéesen composantle1-800-852-XMXM(1-800-852-9696).
Updating(miseàjour): Lecodedechiffrementde votrerécepteurestencoursdemiseàjouretvous n'avezpasàintervenir. Cetteopérationnedurepas plusde30secondes.
NoSignal(aucunsignal):Lesystèmefonctionne correctement, maislevéhiculesetrouveàunendroit où laréceptiondusignalXMestbloquée. Lesignaldevrait revenirlorsquevousaurezquittécetendroit.
Loading XM (chargement XM) : Les données audio et textesontencours d'acquisitionetdetraitemment par voresystème audio. Vous n'avezpas à intervenir. Cemessagedisparaîtrasouspeu.
CHOffAir(canalhorsservice):Cettestationn'est pasactuellementenservice. Vousdevezensyntoniser unautre.
CHUnauth(canalnonautorisé): Cecanalestbloqué ounepeutêtrereçudansvotreabonnementXM.
CHUnavail(canalnondisponible): Cecanal auparavantaccessible, nel'estplus. Syntoniserune autrestation. Sivousaviezmémorisécettestation, vouspourriezenassigneruneautreàceboutonde préréglage.
Nolinfo(pasd'information):Aucuneinformationsur l'artiste,letitredelachansonlacatégorieoutoute autreinformationtextuellen'estdisponibleence momentsurcecanal.Votresystèmefonctionne correctement.
NotFound(introuvable):Aucuncanaln'estdisponible pourlacatégoriesélectionnée.Lesystèmefonctionne correctement.
XMLocked(XMverrouillé):LerécepteurXMdu véhiculeapeut-êtredéjàétéinstallédansunautre véhicule.Pourdesraisonsdesécurité,lesrécepteurs XMnepeuventpasêtrechangésdevéhicule.Sice messageapparaîtaprèsunentretiendevotrevéhicule, consultervotreconcessionnaire.
RadiolD(identificationradio):Silecanal0est syntonisé, cemessageapparaîtenalternanceavec l'étiquetted'identificationà8chiffresdelaradioXM. Cetteétiquetteestnécessairepouractiverlesystème.
Unknown(inconnu):Sivousrecevezcemessage alorsquevousavezsyntonisélecanal0,lerécepteur aunproblème.Consultervotreconcessionnaire.
ChkXMRcvr(vérifierlerécepteurXM):Sice messagenes'effacepasrapidement,votre récepteurestpeut-êtredéfectueux.Consulter votreconcessionnaire.
Systèmedenavigation/radio
Encasdesystèmedenavigation, sereporterau manuelconsacréausystèmedenavigation pour plus d'information.
Bluetooth ^MD
Lesvéhiculesdotésd'unsystemeBluetoothpeuvent utiliseruntéléphonecellulaireàfonctionBluetoothet unprofilmainslibrespourpasseretrecevoirdesappels téléphoniques.Lesystèmepeutêtreutilisélorsque laclédecontactoccupelapositionON/RUN(en fonction/marche)ouACC/ACCESSORY(accessoires). LaportéedusystèmeBluetoothpeutatteindre9,1m (30pi).Touteslesfonctionsnesontpassupportéespar touslestéléphones,etiln'estpasgarantiquetousles téléphonesfonctionnentaveclesystèmeBluetooth embarqué.Consulterlesitewww.gm.com/bluetooth pourdeplusamplesinformationssurlestéléphones compatibles.
Reconnaissancevocale
LesystèmeBluetoothutiliselareconnaissancevocale pourinterpréterlescommandesvocalesdenumérosà composeroudenoms.
Bruit: Maintenirleniveausonoreàl'intérieur de l'habitacleaminimum. Lesystèm vocal peutnepas reconnaître les commandes vocalesile bruitdefond est trop important.
Quandparler: Unsignalsonorecourtestémisaprès laréponsedusystèmepourindiquerquecelui-ciattend unecommandevocale. Attendrelesignalsonore, puis parler.
Commentparler: Parlercalmement, d'unevoixclaire etnaturelle.
Systèmeaudio
LorsquelesystèmeBluetoothembarquéestutilisé, le sonestémisvialeshaut-parleursavantdusystème audioetrecouvreceluidecesystème. Utiliserlebouton devolumesonoreaucoursd'unappelpourmodifierle niveauduvolume. Leniveachoisiresteenmémoire pourlesprochainsappels. Pouréviterderaterun appel, unniveaminimumestutilisésileréglagede volumeesttropfaible.
CommandesBluetooth
Utiliserlesboulonsduvolantpourutiliserlesystème Bluetoothembarqué.SereporteràCommandesaudio intégréesauvolantdedirection àlapage4-122 pourde plusamplesinformations.
(appuyer pour parler): Presser pour répondre auxappelsentrants, confirmeruneinformation du systèmeoulancerlareconnaissancevocale.
(raccrocher): Presser pour mettre fin à un appel, rejeterunappelouannuleruneopération.
Jumelage
UntéléphonecellulaireBluetoothdoitêtred'abord jumeléausystèmeBluetoothembarquépuisconnecté auvéhiculeavantdepouvoirêtreutilisé. Seréférerau guided'utilisationdufabricantdutéléphonecellulaire pourlesfonctionsBluetoothavantdejumelerle téléphone. SiuntéléphoneBluetoothn'estpas connecté, lesappelspeuventêtrepassésviale systèmed'appelmainslibresOnStar ^MD , sicelui-ci estdisponible. Seréférerauguidedupropriétaire OnStarpourdeplusamplesinformations.
- Jusqu'àcinqtéléphonescellulairespeuventêtre jumelésausystèmeBluetoothembarqué.
- Leprocessusdejumelageestinterrompulsque levéhiculesedéplace.
- Lesystème Bluetoothembarquésérelie automatiquementaupremiertéléphonecellulaire jumelédansl'ordredejumelagedestéléphones.
- Seuluntéléphonejumelépeutêtreconnectéàla foisausystèmeBluetoothembarqué.
- Lejumelagenedoitêtreaccompliqu'uneseule fois, sauflorsquedesmodificationsontété apportéesauxinformationsdejumelageousile téléphoneaétésupprimé.
Pourrelieruntéléphonejumelédifférent,seréférerà Liaisonàautretéléphoneplusloindanscettesection.
Jumelaged'untéléphone
- Presseretmaintenir « pendant deuxsecondes. Lesystèmerépondpar « Prêt » suivid'unsignal sonore.
- Prononcer «Bluetooth». Lesystèmerépondpar «Bluetoothprêt» suivid'unsignalsonore.
- Prononcer «Jumeler». Lesystèmerépondpardes instructionsetunnuméroNIPàquatrechiffres. LenuméroNIPserautiliséal'étape4.
- Entamerleprocessusdejumelagesurle téléphonedevantêtrejumeléauvéhicule. Se reporterauguidedel'utilisateurdufabricant du téléphonecellulairepourlesinformationsrelatives àceprocessus.
Localiserl'appareilnommé «General Motors» dans la listedutéléphone cellulaireetsuivreles instructions affichéessurletéléphonepoursaisir lenuméro NIP à quatrechiffres fournià l'étape3. -
Lesystèmedemandeunnompourletéléphone. Utiliserunnomquidécriveaumieuxcelui-ci. Cenomserautilisépourindiquerqueltéléphone estconnecté. Lesystèmeconfirmensuitelenom fourni.
-
Lesystèmerépondpar «Jumelagede
réussi» lorsqueleprocessus de jumelageestterminé. - Répéterlesétapes1 à 7 pourlestéléphones additionnels à jumeler.
Listedetouslestéléphonesjumeléset connectés
- Presser et maintenir Ⓗ pendant deux secondes. Lesystèmerépondpar «Prêt» suivid'unsignal sonore.
- Prononcer «Bluetooth». Lesystèmerépondpar «Bluetoothprêt» suivid'unsignalsonore.
- Prononcer «Liste». Lesystèmelistetous les appareils Bluetoothjumelés. Siuntéléphone est connectéauvéhicule, lesystèmeajoute «Est connecté» aprèsletéléphoneconnecté.
Suppressiond'untéléphonejumelé
- Presser et maintenir Ⓗ «¿» pendant deux secondes. Lesystèmerépondpar «Prêt» suivid'unsignal sonore.
- Prononcer «Bluetooth». Lesystèmerépondpar «Bluetoothprêt» suivid'unsignalsonore.
-
Prononcer « Supprimer ». Letéléphonedemande lenomdutéléphone à supprimersuivid d'unsignal sonore.
-
Énoncerlenomdutéléphoneàsupprimer. Silenomdutéléphoneestinconnu, utiliserla commande «Liste» pourunelistedetousles téléphonesjumelés. Lesystèmerépondpar «Voulez-vousupprimerlenom,ouiounon?» suivid'unsignalsonore.
-
Prononcer « Oui » poursupprimerletéléphone. Lesystèmerépondpar « D'accord, supprimer
».
Liaisonàunautretéléphone
- Presser et maintenir Ⓗ «¿ pendant deux secondes. Lesystèmerépondpar«Prêt»suivid'unsignal sonore.
- Prononcer «Bluetooth». Lesystèmerépondpar «Bluetoothprêt» suivid'unsignalsonore.
- Prononcer « Changerdetéléphone ». Lesystème répondpar « Veuillezattendrependantqueje chercheunautretéléphone ».
- Siunautretéléphoneesttrouvé,laréponse sera«
estmaintenant connecté». - Siaucunautretéléphonen'esttrouvé, le téléphoneoriginalresteconnecté.
Mémorisationdenoms
Lesystèmepeutmémoriserjusqu'àtrentenumérosde téléphonecomméétiquetesdenompartagésparles systèmesBluetoothetOnStar.
Lesystèmeutiliselescommandessuivantespour mémoriseretretrouverlesnumérosdetéléphone:
- Enregistrer
• Enregistrerchiffres - Répertoire
UtilisationdelacommandeEnregistrer
Lacommandedemémorisation permetdemémoriser unnumérodetéléphonesanssaisirleschiffresun parun.
- Presseretmaintenir «pendant deux secondes. Lesystèmerépondpar «Prêt» suivid'unsignal sonore.
-
Prononcer « Enregistrer ». Lesystèmerépondpar « Enregistrer, numéros'ilvousplaît » suivid'un signalsonore.
-
Énoncerlenumérodetéléphonecompletd'une traite, sanspauses.
-
Silesystèmereconnaîtlenuméro, ilrépond par « D'accord.Enregistrement. » etrépètele numérodetéléphone.
-
Silesystèmenereconnaîtpasàcoupsûr lenumérodetéléphone, ilrépondpar «Enregistrer» etrépètelenumérosuivide «Veuillezrépondreouiounon». Silenuméro estcorrect, prononcer «Oui». Danslecas contraire, prononcer «Non». Lesystème demanderadeprononcerànouveaulenuméro.
-
Aprèsavoirmémorisélenumérodetéléphone, le système répond par « Veuillezdirelenom » suivi d'unsignalsonore.
-
Énonceruneétiquettedenompourlenumérode téléphone. Celui-ciestenregistréetlesystème répondpar « Enregistrementproposéde
. Enregistrement,ouiounon ? ». -
Sil'étiquettedenomn'estpascorrecte, prononcer«Non»etrépéterl'étape5.
- Sil'étiquettedenomestcorrecte, prononcer «Oui» et cenomestmémorisée. Lorsquele numéroestmémorisé, lesystèmerevientau menuprincipal.
UtilisationdelacommandeEnregistrer chiffres
Lacommandedemémorisationdechiffrespermetde mémoriserunnumérodetéléphoneensaisissantles chiffresunparun.
- Presseretmaintenir Ⓗ(«>pendantdeuxsecondes. Lesystèmerépondpar «Prêt» suivid'unsignal sonore.
- Prononcer «Enregistrerchiffres». Lesystème répondpar «Veuillezdirelepremierchiffre à enregistrer» suivid'unsignalsonore.
-
Énoncerlepremierchiffreàmémoriser. Le systèmerépètelechiffreentendusuivid'unsignal sonore. Continueràsaisirleschiffresjusqu'àce quelenuméroàmémorisersoitcomplet.
-
Siunmauvaischiffreestreconnuparle système, prononcer « Effacer » à n'importe quelmomentpoureffacerledernierchiffre.
-
Pourécoutertousleschiffresreconnusparle système, prononcer « Vérifier » à n'importequel momentet lesystèmelesrépétera.
-
Aprèsavoirsaisitoutlenuméro, prononcer «Enregistrer». Lesystèmerépondpar «Veuillez direlenom» suivid'unsignalsonore.
-
Énonceruneétiquettedenompourlenumérode téléphone. Celui-ciestenregistréetlesystème répondpar « Enregistrementproposéde
. Enregistrement, ouiounon ? ». -
Sil'étiquettedenomn'estpascorrecte, prononcer«Non»etrépéterl'étape5.
- Sil'étiquettedenomestcorrecte, prononcer «Oui»etcenomestmémorisée. Lorsquele numéroestmémorisé, lesystèmerevientau menuprincipal.
UtilisationdelacommandeRépertoire
Lacommandederépertoirelistetouteslesétiquettes denommémoriséesparlesystème. Pourutilisercette commande:
- Presseretmaintenir C («pendant deux secondes. Lesystèmerépondpar «Prêt» suivid'unsignal sonore.
- Prononcer « Répertoire ». Lesystèmerépondpar « Répertoire » et é noncel listedetoutes les étiquettesdenommémorisées. Lorsquel alisteest terminée, lesystèmere vientaumenuprincipal.
Effacementd'étiquettesdenom
Lesystèmeutiliselescommandessuivantespour effacerlesétiquettesdenom:
- Supprimer
• Supprimertouslesnoms
UtilisationdelacommandeSupprimer
Lacommandedesuppressionpermetdesupprimerdes étiquettesdenomspécifiques.
Pourutiliserlacommandedesuppression:
- Presseretmaintenir Ⓗ(«Épendantdeuxsecondes. Lesystèmerépondpar «Prêt» suivid'unsignal sonore.
- Prononcer « Supprimer ». Lesystèmerépondpar « Supprimer . Veuillezdirelenom » suivid'unsignal sonore.
-
Énoncerl'étiquettedenomàsupprimer. Le système répond par «Voulez-vous supprimer
? Veuillez répondreouiounon ». -
Sil'étiquettedenomestcorrecte, pronomer «Oui» poureffacercetteétiquettedenom. Lesystèmerépondpar «D'accord, supprimer
, retouraumenuprincipal». - Sil'étiquettedenomestincorrecte, prononcer «Non». Lesystèmerépondpar «Non. Essayonsdenouveau. Veuillezdirelenom».
UtilisationdelacommandeSupprimertous lesnoms
Lacommandedesuppressiondetouslesnoms supprimetouteslesétiquettesdenommémoriséespour OnStar(sicesystèmeestprésent)danslerépertoire téléphonique.
Pourutiliserlacommandedesuppressiondetous lesnoms:
-
Presseretmaintenir C « pendant deux secondes. Lesystèmerépondpar « Prêt » suivid'unsignal sonore.
-
Prononcer « Supprimertouslesnoms ». Le système répond par « Vousêtessurlepointde supprimertouslesnomsquevousavezmisen mémoiredanslerépertoire. Étes-vous sûr que c'estcequevousvoulezfaire ? Veuillez répondre ouiounon ».
-
Prononcer « Oui » poursupprimertoutes les étiquettesdenom.
- Prononcer«Non»pourannulerlafonctionet reveniraumenuprincipal.
Passerunappel
Lesappelspeuventêtreeffectuésàl'aidedes commandessuivantes:
- Composer
-Composerchiffres - Appeler
- Recomposer
UtilisationdelacommandeComposer
- Presseretmaintenir « pendant deux secondes. Lesystèmerépondpar « Prêt » suivid'unsignal sonore.
- Prononcer «Composer». Lesystèmerépondpar «Composer.Utiliser
. Numéro s'ilvousplaît» suivid'unsignalsonore. -
Énoncerl'ensembledunumérosanspause.
-
Silesystèmereconnaîtlenuméro, ilrépond par «D'accord. Composition» et composele numéro.
- Silesystèmenereconnaîtpaslenuméro, il confirmelenumérosuivid'unsignalsonore. Silenuméroestcorrect, prononcer «Oui». Le système répondpar «D'accord.Composition» et composelenuméro. Silenuméroest incorrect, prononcer «Non». Lesystème demanderad énoncerànouveaulenuméro.
- Silesystèmereconnaîtlenuméro, ilrépond par «D'accord. Composition» et composele numéro.
- Silesystèmenereconnaîtpaslenuméro, il confirmelenumérosuivid'unsignalsonore. Silenuméroestcorrect, prononcer «Oui». Le système répondpar «D'accord.Composition» et composelenuméro. Silenuméroest incorrect, prononcer «Non». Lesystème demanderad énoncerànouveaulenuméro.
UtilisationdelacommandeComposer chiffres
- Presseretmaintenir « pendant deuxsecondes. Lesystèmerépondpar « Prêt » suivid'unsignal sonore.
- Prononcer «Composerchiffres». Lesystème répondpar «Composerchiffres. Utiliser
. Veuillez direle premier chiffre à composer » suivid' unsignalsonore. - Énoncerunparunleschiffresformantlenuméroà composer. Aprèschaquechiffrelesystèmerépète lechiffreentendusuivid'unsignalsonore.
-
Continueràénoncerleschiffresjusqu'àcequele numéroàcomposersoitcomplet. Lorsquetoutle numéroaétésaisi, prononcer «Composer». Le système répond par «D'accord. Composition» et composelenuméro.
-
Siunmauvaischiffreestreconnuparle système, prononcer « Effacer » à n'importe quelmomentpoureffacerledernierchiffre.
- Pourécoutertousleschiffresreconnusparle système, prononcer « Vérifier » à n'importequel momentet lesystèmelesrépétera.
UtilisationdelacommandeAppeler
- Presser et maintenir Ⓗ pendant deux secondes. Lesystèmerépondpar «Prêt» suivid'unsignal sonore.
- Prononcer «Appeler». Lesystèmerépondpar «Appeler.Utiliser
. Veuillez direlenom» suivid'unsignalsonore. -
Énoncerl'étiquettedenomdelapersonne à appeler
-
Silesystèmereconnaîtclairementl'étiquette denom, ilrépondpar «D'accord. Appel
» et composelenuméro. - Silesystèmenereconnaîtpasl'étiquettede nom, il confirmecelle-cisuivied'unsignal sonore. Silenomestcorrect, prononcer «Oui». Lesystèmerépondpar «D'accord. Appel
» et composelenuméro. Sile nomestincorrect, prononcer «Non». Le systèmedemanderad'énoncerànouveau l'étiquettedenom.
Lorsquelaconnexionestétablie, lavoixdelapersonne appelée estre transmise vialeshaut-parleurs du système audio.
UtilisationdelacommandeRecomposer
- Presser et maintenir Ⓗ «¿• pendant deux secondes. Lesystèmerépondpar«Prêt»suivid'unsignal sonore.
- Après signalsonore, prononcer «Recomposer». Lesystèmerépondpar «Recomposer.Utiliser
» et composeledernier numéroappelé à partirdutéléphone Bluetooth connecté.
Lorsquelaconnexionestétablie, lavoixdelapersonne appeléeestretransmisevialeshaut-parleurs du systèmeaudio.
Réceptiond'unappel
Quandunappelentrantestreçu, lesystème audioest misensourdine et unesonneries faitentendredans levéhicule.
- Presser Ⓗ «¿et commencer à parler pour répondreàl'appel.
- Presser pourignorerunappel.
Appelenattente
Lafonctiond'appelenattentedoitêtresupportéeparle téléphoneBluetoothetactivéeparlefournisseurde servicesansfilpourpouvoirfonctionner.
- Presser Ⓗ (u ^2 pour répondre à un appel entrant lorsqu'unautreappelestencours. Lepremier appelseramisenattente.
- Presserunenouvellefois pourrevenirau premierappel.
- Pourignorerl'appelentrant, poursuivrelepremier appelsanseffectuerquoiquecesoit.
- Presser pour déconnecter l'appelactuelet passer à l'appelenattente.
Conversationàtrois
Lafonctiondeconversationàtroisdoitêtresupportée parletéléphoneBluetoothetactivéeparlefournisseur deservicessansfilpourpouvoirfonctionner.
1.Aucoursd'unappelpresser
Lesystème malsonore.
répondpar « Prêt » suivid'unsignalsonore.
-
Prononcer «Appelconférence». Lesystème répondpar «Appelconférence. DitesComposer ou Appeler».
-
Utiliserlacommandedecompositionoud'appel pourcomposerlenumérodutiersàappeler.
- Unefoisconnecté, presser Ⓗ «¿pourreliertous lesparticipantsàlaconversation.
Find'unappel
Presser pourmettrefinàunappel.
Miseensourdined'unappel
Aucours d'unappel, tous lessons provenant de l'intérieur du v é hicule peuvent être misensourdine manière à ce quele correspondant nepuisseles entendre.
Pourmettreensourdineunappel
- Presser© «Lesystèmerépondpar« Prêt» suivid'unsignalsonore.
- Prononcer « Sourdineappel ». Lesystèmerépond par « Appelmisensourdine ».
Pourannulerlamiseensourdine
- Presser «Lesystèmerépondpar «Prêt» suivid'unsignalsonore.
- Après signalsonore, prononcer « Sourdine appel ». Lesystèmerépondpar « Reprise d'appel ».
Transfertd'unappel
LesonpeutêtretransféréentrelesystèmeBluetooth embarquéetletéléphonecellulaire.
Pourtransférerlesonautéléphone cellulaire
Aucoursd'unappelvialesystèmeaudioduvéhicule:
-
Presser Ⓗ(«Σ.Lesystèmerépondpar«Prêt» suivid'unsignalsonore.
-
Prononcer «Transférerl'appel». Lesystème répondpar «Transfertdel'appelencours» et la retransmissiondusonpassedusystèmeaudiodu véhiculeautéléphonecellulaire.
Pourtransférerlesonausystème Bluetoothembarqué
Letéléphonecellulairedoitêtrejumeléetconnecté ausystèmeBluetoothavantqu'unappelpuisseêtre transféré. Leprocessusdeconnexionpeutprendre jusqu'à deux minutes après avoir tourné la clé en positionON/RUN(enfonction/marche)ouACC/ACCESSORY(accessoires).
Aucoursd'unappelvialetéléphonecellulaire, presser et maintenir pendant plus dedeux secondes. Lesystème audiopassedutéléphonecellulaire au véhicule.
Dérivationvocale
Ladérivationvocale permet l'accès aux commandes dereconnaissance vocales sur le téléphone cellulaire. Sereporterauguidedel'utilisateur du fabricant du téléphone cellulaire pour voirsile teléphones supporte cette fonction. Celle-cipeutêtre utilisée pour accéder verbalementaux contactsmémorisés dans le téléphone.
-
Presseretmaintenir C « pendant deux secondes. Lesystèmerépondpar « Prêt » suivid'unsignal sonore.
-
Prononcer «Bluetooth». Lesystèmerépondpar «Bluetoothprêt» suivid'unsignalsonore.
-
Prononcer « Vocal ». Lesystèmerépondpar « D'accord. Connexion
».
- Lesmessagesd'invitesnormauxdutéléphone cellulairesontaffichésenfonctiondes instructionsd'utilisationdutéléphone.
Signauxmultifréquenceàdouble tonalité(DTMF)
Lesystème Bluetoothembarquépeutenvoyerdes chiffresetdesnombresmémoriséscommeétique denomaucoursd'unappel. Ceciestutilisélorsd'un appelversuncentraltéléphoniquecontrôléparmenu. Desnumérosdecomptespeuventêtreprogrammés danslerépertoiretéléphoniquepourêtrerécupéréslors d'unappelcontrôléparmenu.
Envoid'unchiffreaucoursd'unappel
- PresserP «Lesystèmerépondpar «Prêt» suivid'unsignalsonore.
- Prononcer «Composer». Lesystèmerépondpar «Ditesunnuméropourtransmettredestonalités» suivid'unsignalsonore.
- Énoncerlechiffre à transmettre.
- Silesystèmereconnaîtclairementlechiffre, il répondpar « D'accord, envoidunuméro », les signauxsonorescorrespondantssonttransmis et l'appelsepoursuit.
- Silesystèmenereconnaîtpasclairementle chiffre, ilrépond «Composernuméro, veuillez direouiounon » suivid'unsignalsonore. Silechiffreestcorrect, prononcer «Oui». Lesystèmerépondpar «D'accord, envoidu numéro», lessignauxsonorescorrespondants sonttransmisetl'appelsepoursuit.
Envoid'unnomaucoursd'unappel
- Presser© «Σ. Lesystèmerépondpar «Prêt» suivid'unsignalsonore.
- Prononcer « Envoyerunnom ». Lesystème répondpar « Ditesunnompourtransmettredes tonalités » suivid'unsignalsonore.
- Énoncerl'étiquettedenomàtransmettre.
- Silesystèmereconnaîtclairementlenom, il répondpar « D'accord. Envoyé
- Silesystèmenereconnaîtpasclairementle nom, ilrépond «Composer
Effacementdusystème
Tantquelesinformationsnesontpassuppriméesdu systèmeBluetoothembarqué,ellessontconservées indéfiniment.Ceciincluttouslesnomssauvegardés danslerépertoiretéléphoniqueetlesinformations dejumelagedetéléphone.Pourdeplusamples informationssurlamanièredesupprimerces informations,sereporterauxsectionsSuppression d'untéléphonejumeléetEffacementdenoms.
Autresinformations
LamarqueetleslogosBluetooth ^MD sontlapropriété deBluetooth ^MD SIG, Inc. ettouteutilisationdeceux-ci parGeneralMotorss'effectuesouslicence. Lesautres marquescommercialesetnomscommerciaux appartiennentàleurspropriétairesrespectifs.
SereporteràlarubriqueBluetooth MD àlapage4-110 pour l'informationsurFC.
Dispositifantivol
LesystèmeTHEFTLOCK ^MD (dispositifantivol) est conçupourdécouragerlevoldelaradioduvéhicule parmémorisation d'unepartiedunuméro d'identification duvéhicule (NIV). Laradionefonctionnepaset l'indication LOCKED (verrouillé) s'affichesilaradio est voléeoudéplacéédansunautrevéhicule.
Lorsquelecontactestcoupé, untémoinrouge clignotantsituésurlecôtésupérieurgauchedela radioindiquequelesystème THEFTLOCK ^MD (dispositifantivol) estarmé.
Commandesaudiointégréesau volantdedirection

text_image
δ δ
Surlesvéhicules à commandesauvolant, certaines commandesaudiopeuventêtrerégléesauvolant.
(sourdine/presser pour parler): Presser pourcouperlesondeshaut-parleursduvéhicule uniquement.Presserdenouveaupourrétablirleson.
PourlesvéhiculeséquipésdesystèmesBluetoothou OnStar ^MD , maintenirenfoncéelacommandeP ^WZ pendantplusdedeuxsecondspourinteragiravecces systèmes.SereporteràBluetooth ^MD àlapage4-110 et auguidedupropriétaireOnStar ^MD , pourdeplusamples informations.
(raccrocher): Presserpourrejeterunappelentrant oumettrefinàunappelencours.
△▽ (suivant/précédent): Presser pour changer les stationsderadiooupoursélectionnerlespistesduCD.
- Appuyer sur △ ou ▽ pour aller à la station de radiosuivanteouprécédenteetydemeurer. La radionerecherchelesstationsprésentant un signalpuissantcompris danslabande sélectionnée.
- Appuyer sur △ ou ▽ pendant deux secondes jusqu'àcequeSCAN(exploration)soitaffichéet qu'unsignalsonoreretentisse.Laradiopasseà unestation,lajouependantquelquessecondes, puispasseàlastationsuivante.Appuyerde nouveaupourmettrefinàl'exploration.
- Appuyer sur △ ou ▽ pendant quatre secondes jusqu'àcequeSCAN(exploration)soitaffichéet qu'unsignalsonoreretentisse.Laradiopasse à unestation, la jouependant quelquessecondes, puispasse à lastationsuivante.Appuyerde nouveau pourmettrefin à l'exploration.
Poursélectionnerlespistesd'unCD:
- Lors de la lecture d'un CD, presser △ ou ▽ pour passeràlapistesuivanteouprécédente.
- Pourexplorerledisqueencoursd'écoute, appuyer sur △ ou ▽ et la maintenir enfoncée pendant plusdedeuxsecondes. Lelecteurpassedepiste enpisteenlisantles 10 premièressecondes de chaquepiste. Appuyerdenouveaupourmettrefin à l'exploration.
- Pourexplorertouslesdisqueschargés, appuyer sur △ou▽ pendantplusdequatresecondes. Lelecteurpassededisqueendisqueenlisantles 10premièressecondesdechaquepiste. Appuyer denouveaupourmettrefinàl'exploration.
+ ◀ - ◀ (volume): Presser pour augmenter ou diminuerlevolumedelaradio.
1 à 6 boutonspoussoirs dépréselection: Appuyer surceboutonpourécouterlesstationsmémoriséessur lesboutons-poussoirs.
Réceptionradio
Desinterférencesdefréquenceetdesparasiteslorsde laréceptionnormaledelaradiopeuventseproduiresi desélémentsstelsquedeschargeursdetéléphones cellulaires, desaccessoiresdeconfortpourlevéhicule etdesdispositifsélectroniquesexternessontbranchés àlapriseélectriquepouraccessoires. Encas d'interférenceoudeparasites, débrancherledispositif encausedelapriseélectriquepouraccessoire.
AM
LaportéedelaplupartdesstationsAMestsupérieure àcelledesstationsFM,enparticulierlanuit. Une portéeplusimportantepeutprovoquerdesinterférences entrelesstations.Pourunemeilleureréceptiondela radio,laplupartdesstationsradioAMaugmententles niveauxdepuissanceenjournée,puislesréduisentla nuit.Desparasitespeuventégalementseproduire lorsquedestempêtesetlignesélectriquesinterfèrent avecclaréceptionradio.Danscecas,essayerde réduireleniveaudesaigussurlaradio.
FMstéréo
LessignauxFMn'ontqu'uneportéed'environ 16à65km(10à40milles).Bienquelaradiosoit dotéedecircuitsélectroniquesdestinésàréduire automatiquementlesinterférences,desparasites peuventseproduire,particulièrementauxabordsde grandsbâtimentsoudecollines,entraînantune fluctuationduson.
ServicederadioparsatelliteXM™
LeservicederadioparsatelliteXMvousoffreune réceptionradionumériqued'unocéanàl'autredans les48étatscontigusdesÉtats-UnisetauCanada. ToutcommepourlesstationsFM,lesgrandsédifices etlescollinespeuventinterféreraveclessignauxradio parsatellite,atténuantainsilarréceptionàcertains moments.Parailleurs,lefaitdevoyageroudese trouversousdesfeuillagesépais,desponts,des garagesoudestunnelspeutentraînerunepertedu signalXMpendantunecertainedurée.
Téléphonecellulaire
L'usaged'untéléphonecellulairepeutcauser desinterférencesaveclaradiouvéhicule. Ces interférencespeuventseproduirelorsquevousfaites ourecevezdesappels, lorsquevousrechargezla batteriedutéléphoneoutoutsimplementlorsquele téléphoneestenfonction. Ces interférencesse manifestentsouslaformed'unaccroissementdes parasitespendantquevousécoutezlaradio. Sivous entendezdetellesperturbations, débrancherle téléphonecellulaireetlemettrehorsfonction.
Dispositifd'antenneàréception simultanée
L'antenneAM-FMestundispositifcachéquiserègle delui-même.IloptimiselessignauxAMetFMpar rapportàlasituationduvéhiculeetàlasourcedela stationradio.Nientretienniréglagesnesont nécessaires.
Systèmed'antenneautoradio satelliteXM™
Pourlesvéhiculeséquipésdusystèmede radiodiffusionparsatelliteXM, l'antennesetrouve surletoitousurlecouvercleducoffreduvéhicule. Éliminertouteobstructiondel'antennepourconserver laqualitédelaréception.
Section5Conduitedevotrevéhicule
Votreconduite, larouteetlevéhicule....5-2
Conduitedéfensive....5-2
Conduiteenétatd'ébriété....5-2
Contrôleduvéhicule....5-3
Freinage....5-4
Systèmedefreinageantiblocage(ABS)......5-5
Freinaged'urgence....5-6
Systèmedetractionasservie(TCS)......5-7
Dispositifd'assistancevariable....5-8
Modedeconduitecompétitive....5-10
Essieuarrièreàglissementlimité....5-15
Suspensionàgéométrievariable....5-15
Direction....5-18
Contrôled'undérapagesurl'accotement.....5-20
Manoeuvrededépassement....5-20
Pertedecontrôle....5-21
Conduitecompétitiveetcourse....5-22
Conduitedenuit....5-25
Conduitesouslapluieetsurroutes mouillées....5-26
Avantdepartirpourunlongtrajet......5-27
Routesonduleusesetdemontagne......5-28
Conduitehivernale....5-29
Silevéhiculeestcoincédanslesable,laboue oulaneige....5-31
Va-et-vientduvéhiculepourlesortir......5-32
Chargementduvéhicule....5-32
Remorquage 5-38
Remorquageduvéhicule....5-38
Remorquaged'unvéhiculerécréatif....5-38
Tractiond'uneremorque....5-38
Votreconduite, larouteetle véhicule
Conduitedéfensive
Uneconduitedéfensivesignifie «toujourss'attendre à l'imprévu». Lapremièreétaped'uneconduitedéfensive consiste à porterlaceinturedesécurité—Sereporter à Ceinturesdesécurité: Pour tous à lapage 2-8.

AVERTISSEMENT:
Toujours s'attendre à ce que les autres usagers delaroute (piétons, cyclistes et autres conducteurs) soient imprudent setfassent des erreurs. Anticiperce qu'ilspourraient faire et être prêt à faire face à leur serreurs. En outre:
- Laissersuffisamment d'espaceentrele véhicule et levéhicule précédent.
• Seconcentrersurlaconduite.
Ladistractionduconducteurpeutentraînerdes accidentsgraves, voiremortels. Cestechniques défensivessimplespeuventvoussauverlavie.
Conduiteenétatd'ébriété

AVERTISSEMENT:
Ilesttrèsdangereuxdeconduireaprèsavoirbu. Mêmeunepetitequantitéd'alcoolpeutafacter vosréflexes,vosperceptions,votreconcentration etvotrediscernement.Sivousconduisezaprès avoirbu,vouspouvezavoirunaccidentsérieux, oumêmefatal.Nepasconduireaprèsavoir buetnepasaccepterd'êtrelepassagerd'un conducteurquiabu.Rentreràlamaisonen taxiou,sivoussortezengroupe,choisirun conducteurquis'abstiendradeboire.
Lamortetlesblessuresassociéesàlaconduiteenétat d'ébriétéconstituentunetragédieglobale.
Laconsommationd'alcoolpriveunconducteurde quatrefacultésdontilabesoinpourconduireun véhicule:lejugement,lacoordinationmusculaire, lavisionetl'attention.
Lesarchivesdelapolicemontrentquel'alcoolest lacausedepresque40pourcentdesaccidents mortelsdelaroute. Danslaplupartdescas, c'estla conduiteenétatd'ébriétéquicausel'accidentfatal. Cesdernièresannées, lesaccidentsdelaroute associésàl'alcoolontcauséquelque17000morts etenviron250000blessésannuellement.
AuxÉtats-Unis,ilestillégaldeconsommerdel'alcool avant21ans.Cesloisexistentpourdebonnesraisons médicales,psychologiques,ouliéesàlacroissance.
Lafaçonlaplusévidentederésoudreceproblème importantdesécuritéroutièreestdenepasboire d'alcoolavantdeconduire.
Larecherchemédicalerévèlequelagravitédes blessurespeutaugmenters'ilyadel'alcooldansle sangdesvictimes. Ceciestparticulièrementvrai danslescasdeblessuresaucerveau,àlamoelle épinièreetaucoeur. Celaveutdirequ'encas d'accident, quiconqueabudel'alcool—leconducteur ouunpassager—risquedeperdrelavieoud'être invalidepourlerestedesesjourscomparativementà quelqu'unquin'apasbu.
Contrôleduvéhicule
Lestroissystèmessuivantsvousaidentàcontrôlerle véhiculeencoursderoute—lesfreins, ladiirectionet l'accélérateur. Maisparfois, parexempleencasde neigeoudeverglas, onpeutdemanderàcessystèmes decontrôleplusquecequelespneusoulesconditions decirculationpeuventpermettre. Danscecas, vous pouvezperdrelecontrôleduvéhicule. Sereporterà Systèmedetractionasservie (TCS) àlapage 5-7 Dispositifd'assistancevariableàlapage 5-8.
L'ajoutd'accessoiresneprovenantpasdu concessionnairereputaffecterlesperformances devotrevéhicule.SereporteràAccessoireset modificationsàlapage6-4.
et
Freinage
Sereporterà Témoindusystèmedefreinage à la page4-38.
Unfreinageimpliqueuntempsdeperceptionetun tempsderéaction. Ladécisiond'appuyersurlapédale defreincorrespondautempsdeperception. Lefaire réellementcorrespondautempsderéaction.
Letempsderéactionmoyenestd'environ 3/4deseconde. Maiscelan'estqu'unemoyenne. Cetempspeutêtreinférieur pour certains conducteurs et atteindre jusqu'à deux outroissecondespour d'autres conducteurs. L'âge, l'état physique, lavivacité d'esprit, la coordination et lavision jouentous un rôle à cetégard. Toutcommel'alcool, les drogues et la frustration. Mais, même en 3/4deseconde, un véhicules déplaçant à 100 km/h (60 mi/h) parcourra 20 m (66 pi). Celapourraitre représenter un distance considérable en casd'urgence. Il est donc important de garder un distances suffisante entre levéhicule et les autres.
Et, évidemment, les distances réelles d'arrêt varient considérablements selon lasurfacedelaroute, qu'elle soit pavée ou gravillonnée; l'étatdelachaussée, qu'ellesoit mouillée, sècheouverglacée; labandede roulementdupneu, l'étatdelesfreins; lepoids du véhicule et la force de finage appliquée.
Il fautéviterdefreinertrèsfortinutilement. Certaines personnesconduisentparà-coups—desaccélérations importantessuiviesdefreinageimportant—plutôt quedesuivreleflotdelacirculation. C'estuneerreur. Lesfreinspourraientnepasavoirletempsderefroidir entrelesarrêtsbrusques. Lesfreinss'useront beaucoupplusrapidementencasdefreinages puissants. S'adapteràlacirculationetconserverdes distancesappropriéesentrelesvéhiculespermet d'éliminer beaucoup de freinages inutiles. Il en résultera unmeilleurfreinageetunepluslongueduréedevie desfreins.
Silemoteurs'arrêtedetournerenroulant,freiner normalementsanspomperlesfreins.Encasde pompage,lapédalepourraêtreplusdifficileàenfoncer. Silemoteurs'arrête,unecertaineassistanceau freinagesubsistera,maiscelle-ciserautiliséelorsdu freinage.Unefoisquel'assistanceestépuisée,le freinageserapluslentetlapédaledefreinseraplus dureàpresser.
Dans certaines conditions atmosphériques oude fonctionnement, ilest possible que votresystèmede freinage émette occasionnellement ungrincement, uncrissement tout autre bruit relatifauxfreins. Cesystèmedefreinage est conçupourunemeilleure résistance à l'équilibreet un fonctionnement cohérent grâce à l'utilisation des plaquettes définshautes performances. I'est normal que les freins émettent unbruitoudelapoussière et celan affectepasles performances dusystème.
L'ajoutd'accessoiresneprovenantpasdu concessionnairereputaffecterlesperformances devotrevéhicule.SereporteràAccessoireset modificationsàlapage6-4.
Systèmedefreinage antiblocage(ABS)
Cevéhiculeestéquipédel'ABS.Cesystèmede freinageantiblocageestunsystèmeperfectionnéde freinageélectroniquecontribuantàéviterundérapage àlasuited'unfreinage.
Lorsquelemoteuradémarréetquelevéhicule commenceàrouler, l'ABSsevérifieparlui-même. Unbruitdemoteurouundéclicmomentanépeutse faireentendrependantcettevérificationetonpeut mêmeconstaterunlégermouvementdelapédalede frein. Ceciestnormal.

text_image
(ABS)Encasdedéfaillancede l'ABS, cetémoinrestera allumé. Sereporterà Témoindesystèmede freinageantiblocage à la page4-39.
Supposonsquelachausséeestmouilléetquevous conduisezdefaçonsécuritaire.Soudain,unanimal surgitdevantvous.Vousenfoncezlapédaledefreinet continuezàfreiner.Voicequiseproduitgrâceau systèmedefreinageantiblocage:
L'ordinateurs'aperçoitquelesrouestournentmoins vite. Siuneroueestsurlepointd'arrêterdetourner, l'ordinateurationneséparémentlesfreinsde chaqueroue.
L'ABSpeutmodifierlapressiondesfreinssurchaque roue, selonlesbesoins, plusvitequenepourraitle faireleconducteur. Cecipeutaiderleconducteurà contournerunobstacletoutenfreinantfort.
Lorsd'unfreinage, l'ordinateurcontinueàrecevoirdes misesàjoursurlavitessedesrouesetcontrôlela pressiondefreinageenfonctiondecesdonnées.
Serappelerquel'ABSnemodifiepasletemps nécessaire à laposedupiedsurlapédaledefreinet nediminuepastoujoursladistanced'arrêt. Sivous suivezdetropprèslevéhiculedevantvous, vous n'aurezpasletempsdefreinersicevéhiculeralentit ous'arrêtesoudainement. Ladistanceséparantvotre véhicules desautresdoitêtresuffisantepourvous permettredevousarrêter, mêmesivotrevéhicule estéquipéd'unABS.
Utilisationdel'ABS
Nepaspomperlesfreins. Tenirlapédalede freinsolidementenfoncéetlaisserledispositif d'antiblocagetravailler. Unbruitdemoteuroudes cliquetispeuventsefaireentendreetunléger déplacementdelapédaledefreinageaucours d'unarrêtpeutêtreperçu, maiscelaestnormal.
Freinaged'urgence
L'ABSpermetauconducteurdebraquerlesroueset freinerenmêmetemps. Dansdenombreusessituations d'urgence, lefaitdepouvoirdirigerlevéhiculeseraplus utilequelemeilleurdesfreinages.
Assistanceaufreinage
Cevéhiculepossèdeundispositifd'assistanceau freinagequirrépondaufreinaged'urgenceengénérant unepressionsupplémentaireetenengageantl'ABS. Lorsquececiseproduit, lapousséesurlapédalepeut semblerplusaisée. Maintenirsimplementlapédalede freinfermentenfoncéetlaisserlesystèmetravailler àvotreplace. Vous pouvezressentirunevibrationdes freinsouconstateruncertainbruit; ceciestnormal. Lesfreinsreviendrontenfonctionnementnormal lorsquelapédaledefreinauraétérelâchée.
L'assistanceaufreinagenepeutcompenserdes habitudesdeconduitepeusûresetl'efficacitédu freinageenlui-mêmedépenddesconditionsroutières, del'étatdespneus, deceluidesfreinsetdelamasse duvéhicule.
Systèmedetractionasservie(TCS)
Votrevéhiculeestéquipédusystèmedetraction asservie(TCS)quilimitelepatinagedesroues. Ceciestparticulièrementutilesurlesroutesglissantes. Lesystèmefonctionneseulements'ildétectequeles rouesarrièrepatinenttropoucommencentàperdre del'adhérence.Quandcelaseproduit,lesystème actionnelesfreinsarrièreretréduitlerégimedumoteur (parlafermeturedupapillonetlagestiondesétincelles d'allumage)pourlimiterlepatinage.
LemessageTRACTIONSYSTEMACTIVE(système detractionasservieactive)s'afficheàl'écrandu centralisateurinformatiquedebordlorsquelesystème detractionasservielimitelepatinagedesroues.Se reporteràlarubriqueCentralisateurinformatiquede bord-Avertissementsetmessages àlapage4-57. Vouspouvezsentirouentendrelesystèmefonctionner, maisc'estnormal.
Silerégulateurdevitesseestenfonctionquandle systèmedetractionasserviecommenceàlimiterle patinagedesroues,lerégulateurdevitesseest automatiquementdésengagé.Ilpeutêtreréengagé lorsquelesconditionsroutièreslepermettent.Se reporteràRégulateurdevitesseautomatique à la page4-7.

(réparerlesystème detractionasservie) s'afficheetletémoin du TCSs'allume, pourindiquerquece systèmeprésente uneanomalie.
Sereporterà Centralisateur informatiquede bord-Avertissementset messagesàlapage4-57.
Lesystèmedetractionasservienelimiterapas lepatinagedesrouessilemessageSERVICE TRACTIONSYSTEM(réparerlesystèmede tractionasservie)s'afficheetquecetémoins'allume. Réglervotreconduiteenconséquence.
LeTCSestautomatiquementactivélorsquele véhiculedémarre. Pour limiter le patin agedes roues, spécialementsurrouteglissante, laissert toujoursle système activé. Le TCS peutêtredés activési nécessaire.

Pourmettrelesystème horsfonction, presserle boutondelaconsole.
Vouspouvezremettrelesystèmeenfonction oul'éteindreâtoutmomentenappuyantsurle boutonACTIVEHANDLING(contrôledestabilité). LeCIBaffichelemessageadéquatquandvous poussezsurlebouton.
Remarque: Quandlatractionasservieesthors fonctionouquandlemodesportestactif, ilest possibledeperdrelatration. Sivoustentezde changerdevitessealorsquelesrouesmotrices patinentetperdentleurtraction, ilestpossible d'endommagerlaboïtedevitesses. Nepastenterde changerdevitessequandlesrouesmotricessont dépourvuesdetraction. Lesdégâtsdus àunemauvaiseutilisationduvéhiculenesont pascouverts. Consulterlelivretdegarantiepour plusd'information.
Lemontaged'accessoiresautresqueceuxdu concessionnairepeutavoirunimpactnégatifsurles performancesduvéhicule.Pourdeplusamples renseignements,sereporteràAccessoireset modificationsàlapage6-4.
Dispositifd'assistancevariable
Lecontrôledestabilitéestunsystèmeinformatiséqui aideleconducteuràgarderlecontrôledirectionneldu véhiculedansdesconditionsdeconduitedifficiles. Cesystèmeappliqueralefreinagedefaçonsélective àn'importelequeldesfreinsduvéhicule.
LemessageACTIVEHANDLING(contrôledestabilité actif)s'affichelorsquelesystèmeestenfonction. SereporteràCentralisateurinformatiquede bord-Avertissementsetmessages àlapage4-57 pourplusderenseignements.Vouspouvezsentir ouentendrelesystèmefonctionner.C'estnormal.

Lemessage SERVICEACTIVE HANDLINGSYSTEM (entretiendusystème d'assistancevariable) s'affiche,letémoindans legrouped'instruments s'allumeetunsonretentit pourvousavertirqu'une anomalieaétédétectée danslesystème.
Sereporterà Centralisateurinformatiquede bord-Avertissementsetmessages àlapage4-57 pourplusderenseignements.
Lesystèmesemethorsfonctionlorsquecetémoin s'allumeetquelemessageSERVICEACTIVE HANDLINGSYSTEM(entretiendusystème d'assistancevariable)apparaît.Réglervotre conduiteenconséquence.
Lesystèmed'assistancevariablesemetenfonction automatiquementchaquefoisquelevéhiculedémarre. Pouraideràmaintenirlecontrôledirectionneldu véhicule, cesystèmedevraittoujoursêtreenfonction. Ilpeuttoutefoisêtredésactivésinécessaire. Sile systèmed'assistancevariableestdésactivé, lesystème detractionasservieseraégalement désactivé. Adapter laconduiteenconséquence.

Pourdésactiverle système,appuyer surleboutonde contrôledestabilité jusqu'àl'affichagedu messageTRACTION SYSTEMAND ACTIVEHANDLING SYSTEM—OFF(traction asservieetcontrôlede stabilitédésactivés) s'affiche.
Lesystème peutêtreréactivé à tout momenten appuyantsurlebouton. Le CIBaffichelemessage adéquat quand vous poussez surlebouton.
Silesystèmedesurveillancedelapressiondespneus (TPM)détecteunpneudégonfléetqueleCIBaffiche TIREFLAT(pneudégonflé),ousilesystèmedes surveillancedelapressiondespneus(TPM)fonctionne maletqueleCIBafficheSERVICETIREMONITOR (faireréviserlesystèmedesurveillancedelapression despneus),lesystèmedecontrôledestabilitésera affectécommesuit:
- Lesystèmedecontrôledestabiliténepeutpasêtredésactivéparleconducteur.
- Silesystèmedecontrôledestabilitéestdésactivé, ilseraautomatiquementréactivé.
- Lemodedeconduitesportiveoudegestionde tractiondeperformanceestindisponible.
- Lesystèmedecontrôledestabilitédonneraune impressiondifférentedanssonassistanceetson maintienducontrôledirectionnel.
Modedeconduitecompétitive
Lemodedeconduitesportive, lagestiondetraction deperformanceetlecontrôledelancementsontdes systèmesconçuspouraugmenterlesperformancesen accélérationet/ouenvirage. Cecis'obtientenrégulant etenoptimisantlemoteur, lesfreinsetlasuspension. Cesmodessontdestinésàlaconduiteencircuitfermé etnesontpasconçuspourêtreutiliséssurlavoie publique. In'existeraaucunecompensation à l'inexpérienceouaumanquedefamiliarité du conducteuraveclecircuit. Lesconducteurs qui préfèrent permettreausystèmed'avoirplusdecontrôle surlemoteur, lesfreinsetlasuspensionsontinvités à activerlacommandenormaledetractionetlecontrôle destabilité. SereporteràConduitecompétitive et course àlapage5-22 pourplusd'informations.
Remarque:Nepastenterdechangerderapport lorsquelesrouesmotricespatinentetneprésentent pasd'adhérence.Ceciendommageraitlaboîtede vitesses.Lesdégâtsdusàuneutilisationincorrecte duvéhiculenesontpascouvertsparlagarantiesur levéhicule.Sereporteraulivretdegarantiepour plusd'informations.
Modedeconduitesportive (exceptéZR1)
Lemodedeconduitesportiveexploitepleinement lapuissancedumoteurpendantquelesystèmede contrôledestabilitémaintientlecontrôledeladirection duvéhiculeparuneapplicationsélectivedesfreins. Danscemode, lafonction TCSesthorsfonctionetle contrôledelancementestdisponible. Réglervotrestyle deconduiteentenantcomptedelapuissancedu moteurdisponible. Sereporteraucontrôlede lancement, plusloindanscettesection.

Cetémoins'allume lorsquelevéhiculeest enmodedeconduite sportive.
Cemodeenoptionpeutêtresélectionnéenappuyant surleboutonACTIVEHANDLING(contrôledestabilité) surlaconsole,rapidementetàdeuxreprises. COMPETITIVEDRIVINGMODE(modedeconduite sportive)s'afficheaucentralisateurinformatiquede bord(CIB).SereporteràCentralisateurinformatiquede bord-Avertissementsetmessages àlapage4-57 pour plusd'informations.
SileboutonACTIVEHANDLING(contrôledestabilité) estpresséanouveau,lessystèmesdecontrôlede stabilitéetdetractionasservieserontenfonction. LemessageTRACTIONSYSTEMANDACTIVE HANDLING-ON(tractionasservieetsystème d'assistancevariableenfonction)s'affichera brièvementauCIBetuncarillonseferaentendre.
Gestiondetractionde performance(ZR1)
Lagestiondetractiondeperformanceintègrelatration asservie,lecontrôledestabilitéetlacrommande sélectivedesuspensionpouraméliorerlerendementen virage. Lapuissancedemoteurdisponibleestbasée surlemodesélectionné,l'étatducircuit,l'aptitude du conducteuretlerayonduvirage.

Cetémoins'allume lorsquelevéhiculeest enmodedegestionde tractiondeperformance.
Cemodeenoptionpeutêtresélectionnéenappuyant surleboutonACTIVEHANDLING(contrôlede stabilité)delaconsolerapidementetàdeuxreprises. PERFTRAC1-WETACTIVEHANDLINGON(mode detraction1-contrôledestabilitéactivépourconditions humides)s'allumeauCIB.
Pourexpérimentercesystème, aprèsêtreentrédans unvirageetaupointoùleconducteurcommencerait normalementàaccélérer, lapédaled'accélérateurpeut êtreenfoncéecomplètement. Lesystèmedegestionde tractiondeperformancemodifiealorsleniveaude puissancedumoteurpourunesortiesoupleet cohérenteduvirage.

text_image
TOUR - SPORT + SELECTIVE RIDE PERF TRACTIONPoursélectionner unmodependantla gestiondetractionde performance, fairetourner leboutondelaconsole.
Lesystèmedegestiondetractiondeperformance contientcinqmodes. Cesmodessontsélectionnésen faisanttournerleboutondecommandesélectivede suspension/gestiondetractiondeperformancedela consolecentrale. Leconducteursélectionneversle hautoulebasundescinqmodesenfaisanttournerle boutonversladroiteoulagauche.
Descriptiondel'affichageduCIBetusagerecommandé dechaquemode:
PERFTRAC1-WETACTIVE HANDLINGON(modedetraction 1-contrôledestabilitéactivépour conditionshumides)
- Destinéauxconducteursdetousniveaux
- Tempshumideuniquement—nondestiné à l'utilisation sous l'averseoudansl'eaustagnante
• Lecontrôledestabilitéestactivéetlapuissance dumoteurestréduiteenfonctiondes circonstances
PERFTRAC2-DRYACTIVE HANDLINGON(modedetraction 2-contrôledestabilitéactivépour conditionssèches)
- Pourutilisationpardesconducteursmoins expérimentésoupendantl'étuded'un nouveaucircuit
• Tempssecuniquement - Lecontrôledestabilitéestactivéetlapuissance dumoteurestlégèrementréduite
PERFTRAC3-SPORTACTIVE HANDLINGON(modedetraction 3-contrôledestabilitéactivépour performancesport)
- Àutiliserparlesconducteursfamiliersavec lecircuit
- Tempssecuniquement
• Exigedavantagedescapacitésquelemode2
• Lecontrôledestabilitéestactivéetdavantagela puissancemoteurestdisponiblequ'enmode2
PERFTRAC4–SPORTACTIVE HANDLINGOFF(modedetraction 4-contrôledestabilitédesactivépour performancesport)
- Àutiliserparlesconducteursfamiliersavec lecircuit
• Tempssecuniquement - Exigedavantagedecapacitédeconduiteque lesmodes2ou3
- Lecontrôledestabilitéestdésactivéetla puissancedemoteurdisponibleestlamême qu'enmode3
PERFTRAC5-RACEACTIVE HANDLINGOFF(modedetraction 5-contrôledestabilitédesactivépour circuitdecourse)
- Àutiliserparlesconducteursexpérimentésqui sontfamiliersaveclecircuit
• Tempssecuniquement - Exigedavantagedecapacitésdeconduiteque lesautresmodes
- Lecontrôledestabilitéestdésactivéetla puissancedumoteurestdisponiblepourune vitessemaximaleenvirage.
PresseretrelâcherleboutonACTIVEHANDLING (contrôledestabilité)pourdésactiverlagestionde tractiondeperformanceetretournerauxystèmes d'assistanceetdetractionasservie.Lemessage TRACTIONSYSTEMANDACTIVEHANDLING-ON (tractionasservieetsystèmed'assistancevariableen fonction)s'affichebrièvementauCIBetuncarillon retentit.
Contrôledulancement
Unefonctiondecontrôledelancementstdisponible enmodedeconduitesportive(exceptéZR1)ougestion detractionoudeperformance(ZR1)surlesvéhicules avecboîtedevitessesmanuellepourpermettreau conducteur d'atteindredeshautsniveauxd'accélération enlignedroite. Lecontrôledelancementestuneforme detractionasserviequigèrelepatinagedesroues aulancementduvéhicule. Cettefonctionestdestinée auxcoursesencircuitferméoudestempsrecords sont désirés.
Lecontrôledelancementestdisponibleuniquement lorsquelescritèressuivantssontréunis:
- Lemodedeconduitesportivesélectionné(sauf ZR1)oul'undesmodesdegestiondetractionde performanceestsélectionné(ZR1).Letémoin TCS s'allumeautableaudebordetlemessageCIB adéquats'affiche.
• Levéhiculeestarrêté.
• Levolantesttournéenpositiondelignedroite.
• L'embrayageestpresséetlepremierrapportest sélectionné. - Lapédaled'accélérateurestrapidementenfoncée àpleinsgaz.
Lafonctiondecontrôledelancementlimiteinitialement lerégimedumoteurlorsqueleconducteurenfonce rapidementlapédaled'accélérateuràpleinsgaz. Undébrayagesoupleetrapideenmaintenantlapédale d'accélérateurcomplètementenfoncéegèrelepatinage desroues.Faireleschangementsderapportcomme décritàFonctionnementdelaboîtedevitesses manuelleàlapage3-35.
Aprèslelancementduvéhicule, lesystème continue enmodesportif (excepté ZR1) ou dégestion detraction de performance (ZR1).
Lemodedeconduitesportive, degestiondetraction deperformance et de contrôle delancements sont dessystèmes conçus pour le circuit ferméetnes sont pas destinés à utilisationsurlavoie publique. Les systèmes non pas destinés à compenser le manque d'expérience ou defamiliarité du conducteur avec le circuit.
Essieuarrièreàglissementlimité
Lesvéhiculesàessieuarrièreàglissementlimitéoffrent unetractionsupplémentairesurlaneige,laboue,la glace,lesableetlegravier.L'essieufonctionnela plupartdutempscommeunessieunormal,mais lorsquelatractionestfaible,cedispositifpermetàla roueayantleplusdetractiondefaireroulerlevéhicule.
Suspensionàgéométrievariable
Ilsepeutquevotrevéhiculesoitiéquipéd'unsysteme desuspensionmodifiableconnusouslenomde suspensionmodifiablesélectivemagnétique. Lesystèmeprocurelesavantagessuivantssur laperformance:
- Réductiondelarudessedesuspensionsurles aspéritésdelaroute
• Isolationamélioréeparrapportàlaroute
• Stabilitéamélioréeàhautevitesse - Réponseamélioréesurlesplansconduiteettenue deroute
• Meilleurcontrôleduvéhicule
SaufZR1

text_image
TOUR SPORT SELECTIVE RIDECeboutonestsitué surlaconsolecentrale. Letournerpour sélectionnerla suspensionde votrechoix.
TOUR(tourisme): Pour la conduite urbaine et routière normale. Ceréglage procure une conduite confortable.
SPORT: Pour des conditions routières ou préférences personnellesexigeantdavantagedecontrôle. Ceréglageprocureuneplusgrande«sensation», ourréactionauxconditionsroutières.
Leréglagepeutêtremodifiéàtoutinstant.Selonles conditionsroutières,l'angleduvolantdedirection etlavitessedevotrevéhicule,lesystèmeserègle automatiquementpourassurerleplusgrandconfortet lameilleuretenuederoute.lln'yapasdedifférence entrelemodetourismeetlemodesportsurun revêtementplat.Sélectionnerunautreréglageen fonctiondeschangementsdeconditionsroutières.
Troismessagesducentralisateurinformatiquede bord(CIB)(SERVICERIDECONTROL(entretien delasuspensiondetenuederoute),SHOCKS INOPERATIVE(amortisseurshorsservice), MAXIMUMSPEED80MPH(129KM/H)(vitesse maximale129km/h(80mi/h))s'affichentencias dedysfonctionnementauniveaudusystèmede suspensionàgéométrievariable.Pourplus d'informations,sereporteràlarubrique Centralisateur informatiquedebord-Avertissementsetmessages page4-57.
à la
ZR1

text_image
TOUR - SPORT + SELECTIVE RIDE PERF TRACTIONCeboutonsetrouve surlaconsolecentrale. Lefairetournerpour sélectionnerla suspensiondevotre choix. Unefoisrelâché, leboutonretourneà lapositioncentrale. Lecommutateuréclaire lapositiondesuspension encours.
TOUR(tourisme): Pourlaconduiteurbaineetroutière normale. Ceréglageprocureuneconduiteconfortable.
SPORT: Pourdesconditionsroutièresoupréférences personnelsexigeantdavantagedecontrôle. Ceréglageprocureuneplusgrande «sensation», ourréactionauxconditionsroutières.
Leréglagepeutêtremodifiéâtoutinstant.Selonles conditionsroutières,l'angleduvolanteddirection etlavitessedevotrevéhicule,lesystèmeserègle automatiquementpourassurerleplusgrandconfortet lameilleuretenuederoute.IIn'yapasdedifférence entrelemodetourismeetlemodesportsurun revêtementplat.Sélectionnerunautreréglageen fonctiondeschangementsdeconditionsroutières.
Leboutondesuspensionsélectiven'affichepas leparamétrageTour(tourisme)ouSportlorsquele modedegestiondetractiondeperformanceest sélectionné.Lorsquecemodeestsélectionné,la rotationduboutondesuspensionsélectivemodifie lemodedegestiondetractiondeperformance etleparamétragedesuspensionestdéterminé automatiquement.SereporteràModedeconduite compétitive àlapage5-10 pourplusd'informations.
Troismessagesducentralisateurinformatique debord(CIB)(SERVICERIDECONTROL(entretien delasuspensiondetenuederoute),SHOCKS INOPERATIVE(amortisseurshorsservice), MAXIMUMSPEED80MPH(129KM/H)(vitesse maximale129km/h(80mi/h))s'affichentencas dedysfonctionnementauniveaudusystèmede suspensionàgéométrievariable.Pourplus d'informations,sereporteràlarubrique Centralisateur informatiquedebord-Avertissementsetmessages page4-57.
à la
Direction
Directionassistée
Sil'assistance del adirection assistée est interrompue enraisondel'arrêtdumoteuroud'unepannedu système, levéhicule peut quand même tredirigé, mais cecidemander abeaucoup plus d'efforts.
Systèmemagnétiquededirectionà assistancevariable
Cesystèmerègledemanièrecontinuellel'effort nécessairelorsdelaconduiteenfonctiondelavitesse duvéhicule.Ilfacilitelesmanoeuvresdestationnement toutenfournissantunetenuederoutesolideaux vitessesdesautoroutes.
Conseilsenmatièrededirection
Ilestimportantdeprendrelesviragesàunevitesse raisonnable.
Latractionenviragedépenddel'étatdespneusetde lasurfacedelaroute, del'angled'inclinaisonduvirage, ainsiquedelavitesseduvéhicule. Dansunvirage, la vitesseconstitueleseulfacteurquipeutêtrecontrôlé.
Siunralentissements'avèrenécessaire, lefaire avant d'entrerdanslevirage, lorsquelesrouesavantsonten lignedroite.
Essayerd'ajusterlavitessedemanièreàpouvoir conduiredanslevirage.Garderunevitesseraisonnable etconstante.Attendred'êtresortiduvirageavant d'accéléreretlefaireendouceur,unefoisen lignedroite.
Manipulationduvolantensituations d'urgence
Ilyadesmomentsouùncoupdevolantpeutêtreplus efficace que le freinage. Par exemple, vous passez le sommetd'unecollineetvousvousapercevezqu'un camion est arrêté dans votre voie, une voiture sort soudainementdenullepartouunenfantsurgitentre deuxvoituresstationnéesets'immobilisedirectement devantvous.Cesproblèmespeuventêtreévités en freinant—sivouspouvezvousarrêteràtemps.Mais parfois,celaestimpossible,parmanqued'espace. Voilàlemomentdefaireappelauxmesures d'évitement—se servir du volant pour éviter les obstacles.
Levéhiculepeuttrèsbiensecomporterdansde tellessituationsd'urgence.Commencerparfreiner. SereporteràFreinage àlapage5-4 .Ilestpréférable deréduireaumaximumlavitesseàl'approched'une éventuellecollision.Contournerensuitel'obstacle,vers ladroiteoulagauche,selonl'espacedisponible.

Une telle situation d'urgence nécessite une grande attentionetuneprisededécisionrapide. Levolant pourratournetrèsrapidementde 180degrés sansenretirerlesmainss'ilesttenuauxpositions recommandéesde9etde3heures. Maisvousdevez agirvite, tournerlevolantrapidementetlefairerevenir toutaussirapidementenlignedroiteunefoisquevous avezévitél'obstacle.
Le fait que de telles situations d'urgence sont toujours possiblesconstitueunebonneraisonpouradopterun styledeconduitepréventifentouttempsetpourbien attachersaceinturedesécurité.
Contrôled'undérapagesur l'accotement
Lesrouesdroitesduvéhiculepeuentsedéporterdu borddelaroutesurl'accotementenroulant.

Sileniveaudel'accotementnesetrouveque légèrementsouslachaussée,vousdevezpouvoir récupérerlevéhiculerelativementfacilement.Relâcher
lapédaled'accélérateurpuis,siaucunobstaclen'est envue,dirigerlevéhiculedesortequ'ilsautele borddelachaussée.Fairetournerlevolantde 8à13cm(3à5po),environunhuitièmedetour,jusqu'à cequelepneuavantdroitentreencontactaveclebord delachaussée.Tournerensuitelevolantpourrouleren lignedroitesurlaroute.
Manoeuvrededépassement
Ledépassementsurunerouteàdeuxvoiesestune manoeuvredangereuse.Pourréduirelesrisques encouruslorsd'undépassement:
- Vérifierattentivement, surlachaussée, lescôtéset lesvoiestransversales, l'absencedesituations pouvantentraverlaréussitedudépassement. Dansledoute, patienter.
- Surveillerlessignaux, les marqueset lignes au solpouvant indiquer un virage ou une intersection. Nejamaistraverser uneligne ou unedouble ligne continuesituée devotrecôté delachaussée.
- Nepasserapprochertropprèsduvéhiculeà dépasser, souspeinederéduirelavisibilité.
- Attendresontourpourdépasserunvéhiculelent.
- Lorsquelevéhiculeestdépassé, serabattrevers ladroite.
Pertedecontrôle
Ilpeutarriverquelepointdecontactdespneus aveclachausséenesoitpassuffisantpourqueles troissystèmesdecommande—freins,directionet accélération—puissentréagirauxmanoeuvresdu conducteur. Voicequenousconseillentlexexperts del'industrieautomobiledanscescas-là.
Peuimportelasituationd'urgence, nepas désespérer. Essayerdecontrôlerlevolantet cherchercontinuellementunevoiedesortieou uncheminmoinsdangereux.
Dérapage
Lorsd'undérapage, leconducteurrisquedeperdrele contrôleduvéhicule. Lesconducteursquiconduisent surladéfensivesontenmesured'éviterlaplupartdes dérapagesenadaptantleurconduiteauxconditions existantesetenn'«abusant»pasdecesconditions. Toutefois, lesdérapagessontquandmêmepossibles. Lestroistypesdedérapagescorrespondentaux troissystèmesdecommandeduvéhicule.Lorsd'un dérapageaufreinage,lesrouesnetournentpas.Dans undérapageenvirage,unetropgrandevitessedans unecourbefaitquelespneusglissentouperdent leurforcedevirage.Enoutre,dansundérapageen accélération,unetropgrandeaccélérationfaitqueles rouesmotricespatinent.
Serappelerqu'unsystèmedetractionasserviene permetd'éviterqueledérapageenaccélération. Silesystèmedetractionasservieestdésactivé, un dérapageenaccélérationseramieuxgéréenrelâchant l'accélérateur.
Silevéhiculesemetàglisser,enlevervotrepiedde l'accélérateuretorienterrapidementlevéhiculedans ladirectiondésirée.Sivoustournezlevolantassez rapidement,levéhiculepeutseredresser.Étretoujours prêtàmanoeuvrerlevéhiculeaucasoùledérapage sereproduit.
Évidemment, latractionestréduiteenprésenced'eau, deneige, deglace, degravieroud'autres matériaux sur laroute. Parsécurité, ralentiretajusterlaconduiteen fonctiondecesconditions. Il est important der alentir sur less surfaces glissantes puisqueladistance de freinageduvéhiculeseraplus longue et quelle contrôle duvéhiculeseraréduit.
Surunechausséedontltractionestréduite, éviter a maximumlescoupsdevolant, les accélétrations ou les freinages brusques, y comprislaréductiondela vitesseduvéhiculeaumoyend unerétrogradation. Tout changement brusque pour raitentraînerleglissement despneus. Ilest possible que vous n é alisiez pas quelasurface est glissante avant que lev é hiculene commence ad é raper. Apprendre à reconna î treles signes avant - coureurs — s'ilyasuffisamment d'eau, de glaceoudeneigetasséesurlaroutepour créer une surfaceré fl é chissante — etralentirencas dedoute.
Serappelerquel'antiblocage(ABS)nevousaideà éviterqueledérapageaufreinage.
Conduitecompétitiveetcourse
Lacourseouautreconduitedecompétitionpeut affecterlacouvertureengarantiedevotrevéhicule. Se reporteràvotrelivretdegarantieavantd'utiliservotre véhiculepourlacourseoud'autrestypesdeconduite decompétition.
Remarque: Sivousutilisezvotrevéhiculepourfaire descompétitionsoud'autresconduitessportives, il estpossiblequelemoteurutilisedavantaged'huile qu'ilneleferaitnormalement.Unniveaud'huile insuffisantpeutendommagerlemoteur.Pour obtenirdesinformationsrelativesàlaprocédure d'ajoutd'huile,sereporteràlarubriqueHuile à moteur à la page 6-22.
ModèlesZ06,ZR1etGrandSportuniquement: vérifierfréquemmentleniveaud'huilelorsdes compétitionsoud'autresconduitessportiveset maintenirleniveauàlahauteurdurepèresupérieur indiquantlaplagedefonctionnementappropriée surlajauged'huilemoteur.
SauflesmodèlesZ06,ZR1etGrandSport:vérifier fréquemmentleniveaud'huilelorsdescompétitions oud'autresconduitessportivesetmaintenirle niveauàenviron1L(1pinte)au-dessusdurepère supérieurindiquantlaplagedefonctionnement appropriéesurlajauged'huilemoteur.Aprèsavoir rouléenconduitesportive,retirerl'excèsd'huilede sortequeleniveausurlajaugenesetrouvepas au-dessusdurepèresupérieurindiquantlaplagede fonctionnementappropriée.
Z06,ZR1,etGrandSportuniquement:pourlaconduite encompétition,ilestrecommandéderemplacerle liquidedefreinnormalparunliquidededefreinhaute performanceàpointd'ébullitionàsecsupérieurà 279°C(534°F).Aprèsconversionversleliquide de freinshauteperformance,suivrelesrecommendations dufabricantduliquide.Nepasutiliserdeliquidesde freinssiliconésouDOT-5.
SilevéhiculeestunmodèleZ06,ZR1ouGrandSport, lesdeuxextrémitésextérieuresdelatringleriearrière doiventêtrelubrifiées. Dansdesconditionsnormales d'utilisation,lalubrificationdoitêtreeffectuéeselonles indicationscontenuesdansleprogrammed'entretien.
SereporteràlarubriqueEntretienprévu àlapage7-3 etàlarubriqueLiquidesetlubrifiantsrecommandés à la page7-10. Sivousutilisezvotrevéhiculepourla course, lalubrificationdoitêtreeffectuéeàlafinde chaquejourdecourse. Lalubrificationettoute réparationnécessairedoiventêtreeffectuéesparle concessionnaire. Lesprocéduresappropriéesrelatives àcesentretienssontindiquéesdanslemanuel d'entretien. SereporteràlarubriqueRenseignements surlacommandedeguidesderéparation à la page8-20.
Sivousutilisezvotrevéhiculepourfairedelacourseou d'autresconduitessportives,latempératureduliquide d'essieuxarrières'élèverapeut-êtreplusqued'une conduitenormale.Nousvousrecommandonsde vidangerleliquided'essieuxarrièreetdefairel'appoint avecunnouveauliquidetoutesles24heuresdecourse oudeconduitesportive.Pourplusd'informationssurle typedeliquideàutiliser,sereporteràlarubrique Liquidesetlubrifiantsrecommandésàlapage 7-10.
ProcédurederodagedefreinZR1
Remarque:Ces méthodessontpropresauxdisques defreincéramiquedumodèleZR1.Nepasadopter cetteméthodesurlesautresmodèlesCorvette,au risquededégâts.
Remarque:Lapériodederodageduvéhiculeneuf doitêtreachevéeavantd'effectuerlaprocédurede rodagedesfreins,aurisqued'endommagerle groupemotopropulseur/lemoteur.Sereporterà Rodagedevéhiculeneufàlapage3-23.
Exécuterconformémentauxconsignes,cesméthodes n'endommagentpaslesfreins. Pendantlerodage,les plaquettesdefreinfumentetproduisentuneodeur. Laforcedefreinageetlacoursedelapédalepeuvent augmenter. Après l'opération,les plaquettesdefrein peuventapparaîtreblanchesaupointdecontactavec ledisque.
Procédurederodagedefreinhaute performancesurlavoiepublique
Effectuerl'opérationdemanièresûreetconformément àlaréglementationencequiconcernele fonctionnementdesvéhiculesàmoteur. N'effectuerl'opérationquesurpavementsec.
- Àpartird'unarrêt, accéléreraussirapidement que possiblesansactiverlatractionasserviejusqu'à unevitessede97km/h(60mi/h).
- Appuyersuffisammentfortsurlapédalepour arrêterlevéhiculeentre4à5secondes. Sil'ABSs'active, lefreinageesttropbrutal.
- Répéter50foislesétapes1 et2. Cecidoitprendre environ10 minutes.
4.Àl'issuede50arrêts,refroidirlesfreinsenroulant pendant8km(5milles)à97km/h(60mi/h)
Commeavectouslessystèmesdefreinageàhaut rendement,uncertaingrincementdesfreinsestnormal.
Méthodederodagedefreinpourla compétition/lacourse
PourpréparerlecircuitdefreinagedumodèleZR1 pour lacompetitionoulacourse,lerodagedefreinhaute performancesurlavoiepubliquedoitêtreffectué commedécritplushaut.
En outre, l'opération suivante est nécessaire pour préparerlecircuitdefreinagedumodèleZR1àla compétitionetlacourse.
L'opérationdoits'effectuerexclusivementsur circuitsec.
Remarque: Unefatiguedelapédaledefrein survientpendantcettecoopérationderodagesur circuit, peutaugmenterlacoursedelapédalede freinetexigerplusd'effort. Cecipeutallongerla distancedefreinagejusqu'aurodagecomplet desfreins.
- Effectuerunpremiertoursansêtretropagressif.
- Lestours 2 et 3 doivent être effectué plus rapidement et demanière plus agressive avec freinageréduit ettaugmentation del adistance de freinagesuite à la fatiguedes freins.
- Tour4 prochedelavitesse maximale, avec freinageréduitetaugmentationdeladistance d'arrêtsuite à la fatiguedes freins.
- Tours5et6derefroidissement.
- Tour7enconduitenormaleouaisée.
Conduitedenuit
Ilestplusdangereuxdeconduirelanuitquelejour parcequelesfacultésdecertainsconducteurssont plussusceptiblesd'êtreaffaibliesparl'alcool,ladrogue, lafatigueouenraisond'unemauvaisevisionnocturne.
Quelquesconseilsdeconduitedenuit:
- Êtreprévoyant.
• Nepasconduireenétatd'ébriété. - Réduirel'éblouissementprovoquéparlesphares enajustantlerétroviseurintérieur.
- Ralentiretmaintenirunespaceplusimportant entrevousetlesautresvéhiculesafinqueles phares puissent éclairer une zone plus importante àl'avantduvéhicule.
• Prendregardeauxanimaux.
• Encasdefatigue, quitterlaroute.
• Nepasporterdelunettesdesoleil.
- Éviterdesedirigerdirectementversdesphares enapproche.
- Maintenirlapropretédupare-briseetdetoutesles glacesduvéhicule—intérieuresetextérieures.
- Conserverunregardmobile, particulièrement envirage.
Personnenevoitaussibienlanuitquelejour.Enoutre, avec l'âgecettedifférenceestencoreplusmarquée. Lanuit, unconducteur âgéde 50 anspeutavoir besoin d'aunoinsdeuxfois plus del umière repourvoir lamême chose qu'un conducteur âgéde 20 ans.
Conduitesouslapluieetsurroutes mouillées
Lapluieouunsolmouillépeuventdiminuerl'adhérence duvéhiculeetsacapacitéàs'arrêteretaccélérer. Conduiretoujourspluslentementdanscesconditions etéviterdetraverserdegrandesflaques,deprofondes étenduesd'eauoudeseauxvives.

AVERTISSEMENT:
Lesfreinshumidespeuventcauserdesaccidents. Ilspeuventfonctionnermoinsbienlorsd'unarrêt rapideetpeuvententraînerunedéviationd'un côté. Vousrisqueriezdeperdrelecontrôle duvéhicule.
Aprèsavoirtraverséunegrandeflaqued'eauou unestationdelavageautomobile,enfoncer légèrementlapédaledefreinjusqu'àcequeles freinsfonctionnentnormalement.
Uncourant d'eauvivegénèreuneforce importante. Il peut emportervotrevéhicule et provoquerlanoyadedesoccupantsduvéhicule. Nepasignorerlesavertissementsdelapoliceet semontrer extrêmementprudentlors d'une tentativédetraverséed'uncourant d'eauvive.
Aquaplanage
L'aquaplanageestdangereux. Del'eau peut s'accumulersouslespneus, aupointquevousroulez enfaitsurdel'eau. Unetellesituationpeutseproduire silarouteestassezmouilléeetsivousconduisez suffisammentrapidement. Enaquaplanage, ilyapeu oupasdecontactentrevotrevéhiculeetlaroute.
Ilestimpossibledetoujoursprévoirl'aquaplanage. Lemeilleurconseilestderalentirquandlaroute estmouillée.
Autresconseilspourlaconduitesous lapluie
Outrelefaitderalentir, encasdeconduitesouslapluie ilesttoujoursbon:
• D'accroîtreladistanceentrelesvéhicules.
• Dedépasseravecprudence.
• Demaintenirlesessuie-glacesenbonétat.
• Deremplirleréservoirdeliquidelave-glace.
- Gardertoujourslespneusenbonétat,avecune semelled'uneprofondeuradéquate.Sereporterà larubriquePneusàlapage6-74.
• Désactiverlerégulateurdevitesse.
Avantdepartirpourunlongtrajet
Pourpréparervotrevéhiculeenvued'unlongtrajet, penseràlefairecontrôlerparvotreconcessionnaire avantledépart.
Lespointsàvérifierdevotrecôtésontlessuivants:
- Liquidedelave-glaces:leréservoirest-ilplein? Lesglacessont-ellespropres,àl'intérieurcomme àl'extérieur?
• Balaisd'essuie-glaces:sont-ilsenbonétat? - Carburant, huilemoteur, autresliquides: avez-vous vérifiétouslesniveaux?
- Lampes: fonctionnent-ellestoutes? Sont-elles propres?
- Pneus:enbonétat?Gonflésàlapression recommandée?
- Conditionsclimatiquesetcartes:est-ilprudentde circuler?Lescartessont-ellesàjour?
Hypnosedelaroute
Toujoursresterattentifàcequivousenvironnependant quevousroulez.Sivousvousassoupissez, trouverun lieusûrpourarrêtervotrevéhiculeetvousreposer.
Autresconseils:
• Votrevéhiculedoitêtrebienventilé.
• Latempératuredel'habitacledoitêtre fraîche.
- Parcourirlaroutedesyeuxversl'avantetsur lescôtés.
• Vérifiersouventlerétroviseuretlesinstruments duvéhicule.
Routesonduleusesetdemontagne
Laconduitesurdespentesabruptesoudesroutesde montagnediffèredelaconduitesurunterrainplatou vallonné. Lesconseilssuivantssontd'applicationdans detellesconditions:
• Levéhiculedoitêtremaintenuenbonétat.
- Vérifiertouslesniveaux,lesfreins,lespneus,le circuitderefroidissementetlaboîtedevitesses.
- Danslesdescentesouleslonguescôtes, sélectionnerunrapportinférieur.

AVERTISSEMENT:
Sivousnerétrogradezpas,lesfreinspeuvent devenirsichaudsqu'ilsnefonctionnerontpas bien.Lefreinageseradecefaitmédiocre,voire inexistant.Cecipeutcauserunaccident. Rétrograderpourlaisserlemoteurassisterles freinsencasdefortepente.

AVERTISSEMENT:
DescendreunepenteenpositionN(pointmort) oucontactcoupéestdangereux. Lesfreinsontà supportertoutl'effortderalentissementetpeuvent tellementsurchaufferqu'ilsnefonctionnentplus bien. Lefreinageseradecefaitmédiocre, voire inexistant. Cecipeutcauserunaccident. Laisser toujourstournerlemoteuretlaboîtedevitesses enprisedansunedescente.
- Resterdansvotrevoie. Niprendredelarges virages, nitraverserlalignemédiane. Conduire à unevitessequivous permetderesterdans votrevoie.
- Ausommetdescôtes: restervigilantdufaitqu'un obstaclepeutsetrouversurvotrevoie (voiture bloquée, accident).
- Resterattentifauxsignauxroutiersspéciaux(zone dechutedepierres, routessinueuses, longues pentes, zonesavecinterdictiondépassement) ets'yconformer.
Conduitehivernale
Conduitedanslaneigeousurlaglace
Roulerprudemmentauxendroitsoudelaneige oudelaglaces'accumuleentrelespneusetlaroute, diminuantlatractionoul'adhérence. Delaglace humidepeutapparaîtreà0°C(32°F) environlorsque delapluieverglaçantecommenceâtomber, cequi diminueencorepluslatraction. Éviterderoulersurde laglacehumideousousunepluieverglaçantejusqu'à cequelesrouespuissentêtresaléesousablées.
Rouleravecprécaution, quellesquesoientles conditions. Accélérer en douceur pour ne pas perdre de traction. Une accélération troprapide provoque patinagedes rouesetlisselas surfacesousles pneus, cequidiminuelatraction.
Tenterdenepasperdrelepeud'adhérencequevous avez.Sivousaccéléreztroprapidement,lesroues motricespatinerontetpolirontdavantagelasurface souslespneus.
LeSystèmedetractionasservie(TCS) àlapage5-7 accroïtlacapacitéd'accélérationsurchaussée glissante, maisralentiretadapterlaconduiteaux conditionsroutières. LeDispositifd'assistancevariable àlapage5-8 peutégalement têtreactivé. Dans la neigeprofonde, désactiverlesystèmedetraction asservie pour faciliter lemaintienduvéhiculeen mouvementàbassevitesse.
Systèmedefreinageantiblocage(ABS) àlapage5-5 améliorelastabilitéduvéhiculeaucoursd'unfreinage brutalsurrouteglissante, mais appliquelesfreinsplus tôtquesurunrevêtementsec.
Maintenirunedistanceplusgrandeparrapportau véhiculeprécédentsurtoutesurfaceglissanteetêtre attentifauxendroitsglissants. Mêmesuuneroute dégagée, desplaquesdeglacepeuventseformeren desendroitsombragés. Unecourbeouunviaducpeut resterglacéalorsquelazoneenvironnantenel'est plus. Éviterlesmanoeuvresetfreinagesbrusques surlaglace.
Désactiverlarégulationdevitesse, silevéhiculeenest doté, sursurfaceglissante.
Tempêtedeneige
Seretrouverbloquédanslaneigepeutêtre préoccupant. Resterprèsduvéhicule jusqu'àceque dessecourssoientàproximité. Utilisersipossible Programmed'assistanceroutière àlapage8-8 Pourobtenird'aideetmaintenirlasécuritédes occupantsduvéhicule:
• ActiverFeuxdedétresseàlapage4-3.
- Accrocheruntissurougeaurétroviseurextérieur.

AVERTISSEMENT:
Laneigepeutobturerl'échappementsousle véhicule. Cecipeutentraînerunepénétrationde gazd'échappementdansl'habitacle. Lesgaz d'échappementdumoteurpeuventpénétrerdans levéhicule. Ceux-cicontiennentdumonoxyde decarbone(CO)invisibleetinodore, quipeut entraînerunepertedeconscience, voirelamort.
Silevéhiculeestbloquédanslaneige:
- Éliminerlaneigeentourantlabasedu véhicule, particulièrementcellequiobstruele tuyaud'échappement.
.../
AVERTISSEMENT:(suite)
- Vérifierànouveaudetempsentempssidela neigenes'accumulepaslà.
- Ouvrird'environ5cm(2po)laglaceducôté quisetrouveàl'abriduventpourfaireentrer del'airfrais.
- Ouvrircomplètementlesbouchesd'airsurou sousletableaudebord
- Réglerlesystèmedeclimatisationdesorte qu'iln'amènequedel'airextérieuretrégler leventilateuràlavitessemaximale. Voir Systèmedeclimatisationdansl'index.
Pourplusderenseignementssurlemonoxydede carbone, sereporter à Échappementdumoteur à lapage 3-42.
Laneigepeutobturerl'échappementsousle véhicule. Cecipeutentraînerunepénétrationde monoxydedecarbone(CO) dans l'habitacle. Le CO peutentraînerunepertedeconscience, voire lamort. Invisibleetinodore, vousnepouvezpas savoirs'ilestprésent danslevéhicule. Enleverla neige accumulée autour devotrevéhicule, surtout cellequibloqueletuyaud'échappement.
Fairetournerlemoteurpendantdecourtespériodes uniquementpourmaintenirunpeudechaleur, maisen restantprudent.
Pourpréserverlecarburant,nefairetournerle moteurquependantdecourtespériodespour réchaufferlevéhicule,puislecouperetfermerpresque complètementlesglacespourconserverlachaleur. Répétercecijusqu'àl'arrivée dessecours,mais uniquementlorsquelefroiddevient vraiment insupportable.Bougerautourduvéhiculepour seréchaufferest égalementutile.
S'ilfautdutempspourquelessecoursarrivent, enfoncerdetempsentempslégèrementlapédale d'accélérateurpourquelemoteurtourneàunrégime supérieurauralenti. Cecipermetdemaintenirlacharge delabatterieafindepouvoirredémarrerlevéhiculeet d'utiliserlespharespourdemanderdel'aide. Effectuer cecilemoinssouventpossiblepouréconomiserle carburant.
Silevéhiculeestcoincédansle sable,laboueoulaneige
Fairepatinerlentementetavecprécautionlesroues pourlibérerlevéhicules'ilestprisdansdusable,de laboue,delaglaceoudelaneige.Sereporterà Va-et-vientduvéhiculepourlesortiràlapage5-32. Silevéhiculeestéquipéd'unsystèmedetraction asservie, celui-cipeuts'avérerutilepourdégagerun véhiculeembourbé. SereporteràSystèmedetraction asserviedevotrevéhiculedansl'index. Silevéhicule esttropembourbépourquelesystèmedetraction asserviepuissedégagerlevéhicule, désactiverle systèmedetractionasservieetutiliserlaméthode dubalancement.

AVERTISSEMENT:
Silesrouesduvéhiculepatinentàgrande vitesse,ilspeuventéclateretvousoud'autres personnespourriezêtreblessés.Levéhiculepeut surchauffer,entraînantunincendiedansle compartimentmoteuroud'autresdommages. Éviterautantquepossiblelepatinagedesroues etéviterdedépasser55km/h(35mi/h)au compteurdevitesse.
Pourplusd'informationssurl'utilisationdechaînesà neigesurlevéhicule, sereporterà Chaînesàneige page6-101.
à la
Va-et-vientduvéhiculepourlesortir
Tournerlevolantverslagaucheetdroitepourdégager lazoneentourantlesrouesavant. Désactiverle systèmedetraction. Passerd'avantenarrièreentreles positionsR(marchearrière)etunrapportdemarche avantou, encasdeboîtedevitessesmanuelle, entre 1(première)ou2(deuxième)etR(marchearrière) enfaisantpatinerlesroueslemoinspossible. Pour éviterl'usuredelaboîtedevitesses, attendrelafin dupatinagedesrouespourchangerapport. Relâcherlapédaled'accélérateurpendantles changementsderapportetappuyerlégèrement surlapédaled'accélérateurquandlaboîtedevitesses estenprise. Unlentpatinagedesrouesversl'avantet l'arrièrecauseunmouvementdebasculequipeut désembourberlevéhicule. Sicecineseproduitpas aprèsquelquesessais, levéhiculedevraêtreremorqué. Silevéhiculedoitêtreremorqué, sereporterà Remorquageduvéhiculeâlapage5-38.
Chargementduvéhicule
Ilesttrèsimportantquevousconnaissiez lepoidsquevotrevéhiculepeuttransporter. Cepoidsestappelécapaciténominaledu véhiculeetcomprendlepoidsdesoccupants, duchargementetdetouslesaccessoires d'après-venteinstallés. Deuxétiquettesaffichées survotrevéhiculeindiquentlepoidsquipeutêtre transportédemanières sécuritaire, l'étiquette d'informationsurlechargementdespneuset l'étiquettedeconformité.

AVERTISSEMENT:
NepasdépasserlePNBV(poidsnominal brutduvéhicule)nilePNBE(poidsnominal brutsurl'essieu),tantàl'avantqu'àl'arrière. Sinon,despiècesduvéhiculepeuventse briser,cequipeutmodifierlatenuederoute, provoqueruneperteducontrôleetcauser unecollision.Deplus,lasurchargepeut réduireladuréedevieduvéhicule.
Étiquetted'informationsurlespneusetle chargement

L'étiquetted'informationsurlespneusette chargementsetrouvesurlemontantcentral (montantB)devotrevéhicule.Sivousouvrez
laporteduconducteur,voustrouverezcette étiquettesousleloquetdelaporte.Elleindique lenombredeplacesassises(A)etlepoids maximumduvéhicule(B),enkilogrammeset enlivres.
L'étiquetted'informationsurlespneuset lechargementindiqueégalementles dimensionsdespneusd'origine(C)etla pressionrecommandéeàfroid(D).Pourplus derenseignementssurlespneusetleur pression,sereporteràPneus àlapage6-74 et Gonflement-Pressiondespneus àlapage6-85.
L'étiquettedeconformitérenfermeaussides renseignementsimportantsrelatifsàlacharge. Lepoidsnominalbrutduvéhicule(PNBV)etle poidsnominalbrutsurl'essieu(PNBE)pourles essieuxavantetarrièreysontreportés.Se reporteràlarubrique«Étiquettedeconformité» plusloindanscettesection.
Étapespermettantdedéterminerlalimite correctedecharge
- Rechercherlamention « Thecombined weightofoccupantsandcargoshouldnever exceedXXXkgorXXXlbs » (lepoids combinédesoccupantsetduchargementne doitjamaisexcéderXXXkgouXXXlb)située surl'étiquettedevotrevéhicule.
- Déterminerlepoidscombinéduconducteur et despassagersquiprendrontplacedans levéhicule.
- Soustraire le poids combiné du conducteur et despassagersdeXXXkgouXXXlb.
-
Lepoidsobtenureprésentelepoidsdela chargeetdesbagagesdisponible. Par exemple, silepoidsXXXégale1400lbet quecinqoccupantspesant150lbchacun prennentplacedanslevéhicule, lepoidsde lachargeetdesbagagesdisponibleserade 650lb(1400-750(5x150)=650lb).
-
Déterminerlepoidscombinédesbagageset delachargeajoutésauvéhicule. Cepoidsne peutexcéderpaslepoidsdelachargeetdes bagagesdéterminéall'étape4.
- Sivoustractezuneremorque à l'aide de votre véhicule, l'achargedecetteremorque seratransférée à votre véhicule. Consulter cemanuelafindeconnaître l'incidence du tractaged uneremorquesurlepoidsde la chargeetdesbagages que votre véhicule peut transporter.
Votrevéhiculen'apasétéconçupourtracter uneremorque.

Sereporteràl'étiquetted'informationsurles pneusettlechargementafindeconnaîtreles renseignementsrelatifsàlacapaciténominalede votrevéhiculeetauxplaces. Lepoidscombinédu conducteur, despassagersetdelachargenedoit jamaisdépasserlacapaciténominaleduvéhicule.
Étiquettedeconformité

text_image
MFD BY GENERAL MOTORS CORP DATE GVWR GAWR FRT GWR RB THIS VEHICLE CONFORMS TO ALL PLUMBLES, S. WMALL MOTOR VEHICLE SAFETY, BUMPER AND TREAT PREVENTION STANDARDS IN EFFECT ON THE DATE OF MANUFACTURE SHOWN ABOVE. 200 □ □ □ □ □ □ □ □ □ □ □ □ □ □ □ □ □ □ □ □ □ □ □ □ □ □ □ □ □ □ □ □ □ □ □ □ □ □ □ □ □ □ □ □ □ □ □ □ □ □ ▢ EXEMPLEL'étiquettedeconformitésetrouvesurlebord arrièredelaportièreduconducteur. Elleindique lepoidsnominalbrutduvéhicule (PNBV). LePNBVcomprendlepoidsduvéhicule, de touslesoccupants, ducarburantetdelacharge. NejamaisdépasserlePNBVdevotrevéhiculeni lepoidsnominalbrutsurl'essieu(PNBE), tant pour l'essieu avant que pour le pointarrière.
Nepastransporterunechargesupérieureàcelle définie pour levéhicule. Sereporterà « Étapesde ladéterminationdelalimitedechargecorrecte » plushautdanscettesection.

AVERTISSEMENT:
NepasdépasserlePNBV(poidsnominal brutduvéhicule)nilePNBE(poidsnominal brutsurl'essieu),tantàl'avantqu'àl'arrière. Sinon,despiècesduvéhiculepeuventse briser,cequipeutmodifierlatenuederoute, provoqueruneperteducontrôleetcauser unecollision.Deplus,lasurchargepeut réduireladuréedevieduvéhicule.
Remarque: Surchargerlevéhicule peut l'endommager. Les réparations neseront pascouvertes parlagaranties sur levéhicule. Nepassurchargerlevéhicule.
Sivousplacezdesobjetsdansvotrevéhicule, notammentdesvalises, desoutils, despaquets ouautrechose, ilssedéplacerontaussi rapidementquevotrevéhicule. Sivousdevez freineroueffectuerunviragerapidementouen casdecollision, cesobjetsnes'arrêterontpas.

AVERTISSEMENT:
Lesobjetsdansvotrevéhiculepeuvent heurteretblesserdespersonnespendantun arrêtbrusque, unviragesoudainouune collision.
- Placerlesobjetsdanslapartiearrièredu véhicule. Tenterderépartirlepoids uniformément.
- Nejamaisempilerd'objetslourds, comme desvalises, danslevéhiculeplushaut quelesdossiersdessièges.
- Nepaslaisserdedispositifdeprotection pourenfantnonfixédansvotrevéhicule.
- Lorsquevoustransportezunobjetdans levéhicule, lefixersipossible.
Remorquage
Remorquageduvéhicule
Pourévitertoutdommage,levéhiculeenpannedoit étreremorquésansquelesquatrerouesnereposent surlesol.Consultervotreconcessionnaireouun servicederemorquageprofessionnelencasde remorquageduvéhicule.SereporteràProgramme d'assistanceroutièreàlapage8-8.
Remorquaged'unvéhiculerécréatif
Remarque: Leremorquageavecchariotou pneumatiqueduvéhiculerisquedel'endommager enraisondelagardeausolréduite. Toujoursplacer levéhiculesuruncamionàplateauouune remorque.
Levéhiculen'apasétéconçuetn'estpasprévu pourêtreremorquéavecl'uneoul'autredesrouesen contactaveclesol. Silevéhiculedoitêtreremorqué,se reporterà «Remorquagedevotrevéhicule», plushaut danscettesection.
Tractiond'uneremorque
Levéhiculen'apasétéconçupourtracterune remorque.
Section6Réparationetentretiendel'apparence
Entretien 6-4
Accessoiresetmodifications....6-4
Avertissementsurproposition65-Californie....6-5
Exigencesenmatièredematériauxau
perchlorate-Californie....6-5
Entretienparlepropriétaire....6-6
Ajoutd'équipement à lapartie extérieure du véhicule....6-6
Carburant 6-7
Indiced'octane....6-8
Spécificationsdel'essence....6-8
Carburant-Californie....6-9
Additifs....6-9
Carburantsdanslespaysétrangers......6-10
Remplissageduréservoir....6-11
Remplissaged'unbidondecarburant......6-14
Vérificationsouslecapot....6-14
Levierd'ouvertureducapot....6-15
Aperçuducompartimentmoteur....6-16
Huileàmoteur....6-22
Indicateurd'usured'huileàmoteur......6-29
Filtreàairdumoteur....6-31
Liquidedeboîtedevitessesautomatique.....6-35
Liquidedeboîtedevitessemanuelle......6-36
Embrayageàcommandehydraulique......6-36
Systèmederefroidissement(Moteur)......6-38
Systèmederefroidissement(Refroidisseur intermédiaire)....6-39
Liquidederefroidissement......6-40
Surchauffedumoteur....6-45
Modedefonctionnementdeprotectiondu moteursurchauffé....6-48
Liquidededirectionassistée....6-48
Liquidedelave-glace....6-50
Freins....6-51
Batterie....6-59
Démarrageavecbatterieauxiliaire......6-60
Essieu arrière 6-65
Réglagedelaportéedesphares....6-66
Remplacement d'ampoules 6-66
Éclairageàhauteintensité....6-67
Ampoulesàhalogène....6-67
Phares, clignotantsavantetfeuxde stationnement....6-68
Feuxarrière,clignotantsetfeuxd'arrêt......6-69
Ampoulesderechange......6-70
Section6Réparationetentretiendel'apparence
Remplacementdepare-brise....6-71
Remplacementdelaracletted'essuie-glace....6-71
Pneus 6-74
Pneusd'hiver....6-76
Étiquettesurparoilatéraledupneu......6-77
Terminologieetdéfinitionsdepneu......6-80
Pneusàflancsrenforcés....6-83
Gonflement-Pressiondespneus......6-85
Fonctionnementhautevitesse....6-87
Systèmedesurveillancedelapressiondes pneus....6-88
Fonctionnementdudispositifdesurveillance delapressiondepneu......6-89
Inspectionetpermutationdespneus......6-91
Quandfaut-ilremplacerlespneus?......6-92
Achatdepneusneufs....6-93
Pneusetrouesdedimensionsvariées......6-95
Classificationuniformedelaqualitédes pneus....6-96
Réglagedelagéométrieetéquilibragedes pneus....6-97
Remplacementderoue......6-98
Chaînesàneige....6-101
Levageduvéhicule....6-101
Entretien de l'apparence 6-107
Nettoyagedel'intérieur....6-107
Tissuettapis....6-108
Mouluresenduites....6-109
Cuir....6-109
Tableaudebord, surfacesenvinyleetautres surfacesenplastique....6-110
Filetderangementducouverclede compartimentutilitaire....6-110
Entretiendesceinturesdesécurité......6-110
Jointsd'étanchéité....6-111
Lavageduvéhicule....6-111
Nettoyagedel'éclairageextérieuretdes lentilles....6-112
Soindefinition....6-112
Pare-briseetlamesd'essuie-glace....6-113
Panneaudetoitouvrant....6-114
Section6Réparationetentretiendel'apparence
Toitdécapotable....6-114
Enjoliveuretrouesplaquéesaluminiumou chrome....6-115
Pneus....6-116
Finitionendommagée....6-116
Entretiendudessousdelacarrosserie......6-116
Ressortsenfibredeverre(Ressorts composites)....6-117
Peintureendommagéeparretombées chimiques....6-117
Identificationduvéhicule....6-117
Numéro d'identificationduvéhicule(NIV).....6-117
Étiquetted'identificationdespiècesde rechange....6-118
Réseauélectrique....6-118
Équipementélectriquecomplémentaire......6-118
Câblagedesphares....6-118
Fusiblesd'essuie-glace....6-118
Glacesàcommandeélectriqueetautres équipementsélectriques....6-119
Fusiblesetdisjoncteurs....6-119
Bloc-fusiblesd'ensembled'instruments......6-119
Bloc-fusiblesdecompartimentmoteur......6-123
Capacitésetspécifications....6-127
Entretien
Pourtousvosbesoinsd'entretienetdepièces, s'adresseràvotreconcessionnaire. Celui-civous fourniradespiècesGMd'origineetvousbénéficierez del'assistancedepersonnesforméesetsoutenues parGM.
Lespiècesd'origineGMportentl'unedecesmarques:


Parts

Goodwrench.

Accessories
Accessoiresetmodifications
Lorsquedesaccessoiresquineproviennentpasdu concessionnairesontajoutésauvéhicule,ilspeuvent enaffecterlesperformancesetlasécurité,en particulierlessacsgonflables,lefreinage,lastabilité, laconduiteetlamaniabilité,lessystèmesd'émissions, l'aérodynamisme,ladurabilitéetlessystèmes électroniquestelsquelesfreinsantiblocage,latraction asservieetlacommandedestabilité.Certainsdeces accessoirespeuventmêmeentraînerdespannesou desdégâtsquineseraientpascouvertsparlagarantie.
Lesdommagesauxcomposantsduvéhiculerésultant del'installationoudel'utilisationdepiècesnon certifiéesparGM,ycomprisdesmodificationsde modulesdecommande,nesontpascouvertsparla garantieduvéhiculeetpeuventaffecterlacouverture degarantierestantedespiècesencause.
LesaccessoiresGMsontconçuspourcompléteret fonctionneraveclesautressystèmesmontéssurvotre véhicule.VotreconcessionnaireGMpeutéquipervotre véhiculed'accessoiresGMd'origine.Lorsquevous demandezdesaccessoiresGMàvotreconcessionnaire GM,voussavezquedestechniciensformésetaidés parGMréaliserontletravailàl'aided'accessoiresGM d'origine.
SereporterégalementàlarubriqueAjoutd'équipement àunvéhiculemunidesacsgonflablesàlapage2-60.
Avertissementsur proposition65-Californie
Laplupartdesvéhicules, ycompriscelui-ci, comportent et/ouémettentdesproduitsouémanationschimiques dontilaétéprouvéenCaliforniequ'ilspeuvent provoquerlecancer, desanomaliescongénitales oudestroublesdesfonctionsreproductrices.
L'échappementdumoteur, ainsiqueden nombreux systèmesetpièces, denombreux liquideset certains sous-produits dus à l'usuredes composants contiennent et/ou émettent ces produits chimiques.
Exigencesenmatièredematériaux auperchlorate-Californie
Certainstypesd'équipementsautomobiles,telsque lesdéclencheursdesacsgonflables,lesprétendeurs deceinturesdesécuritéetlespilesaulithiumdes émetteursdetélédéverrouillage,peuventcontenirdu perchlorate.Desprécautionsdemanipulationspéciales sontrequises.Pourdeplusamplesinformations, consulterlesitewww.dtsc.ca.gov/hazardouswaste/perchlorate.
Entretienparlepropriétaire

AVERTISSEMENT:
Vous pouvezêtre blesséetlevéhicule pour rait êtreendommagésivousessayez defaire vous-même le travaux d'entretiens ans savoir exactement comment vous y prendre.
- Avantd'entreprendreuneopération d'entretien, s'assurerdeposséderles connaissancesetl'expériencesuffisantes ainsiquelespiècesderechangeetles outilsadéquats.
- S'assurerd'utiliserlesécrous,lesboulonset autresélémentsdefixationadéquats. On peut aisémentconfondrelesélémentsdefixation dessystèmesanglaisetmétrique. Des élémentsdefixationincorrectsrisquentà lalonguedesebriseroudesedétacher. Vouspourriezêtreblessé.
Sivouseffectuezvous-mêmecertainsopérations d'entretien,utiliserlemanueld'entretiencorrect.IIvous renseignerabeaucouplussurl'entretiendevotre véhiculequeceguide.Pourcommanderlemanuel d'entretiencorrect,sereporteràRenseignementssurla commandedeguidesderéparationàlapage8-20.
Levéhiculeestéquipéd'unsystèmedesacs gonflables. Avant d'essayerd'effectuervous-même l'entretiensurlevéhicule, sereporterà Réparationd'un véhicule muni de sacs gonflables à la page 2-60.
Gardertouslesreçusdespiècesetnoterlekilométrage etladatedechaqueopérationd'entretien.Sereporterà larubriqueFiched'entretienàlapage7-14.
Ajoutd'équipementàlapartie extérieureduvéhicule
Lesélémentsajoutésàl'extérieurduvéhiculepeuvent affecterl'écoulementdel'airautourdecelui-ci.Ceci peutcauserdesbruitsaérodynamiquesetaltérer laconsommationdecarburantetlerendementdu lave-glace.Consultervotreconcessionnaireavant d'ajouterunéquipementàl'extérieurdevotrevéhicule.
Carburant
Utiliserlecarburantquiconvientestunepartie importantedel'entretiencorrectdecevéhicule. Pour vousaideràgarderlemoteurpropreetpréserverses performances, nousvousrecommandonsd'utiliserde l'essencediteTOPTIERDetergentGasoline.
Rechercherl'étiquette TOPTIERsurlapompe à carburantpours'assurerquel'essencerépondaux normesdedétergence améliorées développées parles sociétésautomobiles. Unelistedemarques fournissant del essencedétergente TOPTIER figuresurlesite www.toptiergas.com.


Le8ecaractèredunumérod'identificationduvéhicule (NIV)estlalettreoulenumérodecodequiidentifiele moteur.LeNIVsetrouvesurlapartiesupérieurede gauchedutableaudebord.Sereporteràlarubrique Numérod'identificationduvéhicule(NIV)àla page6-117.
Indiced'octane
SilevéhiculeestéquipédumoteurV8de6,2L (codeNIVW),utiliserdusupercarburantsansplombà indiced'octaned'aumoins91.Vouspouvezaussi utiliserdel'essencesansplombordinaireaïndice d'octaned'aumoins87,maislapuissanceduvéhicule peutenêtrelégèrementréduiteetvouspourriez entendreuncognementlégerpendantlaconduite, communémentappelédétonation.Sil'indiced'octane estinférieurà87,vouspourriezentendreuncognement fortpendantlaconduite.Danscecas,utiliserdèsque possibledel'essenceaïndiced'octanede87ouplus. Sinon,vousrisquezdesdégâtsaumoteur.Encasde cognementimportantmalgrél'utilisationd'essenced'un indiced'octanede87ouplus,lemoteurdoitêtrerévisé.
Sivotrevéhiculeestéquipéd'unmoteurV8de6,2L (codeNIVT),utiliserdel'essencesansplombdehaute qualité'unindiced'octaneminimumde91.Pourun meilleure rendement,utiliserdel'essencesansplombde haute qualité d'un indice d'octane 93. En cas d'urgence, vous pouvezutiliserdel'essencesansplombd'un indiced'octaneminimumde87. Danscecas, nepas effectuerdemanoeuvresagressivestellesquedes accélérationsàpleinsgaz. Vous pouvez également entendredescliquetisenaccélération. Remplir votre réservoird'essencedepremièrequalitédèsque possiblepouréviterdesdégâtsaumoteur. Sivous utilisezdel'essenced'unindiced'octaneminimumde 91etsivousentendezdescognementsimportants, votremoteurdoitêtreréparé.
Spécificationsdel'essence
L'essencedoita minimum mètre conforme à lanormeASTMD4814aux États-Unisou CAN/CGSB-3.5ou3.511auCanada.Ilest possible que certaines essences contiennent un additif quiaugmentel'indiced octane appelémanganèse méthyl-cyclopentadiémylique-tricarbonyle(MMT). Nous vous dé conseillons d'utiliser del essence contenant du MMT. Pour plus derenseignements, se reporter à la rubrique Additifs à la page 6-9.
Carburant-Californie
Silevéhiculeestconformeauxnormesd'émission automobiledelaCalifornie,ilestconçupour fonctionneraveclescarburantsquisatisfontàces normes. Voir l'étiquette de dispositif antipollution sous le capot. Il se peut que votre État ou province ait adopté cesnormescaliforniennes,maisquececarburantn'y soitpasoffert.Levéhiculefonctionneratoutdemême defaçonsatisfaisanteaveclescarburantsconformes auxexigencesfédérales,maislerendementde votresystèmeantipollutionenserapeut-êtreréduit. Letémoind'anomaliepeuts'allumeretlevéhiculepeut échouerunevérificationantipollution.Sereporteràla rubrique Témoind'anomalie alapage4-42 .Dansce cas,consultervotreconcessionnairepourlediagnostic. Siletypedecarburantutiliséestlacauusedumauvais fonctionnementduvéhicule,lesréparations nécessairespeuventnepasêtrecouvertespar lagarantieduvéhicule.
Additifs
Afind'améliorerlaqualitédel'air,touteslesessences auxÉtats-Unisdoiventdésormaiscontenirdesadditifs quiempêchentlaformationdedépôtsdanslemoteur etdanslecircuitdecarburantpourpermettreun fonctionnement correct de votre système antipollution. Danslaplupartdescas,vousn'avezrienàajouterau carburant.Cependant,certainesessencescontiennent uniquementlaquantitéminimaled'additifsfixééparles réglementations de l'Environmental Protection Agency (agencedeprotectiondel'environnementaméricaine). Pourgarantirlapropretédesinjecteursdecarburantet dessoupapesd'admission,oubiensilevéhicule rencontredesproblèmesliésàdesinjecteursou soupapessales,veilleràutiliserdel'essence détergenteTOPTIER.
Pourlesclientsquin'utilisentpasrégulièrement de l'essencedétergente TOPTIER, unflacondeGMFuel SystemTreatmentPLUS(traitementplusdusystème decarburantdeGM)ajoutéauréservoiràchaque vidanged'huilepeutfaciliterl'éliminationdesdépôts danslesinjecteursdecarburantetlessoupapes d'admission.LeGMFuelSystemTreatmentPLUSest leseuladditifàl'essencerecommandéparGeneral Motors.
Leconcessionnaire dispose également d'additifs pouvant contribuer à empêcher laplupart des problèmes liésaux dépôts.
Lesessencescontenantdescomposéxygénés, telsquel'étheretl'éthanol,ainsiquelesessences reformuléespeuventêtredisponiblesdansvotrerégion. Nousvousrecommandonsd'utilisercesessencessi ellesontconformesauxspécificationsdécritesplus haut. Cependant,l'E85(85%d'éthanol)etd'autres carburantscontenantplusde10%d'éthanolnedoivent pasêtreutilisésdanslevéhiculesnonconçuspour cescarburants.
Remarque: Votrevéhiculen'estpasconçupour utiliserducarburantauméthanol. Nepasutiliser decarburantcontenantduméthanol. Celui-ci peutcorroderlespiècesmétalliquesdusystème d'alimentationetdétériorerlespiècesdeplastique etdecaoutchouc. Cesdégâtsnesontpascouverts parvotregarantie.
Certainesessencesnonreformuléespourréduire lesémissionspeuventcontenirunadditifqui augmentel'indiced'octaneappelémanganèse
méthyl-cyclopentadiémylique-tricarbonyle(MMT); serenseignerauprèsdevotrestation-serviceafin desavoirsilecarburantutilisécontientceproduit. Nousvousrecommandonsdenepasutiliserdetelles essences.LecarburantcontenantduMMTpeutréduire laduréedeviedesbougiesetaltérerlerendementdu systèmeantipollution.Letémoind'anomaliepourrait s'allumer.Danscecas,fairevérifiervotrevéhiculechez votreconcessionnaire.
Carburantsdanslespaysétrangers
Sivouscomptezutiliserlevéhiculeailleursqu'au CanadaouauxÉtats-Unis, lecarburantappropriépeut étredificileàtrouver. Nejamaisutiliserd'essenceavec plomboutoutautrecarburantnonrecommandédansla rubriqueprécédentesurlecarburant. Lesréparations coûteusesattribuables à l'utilisationdecarburant inappropriéesontpascouvertesparlagarantiedu véhicule.
Pourvérifierladisponibilitéducarburant, communiquer avec unclubautomobileouunesociétépétrolière exerçantsesactivités dans le pays ou vous comptez rouler.
Remplissageduréservoir

AVERTISSEMENT:
Lesvapeursdecarburantbrûlentviolementet unfeudecarburantpeutcauserdesérieuses blessures.Afind'éviterdesblessuresà vous-mêmeetauxautres,suivretoutesles instructionssurl'îlotdespompesdelastation service.Éteindrelemoteurpendantquevous faitesleplein.Nepasfumerlorsquevousêtes prèsducarburantoupendantquevousfaitesle pleinduvéhicule.Nepasutiliserdetéléphone cellulaire.Teniràl'écartducarburantles étincelles,lesflammesoulesaccessoiresde fumeur.Nepaslaisserlapompeàcarburant sanssurveillancependantquevousrefaitesle plein-cecicontrevientàdesloisdanscertains endroits.Nepaspénétrerdanslevéhiculelorsque vous faites le plein de carburant. Tenir les enfants éloignésdelapompeàcarburant.Nejamais laisserdesenfantsrefairelepleindecarburant.

Lebouchonduréservoirsetrouvederrièreunvolet d'accèsàcharnièreducôtéconducteurduvéhicule.

Leboutond'ouverturedu voletd'accèsauréservoir decarburantestsituésur letableaudebord,à gaucheduvolant. Appuyersurlebouton pourouvrirlevolet.

text_image
FUEL DOOR RELEASEIlyaussiunelanguettede déverrouillagemanuelle duvoletd'accèsau réservoirdecarburant. Ellesetrouvecontrela garnituresupérieuredu compartimentarrièredu côtéduconducteur. Tirer lalanguettepourouvrirle volet.
Pourretirerlebouchondecarburant,letourner doucementensensinversedesaiguillesd'unemontre. Lorsduravitaillementencarburant,laisserlebouchon deréservoirdecarburantpendreparlasanglesous l'ouverturederemplissageduréservoirdecarburant.
⚠ AVERTISSEMENT:
Ducarburantpeuts'échappersivousouvrez troprapidementlebouchonàcarburant. Sile carburants'enflamme, vous pour riezêtre brûlé. Cecipeutse produires ileréservoirest presque plein, plus particulièrement partempschaud. Ouvrir lebouchonàcarburant lentement et attend relafindusifflement. Dévisserensuite complètementlebouchon.
Nepasrenverserdecarburant. Nepasremlirle réservoiràrasbordoudefaçonexcessiveetattendre quelquessecondesavantderirerlepistolet. Nettoyer leplustôtpossiblelecarburantdéversésurles surfaces peintes. Se reporter à la rubrique Lavage du véhiculeâlapage6-111.
Lorsquevousremettezenplacelebouchonde réservoir, letournerdanslesensdesaiguillesd'une montrejusqu'auclic. S'assurerquelebouchonestbien enplace. Ledispositifdediagnosticpeutdéterminersi lebouchonderéservoirn'aétéreplacéouaétémal revisé. Unetelleerreurpermetaucarburant de s'évaporer. Sereporteràlarubrique Témoind'anomalie àlapage4-42 .
LemessageCHECKGASCAP(vérifierlebouchon duréservoirdecarburant)s'afficheàl'écrandu centralisateurinformatiquedebord(CIB)sile bouchon n'est pas posé correctement. Se reporter à Centralisateurinformatiquedebord-Avertissementset messages àlapage4-57 pourplusd'informations.

AVERTISSEMENT:
Siunfeusedéclarependantquevousravitaillez encarburant, nepasretirerlepistolet. Arrêterle débitdecarburantencoupantlapompeou prévenirlepréposéduposted'essence. Quitter immédiatementlazone.
Remarque: Si vous devez remplacer le bouchon du réservoir de carburant, s'assurer d'obtenir le type approprié. Vous pouvez vous en procurer unchez votre concessionnaire. Unbouchonin approprié risquedenepass'adapter correctement. Cela pourrait faire allumer let témoind'anomalie et endommager leréservoir decarburant ainsi quele dispositifantipollution. Sereporter à larubrique Témoind'anomalie à lapage 4-42.
Remplissaged'unbidonde carburant

AVERTISSEMENT:
Nejamaisremplirunbidondecarburantpendant qu'il est dans le véhicule. La décharge d'électricité statiqueducontenantpeutfaireenflammerles vapeursdecarburant.Sicelaseproduit,vous pouvezêtregravementbrûléetlevéhiculepeut êtreendommagé.Pouraideràéviterdes blessuresàvousetàd'autrespersonnes:
- Mettreducarburantuniquementdansun bidonapprouvé.
- Nepasremplirunbidonpendantqu'ilestà l'intérieurd'unvéhicule, danslecoffred'un véhicule, danslacaissed'unecamionnette ou surtoutesurfaceautrequelesol.
.../
AVERTISSEMENT:(suite)
- Amenerlebecderemplissageencontact avec l'intérieur del'ouverture der emplissage avant d'actionner lebec. Le contact devrait être maintenu jusqu'à la finduremplissage.
- Nepasfumerpendantquevousfaitesleplein decarburant.
- Nepasutiliserdetéléphonecellulairependant quevousfaiteslepleindecarburant.
Vérificationsouslecapot

AVERTISSEMENT:
Unventilateurélectriqueducompartimentmoteur peutentrerenactionetvousblessermême silemoteurnetournepas. Éloignerlesmains, vêtementsetoutilsduventilateurélectriquedu compartimentmoteur.

AVERTISSEMENT:
Lecarburant, l'huile, leliquidederefroidissement, leliquidedefrein, leliquidedelave-glaceet d'autresliquidesainsiquelespiècesdeplastique oudecaoutchoucencontactavecunmoteur chaudpeuventcauserunincendie. D'autre personnesouvous-mêmepouventêtrebrûlés. Évitertoutcontactdel'undeceobjetssurun moteurchaud.
Levierd'ouvertureducapot
Pourouvrirlecapot:

- Tirersurlelevier d'ouvertureducapot portantcesymbole. Ilsetrouveàl'intérieur duvéhiculesousle tableaudebord, du côtéconducteur.

- Allersurlecôtéduvéhiculeetsouleverlerebord arrièredupacapot, prèsdupare-brise.
Avantdefermerlecapot, s'assurerquetousles bouchonsderemplissagesontbienenplace. Ensuite, abaissertoutsimplementlecapotetlefermeravec fermeté.
Aperçuducompartimentmoteur
En cas de moteur V8 LS3 de 6,2 L (sans réservoir d'huile moteur de carter sec) et si vous faites face à l'avant du véhicule.lecapotétantouvert:

A. Réservoirdemaître-cylindred'embrayage (lecas échéant). Sereporteràlarubrique Embrayage à commandehydraulique à lapage 6-36.
B. Réservoirdeliquidedelave-glace. Sereporterà «Ajoutdeliquidedelave-glace» sous Liquide de lave-glace à lapage 6-50.
C. Réservoirdeliquidedefrein. Sereporterà «Liquidedefrein» à larubrique Freins à la page 6-51.
D. Réservoird'expansionduliquidede refroidissementetbouchonderadiateur. SereporteràLiquidederefroidissement à la page6-40.
E. Filtreàairdumoteuràlapage6-31.
F. Réservoirduliquidededirectionassistée.
SereporteràLiquidededirectionassistée à la page6-48.
G.Bouchonderemplissaged'huilemoteur.
Sereporterà«Quandajouterdel'huilemoteur»
sousHuileàmoteuràlapage6-22.
H.Jauged'huilemoteur.Sereporterà«Vérification del'huilemoteur»sousHuileàmoteur à la page6-22.
I. Bloc-fusiblesdecompartimentmoteur à la page6-123.
J.Filtreàairdel'habitacle(caché).Sereporteràla rubrique Filtre à air de l'habitacle à la page 4-30.
K. Batterieàlapage6-59.
Si le véhicule est équipé du moteur V8 LS9 suralimenté de 6,2 L et si vous faites face à l'avant du véhicule, le capot étantouvert:

A. Refroidisseurintermédiaire. Sereporterà Système derefroidissement (Moteur) à lapage 6-38 ou Systèmederefroidissement (Refroidisseur intermédiaire) à lapage 6-39.
B. Filtreàairdumoteuràlapage6-31.
C. Réservoiretbouchonduliquidedeservodirection.
SereporteràLiquidededirectionassistée à la page6-48.
D. Réservoird'expansionduliquidede refroidissementetbouchonderadiateur. SereporteràLiquidederefroidissement à la page6-40.
E. Réservoirdeliquidedelave-glace.Sereporterà «Ajoutdeliquidedelave-glace» sous Liquidede lave-glace à lapage 6-50.
F. Réservoirdemaître-cylindred'embrayage (lecas échéant). Sereporteràlarubrique Embrayage à commandehydraulique à lapage 6-36.
G. Réservoirdeliquidedefrein. Sereporterà «Liquidedefrein» à larubrique Freins à la page6-51.
H.Filtreàairdel'habitacle(caché).Sereporteràla rubrique Filtre à air de l'habitacle à la page 4-30.
I. Bouchonderemplissaged'huilemoteur. Sereporterà «Quandajouterdel'huilemoteur» sousHuileàmoteuràlapage6-22.
J.Réservoird'huilemoteurducartersec.Sereporter àladescriptionduremplacementdel'huilemoteur etdufiltreHuileàmoteuràlapage6-22.
K.Jauged'huilemoteur.Sereporterà«Vérification del'huilemoteur»sousHuileàmoteur à la page6-22.
L.Bornepositive(+)àdistance(nonvisible). SereporteràlarubriqueDémarrageavecbatterie auxiliaireàlapage6-60.
M.Bloc-fusiblesdecompartmentmoteur à la page6-123.
Si le véhicule est équipé du moteur V8 LS3 de 6,2 L avec boîte de vitesses manuelle (avec réservoir d'huile moteur decartersec)oulemoteurV8LS7de7,0Letsivousfaitesfaceaucôtéconducteurduvéhicule,lecapotétant ouvert:

A. Filtreàairdumoteuràlapage6-31.
B. Réservoirduliquidededirectionassistée.
Sereporter à Liquidededirectionassistée à la page6-48.
C. Bloc-fusiblesdecompartimentmoteur à la page6-123.
D. Borne positive (+) à distance (non visible). Sereporteràlarubrique Démarrageavecbatterie auxiliaireàlapage 6-60.
E.Jauged'huilemoteur.Sereporterà«Vérification del'huilemoteur»sousHuileàmoteur à la page6-22.
F.Réservoird'huilemoteurducartersec.Sereporter àladescriptionduremplacementdel'huilemoteur etdufiltreHuileàmoteuràlapage6-22.
G.Bouchonderemplissaged'huilemoteur. Sereporterà«Quandajouterdel'huilemoteur» sousHuileàmoteuràlapage6-22.
H. Réservoird'expansionduliquidede refroidissementetbouchonderadiateur. SereporteràLiquidederefroidissement à la page6-40.
I. Réservoirdeliquidedelave-glace. Sereporterà «Ajoutdeliquidedelave-glace» sous Liquidede lave-glace à lapage 6-50.
J.Réservoirdeliquidedefrein.Sereporterà «Liquidedefrein»àlarubriqueFreins à la page6-51.
K.Réservoirducylindreémetteurd'embrayage. SereporteràEmbrayageàcommandehydraulique àlapage6-36 .
Huileàmoteur
Vérificationdel'huilemoteur (saufmodèlesZ06,ZR1etGrandSport)
SilemessageCHECKOILLEVEL(vérifierleniveau d'huile)s'afficheaucentralisateurinformatiquede bord(CIB),vousdevezimmédiatementvérifierle niveau d'huile moteur.Pourplusd'information,se reporterà Centralisateurinformatiquedebord(CIB) page4-50 .Vérifierrégulièrementleniveau d'huile. Ceciestunrappelsupplémentaire.
C'estunebonnehabitudeàprendrequedevérifier le niveau d'huile moteur à chaque plein de carburant. Pourobtenirunelectureprécise, l'huiledoitêtrechaude etlevéhiculedoitêtresurunterrainplat.
Lapoignéedelajauged'huilemoteurestenforme d'anneauetdecouleurjaune. SereporteràAperçudu compartimentmoteur àlapage6-16 pourconnaître l'emplacementprécisdelajauged'huilemoteur.
-
Couperlecontactetattendrequelquesminutes pourpermettreàl'huilederevenirdanslecarter. Sinon, lajaugen'indiquerapeut-êtrepaslebon niveau.
-
Retirerlajauged'huileetlanettoyeravecun essuie-toutouunchiffon, puis l'enfoncerde nouveau à fond.
-
Retirerànouveaulajaugeenmaintenantlebout verslebasetlireleniveausurlapartiehachurée. Un niveau situé dans la zone hachurée est normal.
-
Enfoncercomplètementlajaugepourlaremettre enplace.
Lorsdel'appointd'huilemoteur(sauf lesmodèlesZ06,ZR1etGrandSport)

Sileniveaud'huilesesitueau-dessousdelasection quadrilléedelapointedelajauge,ajouteraumoins unlitred'huilepréconisée.Cettesectioncontientdes explicationssurletyped'huileàutiliser.Pourla capacitéd'huilemoteurducarter,sereporterà Capacitésetspécificationsàlapage6-127.
SereporteràlarubriqueConduitecompétitiveetcourse àlapage5-22 pourplusderenseignementsssurl'huileà moteur.
Remarque:Nepasajoutertropd'huile.Lemoteur pourraitêtreendommagésileniveaud'huile dépasselazonehachuréeindiquantlaplagede fonctionnementappropriée.

text_image
Mobil 1 SAE 5W-30SereporteràAperçudu compartimentmoteur à la page6-16 pourconnaître l'emplacementprécisdu bouchonderemplissage d'huile.
Ajouterassezd'huilepouramenerleniveaudansla plagedefonctionnementappropriée.Àlafinde l'opération,repoussercomplètementlajaugeenplace.
Vérificationdel'huilemoteur (modèlesZ06,ZR1etGrandSport)

text_image
A BA.Jauged'huilemoteur
B. Bouchonderemplissagedel'huile-moteur
C'estunebonnehabitudeàprendrequedevérifier leniveaud'huilemoteuràchaquepleindecarburant. Pourobtenirunelectureprécise, l'huiledoitêtrechaude etlevéhiculedoitêtresurunterrainplat.
Lapoinéedelajauged'huilemoteurestenforme d'anneaudecouleurjaune. Lajaugesetrouvesurle réservoird'huilemoteurducartersec. Pourconnaître l'emplacementduréservoird'huilemoteurducartersec, se reporter à la rubrique Aperçu du compartiment moteuràlapage6-16.
Cesvéhiculessontéquipésd'unsystemèmede lubrificationdumoteurpourcartersecprétpourle circuitd'attente. Cesystèmehautesperformancesne fonctionnepascommeunsystèmedelubrificationpour moteurstandardetnécessiteuneprocédurespéciale lorsdelavérificationduniveau d'huilemoteur. Suivre précisémentcetteprocédurelorsdelavérificationdu niveau d'huilemoteur.
Vousdevezvérifierleniveaud'huilemoteurlorsquele moteurestchaud. Leniveaud'huilefroidedansle réservoirducartersecpeutnepasindiquerleniveau réeld'huiledanslesystème. Danscesystème, l'huile moteursetrouvedansunréservoireexterneséparédu moteur. Dansdesconditionsdefonctionnementnormal, lecarterd'huilesouslemoteurnestockepasd'huile.
Silevéhiculerestestationnépendantunelongue périodesansêtredémarré,del'huilevasedéposer danslecarterd'huile. Leniveaud'huiledansle réservoirducartersecvadoncdiminueretilest possiblequelajaugeindiquel'absencetotaled'huile moteur. Celaestnormalcarlajaugeestconçuepour lireleniveaud'huilemoteuruniquementaprèsquele moteuratournésuffisammentlongtempspouratteindre unetempératurenormaledefonctionnement. Nepas ajouterd'huilemoteursuiteàlalecturedelajaugedu moteurfroid. Sivousvérifiezleniveaud'huilemoteur surlajaugelorsquelemoteurtourne, celui-cisera égalementinexact.
-
Pourobtenirunrelevéexactduniveaud'huile moteur, laisserréchaufferlemoteurjusqu'àcequ'il atteigneunetempératured'aumoins80°C(175°F). L'huilefroidenedonnepasunrelevéexact.
-
Lorsquelemoteurestchaud, lecouper. Contrôler leniveaud'huilelorsquelemoteurtournedonne unrelevéinexact.
- Attendreaumoinscinqminutes(maispasplus de20minutes)pourlaisserl'huiles'écouleret reposerdanslemoteur.
- Retirerlajaugeduréservoird'huileexternedu moteuretlanettoyeràl'aided'unmouchoiren papiernonpelucheuxoud'untissu. Laréinsérer dansleréservoird'huileexterne, enl'enfonçant complètementjusqu'enfindecourse.
- Retirerlajaugeduréservoird'huileetlireleniveau surlapartiehachurée. Unniveausituédansla zonehachuréeestnormal.
Lorsdel'appointd'huilemoteur (modèlesZ06,ZR1etGrandSport)

Sileniveaud'huilesesitueau-dessousdelasection quadrilléedelapointedelajauge,ajouteraunoins unlitred'huilepréconiséeparl'orificeducapuchonde remplissageduréservoird'huile.Cettesectioncontient desexplicationssurletyped'huileàutiliser.Pourla capacité d'huilemoteurdecarterdevilebrequin,se reporter à Capacitésetspécifications à lapage 6-127.
SereporteràlarubriqueConduitecompétitiveetcourse àlapage5-22 pourplusderenseignementssurl'huileà moteur.
Remarque: Nepasajoutertropd'huile. Lemoteur pourraitêtreendommagésileniveaud'huile dépasselazonehachuréeindiquantlaplagede fonctionnementappropriée.

text_image
Mobil 1 SAE SW-30Pourconnaître l'emplacement du réservoirexterned'huile moteuretdubouchonde remplissage, sereporter à larubrique Aperçudu compartimentmoteur à la page6-16.
Ajouterassezd'huilepouramenerleniveaudans laplagedefonctionnementappropriée.Àlafinde l'opération,repoussercomplètementlajaugeen placeàl'intérieurduréservoird'huile.
Remplacementdel'huilemoteuretdu filtre(Z06,ZR1etGrandSport)
Cesvéhiculessontéquipésd'unsystemèmede lubrificationdumoteurpourcartersecprétpourle circuitd'attente. Cesystèmehautesperformancesne fonctionnepascommeunsystèmedelubrificationpour moteurstandardetnécessiteuneprocédurespéciale lorsdelavidangedel'huilemoteuretduremplacement dufiltre. Suivreprécisémentcetteprocédurelorsdela vidangedel'huilemoteuretduremplacementdufiltre.

LemodèleZ06estillustré,lesmodèlesZR1etGrand Sportsontsimilaires.
A. Bouchonsdevidanged'huile
B.Jointsd'étanchéité
-
Déposerlesdeuxbouchonsdevidanged'huiledu fondducarterd'huilemoteur.Unbouchonpermet deviderleréservoird'huileexternevialaconduite d'alimentationdetransfertd'huile.L'autrebouchon permetdeviderl'huilerésiduelleducarter.Laisser l'huiles'écouler.
-
Lorsquel'huiles'estécouléedumoteur, déposerle filtre à huilemoteuret laisserl'huiles'écouler.
- Remettreenplacelesdeuxbouchonsdevidange etlesserrerà25N•m(18lb-pi).
- Replacerlefiltreàhuileetleserrerà30N·m (22lb-pi). Poursavoirquelfiltreutiliser, sereporter àlarubrique Piècesderemplacementd'entretien lapage7-12.
- L'huileestverséeparl'orificesituéausommetdu réservoird'huileexterne. Retirerlebouchonde remplissaged'huile.
6.Ajouter9,9L(10,5pintes)d'huileauréservoir d'huile.SereporteràCapacitésetspécifications lapage6-127. - Installerlebouchonderemplissaged'huileet insérerlajauge, sivousl'avezretirée.
- Démarrerlemoteuretlelaisertournerauralenti pendantaumoins 15 secondes. Celapermetde faire circulerlanouvellehuilemoteurdansle systèmedelubrification.
- Arrêterlemoteuretvérifierleniveaud'huile commédécritpourlesmodèlesZ06,ZR1et GrandSport.
Huilemoteurappropriée
Lemoteurdecevéhiculeabesoind'unehuile spécialeconformeàlanormeGM4718M. Leshuilesquirépondentàccttenormepeuvent êtreidentifiéescommehuilessynthétiques. Toutefois, leshuilessynthétiquesnesontpas toutesconformesàccttenorme. Utiliserseulement unehuileconformeàlanormeGM4718M.
Remarque:Sivousutilisezdeshuilesnon conformesàlanormeGM4718Mvousrisquez dedétériorerlemoteur.Cesdégâtsnesontpas couvertsparvotregarantie.
- SAE5W-30
L'huileSAE5W-30estlamieuxadaptée à votre véhicule. Ceschiffressurlebidond'huile représententsaviscositéousonépaisseur. Nepasutiliserd'huiled'uneviscositédifférente, tellequeSAE20W-50.
- Symboled'étoilerayonnantedel'American PetroleumInstitute(API)(l'institutaméricainde pétrole)

text_image
AMERICAN PETROLEUM INSTITUTE FOR GASOLINE ENGINES CERTIFIEDLescontenantsd'huiles conformesàces exigencesdevraient porterlesymboled'étoile, quiindiquequel'huile aétéapprouvéepar l'AmericanPetroleum Institute(API).
Àl'usine, lemoteurduvéhiculeaétéremplid'huile synthétique Mobil ^MD répondant à toutes les exigences pourcevéhicule.
Huilemoteurderemplacement:lorsquevousdevez ajouterdel'huilepourencompléterleniveau,ilest possiblequevousnetrouviezpasd'huileconformeàla normeGM4718M.Vouspouvezalorsutiliserunehuile deremplacementd'indiceSAE5W-30,portantlesceau dentelé,quellequesoitlatempérature.Nepasutiliser d'huilederemplacementnonconformeàlanorme GM4718Mlorsd'unevidange.
Additifspourhuilemoteur/Rinçagede l'huilemoteur
Nerienajouteràl'huile. Leshuilesrecommandéesqui portentl'étoilerayonnantedeconformitéàlanorme GM4718Msuffisentàassurerunbonrendementdu moteuretàleprotéger.
Lesrinçagesducircuitd'huilemoteurnesontpas recommandésetpeuvententraînerdesdommagesnon couvertsparlagarantieduvéhicule.
Indicateurd'usured'huileàmoteur Intervallesdevidanged'huile-moteur
Cevéhiculeestéquipéd'unordinateurquiindique à quelmomentvidangerl'huilemoteuretremplacerle filtre. Ceciestcalculéenfonctiondurégimemoteuret delatempératuredefonctionnementdumoteur, etnon enfonctiondukilométrage. Selonlesconditionsde conduite, lekilométrageauquellavidanged'huile estsignaléepeutvarierconsidérablement. Pour quelesystèmed'indicateurd'usuredel'huilemoteur fonctionnecorrectement, ildoitêtreréinitialiséâchaque vidanged'huile.
LesmodèlesZ06, ZR1 et GrandSports sont équipés d'unsystèmedelubrification dumoteur pour carter sec prêtpourlecircuit. Cesystème hautes performances ne fonctionnepas comme unsystèmedelubrification pour moteur standardet nécessite une procédures spéciale lors del avidangedel huilemoteuretdureplacement du filtre. Sereporter à larubrique Huile à moteur à la page 6-22.
Quandlesystèmeacalculéqueladuréedeviede l'huileadiminué, ilindiquequ'unevidangeest nécessaire. LemessageCHANGEENGINEOILSOON (vidangerl'huilemoteursouspeu)s'affiche. Vidanger l'huileleplustôtpossible dans les prochains 1000km (600milles). Dans des conditions idées, ilest possible quel indicateur devidanged huilen indiquepasla nécessité d'effectuer unveidanged huilependantunan ouplus. Toutefois, l'huilemoteur doit être vidangée et le filtrer em placé aumoinsunefois paranet les système doit être réinitialisé à cemoment là. Le concessionnaire employieste techniciens formés quise chargeront d'effectuer cet entretien, avec des pièces d'origine, et der é nitialiser les système. Il est également important de vérifier l'huilerégulièrement delagardera univeau approprié.
Sil'indicateuraétéréinitialiséparmégarde, l'huiledoit étreremplacée 5000km (3000milles) aprèsladernière vidanged'huile. Nepasoublierderéinitialiserle systèmeindicateurd'usured'huilemoteurlorsquela vidanged'huileesteffectuée.
Commentréinitialiserl'indicateur d'usured'huilemoteur
Lesystèmed'indicateurd'usured'huilemoteurcalcule lafréquencederemplacementdel'huilemoteuretdu filtreenfonctiondeshabitudesdeconduite.Àchaque vidange, ilconvientderemettrelesystème à zéropour luipermettre decalculerlemomentdelaprochaine vidange. Silavidangeesteffectuéeavantl'apparition dumessageCHANGEENGINEOIL (vidangerl'huile moteursouspeu), l'indicateurdoitêtreréinitialisé.
PourréinitialiserlemessageCHANGEENGINEOIL (vidangerl'huilemoteursouspeu)suiteàunevidange d'huile:
-
AppuyersurleboutonTRIP (compteur kilométriquejournalier) jusqu'àceque lepourcentageOILLIFE (duréedevieutilede l'huile)s'affiche.
-
AppuyersurRESET(réinitialisation) pendant deuxsecondes. LemessageOILLIFE REMAINING100%(duréedeviedel'huilemoteur) s'affiche.
SilemessageCHANGEENGINEOIL(vidangerl'huile moteursouspeu)réapparaïtaudémarragedumoteur, laréinitialisationdel'indicateurd'usuredel'huiledu moteuraéchoué. Répéterlamanoeuvre.
Quefairedel'huilederebut?
L'huilemoteuruséerenfermecertainsélémentsqui peuventêtrémalsainspourlapeauetquirisquent mêmedeprovoquerlecancer. Il fautdoncévitertout contactprolongéaveclapeau. Nettoyerlapeauettes onglesavecde l'eausavonneuseouunnettoyantpour les mainsdebonnequalité. Laverouéliminerdefaçon appropriéesvêtementsouchiffonsimbibésd'huile moteurusée. Sereporterauxavertissementsdu fabricantsurl'utilisationetlamiseaurebutdesproduits d'huile.
L'huilederebutpeutconstituerunemenacegravepour l'environnement. Sivousvidangezvous-mêmel'huilede votre véhicule, vous devez vous assurer de vider toute l'huilequis'écouledufiltreàhuileavantdevousen débarrasser. Nejamaissédébarrasserdel'huileenla jetantauxpoubelles, enladéversantsurlesol, dans leségouts, dans lesruisseauxoudanslescoursd'eau. Larecyclerenl'apportantàuncentreder récupération.
Filtreàairdumoteur
SereporteràAperçuducompartimentmoteur à la page6-16 pourconnaîtrel'emplacementdufiltreàair dumoteur.
Remarque: Si vous vaporisez de l'eau dans l'entrée dufiltre à airdumoteuret quel eaus infiltredansle boîtierdufiltre à air, lemoteurduvéhiculerisquede subirdesdommages. Dans cecas, les réparations neseraient pas couvertes par lagarantie. Nepas vaporiser d'eaudans l'entrée ou le boîtierdufiltre à airdumoteur.
Sivousnettoyezvotrevéhiculealorsquelecapotest ouvert,veillerànepasvaporiserd'eaudirectementà proximitédel'orificedufiltreduboîtierdufiltreàair, commeillustré,carvousrisqueriezd'endommagerle moteurdevotrevéhicule.
Quandinspecterlefiltreàairdumoteur
Examinerlefiltreàairauxintervallesd'entretienlletle remplaceràlapremièrevidanged'huileaprèschaque intervallede80000km(50000milles).Pourplus d'informations,sereporteràlarubriqueEntretienprévu àlapage7-3 .Sivousroulezsurdesroutes poussiéreusesousales,inspecterlefiltreàchaque vidanged'huilemoteur.
Commentinspecterlefiltreàairdumoteur
Pourinspecterlefiltreàair, leretirerduvéhiculeetle secouerlégèrementpourfairetomberlesparticulesde saletéetlapoussière. Silasaletéformeune «croûte collée» danslefiltre, ilfautleremplacer.
Pourvérifierouremplacerlefiltreàairdumoteur:
- Souleverlecapot. Voir Levier d'ouverture ducapot à lapage 6-15 .

LemoteurV8de6,2LLS3estillustré,les moteursV8de6,2LLS9etV8de7,0LLS7sont similaires
A. Tube
B.Crochet
C.Conduit
-
Retirerletube(A)del'ensembledefiltreàair.
-
Desserrerlecollier(B)aucorpsdupapillonet retirerleconduit(C).

LemoteurV8de6,2LLS3estillustré, lesmoteursV8de6,2LLS9etV8de7,0LLS7sont similaires
A. Connecteurducapteurdedébitd'airmassique B. Verroudeconnecteur
-
Retirerleverrouconnecteur(B) placéalabase duconnecteur(A) ducapteurdedébitd'air massique.
-
Appuyersurlehautetlebasduconnecteur(A) du capteurdedébitd'airmassiqueetledéposer.

Lemoteur6,2LV8LS9estillustré. Lemoteur7,0LV8LS7estsimilaire.
- Pour accéder à l'élément du filtre à air, tirer prudemment l'ensemble defiltre à air vers le haut jusqu'à ce que les fixations soient dégagées des goupilles der tenued us supports supérieur du radiateur.
LemoteurLS3possèdetroisgoupillesderetenue. LesmoteursLS7etLS9enpossèdentdeux.

LemoteurV8de6,2LLS3estillustré, lesmoteursV8de6,2LLS9etV8de7,0LLS7sont similaires
A. Vis
B. Couvercledefiltre
C.Filtre
- Pour déposer le filtre des moteurs LS3 et LS7, déposer lessix vis (A) fixant le couvercle de filtre (B) puis é carter le couvercle pour accéder au filtre à air (C).
Pourretirerl'ensembledefiltredumoteurLS9, retirerlesdeuxvisfixantlecouvercledufiltre. Lecouvercledefiltreetlefiltrelui-même constituentuneseulpièce. - Examineroumplacerlefiltreoul'ensemble decouvercledefiltre. Sereporterà Piècesde remplacementd'entretienàlapage 7-12.
- Inverserlesétapes2à7pourremettreenplacele filtreàairetsoncouvercle.

AVERTISSEMENT:
Sivousfaitesfonctionnerlemoteursansfiltre à air, vousoud autrespersonnespourriezêtre brûlés. Lefiltre à air nonseulement nettoiel'air, maisilassure également uneprotectionencas deretourdeflamme. Agiravec précautionen intervenantsurlemoteuretnepasrouler lorsque lefiltre à airestretiré.
Remarque:Silefiltreàairestretiré,lasaletépeut pénétrerdanslemoteuretl'endommager.Laisser toujourslefiltreàairenplacelorsquevous conduisez.
Liquidedeboîtedevitesses automatique
Commentvérifierleliquidedeboîtede vitessesautomatique
Iln'estpasnécessairedevérifierleniveauduliquidede laboïtedevitesses. Unepertedeliquidedelaboïtede vitessesnepeutprovenirqued'unefuite. Encasde fuite, ramenerlevéhiculeauserviced'entretiendu concessionnaireetlefairerréparerleplustôtpossible.
Ilexisteuneprocédurespécialepourvérifieret remplacerleliquidedeboîtedevitesses. Étantdonné quecetteprocédureestdifficile, vousdevriezlaconfier àvotreconcessionnaire. Pour plusderenseignements
surcetteprocédure, contactervotreconcessionnaire, ouconsulterleguidederéparation. Pouracheterun guidederéparation, sereporterà Renseignementssur lacommandedeguidesderéparation à lapage 8-20.
Remarque: Si vous utilisez un liquide de boîte devitesses automatique incorrect, vous risquez dedétriorervotrevéhiculeetles réparations pourraient nepasêt recouvertes par votregarantie. Utilisert toujours le liquidedeboîtedevitesses automatiques signalédanslasection Liquideset lubrifiants recommandés à lapage 7-10.
Changerleliquideetlefiltreselonlesintervalles indiquésenEntretienprévu àlapage7-3, etveiller àutiliserleliquidedeboîtedevitessesindiquéen Liquides et lubrifiants recommandés à la page 7-10.
Liquidedeboîtedevitessemanuelle
In'estpasnécessairedevérifierleniveauduliquide de laboïtedevitessesmanuelle. Unepertedeliquide de laboïtedevitessesnepeutprovenirqued'unefuite. Encasdefuite, amenerlevéhiculeauservice d'entretiendevotreconcessionnaireetlefaireréparer dèsquepossible. Poursavoirqueltypedeliquide utiliser, sereporteràlarubrique Liquidesetlubrifiants recommandésàlapage 7-10.
Embrayageàcommande hydraulique
Àmoinsdesoupçonnerunefuite, iln'estpas nécessairedevérifierrégulièrementleliquide d'embrayage. Unepertedeliquidedanscesystème pourraitindiquerunproblème. Faireinspecteretréparer lesystème.
Quandvérifierleliquideetqueltype utiliser

Lebouchonduréservoir duliquided'embrayage hydrauliquearborece symbole. Sereporterà larubrique Aperçudu compartment moteur à la page6-16 pour connaître l'emplacement du réservoir.
Seréférerauprogrammed'entretienpourconnaître leliquidecorrectàutiliser.SereporteràLiquideset lubrifiantsrecommandés àlapage7-10 .Leliquidedoit êtrechangétouslesdeuxans.SereporteràEntretien prévuàlapage7-3.
Commentvérifierleliquideeten ajouter
Examinervisuellementleréservoirdeliquide d'embrayagepours'assurerqueleniveaudeliquideest àaligneMIN(minimum)aucôtéduréservoir.Lecircuit d'embrayagehydrauliquedoitêtreferméetscellé.
Nepasenleverlebouchonpourvérifierleniveaude liquideoupourajouterduliquide.N'enleverlebouchon quelorsquec'estnécessairepourfairel'appointdu liquideadéquatjusqu'àcequeleniveauatteignela ligneMIN(minimum).
Systèmederefroidissement(Moteur)
Lesystèmederefroidissementpermetlemaintiendela températurecorrectedefonctionnementdumoteur.

text_image
A BMoteur7,0Lillustré,moteur6,2Lsimilaire
A. Ventilateurélectriquederefroidissementdumoteur B. Réservoird'expansionduliquidede refroidissementavecbouchondepression
⚠ AVERTISSEMENT:
Unventilateurélectriquederefroidissement du moteurplacésouslecapotpeutcommencer à tourneretblessermêmesilemoteurestarrêté. Lesmains, lesvêtementsetlesoutilsdoiventêtre maintenus à l'écart des ventilateurs.
⚠ AVERTISSEMENT:
Lesflexiblesduchauffageetduradiateur, ainsi quelesautrespiècesdumoteurpeuventêtre trèschauds. Nepaslestoucher, souspeinede brûlure.
Nepasfairetournerlemoteurencasdefuite, au risquedeperdretoutleliquidederefroidissement, causerunincendieetvousbrûler. Réparerles fuitesavantderouler.
Remarque:Utiliserunautreliquidede refroidissementqueleDEX-COOL ^MD peutcauser unecorrosionprématuréedumoteur,dunoyaude chauffageouduradiateur.Deplus,ilpeutfalloir remplacerleliquidederefroidissementdumoteur plustôt,soità50000km(30000milles)ou24mois, selonlapremièreéventualité.Aucuneréparationne seracouverteparlagarantieduvéhicule.Toujours utiliserleliquidederefroidissementDEX-COOL ^MD (sanssilicate)dansvotrevéhicule.
Systèmederefroidissement (Refroidisseurintermédiaire)
LemoteurV8LS9suralimentéde6,2Lestmuni d'unsystèmederefroidissementdurefroidisseur intermédiaire.SereporteràAperçuducompartiment moteur àlapage6-16 pourconnaîtrel'emplacement durefroidisseurintermédiaire.
Uneméthodespécifiquederemplissageetdevidange duliquidederefroidissementdoitêtreadoptéepour lesystèmederefroidissementdurefroidisseur intermédiaire. Cetteprocédureestdélicate, c'est pourquoiilestrecommandédefaireappelàvotre concessionnairesileniveaudeliquide refroidissementdurefroidisseurintermédiaire estbas. Pourplusderenseignementssurcette
procédure, consulterlemanueld'entretien. Pour acheterunmanueld'entretien, sereporteràlarubrique Renseignementssurlacommandedeguidesde réparationàlapage8-20.
Vérificationduniveaudeliquidede refroidissement

- Vérifierquelemoteuretlerefroidisseur intermédiaireontrefroidi.
-
Placer un chiffon sous la soupape de purge (A) côtéconducteur pour absorber les possibles fuites deliquidederefroidissement.
-
Desserrermaisnepasdévissercomplètementla soupapedepurgepourvérifierleniveaudeliquide derefroidissementdanslesystème.
- Serrerlasoupapedepurgesiduliquidede refroidissements'échappedelasoupape.
5.S'iln'yapasdeliquidederefroidissement s'échappantdelasoupapedepurge,ilse peutqu'ilyaitunefuitedanslesystème. Serrerlasoupapedepurgeetcontactervotre concessionnairepourprocéderauxréparations.
Liquidederefroidissement
Lesystèmederefroidissementduvéhiculeest rempliavecleliquidederefroidissementmoteur DEX-COOL ^MD .Leliquidederefroidissementest conçupourresterdansvotrevéhiculependantcinqans ou240000km(150000milles),selonlapremière éventualité.
Cequisuitexpliquelefonctionnementdusystèmede refroidissementetcommentcontrôleretajouterdu liquidederefroidissementquandleniveauestbas. Si le moteur surchauffe, se reporter à Surchauffe du moteuràlapage6-45.
Utilisercequisuit

AVERTISSEMENT:
L'ajoutd'eaupureausystèmederefroidissement peuts'avérerdangereux.L'eaupure,ainsi qued'autresliquidescommel'alcool,peuvent entrerenébullitionplusrapidementquele liquidederefroidissementapproprié.Le systèmed'avertissementderefroidissementdu véhiculeestréglépourunmélangedeliquide de refroidissementcorrect.Avecdel'eaupureou unmélangeinapproprié,lemoteurpourrait surchauffersansquevousnereceviezun avertissementdesurchauffe.Lemoteurpourrait prendrefeuetd'autrespersonnesouvous-même pourriezêtrebrûlés.Utiliserunmélangecomposé pourmoitiéd'eaupotablepropreetpourmoitiéde liquidederefroidissementDEX-COOL ^MD .
Utiliserunmélangeàpartségalesd'eaupotable pureetdeliquidederefroidissementDEX-COOL MD. Sionutilisecemélange,riennedevraêtreajouté. Cemélange:
- Protège contre le gel jusqu'à -37^ ( -34^ ), température extérieure.
- Protègecontrel'ébullitionjusqu'àunetempérature moteurde129°C(265°F).
• Protègecontrelarouilleetlacorrosion.
• N'endommagepaslespiècesenaluminium. - Aideàgarderlemoteuràlatempérature appropriée.
Remarque: Encasd'utilisation d'unmélange incorrect deliquididederefroidissement, lemoteur peutsurchaufferetêtregravementendommagé. Lescoûtsdelaréparationneseraientpascouverts parlagarantie. Unmélangetropaqueuxpeutgeler etfissurerlemoteur, leradiateur, lecorpsde chauffeet d'autres pièces.
Remarque:Sivousutilisezdesinhibiteurs supplémentaireset/ousivousajoutezdesadditifs danslesystèmederefroidissement,vousrisquez d'endommagervotrevéhicule.Utiliseruniquement lemélangecorrectdeliquidederefroidissement indiquédansleprésentguidepourlesystèmede refroidissement.Pourplusd'informations,se reporteràlarubriqueLiquidesetlubrifiants recommandésàlapage7-10.
Vérificationduniveaudeliquidede refroidissement
Le véhicule doit se trouver sur une surface de niveau lorsdelavérificationduniveauduliquidede refroidissement.
Vérifiersileliquidederefroidissementestvisible dans leréservoird'expansiondeliquidederefroidissement. Sileliquideprésentdansleréservoirestenébullition, nerienfaired'autrequelelaisserrefroidir. Sileliquide derefroidissementestvisible, maisqu'iln'estpasau niveaudelamarquepleinàfroidouau-dessus, verser unmélangeàpartségalesd'eaupotablepropreetde liquidederefroidissementDEX-COOLdansleréservoir d'expansion, maiss'assurerquelesystèmede refroidissementstfroidavantdelefaire. Sereporterà Liquidederefroidissement àlapage6-40 pourdeplus amplesinformations.

text_image
TVS NEVER OPEN HOTT SURGE TANK 18 PSI 124 kPa DEX-COMO PRESS OR DEPRESSION TAMS OUTRIN & CHANDLeréservoir d'expansiondeliquide derefroidissement demoteursetrouve versl'arrière du compartiment-moteur ducôtépassager du véhicule. Sereporterà Aperçudu compartiment moteur à lapage 6-16 pour connaître son emplacement.
Quandlemoteurestfroid, leniveauduliquidede refroidissementdevraitêtreaurepèreFULLCOLD (pleinàfroid) duréservoird'expansion.
Lorsquelemoteurestchaud, leniveaudoitêtre supérieur à lamarque FULLCOLD (pleinàfroid). Siteln'estpaslecas, cepeutêtrel'indiced'unefuite dans lesystèmederefroidissement.
Sileniveaudeliquidederefroidissementestbas, ajouterduliquideouamenerlevéhiculechezle concessionnairepourintervention.
Commentremplirleréservoir d'expansiondeliquide de refroidissement

AVERTISSEMENT:
Uneprojectiondeliquidederefroidissementsur lesorganeschaudsducompartimentmoteur peutprovoquerdesblessures.Leliquidede refroidissementcontientduglycoléthylèneet peutbrûlersilesorganesdumoteursontchauds. Nepasrenverserdeliquidederefroidissement surunmoteurchaud.

AVERTISSEMENT:
Lavapeuretlesliquidesbouillantsquisont projetés d'un systèmederefroidissementchaud peuvent provoquer degraves brûlures. Ilssont
.../
AVERTISSEMENT:(suite)
souspressionetsilebouchonsouspressiondu vased'expansiondeliquidederefroidissement estdévissé—mêmelègèrement—ilspeuvent jailliràgrandevitesse.Nejamaisdévisserle bouchonlorsquelesystèmederefroidissement, ycomprislebouchondepressionduvase d'expansiondeliquidederefroidissement,est chaud.Attendrelerefroidissementdusystème derefroidissementetdubouchonpourdévisser celui-ci.
S'ilestnécessaired'ajouterduliquidede refroidissement,verserlemélangeDEX-COOL ^MD adéquatdirectementdansleréservoir,maiss'assurer quelesystèmederefroidissementsoitfroidavantde lefaire.

- Lorsque le système de refroidissement, y compris lebouchondepressionetladuritesupérieure, arefroidi, retirerlebouchondepression.
Tournerlentementlebouchondepressiondans lesenscontrairedesaiguillesd'unemontre, d'environunquartdetouretarrêter.
Siunsifflementsefaitentendre, attendrequ'il s'arrête. Lesifflementindiquequ'ilyaencore delapression.
- Continueràfairetournerlebouchondepression lentementetleretirer.

- Remplirleréservoird'expansionduliquidede refroidissementàl'aidedumélangedeliquidede refroidissementDEX-COOLappropriéjusqu'àce queleniveausestabiliseaurepèreFULLCOLD (pleinàfroid)situésurlapartiefrontaledu réservoird'expansion.

-
Sansremettrelebouchondepressionduréservoir d'expansion, mettrelemoteurenmarcheetle laissertournerjusqu'àcequevoussentiezque laduritesupérieurederadiateurcommence à chauffer. Faireattentionauventilateurde refroidissementdumoteur, toutaulongdela procédure.
Àcestade, leniveauduliquidederefroidissement à l'intérieur duréservoir d'expansion pour traité plusbas. Sileniveauestbas, ajouter davantage dem é lange appropriédansler réservoir d'expansion, jusqu'à cequeleniveau atteigne repère FULLCOLD (plein à froid). -
Ensuite, replacerlebouchondepression.
S'assurerquelebouchondepressionestbien serréalamainetbienenplace.
Vérifierleniveauduliquidederefroidissement dansleréservoird'expansionunefoisquele systèmederefroidissementestrefroidi. S'il neconvientpas, répéterlesétapes 1 à 4 puis revisserlebouchondepression. Sileliquidede refroidissementn'estpasauniveaurecommandé lorsquelesystèmeestdenouveaurefroidi, s'adresserauconcessionnaire.
Remarque:Silebouchondepressionn'estpas installéfermement,ilpeutyavoirunepertede liquidederefroidissementetlemoteurpeutsubir desdommages.S'assurerquelebouchonestbien fermé.
Surchauffedumoteur
Levéhiculeestdotédeplusieurstémoinsdestinésà avertird'unesurchauffedumoteur.
Unindicateurdetempératuredeliquide derefroidissementsetrouvesurlegroupe d'instrumentsdutableaudebord.Sereporteràla rubriqueIndicateurdetempératureduliquidede refroidissementdumoteur àlapage4-41 .Lemessage COOLANTOVERTEMPERATURE(surchauffedu liquidederefroidissement)peutapparaîtresurle centralisateurinformatiquedebord(CIB).Pourplus d'informations,consulterCentralisateurinformatiquede bord - Avertissements et messages à la page 4-57.
Ilestpeut-êtrepréférabledenepassouleverlecapot etd'appeleruncentredeserviceimmédiatement. SereporteràlarubriqueProgrammed'assistance routièreàlapage8-8.
Sivousdécidezdesouleverlecapot,levéhiculedoit stationnersurunesurfaceplane.
Vérifierensuitesileventilateurderefroidissement dumoteurfonctionne.Silemoteursurchauffe,le ventilateurdevraitfonctionner.Siteln'estpaslecas, nepascontinueràfairetournerlemoteuretfaire réparerlevéhicule.
Remarque: Lesdommagescausésaumoteurparla conduitesansliquidederefroidissementnesont pascouvertsparvotregarantie. VoirModede fonctionnementdeprotectiondumoteursurchauffé àlapage6-48 pourdesrenseignementssurla conduitejusqu'enlieusûrencasd'urgence.
Remarque:Silemoteurprendfeuenroulantsans liquidederefroidissement,levéhiculerisqued'être gravementendommagé.Lesréparationscoûteuses neseraientpascouvertesparlagarantiedu véhicule.SereporteràModedefonctionnement de protectiondumoteursurchauffé àlapage6-48 pour desrenseignementsurlaconduitejusqu'enlieu sûrencasd'urgence.
Aucasoùdelavapeurs'échappede votremoteur
⚠ AVERTISSEMENT:
Lavapeurs'échappantd'unmoteursurchauffé peutvousbrûlergravement,mêmesivousne faitesqu'ouvrirlecapot.Resterloindumoteursi vousvoyezousivousentendezlesifflementdela vapeurquis'échappedumoteur.Arrêterlemoteur etéloignertoutlemondeduvéhiculejusqu'àce quelemoteurrefroidisse.Attendrejusqu'àcequ'il n'yaitplussignedevapeurnideliquidee refroidissementavantd'ouvrirlecapot.
Sivouscontinuezàroulerquandlemoteurest surchauffé,lesliquidesdumoteurpeuvent prendrefeu. Vousoud'autrespersonnespourriez êtregrièvementbrûlés. Silemoteursurchauffe, l'arrêteretquitterlevéhiculejusqu'au refroidissementdumoteur.
Sereporteràlarubrique Mode defonctionnement deprotectiondumoteursurchauffé à lapage 6-48 purobtenirdesinformationssurlaconduitedu véhiculeenlieusûrencasd'urgence.
Aucasoùaucunevapeurnes'échappe devotremoteur
S'ilyaavertissementdesurchauffesansdégagement devapeurvisibleouaudible,leproblèmen'estpeut-être pastropgrave.Parfois,lemoteurpeutdevenirunpeutropchaudlorsquelevéhicule:
- Gravitunelonguecôteaucoursd'unejournée chaude.
• S'arrêteaprèsavoirrouléàgrandevitesse. - Rouleauralentipendantdelonguespériodesdans unembouteillage.
Encasd'avertissementdesurchauffesansémissionde vapeur:
- Mettrelaclimatisationhorsfonction.
-
Réglerlechauffageetleventilateuràlaposition maximaleetouvrirlesglaces, aubesoin.
-
Danslesembouteillages, passeraupointmort(N) lorsquelevéhiculeestàl'arrêt. Sipossible, quitterlachaussée, passerenpositionde stationnement(P) ouaupointmort(N) et laisser lemoteurtournerauralenti.
Sil'aiguille detempératuren'est plus dans slazonede surchauffeouquel avertissement des surchauffen est plus affiché, levéhicule peutrouler. Continuer à rouler lentement pendant 10 minutes environ. Conserver une bonnedistances sécurité par rapport au véhicule qui précède. Sil'avertissement nere vient pas, continuer à roulernormalement.
Siletémoinesttoujoursallumé, quitterlaroute, s'arrêteretgarerlevéhiculeimmédiatement.
S'iln'yapasdesignedevapeur, fairetournerlemoteur auralentipendanttroisminutesenstationnement. Sile témoind'avertissements'allumetoujours, arrêterle moteurjusqu'àcequ'ilaitrefroidi. Sereporteraussià «Fonctionnementenmodedeprotectiondemoteur surchauffé» plusloindanscettesection.
Modedefonctionnementde protectiondumoteursurchauffé
Cemodedefonctionnementd'urgencevouspermetde conduirelevéhiculeenlieusûr,àunevitnessed'environ 80km(50milles),encasd'urgence. Silemoteur surchauffe,quelesmessagesCOOLANTOVER TEMPERATURE(surchaffeduliquidede refroidissement)etREDUCEDENGINEPOWER (puissancedumoteurréduite)etqueletémoinde vérificationdumoteurs'allume,unmodedeprotection contrelasurchauffefaitalternel'allumagedegroupes decylindrespourprotégerlemoteur. Danscemode, vousremarquerezunepertedepuissancesignificative etunediminutiondurendementdumoteur.
Laconduitesurdegrandesdistancesdevraitêtre évitéeenmodedeprotectiondemoteursurchauffé.
Remarque: Aprèsavoirconduitlevéhiculeenmode deprotectiondemoteursurchauffé,afind'éviterdes dommagesaumoteur,laisserlemoteurrefroidir avantd'entreprendretouteréparation. L'huile-moteurseragravementdétériorée.Réparer lacausedelapertedeliquidederefroidissement, vidangerl'huileetréinitialiserl'indicateurde vidanged'huile.SereporteràlarubriqueHuileà moteur àlapage6-22 .
Liquidededirectionassistée

Sereporteràlarubrique Aperçuducompartiment moteur àlapage6-16 pourconnaître l'emplacement du réservoir.
Intervalledevérificationduliquidede servodirection
Àmoinsdesoupçonnerunefuiteoud'entendre unbruitanormal, iln'estpasnécessairedevérifier régulièrementleliquidedeservodirection. Unepertede liquidedanscesystèmepourraitindiquerunproblème. Faireinspecteterréparerlesystème.
Vérificationduniveauduliquidede directionassistée
Pourvérifierleniveauduliquidedeservodirection:
- Couperlecontactetlaisserrefroidirle compartiment-moteur.
- Essuyerlebouchonetledessusduréservoirpour lesdébarrasserdetoutesaleté.
- Dévisserlebouchonetessuyerlajaugeàl'aide d'unchiffonpropre.
- Remettrelebouchonetbienleserrerenplace.
- Retirerlebouchonànouveauetexaminerle niveaudefluideindiquésurlajauge. Les deux côtésdelajaugecomportentdesrepères.
LeniveaudevraitêtreaurepèreFULLCOLD(pleinà froid).Aubesoin,ajouterjusteassezdeliquidepour amenerleniveauàcerepère.

Lorsquele compartiment-moteur estchaud,leniveau doitteindrelerepère HOT(chaud).Lorsquele compartiment-moteurest froid,leniveaudoitse situeraurepèreFULL COLD(pleinàfroid).
Utilisercequisuit
Pourdéterminerletypedeliquideàutiliser, sereporter à larubrique Liquidesetlubrifiantsrecommandés à la page 7-10. Toujoursutiliserleliquidecorrect.
Remarque:L'utilisationd'unliquidenonapproprié risqued'endommagerlevéhiculeetd'entraînerdes réparationsquineseraientpascouvertesparla garantieduvéhicule.Toujoursutiliserleliquide indiquésousLiquidesetlubrifiantsrecommandés lapage7-10.
à
Liquidedelave-glace
Utilisercequisuit
Lorsquelevéhiculeabesoindeliquidedelave-glace, bienlirelesinstructionsdufabricantavantl'usage. Sile véhiculeestutilisédansunerégionoulatempérature peutdescendreendessousde0°C, utiliserunliquide possédantuneprotectionsuffisantecontrelegel.
Ajoutdeliquidedelave-glace

Enleverlebouchon marquédusymbolede lave-glace.Ajouterdu liquidejusqu'âceque leréservoirsoitplein. SereporteràAperçudu compartimentmoteur à la page6-16 pourconnaître l'emplacement du réservoir.
Remarque:
- Sivousutilisezunconcentrédeliquidede lave-glace, respecterlesinstructionsdu fabricantrelativesàl'ajoutd'eau.
- Nepasmélangerd'eauàduliquidede lave-glaceprêtàl'emploi.L'eaupeutcauser ungeldelasolutionetendommagerle réservoirdelave-glaceetd'autrespartiesdu systèmedelave-glace.Enoutre,l'eaune nettoierapasaussibienqueleliquidede lave-glace.
- Remplirleréservoirdeliquidedelave-glace seulementauxtroisquartss'ilfaittrèsfroid. Cecipermettral'expansionduliquideencas degel,quipeutendommagerleréservoirs'il estpleinàrasbord.
- Nepasutiliserdeliquidederefroidissement dumoteur(antigel)danslelave-glace.Ilpeut endommagerlesystèmedelave-glaceetla peintureduvéhicule.
Freins
Liquidedefrein

text_image
DOT 3Leréservoirdu maître-cylindredes freinsestremplide liquidepourfreinsDOT3. SereporteràAperçudu compartimentmoteur à la page6-16 pourconnaître l'emplacement du réservoir.
Seulesdeuxraisonsprovoquentlabaissedeniveaude liquidedefrein:
- Leniveaudeliquidedefreinbaisseenraisonde l'usurenormaledesgarnituresdefrein. Lorsque desgarnituresneuvessontposées, leniveaude liquideremonte.
- Unefuitedeliquidedusystème hydrauliquede freinpeutégalement provoquerunebaisse de niveaudeliquide. Faireréparerlesystème hydrauliquedefrein, carunefuitesignifieque tôtoutardlesfreinsnefonctionnerontplusde manièrecorrecte.
Nepasajouterdeliquidededefrein.L'ajoutdeliquidene supprimerapasunefuite.Siduliquideestajoutéquand lesgarnituresdefreinssontusées,leniveaudeliquide seratropélevélorsquedenouvellesgarnituresseront posées.Ajouterouenleverduliquideaubesoin, seulement lorsqu'un travail sur le système hydraulique defreinageestexécuté.

AVERTISSEMENT:
Sitropdeliquidedefreinestajouté, celui-cipeut coulersurlemoteurets'enflammersilemoteur estassezchaud. Vousoud'autrespersonnes pourriezêtrebrûlésetlevéhiculepourraitêtre endommagé. Ajouterduliquidedefreins seulement lorsquedestravauxsonteffectuéssur lesystème hydrauliquedefreinage. Sereporter à « Vérificationduliquidedefrein » dans cette section.
SereporterauProgrammed'entretienafinde déterminer quand vérifier le liquide de frein. Se reporter àlarubriqueEntretienprévuàlapage7-3.
Vérificationduliquidedefrein
Contrôlerleliquidedefreinenexaminantleréservoirde liquide de frein. Se reporter à Aperçu du compartiment moteuràlapage6-16.
Leniveaudeliquidedevraitêtreau-dessusdurepère MIN(minimum)duréservoir.S'ilnel'estpas,faire vérifierlesystèmehydrauliquedefreinagepour déterminers'ilyaunefuite.
Lorsqueletravailestterminésurlecircuitde freinage hydraulique, s'assurer que le niveau du liquidesetrouveentrelesrepèresMIN(minimum) etMAX(maximum).
Liquideapproprié
UtiliseruniquementduliquidedefreinDOT3neuf provenantd'unrécipientscellé.SereporteràLiquides etlubrifiantsrecommandésàlapage7-10.
Nettoyertoujourslebouchonduréservoirdeliquidede freinainsiquelasurfaceautourdubouchonavantde l'enlever.Celaaideraàempêcherlasaletédepénétrer dansleréservoir.

AVERTISSEMENT:
Lesfreinsrisquentdenepasfonctionner correctementsiunliquideincorrectestutilisépour lecircuithydrauliquedefreinage. Cecipourrait provoquerunaccident. Toujoursutiliserleliquide defreinadéquat.
Remarque:
• L'emploi d'un liquide incorrectrisque d'endommagersérieusement les composants dusystème hydrauliquede freinage. Ils suffit pare exemple quelqueques gouttes d'une huile à baseminérale, comme del 'huile-moteur, tombent dans les système hydraulique defreinage pour rendommager les pièces decesystème au point dédevoir les remplacer. Nelaisser personne ajouter un typed reliquide incorrect.
- Sivousrenversezduliquidedefreinsurles surfacespeintesduvéhicule, lapeinturede finitionpeutsedégrader. Prendresoindene pasrenverserduliquidedefreinsurvotre véhicule. Sicelaseproduit, nettoyer immédiatement. Sereporterà Lavagedu véhicule à la page 6-111.
Usuredesfreins(saufmodèlesZR1)
Levéhiculeestpourvudefreinsàdisque.Les plaquettesdefreinsàdisqueontdesindicateurs d'usureintégrésquifontunbruitstridentenguise d'avertissementquandlesplaquettesdefreinssont uséesetdoiventêtreremplacées.Lebruitpeutêtre permanentouoccasionnellorsquelevéhiculeroule, sauflorsd'unepressionfermedelapédaledefrein.

AVERTISSEMENT:
L'alertesonored'usuredefreinsignifiequeles freinsvontbientôtperdreleurefficacité. Cecipeut causerunaccident. Faireréparerlevéhiculedès quevousentendezcettealertesonore.
Remarque:Sivouscontinuezàconduirealorsque lesplaquettesdefreinssontusées,cecipeut entraînerdesréparationsdefreinscoûteuses.
Certainesconditionsdeconduiteouclimatiques peuventproduireuncrissementdesfreinslorsquevous serrezlesfreinspourlapremièrefoisoulègèrement. Cecrissementn'estpasunsigned'unedéfaillancedes freins.
Lesgarniturespourlesdeuxrouesdumêmeessieu devraienttoujoursêtreremplacéesensemble.
Usuredesfreins (uniquementmodèlesZR1)
LemodèleZR1 nepossèdepasd'indicateursd'usure desplaquettesdefrein. Unevérificationpériodiquedes plaquettesestdoncrequisepoursavoirquandles remplacer.
Remarque:Sivouscontinuezàconduirealorsque lesplaquettesdefreinssontusées,cecipeut entraînerdesréparationsdefreinscoûteuses.
• S'assurerquelesfreinsontsuffisammentrefroidi, puisserrerlefreindestationnement.

- Pour l'examen, observer à traverschaquerouen examinantles plaquettes extérieures.
• L'épaisseurdesplaquettesneuvesestde10mm. Quandelleestréduiteà2mm,lesplaquettes doiventêtreremplacées.
- Vérifieraussil'épaisseurdesplaquetteslorsdu remplacementdespneus.

LesmodèlesZR1 sont égalementéquipés de capteursélectroniques d'usuredesplaquettes de freins. Lorsquelesplaquettessontusées, lemessage CHANGEBRAKEPADS (changerlesplaquettes defreins) s'affichesurlecentralisateurinformatique debord. Sereporter à Centralisateurinformatiquede bord - Avertissements et messages à la page 4-57.
Certainesconditionsdeconduiteouclimatiques peuventproduireuncrissementdesfreinslorsquevous serrezlesfreinspourlapremièrefoisoulégèrement. Cecrissementn'estpasunsigned'unedéfaillancedes freins.
Lesgarniturespourlesdeuxrouesdumêmeessieu devraienttoujoursêtreremplacéesensemble.
Usuredesrotorsdefrein
LesmodèlesZR1 sont équipésderotorsdefreinen céramique. Uneinspectiondesrotorsdevraitêtre effectuéelorsquelesplaquettesdefreinssont remplacées. Lesrotorsdoiventaussiêtrepesésavant deremplacerlesplaquettesdefreinsafindevérifier quelamassedurotrestsupérieureàlamasse d'usureindiquéesurlerotor. Lerotorpeutêtreréutilisé sisonpoidsestsupérieuràlamasselimite. Pourplus derenseignementssurlesméthodesd'inspectionet depesagedesrotors, consulterlemanueld'entretien. Sereporteràlarubrique Renseignementssurla commandedeguidesderéparationàlapage8-20.
Protectionderotordefrein

AVERTISSEMENT:
Lesrotorsencéramiquepeuventêtretrèschauds aprèsutilisationetpourraientprovoquerdes brûluressivouslestouchez. S'assurerd'abord quelesystèmedefreinageestcomplètement froidavantd'installerlaprotectionoudetoucher lesrotors.
Remarque: Lesrotorspeuvents' ébréchers'ils entrenten contact brutalement aveclarouelors de ladéposeoudel'installation d'uneroue. Toujours utiliser les protections derotor. S'assurer desuivre les instructions pour ladépose oul'installation d'uneroue à la lettre.

Uneprotectionderotordoittoujoursêtreinstalléeavant dechangeruneroue. Laprotectionpeutêtreinstallée enlafaisantpasserparlesailettesdelaroueetenla faisantglisserpar-dessuslebordextérieurdurotor. Laisserlaprotectionenplace, au-dessusdubord extérieurdurotor, jusqu'àcequelarouesoitréinstallée. Lesprotectionsderotordefreinsontdisponibleschez votreconcessionnaire.
Coursedelapédaledefreinage
Consultervotreconcessionnairesilapédaledefreins nerevientpasàsahauteurnormaleous'ilyaune augmentationrapidedesacourse. Cecipourrait indiquerquelesfreinsdoiventêtrecontrôlés.
Réglagedesfreins
Àchaquefreinage, les freins à disques' ajustent automatiquement pour compenser l'usure.
Remplacementdespiècesdusystème defreinage
Lesystèmedefreinaged'unvéhiculeestcomplexe. Sesnombreusespiècesdoiventêtredequalité supérieureetdoiventbienfonctionnerensemblepour assureruntrèsbonfreinage. Votrevéhiculeaétéconçu ettestéavecdespiècesdefreinsdequalitésupérieure.
Lorsquevousremplacezdespiècesdusystèmede freinage — par exemple quand les garnitures de freins sont usées et que des neuves sont posées — s'assurer d'obtenirdespiècesderechangeneuvesapprouvées. Fautedequoi,lesfreinspeuventneplusfonctionnerde manièrecorrecte. Parexemple,sidesgarnituresde freinsquineconviennentpasàvotrevéhiculesont installées,l'équilibrageentrelesfreinsavantetarrière peutchanger—pourlepire.L'efficacitédufreinage quevousattendezpeutchangerdebiend'autres façonssidespiècesderechangeincorrectessont posées.
Batterie
Sereporteraunuméroderemplacementdel'étiquette delabatteried'originelorsqu'unenouvellebatterieest nécessaire.
Pourleremplacementdelabatterie, consultervotre concessionnaireousereporteraumanuelde réparation. Pourvousprocurerunmanuelde réparation, sereporterà Renseignementssurla commandedeguidesderéparation à lapage 8-20.

DANGER:
Lesbornesdebatterie, lescossesainsiqueles accessoiresconnexescontiennentduplombet descomposésdeplomb, desproduitschimiques quelaCaliforniereconnaîtcomme étant cancérigènesetnuitàlareproduction. Selaver lesmainsaprèsavoirmanipulécespièces.
Entreposageduvéhicule

AVERTISSEMENT:
Lesbatteriescontiennentdel'acidequipeutvous brûleretdesgazquipeuentexploser. Vous pouvezêtregravementblessésivousn'yprêtez pasattention.SereporteràDémarrageavec batterieauxiliaire àlapage6-60 pourlesconseils detravailàproximité d'unebatteriesansrisque deblessures.
Utilisationpeufréquente: débrancherlecâblenoir négatif(-)delabatterieafind'évitersadécharge.
Seréférerà «Réinitialisation des glaces à commande électrique » sous Glaces électriques à lapage 3-19.
Entreposageprolongé:retirerlecâblenoirnégatif(−) delabatterieouutiliserunchargeuràrégimelent.
Démarrageavecbatterieauxiliaire
Silabatterieestàplat,ilestpossiblededémarrerle véhiculeenreliantlabatterieàcelled'unautrevéhicule avecdescâblesvolants.Lesindicationsquisuivent vouspermettrontd'effectuercettemanoeuvreentoute sécurité.

AVERTISSEMENT:
Lesbatteriespeuventvousblesser. Ellespeuvent êtredangereusesparceque:
- Ellescontiennentdel'acidequipeutvous brûler.
- Ellescontiennentdugazquipeutexploserous'enflammer.
- Ellescontiennentsuffisammentd'électricité pourvousbrûler.
Sivousnerespectezpasexactementcesétapes, certainsoutouscesélémentspeuventvous blesser.
Remarque: Levéhiculepeutsubirdesdommagessi l'on essaie de le faire démarrer en le poussant ou en letirant. Nepaspoussernitirerlevéhiculepourle fairedémarrer; suivreplutôtlaprocédurede démarrageaveccâblesd'appointprésentéedansce manuelpourfairedémarrerlevéhiculelorsquela batterieestàplat.
- Vérifierl'autrevéhicule. Il doit avoir unebatteriede 12 volts ainsi qu'un système demassenégative.
Remarque: Sil'autresystèmeduvéhiculen'estpas unsystème à 12 volts avec une prisedemasse négative, les deux véhicules risquent d'être endommagés. N'utiliser quedes véhicules ayant dessystèmes à 12 volts avec prisedemasse négative pour faire une connexion provisoire delabatterieduvéhicule.
- Rapprocherlesvéhiculesuffisammentpourque lescâblesvolantspuissentêtreàlaportée, mais s'assurerquelesvéhiculesnesetouchentpas. Lecaséchéant, celaprovoquerauneconnexion demassedontvousnevoulezcertainementpas. Vousnepourriezfairedémarrervotrevéhiculeetla mauvaisemiseàlamassepourraitendommager lessystèmesélectriques.
Pouréviterquelesvéhiculesutilisésdans l'opérationbougent,tirerfermementleurfrein destationnement.Avantdeserrerlefreinde stationnement,mettrelelevierdevitessesàla positiondestationnement(P),danslecasd'une boîteautomatique,ouàlapositiondepoint mort(N)danslecasd'uneboîtemanuelle.
Remarque:Sivouslaissezlaradiooud'autres accessoiresenfonctionaucoursdelaprocédure dedémarrageparcâbles,ilspourraientêtre détériorés.Lesréparationsneseraientpas couvertesparvotregarantie.Mettretoujoursla radioetlesautresaccessoireshorsfonctionlors d'undémarrageàl'aidedecâbles.
- Couperlecontactdesdeuxvéhicules. Débrancher toutaccessoireinutiledel'allume-cigaretteoudela priseélectriquepouraccessoires(lecaséchéant). Éteindrelaradioettoutesleslampesinutiles. Cela permettrad'éviterdesétincellesetdesdommages auxdeuxbatteries,ainsiquedesdommagesàla radio!
- Ouvrirlescapotsetrepérerl'emplacementdes bornespositives(+)etnégatives(-)surchaque véhicule.

Lemoteur6,2LLS3estillustré, lesmoteurs7,0LLS7et6,2LLS9sont similaires
Votrevéhiculedisposed'unebornepositive(+)à distance(A)etd'unebornenégative(-) à distance(B),commeillustré,quidoiventêtre utiliséespourdémarrervotrevéhiculeàl'aide d'unebatterieauxiliaire.
Pouraccéderàlabornepositive(+)àdistance(A), ouvrirlecouvercledubloc-fusiblesdu compartiment-moteur.
Labornenégative(-)àdistance(B)setrouve souslecouvre-moteur, souslebouchonde remplissaged'huilemoteur.
Pourconnaîtrel'emplacementdubloc-fusibles ducompartiment-moteuretlebouchonde remplissaged'huilemoteur,sereporteràla rubriqueAperçuducompartimentmoteur à la page6-16.
Iln'estpasnécessaired'accéderàlabatterie pourdémarrerlemoteuràl'aided'unebatterie auxiliaire.Lesbornesàdistancesontprévuesà ceteffet.

AVERTISSEMENT:
Unventilateurélectrique peut commencer à tourner, mêmesilemoteurestarrêté, et vous blesser. Garder les mains, les vêtement set les outils à l'écart des ventilateurs.

AVERTISSEMENT:
L'utilisationd'uneallumetteprèsd'unebatterie peutprovoqueruneexplosiondesgazdebatterie. Despersonnesontétéblesséesparces explosionsetquelques-unessontmême devenuesaveugles.Utiliserunelampedepoche sivousavezbesoindeplusd'éclairage.
S'assurerquelabatteriecontientassezd'eau. Vousn'avezpasbesoind'ajouterd'eauàla batterieinstalléedansvotrevéhiculeneuf. Cependant,siunebatterieadesbouchonsde remplissage,s'assurerquelaquantitédeliquide contenueestadéquate.Sileniveauestbas, ajouterd'aborddel'eau.Sivousnelefaitespas, ilpourraityavoirdesgazexplosifs.
Leliquidedebatteriecontientdel'acidequipeut vousbrûler. Il fautéviterdeletoucher. Sipar mégardevousenéclaboussezdanslesyeuxou surlapeau, rinceràl'eaufaireimmédiatement appelàunmédecin.

AVERTISSEMENT:
Lesventilateursetautrespiècesmobilesdu moteurpeuventprovoquerdegravesblessures. Garderlesmainsàl'écartdespiècesmobiles lorsquelemoteurtourne.
- S'assurerquel'isolantdescâblesvolantsn'estpas lâcheoumanquant. Lecaséchéant, vouspourriez recevoirunchoc. Lesvéhiculespourraient égalementêtreendommagés.
Avantdebrancherlescâbles, voiciquelques élémentsdebaseàconnaître. Lepositif(+) iraau positif(+) ouàunebornepositive(+) auxiliairesile véhiculeenestdoté. Labornenégative(-) sera reliée à unepiècemétalliquelourdenonpeintedu moteurouàunebornenégative(-) auxiliairesile véhiculeenestéquipé.
Nepasrelierlabornepositive(+)àlaborne négative(-)souspeinedecauseruncourt-circuit quipourraitendommagerlabatterieet d'autrespièces.Nepasbrancherlecâble négatif (-) à la borne négative (-) de la batterie déchargéesouspeinedeprovoquerdesétincelles.
-
Brancherlecâblerougepositif(+)surlaborne positive(+)delabatteriedéchargée.Utiliserune bornepositive(+)auxiliairesilevéhiculeestainsi équipé.
-
Nepaslaisserl'autreextrémitétoucherlemétal. Larelieràlabornepositive(+)delabatterie chargée.Utiliserunebornepositive(+)auxiliairesi levéhiculeestainsiéquipé.
-
Àprésent, brancher lecâblenoirnégatif(-) à la borne négative (-) de la batterie chargée. Utiliser unebornenégative(-) auxiliairesilevéhiculeen estéquipé.
Empêcherl'autreextrémitéducâbled'entreren contactavecunautreélémentavantl'étape suivante. L'autreextrémitéducâblenégatif(-)ne doitpasêtrereliéeàlabatteriedéchargée. Elle doitêtrereliéeàunepiècedemoteurenmétal solidenonpeinteouàlabornenégative(-) auxiliaireduvéhiculedontlabatterieest déchargée.
-
Brancherl'autreextrémitéducâblenégatif(-) d'aumoins45cm(18po)delabatterievide, mais pasàproximitédespiècesmobilesdumoteur. Laconnexionélectriqueconvienticietlerisque d'étincelles touchant la batterie est moindre. Votrevéhiculeestéquipéd'uneborneàdistance négative(-)àcetteffet.
-
Démarrerlevéhiculedépannageetlaisserson moteurtournerpendantquelquesinstants.
-
Essayerdefairedémarrerlevéhiculedontla batterieétaitdéchargée. S'ilnedémarrepasaprès quelquesessais, levéhiculedoitêtreréparé.
Remarque:Silescâblesvolantsnesontpas raccordésoudéposésdanslebonordre,un court-circuitélectriquepeutsurveniret endommagerlevéhicule.Lesréparationsne seraientpascouvertesparlagarantieduvéhicule. Toujoursraccorderetdéposerlescâblesvolants dansl'ordrecorrect,ens'assurantquelescâbles nesetouchentpasetqu'ilsnesontpasencontact avecuneautrepiècemétallique.

flowchart
graph TD
A["Component A"] -->|①| B["Component B"]
B -->|②| C["Component C"]
C -->|③| D["Component D"]
D -->|④| E["Component E"]
A --> F["Component F"]
F --> G["Component G"]
Retraitdescâblesvolants
A. Pièceen métalsolidenonpeintedumoteurou bornenégative(-)éloignée.
B. Batterieenbonétatoubornespositive(+)et négative(-)auxiliaire.
C.Batteriedéchargéeoubornepositive(+)éloignée
Pourdébrancherlescâblesvolantsdesdeuxvéhicules, procédercommesuit:
- Débrancherlecâblenoirnégatif(-)duvéhicule dontlabatterieestdéchargée.
-
Débrancherlecâblenoirnégatif(-)duvéhicule dontlabatterieestchargée.
-
Débrancherlecâblerougepositif(+)duvéhicule dontlabatterieestchargée.
- Débrancherlecâblerougepositif(+)del'autre véhicule.
- Remettrelecouvercledubloc-fusiblesdumoteur enplace.
- Il peut également s'avérernécessaired'initialiser les glaces électriques. Pour plus d'informations, sereporter à larubrique « Initialisation delaglace électrique » dans la section Glaces électriques page 3-19.
Essieuarrière
Intervalledevérificationdulubrifiant
Il n'est pas nécessaire de vérifier régulièrement le lubrifiantdel'essieuarrière, saufsivoussoupçonnezla présenced'unefuiteousivousentendezdesbruits inhabituels. Unepertedelubrifiantpeutsignalerun problème. Faireinspectetertréparerlevéhicule.
Vérificationduniveaudelubrifiant

Pourobtenirunelectureprécise,levéhiculedoitêtre stationnésurunesurfaceplate.
Sileniveausesitueau-dessousdubasdel'orificede remplissage,ilestnécessaired'ajouterdulubrifiant. Ajoutersuffisammentdelubrifiantpouramenerle niveauaubasdel'orificederemplissage.
Utilisercequisuit
Pourajouterdulubrifiantlorsqueleniveau estbas,utiliserlelubrifiantpourengrenages DexronLS75W-90(nodepiècGMÉ.-U.88862624, Canada88862625)conformeàlanormeGM9986290. Pourunremplissagecompletapréslavidange,se reporteràLiquidesetlubrifiantsrecommandés à la page7-10 .Ajouterensuitedulubrifiantsynthétiquepour engrenagesjusqu'aubasdel'orificedubouchonde remplissage.
Réglagedelaportéedes phares
Leréglagedespharesaétéeffectuéàl'usineetne devraitnécessiteraucunautreajustement.
Cependant, sivotrevéhiculeestendommagédans unecollision, leréglagedespharespeutêtreaffecté.
Leréglagedesfeuxdecroisementpeutêtrenécessaire silesconducteursvenantdesensinversevousfontun appeldephares(pourleréglagevertical).
Silefaisceaudespharesabesoind'unnouveau réglage,ilestrecommandédefaireeffectuercelui-ci parvotreconcessionnaire.
Remplacementd'ampoules
Pourconnaîtreletyped'ampoulederechangeàutiliser, sereporteràlarubriqueAmpoulesderechange à la page6-70.
Pourtoutedirectivederemplacementd'ampoulequi nefigurepasdanscetterubrique,consulter votre concessionnaire.
Éclairageàhauteintensité

AVERTISSEMENT:
Lessystèmesd'éclairageàdéchargeàhaute intensitédesfeuxdecroisementfonctionnent sousunetensiontrèsélevée. Sivousessayez d'intervenirsurl'undescomposantsdeces systèmes, vousrisquezdegravesblessures. Faireréparercessystèmesparvotre concessionnaireouuntechnicienqualifié.
Votrevéhiculeestpeut-êtredotédepharesàdécharge àhauteintensité(HID).Àlasuiteduremplacement de l'ampouled'unphareHID, vous remarquerezquele faisceauestlégèrementdifférentdecequ'il était. C'estnormal.
Ampoulesàhalogène

AVERTISSEMENT:
Lesampouleshalogènescontiennentungaz pressuriséetpeuventéclatersiellestombent ousontgriffées. Desblessurespourraienten découler. Lesconsignesdel'emballagede l'ampouledoiventêtreluesetrespectées.
Phares, clignotantsavantetfeuxde stationnement

text_image
A B CA.Feuxderoute
B.Feuxdecroisement
C. Feudestationnement avant/Feudedirection/Feudecirculationdejour(FCJ)
Silefeudecroisementdoitêtreremplacé, consulter votreconcessionnaire. Sereporteràlarubrique Éclairageàhauteintensité àlapage6-67 pourplus derenseignements.
Pourremplaceruneampouledefeuderouteou defeudestationnement/direction/circulationde jouravant:
- Tournerlevolantpouraccéderaupassage deroue.

- Retirerlestroispincespourdéplacerlepanneau d'accès.
- Retirerlecouvercleextérieur pour accéder à la douilled' ampouledufeuderoute.

-
Retirerl'ampouledu phareenlibérantles languettesextérieures deladouille.
-
Retirerl'ampouledufeudestationnement/direction avantentournantladouilled'ampouleversla gauche.
- Remplacerl'ampouledufeuderouteparune nouvelleampouleetfixerdenouveauàladouille d'ampoule.
Remplacerl'ampouledufeudestationnement/directionavantentournantladouilled'ampoule versladroite.
- Inverserlesétapes2à4pourréinstaller l'ensemble.
Feuxarrière, clignotantsetfeux d'arrêt
Pourremplaceruneampouledefeud'arrêtoudefeu rougearrière/feudedirection:
- Retirerlavissetrouvantsurlapartiesupérieure del'ensembledufeu.

-
Inclinerl'ensembledelampeversvous.
-
Tournerladouilled 'ampouled'unquartdetour verslagaucheetlatirervers l'extérieur.
- Tirerl'ampouledirectementpourlaretirerdela douille.
- Enfoncerlanouvelleampouledansladouille d'ampoulejusqu'àcequ'elles'enclenche.
- Remettrel'ensembledufeuenalignantd'abordles languettesdubasdel'ensembleavecles languettessetrouvantdanslevéhicule, puis glisserl'ensembleenplace.
- Remettrelavissurlapartiesupérieurede l'ensembledufeu.
Ampoulesderechange
| ÉclairageextérieurNuméro | d'ampoule |
| Feudestationnementavant/Feu dedirection/Feudecirculationde jour(FCJ)5702KA | |
| Phare,feuderouteH9 | |
| FeudepositionlatéralW3W | |
| Ampouledufeud'arrêt,dufeu arrièreetdufeudedirection3057KX |
Pourlesampoulesderechangenonénuméréesici, contactervotreconcessionnaire.
Remplacementdepare-brise
Lepare-brisefaitpartiedusystèmed'affichageâtête haute(HUD).Sivousdevezfaireremplacerle pare-brise,s'assurerquelenouveaupare-briseest conçupourlesystèmed'affichageâtêtehaute.Dansle cascontraire,l'imagedusystèmedevisualisationtête hauterisqued'etrefloueoudemanquerededéfinition.
Remplacementdelaraclette d'essuie-glace
Vousdevezinspecterpériodiquementleslamesdes essuie-glacesàlarecherched'usureetdefissure. Pour plusd'informations, sereporteràlarubrique Entretien prévuàlapage 7-3.
Ilexistediverstypedebalaisderechangequel'on enlèvedemanièredifférente. Pourtrouverlalongueur etletypeappropriés, sereporterà Piècesde remplacementd'entretien àlapage7-12 .
Ilestconseillédenettoyerouremplacerlesbalais d'essuie-glacetouslessixmois.Lepare-brisepeut subirdesdommagessilebrasdubalaid'essuie-glace letouchealorsqu'iln'estpasmunidesonbalai. Lesdommagesneseraientalorspascouvertsparla garantie.Nepaslaisserlebrasdubalaid'essuie-glace toucherlepare-brise.
Pourremplacerl'ensembledebalaid'essuie-glace:
-
Ouvrirlecapotpouraccéderauxessuie-glaces.
-
Souleverlebrasd'essuie-glacedupare-brise.

-
Appuyersurlapattedeverrouillagedupivotde l'ensembledelame(C). Tirerl'ensembledelame verslebas(A) pour le libérer ducrochetdubras d'essuie-glace(F).
-
Retirerlapiècerapportéedel'ensembledebalai d'essuie-glace(A).
Lapiècerapportéeestmuniededeuxencochesà uneextrémité,verrouilléesparlesgriffesdubasde l'ensembledelame.Àl'extrémitéavecencoches, tirersurlapiècerapportéepourlaretirerde l'ensembledelame.
Procédured'installationdelapiècerapportéedunouvel essuie-glace:

text_image
A B C D-
Faireglisserlapiècerapportée(D), extrémité avecencochesendernier, dans l'extrémité muniededeuxgriffesdelame(A). Faireglisser complètementlapiècerapportéédanslesgriffes delame à l'autre extrémité(B). Leschapeauxen plastique(C) s'enlèventlorsquelapiècerapportée est complètementinsérée.
-
S'assurerquelesencochessontverrouilléespar lesgriffesdubas. S'assurerquetouteslesautres griffessontbienverrouilléesdesdeuxcôtésdes fentesdelapiécerapportée.
-
Placerlepivotdel'ensemblédelamedansle crochetdubrasd'essuie-glace. Tirerverslehaut jusqu'àcequelapattedeverrouillagedupivotse bloquedanslafenteducrochet.
-
Abaisserdoucementl'ensemblédubrasetdela lamed'essuie-glacesurlepare-brise.
Guided'installation:

Votrevéhiculeneufestéquipédepneusdehaute qualitéfabriquésparundesplusimportants manufacturiersdepneus.Sivousavezdes questionsàposerausujetdelagarantiedevos pneusousivousdésirezsavoiroufaireeffectuer leur entretien, consulter le guide de garantie du véhiculepourobtenirdeplusamplesdétails. Pourdeplusamplesinformations,sereporter aumanufacturierdespneus.
⚠ AVERTISSEMENT:
- Despneusmalentretenusou incorrectementutiliséssontdangereux.
- Lasurchargedespneuspeutlesfaire surchaufferparsuitedefriction excessive. Ilspourraientperdredel'airet provoquerunaccidentgrave. Sereporter àlarubrique Chargementduvéhicule à la page 5-32.
.../
AVERTISSEMENT:(suite)
- Despneussous-gonflésposentlemême dangerquedespneussurchargés. Ceci pourraitentraînerunaccidentquipourrait causerdesblessuresgraves. Vérifier fréquemmenttouslespneusafinde maintenirlapressionrecommandée. Lapressiondespneusdoitêtrevérifiée quandlespneussontfroids. Voir Gonflement-Pressiondespneus à la page6-85.
.../
AVERTISSEMENT:(suite)
- Lespneussurgonfléssontplus susceptiblesd'êtrentaillés,crevésou ouvertssousunimpactsoudain,comme quandvouspassezsurunnid-de-poule. Garderlespneusàlapression recommandée. - Lespneusvieuxetuséspeuventcauser desaccidents.Silabandederoulement despneusesttrèsuséousilespneus ontétéendommagés,lesremplacer.
Sereporteràlarubrique Fonctionnement hautevitesse àlapage6-87 pourconnaîtrele réglagedepressiondegonflagepourla conduiteàhautevitesse.
Pneuhauteperformanceàprofilbas
Lespneusd'originedevotrevéhiculesontclassés parmilespneushauteperformanceàprofilbas. Ilssontconçuspourprocurerunetrèsgrande maniabilitésurchausséemouilléeousèche.Ilse peutégalementquevousnotiezquelespneusà profilbassontplusbruyantsetqu'ilss'usentplus rapidement.
Remarque:Lespneusàprofilbassontplus susceptiblesd'êtreendommagésparles avariesroutièresresetlesimpactssurlabordure delachausséequelespneusàprofil standard.Lesdommagesauxpneusetaux ensemblesderouepeuentsurvenirparsuite d'uncontactavecdesimperfectionsoudes obstaclessurlachaussée,commedesnids depoule,oudesobjetstranchants,oudu frottementsurunebordure.Lagarantiene couvrepascegenrededommage.Vousdevez maintenirlapressiondegonflageappropriée et,autantquepossible,éviterlecontactavec lesbordures,lesnidsdepoule,etautres avariesroutières.
Pneusd'hiver
Sivousprévoyezconduirevotrevéhiculesouventsur desroutesenneigéesouglacées, il peut être préférable defaireposerdespneus d'hiver à vot revéhicule. Les pneusquatresaisonsoffrentunebonne performance généralesurlaplupartdessurfaces, maisils nevous procureront peut-être pas l'atraction que vous aimeriez avoir ou le mêmeniveaude performance que les pneus d'hiversur des routesenneigéesouglacées.
Engénéral,lespneusd'hiversontconçuspour améliorerl'adhérencesurlaneigeetleverglas.Avec lespneusd'hiver,l'adhérencepeutêtrediminuéesur unechausséesèche,augmenterlebruitetréduirela duréedeviedespneus.Aprèslepassageauxpneus d'hiver,resterattentifauxchangementsduvéhiculeet desfreins.
Consulterleconcessionnairepourensavoirplussurla disponibilitédespneusd'hiverainsiquelebonchoix despneus.SereporteraussiàlarubriqueAchatde pneusneufsàlapage6-93.
Sivousoptezpourdespneusd'hiver:
- Utiliserlamêmemarquetlemêmemetypede semellepourlesquatrepneus.
- N'utiliserquedespneusàpliradialdemêmetaille, demêmelimitedechargeetdemêmecotede vitessequelespneusd'origine.
Ilestpossiblequevospneusd'hiverprésentantla mêmecotedevitessequelespneusd'originenesoient pasoffertspourlespneusdontlacôtedevitesseestH, V,W,Y,etZR.Sivouschoisissezdespneusd'hiver présentantunecotedevitesseinférieure,nejamais excéderlavitessemaximaledespneus.
Étiquettesurparoilatéraledupneu
Del'informationutilessurlepneuestmoulédans laparoilatérale. L'exemplesuivantprésenteune paroilatéraledepneucouranted'unevoiturede tourisme.

text_image
TPC SPEC 1109 MS P225/60R16 97S TIRE NAME MANUFACTURER A B C D E F G TRECAVERA 220 TRACTION A TEMPERATURE NATIONAL TURLESSES • DDT • DOT • MAX • LUGO XXX KAZI XXXKAWG • MAX • LUGO XXX KAZI XXXKAWG • MAX • LUGO XXX KAZI XXXKAWG • MAX • LUGO XXX KAZI XXXKAWG • MAX • LUGO XXX KAZI XXXKAWG • MAX • LUGO XXX KAZI XXXKAWG • MAX • LUGO XXX KAZI XXXKAWG • MAX • LUGO XXX KAZI XXXKAWG • Max • LUGO XXX KAZI XXXKAWG • MAX • LUGO XXX KAZI XXXKAWG • Max • LUGO XXX KAZI XXXKAWG • Max • LUGO XXX KAZI XXXKAWG • Max • LUGO XXX KAZI XXXKAWG • Max • LUGO XXX KAZI XXXKAWG • Max • LUGO XXX KAZI XXXKAWG • Max • LUGO XXX KAZI XXXKAWG • Max • LUGO XXX KAZI XXXKAWG • Max •LUGO XXX KAZI XXXKAWG • Max • LUGO XXX KAZI XXXKAWG • Max • LUGO XXX KAZI XXXKAWG • Max • LUGO XXX KAZI XXXKAWG • Max • LUGO XXX KAZI XXXKAWG • Max • LUGO XXX KAZI XXXKAWG • Max • LUGO XXX KAZI XXXKAWG • Max • LUGU XXX KAZI XXXKAWG • Max • LUGU XXX KAZI XXXKAWG • Max • LUGU XXX KAZI XXXKAWG • Max • LUGU XXX KAZI XXXKAWG • Max • LUGU XXX KAZI XXXKAWG • Max • LUGU XXX KAZI XXXKAWG • Max • LUGU XXX KAZI XXXKAWG • Max • LUGU XXX MAX • MAX • LUGU XXX MAX • MAX • LUGU XXX MAX • MAX • LUGU XXX MAX • MAX • LUGU XXX MAX • MAX • LUGU XXX MAX • MAX • LUGU XXX MAX • MAX • LUGU XXX MAX • MAX • LUGU XXX MAX • MAX • LUGU XXX MAX • MAX • LUGU XXX MAX • MAX • LUGU XXX MAX • MAX• LUGU XXX MAX • MAX • LUGU XXX MAX • MAX • LUGU XXX MAX • MAX • LUGU XXX MAX • MAX • LUGU XXX MAX • MAX• LUGU XXX MAX • MAX • LUGU XXX MAX • MAX • LUGU XXX MAX • MAX• LUGU XXX MAX • MAX • LUGU XXX MAX • MAX• LUGU XXX MAX • MAX • LUGU XXX MAX • MAX• LUGU XXX MAX • MAX• LUGU XXX MAX • MAX• LUGU XXX MAX • MAX• LUGU XXX MAX • MAX• LUGU XXX MAX • MAX• LUGU XXX MAX • MAX• LUGU XXX MAX • MAX• LUGU XXX MAX • MAX• LUGU XXX MAX • MAX• LUGU XXX MAX • MAX• LUGU XXX MAX • MAX• LAUTURE 220 TRACTION A TEMPERATURE A B C D EExemplé d'unpneudevéhiculedetourisme (P-Metric)
(A)Dimensionsdupneu:Lecodede dimensionsdupneuestunecombinaison delettresetdechiffresquidéfinitlalargeur, lahauteur,lerapportd'aspect,letypede construction, et la description d'utilisation d'un pneu.Sereporteràl'illustration«Codede dimensiondupneu»plusloindanscettesection pourdeplusamplesdétails.
(B)CodeTPC(TirePerformanceCriteria) (critéredeperformed'unpneu) :Lespneus d'originemontéssurlesvéhiculesGMrépondent aux exigencesdeperformanceétabliesparGMet lecodeTPCquiestmoulésurleursflancs.Ces exigencesdeperformancerespectentlesnormes desécuritéétabliesparlegouvernementfédéral.
(C)DOT(DepartmentofTransportation) (ministèredesTransportsdesÉtats-Unis) : LecodeDOTindiquequelepneurépondaux normesdesécuritédesvéhiculesàmoteur établiesparleministèredestransportsdes États-Unis.
(D) TireIdentificationNumber(TIN)(numéro d'identificationdupneu) :Leslettresetles chiffresàlasuiteducodeDOT(ministèredes TransportsdesÉtats-Unis)représententle numérod'identificationdupneu.Cenuméro indiquelenomdufabricantetlecoded'usine, lesdimensionsdupneuetsadatedefabrication. Ilestmoulésurlesdeuxflancsdupneu,mêmesi unseulcôtéporteladatedefabrication.
(E)Compositiondelacarcassedupneu :Type decâbleetnombredeplissurlesflancsetsous labandederoulement.
(F)NormesUTQG(UniformTireQuality Grading)(systèmedeclassementuniformede laqualitédespneus) :Lesfabricantsdepneus doiventcoterlespneusenfonctiondetrois facteursdeperformance:l'usuredelabande deroulement,l'adhérenceetlarésistanceaux températures.Pourplusderenseignements,se reporteràlarubriqueClassificationuniformedela qualitédespneus àlapage6-96.
(G)Chargeetpressiondegonflagemaximales àfroid :Chargemaximalequelepneupeut transporteretpressionmaximaledupneu nécessairepoursoutenircettecharge.
Dimensionsdespneus
L'illustrationsuivanteconcerneunexemplede dimensiondepneutypique(pneumétrique)de voituredetourisme.

text_image
P225/60R16 97S A B C D E F(A)Pneudetourisme(grandeur«P-Metric»): Versionaméricainedusystèmededimensions métriques.LalettrePinitialeindiqueunpneude voituredetourismeconformeauxnormesdela TireandRimAssociation(l'associationaméricaine depneuetdejante)américaine.
(B)Largeurdesection :Mesure(troispremiers chiffres)indiquantlalargeurdesectiondupneu enmillimètresd'unflancàl'autre.
(C)Rapportd'aspect :Nombreàdeuxchiffres indiquantlerapporthauteur/largeurdupneu.Par exemple,unrapportd'aspectde60,telqu'indiqué aurepèreCdel'illustration,signifiequelahauteur dupneuéquivautà60%desalargeur.
(D)TypedConstruction : Lettreutiliséepour indiquerletypedeconstructiondelacarcassedu pneu. LalettreRindiquequ'ils'agitd'unpneuà structureradiale, lalettreDindiquequ'ils'agitd'un pneuàstructurediagonale, lalettreBindiquequ'il s'agitd'unpneuàstructurediagonaleceinturée.
(E)Diamètredejante :Diamètredelaroueen pouces.
(F)Description d'utilisation : Cescaractères indiquent lacapacité de charge et lacotede vitessed un pneu. L'indicede chargere présente lachargenominale approuvée qu'un pneu peut transporter. Lacotedevitesse est lavitesse maximale approuvée à laquelle un pneu peut transporter une charge.
Terminologieetdéfinitionsdepneu
Pression d'air : Force exercée par l'air à l'intérieurdupneuexpriméeenlivresparpouce carré(lb/po ^2 )ouenkilopascals(kPa).
Poidsdesaccessoires :Poidscombinésdes accessoiresenoption.Quelquesexemples d'accessoiresenoption:boîtedevitesses automatique,directionassistée,freinsassistés, lève-glacesàcommandeélectrique,siègesà commandeélectriqueetclimatisation.
Rapportd'aspect : Rapportentrelahauteuretla largeurdupneu.
Ceinture :Ensembledecâblescaoutchoutés situésentrelesplisetlabandederoulement. Cescâblespeuventêtrefaitsd'acieroud'autres matériauxderenforcement.
Talon : Partiedupneucontenantlescâbles d'acieretquis'appuientcontrelajantelorsqu'il estmontésuruneroue.
Pneuàcarcassediagonale :Pneodontlesplis secroisentàunangleinférieurà90°parrapport àl'axelongitudinaldelabandederoulement.
Pressiondespneusàfroid :Quantitéd'air dansunpneu,mesuréeenlivresparpouce carré(lb/po ^2 )ouenkilopascals(kPa), avantquelatempératuredupneun'ait augmentéenraisonduroulement.Sereporterà Gonflement-Pressiondespneus àlapage6-85.
Poidsàvide :Poidstotalduvéhiculecomprenant leséquipementsdesérieetleséquipementsen option,demêmequelacapacitémaximalede carburant,d'huilemoteuretdeliquidede refroidissement,maissanspassagerni chargement.
MarquageDOT :Codemoulésurleflancd'un pneusignifiantqu'ilrépondauxnormesde sécuritédesvéhiculesàmoteurduU.S. DepartmentofTransportation(DOT)(ministère destransportsdesÉtats-Unis).LemarquageDOT comportelenumérod'identificationdupneu,une indicationalphanumériquequiidentifieégalement lefabricant,l'usinedefabrication,lamarqueetla datedefabrication.
PNBV : Poidsnominalbrutduvéhicule. Se reporterà Chargementduvéhicule à lapage 5-32.
PNBEAVANT :Poidsnominalbrutsurl'essieu avant.SereporteràChargementduvéhicule à la page5-32.
PNBEARRIÈRE: Poidsnominalbrutsurl'essieu arrière. Sereporterà Chargementduvéhicule à la page5-32.
Côtéd'installationd'unpneuasymétrique : Côtéd'unpneuasymétriquedevanttoujoursse trouversurlecôtéextérieurduvéhicule.
KiloPascal(kPa) :Unitémétriquepourla pressiond'air.
Pneudecamionnette(grandeur«LT-Metric») : Pneumontésurlescamionnettesetsurcertains véhiculesdetourismemultifonctions.
Indicedecharge : Nombresituéentre1et279et représentantlacapacitédecharged'unpneu.
Pressiondegonflagemaximale :Pressiond'air maximaleàlaquelleunpneufroidpeutêtre gonflé.Lapressiond'airmaximaleestmoulée surleflancdupneu.
Chargemaximale : Limitedechargequ'unpneu gonfléalapressiond'airmaximalepermisepeut supporter.
Poidsmaximalduvéhiculeencharge :Somme dupoidsàvide,dupoidsdesaccessoires,dela capaciténominaleduvéhiculeetdupoidsdes optionsd'usine.
Poidsnormaldesoccupants :Poidsdéterminé parlenombredesièges,multipliépar 68kg(150lb).SereporteràChargementdu véhicule àlapage5-32.
Répartitiondesoccupants :Placesassises désignées.
Côtéd'installationd'unpneuasymétrique : Côtéd'unpneuasymétriquedevanttoujoursre traversurlecôtéextérieurduvéhicule.Côtédu pneudontleflancestblancetquicomportedes lettresblanchesoulenomdufabricant,lamarque et/oulemodèledupneumoulésurlepneuetdont lereliefestplusaccentuéqueceluidesmêmes renseignementsindiquéssurl'autreflanc.
Pneudetourisme(grandeur«P-Metric») : Pneumontésurlesvoituresdetourismeetsur certainsvéhiculesdetourismemultifonctions.
Pressiondegonflagerecommandée :Pression degonflagedespneusrecommandéeparle fabricanttellequ'elleestindiquéesurl'étiquette despneus.SereporteràGonflement-Pression despneus àlapage6-85 etChargementdu véhicule àlapage5-32.
Pneu radial : Pneu dont les plis de la carcasse se croisentàunanglede90°parrapportàl'axe longitudinaldelabandederoulement.
Jante : Supportdemétald'unpneuetsurlequel s'appuieletalon.
Flanc : Partiedupneusituéeentrelabandede roulementetletalon.
Cotedevitesse :Systèmealphanumérique indiquantlacapacitéd'unpneuàrouleraune vitessedéterminée.
Adhérence : Frictionentrelepneuetla chaussée. Degréd'adhérencefournie.
Bandederoulement : Partiedupneuencontact aveclachaussée.
Indicateursd'usure :Mincesbandes,appelées parfoisrepèresd'usure,quiapparaissentsur labandederoulementpourindiquerquela profondeurdessculpturesn'estplusquede 1,6mm(1/16po).Sereporterà Quandfaut-il remplacerlespneus? àlapage6-92.
Normesdequalitédepneusuniformes : Systèmed'informationsurlespneusfournissant auxconsommateursdescotessurlatraction,la températureetl'usuredelabandederoulement despneus.Lescotessontdéterminéespar chaquefabricantdepneus,selonlesprocédures d'essaisgouvernementales.Cescotessont mouléessurleflancdespneus.Sereporterà Classificationuniformedelaqualitédespneus à la page6-96.
Capaciténominaleduvéhicule :Nombre de placesassisesdésignées,multipliépar68kg (150lb),pluspoidsdelachargeétabli.Se reporteràChargementduvéhicule àlapage5-32.
Chargemaximalesurlepneu :Chargeexercée surunpneuenraisondupoidsàvide,dupoids desaccessoires,dupoidsdesoccupantsetdu poidsdelacharge.
Étiquetteduvéhicule :Uneétiquette,apposée enpermanenceàunvéhicule,affichantla capaciténominaleduvéhiculeetindiquantla dimensiondespneusd'origineetlapressionde gonflagerecommandée.Sereporterà «Étiquette d'informationsurlespneusetlechargement» sousChargementduvéhicule àlapage5-32.
Pneusàflancsrenforcés
Votrevéhiculeneufestéquipédepneusàflancs renforcés. IIn'yapasdepneuderechange, ni d'équipement, dechangementdepneuetilest impossiblederangerunpneudanslevéhicule. Lerendementdespneusàflancsrenforcésestsi efficacesansairqu'ilfautuncapteurdepressiondes pneus pour vous avertir qu'il n'y a plus de pression dansunpneu.

AVERTISSEMENT:
Siletémoindefaiblepressiondespneusest affichédanslegrouped'instruments, la maniabilitéduvéhiculeseraréduitedurantdes manoeuvresbrusques. Sivousconduiseztrop rapidement, vousrisquezdeperdrelamaîtrise duvéhicule. Vousouvospassagersrisquez d'êtreblessés. Nepasconduire à unevitesse supérieure à 90km/h (55mi/h) siletémoinde faiblepressiondespneusestaffiché. Conduire prudemmentet vérifierlapressiondespneus dèsquepossible.
Encasdecrevaison, vousn'aurezpasàvousarrêter surleborddelaroutepourchangerlepneu. Vous n'avezqu'àcontinuervotreroute. Parcontre, plusla
distanceseracourteetlavitesseréduite,plusgrandes serontleschancesquevousn'ayezpasàremplacer lepneu.Sivousconduisezavecunpneuàflancs renforcésdégonflépendant40km(25milles)oumoins, àunevitessed'environ90km/h(55mi/h)oumoins, ilestfortpossiblequelepneupuisseêtreréparé. Lerendementdupneudesmodèlescoupé,cabriolet etZ06sansairneserapasaltérésurunedistance de 160km(100milles)àunevitessed'environ90km/h (55mi/h),maisilfaudraensuiteremplacerlepneu. LerendementdupneudesZR1neserapasaltérésur unedistance de 80km(50milles)d'environ90km/h (55mph),maisilfaudraensuiteremplacerlepneu. Unpeugonfléd'airsertdecoussinentrelarouteetla roue.Parconséquent,cecoussinn'existepaslorsque vousconduisezavecunpneudégonflé,essayerd'éviter lesnids-de-poulequipourraientendommagerlaroue, aupointdedevoirlaremplacer.
Certainsrisquesroutierspeuventendommagerunpneu etlerendreirrécupérable. Lesdommagespeuvent mêmeseproduireavantdeconduiresurunpneucrevé. Siunpneuaétéendommagéouquevousavez parcouruunecertainedistanceavecunpneuaflancs renforcés, vérifierauprèsd'uncentrederéparationde pneusàflancsrenforcésautoriséafindedéterminersi le pneu peut être réparé ou doit être remplacé. Pour conserverlacaractéristiquedupneuaflancsrenforcés, touslespneusderechangedoiventêtreàflancs renforcés. Communiquerdèsquepossibleavecle centreGMautoriséouuncentrederéparationde
pneusàflancsrenforcésleplusprèspourune inspectionetuneréparationouunremplacementdu pneu. PourrepérerlecentrederéparationGMou depneusàflancsrenforcésleplusprès,appeler l'assistanceroutière.Sereporteràlarubrique Programmed'assistanceroutière âlapage8-8 pour plusdedétailsconcernantlesnumérosdetéléphone etl'assistanceroutière.

AVERTISSEMENT:
Lespneusàflancsrenforcéssontconstruits différemmentdesautrespneusetpeuvent exploserpendantuneinterventionincorrecte. Vous-mêmeoud'autrespersonnesrisquezdes blessuresvoirelamortsivoustentezderéparer, remplacer,démonteroumonterunpneuaflancs renforcés.Seulunateliercompétentpeutréparer, remplacer,démonteretmonterlespneusàflancs renforcés.
Lestigesdevalvedevospneusàflancsrenforcés sontmuniesdecapteursfaisantpartiedusystème desurveillancedelapressiondespneus(TPMS). SereporteràSystèmedesurveillancedelapression despneus àlapage6-88 .Cescapteurscontiennent despilesconçuespourdurer10ansdansdes conditionsdeconduitenormale.Consulterle concessionnairesivousdevezfaireremplacerune roueoulescapteurs.
Remarque: L'utilisation de mastics liquides peut endommagerlesvalvesdespneusainsiqueles capteursdesurveillancedelapressiondespneus danslevéhiculeàpneusàflancsrenforcés. Ces dégâtsnesontpascouvertsparlagarantie. Nepas utiliserdemasticliquidedanslevéhiculeavec pneusàflancsrenforcés.
Gonflement-Pressiondespneus
Pourbienfonctionner, lapression d'airdespneus doitêtreadéquate.
Remarque:Nepasécouterceuxquidisent qu'unpneusous-gonfléousurgonflénepose pasdeproblème.C'estfaux.Unpneupas assezgonflé(sous-gonflé):
• S'écrasetrop
- Surchauffe
- Subitunesurcharge
• S'useprématurémentouirrégulièrement
• Réduitlamaniabilitéduvéhicule
• Augmentelaconsommationde carburant
Unpneusurgonflé:
• S'useprématurément
• Réduitlamaniabilitéduvéhicule
• Rendlaconduiteinconfortable
- Estplusvulnérableauxdangers routiers
Uneétiquetted'informationspécifiquesurles pneusettlechargementestfixéesurvotre véhicule. Cetteétiquettefournitdesinformations surlespneusd'originedevotrevéhiculeainsique lapressiondegonflagecorrectedespneusà froid. Lapressiondegonflagerecommandéedes pneusàfroidindiquéesurl'étiquettecorrespond àlapressiond'airminimalenécessairepour supporterlacapacitédechargemaximalede votre véhicule.
Pourobtenirplusderenseignementsssurla chargepouvantêtretransportéeparlevéhicule etunexempledel'étiquetted'informationsurles pneusettechargement,sereporteràlarubrique Chargementduvéhicule àlapage5-32 .Lacharge ajoutéeàvotrevéhiculeinfluencelatenuede routeduvéhiculeetleconfortdelasuspension. Nejamaisdépasserlepoidsprévupourlacharge duvéhicule.
Quelleestlafréquencedevérification?
Vérifiervospneusaumoinsunefoisparmois.
Commentprocéderàlavérification
Utiliserunmanomètrepourpneusdepochede bonnequalitépourvérifierlapressiondegonflage despneus.Ilestimpossibledesavoirsila pressiondegonflagedespneusestappropriée uniquementenprocédantàuneinspection visuelle.Lespneusàcarcasseradialepeuvent semblerêtregonflésàlapressionappropriée alorsqu'ilssontenfaitinsuffisammentgonflés. Vérifierlapressiondegonflageappropriées pneusàfroid,c'est-à-direlorsquelevéhicule estimmobiledepuisaumoinstroisheuresou qu'ilaparcouruunedistanceinférieure à 1,6km(1mille).
Retirerlebouchondelatigedevalve.Appuyer fermementlemanomètrepourpneuscontrela valveafindemesurerlapression.Lapression degonflageàfroiddoitcorrespondreàcelle recommandéesurl'étiquetted'informationsurles pneusetlechargement.Sicen'estpaslecas, vousdevezajouterdel'airjusqu'àcevous atteigniezlapressiondegonflagerecommandée.
Sivoussurgonflezlepneu, laisseréchapperde l'airenappuyantsurlatigeen métalaucentre de lavalvedupneu. Vérifierànouveaulapression degonflagedupneu à l'aided'unmanomètrepour pneus.
Remettrelesbouchonsdevalveenplacesurles tigesdevalve. Ilscontribuentàempêcherles fuitesenprotégeantlesvalvesdelasaletéetde l'humidité.
Fonctionnementhautevitesse

AVERTISSEMENT:
Laconduiteàhautevitesse, 160km/h (100mi/h) ouplus, ajouteunecontrainteauxpneus. Une conduiteàhautevitessesoutenueentraîneune accumulationdechaleurexcessive, cequipeut causerunedéfaillancesoudainedespneus. Vous risquez d'avoir une collision et de vous tuer ainsi quedetuerd'autrespersonnes. Certainspneus cotés pour la haute vitesse exigent un réglage de pressiondegonflagepouruneutilisationàhaute vitesse. Lorsquelalimitedevitesseetles conditionsroutièressonttellesqu'ilestpossible deconduireunvéhiculeàhautevitesse, s'assurer quelespneussontcotéspouruneutilisationà hautevitesse, sontenbonneconditionetsont réglésàlabonnepressiondegonflagedespneus froidspourlachargeduvéhicule.
Pourlaconduitedevotrevéhiculeàgrandevitesse, à 282km/h(175mi/h)ouplus,làoulaloilepermet, augmenterlapressionàfroiddechaquepneujusqu'à lapressiondegonflagemaximumindiquéesurleflanc dupneu,ouà265kPa(38lb/po ^2 ),selonl'indicationla plusbasse.Sereporteràl'exempleci-après.Aprèsla conduiteàgrandevitesse,réduirelapressionde gonflageàlapressiondegonflageàfroidindiquéesur l'étiquetted'informationsurlespneusetlechargement. Se reporter à la rubrique Chargement du véhicule à la page5-32 .
Exemple:
Voustrouverezlachargeetlapressiondegonflage maximalesmouléesenpetiteslettressurleflancdu pneu,prèsdureborddejante. Il pourraitindiquerceci: chargemaximalede690kg(1521lb)pressionde gonflagemaximalede300kPa(44lb/po ^2 ).
Pourcetexemple, lapressiondegonflagepourla conduite à grande vitesse serait de 265 kPa (38 lb/po ^2 ).
Lacourseouautreconduitedecompétitionpeut affecterlacouvertureengarantiedevotrevéhicule. Se reporter à votre livret de garantie pour plus de renseignements.
Systèmedesurveillancedela pressiondespneus
Lesystèmedesurveillancedepressiondespneus (TPMS)utiliseunetechnologieradioetdescapteurs pourvérifierleniveaudepressiondespneus. Les capteursTPMSsurveillentlapressiondel'airdansles pneusdevotrevéhiculeettransmettentlesmesuresde pressionàunrécepteursetrouvantdanslevéhicule.
Chaquepneu, y comprisceluidelarouedesecours (selonlecas), doit être vérifié mensuellement à froidet gonflé à lapression recommandé par le constructeur duvéhiculementonnées sur l'étiquetteduvéhicule ou l'étiquettede depressiondegonflagedespneus. (Sivotre véhicule possèdedes pneus detailed différentedecelle indiquées sur l'étiquetteduvéhiculeous sur l'étiquettede pressiondegonflagedespneus, vous devez déterminer lapressiondegonflage correct pources pneus.)
Àtitredefonctionsupplémentairedesécurité, votre véhiculeaétééquipéd'unsystèmedesurveillancede lapressiondespneus(TPMS)quiallumeuntémoinde bassepressiondespneusousiunouplusieurspneus sontsignificativementdégonflé.
Parconséquent, quandletémoindebassepression despneuss'allume, vous devezarrêteretvérifiervos pneusdèsquepossible, etlesgonfleràlapression correcte. Lefaitdeconduireavecunpneudégonfléde manièresignificative, peutentraînerunéchauffement depneuetsadéfaillance. Ungonflementinsuffisant peutégalementtréduirel'économiedecarburantet laduréedeviedelabandederoulement, etpeut empêcherunboncomportementduvéhiculeainsi queréduiresacapacitédefreinage.
VeuilleznoterquelesystèmeTPMSn'estpasun substitutàunentretiencorrectedespneusetqu'ilenva delaresponsabilitéduconducteurdemaintenirune pressioncorrectedespneus,mêmesilesous-gonflage n'apasatteintleniveaudedéclenchementdutémoin debassepressiondespneusTPMS.
Votrevéhiculeestégalement équipéd'untémoin d'anomalieTPMSindiquantlorsquelesystèmene fonctionnepascorrectement. Letémoind'anomalie TPMSestassociéàlalampetémoindebassepression degonflagedespneus. Lorsquelesystèmedétecteur dysfonctionnement, lalampetémoinclignotependant environuneminute, puisrestealluméeenpermanence. Cetteséquencesepoursuitjusqu'auxprochains démarragesduvéhiculependanttouteladuréedu dysfonctionnement.
Lorsqueletémoindedysfonctionnementestallumé, le systèmepeutnepasêtreenmesuredéteterou signalerunebassepressiondegonflagedespneus commeprévu. LesdysfonctionnementsTPMSpeuvent seproduirepourdenombreusesraisons, tellesque l'installationdepneusouderouesderechangeoude typedifférentempêchantlefonctionnementcorrect dusystèmedesurveillancedepressiondespneus. Toujoursvérifierlalampetémoindedysfonctionnement dusystèmedesurveillancedepressiondespneus aprèsleremplacementd'un(e)ouplusieurspneusou rouessurvotrevéhiculeafindevousassurerqueles pneusetrouesderechangepermettentausystème TPMSdecontinueràfonctionnercorrectement.
Sereporteràlarubrique Fonctionnementdud dispositif desurveillancedelapressiondepneu àlapage6-89 pourobtenirdeplusamplesrenseignements.
Commissionaméricainedes communications(FCC)etIndustrieet scienceduCanada
SereporteràÉnoncédefréquenceradio àlapage8-23 pourlesinformationsrelativesàlaPartie15 desrèglementsdelacommissionfédérale descommunicationsdesÉtats-Unisetau RSS-210/211d'IndustrieetScienceCanada.
Fonctionnementdudispositifde surveillancedelapressiondepneu
Levéhiculepeutêtredotéd'unsystèmedesurveillance delapressiondespneus(TPMS).LeTPMSestconçu pouravertirleconducteurencasdebassepression d'unoudeplusieurspneus.LescapteursduTPMSsont montéssurchaqueensemblederoueduvéhicule.Les capteursduTPMSsurveillentlapressiondel'airdans lespneusduvéhiculeettransmettentlesmesuresde pressionàunrécepteursetrouvantdanslevéhicule.

Quandunebasse pressiondepneuest détectée, le TPMSallume letémoindebasse pressiondepneudu tableaudebord.
Simultanément, unmessagedevérificationdepression s'affiche au centralisateur informatique de bord (CIB). Letémoinetlemessagesontmisenfonctionàchaque cycle d'allumage jusqu'au gonflage des pneus. LapressiondespneusestaffichéeauCIB. Pour plus d'informations, consulter Fonctionnement et affichages ducentralisateurinformatiquedebord àlapage4-50 et Centralisateurinformatiquedebord-Avertissementset messagesàlapage4-57.
Letémoindefaiblepressiondespneuspeuts'allumer partempsfroid, lorsdupremierdémarrageduvéhicule, puiss'éteindredèsquevouscommencezàrouler. Ceci peutêtreunepremièreindicationquelapressiond'air dansle(s)pneu(s)diminueetqu'ilconvientdele(s) gonfleràlapressioncorrecte.
Uneétiquetted'informationsurlespneusetle chargement,apposéesurvotrevéhicule,indiquela tailledespneusd'originedevotrevéhiculeetla pressiondegonflagecorrectàfroid.Sereporterà Chargementduvéhicule àlapage5-32 pourun exempled'étiquetted'informationsurlespneus etlechargementainsiquepourconnaîtreson emplacementsurvotrevéhicule.Sereporterégalement àGonflement-Pressiondespneusàlapage6-85.
Lesystèmedesurveillancedepressiondespneusde votrevéhiculepeutvousavertirencasdefaible pressiond'unpneu, maisneremplacepasl'entretien normaldespneus. SereporterauxrubriquesInspection etpermutationdespneus àlapage6-91 , Quandfaut-il remplacerlespneus? àlapage6-92 , etPneus à la page6-74 .
Remarque: Lesenduitsd'étanchéitéliquides peuventendommagerlescapteursdusystème desurveillancedelapressiondespneus(TPMS). Cesdégâtsnesontpascouvertsparlagarantie. Nepasutiliserd'enduitsd'étanchéitéliquides.
TémoinetmessagedepanneTPMS
LeTPMSfonctionnemalsiunouplusieursdes capteursTPSMmanqueouestenpanne.Encas depanne,letémoidebassepressiondespneus clignotependantenvironuneminutepuisresteallumé pendantleresteducycled'allumage.Unmessage d'avertissement s'affiche également au CIB. Le témoin debassepressiondespneusetlemessage d'avertissementauCIBs'allumentàchaquecycle d'allumagejusqu'àlasolutionduproblème.Certaines causesd'éclairementdumessageetdutémoinsont lessuivantes:
- Laprocédured'appariementdecapteurTPMS n'apasétéeffectuéecorrectement.Lemessage auCIBs'éteintaprésuneopérationréussie d'appariementdecapteur.
-
UnouplusieurscapteursTPMSmanquentousont endommagés.Danscecas,letémoindepannedu TPMS(témoind'avertissementdebassepression despneus)s'allumeetsimultanémentlemessage s'afficheauCIB.Lemessageetletémoin s'éteignentquandlescapteursTPMSsonten placeetquelaprocédured'appariementde capteuraréussi.
-
Lespneusoulesrouesderechangene correspondentpasàl'équipementd'originede votre véhicule. Desrouesetpneusdifférentsque ceuxrecommandéspourvotre véhiculepeuvent empêcherunfonctionnementcorrectduTPMS. VoirAchatdepneusneufsàlapage6-93.
- Desdispositifsélectroniquesvoisinsutilisantdes radiofréquencessimilairesàcelleduTPMS peuventperturberlefonctionnementdescapteurs.
Encasdepanne, le TPMSnepeutdétecterousignaler unepressioninsuffisantedespneus. Consulter votre concessionnairesilemessagedepannedeTPMSou lesmessagesauCIBs'allumentetrestentallumés.
Processusd'appariementde capteurTPMS
Chaquecapteurpossèdeuncoded'identification unique. Chaquefoisquevousremplacezunou plusieurs descapteursouquevouspermutezles rouesduvéhicule, lescodesd'identificationdoivent êtreappariéspourlanouvellepositionderoue. Les
capteurssontappariésauxpositionsderouedans l'ordresuivan:côtéconducteurpneuavant,côté passagerpneuavant,côtépassagerpneuarrière,côté conducteurpneuarrière,enutilisantunappareilde diagnosticdecapteurdepressiondepneu.Consulter votreconcessionnaireGMpourl'intervention.
Inspectionetpermutationdespneus
Nousvousrecommandonsd'inspecter régulièrementlespneusduvéhiculeafinde vérifiers'ilsnesontpasusésouendommagés. Vérifierégalement silesrouesnesontpas endommagées. Sereporterà Quandfaut-il remplacerlespneus? àlapage6-92 et Remplacementderoue àlapage6-98.
Lespneusavantetarrièredevotrevéhiculesont dedimensionsdifférentes. Decefaitilsnedoivent pasêtrepermutés. Chaquepneuetrouenedoit êtreutiliséquedanssapositiond'origine.
Quandfaut-ilremplacerlespneus?
Diversfacteurstelsquel'entretien,lestempératures,la vitesseduvéhicule,lechargementduvéhiculeetles conditionsdecirculationinfluentsurl'usuredespneus.

Poursavoiràquel momentilestnécessaire dechangerlespneus, vérifierlesindicateurs d'usurequiapparaissent lorsquelabandede roulementrestanteest inférieureouégale à 1,6mm(1/16po).
Remplacerlepneulorsquel'unedesaffirmations suivantessevérifie:
- Lesindicateursapparaissentàtroisendroitsau moinsautourdupneu.
- Lecâbléoulatrameautraversducaoutchoucdu pneusontvisibles.
- Lasemelleouleflancestfendillé,coupéou entaillésuffisammentpourexposerlecâbléoula trame.
• Lepneuaunebosse, unballonnementou une déchirure. - Lepneuestcrevé, entailléouadesdommages impossibles à réparer defaçons satisfaisanté dufait de leur importance ou déleureplacement.
Lecaoutchoucdespneussedégradeavecletemps, mêmesilespneusnesontpasutilisés. Ceciest égalementvraidelarouedesecourséventuelle. Cevieillissementestaffectéparlatempérature, les conditionsdechargementetlamaintenancedela pressiondegonflage. Encasdemaintenance d'entretiencorrects, lespneuss'usentgénéralement avantd'êtredégradésparlevieillissement. Encasde doutesurlanécessitéderemplacerdespneusquiont vieilli, consulterlefabricantdespneuspourplus d'information.
Achatdepneusneufs
GMadéveloppéetadaptédespneusspécifiquespour votre véhicule. Lespneusd'équipementd'origine installéssurvotrevéhiculeneufontétéconçuspour répondreauxcaractéristiquesnominalesducodeTPC (critèredeperformed'unpneu)deGeneralMotors. Sivospneusdoiventêtreremplacés, GMvous recommandefortementd'acquérirdespneusde caractéristiquesnominalesTPCidentiques. Decette manière, votrevéhiculeseratoujourséquipédespneus conçuspour procurerenutilisationnormalelesmêmes performancesetlamêmesécuritéquelespneus d'origine.
LesystèmedecodeTPCexclusifGMprendencompte plusd'unedouzainedespécificationscritiquesqui affectentlesperformancesglobalesdevotrevéhicule, notammentlesperformancesdusystèmedefreinage, latenuederouteetlamaniabilité,latractionasservieet
lasurveillancedelapressiondespneus. Lenumérodu codeTPCdeGMaétémoulésurleflancdupneuprès dedimensiondepneu. Silespneussontéquipésd'une sculpturedebandederoulementtoutessaisons, le codeTPCestsuivideslettresMS, pourlaboueet laneige. Pourplusd'informations, sereporteràla rubrique Étiquettesurparoilatéraledupneu à la page6-77.
GMpréconiseleremplacementdel'ensemble des quatrepneus. Ceciparcequ'unepofondeuruniforme desbandesderoulementdesquatrepneuspermetau véhiculedesecomportercommeillefaisaitlorsqueles pneusétaientneufs. Nepasremplacerlesquatrepneus ensemblepeutafacterlefreinageetlamaniabilitéde votre véhicule. SereporteràInspectionetpermutation despneusàlapage6-91.
Ilestpossiblequevospneusd'hiverprésentantla mêmecotedevitessequelespneusd'originenesoient pas offerts pour les pneus dont la côte de vitesse est H, V,W,Y,etZR.Sivouschoisissezdespneusd'hiver présentantunecotedevitesseinférieure,nepas dépasserlavitessemaximaledespneus.

AVERTISSEMENT:
Sivousutilisezdespneusdifférentssurunmême véhicule,vousrisquezdeperdrelecontrôledece dernierlorsdelaconduite.Sivousutilisez différentesdimensionsdepneus(autresqueles pneusd'origine),différentesmarquesoudifférents typesdepneus(pneusceinturésetpneusà carcassediagonale),latenuederoutedu véhiculeseraaltéréeetvousrisquezde provoquerunaccident.L'utilisationdepneusde différentesdimensions(autresquelespneus d'origine),dedifférentesmarquesoudedifférents typespeutégalemententendommagervotre véhicule.Veilleràutiliserdespneusde dimensions,demarquesetdetypecorrects surlesquatreroues.

AVERTISSEMENT:
Sivousutilisezdespneusàcarcasse diagonale,lesbordsdelajantepeuventse fissureraprèsdenombreuxkilomètres. Ceci peutcauserunedéfaillancesoudainedu pneuoudelaroueetentraînerunaccident. Utiliseruniquementdespneusàcarcasse radialesurlesrouesdecevéhicule.
Sivousdevezremplacerlespneusdevotrevéhicule pardespneusnonmunisd'unicodeTPC,s'assurer qu'ilssontdemêmesdimensions,qu'ilspossèdentla mêmelimitedecharge,lamêmecotedevitesseetle mêmetypedefabrication(pneusradiauxetpneusà carcassediagonaleceinturée)quelespneusd'origine devotrevéhicule.
Lesvéhiculeséquipésd'unsystemedesurveillance delapressiondespneuspeuventprésenterun avertissementerronédefaiblepressionsidespneus dontlacoteestcodéenonTPCsontinstalléssurvotre véhicule. LespneusdontlacoteestcodéenonTPC peuventindiquerunavertissementdefaiblepression supérieurouinférieurauniveaud'avertissementcorrect
quevousobtiendriezavecdespneusdonclacoteest codéeTPC.SereporteràlarubriqueSystèmede surveillancedelapressiondespneusàlapage6-88.
Lescaractéristiquesdespneusd'originedevotre véhiculesontindiquéesurl'étiquetted'information surlespneusetlechargement. Pourplusde renseignementssurl'étiquetted'informationsurles pneusetlechargementetsonemplacementdansle véhicule, sereporteràChargementduvéhicule à la page5-32.
Pneusetrouesdedimensions variées
Sivousajoutezdesrouesoudespneusdedimensions différentesdesrouesetpneusd'origine,celarisque d'affecterlesperformancesdevotrevéhicule, notammentlescaractéristiquesdefreinage,deconduite etdemaniabilitéainsiquelastabilitéetlarésistance aucapotage.Parailleurs,sivotrevéhiculedisposede systèmesélectroniquestelsquedesfreinsantiblocage, latractionasservieetlaccommandedestabilité électronique,lesperformancesdecessystèmes peuventêtreaffectés.

AVERTISSEMENT:
Encasdemontagederouesdetaileddifférente, leniveaudeperformanceoudesécuritédu véhiculepeutdevenirinsuffisantsidespneusqui nesontpasrecommandéspourcesrouessont montés. Celarisqued'augmenterlesrisques d'accidentetdeblessuresgraves. N'utiliserque desensemblesspécifiquesderouesetdepneus GMconçuspourvotrevéhicule, etlesfaire monterparuntechnicienagrééGM.
Pourplusderenseignements, sereporterauxrubriques Achatdepneusneufs àlapage6-93 et Accessoireset modifications àlapage6-4.
Classificationuniformedelaqualité despneus
Lescatégoriesdequalitépeuventêtretrouvées, lecaséchéant,surleflancdupneu,entre l'épaulementetlalargeurmaximumdelasection. Parexemple:
Usuredelabanderoulement 200TractionAATempératureA
Lesinformationsci-dessousserapportentau systèmedéveloppéparleserviceNational Highway TrafficSafetyAdministration(NHTSA) (administrationnationaledesécuritéroutièrede route)desÉtats-Unis,quiclasselespneusselon l'usuredelabandederoulement,latraction,etla température.Cecis'appliqueuniquementaux véhiculesvendusauxÉtats-Unis.Lescatégories sontmouléessurlesflancsdelaplupartdes pneusdesvoituresparticulières.Lesystèmede classementdequalitédepneusuniforme(UTQG)nes'appliquepasauxpneusàlamelles,aux pneusâneiged'hiver,auxpneusgagne-placeou àusagetemporaire,auxpneusavecdiamètres dejantesderouenominauxde25à30cm (10à12po),ouàcertainspneusàproduction limitée.
Alorsquelespneusdisponiblessurlesvoitures detourismeetcamionsGeneralMotorspeuvent varierenfonctiondecescatégories,ilsdoivent égalementseconformerauxexigences de sécuritéfédéralesetauxnormessupplémentaires decritèresdeperformancedespneus(TPC)de GeneralMotors.
Usuredelabandederoulement
Lesdegrésd'usuredelabandederoulement sontdescaractéristiquesnominalescomparatives quisebasentsurletauxd'usuredespneus, lorsqu'ilssonttestésdansdesconditions contrôléesavecunprogrammedetestparticulier dugouvernement.Parexemple, unpneude catégorie150s'useraitunefoisetdemie(1,5) autantselonleprogrammegouvernementalqu'un pneudecatégorie100.Laperformancerelative despneusdépendcependantdesconditions réellesdeleurutilisation, etpeutdifférer grandementdelanormeenraisondesvariations danslesmanièresdeconduire, lenombre d'entretiens, etlesdifférencesdecaractéristiques routièresetdeclimats.
Traction-AA,A,B,C
Lescatégoriesdetraction,duniveauleplus élevéauniveauleplusbas,sontAA,A,BetC. Cescatégoriesreprésententlacapacitédes pneusdepouvoirs'arrêtersurunechaussée mouilléetelquemesurédansdesconditions contrôléessurdessurfacesdetest,spécifiées parlegouvernement,surl'asphalteetlebéton. UnpneuportantlamentionCpeutavoirune performancedetractiondebasniveau.
Température-A,B,C
Lescatégories detempératuressont A (laplus élevée), Bet C. Elles représentent larésistance despneusaudégagement de chaleuretleur capacité à dissiperlachaleurlors d'un essai effectué dans des conditions contrôléessur uneroued essaidé terminée à l'intérieur d'un laboratoire. Lestempératures élevées soutenues peuvent provoquerladégradation numatériau dupneueten réduire laduré édevie. Une température excessive peut entraîner une défaillancesoudainedupneu. LacategorieC correspond à un niveaude performance auquel tous les pneus de voitures particulières doivent se conformers selon anormeno 109 Federal Motor Vehicle Safety (normedes sécurité fédéralede véhiculeàmoteur).LescatégoriesBetA représententdesniveauxdeperformanceplus élevéssurlaroued'essaidelaboratoirequele niveaminimumrequisparlaloi.Ilconvientde noterquelacatégoriedetempératurepource pneuestétabliepourunpneucorrectementgonflé quin'estpassurchargé.Unevitesseexcessive, ungonflageinsuffisantouunechargeexcessive, séparémentouencombinaison,peuvent provoqueruneaccumulationdechaleuretune défaillancepossibledespneus.
Réglagedelagéométrieet équilibragedespneus
Lesrouesetlespneusdevotrevéhiculeontété soigneusementalignéséquilibrésenusinepourvous offrirlaplusgrandeduréedeviedepneusetles meilleursrésultatspossibles. Desréglages de l'alignementdesrouesetl'équilibragedespneusne serontpasnécessairesdefaçonrégulière. Cependant, sivousconstatezuneasureinhabituellesdespneus, ou que votre véhicule tire d'un côté ou de l'autre, l'alignementabesoind'ètrevérifié. Sivousconstatez quevotrevéhiculevibrependantquevousconduisez surunerouteplate, vospneusetrouespeuvent avoirbesoind'êtrerééquilibrés. Consulter votre concessionnaire pour undiagnostic approprié.
Remplacementderoue
Remplacertouterouefaussée, fissurééoutrèsrouillée oucorrodée. Silesboulonsderouepersistentàse relâcher, vousdevrezremplacerlaroueainsiqueses boulonsetsesécrous. Silarouefaitl'objetd'unefuite d'air, laremplacer (saufs'ils'agitdecertainesrouesen aluminium, qu'onpeutparfoisréparer). Sil'undeces problèmessepose, consultervotreconcessionnaire.
Votreconcessionnaireconnaîtletypederoueadaptéà votrevéhicule.
Lanouvellerouedoitavoirlamêmecapacitédecharge, lemêmediamètre, lamêmelargeuretlemêmedéport etêtremontéedelamêmemanièrequelarouequ'elle remplace.
Sivousdevezremplacerl'unedesrouesoul'undes boulonsouécrousderoue,lesremplaceruniquement pardespiècesGMneuvesd'origine.Decettefaçon, vouszerezsûrd'avoirlaroueainsiquelesboulonset lesécrousderouequ'ilfautpourvotrevéhicule.

AVERTISSEMENT:
Ilestdangereuxdenepasutiliserdesrouesde secours,desboulonsderoueoudesécrousde rouecorrectssurvotrevéhicule. Vousrisquez d'affecterlefreinageetlamaniabilitédevotre véhicule,d'entraînerdesfuitesd'airauniveaudes rouesetdeperdrelecontrôle. Vouspourriezavoir unaccidentetvousblesseroublesserd'autres personnes. Toujoursutiliserlesrouesdesecours, boulonsderouesetécrousderouescorrects.

AVERTISSEMENT:
Il est dangereux d'installer une roue d'occasion surlevéhicule. Vous nepouvez passavoir dans quelles conditionsetsurquelled distance ellea été utilisée. Elle pourrait éclaters subitement et provoquer un accident. Sivous devez remplacer uneroue, utiliser uneroueneuved d'origine GM.
Remarque: Uneroueincorrecte peut causer des problèmes dedurée deviedepalier, de refroidissement des freins, decalibragede compteur devitesseoudetotalisateur, deportée des phares, de hauteur de pare-chocs, degardeau solduvéhicule et d'espace entrelacarrosserie et le châssis.

AVERTISSEMENT:
Encasderouilleoudesaletésurlaroueou surlespiècesauxquelleselleestattachée, lesécrouspeuventàlalonguesedesserrer. Larouepourraitalorssedétacheret provoquerunecollision.Lorsdu remplacementd'uneroue,enlevertoute rouilleoutoutesaletédespiècesduvéhicule auxquelleslaroues'attache.Encas d'urgence,vouspouvezutiliserunlingeou unessuie-toutpourlefaire,maiss'assurer d'utiliserungrattoirouunebrosseàpoils métalliquesplustard,aubesoin,pour enlevertouterouilleettoutesaleté.
Serragedesécrousdegoujonderoue

AVERTISSEMENT:
Nejamaisutiliserd'huilenidegraissepourle filetagedesécrousderoue. Cecirisqueraitde desserrerlesécrous. Lesrouesduvéhicule peuventtomberetentraînerunecollision.

AVERTISSEMENT:
Unerouedontlesécroussontincorrectsoumal serréspeutsedesserreretmêmetomber.Ceci peutcauserunecollision.Lesécrousderoue doiventêtrecorrects.Encasderemplacement, utiliseruniquementdesécrousderoueneufsGM d'origine.
Remarque: Desécrousderouequinesontpas serréscommeilfautpeuvententraînerlapulsation desfreinsetendommagerlerotor. Pouréviterdes réparationscoûteusesauxfreins, serrerlesécrous deroueégalement tèferment dans l'ordre appropriéetaucouple correct.

text_image
1 3 4 5 2Serrerlesécrousde goujonderoue fermement,encroix, commeillustré.
Chaînesàneige

AVERTISSEMENT:
Nepasutiliserdechaînesantidérapantes. Ledégagementestinsuffisant.Deschaînes antidérapantesutiliséessurunvéhiculen'ayant pasledégagementsuffisantpeuventcauserdes dommagesauxfreins,àlasuspensionouà d'autrespiècesduvéhicule.L'endroitendommagé parleschaînespourraitcauserunepertede maîtriseduvéhicule,etvousainsiqued'autres personnespourriezsubirdesblessureslorsd'une collision.Utiliserunautretypededispositifde tractionuniquementseilefabricantdudispositif enrecommandel'utilisationsurlevéhicule,pour ladimensiondespneusetdanslesconditions routières.Suivrelesdirectivesdecefabricant. Pouréviterd'endommagerlevéhicule,conduire lentement,réglerouenleverledispositifs'ilentre encontactaveclevéhicule,etnepasfairepatiner lesroues.Sivoustrouvezundispositifdetraction quiconvient,l'installersurlespneusarrière.
Levageduvéhicule

AVERTISSEMENT:
Lelevaged'unvéhiculepeutblesser.Enquittant lecric,levéhiculepeutvousécraserouécraser uneautrepersonne.Choisirunsolhorizontalpour levervotrevéhicule.Voicicommentéviterle déplacementduvéhicule:
- Serrerfermementlefreindestationnement.
-
Placerlelevierdevitessesd'uneboîtede vitessesautomatiqueenpositionde stationnement(P)ouceluid'uneboîtede vitessesmanuelleenpremière(1)ouen marchearrière(R).
-
Arrêterlemoteur.
Pourêtreencorepluscertaind'immobiliserle véhicule, vous pouvez placerdescales devant et derrièrelesroues.

AVERTISSEMENT:
Ilestdangereuxdeseplacersousunvéhicule missurcric. Silevéhiculequittelecric, vous risquezdegravesblessures, voireledécès. Nejamaisseplacersousunvéhiculesoutenu uniquementparuncric.

AVERTISSEMENT:
Lecricdoitêtreplacécorrectementlorsdulevage duvéhiculeaurisqued'endommagerlevéhicule oudelefairetomberetdecauserdesblessuresà vous-mêmeouauxautres.
Sivousutilisezuncricpoursoulevervotrevéhicule, suivrelesinstructionsaccompagnantlecricets'assurer d'utiliserlespointsdelevageappropriéspouréviter d'endommagervotrevéhicule.
Remarque: Unlevage incorrect duvéhicule peut l'endommageret entraîner des réparations coûteusesquines ontpascouvertes parla garantie. Pour lever levéhicule correctement, suivrelare commandation decettes section.
Pouréviterd'endommagerlevéhicule:
- S'assurerdeplacerunblocouunélément amortisseurentrelecricetlevéhicule.
- Lecricutilisédoits'étendreàaunoinsdeux côtesdetraverse.
- Leveruniquementdansleszonesillustrées.
Pourplusderenseignements, consultervotre concessionnaireetlemanuelderéparation ChevroletCorvette.
Poursouleverparl'avant

Vous pouvez accéderaux pointsdelevage avant de chaque côté devot revéhicule, derrièreles pneus avant.

- Repérerlespointsdelevageavant(A)àl'aide de l'illustrationfournie.
- S'assurerdeplacerunblocouunélément amortisseurentrelecricetlevéhicule.

- Souleverlevéhicule à l'aideducric, ens assurant que le cric couvre aumoins deux des nervures de latraverse (B).
Poursouleverparl'arrière

Vous pouvez accéderaupointd'appuiarrière à partir de l'arrière duvéhicule, soit ducôté conducteur, soit du côté passager.

- Repérer les points de levage arrière (A) à l'aide de l'illustration fournie.
- S'assurerdeplacerunblocouunélément amortisseurentrelecricetlevéhicule.

- Souleverlevéhicule all'aideducric, ens assurant quelecriccouvreaumoins deux desnervures de latraverse (B).
Pourobtenirdeplusamplesrenseignements, se reporteràlarubriqueEntretienparlepropriétaire page6-6.
à la
Aucasd'unpneuàplat
llestrarequ'unpneuéclatependantlaconduite, surtoutsilespneussontbienentretenus.Encasde fuite,l'airs'échapperadupneuprobablementtrès lentement.Pourplusderenseignements,sereporterà larubriquePneus àlapage6-74 .Toutefois,encas d'éclatementd'unpneu,voiciquelquesinformationssur cequirisquedeseproduireetcequevousdevezfaire:
Siunpneuavantestdégonflé, il produit unfrottement quientraîneunedérivation duvéhicule vers cecôté. Retirervotrepieddelapédaled'accélérateuretsaisir fermementlevolant. Maintenirvotreposition, puis freinerdoucement pour vous arrêterentièrements sorti delavoiedecirculation.
Encasd'éclatementd'unpneuarrière, particulièrement dansunvirage,levéhiculesecomporteracommelors d'un dérapage. Les effets de l'éclatement devront donc êtrecorrigéscommes'ils'agissaitd'undérapage. Relâcheralorsl'accélérateur.Conserverlecontrôle duvéhiculeenl'orientantdansladirectionvoulue. Levéhiculeseratrésinstableetbruyant,maisvous pourreztoujourslediriger.Freinerdoucementjusqu'à l'arrêtcomplet,bienàl'écartdelaroute,sipossible.
Votrevéhiculen'estpasmunied'unerouedesecours, nidematérielpourchangerunpneu,etnedisposepas d'espacederangementpourunpneu.
Quandilestneuf, votrevéhiculeestéquipédepneusà flancsrenforcés. Cetypedepneupeutfonctionner effectivementsanspressiondel'air, cequivousévite dedevoirarrêtersurleborddelaroutepourchanger unpneuplat. Vous pouvez continueràrouler. Plusle trajetestcourtet pluslavitesseestlente, plusvous augmentezvoschancesdenepasdevoirremplacerle pneu à flancs renforcés. Les pneus à flancs renforcés fonctionnentsuffisammentbiensansairpourquela fonctiondesurveillancedelapressiondespneus (TPMS) soitutiliséepourvousalerterencasdeperte depression. Sereporterà Pneusàflancsrenforcés à la page6-83 età Systèmedesurveillancedelapression despneusàlapage6-88.

AVERTISSEMENT:
Desoutilsspéciauxontnécessairesetcertaines procéduresdoiventêtresuiviespourlaréparation depneusàflancsrenforcés. Àdéfautd'utiliser cesoutilsetdesuivrelesprocéduresappropriées, vousoud'autrespersonnespourriezêtreblessés etlevéhiculepourraitsubirdesdommages. S'assurerdetoujoursutiliserlesoutilsappropriés etdesuivrelesbonnesprocédures, tellesque décritesdanslemanuelderéparation.
Pourcommanderunmanuelderréparation, sereporter à Renseignementsssurlacommandedeguides de réparation à lapage 8-20.
Entretiendel'apparence
Nettoyagedel'intérieur
L'intérieurduvéhiculeseratoujoursaussijolisivousle nettoyezrégulièrement. Bienqu'ellesnesoientpas toujoursvisibles, lapoussièreetlasaletépeuvent s'accumulersurlesgarnitures. Lapoussièrepeut endommagerlestapis, tissusetsurfacesenplastique. Ilrestrecommandédepasserrégulièrementl'aspirateur demanièreàsupprimerlesparticulesdéposéessurles garnitures. Illestimportantd'éviterquelesgarnitures soientexcessivementsouilléesetlerestent. Nettoyer lessouilluresdèsquepossible. L'intérieurduvéhicule peutavoiràfairefaceàdestempératuresélevées susceptiblesdeprovoquerrapidementl'apparitionde taches.
Lesintérieursdecouleurplusclairepeuventnécessiter unnettoyageplusfréquent. Prendredesprécautions carlesjournauxetvêtemsquidéteignentsurles meublesdudomicilepeuventégalement déteindresur l'intérieurduvéhicule.
Lorsquevousprocédezaunettoyagedel'intérieurdu véhicule,utiliseruniquementdesnettoyantsconçus spécifiquementpourlessurfacesànettoyer.L'utilisation surcertainessurfacesdenettoyantsnonappropriés risqued'entraînerunedétériorationdéfinitive.Utiliserun nettoyantpourvitreuniquementsurlesvitres.Retirer immédiatementtouteprojectionaccidentelledéposée surd'autressurfaces.Pouréviterlesprojections, appliquerlenettoyantdirectementsurlechiffon.
Remarque:L'utilisationd'unproduitabrasifpour nettoyerlessurfacesvitréesdevotrevéhiculepeut lesrayeret/oudétériorerlesystèmededégivrage delalunettearrière.Nettoyerlesglacesduvéhicule uniquementavecunchiffondouxetunnettoyantà vitres.
Denombreuxnettoyantscontiennentdessolvants quipeuventseconcentrerdansl'habitacledevotre véhicule. Avantd'utiliserdesnettoyants, lireetsuivre lesinstructionsdesécuritéfigurantsurl'étiquette. Lors dunettoyagedel'intérieurdevotrevéhicule, maintenir uneventilationadéquateenouvrantlesportesetles glacesduvéhicule.
Pourretirerlapoussièredespetitsboutons, vous pouvezutiliserunepetitebrossemuniedepoils souples.
Voustrouverezchezvotreconcessionnairedesproduits quiéliminentlesodeursdugarnissageetquinettoient lesglacesduvéhicule.
Nepasnettoyervotrevéhiculeavec:
- Uncouteauouautreobjettranchantpourretirerles impuretésdessurfacesintérieures.
- Unebrossedure,quirisqueraitd'endommagerles surfacesintérieuresduvéhicule.
- Unepressionimportanteouunfrottementagressif àl'aided'unchiffon. Unepressionimportante risqued'endommagerl'intérieuretnepermetpas deretirerlesimpuretésdemanièreplusefficace.
- Lespoudresdétergentesouproduitsde lave-vaissellecomportantdesdégraissants déposentunrésiduquilaissestracesetattirela poussière. Sourcequiconcernedesnettoyants liquide, compterenviron20gouttespour3,78L (1gallon)d'eau. Utiliseruniquementdel'eautiède etdusavonàPHneutre.
- Unexcèsdeproduitdenettoyagesaturantles garnitures.
- Dessolvantsorganiquestelsquelenaphte, l'alcool,etc.,pouvantendommagerl'intérieur du véhicule.
Tissuettapis
Passerfréquemmentunaspirateurmunid'unebrosse souplepourretirerlapoussièreetlessalissures. Vous pouvezutiliserunaspirateur-chariotmunid'unebrosse batteuseuniquementsurlestapisetrevêtementsde sol. Essayertoujoursd'enleverenpremierlieules salissuresituéesausolavecdel'eauoudusoda. Avantdeprocéderaunettoyage,retirerleplusde salissurespossibleselonl'unedestechniques suivantes:
- Pourlesliquides: épongerdélicatementles salissuresrestantes à l'aided unessuie-tout. Absorberlessalissures dans l'essuie-tout jusqu'à cequevousnepuissiezplusenretirer.
- Pourlessalissuressèchessolides:enretirer autantquepossiblepuispasserl'aspirateur.
Pournettoyer:
- Saturerunchiffonblanc, propreetnonpelucheux d'eauudesoda.
- Tordrelechiffonpourretirerl'excédantd'humidité.
-
Commencerparlebordextérieurdelasalissureet frotterdélicatementverslecentre. Continuerà nettoyeràl'aided'unepartiepropreduchiffondès qu'ildevientsouillé.
-
Continuer à frotter délicatement lazones ouillée jusqu'à ce que le chiffon restepropre.
- Sivousneparvenezpasàretirertoutesles salissures, utiliserunesolutiond'eausavonneuse tièdeetrépéterlaprocédureutiliséelorsdu nettoyageàl'eau.
Siunepartiedessalissuresnes'enlèvepas, vous pouvez utiliser un nettoyant ou détachant vendu dans le commerce. Sivousutilisezunnettoyantoudétachant pourgarnitures, letestertoutd'abordsurunepetite zonecachéepours'assurerquelacouleurn'estpas détériorée. Silasurfacedéjànettoyéevousdonne l'impressionqu'uncerclepeutseformer, nettoyer l'ensembledelasurface.
Unefoisleprocessusdenettoyageterminé, vous pouvezutiliserunessuie-toutpourépongerl'excédant d'humiditédutissuoudutapis.
Mouluresenduites
Cesmouluressetrouventautourdel'ouverturedu hayon,danslazonearrière.
- Lorsqu'ellessontlégèrementsouillées,lesessuyer avecuneépongeouunchiffondouxnon pelucheuxhumide.
- Lorsqu'ellessontrèssouillées, utiliserdel'eau chaudesavonneuse.
Cuir
Ilestpossibled'utiliserunchiffondouxhumidifiéavec del'eaupourenleverlapoussière.Siunnettoyageplus approfondis'avèrenécessaire,utiliserunchiffondoux humidifiéavecunesolutiond'eaudesavondoux. Laisserlecuirséchernaturellement.Nepasutiliserde chaleurpoursécher.Nejamaisutiliserdevapeurpour nettoyerlecuir.Nejamaisutiliserdedétachantssurle cuir.Denombreuxnettoyantsetrevêtementsdecuir vendusdanslecommerceetdestinésàpréserveretà protégerlecuirpeuventenmodifierl'apparenceetle toucherdemanièrepermanenteetnesontpas recommandés.Nepasutiliserdeproduitsàbasede siliconeoudecire,niaucunproduitcontenantdes solvantsorganiquespournettoyerl'intérieurdu véhicule,étantdonnéqu'ilspeuventmodifier l'apparenceenaugmentantlebrillantdemanièrenon uniforme.Nejamaisutiliserduciragepourchaussures survotrecuir.
Tableaudebord, surfacesenvinyle etautressurfacesenplastique
Vouspouvezutiliserunchiffondouximbibéd'eaupour retirerlapoussière.Siunnettoyageplusapprofondis'avèrenécessaire,vouspouvezutiliserunchiffondoux etpropreimbibéd'unesolutionsavonneusetièdepour retirerdélicatementlapoussièreetlasaleté.Nejamais utiliserdedétachantoudesolvantsurlessurfacesen plastique.Denombreuxnettoyantsetrevêtements vendusdanslecommercepourpréserveretprotéger lessurfacesenplastiquesouplepeuventmodifierde manièrepermanentel'apparenceetlasensationde l'intérieuretnesontpasrecommandés.Nepasutiliser desilicone,deproduitsàbasedecireoucontenantdes solvantspournettoyerl'intérieurduvéhiculecarils risquentdemodifiersonapparenceenaugmentantle brillantdemanièrenonuniforme.
Certainsproduitsvendusdanslecommercepeuvent augmenterlabrillancedevotretableaudebord. L'augmentationdelabrillancepeutprovoquerdes refletsdésagréablesdanslepare-briseaupointde gênerlavisiondanscertainesconditions.
Filetderangementducouverclede compartimentutilitaire
Laveravecdel'eauchaudeetdudétergentdoux,rincer avecdel'eaufroideetsécherparculbutageàbasse température.Nepasutiliserd'agentdejavellissants.
Entretiendesceinturesdesécurité
Maintenirlesceinturesdesécuritépropresetsèches.
⚠ AVERTISSEMENT:
Ilconvientdenepasblanchirouteindreles ceinturesdesécurité. Celarisqueraitdeles affaiblirconsidérablement. Lorsd'unecollision, ellespourraientnepasfourniruneprotection adéquate. Nettoyerlesceinturesdesécurité uniquementàl'aidedesavondouxet d'eautiède.
Jointsd'étanchéité
Lagraissedesiliconesurlesbourreletsd'étanchéité prolongeraleurdurée, amélioreraleurétanchéitétles empêcheradecolleroudegrincer. Appliquerdela graissedesiliconeàl'aided'unchiffonpropre. Aucours dessaisonstrèsfroidesethumides, ilserapeut-être nécessaired'enappliquerplussouvent. Sereporterà larubrique Liquidesetlubrifiantsrecommandés à la page7-10.
Lavageduvéhicule
Lameilleurefaçondeconserverlefinidevotrevéhicule estdelegarderpropreenlelavantsouvent.
Remarque: Certainsnettoyantscontiennent des substanceschimiquesquipeuventdégraderles écussonsoulesplaquettessignalétiquesdevotre véhicule. Vérifierl'étiquetteduproduitdenettoyage. Siellestipulequ'ilnedoitpasêtreutilisésur lespiècesdeplastique, nepasl'utilisersurvotre véhicule, souspeinededétériorercelui-ci, cequine seraitpascouvertparvotregarantie.
Nepaslavervotrevéhiculesouslesrayonsdirectsdu soleil.Utiliserundétergentpourvoitures.Nepasutiliser deproduitsdenettoyageàbasedepétroleouqui contiennentdel'acideoudesabrasifs,carceux-ci
peuventendommagerlapeinture, lemétaloules surfacesenplastiquedevotrevéhicule. Vous pouvez obtenir desproduits denettoyage approuvéschez votre concessionnaire. Respectertoutes les instructions dufabricant relatives à l'utilisation du produit, les précautions à prendre et lamise aure but correcte de produit.
Bienrincerlevéhicule, avantetaprèslelavage, afin d'éliminercomplètementlesproduitsdenettoyage. S'ils sèchentsurlasurface, ilspeuventlaisserdestaches.
Pouréviterderayerlefinioudelaisserdestraces d'eau, sécherlasurface à l'aided unchamoisdouxet propreoud uneservietteencoton.
Remarque:Sivousentrezdansunlave-auto automatiquequineprésentepassuffisamment d'espacepourlespneus/roueslarges,vousrisquez d'endommagerlevéhicule.Vérifieravecledirecteur du lave-auto que le véhicule n'est pas trop gros avant d'yentrerouutiliserunlave-autosans brosses.
Leslave-autoutilisantdessystèmesàhautepression peuventcauserunepénétrationd'eaudanslevéhicule. Éviterunlavageàhautepressionàunedistance inférieureà30cm(12po)delasurfaceduvéhicule. L'utilisationd'appareilsdelavagedontlapression excède1200lb/po ^2 (8274kPa)peutendommager ouarracherlapeintureetlesautocollants.
Nettoyagedel'éclairageextérieuret deslentilles
Pournettoyerlespharesetleslentilles, n'utiliserquede l'eautièdeoufroide, unchiffondouxetunnettoyant pourvoitures. Suivrelesdirectivessouslarubrique Lavageduvéhicule à lapage 6-111.
Soindefinition
Il peut être nécessaire decirer ou depolirdoucement votre véhicule à la main de temps entemps pour enlevertou trésiduel l'enduit. Vous pouvez obtenir des produits denettoyage approuvéschez votre concessionnaire.
Silevéhiculepossèdeunepeintureàcouchedebase/couchetransparente, lacouchetransparentedonne plusdeprofondeuretdelustreàlacouchedebase. Utilisertoujoursdesciresetdesproduitsdepolissage quisontnonabrasifsetdestinésàunepeintureà couchedebase/couchetransparente.
Remarque:L'utilisationd'unelustreuserotativeou unpolissageagressifsurunecouchedebase/couchetransparentedepeinturedefinitionpeut dégradercelle-ci.Utiliseruniquementdescireset desproduitsàpolirnonabrasifsconçuspourla couchedebase/couchetransparentedepeinturede finitiond'unvéhicule.
Lesmatièresétrangèrescommelechloruredecalcium ettousautressels,lesagentsdedéglacage,lebitume routieretlegoudron,lasèvedesarbres,lesfientes d'oiseaux,lesproduitschimiquesprovenantdes cheminéesindustrielles,etc.peuventendommagerle finiduvéhicules'ilsdemeurentsurlessurfacespeintes. Laverlevéhiculeaussitôtquepossible.Aubesoin, utiliserdesnettoyantsnonabrasifs,quisontinoffensifs pourlessurfacespeintes,afind'enlevertoutematière étrangère.
Lessurfacesextérieurespeintessontsoumisesau vieillissement,auxintempériesetauxretombées chimiquespouvantfaireleureffetaucoursdesannées. Pouraideràconserverl'aspectneufdel'enduit,garder levéhiculedansungarageoulerecouvrirleplus souventpossible.
Protectiondespiècesextérieuresen métalpoli
Lespiècesextérieuresenmétalbrillantdoiventêtre nettoyéesrégulièrementpourgarderleurlustre. Engénéral, unlavageàl'eausuffit. Aubesoin, vous pouvezutiliserunproduitdepolissagepourlechrome surlesgarnitureschroméesouenacierinoxydable.
Prendredessoinsparticuliersaveclesgarnituresen aluminium. Pouréviterd'endommagerlacouche protectrice, nejamaisutiliserdepolispourchromeou pourautomobile, devapeuroudesavoncaustiquepour nettoyerl'aluminium. Unecouchedecire, frottéejusqu'à l'obtentiond'unfinitrésbrillant, estrecommandéepour touteslespiècesenmétalpoli.
PanneauxenfibredecarboneZR1
Lespanneauxenfibredecarbononepeuventêtre nettoyésetciréscommen'importequelautrepanneau.
Utiliserunecirepigmentéeclaireounoiresurle panneauenfibredecarbonedelapartieintérieure ducapot.
FenêtredecapotZR1
LafenêtredecapotdesmodèlesZR1 peut-être nettoyéedelamêmemanièrequeleslentillesdes phares. SereporteràNettoyagedel'éclairageextérieur etdeslentilles àlapage6-112 pourplusde renseignements.
Pare-briseetlamesd'essuie-glace
Nettoyerl'extérieurdupare-briseàl'aided'unnettoyant pourglaces.
Nettoyerlesbalaisencaoutchoucàl'aided'untissu nonpelucheuxouunmouchoirenpapierimbibéde liquidedelave-glaceoud'undétergentdoux.Laver soigneusementlepare-briselorsdunettoyagedes balais.Lesinsectes,lessouilluresdelaroute,lasève etl'accumulationdesavon/cirelorsdesnettoyagespeut causerdestraînéesd'essuie-glace.Remplacerles balaiss'ilssontusésouendommagés.
Lesessuie-glacepeuventêtreendommagéspar:
- Lesconditionsextrêmementpoussiéreuses
- Lesableetlesel
• Lachaleuretlesoleil
• Laneigeetlaglace, siellesnesontpas correctementéliminées
Panneaudetoitouvrant
Remarque:Sidesproduitsdenettoyageoude conditionnementdevitrecontenantdel'alcool éthyliqueoudusulfateéthyliquesurlepanneaude pavillon, lepanneaupourraitsubirdesdommages. Lesréparationsneseraientpascouvertesparla garantie.N'utiliserquedesproduitspourvitre approuvésparGMsurlepanneaudepavillon.
Pournettoyer, enleverourangerlepanneaude pavillon, ilestnécessairedefaireparticulièrement preuvedeprudence.
• Rinceravecdel'eaupourenleverlapoussièreet lasaleté, puisfairesécherlepanneau.
- Nettoyerlepanneaudetoittransparentàl'aide d'unnettoyantpourglaceGM.Laisseragirle nettoyantsurlepanneaupendantuneminute,puis essuyerlepanneauàl'aided'unchiffondouxnon pelucheux.Nepasutiliserdenettoyantpourglace surunpanneaudetoitpeint.
- Nepasutiliserdeproduitdenettoyageabrasifsur l'unoul'autredestypesdepanneaux.
Sivouslaisseztropsouventdesgouttesd'eau séchersurlepanneaudetoit,lesimpuretésdel'eau adhérerontautoit.Cesimpuretésrisquentd'attaquerou derayerlafinition.Lorsquelepanneauestmouillé, l'assécher.
Toitdécapotable
Vousdeveznettoyerfréquemmentletoitdécapotable duvéhicule. Toutefois, leslave-autosutilisant des systèmes à hautepression pourraient fairepénetrerde l'eaudansvotrevéhicule.
Lorsdulavagedelacapoteàlamain, lefairedansun endroitmi-ombragé. Utiliserunsavondoux, del'eau tièdeetuneépongedouce. Unepeaudechamoisou unchiffonpeuventlaisserdespeluchessurlacapoteet unebrossepeutuserlesfilsdutissudelacapote. Ne pasutiliserdedétergents, denettoyantsabrasifs, de solvantsoudejavellissants.
Mouillerlevéhiculeaucompletetlaverletoitdefaçon régulièrepouréviterlestachesoulesauréoles. Laisser lesavonsurletissupendantquelquesminutes. Sile toitesttrèssale, utiliserunnettoyantdouxdetype mousse. Rincerabondammentlevéhiculeaucomplet, puislaisserletoitsécherausoleil.
Afindeprotégerlacapotedevotrecabriolet:
- Aprèsavoirlavélevéhicule, s'assurerquela capoteestcomplètemtsècheavantde l'abaisser.
- Veilleràcequ'aucunproduitdenettoyagenesoit laissésurlasurfacepeinteduvéhicule;cela pourraitlaisserdestraînées.
- Sil'onvadansunlave-autoautomatique, demanderaugérantsisonlavagerisque d'endommagerlacapote.
Enjoliveuretrouesplaquées aluminiumouchrome
Lesrouesduvéhiculepeuventêtreenaluminiumou chromées.
Garderlesrouespropresenlesnettoyantàl'aided'un chiffondouxetpropre,desavondouxetd'eau.Rincerà l'eaupropre.Aprèslesavoirrincéescomplètement,les sécheràl'aided'unchiffondouxetpropre.Onpeut alorslescirer.
Remarque: Lesrouesetautresgarnitures chroméespeuventêtredétérioréessivousnelavez pasvotrevéhiculeaprèsavoirroulésurdesroutes saupoudréesdechloruredemagnésium, decalcium oudesodium. Ceschloruressontutiliséssurles
routesencasdeverglasoudepoussière.Laver toujourslespartieschroméesduvéhiculeàl'eau savonneuseaprésexpositionàcesproduits.
Remarque:L'utilisationdesavons,produits chimiques,produitsàpolirabrasifs,nettoyants puissants,brossesduresounettoyantscomposés d'acidesurdesrouesd'aluminiumouchromées risquededégraderlasurfacedelaoudesroues. Lesréparationsneseraientpascouvertesparla garantieduvéhicule.Utiliseruniquementdes nettoyantsapprouvéssurlesrouesd'aluminiumou chromées.
Lasurfacedecesrouesestidentiqueàlasurface peinteduvéhicule. Nepasemployerdedétergents forts,deproduitschimiques,deproduitsdepolissage abrasifs,denettoyantsabrasifs,denettoyantsacides oudebrossesdenettoyageabrasivespourlesnettoyer parcequeceux-cipourraientendommagerlasurface. Nepasemployerdeproduitsdepolissagedechrome surdesrouesenaluminium.
Remarque:L'utilisationd'unpoliàchromesurdes rouesenaluminiumrisqued'endommagerles roues.Laréparationneserapascouverteparla garantieduvéhicule.Utiliseruniquementlepolià chromesurdesroueschromées.
Utiliserdupolipourchromeseulementsurlesroues chromées, maisnepasenappliquersurlasurface peintedelaroue, etpolirlaroueimmédiatementaprès l'applicationdupoli.
Remarque:Sivouslavezvotrevéhiculedansun lave-autopourvudebrossesdenettoyagedes pneusencarburedesilicone,vousrisquezde détériorerlesrouesd'aluminiumouchromées.Leur réparationneserapascouverteparlagarantiedu véhicule.Nejamaisamenerunvéhiculedotéde rouesd'aluminiumouchroméesdansunlave-auto pourvudebrossesdenettoyagedespneusen carburedesilicone.
Pneus
Pournettoyerlespneus,utiliserunebrosseraideetun nettoyantpourpneus.
Remarque:Sivousutilisezdesproduitsde protectiondepneusàbasedepétrolesurvotre véhicule,vousrisquezdedégraderlapeinturede finitionet/oulespneus.Lorsquevousappliquezun protecteurdepneus,essuyertoujourstoutexcèsde projectionsurtouteslessurfacespeintesdu véhicule.
Finitionendommagée
Touteéraflure, ruptureourayureprofondedufinidevrait réparéetoutdesuite. Lemétalnucorroderarapidement etpeutengendrerdesfraisderéparationélevés.
Lespetitesérafluresetrayurespeuventêtreréparées avecdelapeinturederetouchedisponiblechezvotre concessionnaire. Lesgrandsdommagesdefiniipeuvent étreréparésdansl'atelierdecarrosseriedevotre concessionnaire.
Entretiendudessousdela carrosserie
Lesproduitschimiquesquiserventàenleverlaglace, laneigeetlapoussièrepeuvents'accumulerdansle soubassement. Siceux-cinesontpasenlevés, une corrosionetdelarouillepeuentsedéveloppersur lespiècesdusoubassementcommelescanalisations decarburant, lecadredechâssis, lebacdeplancheret lesystèmed'échappement, mêmes'ilssontprotégés contre lacorrosion.
Chaqueprintempsaunoins, faire évacuerces matériauxdusoubassement à l'aided e'auordinaire. Nettoyertouslesendroitsoulaboueetlesdébris peuvents'accumuler. Il faudradélogerlasaleté accumuléed dans lesendroits fermés ducadrede châssis avant delarincer. Votre concessionnaire ou unsystèmedelavagedesoubassement peut lefaire.
Sil'onutilisedesproduitsdenettoyageacidesou corrosifs,desproduitsdégraissantspourlemoteur oudesagentsdenettoyagedel'aluminiumsurles ressortsdefibredeverre,lesressortspeuvent subirdesdommages.Lesréparationsneseraient pascouvertesparlagarantie.N'utiliserquedes produitsdenettoyageapprouvéspournettoyerles ressortsdefibredeverreduvéhicule.
Peintureendommagéepar retombéeschimiques
Certainesconditionsclimatiquesetatmosphériques peuventcauserdesréactionschimiques. Despolluants atmosphériquespeuventtombersurlessurfaces peintesduvéhiculeetlesattaquer. Cegenrede dommagespeutprendredeuxformes: décolorationsen formedebouclettesmarbréesoupetitestâches irrégulièresfoncéesgravéessurlasurfacepeinte.
Bienqu'aucundéfautnesoitdûautravaildepeinture, nousréparerons, sansfraispourlepropriétaire, les surfacesdevéhiculesneufsquisontendommagés parcesretombées dans les 12moisou 20000km (12000milles) suivant l'achat, selon lapremière de ces deux occurrences.
Identificationduvéhicule
Numéro d'identification du véhicule (NIV)

text_image
CM SAMPLE4UX1M072675Ils'agitdel'identificateurlégalduvéhicule.Ilsetrouve suruneplaquefixéedanslecoinavantdutableaude bord,côtégauche.Ilestvisibleàtraverslepare-brise depuis l'extérieurdevotrevéhicule.LeNIVsetrouve aussisurlesétiquettesdeconformitéduvéhiculeet d'identificationdespiècesderechange,ainsiquesur votretitreetvotrecertificatd'immatriculation.
Identificationdumoteur
Lecode-moteurestle8ecaractèreduNIV.Cecode sertàidentifierlemoteur,sescaractéristiqueset sespiècesderechange.Sereporterà«Spécifications dumoteur»sousCapacitésetspécifications à la page6-127 pourlecodemoteurduvéhicule.
Étiquetted'identificationdespièces derechange
Cetteétiquetteapposée à l'intérieur delaboîte à gants mentionne:
• Lenumérod'identificationduvéhicule(NIV)
• Ladésignationdumodèle
• Desrenseignementssurlapeinture
- Lesoptionsdeproductionetleséquipements spéciaux
Nepasretirercetteétiquetteduvéhicule.
Réseauélectrique
Équipementélectrique complémentaire
Remarque:Nepasajouterd'équipementélectrique àvotrevéhiculeavantd'avoirconsulté votre concessionnaire.Certainséquipementsélectriques peuventdétériorervotrevéhiculeetlesdégâtsne seraientpascouvertsparlagarantie.Certains équipementsélectriquesajoutéspeuventempêcher d'autrescomposantsdefonctionnerdemanière correcte.
Unéquipementaprès-ventepeutdéchargerlabatterie mêmesivotrevéhiculenefonctionnepas.
Cevéhiculeestéquipédesacsgonflables. Avantde l'équiperd'autresappareilsélectriques, sereporter à Réparationd'unvéhiculemunidesacsgonflables à la page 2-60 et Ajoutd'équipement à unvéhiculemunide sacsgonflables à lapage 2-60.
Câblagedesphares
Lecâblagedespharesestprotégépardesfusibles danslebloc-fusibles. Unesurchargeélectrique peut éteindrelesphares. Sicelaseproduit, faireinspecterle câblagedespharesimmédiatement.
Fusiblesd'essuie-glace
Lemoteurd'essuie-glacedepare-briseestprotégépar undisjoncteuretunfusible.Silemoteursurchauffeen raison d'une neige lourde, etc., l'essuie-glace s'arrête jusqu'àcequelemoteurrefroidisse.Silasurchargeest causéeparuneanomalieélectrique,faire-laréparer.
Glacesàcommandeélectriqueet autreséquipementsélectriques
Desdisjoncteursprotègentleslève-glaceélectriqueset autresaccessoiresélectriques. Encasdesurcharge, le disjoncteurs'ouvreetsefermepourprotégerlecircuit jusqu'àcequeleproblèmesoitrectifiéouqu'il disparaisse.
Fusiblesetdisjoncteurs
Desmaxifusibles, desfusiblesminiaturesetdes disjoncteursprotègentlescircuitsélectriquesdevotre véhiculecontrelescourts-circuits. Ilsréduisent considérablementlerisqued'incendieprovenantd'un problèmeélectrique.
Observerlabandeargentéequisetrouveàl'intérieur dufusible. Silabandeestcasséeoufondue, remplacerlefusible. S'assurerderemplacerunfusible endommagéparunfusibleneufdedimensionsetde calibreidentiques.
Sivousavezunproblèmeencoursderouteetque vousn'avezpasdefusiblederechange, vouspouvez enemprunterunquialemêmeampérage. Choisirune caractéristiqueduvéhiculedontvouspouvezvous
passer, parexemplelaradiooul'allume-cigarette, etutilisersonfusibles'ilestdubonampérage. Leremplacerdèsquevouslepouvez.
Lesvéhiculesmunisdel'équipementpourZR-1 sont équipés d'unrelaisderefroidisseursituésurlatuyère duventilateur. Consultervotreconcessionnaire.
Lesvéhiculesmunisdel'équipementpourZR-1 sont égalementéquipésd'unmini-fusibledecircuit d'alimentationsituéàproximitédelabatterie, dansle compartimentderangementhébergeantlabatterie, à l'arrièreduvéhicule.
Bloc-fusiblesd'ensemble d'instruments
Lebloc-fusiblesdetableaudebordestsituéducôté passagerduvéhicule, sousletableaudebordetsous lerebordprotecteur.
Retirerletapisetlaprotectiondurebordprotecteur pouraccéderaubloc-fusibles,entirantsurlapartie supérieuredechaquecoindupanneau.Ouvrirle couvercledubloc-fusiblespouraccéderauxfusibles.
Vous pouvez retirer les fusibles à l'aidedel extracteur defusibles.

flowchart
graph TD
A["SPARE"] --> B["FUSE PLR"]
C["SPARE"] --> B
D["SPARE"] --> B
E["SPARE"] --> B
B --> F["BCK/UP LAMP"]
B --> G["RUN CRNK"]
H["TPA"] --> I["ONSTAR"]
I --> J["STOP LAMP"]
K["Reverse Lamps"] --> L["GMLAN RUN/CRNK"]
M["DR LCK"] --> N["ECM"]
O["SWC DM"] --> P["ISRV/MHVAC"]
Q["CLSTR/HUD"] --> R["CRUISE SWITCH"]
S["HVACPWR END"] --> T["TONNEAU RELISE"]
U["LTR"] --> V["EXH MDL"]
W["DRW FD SWC"] --> X["EXH MDL"]
Y["WPP DWELL"] --> Z["EXH MDL"]
AA["TONNEAU RELISE"] --> AB["REARIFOG"]
AC["TRUNK RELISE"] --> AD["FUEL DR RELISE"]
| FusiblesUsage | |
| BCK/UPLAMPFeuxderecul | |
| BLANKNonutilisé | |
| BLANKNonutilisé | |
| BTSISOL/STRWHLLCK | Systèmedeverrouillagedulevieride vitessesaudémarrage,verrouillage decolonnededirection |
| CLSTR/HUD | Grouped'instruments,affichageàtête haute |
| CRUISE SWITCH | Commutateurdurégulateurdevitesse |
| CTSY/LAMPÉclairaged'accueil | |
| DRLCKSerruresdeporte | |
| DRIVDR SWITCH | Commutateurlaporteduconducteur |
| ECM | Moduledecommandedu moteur(ECM) |
| EXHMDL | Moduled'échappement(Z06etZR1),rechange(coupéetdécapotable) |
| FusiblesUsage | |
| GMLANRUN/CRNK | AppareilsGMLAN |
| HTDSEAT/WPRRLY | Siègechauffant,relaisd'essuie-glace |
| HVAC/PWRSND | Chauffage,ventilationetclimatisation,sondeurélectrique |
| IGNSWTCH/INTRSNSR | Commutateurd'allumage,capteurd'intrusion |
| ISRVM/HVAC | Rétroviseurélectriqueintérieur,chauffage,ventilation,climatisation |
| ONSTAROnStar | MD |
| RDO/S-BANDRadio,bandeS | |
| REARFOG/ALDL/TOPSWTCH | Phareantibrouillardarrière,connecteurdeliaisondediagnosticdechaînedemontage,commutateurdetoitdécapotable |
| REVERSELAMPS | Feuxderecul |
| RUNCRNKRelais | demarche/démarrage |
| SDM/AOSSWTCHAIRBAG | Modulededétectiontedediagnostic, modulededétectionautomatique d'occupant,sacgonflable |
| SPAREFusiblede | rechange |
| SPAREFusiblede | rechange |
| SPAREFusiblede | rechange |
| SPAREFusiblede | rechange |
| STOPLAMPFeud | arrêt |
| SWCDMRéglaged | d'intensitéduvolant |
| TELESWTCH/MSM | Commutateurd'inclinaison,modulede siègeàmémoire |
| TONNEAURELSE | Ouverturedebâche |
| TPA | Actionneurdefermeturedu couvre-toit |
| FusiblesUsage | |
| BLANKVierge | |
| BLANKVierge | |
| FUELDRRELSE | Déverrouillageduvoletderéservoiràcarburant |
| REAR/FOGPhares | santibrouillardarrière |
| TONNEAURELSE | Ouverturedebâche |
| TRUNKRELSED | Déverrouillageducoffre |
| FusiblesUsage | |
| AUXPWRAlimentationauxiliaire | |
| BLANKNonutilisé | |
| BLANKNonutilisé | |
| BLANKNonutilisé | |
| BLANKNonutilisé | |
| BLANKNonutilisé | |
| BLANKNonutilisé | |
| BLANKNonutilisé | |
| DRVRHTDSEAT | Siègechauffantduconducteur |
| LTRAllume-cigarette | |
| PASSHTDSEAT | Siègechauffantdupassager |
| PWRSEATSMSM | Siègesélectriques,moduledusiègeà mémoire |
| PWRWNDWS/FUELRELSE | Glacesàcommandeélectrique, coffre,dégagementduvoletdu réservoiràcarburant |
| TRUNKRELSEDé/verrouillageducoffre | |
| WPRDWELLContactdesessuie-glaces | |
| WPR/WSWEssuie-glace/lave-glace | |
Bloc-fusiblesdecompartment moteur
Unboîtieràfusiblessetrouvedansle compartiment-moteurducôtépassagerdu véhicule.SereporteràlarubriqueAperçudu compartimentmoteur àlapage6-16 pourconnaître sonemplacement.
Remarque: Renverserduliquidesurdes composantsélectriquesduvéhiculepeutles endommager. Laissettoujourslescouvercles surlescomposantsélectriques.

text_image
54 28 27 33 32 32 33 41 42 45 36 47 40 44 43 55 37 38 39 34 38 22 2 B+ ○PourlesmodèlesZR1, lefusibleducircuit d'alimentationencarburantsetrouveàlabatterie.
| FusibleUsage | |
| 1 | Moduledecommandedelaboîtedevitesses/boîtedevitesses |
| 2Klaxon,détecteur d'alternateur | |
| 3 | Systèmedefreinageantiblocage(ABS)/amortissemententempsréel |
| 4Essuie-glace | |
| 5Feuxd'arrêt/feuxderecul | |
| 6Sondeàoxygène | |
| 7Batterieprincipale5 | |
| 8Feuxdestationnement | |
| 9 | Entréedurelaisdugroupemotopropulseur/commandeélectroniquedesgaz |
| 10 | Solénoïdesdelaboîtedevitessesmanuelle |
| 11Systèmedefreinageantiblocage | |
| 12Injecteursdecarburantimpairs | |
| 13 | Commandeélectroniquedesuspension(option) |
| 14 | Solénoïdedepurgedel'absorbeurdevapeursdecarburant,débitmètred'airmassique |
| FusibleUsage | |
| 15Compresseurdeclimatiseur | |
| 16Injecteursdecarburantpairs | |
| 17Lave-glace | |
| 18Lave-phare | |
| 19Feudecloisementcôtépassager | |
| 20Pompeâcarburant(saufZR1) | |
| 21Feudecloisementcôtéconducteur | |
| 22Pharesantibrouillardavant | |
| 23Feuderdutecôtépassager | |
| 24Feuderdutecôtéconducteur | |
| 56 | Moduledecommandedumoteur(ECM)/moduledecommandedelaboïtedevitesses(TCM)/moduledecléautomatique |
| Fusiblesde typeJ | Usage |
| 25Ventilateurderefroidissement | |
| 26Fusibleprincipaldebatterie3 | |
| 27Systèmed'antiblocagedesfreins | |
| 28 | Ventilateurdusystèmedechauffage, deventilationetdeclimatisation |
| 29Fusibleprincipaldebatterie2 | |
| 30Démarreur | |
| 31Amplificateurdusystèmeaudio | |
| 32Pompederefroidisseurintermédiaire | |
| 33Fusibleprincipaldebatterie1 | |
| Micro-relaisUsage | |
| 34Avertisseursonore | |
| 35Compresseurdeclimatisation | |
| 36Lave-glace | |
| 37 | Feuxdestationnement,pharesantibrouillard |
| 38Pharesantibrouillardavant | |
| 39Feuderoute | |
| 46Lave-phare | |
| 55Pompeacarburant(saufZR1) | |
| Mini-relaisUsage | |
| 40Désembueurdelunette | |
| 41Essuie-glace,haut/bas | |
| 42 | Essuie-glacedepare-brisemarche/accessoires |
| Mini-relaisUsage |
| 43Démarreur |
| 44Allumagegroupemotopropulseur1 |
| 45Essuie-glaceavant,marche/arrêt |
| 47Feudecroisement |
| Fusiblesde rechange | Usage |
| 48Fusiblederechange | |
| 49Fusiblederechange | |
| 50Fusiblederechange | |
| 51Fusiblederechange | |
| 52Fusiblederechange | |
| 53Fusiblederechange | |
| 54Extracteurdefusible |
| DiodesUsage | |
Capacitésetspécifications
Les capacités approximatives suivantes sont données selon les conversions anglaises et métriques.
SereporteràLiquidesetlubrifiantsrecommandés àlapage7-10 pourplusderenseignements.
| Application | Capacités | |
| UnitémétriqueUnités | anglaises | |
| FluidefrigorigènedeclimatisationR134a | Pour le volume de charge de réfrigérant du circuit de climatisation,sereporteràl'étiquettedemiseen gardederéfrigérantplacéesouslecapot.Consulter votreconcessionnairepourplusd'information. | |
| Systèmederefroidissement | ||
| MoteurV8LS3de6,2L11,3L11,9pintes | ||
| MoteurV8LS9de6,2Lsuralimenté–Systèmede refroidissement | 12,0L12,7pintes | |
| MoteurV8LS9de6,2Lsuralimenté–Systèmede refroidissementdurefroidisseurintermédiairedu turbocompresseur | 4,9L5,2pintes | |
| MoteurV8LS7de7,0L11,3L11,9pintes | UnitémétriqueUnités | sanglaises |
| Huilemoteuravecfiltre | ||
| MoteurV8LS3de6,2L5,7L6,0pintes | ||
| MoteurV8LS3de6,2Lavecsystèmedelubrificationavec cartersecZ52 | 9,9L10,5pintes | |
| MoteurV8LS9de6,2Lsuralimenté9,9L10,5pintes | ||
| MoteurV8LS7de7,0L9,9L10,5pintes | ||
| Réservoirdecarburant68,0L18,0gallons | ||
| Liquidedeboîtedevitesses | ||
| Boîtedevitessesautomatique(Déposeducarteret remplacementdufiltre) | 6,2L6,5pintes | |
| Boîte de vitesses manuelle – Base | 3,5 L | 3,6 pintes |
| Boîte de vitesses manuelle – Z16 | 4,0 L | 4,2 pintes |
| Boîte de vitesses manuelle – Z06 | 4,3 L | 4,5 pintes |
| Boîte de vitesses manuelle – ZR1 | 4,3 L | 4,5 pintes |
| Coupled'écrouderoue140N•m100lbpi | ||
| Les capacités indiquées sont approximatives. Lors de l'ajout de liquide, remplir jusqu'au niveau indiqué, selon les recommandations du présent manuel, puis revérifier le niveau du liquide. | ||
Caractéristiquesdumoteur
| MoteurCodeNIVBoîtedevitesses | Écartementdes électrodes | Ordred'allumage | ||
| MoteurV8LS3de 6,2L | W | Automatique Manuel | 1,016 mm (0,040 po) | 1-8-7-2-6-5-4-3 |
| MoteurV8LS9de 6,2L | T | Manuel | 1,016 mm (0,040 po) | 1-8-7-2-6-5-4-3 |
| MoteurV8LS7de 7,0L | E | Manuel | 1,016 mm (0,040 po) | 1-8-7-2-6-5-4-3 |
Donnéesdemoteur
| MoteurPuissance | CoupledeserrageCylindrée | Tauxde compression | |
| MoteurV8LS3de 6,2LsansoptionNPP | 430à5900tr/min424lbpià4600tr/min6,2L | 10,69:1 | |
| MoteurV8LS3de 6,2LavecoptionNPP | 436à5900tr/min428lbpià4600tr/min6,2L | 10,69:1 | |
| MoteurV8LS9de 6,2Lsuralimenté | 638à6500tr/min604lbpià3800tr/min6,2L | 9,10:1 | |
| MoteurV8LS7de 7,0L | 505à6300tr/min470lbpià4800tr/min7,0L | 11,00:1 |
NOTES
Section7Programmed'entretien
Programme d'entretien 7-2
Introduction....7-2
Entretienprévu....7-3
Vérificationsetservicesparlepropriétaire.....7-8
Liquidesetlubrifiantsrecommandés....7-10
Piècesderemplacementd'entretien......7-12
Dispositiondelacourroied'entraînement.....7-13
Fiched'entretien....7-14
Programmed'entretien
Introduction
Remarque: Les intervalles d'entretien, les vérifications, les inspections, les liquides et lubrifiants préconisés sont nécessaires à la conservationen bon état defonctionnement de ce véhicule. Les dommages quidécoulent du non-respect du programmed d'entretien peuvent ne pas être couverts par lagantient du véhicule.
Unentretiencorrectduvéhiculepermetdemaintenir celui-cienbonétatdefonctionnement, diminuela consommationdecarburantetréduitlesémissionsdu véhicule pour une meilleure qualité de l'air.
Commeilexisteautantdefaçonsdeconduireun véhiculequ'ilyad'automobilistes,lesbesoinsvariant enmatièred'entretien.Levéhiculedevrapeut-être plusfréquemmentcontrôléetréparé.Bienlireles informationsfigurantsousProgrammed'entretien. Pourgarderlevéhiculeenbonétat,consultervotre concessionnaire.
Leprogrammed'entretiens'appliqueauxvéhiculesqui:
- Transportentdespassagersetdeschargesdans leslimitesrecommandées. Ces limites figurent sur l'étiquetted'informationsurlespneusetle chargementduvéhicule. Sereporter à larubrique Chargementduvéhicule à lapage 5-32.
- Sontconduitssurdebonsrevêtementsroutiersà lavitesseautorisée.
- Utilisentlecarburantrecommandé. Sereporteràla rubrique Indice d'octane à la page 6-8.

AVERTISSEMENT:
Ilpeutêtredangereuxd'effectuerdestravaux d'entretiensurunvéhicule. Vous pour riez vous blesser gravementen essayant d'effectuer certainestâches vous-même. Procéderaux travaux d'entretien uniquements vous savez les compétences nécessaires ainsi que les soutilset équipements appropriés. Encasdedoute, contactervotre concessionnaire pour qu'un technicien qualifié fasse le travail. Sereporter à larubrique Entretien parle propriétaire à la page 6-6.
ChezvotreconcessionnaireGeneralMotors, vous pouvez trecertaind'obtenirleplushautniveaude serviceset desoins possibles. Lestechniciens de votre concessionnaire ontsuivi une formations spéciale pour maintenire tréparervotrevéhicule. Ils utilisent des pièces der emplacement d'origine GM, ainsi que les outilset équipements les plus récents pour assurer des diagnostics rapides et précis.
Lespiècesderemplacement, liquidesetlubrifiants correctsàutilisersontreprissous Liquidesetlubrifiants recommandés àlapage7-10 et Piècesde remplacementd'entretien àlapage7-12. Nous préconisons l'utilisationdepièces d'origineprovenant devotreconcessionnaire.
Entretienprévu
Lorsdel'affichagedumessageChange EngineOil(vidangerl'huilemoteur)
Vidangerl'huileetremplacerlefiltre.Sereporteràla rubriqueHuileàmoteur àlapage6-22 .Unentretien antipollution.
Lorsdel'affichagedumessageinvitantàvidanger l'huilemoteur,l'interventionestrequisedèsque possibleetentoutcasavant1000km/600milles. Enroulantdanslesconditionsidéales,lesystème deduréedeviedel'huilemoteurpeutnes'afficher qu'aprèsplusd'unan.L'huilemoteuretlefiltredoivent êtreremplacésaunoinsunefoisl'anetlesystème deduréedeviedel'huiledoitêtreréinitialisé.Votre concessionnairepossèdedestechniciensqualifiésqui effectuerontcetravailetréinitialiserontlesystème.Sile systèmededuréedeviedel'huilemoteurestréinitialisé accidentellement,l'opérationdevidangedoits'effectuer auplustard5000km/3000millesaprèsladernière intervention. Lesystèmededuréedeviedel'huiledoit étreréinitialiséaprèschaquevidange. Voir Indicateur d'usure d'huile à moteur à la page 6-29.
Lorsquelemessageinvitantàvidangerl'huilemoteur s'affiche, certainesinterventionsetvérifications sont nécessaires. Les interventionsdécritesauprogramme d'entretienIsontrequisesàchaquevidange. Les interventionsdécritesauprogrammed'entretienIsont requisesdanslessituationssuivantes:
• L'entretienlaétéeffectuélorsdeladernière vidangedel'huilemoteur.
- Dixmoisouplussesontécoulésdepuisl'affichage dumessageinvitantàvidangerl'huilemoteurou depuisladernièreintervention.
EntretienI
- Vidangerl'huileetremplacerlefiltre.Sereporter àlarubriqueHuileàmoteur àlapage6-22 .Un entretienantipollution.
- Vérificationduniveaudeliquidederefroidissement dumoteur.SereporteràLiquidede refroidissementàlapage6-40.
-
Vérificationduniveauduliquidedelave-glace. SereporteràlarubriqueLiquidedelave-glace à la page6-50.
• Vérificationdelapressiondespneus.Sereporter à Gonflement-Pressiondespneusàlapage6-85. -
Vérificationdel'usuredespneus.Sereporterà Inspectionetpermutationdespneusàla page6-91.
- Examenvisueldel'étanchéité(outousles12mois, selonlapremièreéchéance).Unefuitedoitêtre colmatéeetleniveauduliquidedoitêtrevérifié.
- Inspectiondufiltreàairdumoteur(dansun environnementpoussièreuxuniquement). VoirFiltreàairdumoteuràlapage6-31.
- Examenducircuitdefreinage(outousles12mois, selonlapremièreéventualité).
EntretienII
- Effectuertouteslesopérationsduprogramme d'entretienl.
- Examendeladirectionetlasuspension. Rechercherdesorganesendommagés, desserrés oumanquantsainsiquedessignesd'usure.
- Examenducircuitderefroidissementdumoteur. Examenvisueldesflexibles,tuyaux,raccordset colliers.Effectuerlesremplacementsnécessaires.
- Examendebalaisd'essuie-glaceavant. Vérifier l'absenced'usure, defissuresetdesouillures. Nettoyerlepare-briseetlesbalaisd'essuie-glace
souillés.VoirPare-briseetlamesd'essuie-glace à lapage6-113 .Remplacementdebalai d'essuie-glaceuséouendommagé.Voir Remplacementdelaracletted'essuie-glace à la page6-71.
- Graissagedescharnièresetloquetsdela carrosserie,desbarilletsdeserrure,du mécanismedesiegerabattable,descharnièreset loquetsducompartimentarrière,decapotetdes voletsdeconsole.SereporteràLiquideset lubrifiantsrecommandés àlapage7-10 .Sile véhiculeestexposéàunenvironnementcorrosif, lubrifierplussouvent.L'applicationdegraisseau siliconesurlesbourreletsd'étanchéitéaumoyen d'unchiffonproprepermetd'enprolongerladurée devie,d'enaméliorerl'étanchéitéetdeles empêcherdecolleroudegrincer.
- Vérificationdesorganesdusystèmedeprotection. VoirVérificationdel'appareilderetenue à la page2-62.
- Examendufiltreàairdumoteur.Sereporteràla rubrique Filtre à air du moteur à la page 6-31.
- Remplacementdufiltreaïardel'habitacle(outous les12mois, selonlapremièreoccurrence). Unremplacementplusfréquentpeuts'avérer nécessaire dans un environnement poussiéreux.
Réparationsadditionnellesrequises
Lorsdechaqueremplissagedecarburant
- Vérificationduniveaud'huilemoteur.Sereporterà Huileàmoteuràlapage6-22.
- Vérificationduniveaudeliquidederefroidissement dumoteur.SereporteràLiquidede refroidissementàlapage6-40.
- Vérificationduniveauduliquidedelave-glace. SereporteràlarubriqueLiquidedelave-glace à la page6-50.
Unefoisparmois
• Vérificationdelapressiondespneus.Sereporter à Gonflement-Pressiondespneusàlapage6-85.
- Vérificationdel'usuredespneus.Sereporterà Inspectionetpermutationdespneusàla page6-91.
Unefoisparan
- Vérificationducommutateurdedémarrage. Voir Vérificationsetservicesparlepropriétaire à la page7-8.
-
Vérificationdufreindestationnementet du mécanismedelapositiondestationnement(P) de laboîtedevitessesautomatique. Voir Vérifications etservicesparlepropriétaireàlapage7-8.
-
Vérificationdusystèmedecommandede verrouillagedechangementdevitessedelaboîte automatique. Voir Vérificationsetservicesparle propriétaire à lapage 7-8.
- Vérificationducircuitderefroidissementet delapressiondubouchonàpression.Nettoyage extérieurduradiateuretducondenseurde climatisation.VoirSystèmederefroidissement (Moteur) àlapage6-38 ouSystèmede refroidissement(Refroidisseurintermédiaire) à la page6-39.
- Examendescircuitsd'échappementetdes écransthermiquesavoisinantsenrecherchant desorganesdesserrésouendommagés.
- Vérificationdelapédaled'accélérateuren recherchantdesdégâts,destracesd'efforts importantsoudugrippage.Remplacerselon lesbesoins.
Unefoistouslesdeuxans
- Vidanger, rinceretremplirlecircuithydraulique d'embrayage. Entretien à intervaller égulier (loull) tous les deux ans. Cette intervention peut être complexe etestréservée à votre concessionnaire. Sereporter à embrayage à commandé hydraulique à lapage 6-36 .
Premièrevidanged'huileaprès40000km/25000milles
- Examenducircuitd'alimentationencarburanten recherchantdesdégâtsetdesfuites.
- ZR1 uniquement: remplacementdufiltre à airdu moteur. Sereporter à Filtre à airdu moteur à la page 6-31.
Premièrevidanged'huileaprès80000km/50000milles
- Remplacementdufiltreàairdumoteur. SereporteràlarubriqueFiltreàairdumoteur à la page6-31.
- Vidangeduliquidedeboîtesdevitesse automatiqueencasdeconditionsrigoureuses pourlesvéhiculesconduitsprincipalement dans la circulationurbainepartempschaud, enmontagne, enutilisantfréquemmentuneremorqueoupour lestaxis, lapoliceoulesservicesdelivraison. VoirLiquidedeboîtedevitessesautomatique à la page6-35.
Premièrevidanged'huileaprès160000km/100000milles
- Vidangeduliquidedeboîteautomatique (conditionsnormalesdeconduite).VoireLiquide de boîte de vitesses automatique à la page 6-35.
- Remplacementdesbougiesetexamendesfilsde bougie. Unentretienantipollution.
Premièrevidanged'huileaprès240000km/150000milles
- Évacuation, rinçageetremplissageducircuitde refroidissementdumoteur, vérificationducircuit derefroidissementetdubouchonàpression, nettoyagedel'extérieurduradiateuretdu condenseurdeclimatisation(touslescingans, selonlapremièreéchéance). VoirLiquidede refroidissement àlapage6-40 . Unentretien antipollution.
- ZR1 uniquement: vidanger, rinceretremplirle systèmederefroidisseurintermédiaire (outous lescinqans, selonlapremièreoccurrence). Voir Liquidederefroidissement à lapage 6-40.
- Examendelacourroied'entraînementdes accessoiresdumoteur.Inspectervisuellementla courroiepours'assurerqu'ellenecomportepasde fissure,dedéchirureimportante,oudedommage apparent.Remplacerlacourroieaubesoin.Un entretienantipollution.
Entretienprévu
| EntretienEntretienlEntretienII | ||
| Remplacement de l'huile moteur et du filtre. Réinitialiser l'indicateur de vidange. | • | • |
| Vérificationduniveaudeliquidederefroidissement.• • | ||
| Vérificationduniveauduliquidedelave-glace.• • | ||
| Vérificationdelapressiondespneus• • | ||
| Vérificationdel'usuredespneus.• • | ||
| Examenvisueldel'étanchéité.• • | ||
| Inspectiondufiltreàairdumoteur(dansunenvironnementpoussiéreux uniquement). | • | • |
| Vérificationdusystèmedefreinage.• • | ||
| Vérificationdeladirectionetdelasuspension.• | ||
| Inspection du système de refroidissement du moteur. | • | |
| Examendebalaid'essuie-glace.• | ||
| Lubrificationdesélémentsdecarrosserie. | • | |
| Vérificationdesorganesdudispositifdeprotection. | • | |
| Inspection du filtre à air du moteur (dans un environnement non poussiéreux). | • | |
| Remplacementdufiltreàairdel'habitacle. | • |
Vérificationsetservicesparle propriétaire
Vérificationducommutateurde démarrage

AVERTISSEMENT:
Aucoursdecetteinspection,levéhiculepourrait subitementsedéplacer.Sitelestecas,vousou d'autrespersonnespourraientêtreblessées.
- Avantd'entamercettevérification, s'assurerqu'ily asuffisammentd'espaceautourduvéhicule.
- Serrerfermentlefreindestationnementetles freinsordinaires. Sereporteràlarubrique Freinde stationnementàlapage 3-38.
Nepasappuyersurlapédaled'accélérateuret êtreprêtàcouperimmédiatementlecontactsile moteurdémarre. - Surlesvéhiculeséquipésd'uneboîtedevitesses automatique, essayerdedémarrerlemoteur danschaquerapport. Levéhiculedoitdémarrer uniquementenpositiondestationnement(P)ou
pointmort(N).S'ildémarredansn'importequelle autre position, contacter le concessionnaire pour le faireréparer.
Silaboîtedevitessesestmanuelle, lamettreau pointmort(N), enfoncerlapédaled'embrayage àmi-courseetessayerdedémarrerlemoteur. Ledémarreurnedevraitfonctionnerquelorsquela pédaled'embrayageestenfoncéeafond. Sice n'estpaslecas, s'adresserauconcessionnaire pourlefaireréparer.
Vérificationdusystèmedecommande deverrouillagedechangementde vitessedelaboîteautomatique

AVERTISSEMENT:
Aucoursdecetteinspection,levéhiculepourrait subitementsedéplacer.Sitelestlecas,vousou d'autrespersonnespourraientêtreblessées.
- Avantd'entamercettevérification, s'assurerqu'ily asuffisamment d'espaceautourduvéhicule. Levéhiculedoitsetrouversurunesurfaceplane.
- Serreràfondlefreindestationnement. Sereporter à larubrique Freindestationnement à la page 3-38.
Seprépareràserrerlesfreinsordinaires immédiatementsilevéhiculecommenceà avancer.
- Sansdémarrerlemoteurniappuyersurlesfreins, essayersansforcerd'extrairelelevierdesélection delapositiondestationnement(P). Silelevierde sélectionquittelapositiondestationnement(P) s'adresseràvotreconcessionnairepourlefaire réparer.
Vérificationdufreindestationnement etdumécanismedelapositionde stationnement(P)delaboîtede vitessesautomatique

AVERTISSEMENT:
Lorsdecettevérification,levéhiculepourraitse mettreenbranle. Vousoud'autrespersonnes pourriezêtreblessésetdesbienspourraientêtre endommagés. S'assurerdelaprésenced'espace àl'avantduvéhiculeaucasoùilcommenceraità rouler. Étreprêta appliquerimmédiatementla pédaledefreinsilevéhiculesemetenbranle.
Arrêterlevéhiculesurunepenteassezraide, lenez danslesensdeladescente. Toutenappuyantsurla pédaledesfreinsordinaires, serrerlefreinde stationnement.
- Pourvérifierlacapacitéderetenuedufreinde stationnement: aveclemoteurenmarcheetla boîtedevitessesaupointmort(N), retirer lentementlepieddelapédaledefreinordinaire. Continuerjusqu'àcequelevéhiculenesoitretenu queparlefreindestationnement.
- Pour vérifier lacapacité der tenuedum mécanisme delapositiondestationnement (P): lemoteur tournant, amener lelevier des sélection à laposition destationnement (P). Desserrer lefreinde stationnement puis les freins ordinaires.
Siuneréparations'impose, s'adresserau concessionnaire.
Liquidesetlubrifiantsrecommandés
Lesliquidesetlubrifiantsidentifiésci-dessousparleur nom, leurnumérodepièceouparleursspécifications sont disponibleschezvotreconcessionnaire.
| UsageLiquide/lubrifiant | |
| Huileàmoteur | Lemoteurrequiertunehuilespéciale conformeàlanormeGM4718M.Leshuilesrépondantàcettenorme peuventêtreidentifiéescommesynthétiquesetdevraientégalement porterlesceaudentelé«American PetroleumInstitute(API)(l'institut américaindepétrole)Certifiedfor GasolineEngines»(certifiéepour moteursàessence).Toutefois, certainesmarquesd'huilesynthétique répondantauxnormesdel'APlet portantlesceaudentelénesatisfont pasàcettenormeGM.Vousne devriezemployerquedeshuilesqui respectentlanormeGM4718M.Pour connaîtrelaviscositéquiconvient,se reporteràlarubriqueHuileàmoteur à lapage6-22 . |
| UsageLiquide/lubrifiant | |
| Liquidederefroidissementdumoteur | Mélangeà50/50d'eaupotableprepretdeliquidederefroidissementDEX-COOL ^MD uniquement.SereporteràLiquidederefroidissementàlapage6-40. |
| UniquementmodèlesZR1:refroidisseurintermédiaire | Mélangeà50/50d'eaupotableprepretdeliquidederefroidissementDEX-COOL ^MD uniquement.SereporteràLiquidederefroidissementàlapage6-40. |
| Systèmedefreinagehydraulique | LiquidedefreinhydrauliqueDOT3(nodepièceGME.-U.88862806,Canada88862807). |
| Lave-glaceLiquidedelave-glaceOptikleen ^MD . | |
| Systèmed'embrayagehydraulique | Liquided'embrayagehydraulique.N'utiliserqueleliquidedefreinSuperDOT-4nodepièceGME.-U.88958860,Canada88901244. |
| Systèmedeservodirection | LiquidedeservodirectionGM(nodepièceGMÉ.-U.89021184,Canada89021186). |
| Lubrification duchâssis (extrémités externesdes biellettes depincement arrièredans lecasde l'optionZ06, ZR1ouZ51) | Lubrifiantdechâssis (nodepièce GMÉ.-U.12377985, Canada88901242)oulubrifiant conformeàlanormeNLGIno2, catégorieLBouGC-LB. |
| Boîtede vitesses manuelle | Liquidedeboîtedevitessesmanuelle (nodepièceGMÉ.-U.88861800, Canada88861801). |
| Boîtede vitesses automatique | Liquidedeboîtedevitesses automatiqueDEXRON ^MD -VI. |
| Barilletsde serrures | Lubrifiantàusagegénéral,Superlube (nodepièceGMÉ.-U.12346241, Canada10953474). |
| Essieuarrière (différentielà glissement limité) | Huilepourengrenages DEXRON^MD LS.SereporteràEssieu arrièreàlapage6-65. |
| UsageLiquide/lubrifiant | |
| Loquetde capot,loquet secondaire,pivots,ancrage deressort,cliquetde déclenchement | LubrifiantaérosolLubriplate(nodepièceGMÉ.-U.12346293,Canada992723)oulubrifiantconformeàlanormeNLGIno2,catégorieLBouGC-LB. |
| Charnières decapotet deportes | Lubrifiantàusagegénéral,Superlube(nodepièceGMÉ.-U.12346241,Canada10953474). |
| Conditionnementdes profilés d'étanchéité | Lubrifiantpourbourreletd'étanchéité(nodepièceGMÉ.-U.3634770,Canada10953518)ougraissediélectriqueauxsilicones(nodepièceGMÉ.-U.12345579,Canada992887). |
Piècesderemplacementd'entretien
Lespiècesderechangeindiquéesci-aprèsparleurnom, numéroderéférenceouspécificationpeuventêtre obtenuesauprèsdevotreconcessionnaire.
| Pièce | Numérode référenceGM | Numérode référenceACDelco |
| Filtreàairdumoteur | ||
| MoteursV8LS3de6,2LetV8LS7de7,0L15776148A3077C | ||
| Moteur V8 LS9 de 6,2 L suralimenté | 25940997 | A3107C |
| Filtreàhuiledumoteur | ||
| MoteurV8LS3de6,2L89017524PF48 | ||
| Moteur6,2LLS3V8avecsystèmedelubrification àcartersecZ52 | 12626224UPF-48R | |
| Moteur V8 LS9 de 6,2 L suralimenté | 12626224 | UPF-48R |
| MoteurV8LS7de7,0L12626224UPF-48R | ||
| Cartouche de filtre à air de l'habitacle | 15848592 | CF139 |
| Bougied'allumage | ||
| MoteurV8LS3de6,2L1262125841-110 | ||
| MoteurV8LS9de6,2Lsuralimenté1257116541-104 | ||
| MoteurV8LS7de7,0L1257116541-104 | ||
| Balaisd'essuie-glace—52,5cm(20,7po) | ||
| Côté conducteur | 12335960 | — |
| Côté passager | 12335961 | — |
Dispositiondelacourroie d'entraînement

Une fois l'entretien prévu terminé, noter la date, le relevé du compteur kilométrique et indiquer qui a effectué l'entretien, et le type d'entretien dans les cases prévues à cet effet. Conserver tous les reçus d'entretien.
Fiched'entretien
| DateKilométrageEntretien | parServicesréalisés | |
Fiched'entretien(cont'd)
| DateKilométrageEntretienparServicesréalisés | |||
Fiched'entretien(cont'd)
| DateKilométrageEntretien | parServicesréalisés | |
Section8Informationducentred'assistanceàlaclientèle
Informationducentred'assistanceàla
clientèle....8-2
Procéduredesatisfactiondelaclientèle......8-2
Centred'aideenligneàlaclientèle....8-5
Assistancetechniqueauxutilisateursde téléscripteurs....8-6
Bureauxd'assistanceàlaclientèle....8-6
Programmederemboursementde mobilitéGM....8-8
Programmed'assistanceroutière....8-8
Rendez-vousd'entretienspériodiques......8-11
Programmedetransportdecourtoisie......8-11
Réparationdedommagescausésparune collision....8-14
Déclaration des défectuosités comprommettant
la sécurité 8-18
Commentsignalerlesdéfectuosités compromettantlasécuritéaugouvernement desÉtats-Unis....8-18
Commentsignalerlesdéfectuosités compromettantlasécuritéaugouvernement canadien....8-19
Commentsignalerlesdéfectuosités comprommettantlasécurité à General Motors....8-19
Renseignementssurlacommandedeguides deréparation....8-20
Enregistrementdedonnéesduvéhiculeet
politiquesurlavieprivée....8-21
Enregistreursdedonnéesd'événement.....8-22
OnStar ^MD 8-23
Systèmedenavigation....8-23
Identificationdefréquenceradio....8-23
Énoncédefréquenceradio....8-23
Informationducentre d'assistanceàlaclientèle
Procéduredesatisfactiondela clientèle
Lasatisfactionetlabienveillancedesclientssont importantespourleconcessionnaireetpourChevrolet. Normalement,toutcasouquestionserapportantàla venteetaufonctionnementduvéhiculeserarésolupar leservicedesventesouleserviceaprès-ventedu concessionnaire. Toutefois,etendépitdesmeilleures intentionsdetouteslespartiesintéressées,ilpeutse produiredesmalentendus.Sivousavezuncasqui, selonvous,n'apasreçutoutel'attentionqu'ilméritait, nousvousconseillonsdeprendrelesmesures suivantes:
PREMIÈREÉTAPE: Présentervotrecasàunmembre deladirectiondel'établissementconcessionnaire. Normalement, les problèmes peuventêtrerésolus rapidement à ceniveau. Silecasadéjàétéprésenté auchefduservicedes ventes, auchefduservice après-venteouauchefduservicedes pièceset accessoires, communiquer aveclepropriétaireoule directeur généralde l'établissement.
DEUXIÈMEÉTAPE: Si, après savoirconsultéun membredeladirectionduconcessionnaire, votrecas nepeutêtrerésolusansaideextérieure, appelerle centred'assistance à clientèlede Chevroletaux États-Unisau 1-800-222-1020. AuCanada, appelerle centredecommunication-clientèledela General Motorsdu Canada au 1-800-263-3777 (enanglais) oule 1-800-263-7854 (enfrançais).
Nousvousrecommandonsd'utiliserlenumérosans fraispourobtenirrapidementdel'aide. Étreprêta fournirlesrenseignementssuivantsauconseillerdu Centred'assistanceàlaclientèle:
- Numéro d'identification duvéhicule (NIV). Vous trouverezcenumérosurlecertificatdepropriété duvéhiculeouletitre, ousurlaplaquette fixéeau coinsupérieurgauchedutableaudebordetvisible à traverslepare-brise.
• Nometadresseduconcessionnaire. - Datedelivraisonetkilométrageactuelduvéhicule.
LorsquevouscontactezChevrolet,serappeler queleproblèmeseraprobablementrésoludans lesétablissementsd'unconcessionnaire.C'est pourquoiousvoussuggéronsd'effectuerd'abord lapremière étape.
TROISIÈMEÉTAPE—Propriétairesaméricains:
GeneralMotorsetvotreconcessionnaires'engagentà toutmettreenoeuvrepourquelepropriétairedu véhiculeneufsoitentièrement satisfait. Toutefois, sivousdeviezresterinsatisfaitaprèsavoirsuiviles procéduresdécritesauxÉtapesUnetDeux, vous pouvezvousinscrireaprogrammeBureaud'éthique commerciale(BBB)LigneAutopourfaireappliquervos droits.
Le BBB Auto Line Program (le programme de ligne auto dubureau d'éthique commerciale) est une initiative hors tribunaux administré par le conseil de Better Business Bureau (bureau d'éthique commerciale) pour arbitrage de litiges relatifs aux réparations automobiles ou à l'interprétation del agarantiel limité d'un nouveau véhicule. Mêmes il yalieudere courir à cettes solution d'arbitrages ans formalisme avant d'entreprendre une action éventuelle devant le tribunaux, ciprogramme n'imposeaucun fraiset lacause est généralement entendu dans un dé laid environ 40 jours. Sile demande n'est pas d'accord avec cladécision ayant été prised dans le cas en question, cette décision peut être jetée toute autre action disponible peut être entreprise.
IlestpossibledecommuniqueravecleBBBAutoLine Programparlebiaisdelalignetéléphoniquesansfrais ouenécrivantàl'adressesuivante:
BBBAutoLineProgram
Ceprogrammeestdisponibleauxrésidentsdes 50étatetdudistrictdeColumbia.L'admissibilité à ceprogrammedépenddel'annéedefabrication du véhicule,desonkilométrageenplusdediversautres facteurs.LaGeneralMotorsseréserveledroit de modifierleslimitationsd'admissibilité et/ou d'interrompresaparticipationàceprogramme.
TROISIÈMEÉTAPE—Propriétairescanadiens:
Sivousestimezquevosquestionsnereçoiventpas laréponsequevousattendezaprèsavoirsuivila procéduredécriteauxÉtapesUnetDeux,General MotorsduCanadaLimitéetientàvoussignalerqu'elle adhèreàunprogrammedemédiation/d'arbitrage gratuit. Ceprogrammepermetl'arbitragedesdifférends aveclespropriétaires,ausujetderéclamations concernantdesproblèmesdefabricationet d'assemblage.Ilconsisteenl'examendesfaitspar unarbitretiersetimpartial,etpeutinclureuneaudience informelledevantcetarbitre. Ceprogrammeestconçu defaçonàcequel'ensembléduprocessusde règlementdulitige,depuislemomentoùvousdéposez unéréclamationjusqu'àladécisionfinale,nedépasse pasenviron70jours.Nouspensionsquenotre programmeimpartialoffredesavantagesparrapport auxtribunauxdelaplupartdesjuridictionscarilest informel,rapideetsansfrais.
Pourplusderenseignementsssurl'admissibilité auProgrammed'arbitragepourlesvéhicules automobilesauCanada(PAVAC),composer gratuitementle1-800-207-0685ouappelerle Centredecommunication-clientèledeGeneral Motorsau1-800-263-3777(anglais)ouau 1-800-263-7854(français),ouécrireau:
Programmedemédiation/arbitrage
A/sCentredecommunicationaveclaclientèle
GeneralMotorsduCanadaLimitée
Lademandedevraêtreaccompagnéedunuméro d'identificationduvéhicule(NIV).
Centred'aideenligneàlaclientèle
Centred'aideenligneàlaclientèle (É.-U.)—www.gmownercenter.com/chevrolet
Informationsetservicespersonnaliséspourvotre véhiculespécifique—letoutaumêmeendroit.
- Guidenumériquedel'automobiliste, informations degarantie, etautresdocuments
- Enregistrementsenlignedesréparationset entretiens
- Trouverdanstoutlepaysdesconcessionnaires
Chevroletpourlesentretiens
• Privilègesetoffresexclusives
• Avisderappelpourvotrevéhiculespécifique - Résumésdesacquisdespossesseursdecartes OnStar ^MD etGM
Autresliensutiles:
Chevrolet—www.chevrolet.com
ChevroletMerchandise—www.chevymall.com
Centred'assistance—www.chevrolet.com/helpcenter
- FAQ
- Nouscontacter
MonGMCanada
(Canada)—www.gm.ca
MonGMCanadaestunesectionprotégéeparmotde passedusitewww.gm.caoùvouspouvezsauvegarder del'informationsurlesvéhiculesGM,obtenirdesoffres personnaliséesetutiliserdesoutilsetformulaires pratiques.
Voiciquelquesunsdesoutilsetservicesintéressants auxquelsvousaurezaccès:
- Masalled'exposition:trouveretsauvegarderde l'informationsurlesvéhiculesetlesoffres actuellesdansvotrerégion.
- Mesconcessionnaires:sauvegarderdesdétails telsquel'adresseetlenumérodetéléphonede chacundevosconcessionnairesGMpréférés.
- Mongarage: accéderàdesestimationsduservice après-vente, vérifierunevaleurderepriseoufixer unrendez-vousd'entretienenajoutantles véhiculesàvotreprofildegarage.
- Mespréférences:gérervotreprofiletutiliser facilementdesoutilsetformulaires.
Pourvousabonner, visiterlasection Mon GM Canada dusitewww.gm.ca.
Assistancetechniqueaux utilisateursdetéléscripteurs
Pouraiderlesclientsparlantouentendantdifficilement quiutilisentdestéléimprimeurs,Chevroletpossèdedes téléimprimeursàsoncentrededépannageroutier.Tout clientquidisposed'untéléimprimeurauxÉtats-Unis peutcommuniqueravecChevroletencomposantle 1-800-833-CHEV(1-800-833-2438).(Lesutilisateursde téléimprimeursauCanadapeuventcomposerle 1-800-263-3830.)
Bureauxd'assistanceàlaclientèle
Chevroletencouragelesclientsàcomposerlenuméro gratuitpourobtenirdel'aide. Toutefois, sileclient désireécrireouenvoyeruncourrielàChevrolet, se reporterauxadressessuivantes:
Assistance à la clientèleaux États-Unis
ChevroletMotorDivision
ChevroletCustomerAssistanceCenter
P.O.Box33170
Détroit, MI48232-5170
chevrolet.com
1-800-222-1020
1-800-833-2438(pourappareilstéléphoniquesà
texte:téléscripteurs)
Assistanceroutière:1-800-CHEV-USA
(1-800-243-8872)
DePortoRico:
1-800-496-9992(anglais)
1-800-496-9993(espagnol)
AuxÎlesViergesaméricaines:
1-800-496-9994
Assistance à la clientèleau Canada
GeneralMotorsduCanadaLimitée
Centredecommunicationdelaclientèle,
CA1-163-005
1908ColonelSamDrive
Oshawa,OntarioL1H8P7
gmcanada.com
1-800-263-3777(anglais)
1-800-263-7854(français)
1-800-263-3830(pourappareilstéléphoniquesà
texte:téléscripteurs)
Assistanceroutière:1-800-268-6800
Assistance à la clientèle à l'étranger
Prièredecommuniqueraveclesétablissementslocaux delaGeneralMotors.
Mexique, Amérique centraleet pays/îles des Caraïbes (sauf Porto Rico et les Vierges américaines)—Assistance à clientèle
General Motors de Mexico, S. de R. L. de C. V.
Centred'assistanceàlaclientèle
PaseodelaReforma#2740
Col.LomasdeBezares
C.P.11910, Mexico, D.F.
01-800-508-0000
Interurbain:011-52-53290800
Programmederemboursementde mobilitéGM
GM MOBILITY
Ceprogramme,offertaux souscripteurs qualifiés, peut permettredevous voir rembourser jusqu'à 1000\$ pour l'équipement adaptatif après-venten nécessaire à votre véhicule, telsquedes commandes manuellesou un élévateur pour fauteuils roulants souscooters.
Ceprogrammeestoffertpendantunepériodetrès limitéeàpartirdeladatedel'achatoudelalocation duvéhicule.Pourobtenirdesrenseignementsplus détaillésoudéterminersivotrevéhiculeestéligible, consulterlesitegmmobility.comouappelerleCentre d'aidedelocomotionGMau1-800-323-9935.Les usagersdetélécommunicationspourmalentendants (ATME)peuventappelerle1-800-833-9935.
General Motors du Canadad dispose également d'un programmed delocomotion. Pourobtenirdes renseignements plus détaillés, composer le 1-800-GM-DRIVE (1-800-463-7483). Lesusagers de TTY peuvent composer le 1-800-263-3830.
Programmed'assistanceroutière
PourlesvéhiculesachetésauxÉtats-Unis, composerle1-800-CHEV-USA(1-800-243-8872); (Téléscripteur(TTY):1-888-889-2438).
PourlesvéhiculesachetésauCanada,composerle 1-800-268-6800.
Leserviceestdisponible24heuressur24,365jours paran.
Appelpourobtenirdel'aide
Lorsdel'appelàl'assistanceroutière, avoirles informationssuivantesàportéedemain:
- Nom,adressedudomicile,etnumérodetéléphone dudomicile
- Numérodetéléphonedel'emplacementd'oùest effectuél'appel
• Emplacementduvéhicule - Modèle,année,couleuretnuméro d'immatriculationduvéhicule
- Kilométrage, numéro d'identification duvéhicule (NIV) et datedelivraisonduvéhicule
• Descriptionduproblème
Couverture
Lesservicessontfournisjusqu'à5ans/160000km(100000milles),selonlapremière éventualité.
AuxÉtats-Unis,toutepersonneconduisantlevéhicule estcouverte.AuCanada,unepersonneconduisantle véhiculesanslapermissiondupropriétairen'estpas couverte.
L'assistanceroutièrenefaitpaspartiedelagarantie limitéedevéhiculeneuf.ChevroletetlaGeneralMotors duCanadaLimitéeseréserventledroitdemodifierou d'annulerleprogrammed'assistanceroutièreàtout momentsanspréavis.
ChevroletetGeneral Motors du Canada Limitée réserventledroit delimiterleurss services ou paiement à unpropriétaire ou conducteur lors qu'ils décident que des demandessontémisestrops ou ventouquele mêmetypededemande estémis à plusieurs reprises.
Servicesfournis
- Approvisionnementdesecoursencarburant: Approvisionnementenquantitésuffisantede carburantpouratteindrelastation-servicelaplus proche.
- Servicedéverrouillage:Ceservicepermetde déverrouillerlevéhiculesivousêtesbloqué à l'extérieur.Undéverrouillageàdistanceest possiblesivousavezunabonnementOnStar MD. Pourdesraisonsdesécurité,leconducteurdoit s'identifieravantqueceservicenesoitexécuté.
- Remorquagedesecourssurrouteouverteou autoroute:Remorquagejusqu'auconcessionnaire Chevroletplusprochepourunservicesous garantieouencasd'accidentàlasuiteduquelle véhiculenepeutêtreconduit.Uneassistanceest égalementfournielorsquelevéhiculeestensablé ouenlisédanslaboueoulaneige.
- Changementdepneucrevé:Remplacementd'un pneucrevéparlepneudesecours.Celui-ci,sile véhiculeencomporteun,doitêtreenbonétatet correctementgonflé.Ilincombeaupropriétairede réparerouderemplacerlepneusicelui-cin'est pascouvertparlagarantie.
- Démarrageavecbatterieauxiliaire:Démarrage avecbatterieauxiliaireencasdebatterie déchargée.
Servicesnoncomprisdansl'assistance routière
- Remorquagepourmiseenfourrièreàlasuite d'uneinfraction.
- Amendeslégales.
- Montage, démontageouchangementdepneus d'hiver, dechaînesoud'autres dispositifs d'améliorationdelatraction.
- Remorquageouservicespourdesvéhicules utiliséshorsd'unerouteouverteoud'une autoroute.
Servicesspécifiquesauxvéhicules achetésauCanada
- Approvisionnementencarburant: Le remboursementsemonteàenviron5CAD. La livraisondecarburantdieselpeutêtrerestreinte. Pourdesraisonsdesécurité, lepropaneetautres carburantsalternatifsnesontpasfournisparce service.
-
Servicedéverrouillage: L'immatriculation du véhicule est requise.
-
Serviced'itinérairesroutiers: Descartes détailléesdel'AmériqueduNordsontfournies surdemandeavecl'itinéraireleplusdirectoule pluspanoramique. Six demandesparansont autorisées. Desinformationssupplémentaires relativesauvoyagesontégalementdisponibles. Comptertroissemainespourlalivraison.
- Interruptiondevoyageetassistance: Il faut que levéhiculesoit à aumoins 250 kilomètres dupoint dedépartpourêtreadmissible. General Motors du Canadal limitée requiertune autorisation préalable, les reçus détaillés d'origine et unecopiedes bons der éparation. Lorsquel l'autorisation estreçue, le conseiller del'assistancer outière vous contera pour fixer un rendez-vous et vous expliquer comment recevoir le paiement.
- Servicealternatif: Siuneassistancene peut être immédiatement fournie, le conseiller de l'assistancer outière peut vous donner la permission de contacter un serviced d'assistance routière local. Vous recevrez un montant de maximum 100 CAD, après en voidure cu original à l'assistancer outière. Les pannes mécaniques sont couvertes; toutefois, tous les frais relatifs aux pièces et al maind'oeuvrenon couvertes par lagarantie incomberontaupropriétaire.
Rendez-vousd'entretiens périodiques
Quandlevéhiculeabesoind'uneréparationautitre delagarantie,ilestrecommandédecontacterle concessionnairepourfixerunrendez-vous.Enfixant unrendez-vouspourl'entretienetenavisantle concessionnairedesbesoinsdetransport,ilpeut vousaideràminimiserlesinconvénients.
Siunrendez-vousnepeutêtrefixéimmédiatement avecleserviced'entretien,continueràconduirele véhiculejusqu'àcequelerendez-voussoitfixé,sauf biensûr,s'ils'agitd'unproblèmemettantenjeula sécurité.Siceciestlecas,prièredecontacterle concessionnaire,l'enaviseretdemanderdesdirectives.
Sileconcessionnairevousdemandedelaisserle véhiculeaugaragepourréparation,nousvous conseillonsfortementdedéposerlevéhiculeleplustôt possibledanslajournéepourquelesréparations puissentêtrefaiteslemêmejour.
Programmedetransportde courtoisie
Pourrendrevotreexpériencedepropriétaireplus agréable, nos concessionnaires participantset nous-mêmessommesfiersdevousoffrirletransportde courtoisie: unprogrammed'assistancedestinéaux véhiculesbénéficiantdelagarantielimitéesurles véhiculesneufs(périodedecouverturedebasede garantieauCanada) etdelagarantieétenduecouvrant legroupemotopropulseur, etlagarantiehybride spécifiqueaux États-UnisetauCanada.
Plusieursoptionsdetransportdecourtoisiesont disponiblesafindevousaideràminimiserles inconvénientsencasdenécessitédeprocéder àdesréparationssousgarantie.
Levéhiculedecourtoisienefaitpaspartiedela garantielimitéeduvéhiculeneuf.Unlivretséparé, intitulé «Renseignementsssurlagarantieetl'assistance au propriétaire », fourni avec tout véhicule neuf, donne desrenseignementsdétailléssurlagarantie.
Optionsdetransport
L'entretienduvéhiculeautitredelagarantiepeut généralementêtreaccomplipendantquevous attendiez. Toutefois, sivousnepouvezpasattendre, GMpeutaideràminimiserlesdésagrémentsen proposantplusieursoptionsdetransport. Selonles circonstances, votreconcessionnairepeutoffrirl'une despossibilitéssuivantes:
Servicedenavette
Leservicedenavetteconstituelemoyendetransport decourtoisieprivilégié. Lesconcessionnairespeuvent mettreàvotredispositionunservicedenavettepour vousameneràvotredestinationenperturbantau minimumvoshoraires. Ceserviceinclutunservicede navettealleroualler-retour, danslamesureoûles horairesetladistancesontraisonnablespourle concessionnaire.
Remboursementdesfraisdetransporten communoudecarburant
Silevéhiculenécessitedesréparationssousgarantie l'immobilisantaugaragejusqu'aulendemainetqueles transportspublicssontutilisésàlaplaceduservicede navetteduconcessionnaire,lesdépensesdoiventêtre attestéespardesreçusetnepeuventdépasserle montantmaximumallouéparGMpourunservicede navette.Parailleurs,pourlesclientsdesÉtats-Unis quis'arrangeraientpourvoirleurtransportassuré parunamiouunparent,unremboursementlimité correspondantauxfraisdecarburantpeutêtreobtenu. Lesdemandesderemboursementdoiventrefléterles coûtsréelsetêtreaccompagnéesdel'originaldes reçus.Consultervotreconcessionnairepourles informationsrelativesauxmontantsallouéspourle remboursementdesfraisdecarburantoudetransport.
Voiture-clientèleoudelocation
Votreconcessionnairepeutvousproposerunvéhicule delocationdecourtoisieouvousrembourserlesfrais quevousdevezengagerpourlouerunvéhiculesile vôtredoitresteraugaragejusqu'aulendemainpourune réparationsousgarantie. Leremboursementdela locationestlimitéetvousdevezfournirl'originaldes reçus. Vousdevezrempliretsigneruncontratde locationetvousconformerauxexigencesétats/provincesetlocalesainsiqu'àcellesdel'établissement desvoituresdelocation. Cesexigencesvariantet peuventinclureunâgeminimal, unecouverture d'assurance, unecartedecrédit, etc. Vousdevez assumerlesfraisd'utilisationdecarburantetpouvez égalementêtretenudepayerlestaxes, les prélèvements, lesfraisd'usage, dekilométrageou d'utilisationexcessifsdelavoituredelocationaprèsla findesréparations.
Ilpeutnepasêtrepossibledefournirunvéhiculede prêtsemblableauvéhiculeamenéenréparation.
Informationconcernantles programmesadditionnels
Certainesoptionsduprogramme, tellesqueleservice denavette, peuventnepasêtredisponiblesauprès decertainsconcessionnaires. Contactervotre concessionnairepourobtenirdesrenseignements particulierssurleschoixofferts. Touteslesdispositions dutransportdedépannagesontgéréesparle personnelappropriéduconcessionnaire.
LaGeneralMotorsseréserveledroitdemodifier, de changeroud'interrompreunilatéralementletransportde dépannageàn'importequelmomentetderésoudre toutequestiond'admissibilitéauremboursementen vertudesmodalitésdécritesdanslesprésentesàsa seulediscrétion.
Réparationdedommagescausés parunecollision
Sivotrevéhiculeestimpliquédansunecollisionets'il estendommagé, lefaireréparerparuntechnicien qualifiéquiutiliseraleséquipementsappropriéset despiècesderechangedequalité. Desréparations maleffectuéesdiminuerontlavaleurdevotrevéhicule lorsdesaventeetlesperformancesdesécurité pourraientêtrecompromisesencasdecollisions ultérieures.
Piècesdecollision
LespiècesdecollisionGMd'originesontdespièces neuvesconçuesavecclesmêmesmatériauxet méthodesdefabricationquepourlaréalisationde votre véhicule. LespiècesdecollisionGMd'origine constituentvotremeilleurchoixpourgarantirla préservationdel'apparence, deladurabilitéetdela sécuritédevotre véhicule. L'utilisationdepiècesGM d'originepeutvouspermettredeconservervotre garantieduvéhiculeneufGM.
Lespiècesd'équipementd'originerecycléespeuvent égalementêtreutiliséeslorsdesréparations.
Cespiècessonthabituellementretiréesdesvéhicules complètementdétruitsdansdesaccidentsantérieurs.
Danslaplupartdescas,lespiècesrecyclées proviennentdesectionsnonendommagéesdu véhicule. UnepièceGMprovenantd'unéquipement d'originerecyclépeutconstituerunchoixacceptable pourpréserverl'apparenceetlesperformances de sécuritéd'originedevotrevéhicule. Cependant,onne connaîtpasl'historiquedecespièces. Detellespièces nesontpascouvertesparlagarantielimité du véhiculeneufGMettouteddéfaillanceafférentn'est pascouvertepascettegarantie.
Lespiècesdecollisiondumarchésecondairesont égalementdisponibles. Ellessontfabriquéespardes sociétésautresqueGMetpeuventnepasavoirété testéespourvotrevéhicule.Parconséquent, ces piècesrisquentdenepasconvenir, déprésenterdes problèmesdecorrosionoudedurabilitéprématurément etdenepassecomportercorrectements de collisionsultérieures. Lespiècesdumarchésecondaire nesontpascouvertesparlagarantielimitéedu véhiculeneufGMettouteddéfaillanceduvéhiculeliéeà detellespiècesn'estpascouverteparcettegarantie.
Entreprisederéparation
Nousvousrecommandonségalementdechoisirune entreprisederéparationquirrépondeàvosbesoinsen casdenécessitédeprocéderàdesréparationssuiteà unecollision. Ilestpossiblequevotreconcessionnaire disposed'uncentrederéparationemployantdes techniciensformésparGMetd'équipements ultramodernesoubienqu'ilsoitenmesuredevous recommanderuncentrederéparationemployantdes techniciensformésparGMetunéquipement comparable.
Assurervotrevéhicule
Protégerl'investissementquevousavezréalisélorsde l'acquisitiond'unvéhiculeGMensouscrivantàune couvertured'assurancecomplètecontrelescollisions. Ilexistedesdifférentesimportantesquantàlaqualité delacouverturedécritedanslescontratsd'assurance. Denombreusescompagniesd'assuranceproposent uneprotectionréduitedevotrevéhiculeGMenlimitant lesindemnisationspourlesréparationsgrâceà l'utilisationdepiècesdecollisiondumarchésecondaire. Certainescompagniesd'assuranceneprecisentpas quedespiècesdecollisiondumarchésecondaire serontutilisées.Lorsdelasouscriptionàune assurance,nousvousrecommandonsdevousassurer quevotrevéhiculeseraréparéal'aidedepiècesde collisiond'équipementd'origineGM.Sivotrecompagnie d'assuranceactuellenevouspermetpasdebénéficier d'unetellecouverture,envisagerdevoustournervers uneautrecompagnied'assurance.
Sivotrevéhiculeestloué,lasociétédelocationpeut vous demander des souscrire une assurance couvrant les frais de réparations à l'aide de pièces d'origine d'un équipementier GMoude pièces derechangedu constructeur d'origine. Lireattentivement votre contrat delocation carvous risquez devous voir facturer des réparations demauvaise qualité à la findevotre location.
Encasd'accident
Voicilaprocédureàsuivresivousvoustrouvez impliquédansunaccident.
- S'assurerdenepasêtreblessé. Vérifierensuite quelesautrespassagersdevotrevéhiculeoude l'autrevéhiculenesontpasblessés.
- Sil'undespassagersestblessé,appelerles servicesd'urgencepourobtenirdel'aide.Nepas quitterleslieuxdel'accidentavantquetousles problèmessoientréglés.Déplacervotrevéhicule uniquementsisapositionvousmetendangerou biensiunagentdepolicevousdemandedele faire.
- Transmettreàlapoliceetauxtiersimpliquésdans l'accidentuniquementlesinformationsnécessaires etrequises.Nepasévoquervotresituation personnelle,votredispositiond'espritnitoutautre sujetquin'estpasenrapportavecl'accident. Celavousprotégeracontretouteactionjuridique susceptibled'êtrepriseaprèsl'accident.
-
Sivousavezbesoind'assistanceroutière,appeler GMRoadsideAssistance(assistanceroutièrede GM).Pourplusd'informations,sereporteràla rubriqueProgrammed'assistanceroutière à la page8-8.
-
Sivotrevéhiculen'estpasenétatderouler,se renseignersurleservicederemorquagequiva l'emmener.Demanderunecartedevisite à l'opérateurdeladépanneuseounoterlenomdu conducteur,lenomduserviceetlenumérode téléphone.
- Retirertoutobjetdevaleurduvéhiculeavantqu'il soitremorqué. S'assurerderécupérerlespapiers d'assuranceetlecertificatdepropriétésivous avez l'habitude de conserverces documents dans votre véhicule.
-
Conserverlesinformationsimportantesdontvous aurezbesoinconcernantl'autreconducteur, notammentsonnom,sonadresse,sonnuméro detéléphone,sonnumérodepermisdeconduire, laplaqued'immatriculationdesonvéhicule, la marqueduvéhicule, lemodèleetl'annéedu modèle, lenumérod'identificationduvéhicule (NIV), lacompagnied'assuranceetlenuméro depoliceainsiqu'unedescriptiongénéraledes dommagescausésàl'autrevéhicule.
-
Sipossible, appelervotrecompagnied'assurance depuisleslieuxdel'accident. Ellevousguidera pourobtenirlesinformationsdontelleabesoin. Siellevousdemandeunrapportdepolice, téléphonerouserendreaucommissariat principallelendemainpourobtenirunecopiedu rapportpourunesommeminime. Danscertains états/provincesoùs'appliquentdesloisdites d'assurance «sanségardàlaressponsabilité», il estpossiblequ'unrapportnesoitpasnécessaire. Celaestparticulièrementvraienl'absence de blessésetlorsquelesdeuxvéhiculespeuvent rouler.
- Choisiruneentreprisederéparationcontreles collisionsréputéepourvotrevéhicule. Quevous choisisiezunconcessionnaireouuneentreprise deréparationcontrelescollisionsprivéepour procéderauxréparations, s'assurerquevousvous sentezbienaveceux. Nepasoublierqueletravail qu'ilsréaliserontdevravouspermettredebien vousentirpendantunlongmoment.
- Aprèsavoirobtenuundevis, le lire attentivement ets'assurerdecomprendrequellesserontles interventionseffectuéessurvotrevéhicule. Sivousvousposezdesquestions, demanderdes explications. Lesmagasinsréputésapprécient l'intérêtquevousportezàleurtravail.
Gestionduprocessusderéparation desdommagescausésauvéhicule
Dansl'éventualité où votrevéhiculen nécessites des réparations, GM vous recommanded vous impliquer activement dans celles-ci. Sivousavez déjà opté pour une entrepriserer réparation, yamenervotrevéhicule oule faire remorquer. Préciser à l'entreprise d'utiliser uniquement des pièces decollision d'origine, que ce soient des pièces GM d'origineoudes pièces GM d'originere cyclées. Nepasoublier que les pièces recyclées neseront pas couvertes par lagarantiede votrevéhicule GM.
L'assurancepayelafacturedesréparationsmais vousdevezvivreaveclesréparations.Enfonction deslimitesdevotrepolice,votrecompagnie d'assurancepeutévaluerlesréparationssurlabase depiècesdumarchésecondaire.Endiscuteravec votreprofessionneldesréparationsetinsisterpour obtenirdespiècesGMd'origine.Nepasoublierquesi levéhiculeestenlocation,vousrisquezd'êtreobligéde faireréparerlevéhiculeàl'aidedepiècesGMd'origine, mêmesivotreassurancenevousremboursepas l'ensembledesfrais.
Siunecompagnied'assurancetiercepayeles réparations, vousn'êtespasobligéd'accepterune évaluationdesréparationsenfonctiondeslimitesde réparationfixéesparlapolitiquedecollisiondecette compagnied'assurance, carvousn'avezaucunelimite contractuelleaveccettesociété. Danscecas, vous pouvezavoirlecontrôledesréparationsetlechoix despiècesdanslamesureouleurcoûtrestedansdes limitesraisonnables.
Déclaration des défectuosités comprommettant las sécurité
Commentsignalerlesdéfectuosités compromettantlasécuritéau gouvernementdesÉtats-Unis
Sivousestimezquelevéhiculeprésente unedéfectuositéquipourraitentraînerun accident,desblessuresoulamort,vous devrezimmédiatementeninformerlaNational HighwayTrafficSafetyAdministration(NHTSA) (administrationnationaledesécuritéroutièrede route)enplusd'avertirGeneralMotors.
SilaNHTSAreçoitd'autresplaintesdece genre,ellepeutfaireuneenquête,et,sielle découvrequ'ungroupedevéhiculesprésente unedéfectuositéposantunproblèmedesécurité, ellepeutexigerunecampagnederappeletde réparation. Toutefois,laNHTSAnepeuts'occuper desproblèmesindividuelsentrevous-même,le concessionnaireouGeneralMotors.
PourentrerencontactavecNHTSA, vous pouvezappelerl'assistancedesécurité des véhiculesgratuitementau1-888-327-4236 (TTY:1-800-424-9153); visiterlesite http://www.safecar.gov; ouécrireà:
D'autresinformationssurlasécuritédes véhiculesàmoteursontdisponiblessurlesite http://www.safecar.gov.
Commentsignalerlesdéfectuosités compromettantlasécuritéau gouvernementcanadien
SivousvivezauCanadaetpensezqu'unedéfectuosité comprometlasécuritédevotrevéhicule,avertir immédiatementTransportsCanadaainsiquelaGeneral MotorsduCanadaLimitée. Vouspouvezlesappelerau 1-800-333-0510ouleurécrireàl'adressesuivante:
TransportCanada
RoadSafetyBranch
2780SheffieldRoad
Ottawa,OntarioK1B3V9
Commentsignalerlesdéfectuosités comprommettantlasécurité à General Motors
Enplusd'avertirlaNHTSA(ouTransportsCanada) d'unetellesituation,prièredesignalerégalement GeneralMotors.
AuCanada,composerle1-800-222-1020ouécrireà:
ChevroletMotorDivision
ChevroletCustomerAssistanceCenter
P.O.Box33170
Detroit, MI48232-5170
AuCanada,appelerle1-800-263-3777(anglais)ou
1-800-263-7854(français),ouécrireà:
GeneralMotorsduCanadaLimitée
Centredecommunicationdelaclientèle:
CA1-163-005
1908ColonelSamDrive
Oshawa,OntarioL1H8P7
Renseignementssurlacommande deguidesderéparation
Manuelsderéparation
Lesmanuelsderéparationcomprennentl'information dediagnosticetd'entretiendemoteurs,boîtesde vitesses,suspensionessieu,freins,systèmeélectrique, direction,carrosserie,etc.
Bulletinstechniques
Lesbulletinstechniquesfournissentl'information d'entretientechniquesupplémentairepermettant d'effectuerl'entretiendesvoituresetcamionsGeneral Motors. Chaquebulletincomprendlesdirectivespour aideràdiagnostiqueretàfairel'entretiendevotre véhicule.
Informationdupropriétaire
Lespublicationspourlepropriétairesontécrites spécifiquementpourluietvisentàfournirde l'informationfondamentalesurlefonctionnementdu véhicule. Leguidedupropriétairecomprendun programmed'entretienpourtouslesmodèles.
Portefeuille, guidedupropriétaireetlivretdegarantie.
PRIXDEVENTEAUDÉTAIL:35,00\$(É.-U.)plusfrais detraitement
SansPortefeuille:guidedupropriétaireseulement. PRIXDEVENTEAUDÉTAIL:25,00\$(É.-U.)plusfrais detraitement
Bonsdecommandepourles publicationstechniquesdesmodèles del'annéedefabricationcouranteet desannéesantérieures
Lesbulletinstechniquessontdisponiblespourles véhiculesGMactuelsetantérieurs.Pourobtenirun formulairedecommande,préciserl'annéeetlenomdu modèleduvéhicule.
COMMANDERSANSFRAIS: 1-800-551-4123dulundiauvendredi,entre 8h-18h,heuredel'Est
Pourlescommandesparcartesdecréditseulement (VISA-MasterCard-Discover),visiterlesitedeHelm, Inc.à:helminc.com
Ilestégalement possibled'écrireà:
Helm, Incorporated
P.O.Box07130
Détroit,MI48207
Prixsusceptibled'ètremodifiésanspréavisetsans obligation.Accorderassezdetemspourlalivraison.
Remarqueauxclientscanadiens: Touslesprixsont citésen USD. Lesrésidentscanadiens doiventémettre leurchèqueen USD.
Enregistrementdedonnéesdu véhiculeetpolitiquesurlavie privée
VotrevéhiculeGMestdotéd'uncertainnombre d'ordinateurssophistiquésquienregistrentdes informationsrelativesauxperformancesdevotre véhiculeetàlamanièredontilestconduit.Par exemple,votrevéhiculeutilisedesmodulesqui surveillentlesperformancesdumoteuretdelaboîte devitesses,surveillentlesconditionsdedéploiement d'unsacgonflableetcommandentledéploiement dessacsgonflablesencasd'accidentet,selon l'équipement,quiempêchentleblocagesedesfreins pouraiderleconducteuràcontrôlerlevéhicule. Cesmodulespeuventmémoriserdesdonnéesqui aiderontletechniciendevotreconcessionâintervenir surlevéhicule.Certainsmodulespeuventégalement mémoriserdesdonnéessurlamanièredontvous utilisezlevéhicule,commeparexemplela consommationoulavitessemoyenne.Cesmodules peuventégalementtretenirlespréférencespersonnelles dupropriétaire,tellesquelesprésélectionsderadio, depositiondesiègeouderéglagesdetempérature.
Enregistreursdedonnées d'événement
Cevéhiculeestdotéd'unenregistreurdedonnées événementielles(EDR).L'objectifprincipald'unEDR estd'enregistrer,danscertainessituationsd'accidentou dequasi-accident,tellesqu'undéploiementdesac gonflableoudeheurtd'unobstacleroutier,des donnéesquicontribuerontàlacompréhensiondu fonctionnementdessystèmesduvéhicule.L'EDRest conçupourenregistrerdesdonnéesliéesauxsystèmes dynamiquesetdesécuritéduvéhiculependantune courtepériode,généralementinférieureouégale à 30secondes.L'EDRdecevéhiculeestconçupour enregistrerdesdonnéestellesque:
- Fonctionnement des diverssystèmes devotre véhicule
- Bouclageounondesceinturesdesécuritédu conducteuretdespassagers
- Degréd'enfoncementdelapédaled'accélérateur et/oudelapédaledefrein
- Vitesseduvéhicule
Cesdonnéespeuventpermettredemieuxcomprendre lescirconstancesdanslesquellesdesaccidentsetdes blessuressurviennent.
Important: Lesdonnées EDRnesontenregistrées par votre véhicule qu'encasd'accidentgrave; aucune donné en'estenregistréepar l'EDR dans des conditions normales decirculation etaucun donnée personnelle (p.ex.nom, sexe, âge, emplacement del accident) n'est enregistrée. Cependant, d'autres parties, telles queles représentants del ordre, peuvent combiner les données EDRauxdonnées d'identification personnelles acquises invariablelors d'investigations relatives à un accident.
PourlirelesdonnéesenregistréesparunEDR, un équipements spécialestrequisetunaccèsauvéhicule et à l'EDRestnécessaire. Outreleconstructeur du véhicule, d'autresparties, tellesquelesautorités policières, peuventlirecesinformationssiellesont accèsauvéhicule ou à l'EDR.
GMn'aurapasaccèsàcesdonnéesninelespartagera avecd'autres,sauf:avecleconsentementdu propriétaireduvéhiculeou,silevéhiculeestloué, avecleconsentementdulocataire;enréponseaune demandeofficielledelapoliceoud'uneinstance gouvernementalesimilaire;danslecadredeladéfense d'unepoursuitecontreGM,dansleprocessusdelibre détermination;ou,commel'exigelaloi.Lesdonnées récoltéesoureçuesparGMpeuventégalementêtre utiliséespourlesbesoinsdelarechercheGMouêtre renduesdisponiblesàd'autrespourdesmotifsde
recherche, lorsque leurnécessité est avéréet que les données sont pasifiées à un véhicule ou un propriétaires spécifique.
OnStar ^MD
SivotrevéhiculeestdotédusystèmeOnStaretque vousssocrivezauxservicesOnStar,seréférerau TermesetConditionsOnStarpourlesinformationssur lacollecteetl'utilisationdesdonnées.
Systèmedenavigation
Sivotrevéhiculeestdotéd'unsystèmedenavigation, l'utilisationdecesystèmepeutentraînerune mémorisationdedestinations,d'adresses,denuméros detéléphoneetd'autresinformationsdetrajet. Se référeraumanueld'utilisationdusystèmedenavigation pourlesinformationssurlesdonnéesmémoriséeset lesinstructionsd'effacement.
Identificationdefréquenceradio
LatechnologieRFIDestutiliséedanscertainsvéhicules pourdesfonctionstellesquelasurveillancedela pressiondespneusetlasécuritédusystème d'allumage,ainsiquedanslesconnexionsdedispositifs pratiquestelsquelestélécommandesdeverrouillage/déverrouillagedeportesetdedémarrageàdistanceet lesouvre-portedegarage.LatechnologieRFIDdes véhiculesGMn'utilisenin'enregistrededonnées personnellesetn'estpasreliéeàd'autressystèmesGM contenantdesinformationspersonnelles.
Énoncédefréquenceradio
Cevéhiculeestdotédesystèmesàfréquenceradio conformesàlaPartie15desrèglementsdela commissionfédéraledescommunicationsdes États-UnisetauRSS-210/211d'IndustrieetScience Canada.
Leurfonctionnementsoumisauxdeuxconditions suivantes:
- Ledispositifnedoitcauseraucuneinterférence.
- L'appareildoitacceptertouteinterférencereçue dontcellespouvantcauserunfonctionnement intempestif.
Deschangementsoudesmodificationsàl'undeces systèmeseffectuésparunautrétablissementqu'un centre de réparation agréé risquent d'annuler le droit d'utilisercetéquipement.
NOTES
A
Accessoires
Prisesélectriquespouraccessoires....4-22
Accessoiresetmodifications....6-4
Achatdepneusneufs....6-93
Acheminementdecourroie,Moteur....7-13
Additifsducarburant....6-9
Affichage tête haute (HUD) 4-18
Alimentation
Prolongationdel'alimentationdes accessoires(RAP)....3-26
Allume-cigarette....4-23
Ampoulesderemplacement....6-70
Ampouleshalogènes....6-67
Ancragesinférieurspoursièged'enfant.....2-35,2-36
Antenne
Diversity....4-124
Antenne, systèmed'antennederadio satelliteXM™....4-124
Antivol....4-121
Dispositifantidémarrage....3-22
Antivol-Systèmeantivol....3-20
Appareilsderetenuepourenfant Bébésetjeunesenfants....2-29 Enfantsplusâgés....2-26
Assistance à la clientèle Bureaux....8-6 Utilisateurs detéléscripteurs (TTY)....8-6
AssistanceRoutière,Programme....8-8
Atténuationautomatique,rétroviseurs......3-44
Audio Réglerl'heure....4-92 Systèmedenavigation/radio....
Avertissementrelatifàlaproposition65, Californie....6-5
Avertissements Avertissementsetmessagesducentralisateur informatiquedebord....4-57 Feux de détresse .... 4-3
Sécuritéetsymboles....iv Avertisseurdedépassement....4-6
B
Batterie....6-59
Protectionantidécharge....4-18
Economiseurdebatteried'éclairageextérieur....4-16
Bluetooth ^MD 4-110
Boîtedevitesses
Témoindepassagedelapremièreàla quatrièmevitesse....4-37
Boîtedevitessesautomatique
Fonctionnement....3-30
Liquide....6-35
Boîtedevitessesmanuelle
Fonctionnement....3-35
Liquide....6-36
Boussole....3-44
C
Câblagedesphares....6-118
Cache-bagages....3-58
Calibration....3-44
Californie
Avertissement....6-5
Exigencesrelativesauxmatériaux contenantduperchlorate....6-5
Capacitésetspécifications....6-127
Capot
Levierd'ouverture....6-15
Vérificationsouslecapot....6-14
Carburant....6-7
Additifs....6-9
Carburant-Californie....6-9
Carburantsdanslespaysétrangers......6-10
Indicateur....4-48
Indiced'octane....6-8
Remplissaged'unbidondecarburant......6-14
Remplissageduréservoir....6-11
Spécificationsdel'essence....6-8
CD,MP3....4-106
Ceinturesdesécurité
Ceinture-baudrier....2-23
Entretien....6-110
Extension....2-26
Lesceinturesdesécuritépourtous....2-8
Portadéquatdesceinturesdesécurité......2-14
Rappels....4-34
Utilisationpendantlagrossesse....2-25
Cendrier....4-23
Centralisateurinformatiquedebord(CIB)......4-50
Autresmessages....4-79
Avertissementsetmessagesdu centralisateurinformatiquedebord....4-57
CIBPersonnalisationduvéhicule....4-81
Fonctionnementetaffichagesdu centralisateurinformatiquedebord....4-50
Centred'aideenligneàlaclientèle....8-5
Chaînesàneige....6-101
Chargementduvéhicule....5-32
Clés....3-3
Classificationuniformedelaqualitédespneus....6-96
Coffre/hayon....3-15
Collectedesdonnéesduvéhiculeet enregistreursetConfidentialité....8-21
Collision, réparationdedommages....8-14
Commandesélectivedesuspension....5-15
Commentsignalerlesdéfectuositéscompromettantla sécurité
GeneralMotors....8-19
Gouvernementcanadien....8-19
Gouvernement des États-Unis....8-18
Compartimentsderangement
Boîteàgants....3-55
Consolecentrale....3-55
Filetd'arrimage....3-58
Porte-gobelets....3-55
Compteurdevitesse....4-34
Compteurkilométrique....4-34
Conduite
Avantunlongtrajet....5-27
Compétition....5-10
Défensive....5-2
Denuit....5-25
Hiver....5-29
Pertedecontrôle....5-21
Repriseentout-terrain....5-20
Routesonduleusesetdemontagne....5-28
Secouerlevéhiculepourlesortir....5-32
Souslapluieetsurlesrouteshumides......5-26
Étatd'ivresse....5-2
Conduiteéconomisantlecarburant....1-26
Conduitecompétitiveetcourse....5-22
Confidentialité....8-21
OnStar....8-23
Systèmedenavigation....8-23
Contrôleduvéhicule....5-3
D
Déflecteur d'airavant....3-24
Démarrageavecbatterieauxiliaire....6-60
Démarragedumoteur....3-27
Déposedupanneaudepavillon....3-60
Direction....5-18
Disjoncteurs....6-119
Dispositifsdeverrouillage
Déverrouillageautomatiqueprogrammable desportes....3-14
Verrouillagecentral....3-14
Disque,MP3....4-106
E
EDR....8-21
Embrayageàcommandehydraulique......6-36
Enregistreursdedonnéesd'événement......8-22
Ensembled'instruments....4-32
Entrée/sortie
Éclairage....4-17
Entretien....6-4
Accessoiresetmodifications....6-4
Ajoutd'équipemental'extérieurduvéhicule......6-6
Entretienparlepropriétaire....6-6
Fixationderendez-vous....8-11
Étiquetted'identificationdespièces......6-118
Entretiendel'apparence
Cuir....6-109
Entretiendesceinturesdesécurité......6-110
Entretiendudessousdelacarrosserie......6-116
Filetderangementducouverclede compartimentutilitaire....6-110
Finitionendommagée....6-116
Jointsd'étanchéité....6-111
Lavageduvéhicule....6-111
Mouluresenduites....6-109
Nettoyagedel'éclairageexérieuret deslentilles....6-112
Nettoyage de l'intérieur ....6-107
Panneaudetoitouvrant....6-114
Pare-briseetlamesd'essuie-glace 6-113
Peintureendommagéeparretombées chimiques....6-117
Pneus....6-116
Ressortsenfibredeverre....6-117
Rouesenaluminiumouchromées....6-115
Soindefinition....6-112
Tableaudebord, vinyle, etautres surfacesenplastique....6-110
Tissuettapis....6-108
Toitdécapotable....6-114
Entretienpériodique....7-3
Essence
Octane....6-8
Spécifications....6-8
Essieuarrière....6-65
Glissementlimité....5-15
Essuie-glace
Fusibles....6-118
Essuies-glacesdepare-brise....4-6
Exigencesrelativesauxmatériauxcontenant
duperchlorate,Californie......6-5
Extérieur
Rétroviseurconvexe....3-47
Rétroviseursàcommandeélectrique....3-46
Rétroviseursextérieurschauffants....3-47
F
Feux
TwilightSentinel MD 4-15
Feuxantibrouillard
Remplacementd'ampoule....4-15
Témoin....4-47
Feuxarrière dedirectionetdestop....6-69
Feuxdecirculationdejour(FCJ)....4-13
Feux de détresse 4-3
Feux extérieurs 4-12
Filetd'arrimage....3-58
Filtre
Filtreàairdumoteur....6-31
Filtreàairdel'habitacle....4-30
Finitionendommagée....6-116
Fixationd'unappareilderetenuepour
enfantenpositionsiègeavantdroit......2-40
Fixationderendez-vous......8-11
Fonctionnementdeboîtedevitesses,
Automatique....3-30
Fonctionnementdelaboîtedevitesses manuelle....3-35
Fonctionnement, Systèmedetélécommande maisonuniversel....3-48
Fréquencesradio
Énoncé....8-23
Freinage....5-4
Freinaged'urgence....5-6
Freins....6-51
Antiblocage....5-5
Témoind'avertissement....4-38
Fusibles
Bloc-fusiblesd'ensembled'instruments....6-119
Bloc-fusiblesducompartimentmoteur....6-123
Essuie-glace....6-118
Fusiblesetdisjoncteurs....6-119
G
Glaces....3-18
Électrique....3-19
Gonflement-Pressiondespneus....6-85
H
Habitacle, filtreàair....4-30
Hautevitesse, Pneus....6-87
Hayon/coffre....3-15
Heure, Réglage....4-92
Huile
Huilepourmoteur......6-22
Indicateurd'usuredel'huilemoteur......6-29
Indicateurdepressiond'huiledumoteur......4-46
Hyraulique, embrayage à commande......6-36
|
Identificationduvéhicule
Numéro(NIV)......6-117
Étiquetted'identificationdespièces derechange....6-118
Indicateurdestatutdesacgonflable
dupassager....4-36
Indicateurs
Carburant....4-48
Compteurdevitesse....4-34
Indicateurdevoltmètre....4-37
Pressiond'huilemoteur......4-46
Températureduliquidede refroidissementdumoteur....4-41
Informationclient
Renseignementsurlacommande deguidesderéparation....8-20
Inscription, Flancdupneu....6-77
Installationélectrique
Bloc-fusiblesd'ensembled'instruments......6-119
Bloc-fusiblesducompartimentmoteur......6-123
Câblagedesphares....6-118
Fusiblesd'essuie-glace....6-118
Glacesàcommandeélectriqueetautres équipementsélectriques....6-119
Installationdupanneaudepavillon....3-64
Introduction....7-2
K
Klaxon....4-3
L
Laisserlemoteurtournerlorsquelevéhiculeest stationné....3-43
Lampes Circulationdejour(FCJ)....4-13 Témoind'anomalie....4-42
Lampesd'accueil....4-17
LATCH Dispositifd'ancragesinférieurspour sièged'enfant....2-35,2-36
Lave-glace....4-7
Lecture Lampes....4-17
Levageduvéhicule Pneus....6-101
Levierdesclignotants/multifonction....4-4
Levierdurégulateurdevitesseautomatique......4-7
Liquide Boîtedevitessesautomatique....6-35 Lave-glace....6-50 Servodirection....6-48
Liquidederefroidissement Moteur....6-40
Liquidesetlubrifiantsrecommandés....7-10 Loquetsdedossierdesiège....2-8
M
Manoeuvrededépassement....5-20
Message Avertissementsetmessagesdu centralisateurinformatiquedebord....4-57
MessagesradioXM....4-109 MobilitéGM,programmederemboursement....8-8 Modedeconduitedecompetition....5-10 Monoxydedecarbone Conduiteenhiver....5-29 Échappementmoteur....3-42
Moteur Acheminementdecourroied'entraînement.....7-13 Aperçuducompartimentmoteur.....6-16
Filtreàair....6-31
Huile....6-22
Indicateurdepressiond'huiledumoteur......4-46
Indicateurdetempératureduliquidede refroidissement....4-41
Liquidederefroidissement....6-40
Modedefonctionnementdeprotectioncontre lasurchauffedumoteur....6-48
Surchauffe....6-45
Systèmederefroidissement....6-38,6-39
Moteur(suite)
Témoindevérificationetd'entretien prochedumoteur....4-42
Échappement....3-42
MP3....4-106
N
Nettoyage
Cuir....6-109
Entretiendudessousdelacarrosserie......6-116
Filetderangementducouverclede compartimentutilitaire....6-110
Intérieur....6-107
Jointsd'étanchéité....6-111
Lavageduvéhicule....6-111
Mouluresenduites....6-109
Panneaudetoitouvrant....6-114
Pare-briseetlamesd'essuie-glace....6-113
Pneus....6-116
Ressortsenfibredeverre....6-117
Rouesenaluminiumouchromées....6-115
Soindefinition....6-112
Tableaudebord, vinyle, etautres surfacesenplastique....6-110
Tissuettapis....6-108
Toitdécapotable....6-114
Éclairageexérieuretlentilles....6-112
0
OnStar, Confidentialité....8-23
Ouvre-portedegarage....3-47
P
Panneaudepavillon
Déposedupanneaudepavillon....3-60
Installationdupanneaudepavillon....3-64
Rangementdupanneaudepavillon....3-63
Panneaudetoit....3-60
Pare-brise
Lamed'essuie-glace,nettoyage....6-113
Liquidedelave-glace....6-50
Remplacement....6-71
Remplacementdesbalais....6-71
Pare-soleil....3-20
Passage
Horsdelapositiondestationnement(P)......3-40
Passage à lapositiondestationnement(P)......3-39
Peintureendommagéeparretombées chimiques....6-117
Peinture, Dommages....6-116
Personnalisationduvéhicule
CIB....4-81
Pertedecontrôle....5-21
Phares
Avertisseurdedépassement....4-6
Feuxdecirculationdejour(FCJ)....4-13
Feux extérieurs 4-12
Inverseurdesfeuxderoute/decroisement......4-5
Phares, clignotantsavantetfeuxde stationnement....6-68
Réglage....6-66
Rappel....4-13
Remplacementd'ampoule....6-66
Éclairageàhauteintensité....6-67
Pharesactivésparlesessuie-glace....4-13
Piècesderechange
Entretien....7-12
Pneus....6-74
Achatdepneusneufs....6-93
Chaînesàneige....6-101
Classificationuniformedelaqualitédespneus...6-96
Dimensionsvariées....6-95
Fonctionnementàhautevitesse....6-87
Fonctionnementdudispositifdesurveillance de la pression 6-89
Gonflement-Pressiondespneus....6-85
Pneus(suite)
Hiver....6-76
Inscriptionsurleflanc....6-77
Inspection et permutation 6-91
Levage du véhicule ....6-101
Nettoyage....6-116
Quandfaut-ilremplacerlespneus?......6-92
Réglagedelagéométrieetéquilibrage
des pneus 6-97
Remplacementderoue......6-98
Rouesenaluminiumouchromées,nettoyage...6-115
Système de surveillance de la pression....6-88
Témoindepression....4-42
Terminologieetdéfinitions......6-80
Pneusàflancsrenforcés....6-83
Porte
Serruresàverrouillageélectrique....3-13
Portes
Dispositifs de verrouillage 3-11
Positions du commutateur d'allumage 3-25
Prises
Priseélectriquespouraccessoires....4-22
Procédure de satisfaction de la clientèle .....8-2
Programmed'entretien
Entretienpériodique....7-3
Fiched'entretien....7-14
Liquidesetlubrifiantsrecommandés....7-10
Piècesderechanged'entretien....7-12
Vérificationsetservicesparlepropriétaire......7-8
ProgrammeTransportdecourtoisie....8-11
ProgrammeAssistanceroutière....8-8
Prolongationdel'alimentationdes accessoires(RAP)....3-26
Propriétairescanadiens......iii
Q
Quandfaut-ilremplacerlespneus?......6-92
R
Réglagedebouchedesortie....4-29
Réparation
Renseignementssurlacommandedeguides....8-20
Réparationd'unvéhiculemuni
desacsgonflables....2-60
Réparationdedommagescausés
Témoind'entretienprochedumoteur......4-42
Rétroviseurs
Atténuationautomatique....3-44
Rétroviseurextérieuràgradationautomatique....3-46
Rétroviseurextérieurconvexe....3-47
Rétroviseursextérieursàcommande
électrique....3-46
Rétroviseursextérieurschauffants....3-47
RadiosatelliteXM ^TM
antenne....4-124
Radiofréquence
Rangementarrière....3-56
Rangementdupanneaudepavillon....3-63
Refroidissement
Indicateurdetempératuredumoteur......4-41
Remboursement, MobilitéGM....8-8
Remorquage
Tractiond'uneremorque....5-38
Véhicule récréatif 5-38
Votrevéhicule....5-38
Remplacementd'ampoule....6-70
Ampouleshalogènes....6-67
Feuxantibrouillard....4-15
Feuxarrière,dedirectionetdestop....6-69
Phares....6-66
Réglagedesphares....6-66
Remplacementdesampoules
Phares, clignotantsavantetfeuxde stationnement....6-68
Éclairageàhauteintensité(HID)......6-67
Remplacementdespiècesdesdispositifsde sécuritéaprèsunecollision....2-63
Rodagedevéhiculeneuf....3-23
Roues
Dimensionsvariées....6-95
Géométrieetéquilibragedesroues......6-97
Remplacement....6-98
Routesonduleusesetdemontagne....5-28
S
Sécurité
Témoin....4-47
Sacsgonflables
Ajoutd'équipementàunvéhicule munidesacsgonflables....2-60
Dequellefaçonlesacgonflableagit-il?......2-51
Indicateurdestatutdusacgonflable dupassager....4-36
Oùsetrouventlessacsgonflables?......2-47
Qu'est-cequientraîneledéploiement du sac gonflable? 2-51
Quandunsacgonflabledoit-ilsegonfler?......2-49
Queverrez-vousaprèsledéploiement d'unsacgonflable?......2-52
Témoindedisponibilité....4-35
Vérificationdusystème....2-44
Secouerlevéhiculepourlesortir....5-32
Serrures
Dispositifantiverrouillage....3-14
Verrouillageélectriquedesportes....3-13
Sivousêtesprisdanslesable/laboue/laneige/surlaglace....5-31
Siègeàmémoire, Rétroviseurs, Commandessurvolant....2-4
Sièges
Siègesàcommandeélectrique....2-3
Siègesàdossierinclinable....2-6
Siègeschauffants....2-4
Supportlombaireetappuielatéralélectriques.....2-3
Siègesd'enfant
Ancragesinférieurspoursièged'enfant.....2-35,2-36
Systèmes....2-33
Siègesmanuels....2-2
Signalisationdéfectuositéscompromettantla sécurité
GeneralMotors....8-19
Signauxdechangementdedirectionetde changementdevoies....4-5
SpécificationsetCapacités....6-127
Stationnement
Au-dessusdematièresquibrûlent....3-41
Frein....3-38
Stationnementduvéhicule....3-41
Stationnement(P)
Passagehorsdelaposition....3-40
Systèmeélectrique
Fusiblesetdisjoncteurs....6-119
Systèmeaudio....4-92
Antivol....4-121
Commandesauvolant....4-122
Réceptionradio....4-123
systèmed'antennederadiosatelliteXM™.....4-124
Systèmed'accèsansclé....3-4
Systèmed'accèsansclé-Fonctionnement......3-5
Systèmed'antenne....4-124
Systèmededétectiondesoccupants....2-54
Systèmedefreinageantiblocage(ABS)......5-5
Témoind'avertissement....4-39
Systèmedegestionactive....5-8
Systèmedenavigation,Confidentialité......8-23
Systèmedenavigation/radio....4-110
Systèmederégulationdetempérature
Réglagedebouchedesortie....4-29
Systèmederefroidissement....6-38,6-39
Systèmedetélécommandemaisonuniversel.....3-47
Fonctionnement....3-48
Systèmeintégrédecommandedefreinde
remorque(ITBC)......5-38
SystèmeOnStar ^MD 1-27
Systèmesantivol....3-20,3-22
Systèmesaudio....4-93
Systèmesdecommandedeclimatisation automatiquedoublezone....4-24
Systèmesdecommandedesuspension Essieuarrièreàglissementlimité....5-15 gestionactive....5-8
Sélective....5-15
T
Téléphone
Bluetooth ^MD 4-110
Témoind'anomalie....4-42
Témoins
Avertissementdesystèmedefreinage antiblocage(ABS)......4-39
Avertissementdusystèmedefreinage......4-38
Avertissementdusystèmedetraction asservie(TCS)......4-40
Disponibilitédesacsgonflables....4-35
Feuxantibrouillard....4-47
Feuxderouteallumés....4-48
Témoins(suite)
Indicateurdestatutdesacgonflabledu passager....4-36
Passagedelapremièreàlaquatrièmevitesse...4-37
Témoins,jaugesetindicateurs....4-31
Tableaudebord
Luminosité....4-17
Tachymètre....4-34
Tapisdeplancher....3-55
Essieuarrièreàglissementlimité....5-15
Systèmedegestionactive....5-8
Systèmedetractionasservie(TCS)......5-7
Avertisseurdedépassement....4-6
Feux extérieurs ....4-12
Inverseurdesfeuxderoute/decroisement.....4-5
Rappel....4-13
Économiseur de batterie d'éclairage extérieur ..... 4-16
Électrique
Glaces....3-19
Réseauélectrique....6-119
Équipementélectriquecomplémentaire......6-118
Utilisateursdetéléscripteurs(TTY)......8-6
V
Véhicule
Chargement....5-32
Contrôle....5-3
Laisserlemoteurtournerlorsqu'ileststationné...3-43
Symboles......iv
Vérification
Témoindumoteur....4-42
Vérificationdel'appareilderetenue....2-62
Vérificationsouslecapot....6-14
Vérificationsetservicesparlepropriétaire....7-8
Verrouillageélectrique
Serruresdeporte....3-13
Vieprivée
Identificationparradiofréquence(RFID)......8-23
Volant inclinable 4-3
Z
Zonesderangement
Arrière....3-56
Notice Facile