Fidelity 142 - Telefon TOPCOM - Kostenlose Bedienungsanleitung
Finden Sie kostenlos die Bedienungsanleitung des Geräts Fidelity 142 TOPCOM als PDF.
Benutzerfragen zu Fidelity 142 TOPCOM
0 Frage zu diesem Gerät. Beantworten Sie die, die Sie kennen, oder stellen Sie Ihre eigene.
Eine neue Frage zu diesem Gerät stellen
Laden Sie die Anleitung für Ihr Telefon kostenlos im PDF-Format! Finden Sie Ihr Handbuch Fidelity 142 - TOPCOM und nehmen Sie Ihr elektronisches Gerät wieder in die Hand. Auf dieser Seite sind alle Dokumente veröffentlicht, die für die Verwendung Ihres Geräts notwendig sind. Fidelity 142 von der Marke TOPCOM.
BEDIENUNGSANLEITUNG Fidelity 142 TOPCOM
GEBRAUCHSANWEISUNG · BRUKSANVISNING
BRUGERMANUAL • KÄYTTÖOHJE
MANUAL DE USUARIO • MANUALE D'USO
MANUAL DO USUÁRIO • OΔΗΓΙΕΣ ΧΡΗΣΗΣ
CE

a) Één nummer wissen
7.2 Nummers in direct geheugen programmeren
- Legen Sie eine Batterie in das Batteriefach ein, um das Display zu aktivieren:
- ffnen Sie das Batteriefach auf der Ger teunterseite.
- Legen Sie 1 X 9V Batterie ein
- Schließen Sie das Batteriefach.
- Stecken Sie ein Ende der Anschlussschnur in den Telefonanschluss und das andere Ende in die Telefonunterseite.
Ein Entfernen der Batterie führt zum Verlust des Speichers und aller Einstellungen. Wechseln Sie die Batterien nie, wenn eine Telefonverbindung besteht!
2 T ASTEN/LED
1 'Im Gespräch' Anzeige

2 'Neue Anrufe' Anzeige

3 Direktruftasten M1-M7
4 Rückfragetaste R
5 Alphanumerisches Tastenfeld
6 Nach-Oben-Taste ▲
7 Nach-unten-Taste ▼
8 Programmiertaste
9 Lösch-/Stummschalttaste ∅
10 Menütaste IT
11 Wahlwiederholungs-/Pausetaste
12 VIP Direktruftaste
13 Höreranschluss
14 Telefonschnuranschluss
3 DISPLAY/LED
3.1 Standard Display Informationen
Display InformationenBeschreibung

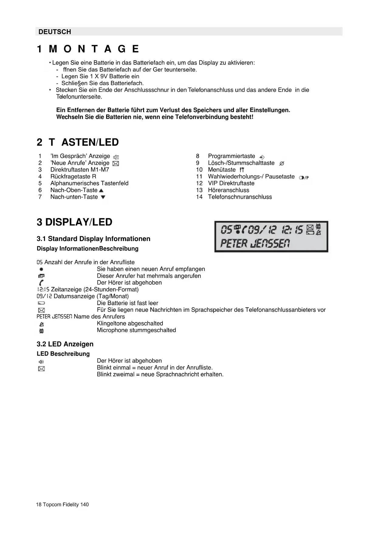
text_image
05:09/12 12:15 PETER JENSSEN05 Anzahl der Anrufe in der Anrufliste
| Sie haben einen neuen Anruf empfangen | |
| Dieser Anrufer hat mehrmals angerufen | |
| Der Hörer ist abgehoben |
12:15 Zeitanzeige (24-Stunden-Format)
09/12 Datumsanzeige (Tag/Monat)
Die Batterie ist fast leer
Für Sie liegen neue Nachrichten im Sprachspeicher des Telefonanschlussanbieters vor
PETER JENSSEN Name des Anrufers
| ∅ | Klingeltone abgeschalted |
| ∅ | Microphone stummgeschalted |
3.2 LED Anzeigen
LED Beschreibung
| ∅) | Der Hörer ist abgehoben |
| ☒ | Blinkt einmal = neuer Anruf in der Anrufliste. |
| Blinkt zweimal = neue Sprachnachricht erhalten. |
4 TELEFON IN BETRIEB NEHMEN
4.1 Einstellen der Displaysprache
Sie können die gewünschte Sprache wie folgt einstellen:
- Drücken Sie die Menütaste, diervoreingestellte Sprache erscheint im Display.
- Benutzen Sie die Nach-oben- ▲ und Nach-unten- ▼ Tasten zum Auswählen der gewünschten Sprache.
- Drücken Sie die Programmiertaste ⇔ zum Bestätigen Ihrer Auswahl oder drücken Sie die Löschtaste ∅, um das Menü zu verlassen.
4.2 Einstellen des Klingeltons
Es stehen Ihnen 3 verschiedene Klingeltöne zur Auswahl.
- Drücken Sie die Menütaste zweimal.
- Benutzen Sie die Nach-oben- ▲ und Nach-unten- ▼ Tasten zum Auswählen des gewünschten Klingeltons.
Hinweis: Während des Einstellens können die Klingeltöne nicht angehört werden.
- Drücken Sie die Programmiertaste zum Bestätigen Ihrer Auswahl oder drücken Sie die Löschtaste , um das Menü zu verlassen.
4.3 Einstellen der Klingellautstärke
Sie können zwischen 3 verschiedenen Lautstärken auswählen.
- Drücken Sie die Menütaste dreimal. Die Klingellautstärke wird angezeigt.
- Benutzen Sie die Nach-oben- ▲ und Nach-unten- ▼ Tasten zum Auswählen der gewünschten Klingellautstärke.
- Drücken Sie die Programmiertaste zum Bestätigen Ihrer Auswahl oder drücken Sie die Löschtaste , um das Menü zu verlassen.
Zum Abschalten der Klingel wählen Sie die Einstellung 'X'. Das Klingel-"AUS"-Symbol wird angezeigt.
4.4 Einstellen von Datum und Uhrzeit
Die integrierte Telefonuhr wird automatisch eingestellt, wenn Sie das Leistungsmerkmal Anruferkennung von Ihrem Telefonanschlussanbieter nutzen und dieser das Datum und die Uhrzeit zusammen mit der Rufnummer übermittelt. Es ist aber auch möglich, die Uhr manuell einzustellen:
- Drücken Sie die Menütaste viermal, die Uhr wird angezeigt und die Tagesanzeige blinkt.
• Geben Sie den Tag, den Monat und die Uhrzeit (im 24 Stundenformat) mit Hilfe des Ziffernblocks ein. - Drücken Sie die Programmiertaste ✦ zum Bestätigen Ihrer Auswahl oder drücken Sie die Löschtaste ∅, um das Menü zu verlassen.
4.5. Programmieren einer Amtskennziffer
Wenn Sie eine Rufnummer aus der Anrufliste auswählen, setzt Ihr Telefon automatisch die eingespeicherte Amtskennziffer vor die Nummer, bevor es diese anwählt. Diese Funktion ist notwendig, sofern Ihr Telefon an eine Telefonanlage (PABX) angeschlossen ist und eine Kennziffer vorausgewählt werden muss, um eine externe Leitung zu belegen.
- Drücken Sie die Menütaste fünfmal.
- Geben Sie die Amtskennziffer mit Hilfe des Ziffernblocks ein.
- Drücken Sie die Programmiertaste ⇌ zum Bestätigen Ihrer Auswahl oder drücken Sie die Löschtaste ∅, um das Menü zu verlassen.
5 ANRUFEN
Es gibt zwei verschiedene Möglichkeiten einen Anruf zu tätigen:
- Geben Sie die Telefonnummer ein. Falls erforderlich können sie die letzten Ziffern mit der Löschtaste löschen. ∅ Heben Sie nun den Hörer ab. Nach 3 Sekunden wird die Nummer automatisch gewählt.
- Heben Sie den Hörer ab. Geben sie die Telefonnummer ein.
Hinweis: In der obersten Displayzeile wird die Dauer des Anrufes angezeigt [mm:ss].
DEUTSCH
5.1 Wahlwiederholung
Ihr Fidelity 140 Telefon speichert automatisch die letzten 5 angewählten Rufnummern unter Angabe des Datums, der Uhrzeit und der Anrufdauer.
Drücken Sie die Wahlwiederholungstaste, um durch die Liste der angerufenen Rufnummern zu blättern.
Heben Sie den Hörer ab. Nach 3 Sekunden wird die ausgewählte Rufnummer automatisch gewählt.
Hinweis: Die Wahlwiederholungstaste funktioniert auch als "Pause" bei der Eingabe einer Rufnummer! Der Buchstabe 'P' erscheint an der Stelle in der Rufnummer, an der Sie eine 3 Sekunden lange "Pause" eingeben haben.
5.2 Stummschalten des Mikrofons
Wenn Sie während eines Telefongespräches die Lösch-/Stummschalttaste betätigen, werden das Mikrofon und der Lautsprecher abgeschaltet. Sie können nun mit anderen Personen im Raum sprechen, ohne dass Ihr Gesprächspartner am Telefon mithören kann. Eine aktive Stummschaltung wird durch folgendes Symbol am Display angezeigt. Ein nochmaliges Drücken der Lösch-/Stummschalttaste verbindet Sie wieder mit Ihrem Gesprächspartner.
6 ANRUFERKENNUNG
6.1 Allgemeine Hinweise
Wenn Sie das Leistungsmerkmal Anruferkennung von Ihrem Telefonanschlussanbieter nutzen, wird die Rufnummer des Anrufers
in Ihrem Display angezeigt. Abhängig vom Netzwerk des Telefonanschlussanbieters wird unter Umständen auch der Name des Anrufers im Display angezeigt. Falls Ihr Telefonanschlussanbieter den Anrufernamen nicht übermittelt, aber Sie die Rufnummer und den Namen des Anrufers auf einer Direktruftaste gespeichert haben, erscheint bei einem Anruf der Name trotzdem im Display (Namensidentifizierungsfunktion).
Während eines eingehenden Anrufes können auch folgende Informationen angezeigt werden:
NR. UNBEKANNT
Sie nutzen das Leistungsmerkmal Anruferkennung, aber die Rufnummer des Anrufers ist nicht verfügbar (z.B. bei Anrufen aus dem Ausland).
NR. GESPERT
Sie nutzen das Leistungsmerkmal Anruferkennung, aber der Anrufer ruft von einem Privatanschluss an.
INTERNAT.
Sie nutzen das Leistungsmerkmal Anruferkennung, aber der Anrufer hat eine ausländische Rufnummer.
6.2 Anrufliste
Ihr Fidelity 140 Telefon verfügt über eine Anrufliste, in der mind. 30 eingehende Rufnummern mit Namen gespeichert werden können. Jede eingehende Rufnummer wird in der Anrufliste mit Datum und Uhrzeit des Anrufes gespeichert.
Im Ruhezustand zeigt das Display die Anzahl der neu empfangenen Anrufe an.
6.2.1 Die Anrufliste durchblättern
Mit Hilfe der Nach-oben- und Nach-unten- Tasten können Sie durch die Anrufliste blättern.
Das Display zeigt "----"an, wenn Sie am Ende oder Anfang der Anrufliste angelangt sind. Jedes Mal, wenn ein neuer Anruf eingeht, erscheint im Display. wird angezeigt, wenn der Anrufer mehrmals angerufen hat.
6.2.2 Löschen von Anruflisteneinträgen
a) Löschen eines Eintrages
• W ählen Sie den zu löschenden Eintrag mit den Nach-oben- und Nach-unten-Tasten aus.
- Drücken Sie die Löschtaste einmal. Es erscheint "LÖSCHEN?" im Display.
- Zum Bestätigen drücken Sie nun die Löschtaste ✅ noch einmal oder betätigen Sie die Nach-oben- ▲ und Nach-unten- ▼Tasten, um weiterdurch die Anrufliste zu blättern.
b) Löschen aller Anruflisteneinträge
- Rufen Sie die Anrufliste auf, drücken Sie die Löschtaste ∅ solange, bis "ALLE LÖSCHEN?" im Display erscheint.
- Zum Bestätigen drücken Sie nun die Löschtaste ✅ noch einmal oder betätigen Sie die Nach-oben- und Nach-unten-Tasten, um weiter durch die Anrufliste zu blättern.
6.2.3 Anrufen einer Rufnummer aus der Anrufliste
• W ählen Sie die gewünschte Rufnummer mit den Nach-oben- und Nach-unten-Tasten aus.
- Nun heben Sie den Hörer ab und die Rufnummer wird automatisch angewählt.
6.3 Sprachspeicher
!!! Dieses Leistungsmerkmal funktioniert nur dann, wenn Ihr Telefonanschlussanbieter die Sprachspeichersignalisierung zusammen mit der Rufnummernerkennung übermittelt !!!
Das Sprachspeichersymbol wird angezeigt, wenn Ihr Fidelity 140 Telefon eine Sprachspeichernachricht empfangen hat. Sobald sie die Nachricht abgehört haben, verschwindet das Symbol ✉
7 DIREKTRUFNUMMERN
Ihr Telefon speichert 8 Direktrufnummern (M1-M7 und VIP) (Rufnummer: Max 20 Ziffern, Name: Max. 13 Zeichen).
7.1. Verwendung des alphanumerischen Tastenfelds
Sie benutzen das alphanumerische Tastenfeld, um einen Text (Namen) abzuspeichern. Um einen Buchstaben auszuwählen, drücken Sie die entsprechende Taste. Z.B., wenn Sie die Taste mit der Ziffer '5' drücken, erscheint der erste Buchstabe (J) auf dem Display. Drücken Sie die Taste mehrfach, wenn Sie einen anderen Buchstaben dieser Taste benötigen.
Drücken Sie die Taste mit der Ziffer '2' zweimal, um den Buchstaben 'B' zu schreiben. Brauchen Sie ein 'A' und ein 'B', drücken Sie die Taste mit der Ziffer '2' einmal, um ein 'A' auszuwählen und warten dann 2 Sekunden, bis der Positionsanzeiger eine Stelle weiter gerückt ist. Nun drücken Sie die Taste mit der Ziffer '2' zweimal, um ein 'B' auszuwählen.
Haben Sie sich verschrieben, können Sie die falsch eingegebenen Zeichen mit der Löschtaste korrigieren. Bewegen Sie den Positionsanzeiger mit Hilfe der Nach-oben- und Nach-unten-Tasten. Es wird das Zeichen vor dem Positionsanzeiger gelöscht.
Verfügbare Schriftzeichen
Mit den folgenden Tasten können Sie die folgenden Schriftzeichen verwenden:
| [1] Leerzeichen 1 . ; ? ! : - " ' () | [7] P Q R S 7 |
| [2] A B C 2 | [8] T U V 8 |
| [3] D E F 3 | [9] W X Y Z 9 |
| [4] G H I 4 | [0] 0 & / $ % £ |
| [5] J K L 5 | [*] * |
| [6] M N O 6 | [#]# |
7.2 Speichern von Direktrufnummern
- Drücken Sie die Programmiertaste während sich Ihr Telefon im Ruhezustand befindet.
- Geben Sie die zu speichernde Rufnummer ein
- Drücken Sie die Programmiertaste zum Bestätigen.
• Geben Sie den Namen ein. - Drücken Sie die Programmiertaste zum Bestätigen.
- Drücken Sie nun die gewünschte Direktruftaste (M1-M7 oder VIP)
- Drücken Sie noch einmal die Programmiertaste zum Bestätigen.
Führen Sie dieselben Schritte durch, wenn Sie eine Direktrufnummer ändern wollen.
7.3 Speichern einer Nummer aus der Anrufliste als Direktrufnummer
• W ählen Sie den zu löschenden Eintrag mit den Nach-oben- und Nach-unten-Tasten aus.
- Drücken Sie die Programmiertaste zum Bestätigen.
- Drücken Sie die gewünschte Direktruftaste (M1-M7 oder VIP)
- Drücken Sie die Programmiertaste zum Bestätigen.
7.4 Wählen einer Direktrufnummer/Kurzwahlnummer
- Drücken Sie die gewünschte Direktruftaste (M1-M7 oder VIP)
• D ie Rufnummer wird automatisch gewählt, wenn Sie den Hörer abheben.
7.5 Löschen einer Rufnummer oder eines Namens von den Direktruftasten
- Drücken Sie die entsprechende Direktruftaste(M1-M7 oder VIP)
- Drücken Sie die Löschtaste einmal. Es erscheint "LÖSCHEN?" im Display.
- Drücken Sie die Löschtaste noch einmal zum Bestätigen
8 GARANTIE
• Die Garantiezeit beträgt 24 Monate. Die Garantie wird auf Grund der Vorlage der Originalrechnung bzw. Zahlungsbestätigung, welche das Datum des Kaufes sowie die Geräte-Typ zu tragen hat, gewährt.
- Während der Garantiezeit behebt Topcom unentgeltlich alle Mängel, die auf Material- oder Herstellungsfehler beruhen. Topcom leistet nach eigener Wahl Garantie durch Repartur oder durch Austausch des defekten Gerätes.
- Der Garantieanspruch erlischt bei Eingriffen durch Käufer oder unbefugte Dritte.
- Schäden, die durch unsachgemäße Behandlung oder Bedienung auftreten, bzw. die entstehen durch die Verwendung von Ersatzteilen und Zubehör, die nicht Original oder von Topcom empfohlenen sind, fallen nicht unter die Garantieleistung.
• Die Garantie wird nicht gewährt, wenn Schäden durch äußere Einflüsse: Blitz, Wasser, Feuer u. ä entstanden sind oder die Geräte-Nummer am Gerät geändert, gelöscht oder unleserlich gemacht wurde.
Achtung: Vergessen Sie bei einem Zurückschicken ihres Gerätes nicht Ihren Kaufbeleg beizufügen.
9 T ECHNISCHE DATEN
Wahlverfahren:
DTMF
(Tonwahl)
Batterien:
1x9V
keine Akku's
Betriebstemperatur: +5 °C bis +45 °C
Luftfeuchtigkeit: 25 bis 85 %
Die Übereinstimmung des Gerätes mit den grundlegenden Anforderungen der R&TTE-Directive ist durch das CE-Kennzeichen bestätigt.