ACER ED242QR - Moniteur

ED242QR - Moniteur ACER - Notice d'utilisation et mode d'emploi gratuit

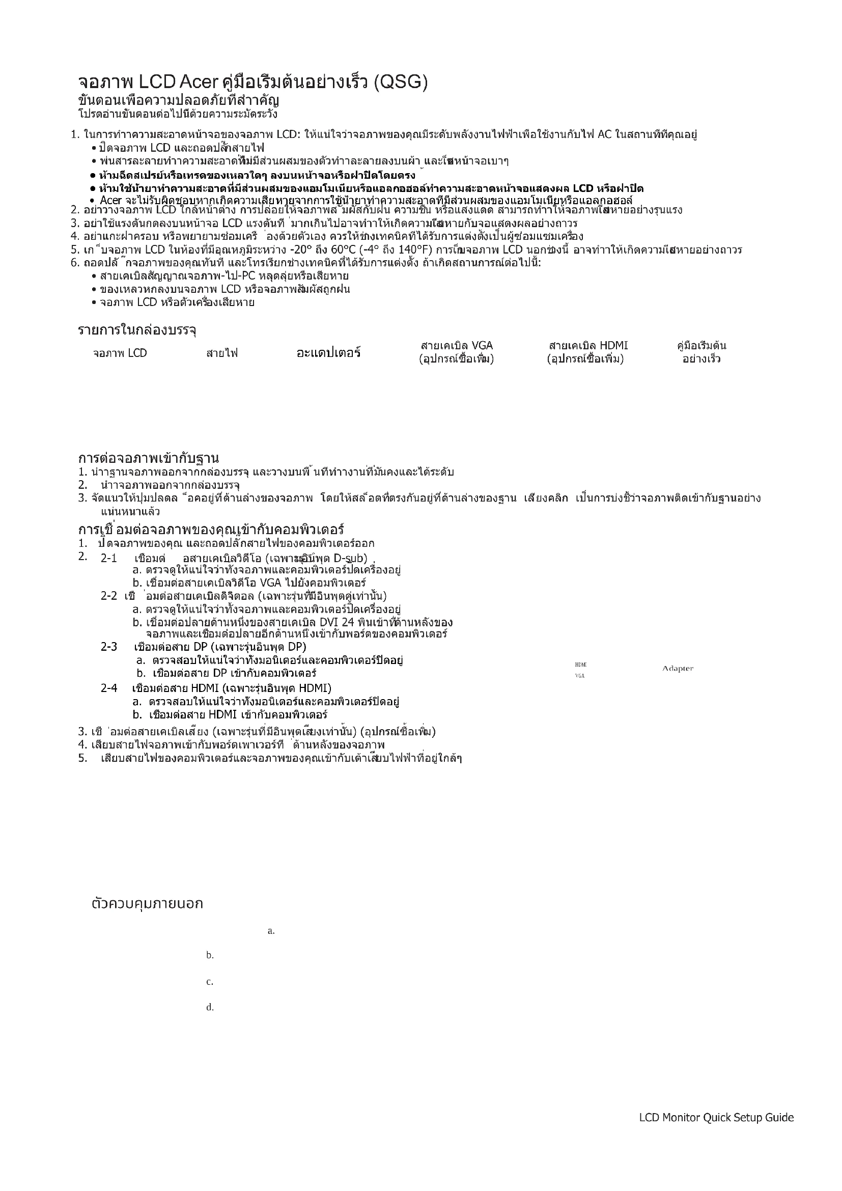
Retrouvez gratuitement la notice de l'appareil ED242QR ACER au format PDF.

📄 2 pages Français FR 💬 Question IA 9 questions ⚙️ Specs
Notice ACER ED242QR - page 1
Assistant notice
Powered by ChatGPT
En attente de votre message
Informations produit

Marque : ACER

Modèle : ED242QR

Catégorie : Moniteur

Caractéristiques Techniques Détails
Taille de l'écran 23,6 pouces
Type de panneau VA (Vertical Alignment)
Résolution 1920 x 1080 pixels (Full HD)
Taux de rafraîchissement 144 Hz
Temps de réponse 1 ms (MPRT)
Contraste 3000:1
Luminosité 250 cd/m²
Angles de vision 178° horizontal / 178° vertical
Connectivité HDMI, DisplayPort, VGA
Dimensions (sans pied) Width: 54.1 cm, Height: 32.4 cm, Depth: 7.5 cm
Poids 3.5 kg
Utilisation recommandée Jeux vidéo, bureautique, multimédia
Maintenance Nettoyer l'écran avec un chiffon doux, éviter les produits chimiques agressifs
Sécurité Éviter l'exposition à l'humidité, utiliser un support stable
Garantie 2 ans

FOIRE AUX QUESTIONS - ED242QR ACER

Comment ajuster la luminosité de mon moniteur ACER ED242QR ?
Pour ajuster la luminosité, appuyez sur le bouton de menu situé à l'arrière du moniteur. Utilisez les flèches pour naviguer vers 'Luminosité' et ajustez le niveau selon vos préférences.
Pourquoi mon moniteur ACER ED242QR n'affiche-t-il pas d'image ?
Vérifiez que le moniteur est bien allumé et que le câble d'alimentation est correctement connecté. Assurez-vous également que le câble vidéo (HDMI ou DisplayPort) est bien branché à la fois sur le moniteur et sur l'ordinateur.
Comment changer la résolution d'affichage sur le moniteur ACER ED242QR ?
Cliquez avec le bouton droit sur le bureau de votre ordinateur, sélectionnez 'Paramètres d'affichage', puis choisissez la résolution recommandée pour le moniteur ACER ED242QR.
Mon moniteur ACER ED242QR a des lignes verticales sur l'écran. Que faire ?
Essayez de débrancher et de rebrancher le câble vidéo. Si le problème persiste, testez le moniteur avec un autre ordinateur pour déterminer si le problème vient du moniteur ou de l'ordinateur.
Comment activer le mode FreeSync sur le moniteur ACER ED242QR ?
Accédez au menu OSD du moniteur, naviguez jusqu'à 'Paramètres' et activez 'FreeSync'. Assurez-vous que votre carte graphique supporte FreeSync.
Est-ce que le moniteur ACER ED242QR a des options de réglage de hauteur ?
Le modèle ACER ED242QR ne dispose pas de réglage de hauteur, mais vous pouvez ajuster l'inclinaison de l'écran pour un meilleur confort visuel.
Comment réinitialiser les paramètres d'usine de mon moniteur ACER ED242QR ?
Accédez au menu OSD, sélectionnez 'Réglages', puis choisissez 'Réinitialiser aux paramètres d'usine'. Confirmez votre choix pour restaurer les paramètres d'origine.
Le son de mon moniteur ACER ED242QR ne fonctionne pas. Que faire ?
Assurez-vous que le volume du moniteur est augmenté et que le câble audio est correctement branché si vous utilisez des haut-parleurs externes. Vérifiez également les paramètres audio de votre ordinateur.
Mon moniteur ACER ED242QR émet un bruit étrange. Est-ce normal ?
Un léger bourdonnement peut être normal, mais si le bruit est fort ou persistant, vérifiez les connexions et essayez de changer la source d'alimentation. Si le problème persiste, contactez le support technique.

Téléchargez la notice de votre Moniteur au format PDF gratuitement ! Retrouvez votre notice ED242QR - ACER et reprennez votre appareil électronique en main. Sur cette page sont publiés tous les documents nécessaires à l'utilisation de votre appareil ED242QR de la marque ACER.

MODE D'EMPLOI ED242QR ACER