SAMSUNG UE55C7700WS - Televisore

UE55C7700WS - Televisore SAMSUNG - Manuale utente e istruzioni gratuiti

Trova gratuitamente il manuale del dispositivo UE55C7700WS SAMSUNG in formato PDF.

📄 257 pagine Italiano IT 💬 Domanda IA
Notice SAMSUNG UE55C7700WS - page 194
Visualizza il manuale : Français FR Deutsch DE English EN Italiano IT
Assistente manuale
Powered by ChatGPT
In attesa del tuo messaggio
Informazioni sul prodotto

Marca : SAMSUNG

Modello : UE55C7700WS

Categoria : Televisore

Scarica le istruzioni per il tuo Televisore in formato PDF gratuitamente! Trova il tuo manuale UE55C7700WS - SAMSUNG e riprendi in mano il tuo dispositivo elettronico. In questa pagina sono pubblicati tutti i documenti necessari per l'utilizzo del tuo dispositivo. UE55C7700WS del marchio SAMSUNG.

MANUALE UTENTE UE55C7700WS SAMSUNG

2010-05-14 오후 3:41:22 Le figure e le illustrazioni presenti in questo Manuale dell’utente sono fornite unicamente a titolo di riferimento e possono differire da quelle del prodotto attuale. Le specifiche e il design del prodotto possono variare senza preavviso. Avviso relativo alla trasmissione TV digitale

Le funzioni relative alla televisione digitale (DVB) sono disponibili solo nelle nazioni o nelle aree in cui viene trasmesso il segnale digitale terrestre DVB-T (MPEG2 e MPEG4 AVC) o laddove si abbia accesso a un servizio TV via cavo compatibile DVB-C (MPEG2 e MPEG4 AAC). Verificare con il rivenditore locale la possibilità di ricevere segnali DVB-T o DVB-C. DVB-T è lo standard del consorzio europeo DVB per la trasmissione della televisione digitale terrestre mentre DVB-C è lo standard per la trasmissione della televisione digitale via cavo. Tuttavia, alcune funzioni quali EPG (Electronic Program Guide), VOD (Video on Demand) e altre non sono incluse in queste specifiche. Per questo motivo, al momento non sono disponibili. Sebbene questo apparecchio TV soddisfi i più recenti standard DVB-T e DVB-C, aggiornati a [Agosto, 2008], la compatibilità con future trasmissioni digitali via cavo DVB-C e terrestri DVB-T non può essere garantita. In base al paese o all’area in cui si utilizza questo televisore, alcuni fornitori di trasmissioni TV via cavo potrebbero applicare una tariffa aggiuntiva per tali servizi e richiedere all’utente di accettare i termini e le condizioni della loro offerta. Alcune funzioni della trasmissione TV digitale potrebbero non essere disponibili in alcune nazioni o regioni e DVB-C potrebbe non funzionare correttamente con alcuni fornitori di servizi via cavo. Per maggiori informazioni, contattare il locale centro assistenza clienti Samsung. ✎✎ La qualità di ricezione del televisore può essere influenzata dai diversi metodi di trasmissione esistenti nei vari paesi. Verificare le prestazioni del televisore presso un Rivenditore autorizzato SAMSUNG o presso un Call Centre Samsung per sapere se la qualità di ricezione può essere migliorata o meno riconfigurando le impostazioni dell’apparecchio. Avvertenza per la visualizzazione di immagini fisse Evitare la visualizzazione di immagini fisse (per es. file jpeg) o di elementi grafici fissi (come ad esempio il logo di un programma TV, il formato panorama o 4:3, la barra dei titoli di borsa o delle notizie nella parte inferiore dello schermo). La visualizzazione continua di una immagine fissa può causare immagini residue sullo schermo LED e influenzare la qualità della riproduzione. Per ridurre il rischio di tale effetto, seguire le raccomandazioni:

  • Evitare la visualizzazione dello stesso canale televisivo per lunghi periodi di tempo.
  • Visualizzare sempre le immagini a schermo pieno, usando il menu del formato immagini per impostarlo al valore più appropriato.
  • Ridurre la luminosità e il contrasto al minimo necessario per ottenere la qualità visiva desiderata; valori troppo elevati possono accelerare il processo di bruciatura dello schermo.
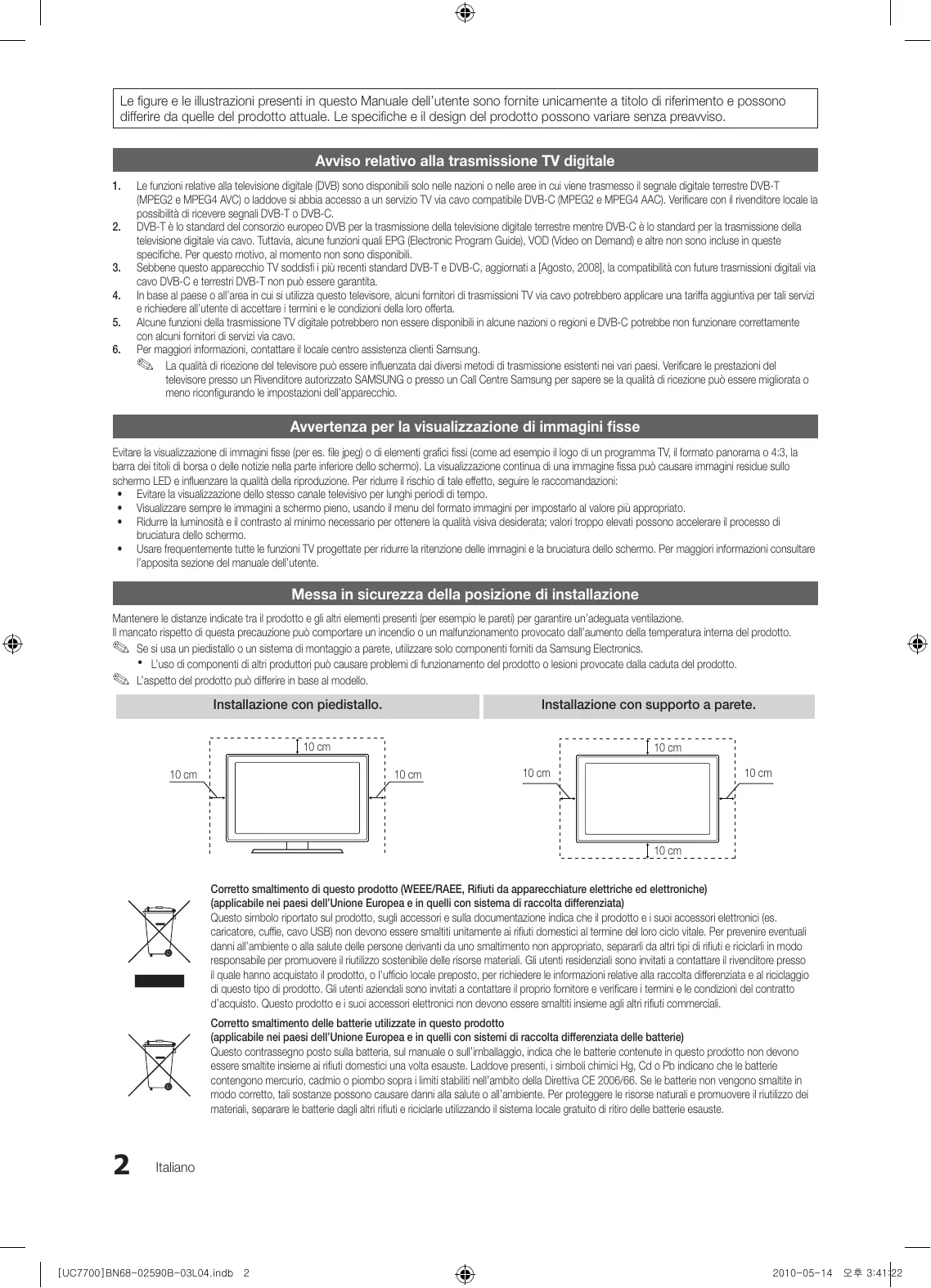
  • Usare frequentemente tutte le funzioni TV progettate per ridurre la ritenzione delle immagini e la bruciatura dello schermo. Per maggiori informazioni consultare l’apposita sezione del manuale dell’utente. Messa in sicurezza della posizione di installazione Mantenere le distanze indicate tra il prodotto e gli altri elementi presenti (per esempio le pareti) per garantire un’adeguata ventilazione. Il mancato rispetto di questa precauzione può comportare un incendio o un malfunzionamento provocato dall’aumento della temperatura interna del prodotto. ✎✎ Se si usa un piedistallo o un sistema di montaggio a parete, utilizzare solo componenti forniti da Samsung Electronics. xx L’uso di componenti di altri produttori può causare problemi di funzionamento del prodotto o lesioni provocate dalla caduta del prodotto. ✎✎ L’aspetto del prodotto può differire in base al modello. Installazione con piedistallo. Installazione con supporto a parete. 10 cm 10 cm 10 cm 10 cm 10 cm 10 cm 10 cm Corretto smaltimento di questo prodotto (WEEE/RAEE, Rifiuti da apparecchiature elettriche ed elettroniche) (applicabile nei paesi dell’Unione Europea e in quelli con sistema di raccolta differenziata) Questo simbolo riportato sul prodotto, sugli accessori e sulla documentazione indica che il prodotto e i suoi accessori elettronici (es. caricatore, cuffie, cavo USB) non devono essere smaltiti unitamente ai rifiuti domestici al termine del loro ciclo vitale. Per prevenire eventuali danni all’ambiente o alla salute delle persone derivanti da uno smaltimento non appropriato, separarli da altri tipi di rifiuti e riciclarli in modo responsabile per promuovere il riutilizzo sostenibile delle risorse materiali. Gli utenti residenziali sono invitati a contattare il rivenditore presso il quale hanno acquistato il prodotto, o l’ufficio locale preposto, per richiedere le informazioni relative alla raccolta differenziata e al riciclaggio di questo tipo di prodotto. Gli utenti aziendali sono invitati a contattare il proprio fornitore e verificare i termini e le condizioni del contratto d’acquisto. Questo prodotto e i suoi accessori elettronici non devono essere smaltiti insieme agli altri rifiuti commerciali. Corretto smaltimento delle batterie utilizzate in questo prodotto (applicabile nei paesi dell’Unione Europea e in quelli con sistemi di raccolta differenziata delle batterie) Questo contrassegno posto sulla batteria, sul manuale o sull’imballaggio, indica che le batterie contenute in questo prodotto non devono essere smaltite insieme ai rifiuti domestici una volta esauste. Laddove presenti, i simboli chimici Hg, Cd o Pb indicano che le batterie contengono mercurio, cadmio o piombo sopra i limiti stabiliti nell’ambito della Direttiva CE 2006/66. Se le batterie non vengono smaltite in modo corretto, tali sostanze possono causare danni alla salute o all’ambiente. Per proteggere le risorse naturali e promuovere il riutilizzo dei materiali, separare le batterie dagli altri rifiuti e riciclarle utilizzando il sistema locale gratuito di ritiro delle batterie esauste.

Italiano [UC7700]BN68-02590B-03L04.indb 2 2010-05-14 오후 3:41:22 Contenuti Per iniziare

Accessori Vista del Pannello di controllo Vista del telecomando Collegamento all’antenna Plug & Play (Impostazione iniziale) 8 Collegare un dispositivo AV 10 Collegamento a un dispositivo audio 11 Cambiare la sorgente di ingresso Funzioni base

Come scorrere i menu Uso del tasto INFO (Guida Now & Next) Pianificare la visione Menu Canale Menu Immagine Menu Suono Menu Impostazione Menu Supporto Funzioni avanzate

Collegamento a un PC Connessione di rete Media Play Anynet+ Internet@TV AllShare Altre informazioni

Funzione Teletext dei canali analogici Assemblaggio dei cavi Installazione del supporto a parete Blocco antifurto Kensington Fissaggio del televisore alla parete Risoluzione dei problemi Specifiche

ITALIANO Collegamenti Questo apparecchio è fabbricato in conformità al D.M.28.08.95 n.548 ed in particolare a quanto specificato nell Art.2, comma 1. Questo apparecchio è fabbricato nella U.E. in conformità al D.M.28.08.95 n.548 Art.2, comma 1 ed al D.M.26.03.92 Art.1 Controllate il simbolo!

TOOLS Questa funzione è utilizzabile premendo il tasto TOOLS sul telecomando. Nota Tasto One-Touch Italiano [UC7700]BN68-02590B-03L04.indb 3

2010-05-14 오후 3:41:23 Per iniziare Accessori ✎✎Controllare che nella confezione del TV LED siano contenuti i seguenti componenti. Se eventuali componenti risultassero mancanti, contattare il rivenditore. ✎✎La forma e il colore dei componenti possono variare in base al modello. ✎✎Eventuali cavi non forniti in dotazione possono essere acquistati separatamente [[ATTENZIONE: INSERIRE SALDAMENTE PER EVITARE UNO SCOLLEGAMENTO ACCIDENTALE DALL’APPARECCHIO yy Telecomando e batterie (2 tipo AAA) yy Scheda di garanzia / Guida alla sicurezza (non disponibili in tutti i paesi) yy Panno per la pulizia yy Istruzioni per l’utente (M4 X L8) yy Staffa preforata e vite (X1) yy Anello di ritenuta (4ea) yy Fermacavo piedistallo yy Fermacavi yy Fascetta fermacavo (3ea) yy Adattatore LAN yy Adattatore antenna (Antenna / Cavo) yy Adattatore antenna (Satellite) yy Adattatore component yy Adattatore ottico yy Adattatore AV yy Adattatore PC yy Adattatore SCART (2EA) Vedere la guida separata per l’installazione del piedistallo.

yy Piedistallo (1EA) yy Guida piedistallo (1EA) M4 X L8 yy Viti (9EA) ✎✎Per la migliore connessione via cavo a questo prodotto, utilizzare cavi del diametro massimo indicato di seguito: yy Diametro massimo - 0,55 pollici (14 mm)

Italiano [UC7700]BN68-02590B-03L04.indb 4 2010-05-14 오후 3:41:25 01 Per iniziare Vista del Pannello di controllo ✎✎La forma e il colore del prodotto possono variare in base al modello. Indicatore di alimentazione Sensore del telecomando Altoparlanti Indicatore di alimentazione Sensore del telecomando SOURCEE MENUm

P (Alimentazione) Lampeggia e si spegne quando l’alimentazione è attiva, si accende in modalità standby. Puntare il telecomando in direzione di questo punto sul televisore. Alterna tutte le sorgenti d’ingresso disponibili. Nel menu OSD, utilizzare questo tasto come si usa il tasto ENTERE del telecomando. Visualizza attraverso un menu OSD (on screen display) le funzioni del televisore. Regola il volume. Nel menu OSD, utilizzare i tasti Y così come si usano i tasti ◄ e ► del telecomando. Cambia i canali. Nel menu OSD, utilizzare i tasti z così come si usano i tasti ▼ e ▲ del telecomando. Spegne e accende il televisore. Modalità Standby Non lasciare il televisore in modalità standby per un lungo periodo di tempo (quando si parte per le vacanze, ad esempio). Anche quando il tasto di accensione è disattivo, l’apparecchio consuma una piccola quantità di energia elettrica. Si consiglia quindi di scollegare il cavo di alimentazione. Italiano [UC7700]BN68-02590B-03L04.indb 5

2010-05-14 오후 3:41:25 Per iniziare Vista del telecomando Visualizza e seleziona le sorgenti video disponibili (p. 11). POWER Spegne e accende il televisore. SOURCE ON/OFF Accende/Spegne la luce del telecomando. Questa funzione attiva l’illuminazione momentanea dei tasti quando questi vengono premuti. (L’uso del telecomando con questa funzione impostata su Off riduce l’uso della batteria.) Accesso diretto ai canali. Seleziona alternativamente le modalità Teletext ON, Doppia, Mix o OFF. PRE-CH TTX/MIX MUTE Ritorna al canale precedente. Esclude temporaneamente l’audio. Cambia i canali. Regola il volume. CH LIST Visualizza l’elenco canali sullo schermo (p. 14). Apre il menu OSD. Visualizza Vista contenuti, che include le opzioni Guida, 3D, Internet@TV, Media Play, e AllShare. Scelta rapida delle funzioni usate più di frequente. Seleziona le voci del menu OSD e cambia i valori visualizzati sul menu. Ritorna al menu precedente. Usare questi tasti per i menu✎ Gestione canali, Internet@TV, Media Play, ecc. CONTENT MENU GUIDE TOOLS INFO RETURN EXIT

P.SIZE Usare questi tasti in modalità Media Play e Anynet+ (HDMI-CEC) (p. 37, 46). (Il tasto controlla inoltre la funzione di registrazione dei registratori Samsung che supportano Anynet+ (HDMI-CEC),✎ TimeShift e PVR.) Visualizza la EPG (Electronic Programme Guide) (p.12). Visualizza le informazioni sullo schermo TV. Esce dal menu.

SUBT. MEDIA.P: Visualizza Media Play (p. 37). INTERNET@TV: Link a vari servizi internet (p. 50). 3D: Imposta il video con segnale 3D (p. 21). AD: Attiva/Disattiva la descrizione audio (p. 24). Non disponibile in alcune nazioni. P.SIZE: Seleziona la dimensione dell’immagine (p. 19). SUBT.: Visualizza i sottotitoli digitali (p. 26). Inserimento delle batterie (tipo: AAA) ✎✎NOTA xx Usare il telecomando entro un raggio di 7 metri dal televisore. xx Una illuminazione intensa può influenzare le prestazioni del telecomando. Evitare l’uso del telecomando nelle immediate vicinanze di lampade fluorescenti o insegne al neon. xx La forma e il colore possono variare in base al modello.

Italiano 4_BN68-02590B-03Ita.indd 6 2010-05-18 오전 11:41:11 01 Per iniziare Collegamento all’antenna Quando il televisore viene acceso per la prima volta, le impostazioni di base vengono visualizzate automaticamente. ✎✎Preimpostato: Collegare l’alimentazione e l’antenna. Antenna satellitare Antenna VHF/UHF ANT 2 IN (SATELLITE) ANT 1 IN Cavo

ANT OUT Plug & Play (Impostazione iniziale) Alla prima accensione del televisore, vengono visualizzate alcune schermate che aiutano l’utente a configurare le impostazioni di base. Premere il tasto POWERP. Plug & Play è disponibile solo quando sul televisore è impostata la sorgente Ingressi. ✎✎Per tornare al passaggio precedente, premere il tasto Rosso.

Selezione della lingua Premere il tasto ▲ o ▼, quindi premere ENTERE. Selezionare la lingua OSD (On Screen Display) desiderata. Selezionare Demo Negozio o Uso dom.

Selezionare la nazione

Selezionare una antenna Premere il tasto ◄ o ►, quindi premere ENTERE.

  • Selezionare la modalità Uso dom.. La modalità Demo Negozio è dedicata a un uso commerciale.
  • Ripristinare le impostazioni dell’unità da Demo Negozio a Uso dom. (standard): Premere il tasto Volume del televisore. Quando il menu Volume viene visualizzato a schermo, tenere premuto il tasto MENU per 5 secondi. Premere il tasto ▲ o ▼, quindi premere ENTERE. Selezionare la nazione appropriata. Dopo aver selezionato il paese nel menu Nazione, alcuni modelli potrebbero richiedere un’opzione aggiuntiva per l’impostazione del pin. ✎✎ All’inserimento del codice PIN, 0-0-0-0 non è disponibile. Premere il tasto ▲ o ▼, quindi premere ENTERE. Selezionare Antenna, Cavo o Satellite.

Impostare la Modalità orologio Selezionare un canale POWER

Premere il tasto ▲ o ▼, quindi premere ENTERE. Selezionare la sorgente del canale da memorizzare. Quando si imposta la sorgente antenna su Cavo, viene visualizzata una procedura che consente di impostare un valore per la ricerca dei canali digitali (frequenza del canale). Per ulteriori informazioni, vedere Canale → Memoriz. automatica (p. 14). ✎✎ Nel caso Antenna o Cavo siano selezionati per primi: Dopo la memorizzazione di tutti i canali Antenna o Cavo , viene visualizzata la procedura per la memorizzazione dei canali Satellite. ✎✎ Nel caso Satellite sia selezionato per primo: Dopo la memorizzazione di tutti i canali Satellite , viene visualizzata la procedura per la memorizzazione dei canali Antenna or Cavo. ✎✎ Premere ENTERE in qualsiasi momento per interrompere il processo di memorizzazione. Impostare la Modalità orologio automaticamente o manualmente. Premere ▲ o ▼ per selezionare Automatico, quindi premere ENTERE. Fuso orario Premere ▲ o ▼ per selezionare il fuso orario, quindi premere ENTERE. (in base alla nazione) Visualizzare la Guida alla connessione HD. Viene quindi visualizzata la descrizione relativa al metodo di connessione che fornisce la migliore qualità di visione HD. Buona visione. Premere il tasto ENTERE. Per reimpostare questa funzione... Selezionare Impostazione - Plug & Play (Impostazione iniziale) Digitare il PIN a quattro cifre. Il PIN preimpostato è “0-0-0-0”. Per cambiare il codice PIN, utilizzare la funzione Cambia PIN. Italiano [UC7700]BN68-02590B-03L04.indb 7

2010-05-14 오후 3:41:26 Collegamenti Collegare un dispositivo AV Uso di un cavo HDMI o HDMI/DVI: Connessione HD (fino a 1080p) Dispositivi disponibili: Lettore DVD, Blu-ray, ricevitore via cavo HD, ricevitore satellitare HD STB (Set-Top-Box), ricevitore via cavo, ricevitore satellitare (STB) Lettore DVD / Blu-ray HDMI OUT

Rosso Bianco AUDIO OUT R-AUDIO-L ✎✎HDMI IN 1(DVI), 2(ARC), 3, 4, PC/DVI AUDIO IN xx Per una migliore qualità audio e immagine, effettuare il collegamento a un dispositivo digitale mediante un cavo HDMI. xx I cavi HDMI supportano i segnali video e audio e non richiedono un canale audio. –– Per collegare il televisore a un dispositivo digitale che non supporta una uscita HDMI, utilizzare cavi HDMI/DVI e audio. xx Se viene collegato al televisore un dispositivo esterno che supporta una versione HDMI precedente, l’immagine a schermo potrebbe essere disturbata (o non essere visualizzata del tutto), oppure l’audio potrebbe non essere riprodotto. In questo caso, chiedere al produttore del dispositivo esterno informazioni sulla versione HDMI supportata e, se obsoleta, richiedere un aggiornamento. xx Usare un cavo HDMI di max. 14 mm di spessore. xx Acquistare un cavo HDMI certificato. In caso contrario, l’immagine potrebbe non apparire sullo schermo oppure potrebbe verificarsi un errore di connessione. xx Si consiglia l’uso di un cavo base HDMI ad alta velocità o ethernet. Questo prodotto non supporta la funzione ethernet via HDMI. xx Questo prodotto supporta le funzioni 3D e ARC (Audio Return Channel) attraverso cavo HDMI. Notare che la funzione ARC è supportata solo dalla porta HDMI IN 2(ARC). –– Se Visualizz auto 3D è impostata su On, alcune funzioni quali Internet@TV non sono selezionabili. Per renderle nuovamente disponibili, impostare Visualizz auto 3D o Modalità 3D su Off. xx La funzione ARC consente l’uscita audio digitale attraverso la porta HDMI IN 2(ARC). Può essere attivata solo quando il televisore è collegato a un ricevitore audio in grado di supportare la funzione ARC.

Italiano [UC7700]BN68-02590B-03L04.indb 8 2010-05-14 오후 3:41:27 02 Collegamenti Usare un cavo Component (fino a 1080p) o Audio/Video (solo 480i) e un cavo Scart Dispositivi disponibili: lettore DVD, Blu-ray, ricevitore via cavo, ricevitore satellitare STB, Videoregistratore Lettore DVD / Blu-ray COMPONENT OUT Videoregistratore / DVD

EXT ✎✎In modalità Est.1, Est.2, l’uscita DTV supporta solo video e audio SD MPEG. ✎✎Per ottenere la migliore qualità delle immagini, si consiglia l’uso della connessione Component rispetto alla connessione A/V. Italiano [UC7700]BN68-02590B-03L04.indb 9

2010-05-14 오후 3:41:27 Collegamenti Collegamento a un dispositivo audio Uso di un collegamento ottico (digitale), audio (analogico) o cuffie Dispositivi disponibili: sistema audio digitale, amplificatore, DVD home theatre

AUDIO IN amplificatore, DVD Home Theater R-AUDIO-L sistema audio digitale OPTICAL ✎✎DIGITAL AUDIO OUT (OPTICAL) xx Quando un sistema audio digitale è collegato alla porta DIGITAL AUDIO OUT (OPTICAL), ridurre il volume sia del televisore sia del sistema. xx L’audio 5,1 CH (canali) è disponibile quando il televisore è collegato a un dispositivo esterno che supporta lo standard 5,1 CH. xx Quando il ricevitore (home theatre) è impostato su On, è possibile udire l’audio proveniente dall’uscita ottica del televisore. Quando il televisore visualizza un segnale DTV, invia l’audio a 5,1 canali al ricevitore Home Theater. Se la sorgente è un componente digitale, come per es. un lettore DVD / Blu-ray / ricevitore via cavo / ricevitore satellitare (STB) ed è collegata al televisore mediante HDMI, saranno udibili solo 2 canali audio dal ricevitore Home Theater. Per un audio a 5,1 canali, collegare il jack dell’uscita audio digitale del DVD / lettore Blu-ray / ricevitore via cavo / ricevitore satellitare STB direttamente a un amplificatore o un home theatre. ✎✎Cuffie H : E’ possibile collegare le cuffie all’uscita cuffie del televisore. Quando le cuffie sono collegate, l’audio proveniente dagli altoparlanti incorporati viene disabilitato. xx Collegando le cuffie al televisore l’uso della funzione audio non è disponibile. xx Il volume delle cuffie e quello del televisore sono regolabili indipendentemente. ✎✎AUDIO OUT: Collega i jack di ingresso audio dell’amplificatore/DVD Home theatre. xx Per la connessione usare il connettore appropriato. xx Quando l’amplificatore è collegato ai jack AUDIO OUT: Diminuire il volume del televisore e regolarlo con la manopola di regolazione dell’amplificatore.

Italiano [UC7700]BN68-02590B-03L04.indb 10 2010-05-14 오후 3:41:28 02 Collegamenti Slot per CONNESSIONI COMMON INTERFACE Per visualizzare canali a pagamento, è necessario inserire una “SCHEDA CI o CI+”. yy Se non si inserisce una “SCHEDA CI o CI+”, alcuni canali visualizzeranno il messaggio “Segnale criptato”. yy Le informazioni di pairing che contengono un numero telefonico, l’ID della “SCHEDA CI o CI+”, l’ID host e altri dati verranno visualizzati entro 2~3 minuti. Se viene visualizzato un messaggio di errore, contattare il fornitore del servizio. yy Quando la configurazione delle informazioni relative al canale è stata completata, viene visualizzato il messaggio “Updating Completed” (Aggiornamento completato), a indicare che l’elenco dei canali è stato aggiornato. ✎✎NOTA xx È necessario richiedere una “SCHEDA CI o CI+” al fornitore del servizio locale. xx Estrarre con delicatezza la “SCHEDA CI o CI+” tirandola con le dita e prestando attenzione a non farla cadere poiché potrebbe subire danni. xx Inserire la “SCHEDA CI o CI+” nella direzione indicata sulla scheda stessa. xx La posizione dell’alloggiamento COMMON INTERFACE può variare in base al modello. xx La “SCHEDA CI o CI+” non è supportata in alcune nazioni e regioni; controllare con il rivenditore autorizzato di zona. xx In caso di problemi, contattare il fornitore del servizio. xx Inserire la “SCHEDA CI o CI+” in grado di supportare le impostazioni antenna correnti. Lo schermo non visualizzerà le immagini oppure queste saranno distorte. xx Durante la visione di programmi TV satellitari, rimuovere la “SCHEDA CI o CI+” per la ricezione terrestre e via cavo. Lo schermo non visualizzerà le immagini oppure queste saranno distorte. Cambiare la sorgente di ingresso Elenco sorgenti Questa funzione viene usata per selezionare il televisore o un’altra sorgente di ingresso esterna come un lettore DVD / Blu-Ray / ricevitore via cavo / ricevitore satellitare STB collegato al televisore. ■■ TV / Est.1 / Est.2 / PC / AV / Component / HDMI1/DVI / HDMI2 /

SOURCE ✎✎ In Elenco sorgenti, gli ingressi collegati vengono evidenziati. ✎✎ Est.1, Est.2 e PC sono sempre attivi. Modifica Nome ■■ Videoregistratore / DVD / STB cavo / STB satellite / STB PVR / Ricevitore AV / Giochi / Videocamera / PC / DVI PC / Dispositivi DVI / TV / IPTV / Blu-ray / HD DVD / DMA: Assegnare un nome al dispositivo collegato alle porte di ingresso per semplificare la selezione della sorgente di ingresso. ✎✎ Quando un PC con una risoluzione di 1920 x 1080 a 60Hz viene collegato alla porta HDMI IN 1(DVI), impostare la porta in modalità DVI PC nel campo Modifica Nome. ✎✎ Quando si collega un cavo HDMI/DVI alla porta HDMI IN 1(DVI), è necessario impostare la porta in modalità DVI PC o Dispositivi DVI nel campo Modifica Nome. ✎✎ Se un cavo HDMI è collegato alla porta HDMI IN 1(DVI), l’audio potrebbe non funzionare. In questo caso, collegarlo alla porta PC/DVI AUDIO IN. Italiano [UC7700]BN68-02590B-03L04.indb 11

2010-05-14 오후 3:41:28 Funzioni base TTX/MIX PRE-CH MUTE Come scorrere i menu Uso del tasto INFO (Guida Now & Next) Prima di utilizzare il televisore, seguire questi passaggi per imparare a scorrere i menu, selezionando e regolando le CH LIST diverse funzioni. MENU CONTENT GUIDE TOOLS INFO RETURN EXIT

Il display identifica il canale corrente e lo stato INFO di determinate impostazioni audio e video. La guida Now & Next mostra le informazioni relative alla programmazione giornaliera di ogni canale in base all’orario di trasmissione. yy Scorrere ◄, ► per visualizzare le informazioni di un determinato programma durante la visione del canale corrente. yy Scorrere ▲, ▼ per visualizzare le informazioni relative ad altri canali. Se si desidera spostarsi sul canale selezionato, premere ENTERE. DEF

1 ENTERE / Tasto di Bdirezione: Sposta il cursore e seleziona una voce. Conferma l’impostazione. 18:11 Gio 6 Jan DTV Air Life On Venus Avenue

Unclassified No Detaild Information INTERNET MEDIA.P 2 Tasto RETURN: Ritorna al menu precedente. @TV La procedura d’accesso può essere diversa a seconda del menu selezionato.

ENTER E EXIT e Sullo schermo vengono visualizzate le opzioni del menu principale: Immagine, Suono, Canale, Impostazione, Ingressi, Applicazione, Supporto. Selezionare una icona con il tasto ▲ o ▼. Premere ENTERE per accedere al menu secondario. Selezionare il menu secondario desiderato con il tasto ▲ o ▼. Regolare il valore di un elemento con il tasto ◄ o ►. La regolazione nel menu OSD può differire in base al menu selezionato. Premere ENTERE per completare la configurazione. Premere EXIT. E Guarda Informazioni Pianificare la visione 3 Tasto MENU: Visualizza il menu OSD principale. AD dal menu P.SIZEOSD.SUBT. 4 Tasto EXIT: Esce Uso dei menu OSD (On Screen Display) 18:00 ~ 6:00 Guida Le informazioni EPG (Electronic GUIDE Programme Guide) sono fornite dall’emittente. Usando la programmazione fornita dalle emittenti, è possibile specificare i programmi da visualizzare in anticipo in modo da passare automaticamente al canale desiderato all’orario impostato. Le varie voci dei programmi potranno non essere visualizzate o non essere aggiornate in base allo stato del canale. Usare Vis. canali Guida 2:10 Mar 1 Giu DTV Air 800 five Home and Away 18:00 - 18:30 Drama Dani is devastated when scott makes clear his views on marriage... 800 five Vis. canali - TV Oggi Discovery DiscoveryH&L five price-drop.tv QVC R4DTT 18:00 - 19:00 American Chopper Programmes resume at 06:00 Home and... )Family Affairs No Information QVC Selection No Information Mod vis. +24 ore Mod.CH

Canali: Mostra l’elenco canali a seconda del tipo di canale.

  • Miei canali: Mostra il gruppo del canale.

Satellite: Mostra l’elenco canali a seconda del segnale satellitare.

five five ✎✎Uso dei tasti colorati in Gestione canali Informazioni E Annulla

Rosso (Antenna): Selezionare Antenna, Cavo o Satellite.

Verde (Zoom) : Aumenta o diminuisce il numero di un canale.

Giallo (Seleziona): Selezionare i canali desiderati e premere il tasto giallo per impostare tutti i canali selezionati contemporaneamente. Il simbolo c compare a sinistra dei canali selezionati. Blu (Ordina) : Cambia l’elenco dei canali ordinati per nome o numero del canale.

Rosso (Mod vis.) : Visualizza l’elenco dei programmi attualmente trasmessi o in programmazione.

Giallo (+24 ore): Visualizza l’elenco dei programmi da trasmettere dopo 24 ore.

Blu (Mod. CH): Selezionare il tipo di canali da visualizzare nella finestra Vis. canali. xx k (Pagina): Passa alla pagina precedente o –– La Mod. CH può differire in base alla sorgente antenna. 4 Informazioni: Visualizza i dettagli del programma selezionato. 5 k (Pagina): Passa alla pagina precedente o successiva. 6 Tasto ENTERE –– Selezionando il programma corrente, è possibile visualizzarlo. –– Selezionando un evento in programmazione, è possibile prenotarne la visione. Per annullare la programmazione, premere nuovamente il tasto ENTERE quindi selezionare Annulla progr. Gestione canali Eliminare o impostare i canali preferiti e utilizzare la guida ai programmi per le trasmissioni digitali. Selezionare un canale nella schermata Canali, Miei canali, Satellite o Programmato. Canali Satellite

Radio Dati/Altro Gratuito Criptato Trovato

BBC World bid-up.tv Boonerang Cartoon Nwk Class News Coming Soon Discovery Antenna Zoom Seleziona successiva. xx T (Strumenti): Visualizza il menu dell’opzione Gestione canali. (Il menu Opzioni può variare a seconda della situazione.) Icone di stato del canale Icone

Operazioni Canale analogico. Canale selezionato. Canale impostato come Preferito. Programma attualmente trasmesso. Canale bloccato. Programma prenotato. Tipo di guida (Samsung / Guide Plus+) (in base alla nazione) E’ possibile selezionare il tipo di guida desiderato. ■■ Samsung: Utilizza la guida fornita da Samsung. ■■ Guide Plus+: Utilizza la guida fornita da Rovi International Solutions. Per ulteriori informazioni visitare il sito “www.europe.guideplus.com.” Ordina k Pagina T Strumenti Italiano [UC7700]BN68-02590B-03L04.indb 13 03 Funzioni base Uso di Vista programmazione

2010-05-14 오후 3:41:31 Funzioni base Menu Canale ¦¦ Uso dei Canali Preferiti ¦¦ Ritorno ai canali

  • Miei canali (in Gestione canali) Mostra tutti i canali preferiti. Antenna (Antenna / Cavo / Satellite) ■■ Modifica Miei canali t : E’ possibile impostare i canali selezionati nel gruppo Mio canale. ✎✎Il simbolo “*” verrà evidenziato e il canale verrà impostato nel gruppo Mio canale.

1. Selezionare un canale e premere il tasto TOOLS.

2. Aggiungere o eliminare un canale nei gruppi Mio

canale quali 1, 2, 3 e 4. xx E’ possibile selezionare uno o più gruppi.

3. Una volta modificate le impostazioni, in Miei canali

sarà possibile visualizzare l’elenco dei canali di ogni gruppo. Canali

Coming Soon Discovery Seleziona Ordina k Pagina T Strumenti Viene visualizzata la finestra di immissione del PIN. Digitare il PIN a quattro cifre. ■■ Canale digitale : Cambiare la nazione per i canali digitali. ■■ Canale analogico: Cambiare la nazione per i canali analogici. Ricerca i canali automaticamente e li memorizza sul televisore. ✎✎I numeri di programma assegnati automaticamente potrebbero non corrispondere ai numeri di programma effettivi o desiderati. Se un canale è stato bloccato mediante la funzione Blocco canali, comparirà la schermata di inserimento del PIN. ■■ Sorgente antenna (Antenna / Cavo / Satellite): Selezionare la sorgente antenna da memorizzare. Elenco canali E’ possibile visualizzare tutti i canali ricercati. Nazione Memoriz. automatica 15Modifica Mieiabc1 canali Tutto Radio Dati/Altro Gratuito Criptato Trovato Satellite 1futech

  • 24ore.tv Prima che il televisore inizi la memorizzazione dei canali disponibili, è necessario specificare il tipo di sorgente di segnale collegata al televisore (per es. un sistema via Antenna, Cavo o Satellite). Quando Sorgente antenna è impostata su Antenna o Cavo: CH LIST ■■ Sorgente canale (Digitale e Analogico / Digitale / Analogico) : Selezionare la sorgente del canale da memorizzare. Quando si seleziona Cavo → Digitale e Analogico o Digitale : Inserire un valore per ricercare i canali via cavo. Mod ricerca (Completa / Rete / Rapida): Scorrere tutti i canali per le stazioni emittenti attive e memorizzarli nella memoria del televisore. Impostando Rapida, è possibile configurare Rete, ID di rete, Frequenza, Modulazione e Symbol Rate manualmente premendo il tasto sul telecomando.

Rete (Automatico / Manuale): Seleziona la modalità di impostazione ID di rete tra Automatico o Manuale. ID di rete: Quando Rete è impostata su Manuale, è possibile impostare ID di rete usando i tasti numerici. Frequenza: Visualizza la frequenza del canale. (varia in base alla nazione) Modulazione: Visualizza i valori di modulazione disponibili. Symbol Rate: Visualizza i valori di symbol rate disponibili. Italiano [UC7700]BN68-02590B-03L04.indb 14 2010-05-14 오후 3:41:31 Impostazione sistema satellitare ■■ Tipo canale (Tutto / TV / Radio): Seleziona il tipo di canale da memorizzare. Viene visualizzata la finestra di immissione del PIN. Digitare il PIN a quattro cifre. Impostazione sistema satellitare è disponibile quando l’opzione Antenna è impostata su Satellite. Prima di eseguire la funzione Memoriz. automatica, avviare la procedura Impostazione sistema satellitare. La ricerca del canale verrà eseguita normalmente. ■■ Satellite: Seleziona il satellite da ricercare. ■■ Mod Scansione (Tutti i canali / Solo canali gratuiti): Seleziona la modalità di ricerca del satellite selezionato. Memorizzazione manuale Esegue la scansione automatica di un canale e lo memorizza nel televisore. ✎✎Se un canale è stato bloccato mediante la funzione Blocco canali, comparirà la schermata di inserimento del PIN. Quando Sorgente antenna è impostata su Antenna o Cavo: ■■ Canale digitale : Al termine della ricerca, i canali vengono aggiornati nell’elenco dei canali. ✎✎ Selezionando Antenna → Antenna: Canale, Frequenza, Larg. di banda ✎✎ Selezionando Antenna → Cavo: Frequenza, Modulazione, Symbol Rate ■■ Canale analogico (Programma, Sistema colore, Sistema audio, Canale, Ricerca) : Se l’audio è anomalo o assente, riselezionare lo standard audio richiesto. ✎✎Mod. Canale xx P (modalità Programma): Una volta completata la sintonizzazione, alle emittenti della propria area viene assegnato un numero compreso tra P0 e P99. In questa modalità, è possibile selezionare un canale digitandone il numero corrispondente. xx C (modalità canale antenna) / S (modalità canale cavo): Queste due modalità permettono di selezionarne un canale digitandone il numero ad esso assegnato per ogni stazione via etere o canale via cavo. Quando Sorgente antenna è impostata su Satellite: ■■ Satellite: Seleziona il satellite utilizzando i tasti su/giù. ■■ Transponder: Seleziona il transponder utilizzando i tasti su/giù. ■■ Mod Scansione (Tutti i canali / Solo canali gratuiti): Seleziona i canali gratuiti oppure tutti i canali da memorizzare. ■■ Ricerca rete (Disabilita / Abilita): Attiva/Disattiva la ricerca della rete usando i tasti su/giù. ■■ Qualità del segnale: Visualizza lo stato corrente del segnale trasmesso. ✎✎Le informazioni su satelliti e transponder sono soggette a modifica a seconda delle condizioni di trasmissione. ✎✎Al termine dell’impostazione, spostarsi su Ricerca e premere ENTERE. Viene avviata la ricerca del canale. ■■ Selezione satellite: E’ possibile scegliere i satelliti da cui ricevere. ■■ Alimentazione LNB (Off / On): Attiva o disattiva l’alimentazione per il dispositivo LNB. ■■ Impostazioni LNB: Configura il dispositivo esterno. –– Satellite: Seleziona il satellite per ricevere le trasmissioni digitali. –– Transponder: Seleziona un transponder dall’elenco o aggiunge un nuovo transponder. –– Modalità DiSEqC: Seleziona la modalità DiSEqC per il dispositivo LNB selezionato. –– Oscillatori LNB Inf: Imposta gli oscillatori LNB su una frequenza inferiore. –– Oscillatori LNB Sup: Imposta gli oscillatori LNB su una frequenza superiore. –– Tono 22 khz (Off / On / Automatico): Seleziona il tono 22 kHz in base al tipo di LNB. Per un LNB universale selezionare Auto. –– Qualità del segnale: Visualizza lo stato corrente del segnale trasmesso. ■■ Impostazioni posizionatore: Configura il dispositivo di posizionamento dell’antenna. Posizionatore (On / Off): Attiva o disattiva il controllo del dispositivo di posizionamento Tipo posizionatore (USALS / DiSEqC 1.2): Imposta il tipo di dispositivo di posizionamento tra DiSEqC 1.2 e USALS (Universal Satellite Automatic Location System). –– Longitudine: Imposta la longitudine della mia posizione. –– Latitudine: Imposta la latitudine della mia posizione. –– Impostazioni longit satellite: Imposta la longitudine dei satelliti definiti dall’utente. Modalità Utente: Imposta la posizione dell’antenna satellitare in base a ogni satellite. Memorizzando la posizione corrente dell’antenna satellitare su un determinato satellite, quando viene utilizzato quel particolare segnale l’antenna può essere spostata su una posizione già occupata. –– Satellite: Seleziona il satellite per impostarne la posizione. –– Transponder: Seleziona un transponder dall’elenco per ricevere il segnale. –– Modalità Movimento: Seleziona la modalità di movimento tra discreta e continua. –– Dimensione passo: Regola la dimensione del passo in gradi per la rotazione dell’antenna. Dimensione passo è disponibile quando Modalità Movimento è impostata su Passo. Italiano [UC7700]BN68-02590B-03L04.indb 15 03 Funzioni base Quando Sorgente antenna è impostata su Satellite:

2010-05-14 오후 3:41:31 Funzioni base –– Vai alla posizione memorizzata: Ruota l’antenna sulla posizione memorizzata del satellite. –– Posizione antenna: Regola e memorizza la posizione dell’antenna per il satellite selezionato. –– Memorizza posizione corrente: Memorizza la posizione corrente come il limite posizionatore selezionato. –– Qualità del segnale: Visualizza lo stato corrente del segnale trasmesso. Modalità Installatore: Impostare i limiti per il raggio d’azione dell’antenna satellitare, oppure reimpostare la posizione. Generalmente, la guida all’installazione utilizza questa funzione. –– Posizione limite (Est / Ovest): Seleziona la direzione del Limite posizionatore. –– Posizione antenna: Regola e memorizza la posizione dell’antenna per il satellite selezionato. –– Memorizza posizione corrente: Memorizza la posizione corrente come il Limite posizionatore selezionato. –– Azzera posizione: Sposta l’antenna sulla posizione di riferimento. –– Azzera limite posizionatore: Consente all’antenna di ruotare per l’intero arco. ■■ Azzera tutte le impostazioni (OK / Annulla): Tutte le impostazioni satellitari verranno reimpostate ai valori predefiniti. ¦¦ Modifica dei canali Menu Opzioni di Gestione canali (in Gestione canali)

1. Selezionare un canale e premere il tasto TOOLS.

2. Modificare il nome del canale o il numero usando

Modifica nome canale o il menu Modifica num canale. Gestione canali Menu Opzioni di Gestione canali Impostare ogni canale usando le opzioni del menu – Gestione canali (Blocco / Sblocco, Timer Visione, Regist progr, Ordina, Elimina, Seleziona tutto / Deseleziona tutto). Gli elementi del menu Opzioni possono differire in base allo stato del canale.

1. Selezionare un canale e premere il tasto TOOLS.

2. Selezionare una funzione e cambiarne le impostazioni.

■■ Blocco / Sblocco: E’ possibile bloccare un canale in modo che non possa essere selezionato e visualizzato. ✎✎ NOTA xx Questa funzione è disponibile solo quando la funzione Blocco canali è impostata su On. xx Viene visualizzata la finestra di immissione del PIN. Digitare il PIN a 4 cifre; il PIN predefinito è “0-0-0-0”. Cambiare il PIN usando l’opzione Cambia PIN. ■■ Timer visione: E’ possibile impostare la visualizzazione automatica di un canale desiderato all’ora prestabilita. Impostare l’orario corrente prima di usare questa funzione. ✎✎ Quando un canale digitale viene selezionato mediante Gestione canali, premere il tasto ► per visualizzare il programma digitale. ■■ Regist progr (solo canali digitali): Consente di registrare un programma in onda o di prenotare la registrazione di un programma futuro. ✎✎ Collegare al televisore un dispositivo USB con almeno 4GB di memoria. ✎✎ Un dispositivo di memoria USB potrebbe non essere in grado di registrare fino al completamento del Device Performance Test (Test prestazioni dispositivo). ■■ Modifica nome canale (solo canali analogici): Assegnare il nome preferito al canale. ✎✎ In caso di HDD USB, oltre 5400 rpm ✎✎ In caso di chiavetta USB, USB 2.0 e SLC. ■■ Modifica num canale (solo canali digitali): Modificare il numero premendo i tasti numerici desiderati. ✎✎ Per registrare, premere il tasto (REC) sul ¦¦ Altre funzioni Opzione ricerca via cavo (in base alla nazione) Imposta ulteriori opzioni di ricerca quali frequenza e symbol rate per ricerche network via cavo. ■■ Frequenza inizio / Frequenza arresto: Impostare la frequenza iniziale o finale (diversa per ogni nazione) ■■ Symbol Rate: Visualizza i valori di symbol rate disponibili. ■■ Modulazione: Visualizza i valori di modulazione disponibili.

(Chiavetta USB minimo 2GB.) telecomando. Premere due volte il tasto (REC) per impostare la durata della registrazione. ■■ Ordina (solo canali analogici): Questa operazione consente di modificare i numeri di programma dei canali memorizzati. Questa operazione può essere necessaria dopo la memorizzazione automatica dei canali. ■■ Riordina (quando l’opzione Antenna è impostata su Satellite): Riorganizza la gestione canali in ordine numerico. ■■ Elimina: E’ possibile eliminare un canale per visualizzare i canali desiderati. ■■ Seleziona tutto / Deseleziona tutto: Per selezionare o deselezionare tutti i canali in gestione canali. Italiano 4_BN68-02590B-03Ita.indd 16 2010-05-17 오후 8:00:05 (in Gestione canali) E’ possibile visualizzare, modificare o eliminare un programma prenotato. ■■ Modifica info: Per modificare un programma prenotato. ■■ Annulla Programmazioni: Per annullare un programma prenotato. ■■ Informazioni: Per visualizzare un programma prenotato. (E’ inoltre possibile modificare le informazioni relative alla prenotazione.) ■■ Seleziona tutto / Deseleziona tutto: Per selezionare o deselezionare tutti i programmi prenotati. Trasferim. elenco canali ¦¦ Regolazione delle impostazioni delle immagini Retroillumin / Contrasto / Luminosità / Nitidezza / Colore / Tinta (V/R) La televisione ha diverse opzioni di impostazione per il controllo della qualità delle immagini. ✎✎NOTA xx Nelle modalità analogiche TV, Est., AV del sistema PAL, non è possibile utilizzare la funzione Tinta (V/R). xx In modalità PC, è possibile modificare solo i parametri Retroillumin, Contrasto e Luminosità. xx Le impostazioni possono essere modificate e memorizzate per ogni dispositivo esterno collegato al televisore. Viene visualizzata la finestra di immissione del PIN. Digitare il PIN a quattro cifre. Importa o esporta la mappatura dei canali. Collegare un dispositivo di memoria USB per utilizzare questa funzione. ¦¦ Soluzioni economiche ■■ Importa da USB: Importa l’elenco canali dal dispositivo USB. Soluzione Eco ■■ Esporta in USB: Esporta l’elenco canali sul dispositivo USB. Questa funzione è disponibile solo quando è collegato un dispositivo USB. Sintonia fine (solo canali analogici) Se il segnale risulta debole o distorto, può essere necessario sintonizzare il canale manualmente. ✎✎I canali per i quali si è effettuata la sintonia fine sono contrassegnati con un asterisco “*”. ✎✎Per reimpostare la sintonia, selezionare Reset. Menu Immagine ¦¦ Cambiare la modalità Immagine preimpostata Modalità Selezionare il tipo di immagine preferita. ■■ Dinamica : Adatta per un ambiente illuminato. ■■ Standard: Adatta per condizioni di luce normali. ■■ Naturale: Adatta per ridurre l’affaticamento della vista. 03 Funzioni base Programmato ■■ Risp. energia (Off / Basso / Medio / Alto / Immagine off / Automatico) t: Questa funzione regola la luminosità del televisore in modo da ridurre il consumo di energia. Selezionando Immagine off, lo schermo viene disattivato, ma l’audio rimane attivo. Premere un tasto qualsiasi per riattivare nuovamente lo schermo. ■■ Sensore Eco (Off / On) : Per migliorare le impostazioni di risparmio energetico; le impostazioni delle immagini vengono automaticamente adattate all’illuminazione ambientale. ✎✎ Regolando la Retroillumin, il Sensore Eco verrà impostato su Off. Retroillumin min: Quando Sensore Eco è impostato su On, l’illuminazione minima dello schermo può essere regolata manualmente. Se Sensore Eco è impostato su On, la luminosità del display potrebbe cambiare (diventando leggermente più scura o più chiara) a seconda dell’intensità della luce del locale.

■■ No segnale stnd-by (Off / 15 min / 30 min / 60 min): Per ridurre il consumo energetico, impostare il periodo di tempo in cui il televisore rimarrà acceso senza ricevere segnali. ✎✎ Disabilitata quando il PC è in modalità risparmio energetico. ✎✎ Naturale non è disponibile in modalità PC. ■■ Film: Adatta per la visione di film in un ambiente poco illuminato. Italiano [UC7700]BN68-02590B-03L04.indb 17

2010-05-14 오후 3:41:32 Funzioni base ¦¦ Modifica delle Opzioni immagine Impostazioni avanzate (disponibile in modalità Standard / Film) E’ possibile regolare le impostazioni avanzate dello schermo compresi il colore e il contrasto. ✎✎In modalità PC, è possibile modificare solo i parametri Contrasto Dinamico, Gamma, Bilan bianco e LED movim avanzato. Impostazioni avanzate Tonalità nero : Off ► Contrasto dinamico : Medio Dettaglio ombra : -2 Gamma

Schema avanzato : Off Modalità Solo RGB : Off Spazio colore : Nativo U Sposta E Conferma R Ritorna ■■ Tonalità nero (Off / Scuro / Più scura / Extra scura): Selezionare il livello di nero per regolare la profondità dello schermo. ■■ Spazio colore (Automatico / Nativo / Personale): Regolare l’intervallo dei colori disponibili per creare l’immagine. Per regolare Colore, Rosso, Verde, Blu e Reset, impostare Spazio colore su Personalizza. ■■ Bilan bianco: Regolare la temperatura colore per ottenere immagini più naturali. R-Offset / G-Offset / B-Offset: Regolare l’intensità di ogni colore (rosso, verde, blu). R-Gain / G-Gain / B-Gain: Regolare la luminosità di ogni colore (rosso, verde, blu). Reset: Ripristina il valore Bilan bianco alle impostazioni predefinite. ■■ Bilanc. bianco 10p (Off / On): Controlla il bilanciamento del bianco in un intervallo di 10 punti regolando la luminosità dei colori rosso, verde e blu. ✎✎ Disponibile quando la modalità immagine è impostata su Film e l’ingresso esterno è impostato su tutti. ✎✎ Alcuni dispositivi esterni potrebbero non supportare questa funzione. Intervallo: Seleziona l’intervallo da regolare. Rosso: Regola il livello di rosso. Verde: Regola il livello di verde. Blu: Regola il livello di blu. Reset: Ripristina il valore Bilanc. bianco 10p alle impostazioni predefinite. ■■ Contrasto Dinamico (Off / Basso / Medio / Alto): Per regolare il contrasto dello schermo. ■■ Incarnato : Enfatizza la tonalità rosa del valore “Incarnato.” ■■ Dettaglio ombra (-2~+2): Per incrementare la luminosità delle immagini scure. ■■ Migliora imm bordi (Off / On): Enfatizza i contorni degli oggetti. ■■ Gamma : Per regolare l’intensità dei colori primari. ■■ xvYCC (Off / On): La modalità xvYCC migliora i dettagli e lo spazio colore durante la visione di film trasmessi da dispositivi esterni (per es attraverso un lettore DVD) collegati alla porta HDMI o Component IN. ■■ Schema avanzato (Off / Motivo1 / Schema2): Eseguendo la funzione Schema avanzato, l’immagine può essere calibrata senza l’uso di un generatore o di un filtro. Se il menu OSD scompare dallo schermo o viene aperto un altro menu diverso da Immagine, la calibrazione viene memorizzata e la finestra Schema avanzato si chiude. ✎✎ Durante l’esecuzione di Schema avanzato, l’audio non viene riprodotto. ✎✎ Attiva solo in modalità DTV, Comp. e HDMI. ■■ Solo modalità RGB (Off / Rosso / Verde / Blu): E’ possibile regolare i parametri Colore o Tinta (V/R) dei valori Rosso, Verde o Blu per le immagini provenienti da un dispositivo esterno (lettore DVD, home theatre, ecc.).

✎✎ Disponibile quando la modalità immagine è impostata su Film e l’ingresso esterno è impostato su HDMI o Comp. ✎✎ Alcuni dispositivi esterni potrebbero non supportare questa funzione. ■■ LED movim avanzato (Off / Normale / Cinema / Più chiaro): Elimina l’effetto ’trascinamento’ dalle scene in rapido movimento per offrire una visione più nitida delle immagini. Italiano [UC7700]BN68-02590B-03L04.indb 18 2010-05-14 오후 3:41:32 ✎✎In modalità PC, è possibile modificare solo i parametri Toni colore, Dimensioni e Prot. Auto. dopo. Adatta a schermo: Utilizzare questa funzione per visualizzare l’immagine completa senza ritagli con segnali HDMI (720p/1080i/1080p) o Comp. (1080i/1080p). ✎✎NOTA xx Se la modalità PIP è stata impostata su Doppia Opzioni immagine Toni colore : Normale ► Dimensioni : Auto Wide Mod schermo : 16:9 Filtro disturbo digitale : Automatico Filtro disturbo MPEG : Automatico Livello di nero HDMI : Normale Modalità Film : Off (À, Œ) la dimensione dell’immagine non potrà essere impostata. xx A seconda del tipo di sorgente di ingresso, le opzioni relative alla dimensione dell’immagine possono variare. xx Le voci disponibili variano in base alla modalità selezionata. xx In modalità PC, è possibile regolare solo i formati

16:9 e 4:3. U Sposta E Conferma R Ritorna ■■ Toni colore (Freddo / Normale / Caldo1 / Caldo2) xx Le impostazioni possono essere modificate e memorizzate per ogni dispositivo esterno collegato al televisore. ✎✎ Le opzioni Caldo1 o Caldo2 verranno disattivate xx Dopo aver selezionato l’opzione Adatta a schermo ✎✎ Le impostazioni possono essere regolate e xx Usando la funzione Adatta a schermo con un se la modalità immagine è impostata su Dinamica. memorizzate per ogni dispositivo esterno collegato al televisore. ■■ Dimensioni : Il ricevitore via cavo/ satellitare potrebbe anch’esso avere la propria serie di dimensioni preimpostate. Tuttavia, si consiglia vivamente di utilizzare la modalità 16:9 nella maggior parte dei casi. P.SIZE Auto Wide: Regola automaticamente la dimensione dell’immagine su un formato 16:9. 16:9 : Regola il formato dell’immagine a 16:9, appropriato per la visione di DVD o di trasmissioni in formato wide. Wide Zoom: Ingrandisce l’immagine a oltre 4:3. Regola la Posizione usando i tasti ▲, ▼.

Zoom: Ingrandisce il formato 16:9 per adattarlo alle dimensioni verticali dello schermo. Regola la Posizione o le Dimensioni mediante i tasti ▲, ▼.

4:3 : Le impostazioni predefinite per un film o una trasmissione normale. Non visualizzare a lungo trasmissioni in formato 4:3. Le bande nere sulla sinistra e sulla desta dell’immagine potrebbero causare immagini residue (bruciatura dello schermo), un fenomeno non coperto dalla garanzia.

03 Funzioni base Opzioni immagine in modalità HDMI (1080i / 1080p) o Comp. (1080i / 1080p): Regola la Posizione o le Dimensioni mediante i tasti ▲, ▼, ◄, ►. ingresso HDMI 720p, 1 riga verrà tagliata in alto, in basso, a sinistra e a destra come nella funzione di overscan. ■■ Mod schermo (16:9 / Wide Zoom / Zoom / 4:3): Disponibile solo quando la dimensione delle immagini è impostata su Auto Wide. E’ possibile impostare la dimensione delle immagini desiderata al formato 4:3 WSS (Wide Screen Service) o alla dimensione originale. Ogni paese europeo ha le proprie dimensioni delle immagini. ✎✎ Non disponibile in modalità PC, Comp. o HDMI. ■■ Filtro disturbo digitale (Off / Basso / Medio / Alto / Automatico / Visualiz automatica): Quando il segnale è debole, possono comparire disturbi statici e ombre. Selezionare una delle opzioni fino a ottenere la qualità ottimale. Visualiz automatica: Nel cambiare i canali analogici, visualizza l’intensità del segnale corrente e definisce lo schermo NF. Disponibile solo per i canali analogici.

■■ Filtro disturbo MPEG (Off / Basso / Medio / Alto / Automatico): Riduce il disturbo MPEG per una migliore qualità delle immagini. ■■ Livello di nero HDMI (Normale / Basso): Consente di selezionare il livello di nero dello schermo per regolare la profondità dell’immagine. ✎✎ Disponibile solo in modalità HDMI (segnali RGB). ■■ Modalità Film (Off / Auto1 / Auto2): Il televisore può essere impostato automaticamente per rilevare ed elaborare i segnali dei film provenienti da tutte le sorgenti e per regolare l’immagine in modo da ottenere una visualizzazione ottimale. ✎✎ Disponibile in modalità TV, AV, COMP. (480i / 1080i) e HDMI (480i / 1080i). Italiano [UC7700]BN68-02590B-03L04.indb 19

2010-05-14 오후 3:41:33 Funzioni base ■■ Motion Plus (Off / Chiaro / Standard / Lineare / Personalizza / Demo): Elimina l’effetto ’trascinamento’ dalle scene in rapido movimento per offrire una visione più nitida delle immagini. ✎✎ Se lo schermo è disturbato, impostare la modalità Motion Plus su Off. Se Motion Plus è impostata su Personalizza, è possibile impostare manualmente le opzioni Riduz distorsioni, Riduz vibrazioni o Reset. ✎✎ Impostando Motion Plus su Demo, è possibile paragonare due schermate, una normale e una con la modalità attivata. Riduz distorsioni: Regola il livello di sfarfallio dalle sorgenti video. Riduz vibrazioni: Regola il livello di vibrazioni dalle sorgenti video durante la riproduzione di un video. Reset: Ripristina le impostazioni personalizzate. ■■ Prot. Auto. dopo (2 ore / 4 ore / 8 ore / 10 ore / Off): Se lo schermo rimane inattivo visualizzando una immagine fissa per un certo periodo di tempo definito dall’utente, lo screen saver si attiva per evitare la formazione di immagini residue. ¦¦ Visione dei programmi TV in 3D INFORMAZIONI IMPORTANTI PER LA SALUTE E LA SICUREZZA PER LA VISIONE 3D. Si prega di leggere e comprendere in ogni loro parte le seguenti informazioni per la sicurezza prima dell’uso della funzione 3D del televisore. [[AVVERTENZA xx Durante la visione di contenuti 3D sul televisore, alcuni spettatori potrebbero avvertire vertigini, nausea e mal di testa. In tal caso, interrompere immediatamente la visione del contenuto 3D, togliere gli occhiali 3D Active Glasses e riposare. xx La visione prolungata di contenuti 3D può causare affaticamento della vista. In tal caso, interrompere immediatamente la visione del contenuto 3D, togliere gli occhiali 3D Active Glasses e riposare. xx Un adulto dovrebbe controllare frequentemente i bambini che guardano contenuti 3D. In caso di stanchezza agli occhi, mal di testa, vertigini o nausea, interrompere la visione delle immagini 3D e lasciare riposare i bambini. xx Non utilizzare gli occhiali 3D Active Glasses per uno scopo diverso da quello indicato (per es. come occhiali generici, da sole, protettivi, ecc.) xx Non utilizzare la funzione 3D o gli occhiali 3D Active Glasses in movimento o mentre si cammina. L’uso della funzione 3D o degi occhiali 3D Active Glasses in movimento può provocare lesioni dovute a caduta, inciampo o urto.

Italiano [UC7700]BN68-02590B-03L04.indb 20 2010-05-14 오후 3:41:33 Questa entusiasmante nuova funzione consente la visione tridimensionale dei contenuti 3D. Per vedere i video 3D, è necessario acquistare gli occhiali 3D Samsung venduti separatamente (SSG2100AB, SSG-2200AR, SSG-2200KR). Gli occhiali 3D Samsung sono venduti separatamente. Per ulteriori informazioni, contattare il rivenditore presso il quale è stato acquistato il televisore. con una risoluzione di 720p, 1080i e 1080p in modalità DTV, HDMI e USB o in caso di collegamento a un PC mediante cavo HDMI/DVI. ✎✎ “Striscia verticale”, “Riga per riga” e “Scacchiera” sono disponibili quando la risoluzione è impostata su PC e il collegamento avviene mediante cavo HDMI/DVI. 03 Funzioni base ✎✎ “A fianco” e “In alto e In basso” sono disponibili

✎✎ “Frequenza” visualizza la frequenza (solo 60Hz) quando la risoluzione è impostata su PC. ■■ 3D → 2D (Off / On): Visualizza l’immagine solo per l’occhio sinistro. ✎✎ Questa funzione è disattiva quando Modalità 3D è impostata su “2D → 3D” o Off. ■■ Punto vista 3D: Regolazione generale della prospettiva 3D. ✎✎ Questa funzione è disattiva quando Modalità 3D 3D emitter è impostata su “2D → 3D” o Off. ✎✎Se vi sono ostacoli tra l’emittente e gli occhiali 3D Active Glasses, l’effetto tridimensionale potrebbe non essere percepibile. ■■ Modalità 3D: Selezionare il formato di ingresso 3D. ✎✎ Per una visione ottimale degli effetti 3D, indossare gli occhiali 3D Active Glasses, quindi selezionare la Modalità 3D dall’elenco sotto riportato. ✎✎ Per guardare immagini 3D, accendere gli occhiali 3D Active Glasses. Modalità 3D Funzionamento Off Disattiva la funzione 3D. 2D → 3D Modifica una immagine 2D in 3D. A fianco Visualizza due immagini una vicina all’altra. Superiore e inferiore Visualizza una immagine sopra l’altra. Riga per riga Visualizza le immagini per l’occhio sinistro e destro alternativamente in righe. Strisce verticali Visualizza le immagini per l’occhio sinistro e destro alternativamente in colonne. A scacchi Visualizza le immagini per l’occhio sinistro e destro alternativamente in pixel. Frequenza Visualizza le immagini per l’occhio sinistro e destro alternativamente in fotogrammi. ■■ Profondità: Regola la messa a fuoco / la profondità in modalità “2D → 3D”. ✎✎ Questa funzione è attiva solo quando la Modalità 3D è impostata su “2D → 3D”. ■■ Correz. immagine: Regola le immagini per l’occhio sinistro e destro. ■■ Visualizz auto 3D (Off / On): Se Visualizz auto 3D è impostata su On, un segnale HDMI con immagini “Affiancate” e una delle risoluzioni sotto riportate viene automaticamente commutato in 3D. In questo caso, informazioni 3D corrette devono essere inviate dal formato HDMI 3D standard. ✎✎ Se si verifica un errore alla trasmissione 3D a causa di errate informazioni 3D, impostare Visualizz auto 3D su Off e selezionare manualmente una Modalità 3D mediante il tasto 3D o il menu corrispondente. ✎✎ Risoluzioni supportate (solo 16:9) Risoluzione Frequenza (Hz) 1280 x 720p 50 / 60 Hz 1920 x 1080i 50 / 60 Hz 1920 x 1080p 24 / 30 / 50 / 60 Hz ■■ Ottimizz. 3D: Regolazione dell’effetto 3D complessivo. Risoluzioni supportate per la modalità HDMI PC La risoluzione in ingresso per la modalità PC HDMI è ottimizzata a 1920 x 1080. Una risoluzione in ingresso diversa da 1920 x 1080 potrebbe non visualizzare in modo ottimale le immagini 3D o la modalità pieno schermo. Italiano 4_BN68-02590B-03Ita.indd 21

2010-05-18 오전 11:41:26 Funzioni base Come guardare le immagini 3D Prima di utilizzare la funzione 3D... ✎✎NOTA

xx Guardando immagini 3D in un ambiente Per la visione in 3D, indossare occhiali 3D e premere puls di accens sugli occhiali. La visione di film TV in 3D per lunghi periodi di tempo può affaticare la vista e/o causare vertigini.

Annulla L Sposta E Conferma e Esci

scarsamente illuminato (per es. da una lampada strobo), oppure illuminato da lampade a fluorescenza (50Hz ~ 60Hz) o a lunghezza d’onda, si può verificare un leggero sfarfallio dello schermo. In questo caso, abbassare la luce o spegnere le lampade. xx La modalità 3D si disattiva automaticamente nei seguenti casi: cambiando canale o sorgente d’ingresso, o accedendo a Media Play o Internet@TV. xx Alcune funzioni del menu Immagine non sono Con Con ii tasti tasti SINISTRA SINISTRA // DESTRA DESTRA sul sul telecomando, telecomando, selezionare selezionare l’icona l’icona idonea idonea per per l’immagine l’immagine sullo sullo schermo. schermo. disponibili in modalità 3D. xx Le funzioni PIP e trasmissione dati (MHEG / MHP) dati non sono supportare in modalità 3D. xx L’uso di occhiali 3D Active Glasses di altre marche non è supportato xx All’accensione del televisore, la visualizzazione L Sposta Sposta E E Conferma Conferma e e Esci Esci

1. Premendo il tasto CONTENT viene visualizzato il menu

2. Premere il tasto ◄ o ►, quindi selezionare 3D.

Per guardare le immagini 3D, indossare gli occhiali 3D Active Glasses e premere il tasto di accensione sugli occhiali.

3. Selezionare OK, quindi premere ENTERE.

4. Mediante i tasti ◄ o ► del telecomando, selezionare la

Modalità 3D dell’immagine che si desidera vedere. ✎✎ Alcune modalità 3D potrebbero non essere disponibili a seconda della sorgente dell’immagine. Formati supportati e specifiche operative per HDMI 3D standard ✎✎The 3D formats indicated below are recommended by the HDMI association and must be supported. Formato del segnale sorgente Standard HDMI 1.4 3D 1920x1080p@24Hz x 2 1920x2205p@24Hz 1280x720p@60Hz x 2 1280x1470p@60Hz 1280x720p@50Hz x 2 1280x1470p@50Hz La modalità viene commutata automaticamente in 3D per l’ingresso video 3D in uno dei formati sopra riportati. Per il formato HDMI 3D standard a 24Hz, il televisore è ottimizzato come segue: –– Resolution First Display Mode: Se Auto Motion Plus è impostata su Off, Chiaro o Standard, è possibile guardare il video in alta risoluzione ottimizzata per la risoluzione del video sorgente. –– Judder Reduction Display Mode: Quando Auto Motion Plus è impostata su Lineare o Personalizzata, è possibile guardare una immagine omogenea senza interruzioni.

ottimale delle immagini 3D potrebbe richiedere del tempo. xx Gli occhiali 3D Active Glasses potrebbeo non funzionare in modo adeguato se nelle vicinanze degli occhiali o del televisore è in funzione un altro dispositivo elettronico o 3D. In caso di problemi, allontanare il più possibile gli altri dispositivi elettronici dagli occhiali 3D. xx Visualizzando immagini da una sorgente 3D a 50Hz con la modalità Giochi attiva, gli spettatori dotati di una vista più sensibile potrebbero scorgere uno sfarfallio guardando immagini chiare. xx Le Foto in Media Play vengono visualizzate solo in modalità “2D → 3D”. xx Se l’utente guarda il televisore sdraiato su un lato, le immagini 3D potrebbero apparire scure oppure non essere visibili nemmeno indossando gli occhiali 3D Active Glasses. xx Quando si guardano immagini 3D, posizionarsi entro l’angolo e la distanza di visione del televisore. –– In caso contrario, la visione degli effetti 3D potrebbe non essere ottimale. xx La distanza ideale per la visione del televisore dovrebbe corrispondere ad almeno tre volte l’altezza dello schermo. Si consiglia di sedersi in modo da avere gli occhi all’altezza dello schermo. Italiano [UC7700]BN68-02590B-03L04.indb 22 2010-05-14 오후 3:41:34 Ripristina la modalità corrente delle immagini ai valori predefiniti. ¦¦ Configurazione del televisore con il PC Impostare la sorgente di ingresso su PC. Regolazione auto t Per regolare automaticamente i valori frequenza/posizioni e le impostazioni di sintonizzazione. ✎✎Non disponibile quando il televisore è collegato mediante cavo HDMI/DVI. Schermo ■■ Grossa / Fine: Rimuove o riduce eventuali disturbi dalle immagini. Se non si riesce a eliminare il disturbo mediante la sintonizzazione fine, regolare la frequenza nel modo migliore possibile (Grossa) ed eseguire nuovamente la sintonizzazione fine. Una volta ridotto il disturbo, regolare l’immagine in modo che sia perfettamente centrata sullo schermo. ■■ Posizione : Regolare lo schermo del PC usano i tasti freccia (▲ / ▼ / ◄ / ►). ■■ Reset immagine : Ripristina l’immagine ai valori predefiniti. Uso del televisore come uno schermo PC Impostazione del software del PC (basato su Windows XP) In base alla versione di Windows e alla scheda video in uso, le schermate effettive del PC possono essere diverse; nel caso, verranno quasi sempre applicate le stesse informazioni di impostazione base. (In caso contrario, contattare la casa costruttrice del computer oppure un rivenditore Samsung).

1. Fare clic sul “Pannello di controllo” nel menu Start di

Windows. ¦¦ Cambiare la Modalità audio preimpostata SRS TheaterSound t ■■ Standard: Seleziona la modalità audio normale. ■■ Musica: Enfatizza la musica rispetto alle voci. ■■ Film: Offre la migliore qualità audio per la visione di film. ■■ Voce cristallina: Enfatizza le voci rispetto ad altri suoni. ■■ Amplificazione : Aumenta l’intensità delle alte frequenze per offrire alle persone con deficit uditivo un ascolto migliore. ¦¦ Regolare le impostazioni audio Equalizzatore Regola la modalità audio (solo modalità audio standard). ■■ Bilanciamento L/R: Controlla il bilanciamento degli altoparlanti sinistro e destro. ■■ 100Hz / 300Hz / 1kHz / 3kHz / 10kHz (Regolazione larghezza di banda): Regola il livello di specifiche frequenze di banda. ■■ Reset: Ripristina l’equalizzatore alle impostazioni predefinite. ¦¦ Sistemi audio, ecc. SRS TruSurround HD (Off / On) t

3. Fare clic su “Schermo” per visualizzare una finestra di

dialogo. (solo modalità audio standard) Questa funzione produce un audio virtuale a 5.1 canali surround attraverso una coppia di altoparlanti con tecnologia HRTF (Head Related Transfer Function).

4. Fare clic sulla scheda ‘Impostazioni’ nella finestra di

dialogo. SRS TruDialog (Off / On)

2. Fare clic su “Aspetto e temi” nel “Pannello di controllo”

per visualizzare una finestra di dialogo. yy Impostazione della dimensione corretta (risoluzione) [Ottimale: 1920 x 1080 pixel] yy Se la finestra di dialogo delle impostazioni contiene un’opzione relativa alla frequenza verticale, il valore corretto è “60” o “60 Hz”. In caso contrario, fare clic su ‘OK’ e uscire dalla finestra di dialogo. (solo modalità audio standard) Questa funzione permette di incrementare l’intensità della voce rispetto alla musica di sottofondo o agli effetti audio in modo che sia possibile udire meglio i dialoghi durante la visione di un programma. Italiano [UC7700]BN68-02590B-03L04.indb 23 03 Funzioni base Menu Suono Reset immagine (OK / Annulla)

2010-05-14 오후 3:41:34 Funzioni base Lingua audio (solo canali digitali) Cambia la lingua predefinita per le lingue audio. ✎✎Le lingue disponibili possono variare in base alla trasmissione. Formato audio (solo canali digitali) Quando l’audio è generato sia dall’altoparlante principale sia dal ricevitore audio, potrebbe prodursi un effetto di eco a causa della diversa velocità di decodifica dei due dispositivi. In questo caso, attivare la funzione Altoparlante TV. ✎✎L’opzione Formato audio può essere diversa in base alla trasmissione. L’audio Dolby Digital 5.1ch è disponibile solo quando viene collegato un altoparlante esterno mediante un cavo ottico. Seleziona altoparlante (Altoparlante est / Altoparlante TV) A causa delle differenze di velocità nella decodifica tra l’altoparlante principale e il ricevitore audio, è possibile avvertire una eco del suono. In questo caso, attivare la funzione Altoparlante est del televisore. ✎✎Quando Seleziona altoparlante è impostato su Altoparlante est, i tasti volume e MUTE non sono attivi e le impostazioni audio sono limitate. ✎✎Controllare che Seleziona altoparlante sia impostato su Altoparlante est. xx Altoparlante TV: Off, Altoparlante est: On ✎✎Controllare che Seleziona altoparlante sia impostato su Altoparlante TV. xx Altoparlante TV: On, Altoparlante est: On ✎✎In mancanza di segnale video, entrambi gli altoparlanti saranno disattivi. Descrizione audio Imp. supplementare (non disponibile in tutti i paesi) (solo canali digitali) Questa funzione gestisce il flusso audio per l’opzione AD (Audio Description), quando è trasmesso insieme all’Audio principale dall’emittente. (solo canali digitali) ■■ Livello audio DTV (MPEG / HE-AAC): Questa funzione permette di ridurre la disparità di un segnale vocale (uno dei segnali ricevuti durante una trasmissione TV digitale) a un determinato livello. In base al tipo di segnale della trasmissione, MPEG / HE-AAC può essere regolato tra -10dB e 0dB. Per aumentare o diminuire il volume, regolare rispettivamente tra 0 e -10. ■■ Descrizione audio (Off / On): Attiva e disattiva la funzione Descrizione audio. ■■ Volume: Regola il volume della descrizione audio. Volume auto (Off / Normale / Notte) Per equalizzare il volume di ogni canale, impostare su Normale. ■■ Notte : Questa modalità fornisce una migliore esperienza audio rispetto alla modalità Normale, escludendo quasi ogni rumore. Questa modalità è utile durante la notte.

■■ Uscita SPDIF : SPDIF (Sony Philips Digital InterFace) è usata per fornire un audio digitale riducendo le interferenze agli altoparlanti e ai vari dispositivi digitali come per esempio un lettore DVD. Formato audio : Durante la ricezione di una trasmissione TV digitale, è possibile selezionare il formato uscita audio digitale (SPDIF) tra le opzioni PCM o Dolby Digital. Ritardo audio : Usata per correggere la mancata corrispondenza audio-video durante la visione del televisore o di un video e ascoltando una uscita da un canale digitale mediante un dispositivo esterno come per esempio un ricevitore AV (0ms ~ 250ms). ■■ Comp Dolby Digital (Line / RF): Questa funzione minimizza la disparità dei segnali tra un segnale dolby digital e un segnale vocale (per es. audio MPEG, HEAAC, audio ATV). Selezionare Line per ottenere un audio dinamico, e RF per ridurre la differenza tra i suoni alti e bassi durante la notte. Line : Impostare il livello di uscita dei segnali maggiori o minori di -31dB (riferimento) su -20dB o -31dB. RF : Impostare il livello di uscita dei segnali maggiori o minori di -20dB (riferimento) su -10dB o -20dB.

Italiano [UC7700]BN68-02590B-03L04.indb 24 2010-05-14 오후 3:41:35 ¦¦ Impostazione Timer stand-by Ripristina tutte le impostazione audio ai valori predefiniti. ■■ Timer stand-by t: Spegne automaticamente il televisore dopo il periodo di tempo preimpostato. (30, 60, 90, 120, 150 e 180 minuti). ¦¦ Selezione della modalità audio t Quando si imposta la modalità Dual f-g, la modalità audio corrente viene visualizzata sullo schermo.

Stereo NICAM Stereo Tipo di audio Mono Stereo Dual Mono Stereo Dual Dual f-g Predefinito Mono Stereo ↔ Mono Dual f ↔ Dual g Mono Mono ↔ Stereo Mono ↔ Dual f Dual g Cambio automatico Dual f ✎✎ Per annullare l’impostazione Timer stand-by, selezionare Off. ¦¦ Impostazione del Timer di accensione/spegnimento ■■ Timer 1 / Timer 2 / Timer 3: Possono essere impostate tre diverse opzioni del Timer. Prima è necessario impostare l’orologio. Timer 1 Cambio automatico Orario TV on Dual f Orario TV off

✎✎Se il segnale stereo è debole e si verifica un cambio ✎✎Attivata solo in caso di segnali audio stereo. ✎✎Disponibile solo quando la sorgente Ingressi è Ripetizione Ora ■■ Orologio : L’impostazione dell’orario serve per utilizzare le funzioni timer del televisore. OO L’ora corrente appare ogni volta che si preme il tasto INFO. ✎✎ Se il cavo di alimentazione viene scollegato, è necessario impostare nuovamente l’orologio. Modalità orologio (Automatico / Manuale) In base all’emittente e al segnale trasmesso, l’impostazione automatica dell’orario potrebbe non essere corretta. In questo caso, impostare l’orario manualmente. Per l’impostazione automatica dell’orario è necessario collegare l’antenna o il cavo. Imposta Ora: Impostare Giorno, Mese, Anno, Ora e Minuti manualmente. Disponibile solo quando Modalità orologio è impostata su Manuale. Fuso orario (in base alla nazione): Selezionare il fuso orario della propria zona. E’ possibile utilizzare questa funzione quando l’opzione Nazione è impostata su Altro. Questa funzione è disponibile solo quando la funzione Modalità orologio è impostata su Automatico.

Gio Ven Sab L Sposta U Regola E Conferma R Ritorna impostata su TV. ¦¦ Impostazione dell’Ora Sorgente

automatico, passare alla modalità Mono.

Menu Impostazione Orario TV on / Orario TV off: Per impostare l’ora e i minuti e attivare / disattivare l’opzione. (Per attivare il timer con l’impostazione desiderata, impostare su Attiva.) Volume: Selezionare il livello del volume desiderato. Sorgente: Selezionare il contenuto TV o USB da riprodurre quando il televisore viene acceso automaticamente. (La modalità USB può essere selezionata solo quando un dispositivo USB è collegato al televisore) Antenna (quando Sorgente è impostata su TV) : Selezionare ATV o DTV. Canale (quando Sorgente è impostata su TV) : Selezionare il canale desiderato. Contenuti (quando Sorgente è impostata su USB) : Selezionare una cartella nel dispositivo USB contenente i file musicali o le immagini da riprodurre quando il televisore si accende automaticamente. NOTA

xx Se sul dispositivo USB non sono presenti file musicali, oppure la cartella contenente file musicali non è selezionata, l’opzione Timer non funziona correttamente. xx Nel caso ci sia una sola foto memorizzata sul dispositivo USB, la funzione Slide Show non è disponibile.

xx Se il nome della cartella è troppo lungo, la

xx A ogni dispositivo USB utilizzato viene cartella non è selezionabile. assegnata una cartella. In caso di più dispositivi USB, verificare che le cartelle assegnate a ogni USB abbiano nomi diversi. Italiano [UC7700]BN68-02590B-03L04.indb 25 03 Funzioni base Reset impostazioni audio (OK / Annulla)

2010-05-14 오후 3:41:35 Funzioni base Ripetizione: Selezionare 1 volta, Ogni gg, Lun~Ven, Lun~Sab, Sab~Dom o Manuale. Selezionando Manuale, è possibile impostare il giorno che si desidera attivare il timer. Il simbolo c indica che è stato selezionato il giorno.

✎✎Spegnimento automatico (disponibile solo quando il televisore si accende mediante il Timer): Il televisore viene automaticamente spento dopo 3 ore di inattività al fine di prevenirne il surriscaldamento. ¦¦ Blocco programmi Sicurezza ✎✎Prima della schermata di impostazione compare la Sottotitoli Utilizzare questo menu per impostare la modalità Sottotitoli. ■■ Sottotitoli (Off / On): Attiva e disattiva i sottotitoli. ■■ Modalità (Normale / Non udenti): Imposta la modalità dei sottotitoli. ■■ Lingua Sottotitoli: Imposta la lingua dei sottotitoli. ✎✎ Se il programma che si sta guardando non supporta la funzione Non udenti, si attiva automaticamente l’opzione Normale anche se è selezionata la modalità Non udenti. ✎✎ La lingua predefinita è l’inglese, nel caso in cui la trasmissione non supporti la lingua selezionata. schermata di inserimento del PIN. Testo digitale (Disabilita / Abilita) Cambiare il PIN usando l’opzione Cambia PIN. (solo UK) Se il programma è trasmesso con testo digitale, questa funzione è attivata. ✎✎Digitare il PIN a 4 cifre; il PIN predefinito è “0-0-0-0”. ■■ Blocco canali (Off / On): Bloccare i canali in Gestione canali per impedire a utenti non autorizzati, per esempio i bambini, di visualizzare programmi non adatti. ✎✎ Disponibile solo quando la sorgente Ingressi è Rete (Tipo di rete / Impostazione rete / Test di rete / SWL(Samsung Wireless Link) / Connessione SWL) ■■ Blocco Canale (in base alla nazione): Impedisce a utenti non autorizzati, per esempio i bambini, di visualizzare programmi non adatti mediante l’inserimento di un codice PIN a 4 cifre. Se il canale selezionato è bloccato, comparirà il simbolo “\”. Per l’impostazione delle opzioni, vedere le istruzioni riportate alla sezione “Connessione di rete” (p. 30). impostata su TV. Cons tutto: Sblocca tutti i parametri TV impostati (non supportato in Francia). Quando Blocco Canale è impostato su 18, viene visualizzata la schermata di immissione del PIN prima di poter cambiare canale (solo per la Francia).

■■ Cambia PIN : Cambiare l’ID personale per impostare il televisore. ✎✎ Qualora si sia dimenticato il codice PIN, premere i tasti del telecomando nella sequenza seguente per ripristinare il codice PIN predefinito “0-0-0-0” : POWER (off) → MUTE → 8 → 2 → 4 → POWER (on). ¦¦ Altre funzioni Lingua ■■ Lingua menu : Imposta la lingua dei menu. ■■ Lingua Teletext : Imposta la lingua desiderata per il servizio Teletext. ✎✎ La lingua predefinita è l’inglese, nel caso in cui la trasmissione non supporti la lingua selezionata. Generale ■■ Modalità gioco (Off / On): Durante la connessione a una console per videogiochi come PlayStation™ o Xbox™, il gioco sarà più realistico selezionando la modalità gioco. ✎✎NOTA xx Precauzioni e limitazioni per la modalità gioco –– Per scollegare una console per videogiochi e collegare un altro dispositivo esterno, impostare Modalità gioco su Off nel menu di impostazione. –– Visualizzando il menu TV in Modalità gioco si potrebbe verificare un leggero sfarfallio. xx Modalità gioco non è disponibile quando la sorgente d’ingresso è impostata su TV o PC. xx Dopo il collegamento della console di gioco, impostare Modalità gioco su On. Purtroppo potrebbe verificarsi una riduzione nella qualità delle immagini. xx Se la Modalità gioco è impostata su On: –– Immagine è impostata su Standard e Suono è impostata su Film. –– Equalizzatore non è disponibile. ■■ Preferenze (Lingua principale audio / Lingua secondaria audio / Lingua principale sottotitoli / Lingua secondaria sottotitoli / Lingua principale Teletext / Lingua secondaria Teletext): Selezionare una lingua, che sarà la lingua predefinita alla selezione di un canale.

Italiano [UC7700]BN68-02590B-03L04.indb 26 2010-05-14 오후 3:41:35 ✎✎ Disponibile in caso di connessione di prodotti Samsung che supportano BD Wise mediante cavo HDMI. ■■ Trasparenza menu (Luminoso / Scuro): Imposta la trasparenza del menu. ■■ Melodia (Off / Basso / Medio / Alto): Per riprodurre una melodia all’accensione o allo spegnimento del televisore. ✎✎ L’opzione Melodia è disattiva quando FastStart è impostato su On. ■■ FastStart (Off / On): A televisore acceso, questa funzione consente di riattivare lo schermo rapidamente. Interfaccia comune ■■ Menu CI: Permette all’utente di accedere al menu del modulo CAM. Selezionare il Menu CI in base alla scheda PC. ■■ Info sull’applicazione: Visualizza le informazioni relative al modulo CAM inserito nell’alloggiamento CI e nella “SCHEDA CI o CI+” inserita nel modulo CAM. È possibile installare il modulo CAM in qualsiasi momento, a televisore acceso o spento.

1. Acquistare il modulo CI CAM presso il rivenditore locale

2. Inserire saldamente la “SCHEDA CI o CI+” nel modulo

CAM nella direzione indicata dalla freccia.

3. Inserire il modulo CAM con la “SCHEDA CI o CI+”

nell’alloggiamento common interface, nella direzione indicata dalla freccia, in modo che sia parallela all’alloggiamento. ¦¦ PIP (Picture In Picture) PIP t Permette la visualizzazione contemporanea di un canale TV e di una sorgente video esterna. PIP (Picture-in-Picture) non funziona nella stessa modalità. 03 Funzioni base ■■ BD Wise (Off / On): Fornisce la qualità ottimale delle immagini per i prodotti SAMSUNG DVD, Blu-ray e Home Theatre che supportano il formato BD Wise. Quando BD Wise è impostato su On, la modalità immagine viene automaticamente cambiata alla risoluzione ottimale. ✎✎NOTA xx Per l’audio della schermata PIP, vedere le istruzioni alla sezione Selezione audio. xx Spegnendo il televisore durante la visione in modalità PIP, la finestra PIP scomparirà. xx L’immagine nella finestra PIP potrebbe apparire leggermente innaturale quando si usa la schermata principale per visualizzare un videogame o il karaoke. xx Durante l’attivazione di Internet@TV la funzione PIP non è disponibile. xx Impostazioni PIP Immagine principale Comp., HDMI1/DVI, HDMI2,

■■ PIP (Off / On): Attiva o disattiva la funzione PIP. ■■ Canale: Selezionare il canale per lo schermo secondario. ■■ Dimensioni (Õ / à / À / Œ): Per selezionare la dimensione dell’immagine secondaria. ■■ Posizione (à / – / — / œ): Per selezionare la posizione dell’immagine secondaria. ✎✎ In modalità Doppio (À, Œ), la voce Posizione non può essere selezionata. ■■ Selezione audio (Principale / Secondario): E’ possibile scegliere l’audio desiderato (Principale / Secondario) in modalità PIP.

4. Verificare la visione dell’immagine su un canale a segnale

2010-05-14 오후 3:41:35 Funzioni base Menu Supporto Installare la versione più recente Auto diagnosi ✎✎La funzione di auto diagnosi potrebbe richiedere alcuni secondi; questa operazione rientra nel normale funzionamento del televisore. ■■ Test immagine (Sì / No): Utilizzato per controllare eventuali problemi di visualizzazione delle immagini. ■■ Test audio (Sì / No): Usare la melodia predefinita per verificare eventuali problemi audio. ✎✎ Se non c’è ritorno audio dagli altoparlanti del televisore, prima di eseguire il test audio verificare che Seleziona altoparlante sia impostato su Altoparlante TV nel menu Suono. ✎✎ E’ possibile ascoltare la melodia durante il test anche se Seleziona altoparlante è impostato su Altoparlante est oppure quando l’audio è stato disattivato premendo il tasto MUTE. ■■ Informazioni sul segnale: (solo canali digitali) La qualità di ricezione dei canali HDTV è perfetta o i canali non sono disponibili. Regolare l’antenna per aumentare la forza del segnale. ■■ Risoluzione dei problemi: Se il televisore presenta problemi, consultare questa sezione. ✎✎ Se tra le varie descrizioni non è riportato il problema riscontrato, contattare il Centro di assistenza clienti Samsung. Aggiornamento software può essere eseguito mediante un segnale di trasmissione o mediante il download del più recente firmware dal sito “www.samsung.com” su un dispositivo USB. Versione corrente è il software già installato nel televisore. ✎✎La versione del software è rappresentata come “Anno/ Mese/Giorno_Versione”. Aggiornamento software 2010/01/18_000001 Tramite USB

Online ✎✎ Per prima cosa, configurare la propria rete. Per istruzioni dettagliate sull’uso dell’opzione Impostazione rete, vedere la sezione “Impostazione della rete”. ✎✎ Se la connessione a Internet non funziona correttamente, potrebbe interrompersi. Riprovare. Se il problema persiste, scaricare il file di aggiornamento sul dispositivo USB e riprovare. ■■ Tramite canale : Aggiorna il software mediante il segnale trasmesso. di trasmissione del software, il software verrà automaticamente ricercato e scaricato. ✎✎ Il tempo necessario per scaricare il software è determinato dallo stato del segnale. ■■ Aggiornamento mod Standby : All’orario prestabilito verrà eseguito automaticamente un aggiornamento manuale. Poiché l’alimentazione dell’unità si attiva internamente, lo schermo LED potrebbe attivarsi per breve tempo. Questo fenomeno può continuare per più di un’ora, fino al termine dell’aggiornamento software. ■■ Software alternativo (backup): Visualizza la versione software scaricata Online. Durante l’aggiornamento software, se la procedura viene interrotta, questa funzione verrà attivata. Guida alla connessione HD Tramite canale Aggiornamento mod Standby : 2 ore dopo Software alternativo 2010/01/15_00000 U Sposta E Conferma R Ritorna

■■ Online: Aggiornare il software mediante Internet. ✎✎ Se la funzione viene selezionata durante il periodo Aggiornamento software Versione corrente ■■ Tramite USB : Pannello posteriore del televisore Inserire un’unità USB contenente l’aggiornamento del firmware scaricato dal sito “www.samsung. (HDD) com” nel televisore. Unità USB Fare attenzione a non scollegare l’alimentazione o rimuovere l’unità USB mentre l’aggiornamento è in corso. Al termine dell’aggiornamento del firmware, il televisore si spegnerà e riaccenderà automaticamente. Al termine dell’aggiornamento del software, le impostazioni video e audio modificate torneranno alle impostazioni predefinite. Si consiglia di scrivere le impostazioni in modo da poterle facilmente ripristinare dopo l’aggiornamento. Consultare queste informazioni durante la connessione di dispositivi esterni al televisore. Contattare Samsung Fare riferimento a queste informazioni in caso di funzionamento anomalo del televisore o se si desidera aggiornare il software. E’ possibile reperire le informazioni riguardanti i nostri call centre, e come scaricare prodotti e software. Italiano [UC7700]BN68-02590B-03L04.indb 28 2010-05-14 오후 3:41:36 Funzioni avanzate 04 Funzioni avanzate Collegamento a un PC Uso di un Cavo HDMI/DVI / D-sub PC OUT AUDIO OUT DVI OUT AUDIO OUT Modalità di visualizzazione (ingresso D-Sub e HDMI/DVI) La risoluzione ottimale è 1920 X 1080 a 60 Hz. Modalità Risoluzione Frequenza orizzontale (KHz) Frequenza verticale (Hz) Frequenza di clock dei pixel (MHz) Polarità sync (O / V) IBM 640 x 350 720 x 400 31,469 31,469 70,086 70,087 25,175 28,322

✎✎NOTA xx Quando si effettua una connessione mediante cavo HDMI/DVI, è necessario utilizzare il jack HDMI IN 1(DVI). xx La modalità interlacciata non è supportata. xx Questo dispositivo potrebbe non funzionare correttamente se si seleziona un formato video non standard. xx Le modalità Separata e Composito sono supportate. La modalità SOG (Sync On Green) non è supportata. Italiano [UC7700]BN68-02590B-03L04.indb 29

2010-05-14 오후 3:41:37 Funzioni avanzate Connessione di rete E’ possibile impostare il televisore in modo da poter accedere a Internet attraverso una LAN con un collegamento via cavo o wireless. ¦¦ Collegamento a una rete cablata Vi sono tre modi per collegare il televisore alla LAN via cavo: yy E’ possibile collegare il televisore alla LAN connettendo la porta LAN sul retro del televisore a un modem esterno mediante un cavo Cat 5. Vedere lo schema riportato sotto. Pannello posteriore del televisore Porta modem a parete Modem esterno (ADSL / VDSL / TV via cavo) ANT 2 IN (SATELLITE) ANT 2 IN (SATELLITE) ANT 2 IN (AIR/CABLE) ANT 2 IN (AIR/CABLE) Adattatore LAN Cavo modem Cavo LAN yy E’ possibile collegare il televisore alla LAN connettendo la porta LAN sul retro del televisore al Router IP collegato a un modem esterno. Usare un cavo Cat 5 per la connessione. Vedere lo schema riportato sotto. Pannello posteriore del televisore Porta modem a parete Modem esterno (ADSL / VDSL / TV via cavo) ANT 2 IN Router IP (con server DHCP) (SATELLITE) ANT 2 IN (SATELLITE) ANT 2 IN (AIR/CABLE) ANT 2 IN (AIR/CABLE) Adattatore LAN Cavo modem Cavo LAN Cavo LAN yy In base alla configurazione della LAN, potrebbe essere possibile collegare il televisore alla LAN connettendo la porta LAN sul retro del televisore direttamente alla presa di rete a muro mediante un cavo Cat 5. Vedere lo schema riportato sotto. Notare che la presa a muro è collegata a un modem o un router che potrebbe essere installato in qualsiasi punto dell’abitazione. Pannello posteriore del televisore Porta LAN a parete ANT 2 IN (SATELLITE) ANT 2 IN (SATELLITE) Cavo LAN ANT 2 IN (AIR/CABLE) ANT 2 IN (AIR/CABLE) Adattatore LAN Se si dispone di una rete dinamica, è necessario utilizzare un modem ADSL o un router in grado di supportare il protocollo DHCP (Dynamic Host Configuration Protocol). Modem e router che supportano il protocollo DHCP forniscono automaticamente indirizzo IP, maschera di sottorete, gateway e DNS necessari al televisore per accedere a Internet, in modo da non costringere l’utente a immetterli manualmente. La maggior parte delle reti domestiche sono di tipo dinamico. Alcune reti richiedono un indirizzo IP statico. Se la rete richiede un indirizzo IP statico, immettere manualmente indirizzo IP, maschera di sottorete, gateway e DNS nella schermata Cable Setup (Impostazioni cavo) del televisore durante l’impostazione della connessione di rete. Per ottenere indirizzo IP, maschera di sottorete, gateway e DNS contattare il proprio Internet Service Provider (ISP). Se si usa un computer basato su Windows, è possibile ottenere tali valori anche via computer. E’ possibile utilizzare modem ADSL in grado di supportare il protocollo DHCP se la rete richiede un indirizzo IP statico. I modem ADSL che supportano il protocollo DHCP permettono inoltre di usare indirizzi IP statici.

Italiano [UC7700]BN68-02590B-03L04.indb 30 2010-05-14 오후 3:41:38 Impostazione rete (Manuale) Durante la connessione del televisore a una rete che supporta il protocollo DHCP, configurare Impostazione rete su Auto. Per impostare automaticamente la connessione di rete via cavo del televisore, seguire questi passaggi: Configurare Impostazione rete su Manuale quando si collega il televisore a una rete che richiede un indirizzo IP statico. Procedura per l’impostazione automatica Per ottenere le impostazioni per la connessione di rete sulla maggior parte dei computer basati su Windows, seguire questi passaggi:

1. Cliccare con il tasto destro del mouse sull’icona Rete in

basso a destra dello schermo.

1. Collegare il televisore alla LAN come descritto nella

2. Accendere il televisore, premere il tasto MENU sul

telecomando, usare il tasto ▲ o ▼ per selezionare Impostazione, quindi premere ENTERE.

3. Usare il tasto ▲ o ▼ per selezionare Rete nel menu

Impostazione, quindi premere ENTERE. Sullo schermo verrà visualizzata la schermata Rete. Rete Tipo di rete : Cavo

Impostazione rete : Off Connessione SWL U Sposta E Conferma R Ritorna

4. Nella schermata Rete, selezionare Tipo di rete.

5. Impostare Network Tipo di rete su Cavo.

6. Selezionare Impostazione rete. Verrà visualizzata la

schermata Impostazione rete. Impostazione rete Impostazione IP : Automatico Indirizzo IP

2. Nel menu a comparsa visualizzato, cliccare su Stato.

3. Nella finestra di dialogo, cliccare sulla scheda Supporto.

4. Nella scheda Supporto, cliccare su Dettagli. Sullo

schermo vengono visualizzate le impostazioni per la connessione di rete. Procedura per l’impostazione manuale Per impostare manualmente la connessione di rete via cavo del televisore, seguire questi passaggi:

1. Seguire i passaggi da 1 a 6 della “Procedura per

l’impostazione automatica”. Test di rete SWL(Samsung Wireless Link) Ottenere le impostazioni per la connessione di rete 04 Funzioni avanzate Impostazione rete (Automatico)

2. Impostare Impostazione IP su Manuale.

3. Premere il tasto ▼ del telecomando per passare al

primo campo da compilare.

4. Immettere le impostazioni Indirizzo IP, Maschera

sottorete, Gateway e Server DNS. Per digitare i numeri utilizzare i tasti numerici del telecomando, per spostarsi fra i campi utilizzare i tasti freccia.

5. Al termine, premere il tasto RETURN sul telecomando.

6. Selezionare Test di rete per verificare la connettività a

Internet. U Sposta E Conferma R Ritorna

7. Impostare Impostazione IP su Automatico.

8. Automatico acquisisce e immette automaticamente le

impostazioni Internet necessarie.

Al termine, premere il tasto RETURN sul telecomando.

10. Se la funzione Rete non ha acquisito le impostazioni di

rete, passare alle istruzioni per la procedura Manuale. Italiano [UC7700]BN68-02590B-03L04.indb 31

2010-05-14 오후 3:41:39 Funzioni avanzate ¦¦ Collegamento a una rete wireless Per collegare il televisore a una rete wireless, è necessario disporre di un router o di un modem wireless e di un adattatore LAN wireless Samsung (WIS09ABGN, WIS09ABGN2, WIS10ABGN) da collegare al jack USB sul pannello posteriore o laterale del televisore. Vedere la figura riportata sotto. ✎✎ Per utilizzare la funzione SWL(Samsung Wireless Link), effettuare il collegamento alla porta USB 1 (HDD). Pannello posteriore del televisore Router IP wireless (AP con server DHCP) Porta LAN a parete

(HDD) Cavo LAN Adattatore LAN wireless Samsung L’adattatore LAN wireless Samsung è in vendita presso rivenditori autorizzati, siti di Ecommerce e sul sito Samsungparts. com. L’adattatore LAN wireless Samsung supporta i protocolli di comunicazione IEEE 802.11A/B/G e N. Samsung consiglia di utilizzare il protocollo IEEE 802.11N. La riproduzione di un video mediante connessione IEEE 802.11B/G potrebbe non essere fluida. ✎✎NOTA xx Per utilizzare una rete wireless è necessario utilizzare la scheda “Samsung Wireless LAN Adapter” (WIS09ABGN, WIS09ABGN2, WIS10ABGN). xx La scheda Samsung Wireless LAN Adapter è venduta separatamente. L’adattatore LAN wireless Samsung è in vendita presso rivenditori autorizzati, siti di Ecommerce e sul sito Samsungparts.com. xx Per utilizzare una rete wireless, il televisore deve essere collegato a un router IP wireless. Se il router IP wireless supporta il protocollo DHCP, il televisore può utilizzare sia un indirizzo DHCP sia un indirizzo IP statico per collegarsi alla rete in modalità wireless. xx Selezionare un canale per il router IP wireless che non sia attualmente utilizzato. Se il canale impostato per il router IP wireless è attualmente utilizzato da un altro dispositivo vicino, ciò comporterà interferenze e le comunicazioni potrebbero interrompersi. xx Sistemi di sicurezza diversi da quelli sotto elencati non sono compatibili con il televisore. xx Selezionando la modalità Pure High-throughput (Greenfield) 802.11N con crittografia di tipo WEP, TKIP o TKIP-AES (WPS2Mixed) per il proprio AP, i televisori Samsung non supporteranno una connessione conforme alle nuove specifiche di certificazione Wi-Fi. xx Se il proprio AP supporta WPS (Wi-Fi Protected Setup), è possibile collegarsi alla rete mediante PBC (Push Button Configuration) o un PIN (Personal Identification Number). WPS configurerà automaticamente l’SSID e la chiave WPA in entrambe le modalità. xx Se il router, il modem o un dispositivo non è certificato, potrebbe non connettersi al televisore mediante l’adattatore LAN wireless Samsung. xx Metodi di connessione: Vi sono sei modi per impostare la connessione alla rete wireless.

Configurazione automatica Samsung PBC (WPS) Impostazione automatica (mediante la funzione Ricerca rete automatica) Impostazione manuale SWL(Samsung Wireless Link) Ad-Hoc xx L’adattatore LAN wireless Samsung potrebbe non essere riconosciuto in caso di connessione mediante hub USB o cavo di prolunga USB diverso da quello fornito da Samsung.

Italiano [UC7700]BN68-02590B-03L04.indb 32 2010-05-14 오후 3:41:39 In caso di collegamento del televisore con un adattatore LAN wireless Samsung, alcuni canali potrebbero visualizzare le immagini in modo anomalo o presentare scariche statiche. In tal caso, stabilire una connessione utilizzando uno dei seguenti metodi oppure collegare l’adattatore LAN wireless Samsung mediante un cavo USB in un luogo non soggetto a radiointerferenze. Metodo 1 Mediante l’adattatore angolare USB Metodo 2 Mediante un cavo di prolunga ✎✎llo scopo di evitare interferenze tra l’adattatore e il 04 Funzioni avanzate Avviso sintonizzatore, installare l’adattatore LAN wireless Samsung in un’area libera da interferenze.

Impostazione rete (Configurazione automatica Samsung) Questa funzione è disponibile negli AP (Access Point) che supportano la modalità Configurazione automatica Samsung. Se il proprio AP non supporta questa modalità, è possibile collegarsi tramite PBC (WPS), Automatico, o manualmente. ✎✎Questa funzione è disponibile quando SWL(Samsung Wireless Link) è impostato su Off. ✎✎E’ possibile vedere l’elenco delle apparecchiature che supportano la Configurazione automatica Samsung sul sito www.samsung.com. Procedura per l’impostazione mediante Configurazione automatica Samsung

1. Posizionare AP e televisore vicini e accenderli entrambi.

✎✎ Poiché i tempi di avviamento delle applicazioni sono diversi tra loro, potrebbe risultare necessario attendere circa 2 minuti. ✎✎ Se il cavo LAN è collegato alla porta WAN dell’AP durante la Configurazione automatica, sarà possibile completare il test di connessione Internet. Se la connessione non è disponibile, la funzione Configurazione automatica Samsung verificherà solo i dispositivi collegati all’AP (e non la connessione Internet).

2. Dopo 2 minuti, collegare l’adattatore LAN wireless

Samsung al televisore. Una volta impostato l’adattatore LAN wireless Samsung, verrà visualizzata la finestra a comparsa.

3. Appena stabilita la connessione, posizionare l’AP di

fianco all’adattatore LAN wireless Samsung a una distanza non superiore a 25 cm.

4. Attendere fino all’avvenuta connessione automatica.

✎✎ Se la funzione Configurazione automatica Samsung non è in grado di collegare il televisore all’AP, comparirà una schermata che avviserà della mancata connessione. Reimpostare l’AP e riprovare. Se la connessione ancora non riesce, scegliere un altro metodo di connessione, PBC (WPS), automatico o manuale.

5. Una volta stabilita la connessione, individuare il router

nella posizione desiderata. ✎✎ Se le impostazioni dell’AP sono cambiate o è la prima volta che si utilizza l’AP dopo l’acquisto, sarà necessario impostarlo nuovamente iniziando dal passaggio 1. Impostazione rete (PBC(WPS)) Procedura per l’impostazione mediante PBC (WPS) Se il router è dotato di un tasto PBC (WPS), seguire questi passaggi:

1. Collegare il televisore all’Adattatore LAN wireless

Samsung come descritto nella sezione precedente.

2. Accendere il televisore, premere il tasto MENU sul

telecomando, usare il tasto ▲ o ▼ per selezionare Impostazione, quindi premere ENTERE.

3. Usare il tasto ▲ o ▼ per selezionare Rete nel menu

Impostazione, quindi premere ENTERE.

4. Nella schermata Rete, selezionare Tipo di rete.

5. Impostare Tipo di rete su Wireless.

6. Selezionare Impostazione rete. Verrà visualizzata la

schermata Impostazione rete. Italiano [UC7700]BN68-02590B-03L04.indb 33

2010-05-14 오후 3:41:40 Funzioni avanzate Impostazione rete Seleziona una rete : Non selezionato ► Impostazione IP : Automatico Indirizzo IP

5. Se compare la finestra PIN/Sicurezza, andare al

passaggio 6. Se compare la schermata di connessione rete, andare al passaggio 10.

6. Premere il tasto ▲ o ▼ per selezionare Sicurezza

o PIN. Per la maggior parte delle reti domestiche, selezionare Sicurezza (per Chiave di sicurezza). Viene visualizzata la schermata Sicurezza. Impostazione rete Chiave di sicurezza PBC (WPS) U Sposta E Conferma R Ritorna

7. Premere il tasto Rosso del telecomando.

8. Premere il tasto PBC (WPS) sul router entro due

minuti. Il televisore acquisirà automaticamente tutte le impostazioni di rete di cui necessita e si collegherà alla rete.

9. Una volta impostata la connessione di rete, premere

il tasto RETURN per uscire dalla schermata Impostazione rete. Impostazione rete (Automatico) La maggior parte delle reti wireless dispongono di un ulteriore sistema di sicurezza che utilizza l’accesso alla rete tramite dispositivi per la trasmissione di un codice di sicurezza crittografato denominato Access o Security Key (Chiave di sicurezza o di accesso). La Chiave di sicurezza è basata su una passphrase, solitamente una parola o un codice alfanumerico di una determinata lunghezza richiesti al momento dell’impostazione della funzione di protezione della rete wireless. Utilizzando questo metodo per l’impostazione della connessione di rete, e avendo specificato una Chiave di sicurezza per accedervi, verrà chiesta una passphrase durante la procedura di impostazione. Procedura per l’impostazione automatica Per impostare automaticamente l’accesso a una connessione wireless, seguire questi passaggi:

1. Seguire i passaggi da 1 a 6 della “Procedura per

l’impostazione mediante PBC (WPS)” (p. 33).

2. Usare il tasto ▼ per selezionare Impostazione IP, quindi

premere ENTERE. Premere ▲ o ▼ per selezionare Automatico, quindi premere ENTERE.

3. Premere il tasto ▲ per passare a Seleziona una rete,

quindi premere ENTERE. La funzione Rete ricerca le reti wireless disponibili. Al termine, verrà visualizzato l’elenco delle reti wireless disponibili. 0 imm. 0~9 Numero

Spazio n Sposta E Conferma R Ritorna

7. Nella schermata Sicurezza, digitare la passphrase di

rete. ✎✎ Dovrebbe essere possibile reperire la passphrase in una delle schermate di impostazione usate per impostare il router o il modem.

8. Per digitare la passphrase, seguire queste regole

generali: –– Premere i tasti numerici del telecomando per digitare i numeri. –– Usare i tasti freccia del telecomando per passare da un tasto all’altro nella schermata Chiave di sicurezza. –– Premere il tasto Rosso per cambiare da maiuscolo a minuscolo e viceversa o visualizzare simboli/caratteri. –– Per digitare una lettera o un simbolo, passare alla lettera o al simbolo, quindi premere ENTERE. –– Per cancellare l’ultima lettera o numero digitato, premere il tasto Verde del telecomando.

9. Al termine, premere il tasto Blu sul telecomando. Verrà

visualizzata la schermata Connessione rete.

10. Attendere che venga visualizzato il messaggio

di conferma della connessione, quindi premere ENTERE. Verrà visualizzata nuovamente la schermata Impostazione rete.

11. Per verificare la connessione, premere RETURN per

selezionare Test di rete, quindi premere ENTERE.

4. Nell’elenco delle reti disponibili, premere il tasto ▲ o

▼ per selezionare le rete desiderata, quindi premere ENTERE. ✎✎ Se l’AP è impostato su Hidden (Nascosto), sarà necessario selezionare Aggiungi rete e digitare Nome rete (SSID) e Chiave di sicurezza per stabilire la connessione.

Italiano [UC7700]BN68-02590B-03L04.indb 34 2010-05-14 오후 3:41:40 Impostazione rete (Manuale) E’ possibile collegarsi a un dispositivo mobile senza Access Point tramite la scheda “Samsung Wireless LAN Adapter” usando un network peer-to-peer. Se gli altri metodi non funzionano, digitare le impostazioni di rete manualmente. ✎✎Questa funzione è disponibile quando SWL(Samsung Wireless Link) è impostato su Off. Procedura per il collegamento a un nuovo dispositivo Ad-hoc

1. Seguire i passaggi da 1 a 6 della “Procedura per

l’impostazione mediante PBC (WPS)” (p. 33). Ottenere le impostazioni per la connessione di rete Per ottenere le impostazioni per la connessione di rete sulla maggior parte dei computer basati su Windows, seguire questi passaggi:

1. Cliccare con il tasto destro del mouse sull’icona Rete in

basso a destra dello schermo.

2. Scegliere Seleziona una rete Verrà visualizzato un

elenco di dispositivi/reti.

2. Nel menu a comparsa, cliccare su Stato.

4. Nella scheda Supporto, cliccare su Dettagli. Vengono

visualizzate le impostazioni di rete. ✎✎ Il messaggio Ad-hoc è una connes. Wi-Fi diretta con il telefono cellulare o il PC. Il sistema di rete esistente potrebbe avere funzioni limitate. Cambiare la connessione di rete? comparirà sullo schermo.

4. Digitare il Nome rete (SSID) generato e la Chiave di

sicurezza nel dispositivo che si desidera collegare.

3. Nella finestra di dialogo, cliccare sulla scheda Supporto.

Procedura per l’impostazione manuale Per immettere manualmente le impostazioni di rete, seguire questi passaggi:

1. Seguire i passaggi da 1 a 6 della “Procedura per

l’impostazione mediante PBC (WPS)” (p. 33). Come collegarsi a un dispositivo Ad-hoc esistente

2. Usare il tasto ▼ per selezionare Impostazione IP, quindi

premere ENTERE. Premere ▲ o ▼ per selezionare Manuale, quindi premere ENTERE.

1. Seguire i passaggi da 1 a 6 della “Procedura per

l’impostazione mediante PBC (WPS)” (p. 33).

3. Premere il tasto ▼ per passare al primo campo da

compilare (Indirizzo IP).

2. Scegliere Seleziona una rete Verrà visualizzato un

elenco di Dispositivi/Reti.

4. Usare i tasti numerici per digitare i numeri.

3. Selezionare il dispositivo desiderato nell’Elenco dei

4. Se è richiesta una chiave di sicurezza, digitarla.

✎✎ Se la rete non funziona regolarmente, controllare nuovamente i parametri Nome rete (SSID) e Chiave di sicurezza. Una Chiave di sicurezza errata può causare un malfunzionamento. 04 Funzioni avanzate Impostazione rete (Ad-Hoc)

5. Una volta compilato ogni campo, usare il tasto ► per

passare al campo successivo. E’ inoltre possibile usare gli altri tasti freccia per spostarsi verso l’alto, il basso e a sinistra.

6. Immettere le impostazioni Indirizzo IP,

Maschera sottorete, Gateway.

7. Premere il tasto ▲ o ▼ per passare a DNS.

8. Premere il tasto ▼ per passare al primo campo DNS.

Digitare i numeri come indicato sopra.

9. Al termine, premere il tasto ▲ per passare a

Seleziona una rete. Selezionare la rete e premere ENTERE.

10. Andare al passaggio 4 della “Procedura per

l’impostazione automatica” (p. 34) e seguire le istruzioni a partire da quel punto. Italiano [UC7700]BN68-02590B-03L04.indb 35

2010-05-14 오후 3:41:40 Funzioni avanzate SWL(Samsung Wireless Link) Questa funzione permette di collegare un dispositivo Samsung che supporta PBC (WPS) al televisore. E’ possibile collegare altri dispositivi al televisore anche se a quest’ultimo non è collegato un router. ✎✎Per utilizzare Internet@TV, l’AP (Access Point) deve essere collegato alla rete wireless. ✎✎Se un adattatore LAN wireless Samsung è collegato alla porta USB 2, la rete potrebbe non funzionare regolarmente. Consigliamo di collegarlo alla porta USB 1 (HDD). ✎✎Solo i router che utilizzano la banda 2.4 Ghz sono supportati. I router che utilizzano la banda 5 Ghz non sono supportati. Connessione SWL Al televisore è possibile collegare un dispositivo che supporta PBC (WPS). ✎✎Questa funzione è disponibile quando SWL(Samsung Wireless Link) è impostato su On. Come collegare Samsung Wireless Link Se il televisore non riesce a stabilire una connessione a Internet Il televisore potrebbe non essere in grado di collegarsi a Internet perché l’ISP ha registrato in modo permanente l’indirizzo MAC (un numero di identificazione univoco) del PC o del modem in uso; ciò consente l’autenticazione dell’utente a ogni accesso a Internet in modo da evitare l’accesso non autorizzato. Poiché il televisore ha un indirizzo MAC diverso, l’ISP non è in grado di autenticare il relativo indirizzo MAC, perciò il televisore non sarà in grado di connettersi. In questo caso, chiedere all’ISP le procedure per collegare dispositivi diversi dal PC (per esempio il televisore) a Internet. Se l’Internet Service Provider richiede un ID o una password per il collegamento a Internet, il televisore potrebbe non essere in grado di collegarsi. In questo caso, digitare l’ID o la password durante l’accesso a Internet. La connessione Internet potrebbe interrompersi a causa di un problema di firewall. In questo caso, contattare l’Internet Service Provider. Se ancora non è possibile collegarsi a Internet anche dopo aver seguito le procedure descritte dall’Internet Service Provider, contattare Samsung Electronics al numero 1-800-SAMSUNG. Per le procedure necessarie a stabilire una connessione, vedere le seguenti indicazioni:

1. Seguire i passaggi da 1 a 5 della “Procedura per

l’impostazione mediante PBC (WPS)” (p. 33).

2. Selezionare SWL(Samsung Wireless Link) usando il

tasto ▼ e premere ENTERE per attivarlo.

3. Selezionare Connessione SWL usando il tasto ▼ e

4. Se viene visualizzato il messaggio “Premere il pulsante

PBC sul dispositivo supportato da PBC(WPS) per connetterlo entro 120 secondi.” premere il tasto PBC sul dispositivo per collegarlo. ✎✎ Per maggiori informazioni, vedere il manuale di impostazione della rete wireless del dispositivo da collegare.

5. Se il dispositivo è collegato in modo corretto al televisore

dopo l’avvio del conteggio visualizzato nella finestra, questa si chiuderà automaticamente. ✎✎ Se la connessione non riesce, riprovare dopo 2 minuti.

Italiano [UC7700]BN68-02590B-03L04.indb 36 2010-05-14 오후 3:41:40 MEDIA.P Godetevi i programmi TV registrati, le foto, la musica o i film salvati su un dispositivo USB Mass Storage Class (MSC) e/o sul PC. 04 Funzioni avanzate Media Play MediaPlay TV registrata SUM Camb dispos Visual. dispos. E Conferma R Ritorna ¦ Collegamento di un dispositivo USB

1. Accensione del televisore.

2. Collegare un dispositivo USB contenente foto, programmi TV, musica e/o filmati

registrati alla porta USB 1 (HDD) o USB 2 sul pannello laterale o posteriore del televisore.

3. Quando un dispositivo USB viene collegato al televisore, sullo schermo compare

una finestra. A questo punto è possibile selezionare Media Play. Pannello posteriore del televisore

(HDD) Unità USB ¦ Connessione al PC tramite rete E’ possibile riprodurre immagini, musica e video memorizzati sul PC mediante una connessione di rete in modalità Media Play. ✎ Se si utilizza Media Play per riprodurre un file salvato sul PC, è necessario scaricare “PC Share Manager” e il manuale utente dal sito “www.samsung.com.” Pannello posteriore del televisore

1. Per ulteriori informazioni sulla configurazione di rete, vedere la sezione “Connessione di rete” (p. 30).

– È opportuno che il televisore e il PC siano nella stessa subnet. Le prime 3 parti dell’indirizzo subnet e IP del televisore e del PC devono essere uguali e solo l’ultima parte (l’indirizzo host) deve variare (per es. Indirizzo IP: 123.456.789.**)

2. Mediante un cavo LAN, collegare il modem esterno e il PC su cui verrà installato il programma Samsung PC Share

Manager. – E’ possibile collegare direttamente il televisore al PC senza dover passare tramite un router. Italiano [UC7700]BN68-02590B-03L04.indb 37

2010-05-14 오후 3:41:42 Funzioni avanzate ✎✎Nessuna funzione è supportata in caso di collegamento al PC tramite rete: xx Funzioni Musica di sottofondo e Impostazione musica di sottofondo. xx Ordinamento dei file in base alle preferenze nelle cartelle Foto, Musica e Video. xx Premere i tasti (REW) o µ (FF) durante la riproduzione di un film. ✎✎Le didascalie incorporate, Divx DRM, Multi-audio, non sono supportate. ✎✎Samsung PC Share Manager deve essere autorizzato dal programma firewall del PC. ✎✎Quando si utilizza la modalità Media Play mediante una connessione di rete, in base alle funzioni del server: xx Il metodo di ordinamento può variare. xx La funzione di ricerca scene può non essere supportata. xx La funzione Ripr in continuo, che riprende la riproduzione di un video interrotto, può non essere supportata. –– La funzione Ripr in continuo non supporta utenti multipli. (La funzione memorizza solo il punto in cui l’ultimo utente ha interrotto la riproduzione.) xx I tasti ◄ o ► potrebbero non funzionare a seconda delle informazioni relative al contenuto. xx Durante la riproduzione di un video in Media Play attraverso una connessione di rete potrebbero verificarsi disturbi di shuttering. ✎✎Utilizzando file multimediali senza licenza, il prodotto potrebbe non funzionare correttamente. ✎✎Elenco delle cose da sapere prima di utilizzare Media Play xx MTP (Media Transfer Protocol) non è supportato. xx Il file system supporta FAT16, FAT32 e NTFS. xx Alcuni dispositivi audio e videocamere digitali USB possono non essere compatibili con questo televisore. xx Media Play supporta solo i dispositivi USB MSC (Mass Storage Class). MSC è un dispositivo di memorizzazione di massa Bulk-Only Transport. Esempi di MSC sono le unità Thumb, i lettori di schede Flash e le unità HDD USB (le unità HUB USB non sono supportate.) I dispositivi devono essere collegati direttamente alla porta USB del televisore. xx Prima di collegare il dispositivo al televisore, eseguire il backup dei file per prevenire una perdita accidentale o eventuali danni. SAMSUNG non è responsabile di eventuali danni ai file dati o perdite di dati. xx Collegare un’unità HDD USB alla porta USB 1 (HDD) dedicata. xx Non scollegare il dispositivo USB durante il caricamento. xx Maggiore è la risoluzione dell’immagine, maggiore è il tempo necessario per visualizzarla sullo schermo. xx La risoluzione massima supportata in JPEG è 15360X8640 pixel. xx In caso di file non supportati o danneggiati, comparirà il messaggio “Formato file non supportato”. xx Se la chiave di ordinamento è impostata su Visual base, è possibile visualizzare in ogni cartella un massimo di 1000 file. xx I file MP3 con DRM precedentemente scaricati da un sito a pagamento non verrano riprodotti. Digital Rights Management (DRM) è una tecnologia che supporta la creazione, la distribuzione e la gestione di contenuti in modo completo e integrato, compresa la protezione dei diritti e degli interessi dei fornitori dei contenuti, la prevenzione dalla copia illegale, così come la gestione degli addebiti e dei pagamenti. xx Se sono collegati più di 2 dispositivi PTP, potranno essere utilizzati solo uno alla volta. xx Se sono collegati più di due dispositivi MSC, alcuni di essi potrebbero non essere riconosciuti. Se un dispositivo richiede molta potenza (più di 500mA o 5V), il dispositivo USB può non essere supportato. xx Nel caso in cui, quando si collega o si utilizza un dispositivo USB, venga visualizzato un messaggio che indica la presenza di sovratensione, il dispositivo potrebbe non essere riconosciuto o non funzionare correttamente. xx Se il televisore non ha ricevuto segnali nel tempo prefissato in Prot. Auto. dopo, si attiverà lo screensaver. xx Le modalità di risparmio energetico di alcuni dischi rigidi possono azzerarsi automaticamente quando queste unità vengono collegate al televisore. xx Se si usa un cavo di prolunga USB, il dispositivo USB potrebbe non essere riconosciuto o i file sul dispositivo potrebbero non essere letti. xx Se il dispositivo USB collegato al televisore non viene riconosciuto, l’elenco dei file sul dispositivo è corrotto o uno dei file in elenco non viene riprodotto, collegare il dispositivo USB al PC, formattare il dispositivo e controllare il collegamento. xx Se un file cancellato dal PC compare nuovamente quando si esegue Media Play, utilizzare la funzione “Svuota cestino” sul PC per eliminare in modo permanente il file.

Italiano [UC7700]BN68-02590B-03L04.indb 38 2010-05-14 오후 3:41:42 04 Funzioni avanzate ¦¦ Visualizzazione a schermo Posizionarsi sul file desiderato usando i tasti su/giù/sinistra/destra, quindi premere ENTERE o (Riproduci). Il file selezionato verrà visualizzato. ✎✎Supporta Visual. dispos. e Pag. iniziale nella homepage Media Play. Informazioni: E’ possibile verificare il nome del file selezionato e il numero di file e di pagine. Video /Movie 01.avi Movie 01.avi Movie 03.avi Movie 05.avi Sezione Elenco ordinamento: Visualizza lo standard di ordinamento. Jan.10.2010 Jan.10.2010 Jan.10.2010 Movie 07.avi Movie 02.avi Movie 04.avi Movie 06.avi SUM Jan.10.2010 Sezione Elenco file: E’ possibile confermare i file e i gruppi ordinati in ogni categoria. Jan.10.2010 Jan.10.2010 Movie 08.avi Jan.10.2010 Movie 09.avi ✎✎ Lo standard di ordinamento cambia in base ai contenuti. 1/1 Pagina Jan.10.2010 Camb dispos Jan.10.2010 Movie 10.avi Seleziona Jan.10.2010 Ordinam. T Strumenti Tasti operativi Rosso (Camb dispos): Seleziona un dispositivo connesso. B Verde (Preferenze): Imposta le preferenze dei file. (non supportato in Visual base) Giallo (Seleziona): Seleziona più file da un elenco. I file selezionati vengono evidenziati con un simbolo. Blu (Ordinam.): Seleziona l’elenco ordinato. T Strumenti: Visualizza il menu delle opzioni. ✎✎ Usando i tasti (REW) o µ (FF), è possibile spostare l’elenco file alla pagina successiva o precedente. TV registrata Per utilizzare la funzione di registrazione o Mod. TimeShift, il dispositivo USB collegato deve essere disponibile per la registrazione. Si consiglia l’uso della funzione Formatt disp per utilizzare una unità HDD USB. ✎✎Durante la formattazione del dispositivo, non scollegare l’alimentazione. La formattazione del dispositivo cancellerà tutti i file. ✎✎Prima di formattare il dispositivo per il televisore, eseguire il backup dei file per prevenire una perdita accidentale o eventuali danni. SAMSUNG non è responsabile di eventuali danni ai file dati o perdite di dati. Riproduzione di programmi TV registrati

1. Premere il tasto ◄ o ► per selezionare TV registrata, quindi

premere ENTERE nel menu Media Play. 00:04:03 / 00:07:38 1/1 Movie 01.avi

2. Premere ◄/►/▲/▼ per selezionare il file desiderato tra quelli

riportati in elenco.

3. Premere ENTERE o il tasto (Riproduci).

–– Il file selezionato verrà visualizzato in alto con il relativo tempo di riproduzione. –– Durante la riproduzione di un programma TV, è possibile eseguire ricerche utilizzando i tasti ◄ e►. Tasti operativi Camb dispos Ripr in continuo Ripr da ultima scena vis SUM Ripetiz. sezione Ripr in continuo E Capitoli L Salta T Strumenti B Verde (Ripr in continuo): E’ possibile impostare la funzione allo scopo di ripetere le sezioni desiderate. E’ inoltre possibile guardare le sezioni preferite. Italiano [UC7700]BN68-02590B-03L04.indb 39

2010-05-14 오후 3:41:43 Funzioni avanzate Uso della funzione Mod. TimeShift t Se si è dimenticato di guardare un programma, questa funzione permette di vederne la registrazione. Quando Mod. TimeShift è impostata su Automatico, il televisore memorizza il canale che si sta guardando per registrare i programmi automaticamente. Quando Mod. TimeShift è impostata su Manuale, premendo il tasto (Riproduci), il televisore memorizza la programmazione del canale dal punto indicato dall’utente. ✎✎NOTA xx Non è possibile riprodurre video registrati e DRM (Digital Rights Management) protetti su un PC o su altri televisori, nemmeno nel caso sia stata cambiata la scheda madre del televisore. xx Le trasmissioni dati non possono essere registrate. xx La disponibilità delle funzioni di registrazione e Mod. TimeShift può dipendere dalla qualità delle immagini e dallo spazio libero sul disco rigido. xx Premendo ▲ o ▼, è possibile vedere il canale attualmente sintonizzato, oppure l’inizio della trasmissione registrata. xx La funzione Mod. TimeShift può essere attivata per un massimo di 90 minuti. xx Dopo aver eseguito la funzione Mod. TimeShift fino a oltre il termine dell’orario impostato, le informazioni orarie verranno ripristinate come “00:00:00.” Inoltre, nel caso la registrazione sia stata messa in pausa, il televisore riprenderà la riproduzione automaticamente. xx Una volta raggiunto il limite del 5% di spazio libero sul dispositivo di memoria USB, la registrazione in corso verrà interrotta. xx Quando si esegue la registrazione utilizzando sia la funzione PVR (Personal Video Recorder) sia un dispositivo in grado di supportare la funzione HDMI-CEC, la registrazione mediante PVR ha la priorità. xx Durante la riproduzione o l’uso della funzione Mod. TimeShift, l’immagine verrà visualizzata in base alle impostazioni di visualizzazione del televisore. xx Modificando la sorgente d’ingresso durante la registrazione, lo schermo risulterà vuoto fino al completo riconoscimento della nuova sorgente. xx Se durante l’uso delle funzioni di registrazione e Mod. TimeShift si avvia un’applicazione che non supporta queste funzioni, l’applicazione si chiuderà automaticamente. xx Inoltre, sulla finestra dell’applicazione potrebbe comparire un messaggio che informa che l’applicazione è stata chiusa insieme alle funzioni di registrazione e Mod. TimeShift. xx Mod. TimeShift non è supportata per i canali radiofonici. xx Le funzioni di registrazione e Mod. TimeShift non sono disponibili per i canali bloccati attraverso l’attivazione dell’opzione Blocco canali. xx Se il dispositivo USB non ha completato il Test prestazioni dispositivo, dovrà nuovamente eseguire sia la procedura Formatt disp sia il Test prestazioni dispositivo prima di poter effettuare la registrazione mediante Guida o Gestione canali. xx Le funzioni di registrazione e Mod. TimeShift sono disponibili solo con un dispositivo di memoria USB che ha completato il Test prestazioni dispositivo. xx Non sarà quindi possibile avviare le funzioni di registrazione o Mod. TimeShift con un dispositivo che non ha completato il Test prestazioni dispositivo. xx Premendo il tasto (REC) sul telecomando mentre è visualizzata la schermata Gestione canali o durante la funzione Regist progr, il televisore potrebbe avviare o interrompere la registrazione con un ritardo di 1 o 2 secondi rispetto al comando dato a causa del tempo necessario a eseguire il comando. xx Se è collegato un dispositivo di registrazione USB, i file in registrazione o in Mod. TimeShift salvati in modo anomalo verranno automaticamente cancellati. xx Se si passa in modalità ingresso esterno durante la registrazione, la registrazione continuerà ma il tasto (REC) verrà disabilitato. xx Se viene impostata qualsiasi funzione in grado di spegnere il televisore (Timer stand-by Off, ecc.) selezionando un orario che va in conflitto con la registrazione, il televisore si spegnerà al termine della registrazione.

Italiano [UC7700]BN68-02590B-03L04.indb 40 2010-05-14 오후 3:41:44 Riproduzione di video

1. Premere il tasto ◄ o ► per selezionare Video, quindi premere ENTERE nel menu Media Play.

2. Premere ◄/►/▲/▼ per selezionare il file desiderato tra quelli riportati in elenco.

3. Premere ENTERE o il tasto (Riproduci).

–– Il file selezionato verrà visualizzato in alto con il relativo tempo di riproduzione. –– Se le informazioni sulla durata del video non sono disponibili, il tempo di riproduzione e la barra di avanzamento non vengono visualizzati. –– Durante la riproduzione di un video, è possibile eseguire ricerche utilizzando i tasti ◄ e ►. ✎✎In questa modalità, è possibile visualizzare clip video contenute in un gioco, tuttavia non è possibile riprodurre il gioco stesso. yy Formati sottotitoli supportati Nome Estensione file Testo MPEG-4 time-based .ttxt XML SAMI .smi HTML string-based 00:04:03 / 00:07:38 04 Funzioni avanzate Video 1/1 Movie 01.avi Formato SubRip .srt SubViewer .sub string-based Micro DVD .sub o .txt string-based E Capitoli L Salta T Strumenti R Ritorna SUM yy Formati video supportati Estensione file *.avi *.mkv *.asf *.wmv *.mp4 Contenitore AVI MKV ASF ASF MP4 *.3gp 3GPP *.vro VRO VOB *.mpg *.mpeg

2010-05-14 오후 3:41:44 Funzioni avanzate Altre limitazioni ✎✎ NOTA xx In caso di problemi con i contenuti di un codec, il codec non verrà supportato. xx Se le informazioni relative a un Contenitore sono incorrette e il file è in errore, il Contenitore non sarà in grado di riprodurlo correttamente. xx Le funzioni audio e video possono non funzionare se i contenuti hanno un bitrate/frame rate standard superiore al Frame/sec compatibile elencato nella tabella precedente. xx Se la Index Table è in errore, la funzione Cerca (Salta) non è supportata. Decoder video

Supporta fino a H.264, Livello 4.1 H.264 FMO / ASO / RS, VC1 SP / MP / AP L4 e AVCHD non sono supportati. XVID, MPEG4 SP, ASP: –– Inferiore a 1280 x 720: Max 60 frame –– Superiore a 1280 x 720: Max 30 frame Oltre GMC 2 non supportato. H.263 non è supportato. Supportata solo la tecnologia Samsung Techwin MJPEG. Decoder audio

Supporta fino a WMA 7, 8, 9, STD WMA 9 PRO non supporta 2 canali oltre multicanale o audio “lossless” (privo di perdite). La velocità di campionamento WMA 22050Hz mono non è supportata. Riproduzione di contenuti registrati o continua di filmati (Riprendi riprod.) Se si interrompe la riproduzione di Programmi TV registrati o video, la riproduzione può essere ripresa in seguito a partire dal punto in cui è stata interrotta. ✎✎Premendo il tasto ENTERE (Capitoli) durante la riproduzione di un file, è possibile cercare le scene divise in capitoli. ✎✎La funzione Capitoli non è disponibile se le informazioni relative all’indice sono danneggiate o non sono supportate.

1. Selezionare il filmato da riprodurre in modo continuo premendo il

tasto ◄ o ► per selezionarlo nella sezione elenco file.

2. Premere il tasto (Riproduci) / ENTERE.

00:04:03 / 00:07:38 1/1 Movie 01.avi

3. Selezionare Ripr in continuo (Riprendi riprod.) premendo il

tasto blu. La riproduzione del filmato inizierà dal punto di arresto precedente. ✎✎ Il tasto blu è disponibile solo quando si riavvia la Ripr in continuo Riprende la riproduzione dall’ultima scena visualizzata. riproduzione. ✎✎ Se la funzione Prom ripr cont di un film è impostata su On nel menu Impostaz., comparirà un messaggio alla ripresa della riproduzione del filmato.

SUM Ripr in continuo E Capitoli L Salta T Strumenti R Ritorna Italiano [UC7700]BN68-02590B-03L04.indb 42 2010-05-14 오후 3:41:45 Riproduzione di musica

1. Premere il tasto ◄ o ► per selezionare Musica, quindi premere

ENTERE nel menu Media Play. Elenco

2. Premere ◄/►/▲/▼ per selezionare il file desiderato tra quelli

riportati in elenco.

3. Premere ENTERE o il tasto (Riproduci).

–– Durante la riproduzione di un Musica, è possibile eseguire ricerche utilizzando i tasti ◄ e ►. –– I tasti (REW) e µ (FF) non sono attivi durante la riproduzione. ✎✎Visualizza solo i file con estensione MP3 e PCM. I file con altre I Love You Jhon I Love you Jhon 1st Album Pop 4.2MB No Singer 3/15 Music 1 Music 2 No Singer 04 Funzioni avanzate Musica Music 3 No Singer Music 4 01:10 / 04:02 No Singer Music 5 No Singer E Pausa L Salta T Strumenti R Ritorna SUM estensioni non vengono visualizzati, nemmeno se sono stati salvati sul medesimo dispositivo USB. ✎✎Se il suono risulta anomalo durante la riproduzione di file MP3, regolare l’Equalizzatore nel menu Suono. (Un file MP3 sovramodulato può causare problemi audio.) ✎✎E’ possibile creare una El. personale selezionando i brani musicali desiderati per poi riprodurre la El. personale creata. Foto Visualizzazione di una foto (o di una proiezione di diapositive)

1. Premere il tasto ◄ o ► per selezionare Foto, quindi premere

ENTERE nel menu Media Play. Normale Image1024.jpg 1024x768 2010/2/1 3/15

2. Premere ◄/►/▲/▼ per selezionare il file desiderato tra quelli

riportati in elenco.

3. Premere ENTERE o il tasto (Riproduci).

–– Quando si visualizza un elenco di foto, per iniziare la proiezione di diapositive premere il tasto (Riproduci) / ENTERE sul telecomando. –– Nella proiezione di diapositive verranno utilizzate tutte le foto contenute nell’Elenco file. –– Durante la proiezione di diapositive, i file appaiono in sequenza a partire da quello correntemente visualizzato. SUM E Pausa L Prec/succ T Strumenti R Ritorna ✎✎Impostando l’opzione Musica di sottofondo su On durante la proiezione delle diapositive i brani musicali vengono riprodotti automaticamente. ✎✎La Modalità MdS non può essere modificata fino al completo caricamento della musica di sottofondo. Italiano [UC7700]BN68-02590B-03L04.indb 43

2010-05-14 오후 3:41:47 Funzioni avanzate ¦¦ Riproduzione di più file Riproduzione di filmati/brani musicali/foto selezionati

1. Premere il tasto giallo per selezionare il file desiderato tra quelli

riportati in elenco. Video File 2 sel.nati /Movie 01.avi

2. Ripetere l’operazione per selezionare più file.

Movie 01.avi ✎✎ NOTA Movie 02.avi Jan.10.2010 Movie 04.avi Jan.10.2010 Movie 05.avi Jan.10.2010 Movie 06.avi Jan.10.2010 Movie 07.avi tasto giallo. Jan.10.2010 Movie 09.avi Movie 10.avi Jan.10.2010 SUM

3. Premere il tasto TOOLS e selezionare Riproduci cont. selez..

Jan.10.2010 Movie 08.avi Jan.10.2010 xx Per deselezionare tutti i file, premere il tasto TOOLS e selezionare Deseleziona tutto. Jan.10.2010 Movie 03.avi xx Il simbolo c comparirà a sinistra dei file selezionati. xx Per annullare una selezione, premere nuovamente li 1/1 Pagina Camb dispos Jan.10.2010 Seleziona Ordinam. T Strumenti Riproduzione di gruppi di file video/musicali/fotografici/programmi TV

1. Durante la visualizzazione dell’elenco file, posizionarsi su un qualsiasi file del gruppo desiderato.

2. Premere il tasto TOOLS e selezionare Riproduci gruppo corrente.

¦¦ Funzione aggiuntiva Media Play Ordinare l’elenco dei file Premere il tasto blu nell’elenco dei file per ordinarli. Categoria Visual base Operazioni TV registrata Mostra l’intera cartella. E’ possibile visualizzare la foto selezionando la cartella. Video Musica Foto

Titolo Ordina e mostra i titoli dei filmati in ordine di simbolo/numerico/alfabetico/speciale.

Preferenze Mostra e visualizza il file in base alle preferenze. E’ possibile cambiare le preferenze dei file contenuti nella sezione elenco file usando il tasto verde.

Data ultima Ordina e visualizza i file in base alla data più recente.

Prima data psb Ordina e visualizza i file in base alla data meno recente.

Artista Ordina i brani musicali per artista in ordine alfabetico.

Album Ordina i brani musicali per album in ordine alfabetico.

Genere Ordina i brani musicali per genere musicale.

Atmosfera Ordina i brani musicali in base all’atmosfera. È possibile cambiare le informazioni relative all’atmosfera musicale.

Mensile Ordina e visualizza i file in base al mese. Li ordina solo in base al mese (da gennaio a dicembre) indipendentemente dall’anno.

Canale Ordina i file registrati in base al nome del canale.

Italiano [UC7700]BN68-02590B-03L04.indb 44 2010-05-14 오후 3:41:49 Durante la riproduzione di un file, premere TOOLS. Categoria TV registrata Video E’ possibile spostare l’altro file direttamente.

Modalità Ripeti E’ possibile riprodurre ripetutamente contenuti registrati, film o brani musicali.

Formato immagine E’ possibile regolare la dimensione dell’immagine in base alle proprie preferenze.

Impostazioni E’ possibile regolare l’impostazione dell’immagine (p. 17~23).

Impostazioni audio E’ possibile regolare l’impostazione dell’audio (p. 23, 24, 25).

Impostazione sottotitoli E’ possibile riprodurre il video con i Sottotitoli. Questa modalità funziona solo se il nome del file dei sottotitoli è uguale a quello del video.

Audio E’ possibile guardare video in una delle lingue supportate. La funzione è attiva solo quando vengono riprodotti file stream che supportano formati audio multipli.

Descrizione audio E’ possibile regolare la descrizione audio (p. 24).

Arresta proiezione diapositive / Avvia proiezione diapositive E’ possibile avviare una Proiezione diapositive. Velocità slide show Durante la proiezione diapositive è possibile selezionare la velocità di proiezione.

Effetto slide show E’ possibile impostare vari effetti da applicare alla proiezione delle diapositive.

Musica di sottofondo Durante la proiezione diapositive è possibile impostare la musica di sottofondo desiderata.

Zoom E’ possibile ingrandire le immagini a pieno schermo.

Ruota E’ possibile ruotare le immagini a pieno schermo.

Sfondo Home E’ possibile spostare il file sul desktop Media Play. Informazioni E’ possibile visualizzare le informazioni dettagliate sul file riprodotto. Titolo Operazioni Musica Foto

04 Funzioni avanzate Menu Opzioni Riproduzione Programmi TV registrati/Video/Musica/Foto

Impostaz. Uso del menu Impostazione ■■ Impostazione sfondo: Selezionare questa opzione per visualizzare lo sfondo desiderato. ■■ Prom ripr di un film (Riprendi riprod.) (On / Off): Selezionare questa opzione per visualizzare il messaggio di aiuto a comparsa per la riproduzione continua del filmato. ■■ Ottieni codice registrazione DivX® VOD: Mostra il codice di registrazione autorizzato per il televisore. Se si è connessi al sito web DivX e si registra il codice di registrazione con un account personale, è possibile scaricare il file di registrazione VOD. Se la registrazione VOD viene riprodotta con Media Play, la procedura di registrazione viene completata. ✎✎ Per ulteriori informazioni su DivX® VOD, visitare il sito “www.DivX.com”. ■■ Ottieni codice disattivazione DivX® VOD: Se DivX® VOD non è registrato, viene visualizzato il codice di disattivazione della registrazione. Se si esegue questa funzione con codice DivX® VOD registrato, la registrazione DivX® VOD corrente viene disattivata. ■■ Informazioni: Selezionare questa opzione per visualizzare le informazioni sul dispositivo collegato. Italiano [UC7700]BN68-02590B-03L04.indb 45

2010-05-14 오후 3:41:49 Funzioni avanzate Anynet+ Cos’è Anynet+? t Anynet+ è una funzione che permette di controllare mediante il telecomando del televisore Samsung tutti i dispositivi Samsung collegati che supportano Anynet+. Il sistema Anynet+ può essere usato solo con i dispositivi Samsung dotati della funzione Anynet+. Per controllare se il dispositivo Samsung in uso è dotato di questa funzione, verificare la presenza del logo Anynet+. Per collegare un sistema Home Theatre (HDD) Dispositivo Anynet+ 1 Home Theatre Pannello posteriore del televisore Adattatore ottico Dispositivo Anynet+ 2, 3, 4 Cavo ottico Cavo HDMI Cavo HDMI Cavo HDMI 1. Collegare il jack HDMI IN (1(DVI), 2(ARC), 3 o 4) del televisore al jack HDMI OUT del dispositivo Anynet+ corrispondente tramite un cavo HDMI.

2. Collegare il jack HDMI IN del sistema Home Theater al jack HDMI OUT del dispositivo Anynet+ corrispondente tramite un

cavo HDMI. ✎✎NOTA xx Collegare un cavo ottico tra la porta DIGITAL AUDIO OUT (OPTICAL) del televisore all’ingresso Digital Audio del sistema Home Theatre. xx La funzione ARC attiva l’uscita digitale audio mediante la porta HDMI IN 2(ARC) e può funzionare solo quando il televisore è collegato a un ricevitore audio che supporti la funzione ARC. xx Se si opta per una connessione di questo genere, la presa ottica permette l’uscita di soli 2 canali audio. In questo modo sarà possibile ascoltare l’audio solo dagli altoparlanti frontali, sinistro e destro del sistema Home Theatre e dal subwoofer. Per avere un audio a 5.1 canali, collegare la porta DIGITAL AUDIO OUT (OPTICAL) del lettore DVD / Ricevitore satellitare (p. es. dispositivo Anynet 1 o 2) direttamente a un amplificatore o all’Home Theatre, non al televisore. xx Collegare solo un sistema Home Theatre. xx E’ possibile collegare un dispositivo Anynet+ tramite un cavo HDMI. Alcuni cavi HDMI potrebbero non supportare le funzioni Anynet+. xx Anynet+ si attiva solo quando il relativo dispositivo AV è acceso o in modalità Standby. xx Anynet+ supporta fino a 12 dispositivi AV. Da notare che è possibile connettere fino a 3 dispositivi dello stesso tipo.

Italiano [UC7700]BN68-02590B-03L04.indb 46 2010-05-14 오후 3:41:50 Il menu Anynet+ può variare a seconda del tipo e dello stato del dispositivo Anynet+ collegato al televisore. Menu Anynet+ Visualizza TV Elenco dispositivi (nome_dispositivo) MENU Descrizione La modalità Anynet+ passa alla modalità di trasmissione TV. Visualizza l’elenco dei dispositivi Anynet+. Mostra i menu del dispositivo collegato. Ad esempio, se è collegato un registratore DVD, comparirà il menu del disco del registratore DVD. (nome_dispositivo) INFO Mostra il menu di riproduzione del dispositivo collegato. Ad esempio, se è collegato un registratore DVD, comparirà il menu di riproduzione del registratore DVD. Registrazione : (*registratore) Avvia immediatamente la registrazione mediante il registratore. (Questa funzione è disponibile solo per i dispositivi che supportano la funzione di registrazione.) Interrompere registrazione: Interrompe la registrazione. (*registratore) Ricevitore L’audio viene riprodotto attraverso il ricevitore. 04 Funzioni avanzate Menu Anynet+ Se al sistema è collegato più di un dispositivo di registrazione, questi vengono visualizzati come (*registratore); in caso il dispositivo collegato sia uno solo, verrà rappresentato come (*nome_dispositivo). ¦¦ Configurazione di Anynet+ ■■ Impostazione Anynet+ (HDMI-CEC) (Off / On): Per utilizzare la funzione Anynet+, Anynet+ (HDMI-CEC) deve essere impostata su On. ✎✎ Quando la funzione Anynet+ (HDMI-CEC) è disattivata, sono disattivate anche tutte le funzioni relative a Anynet+. Spegnimento auto (No / Sì): Impostazione della disattivazione automatica di un dispositivo Anynet+ allo spegnimento del televisore. La sorgente attiva deve essere impostata sul telecomando in modo che il televisore utilizzi la funzione Anynet+.

✎✎ Un dispositivo esterno potrebbe spegnersi anche durante una registrazione. ¦¦ Passaggio da un dispositivo Anynet+ all’altro

1. Vengono elencati tutti i dispositivi Anynet+ collegati al televisore.

✎✎ Se non si individua il dispositivo desiderato, premere il tasto rosso per eseguire la scansione dei dispositivi.

2. Selezionare un dispositivo e premere ENTERE. Il dispositivo selezionato viene attivato.

✎✎ Solo all’impostazione di Anynet+ (HDMI-CEC) su On nel menu Applicazione comparirà il menu Elenco dispositivi. xx Il passaggio al dispositivo selezionato può richiedere fino a 2 minuti. Non è possibile annullare l’operazione durante il passaggio da un dispositivo all’altro. xx Se si è selezionata una modalità di ingresso esterna tramite il tasto SOURCE non sarà possibile utilizzare la funzione Anynet+. Passare a un dispositivo Anynet+ utilizzando Elenco dispositivi. Italiano [UC7700]BN68-02590B-03L04.indb 47

2010-05-14 오후 3:41:50 Funzioni avanzate ¦¦ Registrazione Con un dispositivo di registrazione Samsung è possibile registrare un programma televisivo.

1. Selezionare Registrazione.

✎✎ Se vi sono più di due dispositivi di registrazione xx Se sono collegati più dispositivi di registrazione, questi vengono elencati. Selezionare un dispositivo di registrazione in Elenco dispositivi. ✎✎ Se il dispositivo di registrazione non è visualizzato, selezionare Elenco dispositivi e premere il tasto rosso per eseguire la ricerca dei dispositivi.

2. Premere EXIT per uscire.

✎✎ E’ possibile registrare il segnale proveniente da una sorgente selezionando Registrazione: (nome_dispositivo). ✎✎ Premendo il tasto (REC) si eseguirà la registrazione del programma visualizzato sul televisore. Se si sta guardando l’immagine di un altro dispositivo, vengono registrate le immagini di quel dispositivo. ✎✎ Prima di registrare, controllare che il jack dell’antenna sia correttamente collegato al dispositivo di registrazione. Per collegare in modo corretto un’antenna a un dispositivo di registrazione, consultare il manuale dell’utente del dispositivo di registrazione utilizzato. ¦¦ Ascolto tramite il ricevitore È possibile ascoltare l’audio tramite un ricevitore (per es. un Home Theatre) anzichè dall’Altoparlante TV.

1. Selezionare Ricevitore e impostarlo su On.

2. Premere EXIT per uscire.

✎✎ Se il ricevitore supporta solo l’audio, potrebbe non comparire nell’elenco dei dispositivi. ✎✎ Il ricevitore è operativo solo se è collegata in modo appropriato la porta Optical In del ricevitore alla porta DIGITAL AUDIO OUT (OPTICAL) del televisore. ✎✎ Quando il ricevitore (per es. un home theatre) è impostato su On, è possibile ascoltare l’audio dall’uscita ottica del televisore. Quando il televisore visualizza un segnale DTV (antenna), invia l’audio a 5.1 canali al ricevitore. Se la sorgente è un componente digitale, come per es. un DVD, ed è collegata al televisore mediante HDMI, saranno udibili solo 2 canali audio dal ricevitore. ✎✎NOTA xx E’ possibile controllare i dispositivi Anynet+ solo mediante telecomando e non con i tasti del televisore. xx In determinate condizioni, il telecomando del televisore potrebbe non funzionare. In questo caso, selezionare nuovamente il dispositivo Anynet+. xx Le funzioni Anynet+ non sono attive con prodotti di altre marche. Uso della funzione ARC E’ possibile ascoltare l’audio attraverso un ricevitore collegato mediante cavo HDMI, senza la necessità di utilizzare un cavo ottico separato.

1. Selezionare Ricevitore e impostarlo su On.

2. Premere EXIT per uscire.

✎✎ La funzione ARC attiva l’uscita digitale audio mediante la porta HDMI IN 2(ARC) e può funzionare solo quando il televisore è collegato a un ricevitore audio che supporti la funzione ARC. ✎✎ Per disattivare la funzione ARC, impostare il Ricevitore su Off. Anche se il televisore trasmette il segnale ARC in modo continuo, la ricezione del segnale da parte del ricevitore verrà bloccata.

Italiano [UC7700]BN68-02590B-03L04.indb 48 2010-05-14 오후 3:41:50 Problema Anynet+ non funziona. Possibile soluzione

Desidero avviare Anynet+.

Controllare se si sta utilizzando un dispositivo Anynet+. Il sistema Anynet+ può essere utilizzato solo con dispositivi che supportano Anynet+. Collegare un solo ricevitore (Home Theatre). Controllare che il cavo di alimentazione di Anynet+ sia collegato correttamente. Controllare i collegamenti dei cavi Video/Audio/HDMI del dispositivo Anynet+. Verificare se Anynet+ (HDMI-CEC) è impostata su On nel menu di impostazione di Anynet+. Verificare che il telecomando del televisore sia in modalità TV. Verificare se il telecomando è esclusivo per il dispositivo Anynet+. In particolari condizioni, Anynet+ non funziona. (Ricerca canali, Media Play o Plug & Play (Impostazione iniziale) ecc.) Quando si collega o si rimuove il cavo HDMI eseguire una nuova ricerca dei dispositivi oppure spegnere e riaccendere il televisore. Controllare che la funzione Anynet+ o il dispositivo Anynet+ siano impostati su On. Controllare che il dispositivo Anynet+ sia collegato correttamente al televisore e che Anynet+ (HDMI-CEC) sia impostata su On nel menu di impostazione di Anynet+. Premere TOOLS per visualizzare il menu Anynet+, quindi selezionare il menu desiderato. Desidero uscire da Anynet+.

Selezionare Visualizza TV nel menu Anynet+. Premere SOURCE sul telecomando del televisore e selezionare un dispositivo non Anynet+. Premere P >/< e PRE-CH per cambiare la modalità TV. (Notare che il tasto dei canali funziona solo se non è collegato un dispositivo Anynet+ con sintonizzatore incorporato.) Sullo schermo viene visualizzato il messaggio “Connessione a un dispositivo Anynet+”.

Non è possibile utilizzare il telecomando durante la configurazione di Anynet+ o durante il passaggio a un’altra modalità di visualizzazione. Utilizzare il telecomando solo al termine dell’impostazione di Anynet+ o del passaggio alla nuova modalità di visualizzazione. Il dispositivo Anynet+ non funziona.

Non è possibile riprodurre contenuti mentre è in corso la funzione Plug & Play (Impostazione iniziale). Lo schermo del dispositivo esterno non appare.

Controllare se il dispositivo supporta le funzioni di Anynet+. Controllare se il cavo HDMI è collegato correttamente. Verificare se Anynet+ (HDMI-CEC) è impostata su On nel menu di impostazione di Anynet+. Cercare nuovamente dispositivi Anynet+. E’ possibile collegare un dispositivo Anynet+ solo tramite un cavo HDMI. Alcuni cavi HDMI potrebbero non supportare le funzioni Anynet+. In caso di chiusura anomala, a causa di uno scollegamento del cavo HDMI, del cavo di alimentazione oppure di una interruzione di corrente, ripetere la ricerca del dispositivo.

Il programma televisivo non può essere registrato.

Verificare se la porta dell’antenna sul dispositivo di registrazione è correttamente collegata. L’audio del televisore non viene riprodotto attraverso il ricevitore.

Collegare il televisore e il ricevitore mediante il cavo ottico. La funzione ARC attiva l’uscita digitale audio mediante la porta HDMI IN 2(ARC) e può funzionare solo quando il televisore è collegato a un ricevitore audio che supporti la funzione ARC. Italiano [UC7700]BN68-02590B-03L04.indb 49 04 Funzioni avanzate ¦¦ Risoluzione dei problemi con Anynet+

2010-05-14 오후 3:41:50 Funzioni avanzate Internet@TV ¦ Guida introduttiva di Internet@TV INTERNET @TV Raccomandato Internet@TV fornisce alcuni utili e interessanti contenuti e servizi direttamente dal web al televisore. Applicazioni personali Samsung Apps dal giorno 1/1 Impostaz. Login Segna come Preferito Ordina per R Ritorna ✎ NOTA

Configurare le impostazioni di rete prima di usare Internet@TV. Per maggiori informazioni vedere la sezione “Connessione di rete” (p. 30).

Le font di caratteri dei contenuti forniti dal provider non vengono visualizzate correttamente.

In base alle normative vigenti nel proprio paese, alcune applicazioni possono avere un servizio limitato o non supportato. Talvolta possono verificarsi tempi di risposta e/o interruzioni a causa delle condizioni della rete. In base alla regione, l’applicazione potrebbe essere supportata solo in lingua inglese. Questa funzione non è disponibile in alcune nazioni. Se si riscontrano problemi con una applicazione, contattare il fornitore del contenuto. In base alle circostanze correlate al fornitore dei contenuti, l’aggiornamento di una applicazione o l’applicazione stessa potrebbero essere discontinui. Visualizzazione a schermo Raccomandato Schermo TV: Visualizza il canale corrente. Informazioni: Visualizza avvisi, nuove applicazioni e pubblicità offerti da Samsung. Servizio applicazione: E’ possibile utilizzare vari servizi forniti da Samsung. Applicazioni personali dal giorno 1/1 Applicazioni scaricate: Visualizza le applicazioni scaricate tramite Samsung Apps. Samsung Apps Impostaz. Login Internet@TV Impostazioni: Modificare e configurare applicazioni e impostazioni Internet@TV. Segna come Preferito Ordina per R Ritorna Controlli: Rosso (Login): Accesso a Internet@TV. Verde (Segna come Preferito): Contrassegnare una Applicazione come preferita. Blu (Ordina per): Ordinare le applicazioni.

  • R Ritorna: Per tornare al menu precedente.

Applicazioni consigliate: Visualizza il servizio consigliato da Samsung. Non è possibile aggiungere o eliminare un servizio in questo elenco. I tasti colorati possono funzionare in modo diverso in base all’applicazione. Italiano [UC7700]BN68-02590B-03L04.indb 50 2010-05-14 오후 3:41:51 Per una applicazione dotata di più account, usare ◄ e ► per accedere ai vari account.

Login admin Account utente : Autoeseg Ticker (Off / On): Abilita/Disabilita l’esecuzione automatica del ticker all’accensione del televisore. L’applicazione Più chiaro fornisce informazioni utili attraverso notiziari, meteo e borse valori. E’ necessario scaricare l’applicazione Più chiaro su Internet@TV per utilizzare questa funzione. ✎✎ In base al paese, l’applicazione Più chiaro potrebbe offrire un servizio diverso o non essere supportata. Password : ✎✎Per utilizzare una applicazione in modo ancora più Servizio legato al canale (Off / On): Alcuni canali supportano le applicazioni come servizio dati internet, permettendo l’accesso al servizio Internet durante la visione del televisore. Disponibile solo se supportata dall’emittente. ✎✎Per istruzioni sulla creazione di un account, vedere Modificare la password per l’opzione Blocco servizio La password predefinita è “0-0-0-0.” Crea [0~9] Immetti PIN R Annulla coinvolgente, registrarsi e accedere al proprio account. Impostaz. →ID Internet@TV → Crea.

1. Premere il tasto rosso nella homepage di Internet@TV.

✎✎ Nel caso si sia dimenticata la password, premere i tasti del telecomando nella sequenza seguente per ripristinare la password predefinita su “0-00-0”: POWER (off) → MUTE → 8 → 2 → 4 → POWER (on).

2. Selezionare l’Account utente desiderato, quindi

premere ENTERE. ✎✎ Se si desidera creare un account, premere il tasto Rosso quindi creare l’account quando viene visualizzata la finestra OSD.

3. Digitare la Password.

E’ possibile utilizzare questo menu durante la creazione e l’eliminazione dell’account. E’ possibile controllare il proprio account e le informazioni relative all’account del sito del contenuto. L’account è valido solo per internet@TV. visualizzato l’Account utente. ¦¦ Configurazione di Internet@TV

Impostaz. Creare ID e configurare le impostazioni di Internet@TV in questa schermata. Evidenziare le impostazioni usando i tasti ▲ e ▼ quindi premere ENTERE. Impostaz.

  • Proprietà Reset: Ripristina Internet@TV alle impostazioni di fabbrica. ■■ ID Internet@TV ✎✎ Al termine del login, sullo schermo verrà
  • Servizio legato al canale : Off
  • Modificare la password per l’opzione Blocco servizio
  • Reset Crea: Crea un account e lo collega alle applicazioni del servizio desiderato. NOTA

xx E’ possibile creare un massimo di 10 account. xx Il numero massimo di caratteri è 8. Gestione –– Sito serviz: Registra le informazioni di login per i siti del servizio. –– Cambia password: Cambia la password dell’account. –– Elimina: Elimina l’account. ■■ Gestione servizio: Elimina e blocca le applicazioni installate per Internet@TV. R Ritorna Blocco: Blocca l’applicazione. L’accesso a una applicazione bloccata richiede una password.

Elimina: Elimina l’applicazione. ■■ Proprietà: Visualizza le informazioni di Internet@ TV. Usare l’opzione Controlla la velocità della connessione Internet per testare la connessione alla rete. Italiano [UC7700]BN68-02590B-03L04.indb 51

2010-05-14 오후 3:41:52 Funzioni avanzate ¦¦ Uso del servizio Internet@TV Uso di Samsung Apps per categoria Samsung Apps Samsung Apps consente di scaricare applicazioni da utilizzare su dispositivi Samsung TV/AV. Gli utenti possono godere di una varietà di contenuti quali video, musica, foto, giochi, informazioni utili e molto altro ancora utilizzando le applicazioni scaricate. Ulteriori applicazioni saranno disponibili in seguito. Samsung Apps Raccomand. Novità? Video Sport You Tube Più scaricate Più recenti YouTube TV store Test User002 Nome Gratuito Giochi Lifestyle Informazioni Altro Pag. person. Guida Login Vista miniature Ordina per R Ritorna ✎✎Usare i tasti colorati in Samsung Apps. Sono disponibili le seguenti categorie: yy Novità?: Visualizza le applicazioni registrate più di recente. yy Video: Visualizza vari media che trasmettono film, show televisivi e brevi filmati. yy Sport: Visualizza vari media sportivi che offrono informazioni sulle partite/sugli incontri, immagini e brevi filmati. yy Giochi: Visualizza vari giochi quali sudoku e scacchi. yy Lifestyle: Include vari servizi multimediali che offrono musica, strumenti per la gestione delle fotografie e social network come Facebook e Twitter. yy Informazioni: Include vari servizi informativi quali notiziari, quotazioni azionarie e previsioni meteo. yy Altro: Include altri servizi di varia natura. yy Pag. person.: Pag. person., è possibile avere informazioni dettagliate sulle applicazioni già installate, oppure visionare l’elenco dei contenuti scaricati e molto altro ancora. Consente inoltre di rimuovere o bloccare le applicazioni selezionate. yy Guida: In caso di domande su Internet@TV, controllare prima di tutto questa sezione. xx Rosso (Login) : Per accedere al servizio internet. xx B Verde (Vista miniature): Per cambiare la modalità di visualizzazione.

Blu (Ordina per): Per ordinare gli widget per Raccomand., Più scaricate, Più recenti o Nome. xx R Ritorna: Passa al menu precedente. Skype Skype ha creato un piccolo software che consente di comunicare con tutto il mondo in modo facile e divertente. Con Skype puoi salutare o condividere una risata con chiunque, ovunque. E se entrambi gli utenti sono su Skype, la chiamata è gratis. Comunicate con chiunque in tutto il mondo! Giovanni001 Credito Skype 2.02 EUR Benvenuto in Skype! Contatto Madre My Video Video Chiamata Padre sorella ✎✎Per ulteriori informazioni, scaricare il manuale utente di fratello Zio Figlio Skype dal sito “www.samsung.com.” Disconn. Stato in linea Agg. un contatto Fotoc disat R Ritorna [Informativa legale] A causa delle molteplici capacità dei prodotti in grado di fornire i servizi Samsung Internet@TV - Content Service, così come per le limitazioni nel contenuto disponibile, determinate caratteristiche, applicazioni e servizi potrebbero non essere disponibili su tutti i dispositivi o in tutte le aree geografiche. Alcune funzioni di Internet@TV potrebbero inoltre richiedere periferiche aggiuntive o tariffe d’iscrizione pagabili separatamente. Visitare il sito http://www.samsung.com per ulteriori informazioni su dispositivi specifici e disponibilità dei contenuti. Servizi e disponibilità dei contenuti attraverso Internet@TV sono soggetti a modifiche senza preavviso.

Italiano [UC7700]BN68-02590B-03L04.indb 52 2010-05-14 오후 3:41:53 Messag / Media / ScreenShare ¦¦ Informazioni su AllShare AllShare collega il televisore a telefoni cellulari e altri dispositivi compatibili mediante una rete. Sul televisore è possibile visualizzare le chiamate in arrivo, gli SMS e i promemoria impostati sul proprio cellulare. Inoltre, è possibile riprodurre contenuti multimediali compresi video, foto e musica memorizzati sul proprio cellulare o su altri dispositivi (per es il PC) e controllarli sul televisore mediante la rete. Inoltre, è possibile usare il televisore come monitor del cellulare durante la navigazione in una pagina web. Mostra un elenco di cellulari o dispositivi connessi configurati con questo televisore per l’uso delle funzioni Messag, Media o ScreenShare. ✎✎La funzione Media è disponibile in tutti i dispositivi mobili che supportano AllShare. ■■ Consent / Negato: Permette/blocca il collegamento del cellulare. ■■ Elimina: Elimina il cellulare dall’elenco. ✎✎ Questa funzione elimina solo il nome del cellulare dall’elenco. Se il dispositivo mobile eliminato viene acceso o tenta di collegarsi al televisore, potrebbe nuovamente comparire in elenco. ✎✎Per ulteriori informazioni visitare il sito “www.samsung. com” o chiamare il call center Samsung. I dispositivi mobili potrebbero necessitare di ulteriore software. Per maggiori informazioni, vedere la guida dell’utente di ogni prodotto. ¦¦ Impostazione di AllShare 04 Funzioni avanzate AllShare Uso della funzione Messag Utilizzando questa funzione, è possibile visualizzare chiamate in arrivo, SMS e programmi impostati sul cellulare nella finestra degli allarmi durante la visione del televisore. ✎✎NOTA xx Per disabilitare la finestra degli allarmi, impostare Messag su Off in Impostazione di AllShare. Impostazione ■■ Messag (On / Off): Abilita o disabilita la funzione messaggi (per chiamate in entrata, SMS e promemoria impostati sul proprio cellulare). ■■ Media (On / Off): Attiva o disattiva la funzione media. Quando la funzione media è On, riproduce video, foto e musica da un cellulare o altro dispositivo che supporti AllShare. ■■ ScreenShare (On / Off): Attiva o disattiva la funzione ScreenShare per l’uso di un cellulare come un telecomando. ■■ Nome TV: Imposta il nome del televisore in modo che sia possibile individuarlo rapidamente su un cellulare. ✎✎ Selezionando Input utente, è possibile digitare il nome del televisore mediante OSK (On Screen Keyboard). AllShare™ 3/7 Impostazione Message (Messag) : On Messag Media : On Media ScreenShare : On ScreenShare Nome TV : TV domestico xx Se è selezionato OK, o se OK non viene selezionato mentre il messaggio viene visualizzato tre volte, il messaggio verrà eliminato. Il messaggio non viene eliminato dal telefono cellulare. xx La finestra degli allarmi può essere visualizzata durante l’uso di alcune applicazioni quali Media Play e altre. Per visualizzare il contenuto di un messaggio, passare alla modalità di visione TV. xx Quando un messaggio di un cellulare sconosciuto viene visualizzato, selezionare il cellulare nel menu messaggi in AllShare quindi selezionare Negato per bloccare il telefono. Visualizzazione messaggi Se arriva un nuovo SMS mentre si guarda il televisore, viene visualizzato nella finestra degli allarmi. Cliccando sul tasto OK, verrà visualizzato il contenuto del messaggio. E’ possibile configurare la visualizzazione delle impostazioni degli SMS sul cellulare. Per le procedure, vedere il manuale del cellulare.

✎✎ Alcuni caratteri speciali possono essere visualizzati come caratteri vuoti o danneggiati. E Seleziona R Ritorna e Esci Setup R Return Italiano [UC7700]BN68-02590B-03L04.indb 53

2010-05-14 오후 3:41:53 Funzioni avanzate Allarme chiamata in arrivo Uso della funzione ScreenShare Se arriva una chiamata mentre si guarda il televisore, viene visualizzata la finestra degli allarmi. Screenshare visualizza la stessa pagina web del cellulare. Mediante la funzione ScreenShare, è possibile aprire i vari contenuti memorizzati nel cellulare. Ad esempio, l’immagine sotto visualizza una pagina di accesso per i contenuti provenienti da un cellulare. E’ possibile leggere i vari file contenuti nel cellulare e visualizzare la rubrica e il calendario sul televisore. Inoltre, dalla rubrica è possibile effettuare una chiamata o inviare un SMS. Allarme programma Mentre si guarda il televisore, la finestra degli allarmi appare per visualizzare il programma registrato. E’ possibile configurare la visualizzazione dei contenuti in programma sul cellulare. Per le procedure, vedere il manuale del cellulare.

✎✎ Alcuni caratteri speciali possono essere visualizzati come caratteri vuoti o danneggiati. Uso della funzione Media Viene visualizzata una finestra degli allarmi per informare l’utente che i contenuti multimediali (video, foto, musica) inviati dal cellulare verranno visualizzati sul televisore. I contenuti vengono riprodotti automaticamente 3 secondi dopo la visualizzazione della finestra degli allarmi. Premendo RETURN o EXIT quando appare la finestra degli allarmi, i contenuti multimediali non vengono visualizzati ✎✎NOTA ✎✎NOTA xx Sui cellulari Samsung, è necessario installare la funzione ScreenShare ed eseguire l’applicazione di supporto; a questo punto è possibile utilizzare la funzione ScreenShare. xx I tasti disponibili sul telecomando possono variare per ogni pagina. xx Doc Viewer consente di leggere file in formato doc, senza poterli modificare. xx La schermata visualizzata può differire in base al dispositivo collegato. My Mobile xx Se la funzione Media viene eseguita per la prima volta, viene visualizzata una finestra di avvertenza. Premendo ENTERE per selezionare Consent, sarà possibile utilizzare la funzione Media sul dispositivo selezionato. Contacts “Disp sconosciuto 0” sta chiedendo l’autorizzazione a riprodurre il file multimediale. Per consentire la riproduzione del file multimediale nel proprio dispositivo, premere “Consent”, altrimenti premere “Nega”. È inoltre possibile modificare l’impostazione (o resettare) questa funzione in “AllShare Impostazione”. Avvertenza: il dispositivo è connesso a una rete non protetta o sconosciuta; potrebbero essere riprodotti contenuti indesiderati o inappropriati. Se non si è certi dell’identità della rete o dell’idoneità dei contenuti, si raccomanda di non “Consent” la richiesta di riproduzione. Consent Nega xx Per disattivare la trasmissione dei contenuti multimediali dal telefono cellulare, impostare Media su Off nel menu impostazione di AllShare. xx I contenuti possono non essere riprodotti sul Calender Doc viewer E Seleziona Ritorna Uso del cellulare Samsung come telecomando TV Prima di utilizzare questa funzione è necessario effettuare il collegamento a un cellulare Samsung in grado di supportare le funzioni ScreenShare. Durante il funzionamento del televisore con il cellulare, solo i tasti POWER, Y, P</> e MUTE sono supportati. ✎✎Anche premendo un tasto di controllo (per cambiare canale o regolare il volume) sul cellulare, il valore aumenterà o diminuirà solo di una unità. televisore a seconda della risoluzione e del formato. xx I tasti ENTERE e ◄ / ► potrebbero non funzionare in base al tipo di contenuto multimediale riprodotto. xx Mediante il dispositivo mobile è possibile controllare la riproduzione del contenuto multimediale. Per maggiori informazioni, vedere la guida dell’utente di ogni prodotto. xx Per riprodurre contenuti multimediali dal proprio PC, selezionare l’icona del PC nella schermata principale di AllShare. Il menu Media Play del televisore cambia automaticamente. Per maggiori informazioni vedere “Media Play” (p. 37).

Italiano [UC7700]BN68-02590B-03L04.indb 54 2010-05-14 오후 3:41:54 Altre informazioni La pagina dell’indice del servizio Teletext contiene informazioni sull’uso del servizio. Per visualizzare correttamente le informazioni del servizio Teletext, è necessario che la ricezione del canale sia stabile. In caso contrario, alcune informazioni potrebbero essere perse o alcune pagine potrebbero non essere visualizzate correttamente. ✎✎E’ possibile cambiare le pagine Teletext premendo i tasti numerici sul telecomando. 1 / (Teletext on/mix/off): Attiva la modalità Teletext per il canale corrente. Premere di nuovo il tasto per sovrapporre le informazioni del servizio Teletext alla trasmissione corrente. Premerlo di nuovo per uscire dalla modalità Teletext. 2 8 (memorizza): Memorizza le pagine del Teletext. 3 4 (dimensioni): Visualizza in dimensione doppia le informazioni Teletext sulla metà superiore dello schermo. Premere di nuovo il tasto per spostare il testo nella metà inferiore dello schermo. Per tornare alla modalità di visualizzazione normale, premere di nuovo il tasto. 4 9 (mantieni): Mantiene la schermata della pagina corrente nel caso siano disponibili più pagine secondarie che scorrono automaticamente. Premerlo nuovamente per riprendere la visualizzazione. 5 Tasti colorati (rosso/verde/ giallo/blu): Se una emittente usa il sistema FASTEXT, i vari argomenti trattati in una pagina Teletext vengono codificati in base ai colori e possono essere selezionati premendo i tasti colorati corrispondenti. Premere il tasto colorato corrispondente all’argomento scelto. Viene visualizzata una nuova pagina con codice colore. E’ possibile selezionare le varie voci nello stesso modo. Per visualizzare la pagina successiva o precedente, premere il tasto colorato corrispondente. 6 0 (modalità): Seleziona la modalità Teletext (LIST/FLOF). Se si preme questo tasto in modalità LIST, commuta la modalità in Salvataggio elenco. In modalità Salvataggio elenco, è possibile memorizzare la pagina Teletext all’interno di un elenco utilizzando il tasto 8 (memorizza). POWER

1 (pagina secondaria): Visualizza la pagina secondaria disponibile. 2 (pagina su): Visualizza la pagina successiva del Teletext. 3 (pagina giù): Visualizza la pagina precedente del Teletext. 6 (indice): In modalità Teletext, premere questo tasto in qualsiasi momento per visualizzare la pagina dell’indice (contenuti). 5 (mostra): Consente di visualizzare eventuale testo nascosto (le risposte ai quiz, per esempio). Per tornare alla modalità di visualizzazione normale, premere di nuovo il tasto. 7 (annulla): Riduce lo schermo Teletext per sovrapporlo alla trasmissione corrente.

Contenuti Numero della pagina selezionata. Identità della stazione emittente. Numero della pagina corrente o stato della ricerca. Data e ora. Testo. Informazioni sullo stato. Informazioni FASTEXT. Italiano [UC7700]BN68-02590B-03L04.indb 55

05 Altre informazioni Funzione Teletext dei canali analogici

2010-05-14 오후 3:41:54 Altre informazioni Assemblaggio dei cavi Tipo piedistallo

Tipo montaggio a parete ✎✎Non tirare eccessivamente i cavi durante la loro disposizione. In caso contrario, i terminali di connessione del prodotto potrebbero subire danni.

Italiano [UC7700]BN68-02590B-03L04.indb 56 2010-05-14 오후 3:41:55 05 Altre informazioni Installazione del supporto a parete Montaggio della staffa preforata Durante l’installazione del televisore a parete, fissare la staffa preforata come mostrato di seguito. Staffa preforata Preparazione per l’installazione di un supporto a parete Esempio A. Installazione del supporto a parete SAMSUNG Esempio B. Installazione di un supporto a parete di altra marca.

Per installare un supporto a parete, utilizzare un anello di ritenuta 1.. Installazione del Kit di montaggio a parete Il kit di montaggio a parete (venduto separatamente) consente di montare il televisore alla parete. Per informazioni dettagliate sull’installazione a parete, consultare le istruzioni fornite insieme al kit. Rivolgersi a un tecnico per il montaggio della staffa a parete. Samsung Electronics non può essere ritenuta responsabile per qualsiasi danno al prodotto o infortuni causati da una installazione autonoma del televisore da parte dell’utente. Italiano [UC7700]BN68-02590B-03L04.indb 57

2010-05-14 오후 3:41:56 Altre informazioni Specifiche del kit di montaggio a parete (VESA)

Il kit di montaggio a parete non è fornito in dotazione ma è venduto separatamente. Installare il supporto su una parete solida perpendicolare al pavimento. Se il supporto deve essere fissato ad altri tipi di materiale, consultare il rivenditore di zona. Una installazione a soffitto o su pareti inclinate può provocare la caduta dell’unità e lesioni personali. ✎✎NOTA xx Nella tabella sotto riportata vengono indicate le dimensioni standard dei kit di montaggio a parete. xx All’acquisto di un kit di montaggio a parete, verrà fornita la guida all’installazione e tutte le parti necessarie per il montaggio. xx Non utilizzare viti non conformi agli standard VESA. xx Non utilizzare viti più lunghe delle dimensioni standard o non conformi alle specifiche dello standard VESA. Viti troppo lunghe possono danneggiare i componenti interni del televisore. xx Per montaggi a parete non conformi alle specifiche delle viti standard VESA, la lunghezza delle viti potrebbe differire in base alle loro specifiche. xx Non serrare le viti con eccessiva forza poiché ciò potrebbe danneggiare il prodotto o causarne la caduta provocando lesioni personali. Samsung non può essere ritenuta responsabile per tali incidenti. xx Samsung non può essere ritenuta responsabile per eventuali danni o lesioni personali qualora vengano usati kit di montaggio a parete non conformi allo standard VESA o l’utente non segua le istruzioni di installazione fornite. xx Non montare il televisore con una inclinazione superiore ai 15 gradi. Famiglia di prodotti TV LED [Ultra sottile] pollici Spec. VESA (A * B) Vite standard 19~22 75 X 75

Non installare il Kit di montaggio a parete mentre il televisore è acceso. In caso contrario, potrebbero verificarsi incidenti con lesioni personali causate da scosse elettriche

Italiano [UC7700]BN68-02590B-03L04.indb 58 2010-05-14 오후 3:41:57 Il blocco Kensington non è fornito da Samsung. Si tratta di un dispositivo che assicura fisicamente il sistema qualora utilizzato in luogo pubblico. L’aspetto del dispositivo e il metodo di blocco possono variare in base alla marca del prodotto. Per informazioni sull’uso, consultare il manuale fornito insieme al blocco Kensington. Pannello posteriore del televisore

✎✎Trovare l’icona “K” sul retro del televisore. L’alloggiamento del blocco Kensington si trova di fianco all’icona “K”. Per bloccare il prodotto seguire questi passaggi: <Opzionale>

1. Avvolgere il blocco Kensington intorno a un oggetto fisso di grandi dimensioni, come un tavolo o una sedia.

2. Far scorrere il terminale con il blocco attraverso il terminale ad anello del blocco Kensington.

3. Inserire il dispositivo di blocco nello slot Kensington sul prodotto (1).

05 Altre informazioni Blocco antifurto Kensington

4. Bloccare il dispositivo.

✎✎Queste istruzioni sono da ritenersi generiche. Per istruzioni più dettagliate, consultare il manuale dell’utente fornito insieme al dispositivo di blocco. ✎✎Il dispositivo di blocco è in vendita separatamente. ✎✎La posizione del blocco Kensington può variare a seconda del modello di televisore. Fissaggio del televisore alla parete Attenzione: Tirare, spingere o arrampicarsi sul televisore sono azioni che possono provocarne la caduta. Si raccomanda di non far giocare i bambini con il televisore poiché potrebbero appendersi ad esso destabilizzandolo; se ciò dovesse verificarsi, il televisore potrebbe cadere provocando lesioni personali gravi e perfino mortali. Seguire tutte le precauzioni di sicurezza descritte della documentazione allegata. Per una maggiore stabilità e sicurezza del prodotto, installare il dispositivo anticaduta come segue. ¦¦ Per evitare una eventuale caduta del televisore

1. Avvitare saldamente i ganci alla parete. Verificare che le viti di fissaggio

siano ben serrate. A seconda del tipo di parete, potrebbe essere necessario utilizzare anche un fisher. Poiché i ganci, le viti e il cavo di sicurezza non sono forniti in dotazione, è necessario acquistare tali materiali separatamente.

2. Rimuovere le viti dal centro del pannello posteriore del televisore, inserirle

nei ganci, quindi avvitarle nuovamente al televisore. Le viti potrebbero non essere fornite insieme al prodotto. In questo caso, acquistare le viti separatamente in base alle specifiche qui riportate. Specifiche delle viti xx Per i modelli da 19 ~ 22 pollici: M4 xx Per i modelli da 23 ~ 65 pollici: M8

3. Collegare i ganci fissati al televisore a quelli fissati alla parete utilizzando un

cavo resistente, quindi legarlo strettamente. NOTA xx Installare il televisore il più possibile vicino alla parete in modo che non possa cadere all’indietro. xx Collegare il cavo in modo che i ganci fissati alla parete si trovino allineati o leggermente più in basso di quelli fissati al televisore. xx Slegare il cavo prima di spostare il televisore.

4. Accertarsi che tutte le connessioni siano adeguatamente fissate.

Controllare periodicamente le connessioni per verificarne l’eventuale usura o rottura. Per qualsiasi dubbio relativo alla sicurezza delle connessioni effettuate, contattare un installatore specializzato.

2010-05-14 오후 3:41:57 Altre informazioni Risoluzione dei problemi In caso di domande sul funzionamento del televisore, consultare per prima cosa l’elenco sottostante. Se nessuno dei consigli sottoriportati si dimostra utile per risolvere il problema, visitare il sito “www.samsung.com”, quindi fare clic sulla voce Assistenza, oppure chiamare il numero del Call Center riportato in ultima pagina. Problemi Soluzioni e spiegazioni Qualità dell’immagine Per prima cosa, eseguire il Test immagine per confermare che il televisore sia in grado di visualizzare correttamente l’immagine di prova. (accedere a MENU - Supporto - Auto diagnosi - Test immagine) (p. 28) Se l’immagine di prova viene visualizzata correttamente, la scarsa qualità dell’immagine potrebbe essere causata dalla sorgente o dal segnale. La qualità dell’immagine non sembra all’altezza di quella vista in negozio.

L’immagine è distorta: sono visibili blocchi grandi, blocchi piccoli, punti e pixel

Se si possiede un ricevitore via cavo/set top box analogico passare ad uno digitale. Usare i cavi HDMI o Component per ottenere una qualità delle immagini HD (high definition). Abbonato servizi cavo/satellite: Provare le stazioni HD dal channel line up. Connessione antenna: Provare le stazioni HD dopo avere eseguito il programma automatico. ✎✎ Molti canali HD trasmettono contenuti SD (Standard Definition) aggiornati. Regolare la risoluzione di uscita video del ricevitore via cavo/satellitare su 1080i o 720p. Guardare il televisore alla distanza minima raccomandata, basata sulla dimensione dello schermo e la definizione del segnale visualizzato. La compressione di contenuti video può causare la distorsione dell’immagine specialmente nel caso di immagini caratterizzate da movimenti rapidi, come per esempio eventi sportivi o film d’azione. Un segnale debole o di scarsa qualità può causare la distorsione dell’immagine. Questo non è un problema del televisore. L’uso di telefoni cellulari vicino al televisore (fino a 1 m) può causare disturbi nella trasmissione di immagini in modalità analogica o digitale. I colori sono errati o mancano.

Se si sta utilizzando una connessione component, verificare che i cavi component siano collegati alla porte appropriate. Collegamenti errati o instabili possono causare problemi di colori o schermate vuote. Colori o luminosità deboli.

Regolare le opzioni Immagine nel menu TV. (accedere a Immagine / Colore / Luminosità / Nitidezza) (p. 17) Regolare l’opzione Risp. energia nel menu TV. (accedere a MENU - Immagine - Soluzione Eco Risp. energia) (p. 17) Provare a reimpostare l’immagine visualizzandola con le impostazioni predefinite. (accedere a MENU Immagine - Reset immagine) (p. 23)

Si nota una linea punteggiata sul bordo dello schermo.

Se la dimensione dell’immagine è impostata su Adatta a schermo, modificarla selezionando 16:9. (p. 19) Cambiare la risoluzione del ricevitore via cavo/satellitare. L’immagine è in bianco e nero.

Se si sta usando un ingresso composito AV, collegare il cavo video (giallo) alla porta verde dell’ingresso component 1 del televisore. Nel cambiare i canali, l’immagine viene fermata, distorta o ritardata.

Se il prodotto è connesso a un ricevitore via cavo, reimpostare il ricevitore. Riconnettere il cavo CA e attendere fino al riavvio del ricevitore. L’operazione potrebbe richiedere fino a 20 minuti. Impostare la risoluzione di uscita del ricevitore via cavo su 1080i o 720p.

Qualità audio Per prima cosa, eseguire il Test audio per confermare che l’impianto audio del televisore funzioni in modo appropriato. (accedere a MENU - Supporto - Auto diagnosi - Test audio) (p. 28) Se l’audio viene riprodotto correttamente, il problema potrebbe essere causato dalla sorgente o dal segnale. L’audio non viene riprodotto oppure il livello del volume risulta troppo basso anche se impostato al valore massimo.

Verificare il volume del dispositivo esterno collegato al televisore. L’immagine è buona ma l’audio è escluso.

Impostare l’opzione Seleziona altoparlante su Altoparlante TV nel menu Suono. (p. 24) Se si sta usando un dispositivo esterno, accertarsi che i cavi audio siano collegati alle porte di ingresso audio del televisore. Se si sta usando un dispositivo esterno, verificare l’opzione di uscita audio del dispositivo (per es. potrebbe risultare necessario cambiare l’opzione audio del ricevitore via cavo su HDMI in caso di una HDMI collegata al televisore). Se si usa un cavo DVI-HDMI, è necessario utilizzare un cavo audio separato. Se il televisore è dotato di una porta per le cuffie, verificare che non vi sia un dispositivo ad essa collegato.

Gli altoparlanti emettono un rumore anomalo.

Verificare le connessioni dei cavi. Verificare che i cavi video non siano connessi a un ingresso audio. Per le connessioni Antenna/Cavo, verificare l’intensità del segnale. Un segnale basso può causare la distorsione dell’audio. Italiano [UC7700]BN68-02590B-03L04.indb 60 2010-05-14 오후 3:41:58 Soluzioni e spiegazioni Nessuna immagine, video spento Il televisore non si accende.

Il televisore si spegne automaticamente.

Nessuna immagine/video.

Verificare che la spina del cavo di alimentazione CA sia correttamente collegata a una presa a muro e il televisore sia acceso. Accertarsi che la presa a muro sia funzionante. Provare a premere il tasto POWER sul televisore per verificare che il problema non sia il telecomando. Se il televisore si accende, vedere la sezione “Il telecomando non funziona” sotto riportata. Verificare che l’opzione Timer stand-by sia impostata su Off nel menu Impostazione. (p. 25) Se il televisore è collegato al PC, verificare le impostazioni di alimentazione del PC. Verificare che la spina del cavo di alimentazione CA sia correttamente collegata a una presa a muro e il televisore sia acceso. Durante la visione del televisore mediante connessione via antenna o cavo, l’apparecchio si spegnerà dopo 10 ~ 15 minuti di mancanza di segnale. 05 Altre informazioni Problemi Verificare le connessioni dei cavi (scollegare e ricollegare tutti i cavi del televisore e dei dispositivi esterni). Impostare le uscite video dei dispositivi esterni (ricevitore via cavo/STB, lettore DVD, Blu-ray, ecc) in modo che le connessioni corrispondano agli ingressi del televisore. Ad esempio, se l’uscita di un dispositivo esterno è HDMI, deve essere collegata a un ingresso HDMI sul televisore. Verificare che i dispositivi collegati siano accesi. Selezionare la corretta sorgente del televisore premendo il tasto SOURCE sul telecomando TV. Connessione RF (Cavo/Antenna) Il televisore non riceve tutti i canali.

L’immagine è distorta: sono visibili blocchi grandi, blocchi piccoli, punti e pixel

Verificare che il cavo dell’antenna sia correttamente collegato. Provare a impostare Plug & Play (Impostazione iniziale) per aggiungere i canali disponibili all’elenco canali. Accedere a MENU - Impostazione - Plug & Play (Impostazione iniziale) e attendere la memorizzazione di tutti i canali disponibili (p. 7). Verificare che l’antenna sia posizionata correttamente. La compressione di contenuti video può causare la distorsione dell’immagine specialmente nel caso di immagini caratterizzate da movimenti rapidi, come per esempio eventi sportivi o film d’azione. Un segnale basso può causare la distorsione dell’immagine. Questo non è un problema del televisore. Connessione PC Viene visualizzato il messaggio “Modo non supportato”.

Impostare la risoluzione di uscita e la frequenza del PC in modo che corrispondano alle risoluzioni supportate dal televisore. (p. 29) “PC” viene sempre riportato nell’elenco delle sorgenti anche quando non risulta collegato alcun PC.

E’ normale; nell’elenco sorgenti, “PC” risulta sempre evidenziato anche quando non è collegato alcun PC. Il video è buono ma l’audio è escluso.

Se si sta utilizzando una connessione HDMI, verificare le impostazioni di uscita audio del PC.

Per la rete wireless, è necessario utilizzare il dongle USB wireless di Samsung. Verificare che la Connessione di rete sia impostata su Wireless (p. 32). Verificare che il televisore sia collegato a un router IP wireless.

Verificare che sia collegato un dispositivo USB. Verificare che il canale selezionato sia un canale digitale dal quale sia possibile registrare. In caso di segnale debole o mancante, la funzione di registrazione verrà automaticamente chiusa. Il televisore non avvierà la registrazione se il dispositivo USB non ha sufficiente memoria libera. Verificare questa condizione. Mod. TimeShift non funziona.

Verificare che sia collegato un dispositivo USB. I canali radio e le trasmissioni analogiche non sono supportati. I canali di trasmissione dati non sono supportati. In caso di segnale debole o mancante, la funzione Mod. TimeShift verrà automaticamente chiusa. La funzione Mod. TimeShift non verrà eseguita se il dispositivo USB non dispone di memoria sufficiente. Un messaggio indica un errore nell’esecuzione del test delle prestazioni, e le funzioni di registrazione e Mod. TimeShift non sono selezionabili.

Questi problemi possono verificarsi se si usa un dispositivo USB a bassa capacità che non supporta la registrazione. Si consiglia l’uso di un HDD USB.

2010-05-14 오후 3:41:58 Altre informazioni Problemi Soluzioni e spiegazioni Una registrazione programmata non si è avviata. La funzione di registrazione programmata non è disponibile per determinate operazioni (formattazione, test prestazioni, controllo errori, cancellazione) che accedono al file system di un dispositivo USB.

  • In mancanza di un dispositivo USB collegato, il televisore non effettuerà la registrazione programmata.
  • Il televisore non avvierà la registrazione se il dispositivo USB non ha sufficiente memoria libera.
  • Se si effettua la registrazione da un canale bloccato mediante la funzione Blocco Canale, per riprodurre il contenuto registrato verrà richiesta immissione del PIN. Nonostante il collegamento di diversi dispositivi di registrazione, il televisore interrompe la registrazione.

Se sono collegati più dispositivi di registrazione ma il dispositivo impostato come Dispos registr. Predefin non ha memoria sufficiente, la registrazione verrà interrotta. Attempt recording again. Il dispositivo che dispone di una maggiore quantità di memoria libera verrà automaticamente impostato come Dispos registr. Predefin e il televisore riprenderà la registrazione.

I canali HD riporteranno barre scure verticali su entrambi i lati dello schermo durante la visualizzazione di contenuti SD (4:3). Quando vengono trasmessi film con un rapporto d’immagine diverso da quello del televisore, appaiono barre nere sui lati superiore e inferiore dello schermo. Regolare la dimensione dell’immagine sul dispositivo esterno o sul televisore per visualizzare l’immagine a pieno schermo. Altri L’immagine non rimane visualizzata a pieno schermo.

Il telecomando non funziona.

Sostituire le pile del telecomando prestando attenzione a rispettare le polarità (+/–). Pulire la finestra di trasmissione del sensore sul telecomando. Puntare il telecomando direttamente verso il televisore a una distanza di 1,5~2 metri. Il telecomando del ricevitore via cavo/ satellitare non riesce ad accendere o spegnere il televisore o a regolare il volume.

Programmare il telecomando del ricevitore via cavo/satellitare in modo che possa controllare le funzioni del televisore. Consultare il manuale dell’utente del ricevitore via cavo/satellitare per il codice TV SAMSUNG. Viene visualizzato il messaggio “Modo non supportato”.

Verificare la risoluzione del televisore supportata e regolare di conseguenza la risoluzione di uscita del dispositivo esterno. Vedere le impostazioni della risoluzione a pagina 29 di questo manuale. Si avverte un odore di plastica provenire dal televisore.

Ciò è normale e l’odore svanirà nel corso del tempo. Le Informazioni sul segnale del televisore non sono disponibili nel menu Test auto diagnosi.

Questa funzione è disponibile solo con canali digitali e connessione antenna / RF/Coax. (p. 28) Il televisore è inclinato su un lato.

Rimuovere il piedistallo dal televisore quindi rimontarlo. Si riscontrano difficoltà nel rimontare il piedistallo.

Verificare che il televisore sia posizionato su una superficie piana. Se non si riesce a svitare le viti fissate al televisore, utilizzare un cacciavite magnetico. Il menu dei canali è in colore grigio. (non disponibile)

Il menu Canale è disponibile solo se è selezionato il televisore come sorgente. Le impostazioni andranno perse dopo 30 minuti o a ogni spegnimento del televisore.

Se il televisore è in modalità Demo Negozio, ogni 30 minuti verranno azzerate le impostazioni audio e immagine. Commutare la modalità Demo Negozio in Uso dom. secondo la procedura Plug & Play (Impostazione iniziale). Premere il tasto SOURCE per selezionare la modalità TV, quindi selezionare MENU

  • Impostazione → Plug & Play (Impostazione iniziale) → ENTERE (p. 7). Perdita intermittente di segnale audio o video.

Verificare le connessioni e ricollegare i cavi. La perdita del segnale audio o video può essere causata dall’uso di cavi eccessivamente rigidi o spessi. Verificare che i cavi siano sufficientemente flessibili da consentire un uso prolungato nel tempo. In caso di montaggio a parete, si consiglia di utilizzare cavi con connettori da 90°. Osservando da vicino il bordo della cornice del televisore si notano delle piccole particelle.

Ciò non costituisce un difetto ma fa parte del design del prodotto. Il menu PIP non è disponibile.

La funzione PIP è disponibile solo quando il segnale proviene da una sorgente HDMI, PC o component (p. 27). Sullo schermo compare Il messaggio “Segnale criptato” o “Segnale debole/Nessun segnale”.

Se si sta utilizzando un modulo CAM CARD (CI/CI+), verificare che sia installato nell’alloggiamento common interface. Se il problema persiste, estrarre il modulo CAM CARD dal televisore e reinserirlo. E’ stato spento il televisore 45 minuti fa, e il televisore si è riacceso.

Ciò è normale. Il televisore è dotato della funzione OTA (Over The Aerial) per eseguire automaticamente la funzione di aggiornamento del firmware scaricato durante la visione del televisore. Vi sono ricorrenti problemi di immagine/suoni.

Verificare e modificare il segnale/la sorgente. E’ possibile che si verifichi una reazione tra la gomma della base del piedistallo e la superficie di alcuni mobili.

Al fine di evitare tale situazione, montare piedini di feltro su qualunque superficie del televisore possa entrare in contatto con il mobile.

✎✎Lo schermo LED TFT utilizza un pannello composto da sotto pixel la cui produzione richiede una speciale tecnologia. Tuttavia, sullo schermo alcuni pixel potrebbero risultare più luminosi o più scuri. Questo fenomeno non ha alcun impatto sulle prestazioni del prodotto.

2010-05-14 오후 3:41:59 Altre informazioni Specifiche Pannello nativo 1920 x 1080 Caratteristiche ambientali Temperatura di esercizio Umidità di esercizio Temperatura di stoccaggio Umidità di stoccaggio Da 10° C a 40° C (Da 50 °F a 104 °F) Da 10% a 80%, senza condensa Da -20° C a 45° C (Da -4 °F a 113 °F) Da 5% a 95%, senza condensa Sistema TV Sistema colore/video Analogico: B/G, D/K, L, I (in base alla nazione selezionata) Digitale: DVB-T/DVB-C/DVB-S Analogico: PAL, SECAM, NTSC-4.43, NTSC-3.58, PAL60 Digitale: MPEG-2 MP@ML, MPEG-4, H.264/AVC MP@L3, MP@L4.0, HP@L4.0 Sistema audio: BG. OK NICAM. MPEGl HDMI IN 1 ~ 4 Video: 1080 24p, 1080p, 1080i, 720p, 576p, 576i, 480p, 480i Audio: 2Ch Linear PCM 32/44.1/48kHz, 16/20/24bits. Ingresso audio analogico (solo HDMI IN1) Ingresso PC (solo HDMI IN1) Piedistallo ruotabile (Sinistra / Destra) Nome modello -20˚ ~ 20˚ UE40C7700 UE46C7700 UE55C7700 Dimensione schermo (Diagonale) 40 poll. 46 poll. 55 poll. Audio (Uscita) 2 x 10W 2 x 10W 2 x 15W 957,4 X 26,5 X 578,7 mm 957,4 X 267,7 X 648,4 mm 1092,3 x 26,5 x 653,2 mm 1092,3 x 302,9 x 724,3 mm 1283,4 x 26,5 x 762,3 mm 1283,4 x 302,2 x 833,4 mm 13,2 kg 15,4 kg 16,8 kg 19,1 kg 22,2 kg 24,5 kg Dimensioni (Lar x Pro x Alt) Corpo Con piedistallo Peso Senza piedistallo Con piedistallo ✎✎Design e specifiche sono soggetti a modifiche senza preavviso. ✎✎Per l’alimentazione elettrica e il consumo di corrente, consultare l’etichetta apposta al prodotto.

Aggiornamento software AllShare Altoparlante esterno Altoparlante TV Amplificazione Antenna Anynet+ AUDIO OUT Auto diagnosi

Batterie Bilan bianco Bilanciamento L/R Blocco

Caldo Cambia PIN Collegamento a un dispositivo audio Collegamento a un PC Component Connessione di rete Contr. dinamico Cuffie

Elenco sorgenti EPG (Electronic Programme Guide) Equalizzatore

Favourites Channel Fermacavi Formati video Formato immagine Foto Frequenza

Impostazione rete Incarnato Indicatore di alimentazione Informazioni sul segnale Internet@TV

Media Play Melodia Menu Canale Modalità Film Modalità Ripeti Modalità Solo RGB Modalità Standby Modifica dei canali Modifica Nome Musica Musica di sottofondo

Navigazione Nitidezza

Licenza Lingua Luminosità Registrazione Regolazione auto Ricevitore Risoluzione dei problemi Risoluzione ottimale Risparmio energia Ruota

Seleziona altoparlante Seleziona tutto Sensore Eco Simbolo Sintonia fine Slide Show Sottotitoli Spazio di installazione Specifiche Staffa preforata Strumenti Supporto a parete

Tasto ON/OFF Telecomando Timer Timer stand-by Titolo Tonalità nero Toni colore Trasparenza dei menu

Unità USB 28, 37 Usare Vis. canali Uso dei Canali Preferiti Uso di Vista programmazione