REASON 5 - Logiciel de production musicale PROPELLERHEAD - Notice d'utilisation et mode d'emploi gratuit
Retrouvez gratuitement la notice de l'appareil REASON 5 PROPELLERHEAD au format PDF.
| Type de produit | Station de travail audio numérique (DAW) |
| Version | Reason 5 |
| Système d'exploitation | Windows et macOS |
| Compatibilité | VST, ReWire, et autres formats de plug-ins |
| Fonctions principales | Création musicale, enregistrement audio, édition MIDI, mixage |
| Instruments virtuels inclus | Plus de 50 instruments, y compris des synthétiseurs et des échantillonneurs |
| Effets audio | Plus de 30 effets audio, y compris réverbération, compression, et égalisation |
| Interface utilisateur | Graphique, intuitive avec un environnement de rack virtuel |
| Alimentation électrique | Logiciel, nécessite un ordinateur pour fonctionner |
| Maintenance et mise à jour | Mises à jour disponibles via le site officiel de Propellerhead |
| Support technique | Documentation en ligne et forum d'utilisateurs |
| Informations générales | Idéal pour les producteurs de musique, les compositeurs et les ingénieurs du son |
FOIRE AUX QUESTIONS - REASON 5 PROPELLERHEAD
Questions des utilisateurs sur REASON 5 PROPELLERHEAD
0 question sur cet appareil. Repondez a celles que vous connaissez ou posez la votre.
Poser une nouvelle question sur cet appareil
Téléchargez la notice de votre Logiciel de production musicale au format PDF gratuitement ! Retrouvez votre notice REASON 5 - PROPELLERHEAD et reprennez votre appareil électronique en main. Sur cette page sont publiés tous les documents nécessaires à l'utilisation de votre appareil REASON 5 de la marque PROPELLERHEAD.
MODE D'EMPLOI REASON 5 PROPELLERHEAD
Le contenu de ce document peut être modifié sans préavis, sans que Propellerhead Software AB puisse en être tenu pour responsable. Le logiciel déscrit ici est soumis à un accord de licence et ne peut être copié sur aucun support non autorisé. Aucun extrait de cette publication ne peut être copié, reproduit, diffusé ou enregistré, pour quelques motifs que ce soit, sans l'autorisation écrite préalable de Propellerhead Software AB.
©2010 Propellerhead Software et ses concédants de licence. Toutes les specifications peuvent être modifiées sans avis préalable. Reason et Record sont des marques déposées de Propellerhead Software. Tous les logos et noms de produits sont des marques déposées appartenant à leurs propriétaires respectifs et sont protégés. Tous droits réservés.
Copyright pour Adobe® Flash® Player :
Adobe® Flash® Player. Copyright © 1998 - 2010. Adobe Systems Incorporated. Tous droits réservés. Brevets en instance aux États-Unis et dans d'autres pays. Adobe et Flash sont des marques ou marques déposées aux États-Unis et/ou dans d'autres pays.

REASON
Table des matières
Introduction 21
Bienvenue! 22
À propos de ce chapitre 22
À propos de ce manuel 22
À propos des différentes versions de Reason 22
Conventions 22
Opérations et concepts fondamentaux 25
À propos de ce chapitre 26
Zones, fenêtes et navigation de base 26
Aperçu de la fenêtre du morceau 26
Le Rack 27
Le séquenceur 28
Le Panneau de Transport 29
Le ReGroove Mixer 29
Utilisation de plusieurs fenêtres de morceaux Reason 29
La fenêtre Outils 30
La fenêtre Touches de piano à l'écran 31
Techniques de fenêtre générales 32
Redimensionnement 32
Défilament 33
Zoom dans le séquenceur 34
Défilément et zoom avec une souris à molette 35
Édition de paramètres 36
Boutons rotatifs 36
Faders et curseurs 36
Boutons 37
Boutons Plier/Déplier 37
Seleuteurs multi-modes 38
Contrôles numériques 38
Contrôles alphanumerices 39
Affichages de segments numériques 39
Bulles d'aide 41
Menu contexts 42
Menu contexts de paramètre 42
Menu contexts de module 43
Menu contextual de « l'arrière-plan » du rack 44
Menu contextuels du séquenceur 44
Annuler et Rétabir 45
Touches de piano à l'écran 47
À propos de ce chapitre 48
Utilisation des touches de piano à l'écran 48
Ouverture de la fenetre Touches de piano 48
Mode souris 49
Mode Touches du clavier 51
Principes de l'audio 53
À propos de ce chapitre 54
Comment Reason communique avec votre matériel audio 54
Routage audio manuel 55
Qualité audio 55
Réglages audio 56
A propos des volumes audio 58
Informations générales sur l'informatique et le son 60
A propos de la latence 60
À propos des processeurs 61
À propos de la RAM (mémoire vivie) 62
Informations spécifiques au Mac 62
À propos des entrées et sorties audio intégrées 62
Fonctions du séquenceur 65
À propos de ce chapitre 66
Introduction 66
Aperçu du séquenceur 66
Mode Morceau et mode Édition 67
Aperçu de la barre d'outils 68
Aperçu de la liste des pistes 68
Aperçu des pistes 69
Aperçu des bandes 69
Aperçu des clips 70
Aperçu de l'inspecteur 70
Aperçu de la règle 70
Aperçu du panneau Édition/Arrangement 70
Aperçu du navigateur de morceaux 71
Aperçu du panneau de transport 71
Informations sur les pistes 71
Définition de piste 71
Entrée du clavier maître 72
Relations entre les pistes, les bandes, les clips et les événements 73
Types de pistes 73
Éléments de la liste des pistes 75
Creation de pistes 76
Sélection des pistes 77
Déplacement des pistes 77
Suppression de pistes 78
Duplication/copie des pistes et des modules 78
Couleur des pistes 79
Nommer les pistes 79
Pliage des pistes 80
Rendre une piste muette 80
Mettre en solo des pistes 81
Informations sur les bandes 82
Bande de notes 82
Bandes d'automation 83
Bande de pattern 84
Creation/ajout de bandes 84
Suppression de bandes 87
Déplacement de bandes de notes 89
Copie (duplication) de bandes de notes 89
Rendre muettes les bandes 90
Bases des clips 90
Types de clips 90
Details de la barre d'outils 91
Outils de la barre d'outils 91
Outils de remplacement 93
Magnétisation 94
Raccourcis clavier de la barre d'outils du séquenceur 95
Details de la regle 95
Détails du panneau de transport 96
Raccourcis clavier du transport 99
À propos de l'inspecteur 100
À propos des sous-marqueurs dans les affichages
Position et Longueur 100
À propos de la fonction « Égaliser les valeurs » 100
Enregistrement dans le séquenceur 101
À propos de ce chapitre 102
Fonctions d'enregistrement générales 102
Activier l'enregistrement 102
Clic et Pré-comptage 104
Mode boucle 106
Fonctions d'enregistrement générales 106
Annuler un enregistrement 107
Détails sur l'enregistrement de notes 108
Configurer la piste instrumentale 108
Enregistrement de notes 108
Enregistrement de notes en mode boucle 108
Enregistrement par-dessus ou à l'intérieur d'un clip de notes existant 109
Enregistrement de notes avec les fonctions
Dub et Alt 110
Détails sur l'enregistrement de l'automation des paramètres 112
Contrôleurs de performance vs. automation des paramètres de la piste 112
Enregistrement de l'automation du contrôle de performance 113
Enregistrement de l'automation de paramètres dans des clips de notes 114
Enregistrement de l'automation du contrôleur de performance par-dessus ou dans un clip existant 115
À propos de l'automation de contrôleur de performance sur plusieurs bandes 115
Enregistrement de l'automation des paramètres 115
Enregistrement de l'automation des paramètres en mode boucle 117
Enregistrement de l'automation des paramètres par dessus ou dans un clip existant 117
Ajustement des paramètres automatisés durant la lecture - « mode Live » 118
Enregistrement de l'automation des paramètres sur plusieurs pistes 119
Détails sur l'enregistrement de l'automation de patterns 120
Enregistrement de l'automation de pattern 120
Enregistrement de l'automation du tempo 121
Enregistrement de l'automation du tempo 121
Arrangement dans le séquenceur 123
À propos de ce chapitre 124
Manipulation des clips 124
Selection des clips 124
Suppression de clips 126
Redimensionnement des clips (masquage) 127
À propos des enregistements et des événements masqués 128
Clips de mise à l'échelle du tempo 130
Déplacement des clips 132
A propos des clips superposés 134
Duplication de clips 134
Couper, copier et coller des clips 135
Rendre les clips muets 139
Fusion de clips sur des bandes de notes 140
Égalisation des clips via la fonction
« Égaliser les valeurs » 140
Insertion de mesures 142
Supprimer des mesures 142
Édition de notes et d'automation 143
A propos de ce chapitre 144
Le mode Édition 144
Selection des éléments à éoperator 145
Ouverture de clips d'automation et de notes pour l'édition 145
Éléments du mode Édition 148
Manipulation de la fenetre du mode Édition 150
Modes Édition de notes 150
Creation de clips vides 153
Outils d'edition de la fenêtre Outils 154
Édition de notes 155
Selection de notes 155
Suppression de notes 155
Dessin de notes 156
Redimensionnement de notes 158
Déplacement de notes 161
Duplication de notes 164
Utilisation des fonctions Couper, Copier et Coller 164
Quantification de notes 166
Transposition de notes 169
Extraire des notes vers des bandes 170
Échelle du tempo 173
Édition de la velocité des notes 174
Édition de l'automation 177
Vue générale 177
Édition de l'automation des paramètres 177
Dessin d'événements d'automation de paramètre 181
Suppression d'événements d'automation 181
Édition de l'automation du contrôle de performance 182
À propos du nettoyage de l'automation 184
Édition d'automation de pattern 185
Dessin d'automation de pattern 186
Déplacement, redimensionnement et duplication de clips
d'automation de pattern 187
Suppression de clips d'automation de pattern 187
La fonction « Convertir une automation de pattern en notes » 188
Édition de l'automation du tempo 188
Automation de la signature rythmique 189
Déplacement, redimensionnement et duplication de clips d'automation de signature rythmique 190
Suppression de clips d'automation de signature rythmique 190
Édition de notes et de l'automation dans l'inspecteur 191
Édition de notes et d'événements dans l'inspecteur 191
Égalisation des notes ou des événements via la fonction « Égaliser les valeurs » 192
Utilisation des blocs du séquenceur 195
A propos de ce chapitre 196
Introduction 196
Le pourquoi des blocs 196
Modes d'arrangement 197
Mode Morceau (avec désactivation des blocs) 197
Mode Morceau (avec activation des blocs) 198
Mode Bloc 199
Édition de blocs en mode Bloc 199
Selection d'un bloc en vue de son édition 199
Attribution d'un nouveau nom aux blocs 200
Définition de la longueur du bloc 200
Modification de la couleur du bloc 201
Enregistrement en mode Bloc 201
Édition de clips en mode Bloc 201
Arrangement des clips en mode Bloc 201
Arrangement des blocs en mode Morceau 201
Creation de clips d'automation de blocs 201
Redimensionnement de clips d'automation de blocs 203
Réaffectation de blocs dans les clips d'automation de blocs 203
Rendre des bandes muettes dans les clips d'automation de blocs 204
Conversion de clips d'automation de blocs en clips de
morceau 206
Combinaison de clips d'automation de blocs et de clips
de morceau 208
Travailler avec le rack 211
À propos de ce chapitre 212
Procedures de modules du rack 212
Navigation dans le rack 212
Redimensionner le rack 213
À propos des groupes de modules 213
Création de modules 215
Sélection de modules 217
Suppression de modules 218
Réorganisation des modules 218
À propos de la fonction « Trier les groupes de modules sélectionnées » 220
Duplication de modules 220
Couper, copier et coller des modules 221
Nommer des modules 221
Pliage et dépliage des modules 222
Sons et patches 223
À propos de ce chapitre 224
A propos des patches 224
Modules utilisant des patches 224
Chargement des patches 225
Enregistrement de patches 226
Copier et coller des patches d'un module à l'autre 227
Initialisation des patches 228
A propos des ReFills 228
Utilisation du navigateur 229
Ouverture du navigateur 230
Éléments du navigateur 231
Utilisation du navigateur 235
Utilisation des Emplacements et+favoris 237
Liste des favors 237
Sélection et écoute des patches 240
Selection et ecoute des samples 240
Sélectionner plusieurs fichiers 241
Recherche croisée de fichiers de patch 241
Creation d'un instrument/Creation d'un effet 242
À propos des formats de patches et des modules de sampler 243
Utilisation de la fonction de « recherche » 243
Ouverture des fichiers 244
A propos des listedes de navigation 244
Gestion des sons manquants 245
La boîte de dialogue Sons manquants 247
Reason Formats de fichiers 249
Routage de l'audio et du CV 251
À propos de ce chapitre 252
Types de signaux 252
Signaux audio 252
Signaux CV/Gate 252
À propos du routage MIDI 252
A propos des cables 253
Apparance d'un cable 253
Vérification et suivi des connexions câblées 254
Couleur du cable 255
Routage automatique 255
Auto-routage de modules instrumentaux 255
Auto-routage de modules d'effet 256
Auto-routage de signaux CV/Gate 256
Auto-routage de modules après leur creation 256
Routage manuel 257
Connexion de cables 258
Connexion des câbles via des menus pop-up 259
Déconnexion des cables 259
Déconnexion de modules 260
Utilisation de CV et de Gate 260
Routage des signaux CV et Gate 260
À propos des boutons Trim CV 260
Manipulation des fichiers demorceau 261
À propos de ce chapitre 262
Ouvrir des morceaux 262
Ouvrir un morceau 262
Ouvrir le dernier morceau au démarriage du programme 262
Fermer des morceaux 263
Fermer un morceau 263
Creation de morceaux 263
Créer un nouveau morceau vide 263
Configurer le morceau par défaut 263
Enregister des morceaux 264
Enregister un morceau 264
Insér des informations sur le morceau 264
Publier un morceau 266
A propos des morceaux autonomes 266
Remarque sur l'enregistrement de morceaux en fichiers audio 268
Importation et exportation de fichiers MIDI standard 268
Importation de fichiers MIDI standard 268
Exportation de fichiers MIDI standard 269
Exportation de l'audio 271
A propos de ce chapitre 272
Importation de l'audio vers des modules Reason 272
Exportation de l'audio 272
Exportation de morceaux ou de parties de morceaux 272
Sampling 275
A propos de ce chapitre 276
Vue générale 276
Le sampling en un cli276
À propos du format, de la fréquence et de la résolution du sample 277
Fonctions generales de sampling 277
Réglages en vue du sampling 277
Sampling 279
Les différences boutons Sample 279
Procedure de sampling 279
Onglet Samples de morceaux 283
Édition de samples 285
Fenetre Editor le sample 285
Définition du début et de la fin du sample 288
Réduction de samples 290
Normalisation des samples 290
Inversion de samples 290
Application de fondu en entrée/en sortie sur des samples 291
Mise en boucle des samples 292
Enregistrement de samples édités 295
Attribution d'un nouveau nom aux samples 295
Gestion des samples 296
À propos des samples affectés et non affectés 296
Enregistrement de samples dans un morceau 297
Suppression de samples d'un morceau 297
Chargement de samples dans un module 299
Duplication de samples 301
Exportation de samples 302
À propos des samples autonomes 304
Le mixeur ReGroove 305
Introduction 306
Bases de ReGroove 306
Le mixeur ReGroove 307
Paramètres globaux 307
Paramètres de canal 309
Copier, coller et initiaiser les canaux ReGroove 313
Réglage du groove 314
Utilisation des grooves 317
Applique des grooves à votre musique 317
Respecter le groove - rendre les grooves « permanents » 320
Creer vos propres patches ReGroove 321
Trucs et astuces groovy 322
Patches ReGroove dans la Reason banque de sons 323
Remote - litre et contrôle des modules 325
À propos des différentes entrées MIDI 326
À propos de Remote 326
Réglages 327
Ajouter une surface de contrôle ou un clavier 327
Autres fonctions 329
Exemples de configurations 330
Bases de Remote 330
À propos des assignations standard et de substitution 331
À propos des variations d'assignation 331
Verrouiller une surface à un module 332
Verrouillerune surface 333
Déverrouiller une surface 334
Assignnations de substitution 335
Activer le mode Édition des assignations de substitution 335
Assignnations de substitution 336
Assignnations de substitution supplémentaires... 339
Assignnations de substitution supplémentaires 340
Raccourcis clavier 341
Activer les raccourcis clavier 341
Édition des raccourcis clavier 341
Enregistrer les réglages de Remote 342
ReWire 343
À propos de ce chapitre 344
Pourquoi utiliser Reason avec ReWire ? 344
Introduction à ReWire! 344
Dans ReWire version 1 344
Dans ReWire 2 344
CommentILA fonctionne-t-il ? 345
Terminologie 345
À propos de la configuration minimale 345
À propos de la synchronisation 345
Lancement et fermetre d'applications 345
Utiliser les contrôles de transport et de tempo 346
Router l'audio 347
Preparations dans Reason 347
Router dans l'application hote ReWire 347
Routage de MIDI via ReWire 2 348
Convert les canaux ReWire en pistes audio 349
Détails à propos des diverses applications hôtes ReWire 349
Synchronisation et MIDI avancé 351
À propos de ce chapitre 352
Synchronisation avec l'horloge MIDI 352
Utilisateurs de ReWire - à生存 impératifement ! 352
Présentation de la synchronisation et de l'horloge
MIDI 352
Étre Reason esclave d'une application ou d'un instrument MIDI externe 352
Étre Reason esclave d'un autre programme sur le même ordinateur 353
Autour de la synchronisation... 353
MIDI avancé - les entrées de bus de contrôle externes 355
À propos des entrées de bus de contrôle externes 355
RouterMIDIversdesmodules357
Envoyer des données de contrôle via MIDI 357
À propos de l'enregistrement de modifications de pattern 357
Optimisation des performances 359
Introduction 360
Vérification de la puissance de calcul 360
Optimisation et réduction de la latence 360
À propos de la compensation de latence 361
Optimisation de votre système informatique 362
Optimisation des morceaux 363
Configurations logicielles requises concernant la RAM 365
Reason Interfacematérielle 367
Introduction 368
À propos de l'utilisation de ReWire 369
Section sur l'entrée de sampling 369
Module MIDI avancé 370
Plus d'audio 370
Le Big Meter 371
Le Combinator 373
Introduction 374
Creation de modules Combinator 375
Éléments du Combinator 376
À propos des connexions internes et externes 377
À propos du routage externe 377
Ajout de modules à un Combi 379
À propos de la ligne d'insertion 379
Creation de modules dans un Combi 379
Ajout de modules via le glisser-deplacer 380
Ajout de modules à l'aide du copier-coller 381
Ajout d'un Combi à un Combi 381
Groupage de deux Combis 381
Groupage de modules dans un Combi responsable des
modules dans le rack 381
Manipulation du Combi 381
Déplacement d'un Combi complet 381
Déplacement des modules dans un Combi 382
Déplacement des modules en dehors d'un Combi 382
Suppression des modules dans un Combi 382
Dégroupage des modules 382
Pistes du séquenceur et lecture des Combis 382
Le panneau de contrôle 383
Selectionner l'apparance du panneau de contrôle... 384
Utilisation du programmeur 385
Affectation des touches aux modules
instrumentaux 386
Définition des plages de velocité pour les modules
instrumentaux 387
Utilisation du routage de modulation 388
Connexions CV 391
Mixeur 14:2 393
Introduction 394
La bande de canal 394
Contrôleurs de bande de canal 395
Le flot du signal du mixeur 396
A propos des modes d'EQ 396
La section Retour auxiliaire 397
Le fader Master 397
Connexions 397
Chainage de plusieurs modules du
Mixeur 14:2 399
Le Line Mixer 6:2 401
Introduction 402
Paramètres de canal 402
La section Retour auxiliaire 402
Volume général 402
Connexions 403
Synthétiseur Subtractor 405
Introduction 406
Charger et enregistrer des patches 406
La section Oscillateur 407
Formedonde deloscillaturer1407
Définir la fréquence de l'oscillateur 1 -
Pondération au clavier de l'oscillateur 409
Utiliser l'oscillateur 2 410
Formedonde deloscillateur 2410
Générateur de bruit 410
Modulation de décalage de phase 411
FM 413
Modulation en anneau 414
La section Filtre 415
Type dans Filtre 1 415
Frequence du Filtre 1 418
Résonance 418
Pondération au clavier du filtré (Clav) 418
Filtre 2 419
Enveloppes - Général 420
Envelope d'amplitude 421
Enveloppe de fentre 421
Enveloppe de modulation 422
Section LFO 423
Paramètres du LFO 1 423
Paramètres du LFO 2 424
Les paramètres de jeu 425
Contrôle par velocité 425
Roues de Pitch Bend et de modulation 427
Legato 428
Retrig 428
Portamento (durée) 428
Définir le nombre de voix - Polyphonie 428
A propos du bouton Réduction des aigus 428
Modulation exter 429
Connexions 429
Sortie audio 430
Sequencer Control 430
Entrées de modulation 430
Sorties de modulation 430
Entrées Gate 430
Synthétiseur polysonique Thor 431
Introduction 432
Charger et enregistrer des patches 432
Éléments de Thor 433
Le panneau de contrôle 434
Utilisation du programmeur 436
Connexions de base - tutorial 437
La section Oscillateur 440
Section de mixage 448
Emplacements de filtré 448
Shaper 452
Section Amp 452
LFO 1453
Sections Enveloppe 454
Section Global 455
Section de routage de bus de modulation 457
Sequenceur à pas 466
Opérations fondamentales 466
Connexions 470
Malström Synthesizer 471
Introduction 472
Fonctions : 472
Théorie de fonctionnement 473
Charger et enregistrer des patches 473
La section Oscillateur 474
Définition de la fréquence de l'oscillateur 475
Contrôle de la lecture de la table de grains 475
Les enveloppés d'amplitude 476
La section Modulateur 477
Paramètres du modulator 477
Destinations 478
La section Filtre 479
Les filtres 480
L'enveloppe de filtré 482
Le shaper 483
Routage 485
Examples de routage 486
Les contrôleurs de sortie 489
Les contrôleurs de jeu 489
Polyphonie - définition du nombre de voix 490
Porta (portamento) 490
Legato 490
Les roues de Pitch Bend et de modulation 491
Les contrôleurs de velocité 491
Les contrôleurs de roue de modulation 492
Connexions 493
Sortie audio 493
Entrée audio 493
Sequencer Control 493
Entrée Gate 494
Entrée de modulation 494
Sortie de modulation 494
Routage de l'audio externe vers les filtres 495
Sampler NN-19 497
Introduction 498
Principes généraux de sampling 498
Arriere-plan 498
À propos des formats de fichier audio 499
Charger un patch de samples 500
Charger des fichiers REX comme patches 500
Sampling dans le NN-19 500
À propos des zones de jeu et des samples 501
Charger un sample dans un NN-19 vide 501
Charger des samples SoundFont 502
Charger des slices REX comme samples 502
Creer des zones de jeu 502
Selectionner des zones de jeu 503
Définir l'étendue de la zone de jeu 504
Supprimer une zone de jeu 504
À propos des zones de jeu et des samples affectés et non affectés 504
Ajouter un ou plusieurs sample(s) à une affection de touches 505
Définir la note fondamentale 505
Supprimer un ou des sample(s) d'une affection de touches 505
Supprimer tous les samples non affectés 506
Réarranger les samples dans une affection de
touches 506
Régler le volume du sample 506
Accorder les samples 506
Boucler les samples 506
À propos de la fonction Sample en mode solo 507
Affectation automatique des samples 507
Affectation de samples sans note fondamentale ni information concernant l'accordage 508
Comment l'information d'affectation est enregistrée 508
Paramètres du synthé NN-19 509
Section Oscillateur 509
La section Filtre 510
Section Enveloppe 511
Section LFO 513
Les paramètres de jeu 514
Contrôle par velocité 515
Roues de Pitch Bend et de modulation 515
Legato 516
Retrig 516
Portamento (durée) 516
Définir le nombre de voix - Polyphonie 517
Élargissement de la voix 517
Réduction des aigus 517
Section du contrôleur 517
Connexions 518
Sorties audio 518
Mono Sequencer Control 518
Entrées de modulation 518
Sorties de modulation 518
Entrées Gate 519
Sampler NN-XT 521
Introduction 522
Créer des samples dans le NN-XT 522
Aperçu du panneau 523
Panneau principal 523
Le panneau Remote Editor 523
Charger des patches complets et des fichiers REX 524
Charger des patches NN-XT 524
Charger des patches NN-19 524
Charger des SoundFonts 524
Charger des fichiers REX completes comme patches 525
Utiliser le panneau principal 526
Les roues de pitch et de modulation 526
La roue de contrôle externe 526
Interpolation haute qualite 527
Boutons de contrôle globaux 527
Aperçu du panneau Remote Editor 529
L'affichage de l'affection des touches 529
Paramètres de sample 530
Paramètres de groupe 530
Paramètres de synthétiseur 531
A propos des samples et des zones 531
Sélections et cible d'édition 532
Selectionner des zones 533
Déplacer la cible d'édition 535
Ajuster les parametes 535
Ajuster les paramètres de synthétiseur 535
Ajuster des parametes de groupe 536
Paramètres de sample 536
Gérer les zones et les samples 537
Créer une affection de touches 537
À propos des formats de fichiers et de slices REX 538
Ajouter plus de samples à l'affectation de touches 538
Remplacer un sample 539
Parcours rapide des samples 539
Supprimer des samples 539
Écouter les samples 539
Ajouter des zones vides 540
Dupliquer des zones 540
Supprimer des zones 540
Réarranger les zones dans la liste 540
Travailler avec les groupes 541
A propos des groupes 541
Creer un groupe 541
Déplacer un groupe à un autre emplacement de la liste 542
Déplacer une zone d'un groupe à un autre 542
Selectionner un groupe et/ou des zones d'un groupe 542
Les paramètres de groupe 543
Travailler avec les zones de jeu 543
À propos des zones de jeu 543
Configurer les zones de jeu 543
À propos de la fonction Verrouiller les notes
fondamentales 548
À propos de la fonction Sample en mode solo 548
Trier les zones par note 549
Définir les notes fondamentales et la tonalité 550
À propos de la note fondamentale 550
Définir la note fondamentale manuellement 550
Accorder les samples manuellement 551
Définir la note fondamentale et la tonalité en utilisant la détéction de pitch 551
À propos de la modification du pitch des samples 551
Utiliser l'affection automatique 551
Sons superposés, en fondu enchâné et échangés par velocité 552
Creer des sons superposés 552
A propos des plages de velocité 553
Définir la plage de velocité d'une zone 555
À propos du fondu enchâné entre les zones 555
Définir le fondu enchâné pour une zone 556
Utiliser l'alternance 557
À propos de la fonction Alternance 557
Paramètres de sample 557
Note fondamentale et tonalité 558
Début et fin du sample 558
Début et fin de boucle 558
Mode de lecture 558
Lo Key et Hi Key 559
Lo Vel et Hi Vel 559
Fondu en entrée et en sortie 559
Alt 559
Out (sorties) 559
Paramètres de groupe 560
Poly touches 560
Legato et Retrig 561
LFO 1 Rate 561
Portamento 561
Les paramètres de synthétiseur 562
Les boutons de contrôle de la modulation 562
Boutons de contrôle de la velocité 564
La section Pitch 565
La section Filtre 566
Enveloppe de modulation 567
L'enveloppe d'amplitude 569
LFO 570
Connexions 572
Sequencer Control 572
Entrée Modulation 573
Entrée Gate 573
Sortie audio 573
À propos des formats de fichier REX 577
Chargement et enregistrement de patches Dr. Octo Rex 577
À propos du format de patch Dr. Octo Rex 577
À propos de l'ouverture des morceaux créés à partir d'un module Dr. Rex 577
Lecture des boucles 578
Lecture d'un emplacement de boucle à l'autre 578
Ajout deboucles 579
Chargement de boucles « à la volée » 580
Suppression de boucles 580
Couper/Copier-coller de boucle d'un emplacement de
boucle à l'autre 580
Lecture de slices de boucle 581
Creation de notes de séquenceur 581
Manipulation des slices 584
Selection des slices 584
Édition de slices individuelles 584
Édition dans l'affichage sous forme d'onde 585
Le mode Édition de slice 586
Paramètres du panneau Dr. Octo Rex 588
Pitch et roues de modulation 588
Déclencher la boucle suivante 588
Note vers emplacement 588
Boutons Emplacement de boucle 589
Activer la lecture de la boucle et Exécuter 590
Volume 590
Réglage par demi-ton général 590
Paramètres du synthétiseur Dr. Octo Rex 591
Sélectionner la boucle et Charger l'emplacement 591
Réglage par demi-ton de la boucle 591
Niveau de la boucle 592
Section Oscillateur 592
Roude modulation 593
Section Velocité 593
La section Filtre 594
Section Enveloppe 595
Section LFO 596
Plage du Pitch Bend 598
Définition du nombre de voix - Polyphonie 598
Réglages de la qualité audio 598
Connexions 599
Entrées de modulation 599
Sorties de modulation 599
Entrées Gate 600
Sortie Gate 600
Sorties de slices 600
Sorties principales 600
Boîte à rythme Redrum 601
Introduction 602
Sampling dans Redrum 602
À propos des formats de fichier 603
Utilisation des patches 604
Charger un patch 604
Vérifier lessons dans un patch 604
Creer un nouveau patch 605
Creer un patch vide 605
Programmation des patterns 606
Bases de la pattern 606
Tutorial de pattern 608
Définition de la longueur de la pattern 609
Définir la résolution de la pattern 609
Dynamiques des pas 609
Shuffle de pattern 610
Flam 610
Le bouton Activer la pattern 611
Le bouton Activer la section pattern 612
Fonctions de pattern 612
Chainage des patterns 612
Conversion des données de patterns en notes dans le séquenceur principal 613
Paramètres de Redrum 614
Réglages de son de batterie 614
Réglages globaux 618
Utiliser Redrum comme module sonore 619
Connexions 620
Le Panneau de contrôle de batterie 623
La section Effets et batterie 623
A propos de l'utilisation des panneaux
personnalises 623
A propos des formats de fichier 623
Utilisation des patches 624
Charger un patch de kit 624
Vérifier lessons dans un patch de kit 625
Créer un nouveau Kit de patch 626
Creer un patch de kit vide 627
Enregister des patches de kit 627
Réglages de pad 627
Afferet des batteries à des pads 627
Renommer des pads 628
Copier et coller des batteries entre des pads 628
Afferter un type de coup à des pads 629
Rendre des pads muets et solo 629
Travailler avec des groupes de pads 630
La section Effets et batterie 632
Flot du signal 633
Le Panneau de contrôle de batterie 635
Sampling dans Kong 638
L'emplacement du module de batterie 638
Les emplacements FX 639
Les modules de batterie 640
NN-Nano Sampler 640
Grosse caisse physique, caisse claire et Tom Tom 649
Grosse caisse, caisse claire et Tom Tom
synthétiques 651
Charley synthétique 652
Les modules générateurs de support 653
Générateur de bruit 653
Générateur de tonalité 654
Les modules d'effets 655
Utiliser la modulation CV des paramètres Bus d'effets et
Effet maitre 655
Réverb de la pierce de la batterie 656
Shaper éphémère 656
Compresseur 657
Filtre 658
EQ paramétrique 658
Modulateur en anneaux 659
Chaine 660
Echo a bande 660
Overdrive/Résonateur 661
Connexions 662
Sequencer Control 662
Entrée Modulation 662
Sortie Départ Aux 662
Entrée et sortie Gate 663
Sortie Audio 3-16 663
Sortie audio principale 663
Utilisation de Kong comme module d'effet 663
Utilisation des effets externes avec Kong 664
Les effets MClass 665
Les effets MClass 666
MClass Mastering Suite Combi 666
MClass Equalizer 667
MClass Stereo Imager 668
MClass Compressor 669
MClass Maximizer 672
RV7000 Réverbération avancée 675
RV7000 Réverbération avancée 676
Algorithms de réverbération et paramètres 678
Section EQ 684
Section Gate 685
Entrées CV 686
Scream 4 Module de déstructuration sonore 687
Scream 4 Module de déstructuration sonore 688
Paramètres 688
Entrées et sorties CV 692
Trucs et astuces 692
Vocoder BV512 695
Introduction 696
Principé de fonctionnement d'un vocodeur 696
Réglages d'un vocabage basique 697
Vocodage des chants en temps réel 697
Utiliser le BV512 comme égaliseur 700
Paramètres BV512 702
Connexions 703
Automation 704
Trucs et astuces 705
Choisir un son de porteur 705
Choisir un son de modulateur 706
Utiliser le modulator comme porteur 707
Contrcler la fonction Maintien 708
Utiliser les connexions de niveau de bande individuelle 708
« Jouer » le vocodeur à l'aide d'un clavier MIDI 710
Utiliser le BV512 comme réverb 711
Effets « demi-rack » 715
Fonctions communes des modules d'effet 716
DDL-1 Digital Delay Line 718
CF-101 Chorus/Flanger 719
Spider Audio Merger & Splitter 721
Spider CV Merger & Splitter 723
À propos des trois types de sortie 740
Programmation des patterns 741
Bases de la pattern 741
Tutorial 744
Utilisation des patterns de courbe 746
Définition de la longueur de la pattern 747
Utilisation des notes liées 747
Définition de la résolution de la pattern 748
Shuffle de pattern 748
Pattern muette 749
Fonctions de pattern 749
Chainage des patterns 749
Conversion des données de patterns en notes dans le séquenceur principal 750
Exemples d'utilisation 751
Utilisation du Matrix pour la modulation 751
Programmation des lignes de style « Acid » 752
Déclencher des samples 752
Arpégiateur RPG-8 753
Introduction 754
Utilisation du RPG-8 755
Configuration 755
Enregistrer des données de notes MIDI pour le RPG-8 - tutoiel simplifié 757
Transformer les notes en arpège sur la piste 759
Paramètres du RPG-8 760
Paramètres de conversion MIDI-CV 760
Paramètres de l'arpégiateur 761
L'editor de pattern 763
Connexions CV 766
Trucs et astuces 768
Machine d'entrée ReBirth (Windows uniquement) 769
Introduction 770
Preparatifs 770
Lancement 770
Fermeture 771
Routage 771
Quel signaux sont aux sorties ? 771
Menusetboites dedialogue773
Reason Menu (Mac OS X) 774
Menu Fichier 775
Menu Édition 779
Preférences - Général 797
Preférences - Audio 800
Préférences - Claviers et surfaces de contrôle 803
Préférences - Contrôle avancé 806
Preférences - Langue et clavier d'ordinateur 807
Menu Creer 808
Menu Options 809
Menu Fenêtre (version Windows) 814
Menu Fenêtre (version Mac OS X) 815
Menu Aide 816
Index 817

REASON
Chapitre 1
Introduction
Bienvenue!
Ceci est le manuel d'utilisation du logiciel de production musicale Reason de Propellerhead. Son contenu est également disponible sous forme de fichiers HTML dans l'aide en ligne de Reason.
Si vous n'avez pas encore visionné les tutoriels video, rendez-vous dans le menu Aide de Reason.
De même, n'oubliez pas de visiter régulièrement le site Web de Propellerhead à l'adresse www-propellerheads.se pour découvert les dernières nouvelles !
À propos de ce chapitre
Voutrouvez dans ce chapitre d'introduction les conventions generales utilisées tout au long de ce manuel de réference Reason
À propos de ce manuel
Ce manuel d'utilisation décrit en détaill tous les aspects du programme Reason. Les premiers chapitres portent sur les méthodes et techniques générales destinées par exemple à la connexion des sources audio, au mixage et à l'enregistrement. Suivient ensuite des descriptions de tous les modules du rack. Reason
! Pour visionner correctement la version PDF du manuel sous Windows, vous doivent désposer d'Adobe Acrobat Reader 8.0 ou version supérieure.
Sur les systèmes Mac OS X, Acrobat Reader n'est pas requis : vous pouze utiliser Aperçu. Si vous ordinateur est équipé de Windows, vous trouvez le programme Acrobat Reader sur le DVD Reason. Toutefois, si vous avez téléchargeé Reason depuis le site Web de Propellerhead et qu'Acrobat Reader n'est pas installé sur votre ordinateur, vous pouze le télécharger gratuitement sur le site Web d'Adobe à l'adresse www.adobe.com.
À propos des différentes versions de Reason
Propellerhead Reason existe en deux versions : une pour Windows (XP, Vista ou Windows 7) et une pour Mac OS X 10.4 ou version supérieure. Les captures d'écrans de ce manuel ont été réalisées dans ces deux versions Reason. Étant donné que le programme se présente de manière plus ou moins identique dans les deux versions, vous suivrez ainsiment les instructions générées, qu'elle que soit la plate-forme utilisé.
Conventions
Ce manuel décrit les versions Windows et Mac OS X de Reason; toute différence propre à la version utilisée est clairément précisé dans le texte.
Conventions typographiques
Les conventions typographiques sont très simples. Les exemples suivants illustrent l'utilisation et la signification des styles :
Ce style indique que l'utilisateur doitaccomplir la ou les tache(s) décrite(s) dans la phrase.
! Ce style désigne des INFORMATIONS IMPORTANTES. Lisez-les attentivement pour éviter tout problème !
- Ce style est utilisé pour les astuces et les informations supplémentaires.
Conventions des raccourcis clavier
Dans ce manuel, les raccourcis clavier de l'ordinateur sont indiqués entre crochets. Par exemple :
Maintenez enfoncée la touche [Maj] et appuyez sur [C].
Toutefois, certaines touches sont differentes selon que vous utilisez un ordinateur Windows ou Mac. Si tel est le cas, le manuel distingue les commandes grace aux indications « (Mac) » et « (Windows)», comme dans cet exemple :
Maintenez enfoncée la touche Ctrl ou Cmd et appuyez sur [S] pour enregistrer le morceau.
Références aux menus contextuels
Si dans une instruction, il vous est demandé de sélectionner un élément dans le « menu contextual », cliquez droit dans la zone, section ou module spécifiés (ou appuyez sur [Ctrl] et cliquez si vous utilisez un ordinateur sous Mac OS équipé d'une souris à un seul bouton), puis sélectionnez l'élement dans le menu pop-up qui s'affiche - également appelé menu contextual. La liste des éléments présents dans ces menus contextuels varie en fonction de l'endetroit où vous cliquez dans l'application. Voir “Menuux contextuels” pour un aperçu des menus contextuels dans Reason.
Cadres et cercles (notes)

Les images de ce manuel contiennent parfois des cercles et/ou des rectangles qui mettent en evidence certaines zones ou objets. Ils sont indiqués par des lignes pleines, comme dans les exemples ci-dessus. Parfois, ces cadres et cercles s'accompagnent également d'un texte descriptorif. Les différentes couleurs permettent simplement d'accenter les contrastes avec l'image d'arrête-plan.
Flèches en pointillés

Une flèche en pointillés indique dans qu'elle direction faire glisser le pointeur (ou tout autre outil) pour accomplir l'opération voulue. Dans l'exemple ci-dessus, la flèche montre dans quelles directions vous devez faire glisser le pointeur (vers le haut et vers le bas) pour modifier le réglage du bouton.

REASON
Chapitre 2
Opérations et
concepts
fondamenteux
À propos de ce chapitre
Ce chapitre fournit un aperçu des fondamentaux de l'application Reason et déscrit les méthodes et techniques générales employées pour l'utilisation du logiciel Reason Propellerhead. Ce chapitre explique également la terminologie utilisée dans le programme, dans ses manuels et dans les fichiers d'aide.
Zones, fenêtres et navigation de base
Aperçu de la fenêtre du morceau


-Rack


-Sequenceur
Fenêtre Reason du morceau avec les zones de son rack et de son séquenceur
interface utiliseur graphique Reason se divise en deux zones principales :
Le rack
Le rack est l'endetroit où se situent tous les modules de son et d'effets que vous utilisez dans votre morceau. Le rack ressemble au rack matériel traditionnel ou les modules de son et unités d'effets peuvent'être montés.
Le Sèquenceur
Le séquenceur est l'endetroit où vous enregistrez vos pistes instrumentales. Vous pouvez également enregistrer l'automation des paramètres de module dans le rack. Le séquenceur intègre aussi le panneau de transport qui regroupe tous les contrôleles de transport du séquenceur.
Vou puez également redimensionner les zones, voir "Redimensionnement".
Le Rack

Rack
Barre de défilament
Rack avec un certain nombre de modules et barre de défilament du rack à droite.
Dans le rack, tous les modules instrumentaux, d'effets et de canal de mixeur du morceau Reason sont visibles. Vous pouvez faire defiler verticalément dans le rack en cliquant et en déplaçant la barre de défilament du rack.
En cliquant sur le bouton Maximiser en haut à droite de la zone du rack, vous pouvez maximiser le rack de sorte à recouvrir entièrement la fenêtre Morceau Reason.

Bouton Maximiser du rack
Pour plus de détails sur les méthodes de travail avec le rack, voir "Travailler avec le rack".
Le séquenceur

Barre de defilement du séquenceur
Séquenceur avec plusieurs pistes instrumentales enregistrées
À gauche du séquenceur, toutes les pistes du morceau Reason sont répertoriées dans la liste des pistes. En cliquant sur une piste de cette liste, vous Sélectionnéz la piste de lecture à partir d'un clavier maître MIDI connecté et/ou la piste d'enregistrement.
En haut à gauche, vous voyagez les boutons des modes Morceau, Blocs et Édition, ainsi que la barre d'outils avec plusieurs outils d'édition du séquenceur.
Le panneau Édition/Arrangement correspond à la grande partie centrale du séquenceur. Ici sont affichées toutes les données enregistrées du séquenceur.
Vouss pouvez faire défilé et zoomer dans le séquenceur à l'aide des boutons de zoom et de la barre de défilament du séquenceur à droite et du navigateur de morceaux situé en bas du séquenceur, voir “Défilement” et “Zoom dans le séquenceur”.
En cliquant sur le bouton du séquenceur Maximiser en haut à droite, vous pouze maximiser le rack de sorte à recouvoir entièrement la fenêtre Morceau Reason. En cliquant sur le bouton Découpler le séquenceur, vous pouze découvert le séquenceur et l'afficher dans une fenêtre à part.

Boutons Maximiser et Découpler du séquenceur
Pour plus de détails sur le séquenceur, voir "Fonctions du séquenceur".
Le Panneau de Transport

En bas de la fenêtre du morceau Reason se trouve le panneau de transport du séquenceur. Ce panneau vous permet de contrôler les fonctions de transport du séquenceur, telles que le retard rapide, l'avance rapide, le stop, la lecture et l'enregistrement. Vous pouvez également y définir le tempo, la signature rythmique et plusieurs autres paramètres.
Le panneau de transport est toujours disponible avec le séquenceur. Si vous avez découvert le séquenceur, une copie du panneau de transport est également disponible dans la fenêtre du rack.
À gauche du panneau de transport, vous trouvez des indicateurs des niveaux d'entrée et de sortie audio, de la charge DSP, du calcul de l'audio et du statut de l'écrasement de l'automation.
En cliquant sur le petit triangle gris à l'extrémité supérieure droite, vous pouvez masquer le panneau de transport si vous le souhaitez.
Pour plus de détails sur le panneau de transport, voir "Détails du panneau de transport".
Le ReGroove Mixer

À droite de la barre d'outils dans le séquenceur, se trouve un gros bouton « G ». Cliquez sur cette icône pour faire apparaitre le ReGroove Mixer.

Le ReGroove Mixer sert a ajouter des grooves avancés à vos pistes instrumentales dans le séquenceur.
Pour masquer le ReGroove Mixer, il vous suffit de cliquer à nouveau sur le bouton « G ».
Pour plus de détails sur le ReGroove Mixer, voir "Le mixeur ReGroove".
Utilisation de plusieurs fenêtres de morceaux Reason
Vouss pouvez avoir plusieurs morceaux ouverts en meme temps. Chaque morceau apparait dans une fenetre de morceau a part, avec l'ensemble rack, sequenceur et panneau de transport. Chaque fenetre de morceau peut etre déplacee, réduite ou redimensionnée à laide des procédures standard Mac et Windows.
La fenêtre Outils
La fenêtre Outils est une fenêtre flottante qui propose quatre ontlets contenant des raccourcis pour la création de modules, l'édition dans le séquenceur, l'édition de grooves pour le mixeur ReGroove et les fonctions d'édition du sample. Vous pouze acceder à la fenêtre Outils à partir du menu Fenêtre.
Pour ouvrir la fenêtre Outils, Sélectionné « Afficher la fenêtre Outils » dans le menu Fenêtre. Vous pouvez également appuyer sur la touche [F8].
Vousspuvezutiliserla touche[F8]pourbasculerentre l'affichage etle masquage de la fenetre Outils.

La fenêtre Outils
- Pour plus d'informations sur l'utilisation de l'onglet « Palette de modules», voir “Création de modules”.
- Pour obtenir des informations sur l'utilisation des différentes fonctions de l'onglet « Outils du séquenceur », reportez-vous au chapitre "Édition de notes et d'automation".
Pour obtenir des informations sur l'utilisation des fonctions de I'onglet « Réglages de groove », reportez-vous au chapitre "Le mixeur ReGroove".
Pour Obtir des informations sur l'utilisation des fonctions de I'onglet « Samples de morceau », reportez-vous au chapitre "Sampling".
La fenêtre Touches de piano à l'écran
La fenêtre flottante Touches de piano à l'écran contient un clavier virtuel qui vous permet de jouer des modules instrumentaux sans que la connexion d'un clavier maître MIDI à votre ordinateur ne soit nécessaire. Vous pouvez acceder à la fenêtre Touches de piano à l'écran à partir du menu Fenêtre.
Ouvrez la fenêtre Touches de piano à l'écran en scélectionnant « Afficher les touches de piano à l'écran » dans le menu Fenêtre. Vous pouvez également appuyer sur la touche [F4].
Vouss pouze utiliser la touche [F4] pour basculer entre l'affichage et le masquage de la fenetre Touches de piano à l'écran.

Fenêtre Touches de piano à l'écran en mode « Souris »
Voir "Touches de piano à l'écran" pour plus d'informations.
Techniques de fenêtre générales
Redimensionnement

Séparateur ajustable dans la fenêtre du morceau Reason
Entre les zones du rack et du séquenceur dans Reason la fenêtre du morceau sert de séparateur pouvant être utilisé pour redimensionner les zones. Lorsque vous place le pointeur de la souris sur ce séparateur, le pointeur se modifie en double flèche. Vous pouvez ajuster la taille des zones du rack et du séquenceur en cliquant sur le séparateur et en le déplacant.
Vouss pouze également redimensionner toute la fenêtre Morceau verticalement en cliquant sur les coins supérieurs ou inférieurs de la fenêtre du morceau ou en les déplaçant.
Défilament
Reason propose plusieurs options permettant de faire défilier les différentes zones.
Défilament à l'aide des barres de défilament et du navigateur de morceaux

Barres de défillement et navigateur de morceaux dans la fenêtre du morceau Reason
En cas d'informations représentées en dehors de la zone visible de l'écran, vous pouvez faire défilier vers l'endetroit souhaité. La fenêtre du morceau Reason dispose de deux barres de défilament et d'un navigateur de morceaux que vous pouvez utiliser pour le défilament. Les barres de défilament se trouvent à droite des zones du rack et du séquenceur et le navigateur de morceaux se trouve dans le séquenceur.
Le rack n'a qu'une barre de défilament qui peut être utilisée pour défilier verticalément dans le rack. Le séquenceur a une barre de défilament pour défilier verticalément et un navigateur pour défilier d'avant en arrêté dans le séquenceur.
Pour faire défilier avec un navigateur, cliquez à l'intérieur du cadre dans le navigateur et déplacez le cadre vers la position souhaitée.
Le pointeur se transforme automatiquement en main lorsqu'il passé dans le cadre.
Vous pouvez également cliquer dans la zone correspondante du navigateur pour passer immédiatement à la position souhaitée.
- Pour les valeurs de zoom dans le séquenceur, vous pouvezmaintir la touche [Maj] enfoncée et déplacer le cadre de navigateur de morceaux pour faire défilére avec une plus grande précision.
Défilament avec l'outil Main
Dans le dans le séquenceur, vous pouze également utiliser l'outil Main pour faire défilier la vue.
Dans le séquenceur, vous doivent passer manuellement à l'outil Main en le sélectionnant dans la barre d'outils du séquenceur. Une fois l'outil Main seLECTIONné, vous pouvez faire défiler dans n'importe qu'elle direction sur le panneau Édition/Arrangement. Reportez-vous à "Outil Main" pour plus d'informations.
Zoom dans le séquenceur
Le séquenceur autorise le zoom avant et arrêté à l'aide du du navigateur de morceaux. Vous pouvez également utiliser l'outil Loupe disponible dans la barre d'outils du séquenceur, voir "Outil Loupe".
Voir aussi "Défilament et zoom avec une souris à molette".
Zoom vertical dans le séquenceur
Pour zoomer verticalément dans l'arrangement du séquenceur, et par conséquent modifier la hauteur des pistes, cliquez sur le bouton « + » :

Augmentez la hauteur des pistes enclinquent sur le bouton Loupe +
Pour effectuer un zoom arrirèe vertical, cliquez sur le bouton Loupe « - »
Lorsque le séquenceur est en mode Édition, les contrôleurs de zoom verticaux sont alors disponibles individuellement.
Zoom horizontal dans le séquenceur
Vouss pouze également effectuer un zoom avant et arriré horizontal dans le séquenceur en utilisant le navigateur de morceaux.

Pour effectuer un zoom avant horizontal, cliquez sur le bouton « + » situé à gauche dans le navigateur de morceaux.
Pour effectuer un zoom arrêté horizontal, cliquez sur le bouton « - » situé à gauche dans le navigateur de morceaux.
Pour effectuer des zooms avant et arrirée horizontally, cliquez sur une poignee du navigateur de morceaux et déplacez-la latéralement.
Le pointeur prend l'apparace d'une double flèche et vous pouvez alors effectuer un zoom avant en redimensionnant le cadre du navigateur de morceaux.
[Maj]-cliquez sur une poignee du navigateur de morceaux et faites glisser horizontally pour zoomer en avant et en arrriere, de façon symétrique.
Vous pouvez faire defiler simultanement (faire glisser laterralement) et zoomer (déplacer vers le haut ou vers le bas) en cliquant avec le bouton droit de la souris (Win) ou en [Ctrl]-client (Mac) dans le cadre du navigateur de morceaux.
Défilament et zoom avec une souris à molette
Si vous utilisez une souris équipée d'une molette, celle-ci peut etre utiliser pour les operations de défilement et de zoom suivantes :
Défilament dans le rack avec une souris à molette
Tournez la molette pour faire defiler verticalément dans le rack.
Défilament dans le séquenceur avec une souris à molette
Tournez la molette pour faire défilier verticalément sur le panneau Édition/Arrangement.
Appuyez sur la touche [Maj] et tournez la molette pour faire defiler horizontallyment sur le panneau Édition/ Arrangement.
! Remarquez que le défilament horizontal ne peut être effectué lorsque le cadre de navigateur de morceaux est pleinement étendu.
Zoom dans le séquenceur avec une souris à molette
Appuyez sur la touche Ctrl ou Cmd et tournez la molette pour zoomer en avant et en arrriere sur le panneau Édition/Arrangement.
Appuyez sur les touches [Ctrl]+Maj ou [Cmd]+Maj et tournez la molette pour zoomer en avant et en arrête horizontally sur le panneau Édition/Arrangement.
Édition de paramètres
Étant donné qu'une grande partie de Reason est représentée comme de « vrais » modules matériels, à l'instar du des modules instrumentaux et modules d'effets, etc., presque tous les contrôle sont conçus comme leurs originaux réels (curseurs du mixeur, boutons d'unité d'effet, boutons de transport, etc.). Les méthodes d'ajustement de ces contrôle sont décrites dans les paragraphs suivants.
Boutons rotatifs
Pour « faire tourner » un bouton rotatif, positionnez le pointeur de la souris dessus et maintenez-le pendant que vous le déplacez vers le haut ou vers le bas ( comme si le bouton était un curseur vertical).
Un déplacement vers le haut fait tourner le bouton dans le sens des aiguilles d'une montre et vice versa.

Si vous maintenez la touche [Maj] enforcée, le bouton tournera plus lentement, pour une(Meilleure précision.
Vouss pouvez également ajuster la précision du bouton à l'aide du réglage « Sensibilité de la molette de la souris » dans la page Général de la boîte de dialogue Préférences. Vous accédez à cette boîte de dialogue dans le menu Édition (ou dans le menu Reason si vous utilisez Mac OS X).
Pour réinitialiser un bouton rotatif sur sa valeur par défaut (généralement zéro, panoramaque centrale ou similaire), appuyez sur la touche Ctrl ou Command et cliquez sur le bouton.
Faders et curseurs
Pour déplacer un fader ou un curseur, cliquez sur la poignee et déplacez le fader/curseur dans la direction souhaitation.

Vous pouvez également cliquer sur le fader/curseur pour déplacer instantanément la poignée vers cette position.
Si vous maintainez la touche [Maj] enforcée et que vous faites glisser, le fader/curseur tournera plus lentement, pour une meilleure précision.
Pour réinitialiser un fader/curseur sur sa valeur par défaut (généralement zéro, 100, panoramaque centrale ou similaire), appuyez sur la touche Ctrl ou Command et cliquez sur la poignée du fader/curseur.
Boutons

De nombreux modes et fonctions sont contrôleés en cliquant sur des boutons. Bon nombre de boutons dans Reason possèdent une LED « intégrée » ou bien le bouton lui-même s'allume, indiquant s'il est actif ou non.
Boutons Plier/Déplier
Les boutons Plier/déplier se désignent par un petit triangleitué en haut à gauche du module. Le fait de cliquer sur un bouton Plier/déplier permet de déplier le panneau du module afin de rendre visibles davantage de contrôle et de pouvoir y acceder pour l'edition à l'écran.
Certains modules, comme celui de la réverb avancée RV7000, possèdent plusieurs boutons Plier/déplier. Le fait de cliquer sur le second bouton Plier/déplier sur le panneau frontal déplié permet d'ouvrir le panneau du programmeur distant à partir duquel vous pouvez acceder à des paramètres supplémentaires.

Cliquez sur le bouton
Plier/déplier pour déplier le panneau avant.


Cliqueur le second bouton Plier/deplier sur le panneau déplié pour faire apparaitre le programmeur distant.

Boutons Plier/Déplier sur un module de réverb avancée RV7000.
Sélecteurs multi-modes
Certain paramètres vous permettent de selectionner un des modes existants. Ces paramètres sont représentés graphiquement de deux façon différentes dans Reason.
Le type de sélecteur multi-mode consiste en un bouton compteant différents modes affichés au-dessus :

Cliquez sur le bouton pour parcouir les modes ou cliquez directement sur l'un des modes imprimés sur le panneau. Vous pouze également cliquer sur la LED correspondante pour selectionner un mode. Le mode actuellement selectionné est indiqué par une LED allumée.
Le type de sélecteur multi-mode illustré ci-dessous est un bouton à plus de deux positions :

Pour changer de mode, cliquez et deplacez le bouton ou cliquez directement sur la position désirée (como.
lorsque vous reglez un curseur).
Contrôles numériques
Dans Reason, les valeurs numériques sont souvent affichées sur des écrans numériques disposant de « flèches » (flèches Haut et Bas) sur le (:). Certaines valeurs de paramètre, comme les formes d'ondes de l'oscillateur et du LFO, sont affichées de manière graphique. Il existe deux fonctions de modifier les valeurs dans ces types de contrôle :

En utilisant les flèches Haut et Bas.
Pour ajuster la valeur pas à pas, cliquez sur sa flèche Haut ou Bas. Pour faire défilier une valeur en continu, cliquez sur une flèche et maintenez le bouton de la souris,enforcé.
En cliquant sur le bouton de la souris et en le maintainant enforcé dans l'affichage actuel, puis en déplaçant la souris vers le haut ou vers le bas.
Ces méthodes vous permettent d'effectuer des ajustements grossiers très rapidement.
Contrôles alphanumericiques
Dans Reason, les valeurs numériques et/ou prérégliages de module sont souvent affché(e)s sur des écrans alphanumériques disposant de « flèches » (flèches Haut et Bas) sur le (:é). Il existe deux façon de modifier les valeurs alphanumériques/prérégliées :


ou
En utilisant les flèches Haut et Bas.
Pour ajuster une valeur ou selectionner un prérglage pas à pas, cliquez sur la flèche Haut ou Bas. Pour faire défilé une valeur en continu, cliquez sur une flèche et maintenez le bouton de la souris enforcé.
En cliquant sur le bouton de souris et en le maintainant enforcé dans l'affichage alphanumeric actuel et en effectuant votre sélection dans la liste qui apparait.
Cela vous permet de réaliser des ajustements grossiers très rapidement ou de modifier immédiatement un préréglage n'importe où dans la liste.
- Ce type de contrôle est utilisé pour selectionner, c'est-à-dire réaliser le patch et la réverbération d'algorithmés et de certaines formes d'ondes d'oscillateur.
Affichages de segments numériques
Dans les affichages de segments numériques du panneau de transport du séquenceur et dans l'inspecteur du séquenceur, les valeurs peuvent être éditees de nombreuses façon. Le principe d'édition est exactement le même pour les affichages du panneau de transport et de l'inspecteur, comme le montrent les deux exemples ci-dessous.
Affichage du segment du panneau de transport
Les affichages de segments du panneau de transport peuvent être étités selon l'exemple d'affichage du tempo suivant. Les segments d'affichage du tempo montrent BPM et 1/1000 BPM (de gauche à droite).
Cliquez sur les flèches Haut et Bas pour modifier le tempo par étapes de 1 BPM (segment situé à l'extreme gauche).
Cliquez sur le segment de l'affichage de gauche pour seLECTIONner la valeur « BPM entière ». Ensuite, cliquez et déplacez vers le haut ou vers le bas, ou cliquez sur les flèches Haut/Bas pour modifier le tempo par étapes de 1 BPM.
Vous pouvez également saisir le nouveau tempo et appuyer sur [Entrée] sur le clavier de votre ordinateur.
Voussousiezaussisaisirunnombrpeccede de [+] ou[-]afind'ajouter oude sousstrailele nombre de la valeur de tempo actuelle.Ensuite, appuyez sur [Entree] sur le clavier de notre ordinateur.
Cliquez sur le segment de l'affichage de croite pour selectionner la valeur « 1/1000 BPM ». Ensuite, cliquez et déplacez vers le haut ou vers le bas, ou cliquez sur les flèches Haut/Bas pour modifier le tempo par étapes de 1/1000 BPM.
Vous pouvez également saisir le nouveau tempo et appuyer sur [Entrée] sur le clavier de votre ordinateur.
Voussousiezaussisaisirun nombre precedede[+]ou[-]afin d'ajouter ou de soustrairele nombrede la valeur de tempo actuelle.Ensuite, appuyez sur [Entree] sur le clavier de votre ordinateur.
Double-cliquez sur l'affichage, saisissez le nouveau tempo et appuyez sur [Entrée] sur le clavier de votre ordinateur.


Voussoupez éditer les autres affichages de segments du panneau de transport de la même façon que décrit cidesssus.
Affichages de segments de l'inspecteur
Les affichages de segments dans l'inspecteur peuvent etre editedes selon l'exemple d'affichage de la position suivant. Les segments d'affichage de la position montrent des mesures, battements, doubles-croches et marqueurs (de gauche a droite):
Cliquez sur les boutons Haut/Bas pour modifier la valeur par étapes de 1 mesure (le segment à l'extreme gauche).
Cliquez dans l'affichage pour selectionner le segment de la mesure, du battement, de la double-croche ou du marqueeur. Cliquez ensuite sur les boutons Haut/ Bas pour modifier la valeur du segment selectionné par étapes de 1 unité.
Cliquez dans l'affichage pour selectionner une mesure, un battement, une double-croche ou des marqueurs. Cliquez ensuite sur le curseur et deplaceze-le vers le haut ou vers le bas pour modifier par etapes de 1 unité.
Cliquez dans l'affichage pour selectionner une mesure, un battement, une double-croche ou des marqueurs. Saisissez ensuite un nombre, puis appuyez sur [Entree].
Vous pouvez également seLECTIONner un segment, saisir un nombre precedé d'un signe [+] pour ajouter ou d'un signe [-] pour soustraire le nombre de la valeur actuelle. Ensuite, appuyez sur [Entrée].
Double-cliquez dans l'affichage. Saisissez ensuite la valeur souhaitation, puis appuyez sur [Entrée].


Vou puez éditer les autres affichages de segments dans l'inspecteur du séquenceur de la même façon que décrit ci-dessus.
Bulles d'aide
Si vous passez la souris sur un contrôle du panneau d'un module et que vous patientez un instant, une bulle d'aide apparaitra. La bulle d'aide affiche le nom du paramètre associé à ce contrôle ainsi que sa valeur actuelle. Cela vous aide à effectuer des réglages précis, à définir plusieurs paramètres sur la même valeur, etc.

Vous pouvez annuler la fonction de bulle d'aide en désactivant l'option « Afficher la bulle d'aide des valeurs de paramètres » dans la section « Apparance » de la page Général de la boite de dialogue Préférences.

Menu contexts
Les menus contextuels sont précisé adaptés pour contir les éléments de menu pertinents dans les situations en cours. L'utilisation de plusieurs menus contextuels vous permet de travailler plus vite et plus efficacement avec Reason.
Pour faire apparaitre un menu contextual, cliquez avec le bouton croit de la souris (Windows) ou [Ctrl]-cliquez (Mac) sur l'objet, la section ou la zone souhaitee dans Reason.

Menu contextuel du panneau de module du mixeur 14:2
Si vous utilisez une souris Mac à deux boutons, vous pouvez effectuer le réglage nécessaire pour que le bouton droit fasse office de [Ctrl]-clic. De cette façon, vous pouvez cliquer avec le bouton droit de la souris pour faire apparaitre le menu contextualuel.
Le contenu des menus contextuels dépend de l'endetroit où vous-cliquez. Vous trouvez les types primaires des menus contextuels dans Reason :
Menu contexts de paramètre
Si vous cliquez sur un contrôle pouvant être automatisé (un paramètre de mixeur, un paramètre de module, un fader, etc.), le menu contextuel contiendaure les éléments suivants :

- Fonctions d'édition et d'effacement des données d'automation enregistrées pour le contrôleur.
- Fonctions d'association des commandes du clavier d'ordinateur et/ou de messages MIDI au paramètre. Cela vous permet de contrôler à distance les paramètres à partir d'un module MIDI ou d'un clavier d'ordinateur.
Menu contexts de module
Si vous cliquez sur un module dans le rack (pas sur un paramètre ou sur un affichage), le menu contextuel contendra les éléments suivants :

Menu contextuel du panneau de module du mixeur 14:2
- Les éléments Couper, Copier, Coller, Supprimer et Dupliquer un module et une piste, vous permettant de réarranger et de:gérer les modules du rack.
- Les commandes de gestion des groupes de modules.
- Une copie du menu Créer, vous permettant de créé de nouveaux modules.
- Un sous-menu « Aller à», répertiorant tous les modules connectés au module actuel.
La selection d'un module dans le sous-menu Aller a fait defiler le rack pour faire apparaitre le module.
- Les fonctions d'auto-routage et de déconnexion.
Cela vous permet de router (connector) ou déconnecter automatiquement et de façon logique un module sélectionné.
- Les fonctions Grouper et Dégrouper sont utilisées lorsque vous souhaitez exploiter ou exclure le module sélectionné dans une configuration Combinator.
- Un élément Parcourir les instruments pour vous permettre de chercher dessons pour un module instrumental sélectionné.
Cet élément est disponible uniquement pour les modules instrumentaux.
- Les éléments supplémentaires propres au module.
Si le module est basé sur les patterns, plusieurs fonctions de pattern (Couper/Copier/Coller, Supprimer, Déplacer, Randomiser, etc.) seront disponibles. Elles agissant sur la pattern actuellement sélectionnée dans le module.
Si le module utilise des patches, des fonctions de gestion des patches seront disponibles.
En fonction du module, il peut également y avoir des fonctions spécifiques au module. Le module de boîte à rythme, par exemple, dispose de fonctions de manipulation de la pattern du son de batterie sélectionné uniquement, etc.
- « Créer une piste pour... » et « Supprimer un piste pour... » sont utilisés si vous souhaitez créé une piste de séquenceur pour le module sélectionné ou supprimer une piste de séquenceur pour le module, sans supprimer le module lui-même.
L'elément « Aller à la piste pour... » fera défiler la piste de séquenceur correspondante pour la faire apparaitre dans le séquenceur. - L'élement « Verrouiller une surface de contrôle sur ce module » vous permet de verrouiller une surface de contrôle connectée au module sélectionné.
Menu contextuel de « l'arrière-plan » du rack
Si vous cliquez sur une zone vide du rack, le menu contextualuel contiendra les éléments suivants :

- Un élément Coller les modules et les pistes, vous permettant de coller tous les modules et pistes copiés ou coupés.
- Une copie du menu Créer, vous permettant de créé de nouveaux modules.
Menu contexts du séquenceur
Si vous cliquez sur le séquenceur, les menus contextuels contiennent les éléments liés à l'edition des pistes, des clips et des événements. Les éléments disponibles seront différents selon la section ou la bande sur laquelle vous cliquez (liste des pistes, bande de notes, etc.) et selon si vous cliquez ou non sur un événement de note ou d'automation.
Par exemple, les menus contextuels du séquenceur contiennent des fonctions d'insertion ou de suppression de mesures et de pistes, de modification ou de suppression d'événements de notes et d'automation.
Annuler et Rétabir
Quasiment toutes les actions dans Reason peuvent être annulées. Cela englobe la création, la suppression et la réorganisation des modules dans le rack, les régliages de valeurs de paramètres, l'enregistrement et l'édition dans le séquenceur, etc. Vous pouvez annuler jusqu'à 30 actions.
Pour annuler la derniere action, selectionnez « Annuler » dans le menu Édition ou maintenez la touche Ctrl ou Cmd enforcée, puis appuyez sur [Z].

L'action à annuler est indiquée à côté de la commande Annuler dans le menu Édition. Par exemple, si vous dernière action a été de supprimer un ou plusieurs modules du rack, le menu Édition affichera « Annuler la suppression des modules et des pistes »
Pour rétablit la première action annulée (« annuler l'opération d'annulation »), Sélectionnez « Rétablit » dans le menu Édition ou maintenez la touche Ctrl ou Cmd enforcée et appuyez sur [Y].
De la même façon, l'action a rétablier est affichée dans le menu Édition.
À propos des annulations et des rétablissements multiples
Le concept d'annulations multiples nécessite unelication : Vous pouvez annuler jusqu'à 30 actions. Autrement dit, Reason dispose d'un historique d'annulation contenant jusqu'à trente étapes.
Supposons que vous ayez effectué les actions suivantes :
- Créer un module mixeur.
- Crééur un module synthétiseur.
- Ajuster le paramètre d'attaque du module synthétiseur.
- Modifier le panoramaque du module synthé dans le mixeur.
- Ajuster le tempo de lecture dans le panneau de transport.
Après ces cinq actions, l'historique d'annulation ressemblera à ce qui suit :
ANNULER
- Ajustement du tempo
- Modification du panoramicque
- Ajustement de l'attaque
-
Création du module synthétiseur
-
Création du module mixeur
Si vous scélectionnez à présent Annuler, la dernière action (modification du tempo) sera annulée et déplacée dans une « liste de rétablissements » :
| ANNULER | RÉTABLIR |
| 4. Modification du panoramicque | |
| 3. Ajustement de l'attaque | |
| 2. Création du module synthétiseur | |
| 1. Création du module mixeur | 5. Ajustement du tempo |
Sélectionner à nouveau Annuler annule l'action suivante dans la liste (ajustement de panoramaque) :
| ANNULER | RÉTABLIR |
| 3. Ajustement de l'attaque | |
| 2. Création du module synthétiseur | 4. Modification du panoramaque |
| 1. Création du module mixeur | 5. Ajustement du tempo |
Si vous sélectionnez à prisent Rétablir, la toute dernière action annulée sera rétablie. Dans ce cas, votre ajustement du panoramaque sera à nouveau effectué (et à nouveau ajoute à l'historique d'annulation):
| ANNULER | RéTABLIR |
| 4. Modification du panoramaque | |
| 3. Ajustement de l'attaque | |
| 2. Création du module synthétiseur | |
| 1. Création du module mixeur | 5. Ajustement du tempo |
À ce stade, vous pouvez encore rétablier la modification de tempo. Mais si vous souhaitez au contraire effectuer une autre action (par exemple modifier le niveau du module synthétiseur dans le mixeur), cette action sera placée en première position dans l'histoire d'annulation et la liste de rétablissement sera effacée.
| ANNULER | RéTABLIR |
| 5. Modification du niveau | |
| 4. Modification du panoramaque | |
| 3. Ajustement de l'attaque | |
| 2. Création du module synthétiseur | |
| 1. Création du module mixeur | (Vide) |
Vos ne pouvez plus rétablit la modification de tempo « annulée »!

REASON
Chapitre 3
Touches de piano
à l'écran
À propos de ce chapitre
Ce chapitre déscrit les fonctions de la fenêtre Touches de piano à l'écran.
Cette fenêtre permet de jouer des modules instrumentaux soit à l'aide de la souris, soit à l'aide du clavier de l'ordinateur. Vous disposez ainsi d'un moyen simple et pratique d'entrée des notes ou des accords même lorsqu'aucun clavier maître MIDI n'est relié à l'ordinateur.

Utilisation des touches de piano à l'écran
Ouverture de la fenêtre Touches de piano
Pour ouvrir cette fenêtre, Sélectionnez « Afficher les touches de piano à l'écran » dans le menu Fenêtres ou appuyez sur [F4].
À l'instar de la fenêtre Outils, la fenêtre Touches de piano à l'écran « flotte » en haut des autres fenêtes, et reste toujours visible.
Pour saisir des notes, vous disposez de deux modes : « Souris » ou « Touches du clavier »
En mode Souris, vous utilisez la souris pour saisir des notes, et en mode Touches du clavier, vous avez recours au clavier de votre ordinateur. Ces deux modes sont décrits séparément ci-après.
Les boutons situés au milieu de la fenêtre permettent de basculer d'un mode à l'autre.

Boutons Mode.
- Indépendamment du mode, la fenêtre Touches de piano à l'écran suit toujours l'entrée du clavier maître.
Cela signifie que les touches de piano déclenchent le module associé à la piste possédant une entrée du clavier maître. L'entrée des touches de piano fusionne avec les entrées du clavier/surface de contrôle apparentées de sorte que vous pouvez les utiliser simultanément. - La plage de notes disponible est de 10 octaves (de C -2 à E 8).
- Lorsque la fenêtre Touches de piano à l'écran est en mode Souris, vous pouvez la redimensionner en cliquant sur le cadre de la fenêtre que vous faites glisser selon les procédures standard.
Le mode « Souris » est particulièrement utile car il vous permet d'adapter l'affichage de la fenêtre à la plage de notes souhaitée.
Navigateur de clavier
Il existe dans les deux modes et présente la zone complète de jeu. La zone verte indique la tessiture disponible dans la fenêtre Touches de piano à l'écran.

Les touches qui générent un son sont indiquées par une bande grise au-dessus du clavier dans le Navigateur de clavier. Cela est utile lorsque vous jouez un patch où seules certaines touches ou tessitures produit un son, comme un fichier REX ou un patch de sampler.

Définition de l'étendue d'octaves
Il existe plusieurs manières de définir l'étendue d'octaves :
Cliquez sur les flèches situées de part et d'autre du navigateur de clavier.
Chaque cli c per met de monter ou de descendre d'une octave.

Cliquez et faites glisser la zone verte correspondant à la zone de jeu du navigateur de clavier.
Le chiffre de l'octave en cours est always affiché pour la touche la plus à gauche - par défaut la touche [A] sur le clavier de l'ordinateur.
Mode souris

Si you selectionnez le mode Souris, la fenetre Touches de piano presente un clavier de piano standard.
Pour saisir des notes, il suffit de cliquer sur le clavier avec votre souris.
Comme indiqué précédemment, la piste prête à l'enregistrement régit le module instrumental joué.
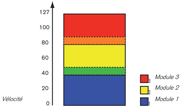
Les touches sont sensibles à la velocité. Plus vous cliquez haut sur la touche, plus la velocité est réduite, et inversement.
L'etendue de la velocité se situe entre 40 et 127.

Velocités de notes basses et hautes.
Vous pouvez définir l'etendue d'octaves du clavier grâce aux flèches situées de part et d'autre du clavier du navigateur.
Chaque touche C contient le numero d'octave. Vous pouze également faire glisser la zone de jeu verte à votre convenance pour magnétiser les étendues d'octaves.
En mode Souris, le clavier peut etre redimensionné verticalément et horizontallement.
Le redimensionnement horizontal etend ou diminue la tessiture. En redimensionnant la fenetre verticalement, vous modifie la taille des touches du clavier ainsi que la tessiture.
Ajouter du maintien
Si vous appuyez sur la touche [Maj] pendant que vous saississez des notes, les notes sont maintainues, comme si vous utilisiez une pédale de sustain.
Fonctions Répéter et Maintenir
La fonction Régiter répète continuèment la dernière note cliquée sous forme de noires entrecoupées de soupirs (au tempo en cours).
Cette fonction est utile lorsqu'vous manipulez des paramètres de synthétiseur ou que vous recherchez des patches. Cochez ou découvertes cette case pour activer/désactiver cette fonction.
La fonction Maintenir maintient les touches cliquées enfoncées tant que la fonction reste active.
Cochez ou décochez cette case pour activer/désactiver cette fonction.
Mode Touches du clavier

Lorsque le mode Touches du clavier est selectionné, la fenêtre Touches de piano à l'écran affiche une représentation graphique (partielle) d'un clavier d'ordinateur. Vous ne pouvez pas redimensionner la fenêtre dans ce mode.
En mode Touches du clavier, vous pouze jour des notes et des accords grâce au clavier de votre ordinateur. L'etendue du clavier Touches du clavier est fixée à 18 notes (de C à F), bien que l'etendue d'octaves vous donne accès à toutes les notes au sein des dix octaves affichées dans le navigateur. Vous pouze également cliquer sur les touches avec votre souris pour jour des notes. Les touches numériques de la ligne supérieure ne permettent pas de saisir des notes mais seront à définir la velocité, voir "Velocité".
L'agencement par défaut des touches du clavier reflète logiquement l'agencement d'un clavier de piano composé de touches blanches et noires.
La première touche (la plus à gauche) représenté la note C et ainsi de suite jusqu'à F une octave au-dessus. Par défaut, la touche [A] joue le premier C, la touche [W] un C# et ainsi de suite, suivant les normes d'un clavier de piano. Si vous le souhaitez, vous pouvez personnaliser la note en définissant une affectation de touche dans la page Préférences - Langue et clavier d'ordinateur (voir "Touches de piano à l'écran" dans les Préférences).
Étendue d'octave
Appuyez sur la touche [Z] ou [X] du clavier de votre ordinateur pour monter ou descendre d'une octave.
La fenêtre Touches de piano à l'écran contient également des boutons Octave « Z » et « X » qui fonctionnent de la même manière.
Voir "Définition de l'étendue d'octaves" pour découvert r autres fon ons de modifier I'etendue d'octave.
Fonctions Répéter et Maintenir
Voir "Fonctions Repeter et Maintenir".
Ajouter du maintainen
Appuyez sur la touche [Maj] pendant la saisie des notes pour les maintainir, comme si vous utilisiez une pédale de sustain.
La fenêtre Touches de piano à l'écran contient également un bouton Sustain qui accomplit la même fonction.
Vélocité

En mode Touches du clavier, la velocité des notes saisies est définie à l'aide des touches numériques situées dans la ligne supérieure. La valeur actuelle définie s'affiche également dans le champ Velocité. Les touches numériques correspondant aux valeurs de velocité suivantes :
| Touché numérique | Vélocité |
| 1 | 1 |
| 2 | 14 |
| 3 | 28 |
| 4 | 42 |
| 5 | 56 |
| 6 | 70 |
| 7 | 84 |
| 8 | 98 (par défaut) |
| 9 | 112 |
| 0 | 127 |
Variation de la velocité

Cette fonctionnalité fait varier de manière aléatoire les valeurs de velocité des notes que vous saississez. Il existe quatre modes; Aucun (par défaut), Léger, Moyen et Fort. Voici les différents degrés de variation de la velocité :
| Mode | Variation |
| Aucun (par défaut) | 0 |
| Léger | +/- 5% |
| Moyen | +/- 10% |
| Fort | +/- 25% |

REASON
Chapitre 4
Principes de l'audio
À propos de ce chapitre
Ce chapitre contient des informations utiles sur la prise en charge et le routage audio de Reason. Certaines informations peuvent sembler un peu techniques, mais nous vous conseillons de les dire pour tirer le meilleur parti de Reason.
Comment Reason communique avec votre matériel audio
Reason reçoit, génére et lit de l'audio numérique - un flux de valeurs numériques en forme de un et de zéro. Pour que vous puissiez enregistrer ou lire quoi que ce soit, le son doit être converti du format analogique au format numérique lors de l'enregistrement, et du numérique à l'analogique lors de la lecture, par le biais d'un équipement d'écoute quelconque (des haut-parleurs, un casque audio, etc.).
La plupart du temps, cette conversion est prise en charge par la carte son installée sur votre ordinateur, ou par une interface audio externe connectée via USB ou FireWire. Pour obtenir la meilleure performance possible, Reason requiert un pilote ASIO pour la carte son sous Windows. Sous les systèmes Mac OS X, Reason supporte les pilotes Core Audio.
Pour receivevoir et restituer du son numérique avec le matériel audio de l'ordinateur, Reason utilise le pilote que vous avez selectionné dans la boîte de dialogue Préférences. Dans le rack de l'écran, cette connexion est représentée par l'interface matérielle (également appelée module matériel):

L'interface matérielle est toujours située en haut du rack.
! Si vous utilisez Reason comme esclave de ReWire, Reason enverra au contraire l'audio numérique vers l'application maitresse ReWire (généralement un programme de séquenceur audio), qui à son tour prendra en charge la communication avec le matériel audio. Voir "ReWire" pour plus de détails.
L'interface matérielie contient 64 « prises » d'entrée et de sortie, chacune accompagnée d'un indicateur et d'un vumetre. Vous disposez également de deux entrées de sampling pouvant être utilisées pour le sampling de l'audio dans les modules de sampler. 16 prises d'entrée et de sortie sont affichées sur le panneau principal et 48+48 prises supplémentaires s'affichent si le bouton « Plus d'audio » est activé sur le panneau principal. Chacun des indicateurs représentée une connexion à une entrée ou à une sortie de votre interface de matériel audio (ou au canal ReWire d'une autre application si vous utilisez ReWire).
Cependant, le nombre d'entrées et de sorties disponibles dépend du nombre d'entrées et de sorties de votre interface matérielie audio. Par exemple, si vous utilisez une carte son standard avec des entrées et des sorties stéréo, seules les deux premières entrées et sorties seront disponibles. Sur l'interface matérielie, les indicateurs sont affichés en vert pour chaque entrée et sortie active et connectée. L'activation des entrées et des sorties sur votre interface matérielie audio s'effectue sur la page Audio dans la boîte de dialogue Préférences (voir "Canaux d'entrée et de sortie actifs").
Les entrées et les sorties actuelles connectées ont un indicateur vert. Les entrées et les sorties disponibles mais non connectées ont un indicateur jaune et toute connexion à des entrées et des sorties non disponibles ont un indicateur rouge.

Dans ce cas, les entrées 1 et 2 sont disponibles mais non connectées, les sorties 1 et 2 sont disponibles et connectées, tandis que la sortie 3 n'est pas disponible, mais connectée à l'arrière de l'interface matérielie.
Routage audio manuel
Dans la plupart des cas, vous connectez le module MClass Mastering Suite Combinator aux sorties 1 et 2 de l'interface matérielle. Cette connexion se fait automatiquement des que vous creez un nouveau morceau. Toutefois, il se peut que vous souhaitiez parfois router manuellement l'audio à d'autres sorties de l'interface matérielle.
Pour envoyer le son d'un module du rack vers une sortie précise, vous devez router la sortie du module vers le jack de sortie correspondant de l'interface matérielle. Cela s'effectue en utilisant les câbles de patch à l'arrête du rack, comme déscrit dans "Routage manuel". Si on returne le rack, en appuyant sur la touche [Tab], l'interface matérielle ressemble à ceci :

A l'arrière de l'interface matérielle les entrées 1 et 2 sont disponibles mais non connectées, Les sorties 1 et 2 sont disponibles et connectées, et la sortie 3 est connectée mais indisponible.
Qualité audio
La qualité audio d'un système d'enregistrement informatique dépend de deux facteurs :
- La qualité du logiciel calculant le son.
Dans notre cas, c'est le programme DSP (Digital Signal Processing) de Reason. - La qualité de l'interface matérielle audio utilisé pour enregistrer et dire le son.
Logiciel
- Reason utilise des calculs sur 32 bits à virgule flottante pour toutes les opérations audio internes.
Ainsi, vous obtenez la plus haute qualité audio possible à travers toute la chaîne du signal. - Reason prend en charge des résolutions 16, 20 et 24 bits pour l'audio en entrée et en sortie.
- Reason prend en charge toutes les fréquences de sample standard entre 44.1 kHz et 192 kHz.
Reason supporte également des fréquences de sample plus basses, mais il n'est pas recommandé d'utiliser une fréquence du sample inférieure à 44.1 kHz, car cela risque d'affector la qualité du son.
- Plusieurs techniques audio numériques sont intégrées dans Reason pour réduire le risque de pollution du signal, de bruit de fond, de distorsion indésirable et de bruit de « friture »
Matériel audio
La qualité sonore réelle d'une interface matérielles audio dépend de nombreux paramètres : la bande de féquences et la courbe de réponse en féquences, la résolution (profondeur de bits), le rapport signal/bruit, la distorsion dans diverses circonstances, etc. De plus, certaines conceptions sont plus susceptibles que d'autres de subir les perturbations d'autres apparéils électroniques dans l'ordinateur. De telles perturbations peuvent ajouter des bourdonnements ou dessons aigus dans le signal.
Le seul conseil que l'on puisse vous donner est que si vous voulez produit du son sérieusement, vous necez avoir toute matière audio avec la plus grande attention !
Réglages audio
La fréquence de sample et la résolution sont des propriétés audio numérique déterminant la qualité du son.
Généralement, plus la fréquence d'échantillonnage et la résolution sont élevées,straße est la qualité du son (mais également plus les fichiers seront lourds et plus cela nécessitera de puissance de calcul de la part de l'ordinateur et du matériel audio). Le tableau ci-dessous montre des combinaisons courantes de fréquence d'échantillonnage et de résolution :
| Fréquence d'échantillonnage : | Résolution : | Commentaire : |
| 44.1 kHz | 16 bits | Format utilisé pour les CD audio standard. |
| 44.1 kHz - 192 kHz | 24 bits | Formats utilisés dans les studios professionnels et pour les équipements d'enregistrement haut de gamme. |
Pour faire face à toutes les situations, Reason prend en charge de multiples fréquences d'échantillonnage et résolutions.
Réglages de la fréquence d'échantillonnage pour l'enregistrement et la lecture
Reason gère tout le traitement interne de l'audio à une résolution de 32 bits à virgule flottante. Cependant, la résolution de l'audio en entrée et sortie est déterminée par l'interface matérielle audio. Cela signifie que si vous avez une carte son 24 bits, Reason enregistre et restitue le son en 24 bits, et si vous avez une carte son 20 bits, le son est enregistré et lu en 20 bits.
La fréquence de sample pour l'enregistrement et pour la lecture peut être spécifiée sous l'onglet Audio dans la boîte de dialogue Préférences (accessible à partir du menu Édition (Win) ou du menu Reason(Mac)):

Sélectionnez la fréquence de sample de votrechioix dans le menu déroulant.
Notez que les options disponibles sur ce menu pop-up dépendent des fréquences d'échantillonnage supportées par le matériel audio.
! Reason prend en charge les fréquences de sample dans le même morceau !
Reason permit l'importation (ou l'enregistrement) de son de n'importe qu'elle fréquence d'échantillonnage. Si la fréquence d'échantillonnage originale d'un enregistrement est différente de la fréquence actuellément paramétrée pour la carte son, Reason effectuera automatiquement une conversion de la fréquence d'échantillonnage.
Tout d'abord, un algorithme de conversion de la fréquence d'échantillonnage est utilisé (ce qui permet au son d'être lu immédiatement). Pendant ce temps, en arrêté-plan, le programme calcule une conversion de la fréquence d'échantillonnage de qualité supérieure qui sera utilisée lors qu'elle aura été calculée. L'indicateur de progression CALC dans le panneau de transport s'allume à chaque fois que le programme effectue des calculs de haute qualité en arrêté plan :

L'indicateur de progression CALC apparait sur le panneau de transport quand Reason effectue un calcul de l'audio de haute qualite.
Paramétrage de la taille du tampon
Laaille du tampon peut être spécifiée sous l'onglet Audio dans la boîte de dialogue Préférences (accessible à partir du menu Edition (Win) ou du Menu Reason (Mac)):

Sélectionnéz la taille du tampon en cliquant et en déplaçant le curseur de côte.
Toute la difficulté consiste à tracer l'équilibre optimal entre la qualité audio, la charge du DSP et la latency. Combinez différents paramétrages de la fréquence d'échantillonnage avec différents paramétrages de la taille du tampon jusqu'à obtention du meilleur résultat.
Une interface audio professionnelle utilisée sur un ordinateur de pointe doit être capable de gérer sans problèmes une combinaison de haute fréquence d'échantillonnage (96 kHz) avec une petite taille de tampon (64-128 samples). Une interface à budget plus réduit nécessite normalement une fréquence d'échantillonnage plus BASSE (44.1 kHz) combinée à une taille de tampon plus grande (256-512 samples).
Voir "À propos de la latence" pour plus d'informations sur la taille du tampon et la latence.
Paramétrages de la limite d'utilisation du processeur
Limin d'utilisation du processeur
80%

Dans la section « Divers » de la page « Général » des Préférences, vous pouvez définir une limite à ne pas dépasser pour l'utilisation du processeur. Si la charge DSP dépasse cette limite, l'application Reason cessera de receiveoir et de restituer du son. Si cela se produit, vous devrez peut-être modifier les paramétres audio (voir “Réglages de la fréquence d'échantillonnage pour l'enregistrement et la lecture” et “Paramétrage de la taille du tampon”) - ou oter des pistes et/ou des modules de votre morceau. Par défaut, la « limite d'utilisation du processeur » est fixée à 80%. C'est à ce niveau que la charge du processeur commence à faire grésiller le son et à le distordre.
À propos de la transformation audio MultiCore
Reason prend entitrement en charge la transformation audio MultiCore. Ce qui peut dire que si vous ordinateur a des noyaux de proceseurs multiples (Dual Core ou Quad Core par exemple), ou bien des proceseurs multiples, les performances de Reason en sont grandement améliorées. Un système aux performances plus élevées vous permet d'ajouter plus de pistes et de modules dans vos morceaux.
Si vous ordinateur a un processeur multi-core, ou plusieurs processeurs, la transformation audio MultiCore s'active par défaut, comme indiqué dans la page « Généralités » des préférences:
Limin d'utilisation du processeur : 80%

Charger son par défaut dans nouveaux modules (Configure en même temps l'emplacement de navigation par défaut.)
Déclencher notes pendant édition
Utiliser le rendu audio multicore
Réglage de la tonalité générale
Par défaut, Reason joue un « la » à 440 Hz, qui correspond à l'accordage standard de la plupart des instruments. Cependant, si vous utilisez Reason avec d'autres instruments, vous pouvez souhaiter modifier l'accordage :
- Sélectionnez « Préférences... » dans le menu Édition (Win) ou le menu Reason (Mac).
- Sélectionnez la page « Audio » dans le menu dérouulant.
- Ajustez l'accordage global à l'aide du curses ou des boutons de contrôle « Tonalité générale »

Si vous le souhaitez, vous pouvez également ajuster la tonalité générale durant la lecture.
! Le réglage de la tonalité générale affecte l'accordage de toutes les sources de son dans Reason. Il affecte également l'accordage de Redrum et du lecteur de boucle Dr.Rex.
À propos des volumes audio
Lorsque vous enregistrez et que vous lisez avec Reason, gardez un oeil sur les indicateurs d'échéage d'entrée et de sortie audio sur le panneau de transport, ou sur l'interface matérielie et le Big Meter. Si l'un des indicateurs d'échéage s'allume, cela signifie que le volume audio est trop important, ce qui provoquera un clipping (distorsion numérique).

L'indicateur d'échéage restera allumé un court moment, pour être plus facilement remarqué.
Les indicateurs d'échéage dans les vu-mêtres d'entrée et de sortie audio sur le panneau de transport

Big Meter sur l'interface matérielie
Pour remédier au clipping d'entrée audio, réglez le niveau à la source d'entrée, c'est-à-dire sur l'interface matérielie audio ou sur le préampli connecté à l'interface matérielie audio.
! Lors de l'enregistrement de signaux audio externes, le clipping ne peut pas etre ajuste dans I'application Reason ; il doit etre ajuste dans la source d'entree audio !
! Lors du sampling de l'audio en interne à partir de modules du rack, vous doivent ajuster le niveau de sortie sur le module source afin de vous assurer que le clipping ne se produit pas sur l'interface matérielle.
Pour remédier au clipping de sortie audio, réduisez le volume général du mixeur (ou d'un autre module) connecté à l'interface matérielle, jusqu'à ce que le clipping de sortie audio ne s'allume plus lors de la lecture. Vous pouvez également utiliser le MClass Maximizer en tant qu'Insert d'effet après le mixeur pour vous assurer qu'il n'y ait jamais de clipping - voir "MClass Maximizer".
Pour un meilleur aperçu des niveaux, faites apparaitre le Big Meter sur l'interface matérielle en cliquant sur le bouton « Big Meter » du panneau avant. Puis sélectionnez les paires entrée ou sortie à afficher dans le Big Meter en cliquant sur le bouton de sélection du canal sous chaque paire entrée ou sortie. Vous pouvez également sélectionner un canal en actionnant la molette de sélection de canal.
Si le niveau audio est ou a etrop elevé, les indicateurs d'ecretage du Big Meter restent allumés jusqu'à ce que vous cliquez sur Réinitialiser ou que vous selectionniez un nouveau canal audio pour le Big Meter.
! Dans certaines situations, l'indicateur d'échéage de sortie audio sur le panneau de transport et sur l'interface matérielle Reason s'allume si le clic du métronome est activé dans le séquenceur pendant la lecture (voir "Clic et Pré-comptage"). Il n'y a pas lieu de s'inquiétér, cela ne provoquera aucune distorsion sur votre morceau. Pour déterminer si c'est bien le métronome qui provoque une indication de clipping, désactivez simplement le clic et regardez si le clipping s'arrête.
! Notez queILA n'a pas d'importance si les vu-mêtres de modules individuels (effets, voies de mixage, etc.) « passent dans le rouge ». Le clipping de sortie ne peut se produit que dans l'interface matérielle.
En effet, en interne, Reason utilise un traitement à virgule flottante haute résolution, ce qui garantit une qualité audio élevé et une hauteur quasiment illimitée. Dans l'interface matérielle, l'audio à virgule flottante est converti à la résolution utilisée par l'interface audio de l'ordinateur, et c'est à ce niveau que le clipping en sortie audio peut apparaitre.
Si vous utilisez plusieurs sorties
Si vous utilisez une interface audio avec plusieurs sorties, differents modules connectés à ces sorties pourraient vous etre utiles. Si I'indicateur d'échéage de sortie audio du panneau de transport s'allume, lisez a nouveau la section en vérifiant l'interface matérielle Reason. Chaque prise de sortie dispose d'un vu-metre - si le segment rouge du vu-metre s'allume, la sortie produit un clipping.

La sortie7indique unclippingaudio.
L'indicateur pour la sortie 7 sur l'interface matérielle indique un clipping
Si nécessaire,appelez le Big Meter et selectionnez la paire de sortie ou le clipping a lieu. Reduisez le niveau du module connecté à la sortie produit un clipping jusqu'à la disparition de ce dernier.
Si vous utilisez ReWire
Si vous envoyez l'audio en temps réel vers une autre application en utilisant le protocole ReWire, le clipping ne peut pas survenir dans Reason. Cela est dû au fait que la conversion de l'audio à virgule flottante ne se produit que dans l'autre application. Voir "ReWire" pour plus d'informations.
Informations générales sur l'informatique et le son
À propos de la latence
Sur un ordinateur personnel, il existe un déali entre le moment où vous entrez un son ou bien le moment où vous « demandez » à l'ordinateur de dire un son et le moment où vous l'entendez effectivement. Ce déali est appelé « latence ». Cela pose un problème pour tout système qui doit modifier le son à partir d'entrées de données d'utilisateur en temps réel.
Qu'est-ce qui provoque la latence ?
Toutes les applications audio reçoivent et générent leur son par fragments. Chacun de ces fragments est alors envoyé à la carte audio où ils sont temporairement stockés avant d'être convertis en signaux audio normaux. L'emplacement de stockage de ces fragments est appelé « tampon ». (Une analogie pourrait être faite avec une chaîne de personnes, chacune portant unseau, l'eau allant d'unseau dans l'autre jusqu'à atteindre sa destination finale).
Plus les tampons sont petits et moins il y en a, plus le système répondra vite (latence plus BASSE). Les règles générales concernant la taille des tampons sont les suivantes :
- Une taille de tampon réduite réduit la latence (le temps que met le son à « parcourir » le chemin entre la ou les entrée(s) de l'interface audio et l'application et entre l'application et la ou les sortie(s) de l'interface audio).
Cependant, une taille de tampon réduite augmente aussi la charge DSP. Une trop grande diminution de la taille du tampon peut aussi provoquer un grésillement et une distorsion du son.
- Une taille de tampon elevée réduit la charge DSP (ce qui permet à plus de pistes d'être lues simultanément) et assure aussi une bonne qualité audio.
Cependant, une taille de tampon elevée augmente aussi la latence.
Une fréquence de sample elevée réduit également la latence. Celle-ci augmentera cependant les besoin en puissance de calcul de la part de l'ordinateur et de ses logiciels. Si le système ne peut pas déplacer suffisamment vite les données vers et depuis les tampons, cela créera des problèmes se traduisant par des interruptions dans la lecture du son.
Pour ne rien arranger, la lecture du son entre toujours en conflit avec les autres activités de votre ordinateur. Par exemple, une taille de tampon parfaitement régée en temps normal peut s'avérer trop faible lorsque vous essayez d'ouvoir des fichiers durant la lecture, de basculer vers un autre programme quand Reason est ouvert ou simplement de dire un morceau particulièrement complexe.
Quelles sont les valeurs acceptables ?
Sur un PC normal, la latence peut varier de façon importante. Cela est dû au fait que les ordinateurs et leur système d'exploitation ont été créés pour différentes tâches et pas seulement pour l'enregistrement et la lecture audio. Pour du multimédia et pour des jours, une latence de 100 ms peut être tout à fait acceptable, mais pour l'enregistrement et la lecture audio,ça ne l'est certainement pas!
- Une carte son de PC sous Windows fonctionnant avec un pilote MME (extension multimédia) permet au moins une latence d'environ 160ms.
- La même carte avec un pilote DirectX sous Windows permet une latence minimum d'environ 40 ms.
- Une carte spécialement conçue pour une latence basse, avec un pilote ASIO sous Windows ou Mac OS X, ou un pilote Core Audio sous Mac OS X, permet d'obtenir un temps de 2-3 ms, ce qui est tout à fait acceptable pour des applications audio. Voilà également une des raisons pour lesquelles les pilotes ASIO ou Core Audio sont requis pour executer Reason.
Le séquenceur interne de Reason n'est pas affecté par la latence
Lorsque le séquenceur de Reason lit un morceau, le temps entre notes et audio est parfait! Une fois que la lecture d'un pattern ou d'un morceau issu(e) de Reason est lancée, la latence n'entre plus en ligne de compte. L'ordinateur temporise le son entre les pas avec la précision d'un horloger! Le timing est parfait!
ReWire et latence
Lorsque vous lancez Reason en tant qu'esclave de ReWire, c'est le second programme, le maître ReWire, qui prend en charge la transformation audio et la lecture via la carte son. Cela signifie qu'une latence existe dans le maître ReWire.
! Lorsque Reason est utilisé en tant qu'esclave ReWire, le matériel audio dont vous disposez, le pilote audio que vous utilisez et les réglages audio que vous avez effectués dans la boite de dialogue Préférences n'ont aucune importance ! Tous les réglages de matériel audio sont effectués dans l'application hôte ReWire !
Pour de plus amples informations, voir "ReWire".
Réduction de la latence
Il existe quelques méthodes générales pour vous assurer que la latence soit la plus faible possible :
Assurez-vous que vous utilisez la version la plus recente des pilotes de votre interface matérielle audio.
Réglez la fréquence d'échantillonnage et la taille du tampon en suivant les indications dans "Réglages audio".
Supprimez toutes les tâches en arrêté-plan non nécessaires de votre ordinaire.
Celles-ci peuvent être n'importe quels utiliser d'arrière-plan que vous avez installé ou des connexions réseau, des activités liées à Internet, etc.
Optimisez vos morceaux.
Il peut vous arriver de devoir augmenter la latence de sortie pour pouvoir dire un morceau très complexe sur votre ordinateur. Une autre solution consisterait à optimiser le morceau lui-même. Voir “Optimisation des performances” pour plus de détails.
Procurez-vous une(Meilleure interface audio.
Cela est nécessaire uniquement dans le cas où vous doivent augmenter la latence de sortie parce que votre carte son ne peut pas répondre aux exigences des morceaux que vous essayez de dire.
Choisissez un ordinateur plus rapide.
Cela est nécessaire uniquement dans le cas où vous doivent augmenter la latence de sortie parce que vous ordinateur ne peut pas répondre aux exigences des morceaux que vous essayez de dire.
A propos des processeurs
Lorsque you utilisez Reason, la rapidité de votre processeur devient un facteur important pour déterminer le nombre de pistes audio et de modules pouvant être utilisés en même temps.
Si vous pensez acheter un ordinateur spécifique pour Reason, mettez toutes les chances de votre côté etCHOisissez au moins un processeur Intel P4, ou un processeur AMD équivalent, tournant à 2,0 GHz ou plusrapidement encore. Les processeurs MultiCore permettent deaillesures performances et sont donc vivementrecommendés.
À propos de la RAM (mémoire vivé)
La quantité de RAM installée sur votre ordinateur constitue un autre facteur important pour sa performance. On dit généralement que plus il y en a,比较好 c'est, sur tout si on exécute plusieurs applications en même temps. Pour Reason, un minimum de 1 GB de RAM est nécessaire, mais vous obtiennent une performance encoreAITRE si vous en avez plus.
Informations spécifiques au Mac
À propos des entrées et sorties audio intégrées
Tous les modèles de Macintosh sont fournis avec une interface audio intégrée, équipée de jacks entrée et sortie stéreo (et dans certains cas d'un micro intégré). Selon vos besoin, la qualité de ces entrées et sorties peut être parfaitement satisfaisante pour une utilisation avec Reason. Cependant, sous Mac OS X 10.4, le système présente les entrées et sorties intégrées sous forme de deux ou trois modules audio individuels. Cela signifie que par défaut, vous pouvez uniquement sélectionner l'option « Sortie intégrée » dans les préférences de Reason. Cela fonctionne très bien pour la lecture, mais en l'absence d'entrées, vous ne pouvez pas enregistrer de son.
Pour acceder aux entrées et aux sorties intégrées dans Mac OS X 10.4, vous devez créé un « Périphérique agrégé » qui combine les entrées et les sorties en un module audio « virtuel ». L'éditeur de périhérique agrégé vous permet de créé ce module.
! Bien que les périphériques agrégés soient utilisables, les modules audio normaux avec des entrées et des sorties se sont avérés plus sûrs et permettent un taux de latence plus bas. C'est pourquoi nous recommendons plutôt l'utilisation d'une interface matérielles audio externe avec de buns pilotes Core Audio.
! Dans Mac OS X 10.5 et versions ultérieures, les pilotes Core Audio prennet en charge les combinaisons des entrées et des sorties audio. Si vous exécutez Reason sous Mac OS X 10.5 ou version ultérieure, vous ne devez pas créé de péripérisque agrégé !
Pour creer un periphérique agregé, procedez de la maniere suivante :
- Dans OS X, ouvre « Configuration audio et MIDI » dans le dossier « Utilitaires » sous « Applications »
- Sélectionnez « Ouvrir l'éditeur de péripérisque agrégé » à partir du menu Audio.

L'éditeur de périphérique/agrégé
- Dans l'éditeur de péripérisque agréged, cliquez sur le bouton + pour créé un nouveau péripérisque agréged.
Vous peuvent le denomner si vous le souhaitez. - Cochez la case « Utiliser » pour chacun des modules audio que vous souhaitez utiliser. Par exemple, pour employer « l'entrée de ligne intégrée » et la « sortie intégrée», cochez ces deux cases.
! Si vous souhaitez utiliser le « micro intégré » avec la « sortie intégrée», notez qu'il peut y avoir des boucles de回头 audio si vous utiliserez les haut-parleurs intégrés de l'ordinateur ou des haut-parleurs externes proches du micro intégré! Nous vous recommendons de ne PAS utiliser l'options « Micro intégré», en partie à cause du problème de la boucle de回头 et de la qualité audio limitée du micro intégré.
5. Cliquez sur « Terminate » pour terminer et pour quitter l'éditeur de périhérique agrége.
6. Dans la fenêtre Configuration audio et MIDI, Sélectionnez le périphérique agrége que vous venez de créé dans les listes déroulantes « Entrée par défaut » et « Sortie par défaut »
7. Sélectionnez votre périphérique agrégué à partir de la liste du menu déroulant « Propriétés » et paramétrz le « Format » dans les listes du menu déroulant qui apparaissent dans les sections « Entrée audio » et « Sortie audio » au bas de la fenêtre.
→ Sélectionnez « 2ch-24bit » pour une meilleure résolution audio.
8. Une fois les réglages terminés, quitter la Configuration audio et MIDI.
! Si Reason était ouvert pendant la création de votre nouveau périphérique agrégé, vous devez redémarrer Reason pour que le nouveau périphérique soit disponible dans la liste déroulante « Carte son » sur la page « Audio » de la boîte de dialogue Préférences.

REASON
Chapitre 5
Fonctions du
séquenceur
À propos de ce chapitre
Ce chapitre déscrit l'agencement et les fonctions générales du séquenceur principal. Les chapitres "Enregistrement dans le séquenceur", "Édition de notes et d'automation", "Arrangement dans le séquenceur" et "Utilisation des blocs du séquenceur" expliquent en détails comment enregistrer, modifier des clips et des événements, réaliser des arrangements et utiliser des blocs dans le séquenceur.
Introduction
Le séquenceur est l'endetroit où vous enregistrez vos morceaux. Il peut servir à enregistrer des pistes audio instrumentales, des contrôleurs de performance, l'automation des paramètres et l'automation de pattern. Vous pouvez également arranger vos morceaux en totalité ou en partie dans les blocs. En mode Blocs, vous pouze créé des « sections » entières (comprenant le nombre souhaité de mesures et de pistes) que vous pouze réutiliser tout au long du morceau. Ce chapitre s'attache principalement à déscrire le mode Morceau et le mode Édition. Les fonctions relatives aux blocs et au mode Blocs sont décrites dans le chapitre séparé “Utilisation des blocs du séquenceur”.
Aperçu du séquenceur

Mode Morceau et mode Édition
Si le bouton Blocs du panneau de transport est désactivé, seul le bouton du mode Édition est affchéé dans la barre d'outils. Si le bouton Blocs du panneau de transport est activé, les boutons du mode Morceau et du mode Bloc apparaissent également dans la barre d'outils. Le mode Morceau est en « mode normal » lorsque vous travailliez l'arrangement de votre morceau. Ce mode vous donne un bon aperçu du contenu des pistes de votre morceau.
Si le bouton Blocs du panneau de transport est activé, vous pouvez cliquer sur le bouton du mode Bloc pour entrer dans le mode Bloc. Dans le mode Bloc, vous arranger les clips que vous souhaitez intégrer dans des blocs spécifiques (voir "Utilisation des blocs du séquenceur"). Le mode Édition vous permet de modifier le contenu des clips de votre morceau. En mode Édition, le panneau Édition présente des informations détaillées sur le contenu d'une piste (voir "Aperçu des pistes"), ou d'une bande (voir "Aperçu des bandes"), à un moment donné et permet en outre de modifier ces événements dans des clips individuels (voir "Aperçu des clips")
Lorsque you ouvre un clip de notes en double-cliquant dessus dans le mode Morceau ou Bloc, le séquenceur bascule automatiquement en mode Édition. Toutefois, si vous double-cliquez sur un clip d'automation de paramètre, il s'ouvre directement pour l'édition dans le mode Morceau ou Bloc.
Mode Morceau

En mode Morceau, tous les clips de toutes les pistes sont affichés. Utilisez ce mode pour avoir une vue d'ensemble de votre arrangement, ainsi que lorsque vous souhaitez effectuer des éditions basées sur les clips comme le réarrangement de sections entières de votre morceau, etc.
! Notez que lorsque le bouton Blocs du panneau de transport est désactivé, aucun autre bouton du mode Morceau n'est disponible dans la barre d'outils, simplement car le mode Morceaux est le mode par défaut ici.
Mode Édition

En mode Édition, vous pouvez voir en détaill les enregistrements d'une piste. En mode Édition, le panneau Édition peut être divisé en plusieurs lignes horizontales contenant plusieurs types d'événements (notes, velocité, automation de paramètre, etc.). Choisissez ce mode d'affichage pour éditer avec précision le contenu de vos clips enregistrés, et pour dessiner des notes, des contrôleurs de performance et d'autres événements manuellement.
Aperçu de la barre d'outils

La barre d'outils du séquenceur contient divers outils d'édition ainsi que la fonction Magnétisation. Ces outils sont disponibles aussi bien en mode Édition qu'en mode Morceau/Bloc, à quelques différences près. Voir “Détails de la barre d'outils” pour plus de détails sur chaque outil.
Aperçu de la liste des pistes

À gauche du séquenceur figurent toutes les pistes prsentes dans la liste des pistes. Chacune est associée à un module spécifique dans le rack. Enclinuant sur l'icone d'un module dans la liste des pistes, vous définisse automatiquement l'entrée du clavier maître (voir "Définir l'entrée du clavier maître") sur le module correspondant dans le rack en vue de la lecture et/ou de l'enregistrement.
Aperçu des pistes

Dans un morceau, la plupart des modules du rack ont leur propre piste dédiée dans le séquenceur lorsque vous crééz le module. Chaque piste peut contenir une ou plusieurs bandes dans lesquelles il est possible d'enregistrer des événements de notes, de contrôleurs de performance, de patterns et d'automation de paramètre - dans des clips. Voir "Informations sur les pistes" pour plus d'informations sur les pistes.
! Si le bouton Blocs du panneau de transport est activé, la piste des blocs apparaît également en haut dans la liste des pistes.
Aperçu des bandes

Chaque piste est composée d'une (par défaut) ou de plusieurs bandes parallètes. Les bandes peuvent contérer des clips compensant des événements de notes. Une piste possède également des bandes d'automation qui s'accompagnent de clips avec des événements d'automation de paramètre - ou d'automation de pattern pour les modules basés sur les patterns. Voir "Informations sur les bandes" pour plus d'informations sur les bandes.
Aperçu des clips

Les événements de note, , du contrôleur de performance, de pattern et d'automation de paramètre sont toujours contenus dans des clips. Un clip est essentiellement un « contueur » destiné aux données enregistrées. Les événements de note s'affichent sous la forme d'un rouleau de piano mécanique (« piano roll ») dans le clip. Les événements des contrôleurs de performance et d'automation de paramètre seprésentent sous la forme de lignes continues, et les événements de pattern apparaissent sous la forme d'une succession de rectangles dans les clips. Voir “Bases des clips” pour plus d'informations sur les différents types de clips.
Aperçu de l'inspecteur

L'inspecteur dépendant du contexte contient des propriétés relatives aux éléments sélectionnés dans le séquenceur : clips, notes, événements d'automation, lignes de comp etc. Les propriétés des éléments sélectionnés sont modifiables grâce aux champs de valeurs prênts dans les différents affichages. Voir “À propos de l'inspecteur” pour plus d'informations.
Aperçu de la règle

La règle correspond à la « ligne temporelle » du morceau exprimée en mesures. Dans la règle, le pointeur de position indique la position actuelle dans le morceau, c'est-à-dire la mesure à partir de laquelle le morceau est lu ou va être lu. La règle s'accompagne également d'indicateurs de boucle gauche et droit ainsi que d'un marqueur de fin. Voir “Détails de la règle” pour plus de détails.
Aperçu du panneau Édition/Arrangement

Le panneau Édition/Arrangement correspond à la grande partie centrale du séquenceur. C'est là que tous les événements enregistrrés sont placés dans des clips - dans une ou plusieurs bandes sur leur piste respective.
Aperçu du navigateur de morceaux

En dessous du panneau Édition/Arrangement se trouve le navigateur de morceaux. Celui-ci permet de faire défiler le contenu du panneau Édition/Arrangement et de zoomer horizontally. Le navigateur de morceaux contient également des indicateurs pour la règle, comme les indicateurs de boucle, le pointeur de position et le marqueur de fin. Tous les clips et toutes les bandes apparaissent sous forme de lignes colorées qui indiquent leur position dans le morceau. Voir “Défilament” et “Zoom dans le séquenceur” pour plus de détails.
Aperçu du panneau de transport

Le panneau de transport contient les contrôle des transports du séquenceur (retour rapide, avance rapide, stop, lecture et enregistrement) ainsi que les contrôle des tempo, de signature rythmique, de position, d'emplacements de l'indicateur de boucle et de temps, et d'autres fonctions. Voir "Détails du panneau de transport" pour plus de détails.
Informations sur les pistes
Définition de piste
Les pistes du séquenceur sont le lieu où vous enregistrez l'audio, les notes et l'automation nécessaires pour创建工作 des morceaux. Une piste est toujours associée à un module dans le rack (à l'exception de la piste de transport et de la piste des blocs). Une icône avec une image du module associé apparait dans la liste des pistes située à gauche dans le séquenceur. La liste des pistes contient le nom du module associé ainsi que les icônes et boutons liés à la piste spécifique. Chaque piste peut intégrer divers types de bandes (en fonction du type de piste). À droite de la liste des pistes - dans le panneau Édition/Arrangement - chaque piste possède sa propre zone dédiée aux événements enregistrrés.
La figure ci-dessous illustré six pistes du séquenceur. De haut en bas la piste du transport (qui est toujours présente et ne peut pas été déplaced ni supprimée) apparait ainsi que cinq pistes instrumentales, chacune reliée à un module instrumental.

Entrée du clavier maître
La façon standard de router le MIDI à partir d'un clavier maître MIDI connecté ou d'une surface de contrôle vers un module du rack est de définir l'entrée du clavier maître dans le séquenceur. Lorsque le MIDI est routé vers une piste sélectionnée du séquenceur, les notes et les données de contrôleurs sont automatiquement envoyées vers le module correspondant.
- Vous doivent définir l'entrée du clavier maître sur une piste instrumentale pour pouvoir les notes sur un module d'instrument à partir de la vente clavier maître MIDI (et pour contrôler les paramètres du module d'instrument via MIDI).
En verrouillant des claviers MIDI supplémentaires pour séparer les modules dans le rack, vous pourrez jouer et enregistrer sur plusieurs pistes du séquenceur simultanément, voir "Verrouiller une surface".
- La définition de l'entrée du clavier maître sur une piste « non instrumentale » (automation de paramètre seulement) est nécessaire uniquement si vous souhaitez contrôle les paramétres du module via MIDI.
Outre le routage standard décrit ci-dessus, il est également possible de verrouiller certains modules du rack pour des surfaces de contrôle spécifique. Voir "Verrouiller une surface" pour plus de détails.
! Si vous possédez plusieurs claviers/surfaces de contrôle MIDI verrouillés sur des modules individuels du rack, il est possible de contrôler et d'enregistrer plusieurs pistes simultanément !
Définir l'entrée du clavier maître
Pour définiir l'entrée du clavier maître sur une piste et sur son module correspondant, cliquez sur l'icone du module dans la liste des pistes.

Entrée de clavier maître définie sur une piste instrumentale
L'icone de module s'accompagne du symbole d'un clavier et d'une cordure rouge indiquant que la piste et le module correspondant possèdent l'entrée du clavier maître. La piste et le module répondront désormais aux données MIDI provenant d'un clavier MIDI connecté ou d'une surface de contrôle. Par défaut, le fait de définir l'entrée du clavier maître sélectionne automatiquement la piste, qui est alors indiquée par une couleur plus foncée dans la liste des pistes.
Il est également possible de définir l'entrée du clavier maître independament de la sélection de piste en scélectionnant « Séparé » dans les Préférences (page « Claviers et surfaces de contrôle ») - voir “Préférences - Claviers et surfaces de contrôle”.
- L'entrée du clavier maître ne peut être associée qu'à une seule piste à la fois. Toutefois, si vous avec verrouillé des claviers MIDI supplémentaires sur des modules spécifique du rack via Remote (voir "Verrouiller une surface"), vous pourrez les jour et les enregistrer avec la piste qui possède une entrée du clavier maître.
Relations entre les pistes, les bandes, les clips et les événements
Dans l'organisation du séquenceur, une piste figure en haut de la liste des pistes. Elle peut être composée d'une ou de plusieurs bandes parallètes. Une bande contient des clips, qui à leur tour contiennent des des événements de note, de contrôleur de performance, d'automation de paramètre ou de pattern, en fonction du type de piste.

Une piste instrumentale avec quatre bandes de note contenant des clips pour les événements de note.
- Dans le rack, un module ne pourrait jamais avoir plusieurs pistes dans le séquenceur.
- Un clip fait office de « contueur » pour divers types d'événements (note, contrôleur de performance, automation de paramètre ou de pattern).
Types de pistes
Voici les différents types de pistes :
- Piste des blocs.


La piste des blocs apparait en haut de la liste des pistes uniquement lorsque le bouton Blocs du panneau de transport est activé. Sur la piste des blocs, vous pouvez créé des clips d'automation de blocs afin de désçider des blocs à dire. Veuillez consulter "Utilisation des blocs du séquenceur" pour plus d'informations concernant la fonction Blocs.
- La piste de transport.


La piste de transport est toujours presente en haut de la liste des pistes et ne peut être ni déplacée ni supprimée. La piste de transport peut avoir au maximum deux bandes : une avec l'automation de signature rythmique et l'autre avec l'automation de tempo. Voir "Automation de la signature rythmique" et "Édition de l'automation du tempo" pour plus de détails.
Pistes instrumentales


Les modules susceptibles de receivevoir des notes MIDI, comme le module Combinator, recoivent automatiquement une piste prete à l'enregistrement lors de leur création. Sur une piste instrumentale, vous pouze creator plusieurs bandes de notes séparées qui peuvent contérer des clips avec une combinaison d'evénements de notes et de contrôleurs de performance. Plusieurs bandes sont parfaites si vous enregistrez, par exemple, des pistes de batterie et que vous souhaitez enregistrer chaque son sur une bande distincte. Une piste instrumentale peut également s'accompagner de plusieurs bandes d'automation de paramètre avec des clips contenant des événements d'automation de paramètre d'instrument.
- Pistes (« non instrumentales ») d'automation de paramètre


Les pistes des modules qui ne recoivent pas de données de notes MIDI (par exemple, les modules d'effets et de mixeur, et les) ne peuvent contir que des bandes d'automation de paramètre. De tels modules « non instrumentaux » ne recoivent pas automatiquement une piste lors de leur creation. Pour automatiser les paramètres des modules non instrumentaux, vous doivent creer à cet effet une piste manuelle. Le nombre de pistes disponibles est limité par le nombre de paramètres de chaque module. Il peut y avoir une bande pour chaque paramètre pouvant être automatisé dans le module.
Éléments de la liste des pistes
La figure ci-dessous présente une liste des pistes avec quatre pistes. De haut en bas, figurent la piste du transport (qui est toujours présente et ne peut pas etre ni déplacee ni supprimee), une piste instrumentale associée a un module NN-XT, une piste instrumentale associée a un module Combinator et une piste d'automation associée a un module RV7000.
La piste de transport de cette figure contient deux paramètres Bandes d'automation (pour la signature rythmique et le tempo) qui ont été créés manuellement pour cette piste. La piste NN-XT ne présente qu'une seule bande de notes. La piste Combinator s'accompagne de quatre bandes de notes et de deux bandes d'automation ajoutées. La piste RV7000 est associée au module RV7000 et compte trois bandes d'automation de paramètre ajoutées.

En fonction du type de piste, les éléments affichés dans la liste des pistes varient. Le bouton « Enregistrement de l'automation des paramètres » est le seul élément commun aux quatre types de pistes. Ceui-ci doit être activé pour enregistrer l'automation des paramètres du module correspondant. Ce paramètre et d'autres éléments de piste sont décrits en détaill plus loin dans ce chapitre.
Creation de pistes
Création d'une piste instrumentale
Pour creer une piste instrumentale, il you suffit de creer le module instrumental. Une piste instrumentale est createe automatiquelement lorsque you creez un module capable de receiveoir des notes MIDI :
- Dans le menu « Créer», Sélectionnéz le type d'instrument voulu.
Sinon, pour sélectionner un patch Instrument et le charger automatique dans le type de module approprié, maintenez enfoncée la touche Ctrl ou Cmd et appuyez sur [I], ou Sélectionnez « Créer un instrument » dans le menu « Créer » pour afficher le navigateur de patch. Sous Windows, vous pouvez également appuyer sur la touche [Insert] pour ouvrir le navigateur de patches. Le navigateur permet de visualiser et de Sélectionner les patches avant de les charger dans l'instrument.
Sinon, glissez-déposez, ou double-cliquez sur, le module instrumental voulu dans l'onglet « Palette de modules » de la fenêtre d'outils. Ou alors, pour afficher le navigateur de patches, cliquez sur le bouton « Créer un instrument » sous l'onglet « Palette de modules »
2. Un module instrumental est créé dans le rack et la piste correspondante est automatiquement généree dans le séquenceur.
Création d'une piste d'automation des paramètres pour un module non instrumental
Concernant les modules non instrumentaux, tels que les modules d'effets, vous doivent创建工作 un piste pour enregistrer l'automation des parametes. Vous pouze soit suivre la procEDURE précite ci-dessous, soit suivre une des deux dernières procedures dans "Création/ajout de bandes d'automation".
La procédure de création de piste décrite ci-après est également valable si vous avez supprimé manuellement la piste d'un module instrumental et que vous souhaitez en créé une nouvelle pour ce module :
- Sélectionné le module en cliquant dessus dans le rack.

Une cordure autour d'un module dans le rack indique qu'il est selectionné.
- Dans le menu Édition ou dans le menu contextuel du module, Sélectionnez « Créer une piste pour (nom du module) »
! Notez que si une piste existe déjà pour le module, cet élément de menu ne sera pas disponible - un module ne peut avoir qu'une piste.
- La nouvelle piste sera automatiquement associée au module et prendra le même nom.

Une autre façon de creer une piste d'automation des parametes consiste a maintainir enfoncée la touche Alt ou Option et de cliquer sur un parametre dans le panneau du module. Sinon, selectionnez « Editor l'automation » dans le menu contextual du parametre.
Si vous appuyez sur Alt ou Option lorsque vous creez un module non instrumental, vous génerez automatiquement une piste d'automation correspondant au module.
Sélection des pistes
Sélectionnéz une piste par un clic dans la liste des pistes
La piste sélectionnée devient plus foncée.


- La sélection d'une piste dans le séquenceur fait automatiquement apparaitre le module correspondant dans le rack.
Vous pouvez également sélectionner la piste précédente ou suivante dans la liste des pistes en utilisant les touches de direction haut et bas de votre clavier d'ordinateur.
! Par défaut, la sélection d'une piste configure automatiquement l'entrée du clavier maître sur cette piste. Si vous préférez définir l'entrée du clavier maître indépendamment de la sélection des pistes, Sélectionnez le mode « Séparé » dans le menu Préférences (page « Claviers et surfaces de contrôle »). En mode « Séparé », vous pouze sélectionner une autre piste sans automatiquement changer l'entrée du clvier maître. Pour modifier l'entrée du clvier maître, cliquez sur l'icone du module dans la piste voulue de la liste des pistes.
Il est possible de selectionner plusieurs pistes, en utilisant les techniques de selection standards [Maj] ou Ctrl/[Command] (Mac).
Cela vous permet par exemple de déplacer ou de supprimer plusieurs pistes en une seule fois.
Déplacement des pistes
Pour déplacer une piste vers une autre position dans la liste des pistes, cliquez sur la poignée de la piste (la partie la plus a gauche de la piste) et faites-la glisser vers le haut ou vers le bas.
Une ligne d'insertion rouge montre l'endetroit où la piste sera placee lorsque vous relacherez le bouton. Tous les clips de toutes les bandes de la piste seront déplacés en meme temps que la piste.

Vouss pouvez utiliser la même technique pour déplacer plusieurs pistes sélectionnées en même temps. Utilisez les sélections standard avec [Maj] (Win)/[Command] (Mac) pour sélectionner des pistes non adjacentes.
Tri des modules et en fonction de l'ordre des pistes
Notez que l'ordre des pistes dans la liste des pistes du séquenceur est totalment indépendant de l'ordre des modules dans le rack. Toutefois, il est possible de réorganiser les modules et les en fonction de l'ordre de la piste dans la liste des pistes :
- Sélectionnez dans la liste des pistes celles dont vous souhaitez réorganiser les modules.
- Sélectionnez « Trier les groupes de modules sélectionnés » dans le menu Édition ou dans le menu contextual de la piste.
Les modules correspondants sont désormais réorganisés selon l'ordre des pistes sélectionnées dans la liste des pistes.
! Notez que cette réorganisation affecte uniquement le modules et des pistes sélectionnées - les autres modules ne sont pas affectés.
Suppression de pistes
Le scenario le plus courant serait sans doute de supprimer une piste avec son ou ses module(s) correspondant(s). Toutefois, il est également possible de ne supprimer que la piste tout en conservant le ou les module(s) correspondant(s) dans le rack.
Suppression des pistes avec leurs modules correspondants
Pour supprimer une ou plusieurs pistes avec leurs modules associés dans le rack, Sélectionnez les pistes puis désissez « Supprimer les pistes et les modules » dans le menu Édition ou depuis le menu contextualuel de la piste. Sinon, appuyez sur la touche [Suppr] ou [Retour arrêté].
Un message d'ajretissement vous demande de confirmer ou d'annuler la suppression des pistes et des modules.
! Si vous supprimez la piste du module source, et que « Groupement automatique de modules et de pistes » est activé dans le menu Options, un message vous demande si vous souhaitez supprimer l'ensemble du groupe de modules. Si vous maintainez enforcée la touche Ctrl ou Cmd pendant la suppression, le groupe de modules complet sera supprimé sans que le message d'advertisement se déclenché.
Voir "À propos des groupes de modules" pour plus informations sur les groupes de modules.
Suppression des pistes uniquement
Pour supprimer une ou plusieurs pistes, selectionnez-les puis selectionnee « Supprimer les pistes » dans le menu Édition ou depuis le menu contextuel de la piste.
Les pistes seront effacées sans aucune alerte mais vous pouvez toujours utiliser la fonction d'annulation. Voir "Annuler et Retablir".
Si vous avez supprimé la piste d'un module et que vous souhaitez créé une nouvelle piste correspondante, suivez les procédures dans "Création d'une piste d'automation des paramètres pour un module non instrumental".
Duplication/copie des pistes et des modules
Comme il est impossible pour un module spécifique d'avoir plus d'une piste, vous ne pouze pas copier ou dupliquer uniquement une piste. Ces opérations vont au contraire dupliquer/copier à la fois la piste (y compris tous les clips de la piste) et le module associé (et tous ses réglages). Le module dupliqué/copie est en réalisité un module séparé mais il porte le même nom et les mêmes réglages que le module original bien que son nom soit précédé de « Copie de » pour le différencier de l'original.
Pour effectuer des copies de pistes et de leur module associé, ainsi que toutes les bandes et clips enregistrés, utilisez l'une des méthodes suivantes :
! Notez que si « Groupement automatique de modules et de pistes » est activé dans le menu Options, le groupe de modules complet associé à la piste sera copié/dupliqué lorsque vous réaliserez les procédures décrites ci-dessous.
Voir "À propos des groupes de modules" pour plus informations sur les groupes de modules.
Maintenez enfoncée [Option] (Mac) ou [Ctrl] (Windows), cliquez sur la poignee de la piste et déplacez les pistes selectionnées vers un nouvelle position dans la liste des pistes.
→ Sélectionnez « Dupliquer les pistes et les modules » dans le menu Édition ou depuis le menu contextuel de la piste.
Pour faire apparaitre le menu contextual, [Ctrl]-cliquez (Mac) ou cliquez droit (Windows) sur la piste dans la listedes pistes. La piste dupliquee sera ajoutee sous la piste originale.
→ Sélectionnez « Copier les pistes et les modules » dans le menu Édition ou depuis le menu contextuel de la piste.
Cela vous permet d'insérer la piste et le module copiedé en sélectionnant « Coller » depuis le menu Édition ou depuis le menu contextuel de la piste. La piste copiee sera collée sous la piste actuelflement sélectionnée.
! Notez que si « Groupement automatique de pistes et de modules » est activé dans le menu Options, un module dupliqué/copié n'aura pas de connexions audio auto-routées. Pour entendre le module dupliqué, sélectionnez-le et choisissez « Router automatiquement le module » dans le menu Édition ou dans le menu contextuel. Sinon, returnez le rack et connectez les sorties audio à des modules existants. Vous pouvez également rendre muette la piste originale pour éviter de doubler les notes.
- Si vous maintenez enforcée la touche [Maj] et que vous scélectionnez Coller dans le menu Édition ou dans le menu contextualuel, les modules copés seront auto-routés vers une voie de mixage disponible.
Couleur des pistes
Il est possible d'associer une couleur à une piste dans le séquenceur comme suit :
Pour assigner une nouvelle couleur à une piste sélectionnée,CHOISSEZ « Couleur de la piste » dans le menu Édition.
La couleur de la piste apparait à l'arrière-plan dans la liste des pistes. La couleur de la piste sélectionnée sera également assignée à tous les nouveaux clips enregistrés ou dessinés dans ce rack. Les ancients clips enregistrés dans ce rack ne changent pas de couleur. Pour changer la couleur des clips déjà enregistrés, reportez-vous à "Coloriage des clips".
Si « Couleur automatique pour les nouvelles pistes du séquenceur » est activé dans le menu Options, les nouvelles pistes obtiendront automatiquement une nouvelle couleur à leur création.
La couleur de la piste sera automatiquement selectionnée dans la palette à sa création.
Nommer les pistes
Vous pouvez nommer, ou renomer, une piste en double-cliquant sur son nom dans la liste des pistes, en saississant un nom et en appuyant sur [Entrée].
Notez que le fait de nommer/renommer une piste change également le nom du module source associé dans le rack (et vice versa).
Voir "À propos des groupes de modules" pour plus informations sur les groupes de modules.
Pliage des pistes
Pour réduire la hauteur visible de la piste et obtenir ainsi un meilleur aperçu des pistes dans le séquenceur, il est possible de plier les pistes.
Pour plier/déplier une piste, cliquez sur la flèche située sur la poignée de la piste.


Une piste dépliee


La même piste pliee
Une piste reliée n'affichera pas les bandes individuelles dans la liste des pistes et dans le panneau Édition/ Arrangement, les clips seront affichés sous forme de bandes horizontales. Si la piste reliée possède plusieurs bandes, tous les clips des bandes seront affichés comme des bandes empilées verticalement dans le mode arrangement. Les événements dans les clips ne seront pas affichés.
Les opérations basiques sur les clips (seLECTION, déplacement, copie, etc.) sont disponibles pour les pistes reliées, bien qu'il soit généralement préférible de déplier une piste si vous souhaitez éditer son contenu, car cela vous offre un meilleur aperçu.
Pour plier/déplier toutes les pistes dans le séquenceur en une seule étape, appuyez sur Alt ou Option et cliquez sur la flèche située sur la poignée de la piste.
Il est également possible de plier/déplier uniquement les bandes d'automation sur une piste en cliquant sur la flèche située sur l'onglet d'automation des paramètres. Voir “Éléments de bande d'automation de paramètre” pour plus de détails.
Rendre une piste muette
Rendre une piste muette signifie la rendre silencieuse, de sorte qu'aucune donnée ne sera envoyee depuis la piste lors de la lecture. Cela peut etre très utile lorsque vous essayez différentes versions d'arrangement, pour faire apparaitre et disparaitre des éléments du mixage durant la lecture.
Pour rendre muette (silencieuse) une piste, cliquez sur le bouton Mute (M) correspondant dans la liste des pistes.
Tous les éléments présents sur la piste seront muets.

Un bouton M rouge dans la liste des pistes indique que la piste est muette.
Pour entendre la piste à nouveau, cliquez à nouveau sur le bouton M.


Plusieurs pistes peuvent etre muettes en meme temps, auquel cas vous pouze faire en sorte quelles ne soient plus muettes en cliquant sur le bouton M general en haut de laiste des pistes.
- Notez que vous pouvez également rendre muettes des bandes et des clips individuels sur une piste. Consultez "Rendre muettes les bandes" et "Rendre les clips muets".
Mettre en solo des pistes
Mettre en solo une piste signifie que toutes les pistes du séquenceur sont muettes, à l'exception de la piste solo.
Pourmettreune piste en solo,cliquez sur le bouton Solo (S) correspondant dans listedespistes.
Cela rend muettes toutes les autres pistes (non mises en solo). Les pistes mises en solo s'accompagnent de boutons vert S.

Ici, la piste « Accords filtrés » est solo (indiqué par un bouton « S » vert).
Toutes les autres pistes sont automatiquement rendues muettes (indiqué par les boutons « M » rouges)
Pour désactiver le mode solo, cliquez de nouveau sur le bouton S vert.
Plusieurs pistes peuvent etre en solo en meme temps, auquel cas vous pouze annuler ces solos en meme temps en cliquant sur le bouton S general en haut de la liste des pistes.


Informations sur les bandes
Une piste est composée d'une (par défaut) ou de plusieurs bandes parallètes. En fonction du type de piste, les clips des bandes peuvent conténir plusieurs types d'événements. Une bande peut également s'accompagner de clips avec des événements de contrôleur de performance et d'automation de paramètre - ou une sélection de pattern pour les modules basés sur les patterns.
Bande de notes

Comme son nom l'indique, la bande de notes contient des clips avec des événements de notes. Les clips d'une bande de notes peuvent également containir des événements du contrôleur de performance. Une piste instrumentale peut containir une ou plusieurs bandes de notes.
Éléments des bandes de notes

Nom
En haut à gauche figure le nom de la bande. Dès que vous créez une bande de notes, elle est automatiquement nommée « Bande n», où « n » est le nombre de la bande - par ordre chronologique. Pour changer son nom, double-cliquez dans le champ du nom, saisissez un nouveau nom puis appuyez sur la touche [Entrée] du clavier.
! Notez qu'en fonction de l'agrandissement actuel du panneau Édition/Arrangement, les noms des bandes de notes sont parfois masqués. Pour les rendre visibles, augmentez le grossissement vertical du panneau Édition/Arrangement, en cliquant par exemple sur le bouton Loupe+.

Augmentez le grossissement vertical en cliquant sur le bouton Loupe + au-dessus de la barre de défilement du séquenceur.
- Bouton Activer l'enregistrement
En dessous du nom de la bande de notes se trouve le bouton « Activer l'enregistrement ». Assurez-vous que ce bouton est activé (rouge) avant d'enregistrer sur la bande. Par défaut, ce bouton est automatiquement activé sur la dernière bande de notes créée/ajoutée lorsque vous sélectionnez une piste instrumentale.
- ListederoulanteSelectionnerlegroove
À droite du bouton « Activer l'enregistrement » se trouve la liste déroulante « Sélectionner le groove ». Vous pouvez y sélectionner un canal de ReGroove pour tous les clips de la bande. Pour obtenir plus d'informations sur ReGroove, consultez "Le mixeur ReGroove".
- Bouton Mute (M)
Cliquez sur le bouton M pour rendre muette la lecture depuis la bande.
- Barre d'activité
À droite du bouton M se trouve la barre d'activité de la bande de notes. Dès qu'une note est jouée dans un clip de la bande, la barre se colore en vert. Elle indique également la velocité des notes jouées.
- Bouton Supprimer (X)
À l'extrémité droite se trouve le bouton « Suppression de bande de notes » (X). Si vous cliquez sur ce bouton, la bande est supprimée (avec tous les clips qu'elle contient). Si la bande contient des clips, une boîte de dialogue s'affiche vous demandant de confirmer la suppression.
Bandes d'automation

Piste instrumentale avec deux bandes d'automation de paramètre
L'automation des paramètres permet de contrôler le changement des valeurs des paramètres d'un module dans un morceau. Vous pouvez par exemple automatiser un paramètre de coupure de filtré et enregistrrer des balayages de filtré à diverses positions du morceau. Ces types de changements de valeurs sont enregistrrés sur des bandes d'automation.
Celles-ci peuvent être générées dans tous les types de pistes et contérer des clips avec une automation de paramètre associée à un module et/ou une bande de canal. Une piste peut avoir autant de bandes d'automation que son module possède de paramètres automatisables.
Éléments de bande d'automation de paramètre

- Bouton Plier/Déplier
Il est possible de plier/déplier les bandes d'automation d'une piste réunies dans un groupe en cliquant sur le petit traingle de la poignée en haut à gauche de l'onglet de la bande d'automation.
Pour plier/déplier toutes les bandes d'automation de toutes les pistes du séquenceur, maintenez enforcée la touche [Alt](Win) ou
Option et cliquez sur la flèche située sur l'onglet d'une bande d'automation.
Nom
Le nom du paramètre d'automation s'affiche sur l'onglet de la bande d'automation. comme il reflète le nom du paramètre de la bande du module/canal, il ne peut pas être modifié.
- Bouton On
Le bouton « On » est actif par défaut et permet au paramètre automatisé dans le clip sur la bande de prendre effet. Vous pouvez désactiver les bandes d'automation en cliquant sur le bouton jaune « On » d'une bande pour l'éteindre. Cela gèlera la valeur du paramètre lors de l'extinction du bouton. Cliquer à nouveau sur le bouton réactivera l'automation.
- Bouton Suppression de bande d'automation (X)
À l'extrémité droite se trouve le bouton « Suppression de bande d'automation » (X). Si vous cliquez sur ce bouton, la bande est supprimée (avec tous les clips qu'elle contient). Si la bande contient des clips, une boîte de dialogue s'affiche vous demandant de confirmer la suppression. Voir “Suppression de bandes dfautomation” pour découvert d'autres façon de supprimer des bandes d'automation.
Bande de pattern

Une piste de Redrum avec une bande de pattern
Les bandes de pattern n'existent que dans les pistes qui contiennent un module basé sur les patterns, comme le module Redrum Drum ou le Séquenceur à pattern analogue Matrix. Une bande de pattern ne peut containir que des clips avec des données d'automation de la pattern Banque et Nombre. Il ne peut y avoir qu'une seule bande de pattern par piste.
Éléments d'une bande de pattern

Nom
Le nom du paramètre d'automation s'affiche sur l'onglet de la bande d'automation de pattern. Comme il reflète le nom du paramètre du module d'origine, il ne peut pas être modifié.
Bouton On
Cliquez sur le bouton On pour que l'automation de pattern du clip sur la piste prenne effet. Si vous désactivez ce bouton, vous rendez la bande de pattern muette.
- Bouton Suppression de bande de pattern (X)
À l'extrémité droite se trouve le bouton « Suppression de bande de pattern » (X). Si vous cliquez sur ce bouton, la bande est supprimée (avec tous les clips qu'elle contient). Si la bande contient des clips, une boîte de dialogue s'affiche vous demandant de confirmer la suppression. Voir “Suppression de bandes de pattern” pour découvert d'autres façon de supprimer des bandes de pattern.
Création/ajout de bandes
Ajout de bandes de notes
Voupez ajouter de nouvelles bandes de notes sur une piste instrumentale. Cela peut etre utile dans les circonstances suivantes :
- Si vous souhaitez superposer (overdub) des notes ou l'automation de performance sans enregistrer dans les clips existants.
- Si vous pouze enregistrer une série de prises sur des bandes de notes séparées, et decide ultérieurement qu'elle prise est la meilleure (ou pour créé un composite).
- Si vous poulez appliquer des grooves Regroove différents à plusieurs parties d'une piste ou si vous souhaitez placer différents grooves dans des batteries séparées sur une pistes de batterie.
Yououpouzecrierde nouvellesbandesde notes pour lespistes instrumentalesselectionnéesde laformaison suivante :
→ Sélectionnez « Nouvelle bande de notes » dans le menu Édition ou dans le menu contextual. Une nouvelle bande de notes sera créée et optimisée automatiquement pour l'enregistrement.
Cliquez sur le bouton « Nouvelle bande de notes » (Bandes +) en haut de la liste des pistes.


Une nouvelle bande de notes sera créée et optimisée automatiquement pour l'enregistrement.
Cliquez sur le bouton « New Dub » dans le panneau de transport.

Une nouvelle bande de notes sera créé et optimisée automatiquement pour l'enregistrement. Voir "Enregistrement de notes avec les fonctions « Dub » et « Alt »" pour plus de détails.
Cliquez sur le bouton « New Alt » dans le panneau de transport.

Une nouvelle bande de notes sera créé et optimisée automatiquement pour l'enregistrement. En même temps, la précédente bande de notes ou (si la boucle est activée et si le pointeur de position se trouve entre les indicateurs gauche et droite) les clips entre les indicateurs gauche et droite seront rendus muets. Voir “Enregistrement de notes avec les fonctions « Dub » et « Alt »” pour plus de détails.
- Notez que les fonctions « New Dub » et « New Alt » peuvent également être utilisées à la volée pendant l'enregistrement sans stopper le séquenceur.
Creation/ajout de bandes d'automation
Il est possible de creer des bandes d'automation pour tous types de pistes.
- Pendant l'enregistrement d'une piste, si vous modifiez les valeurs d'un paramètre sur la bande de module/de canaux, une nouvelle bande d'automation sera automatiquement créé pour chaque paramètre. Voir "Enregistrement de l'automation des paramètres" pour plus de détails.
Procedez comme suit pour creer manuellement une bande d'automation de paramètre sur une piste selectionnée :
Maintenez enforcée la touche Alt ou Option et cliquez sur un parametre de module dans le rack. Sinon, selectionnez « Éditer l'automation » dans le menu contextuel du paramètre.
Un nouvelle bande d'automation sera automatiquement créé dans la piste pour la bande de canal ou le module correspondant. Le paramètre automatisé sur le module dans le rack est entouré en vert, ce qui indique qu'il a été automatisé.
! Notez que si une piste n'a pas encore ete create pour le module, elle le sera automatquement pendant cette opération.
Voici d'autres manières de creer ou d'ajouter des bandes d'automation de paramètre :
- Cliquez sur la liste déroulante « Automation des paramètres de la piste » en haut de la liste des pistes.

- Sélectionnez le paramètre à automatiser dans la liste.
Une nouvelle bande d'automation est automatiquement créé sur la piste selectionnée.
Si vous cliquez de nouveau dans la liste déroulante Automation des paramètres de piste, tous les noms des paramètres sélectionnés sont précédés à gauche d'un symbole, indiquant qu'une bande d'automation existe déjà pour ce paramètre.
Les paramètres automatisés sur le module dans le rack sont entourés en vert, ce qui indique qu'ils ont été automatisés.
Sinon, pour automatiser plusieurs paramètres en même temps, procédez ainsi :
- Sélectionnez « Automation de paramètre » dans le menu Édition ou dans le menu contextual.
La boîte de dialogue Automation de paramètre de la piste s'ouvre.

Si les paramètres à automatiser n'apparaissent pas dans cette boîte de dialogue, découvert chez la case « Afficher uniquement les féquents » pour visualiser tous les paramètres de module pouvant être automatisés.
2. Cochez la case en regard des paramètres que vous souhaitez automatiser et cliquez sur OK.
3. Une bande d'automation pour chaque paramètre sélectionné apparaitra sur la piste.
Les paramètres automatisés sur le module dans le rack sont entourés en vert, ce qui indique qu'ils ont été automatisés.
Création d'une bande de pattern
Pour les modules à pattern comme Redrum Drum et le Séquenceur de pattern analogue de Matrix, une seule bande de pattern peut être créé sur une piste sélectionnée. Accomplissez une des actions suivantes :
Cliquez sur le bouton « Création de bande de pattern » en haut à droite de la liste des pistes.

→ Sélectionner « Création de bande de pattern » dans le menu Édition ou dans le menu contextual.
Maintenez enfoncée la touche Alt ou Option et cliquez sur le bouton « Pattern » du module dans le rack.
Cliquez croit (Win) ou [Ctrl]-clic (Mac) sur le « Pattern » du module dans le rack et selectionnez « Éditer l'automation » dans le menu contextuel.
Lorsque you creez une bande de pattern, les boutons de banque du module dans le rack sont entourés en vert pour indiquer qu'ils ont eté automatisés.
Si vous cliquez sur les boutons Pattern et/ou Banque du module pendant l'enregistrement, une bande de pattern est automatiquement cree. Voir "Enregistrement de I'automation de pattern" pour plus de details.
Suppression de bandes
Suppression de bandes de notes
Vou pouvez supprimer une bande de notes comme suit :
Cliquez sur le bouton « Suppression de bande de notes » (X) sur l'onglet de la bande dans la liste des pistes. La bande (et tous les clips qu'elle contient) est effacée. Si la bande contient des clips, une boîte de dialogue s'affiche vous demandant de confirmer la suppression.

Pour ne pas que cette boite de dialogue apparaisse, maintenez enfoncée la touche Ctrl ou or Cmd et cliquez sur le bouton Suppression de bande de notes.
Suppression de bandes dfautomation
Il existe plusieurs manières de supprimer une bande d'automation :
Cliquez sur le bouton « Suppression de bande d'automation » (X) sur l'onglet de la bande dans la liste des pistes.
La bande (et tous les clips qu'elle contient) est effacée. Si la bande contient des clips, une boîte de dialogue s'affiche vous demandant de confirmer la suppression.

Pour ne pas que cette boite de dialogue apparaisse, maintenez enforcée la touche Ctrl ou Cmd et cliquez sur le bouton Suppression de bande d'automation.
Voici une autre façon de procéder :
Cliquez droit (Win) ou [Ctrl]-click (Mac) sur le paramètre automatisé du module dans le rack et sélectionnez « Suppression de l'automation » dans le menu contextuel.
La cordure verte autour du parametre du module disparait et la bande d'automation correspondante est effacée de la piste.
Sinon,procédez comme suit:
- Cliquez sur une piste pour la seLECTIONner.
- Cliquez sur la liste déroulante « Automation des paramètres de la piste » en haut de la liste des pistes.

- Désélectionné le paramètre à supprimer de la liste.
Tous les noms de paramètres sélectionnés sont précédés d'un symbole indiquant qu'ils sont seLECTIONnés. Si vous sélectionnez un paramètre avec un symbole dans la liste, la bande correspondante sera automatiquement effacée de la piste, avec ses clips. Si la bande contient des clips, une boîte de dialogue s'affiche vous demandant de confirmer la suppression.
Les cordures vertes qui entouraient les paramètres automatisés sur la bande du module disparaisent également.
Ou:
- Cliquez sur une piste pour la seLECTIONner.
- Sélectionnez « Automation de paramètre » dans le menu Édition ou dans le menu contextual.
La boîte de dialogue Automation de paramètre de la piste s'ouvre.

- Decochez les cases en regard des bandes d'automation à supprimer et cliquez sur OK.
Les bandes d'automation correspondantes sont effacées de la piste, avec leurs clips. Si la bande contient des clips, une boîte de dialogue s'affiche vous demandant de confirmer la suppression. Les cordures vertes qui entouraient les paramètres automatisés sur la bande du module disparaisent également.
Suppression de bandes de pattern
Il existe deux fonctions de supprimer une bande de pattern :
Cliquez sur le bouton « Suppression de bande de pattern » (X) sur l'onglet de la bande dans la liste des pistes.
La bande (et tous les clips qu'elle contient) est effacée. Si la bande contient des clips, une boite de dialogue s'affiche vous demandant de confirmer la suppression.

Pour ne pas que cette boîte de dialogue apparaïssé, maintenez enforcée la touche Ctrl ou Cmd et cliquez sur le bouton Suppression de bande de pattern.
Ou:
Cliquez droit (Win) ou [Ctrl]-click (Mac) sur la section de la pattern automatisée du module dans le rack et selectionnez « Suppression de l'automation » dans le menu contextualuel.
La cordure verte autour de la section de la pattern du module disparait et la bande de pattern correspondante est effacée de la piste.
Déplacement de bandes de notes
Une bande de notes possede une « poignee » et peutetre déplacée verticalement avec tous les clips qu'elle contient Pour déplacer une bande de notes vers une autre position dans la meme piste, procedez comme suit :
- Cliques sur la poignée (à l'extrémité gauche de la bande).

- Faites glisser la bande de notes vers le haut ou vers le bas et relâchéz le bouton de la souris lorsque vous avez atteint l'emplacement souhaité.
Comme lorsque vous déplacez une piste, une ligne rouge d'insertion montre l'endetroit où la bande de notes sera placée lorsque vous relâcherez le bouton.
- Il est également possible de déplacer des bandes de notes avec leurs clips entre des pistes.
! Les bandes d'automation et de pattern ne peuvent pas etre déplacées puisquelles sont liées à leurs modules associés. Toutefois, vous pouze déplacer ou copier des clips d'une bande à une autre.
Copie (duplication) de bandes de notes
Vouspouvez copier (dupliquer) une bande de notes à la fois avec ses clips de la façon suivante :
- Maintenez enfoncée la touche Ctrl ou Option, et cliquez et faites glisser une copie de la bande de notes vers l'emplacement souhaité.
Le curseur s'accompagne du signe + pour indiquer la duplication. La bande de notes peut etre dupliquee dans la meme piste ou dans une piste differente.
- Relâchéz le bouton de la souris.
! Les bandes d'automation et de pattern ne peuvent pas etre dupliquées.
Rendre muettes les bandes
Rendre muette une bande de notes
Pour rendre muette une bande de notes, cliquez sur son bouton Mute (M).

Bouton Mute (M) de la bande de notes
Rendre muette une bande d'automation
Pour rendre muette une bande d'automation, cliquez sur son bouton « On »

Le bouton « On » de la bande d'automation
Bases des clips
Cette section ne déscrit que les propriétés et les fonctions relatives aux clips. Voir “Arrangement dans le séquenceur” pour une description approfondie de leur fonctionnement.
Types de clips
Voici les quatre types de clips :

- Clips d'automation de blocs (uniquement si les blocs sont activés) contenant des informations sur les blocs programmés pour la lecture.
- Les clips de note contiennent des événements de note avec des valeurs de velocité. Les clips de note peuvent également containir des événements de contrôleur de performance.
- Les clips d'automation de paramètre contiennent les événements d'un paramètre de module/bande de canal automatisé.
Une clip d'automation de paramètre se désigne aisément par la forme de son cadre : l'angle supérieur droit est « coupé ».
- Les clips d'automation de pattern contiennent la banque du module + le numéro de la pattern.
Détails de la barre d'outils

La barre d'outils du séquenceur se trouve en haut à gauche de la zone du séquenceur. Vous pouvez y selectionner divers outils d'édition.
Outils de la barre d'outils
Outil Sélection

L'outil Sélection (flèche) est le principal outil utilisé pour sélectionner et déplacer des pistes, des bandes de note, des clips et des événements, et des enregistrents dans des clips. Il permet également de redimensionner des clips et des événements dans des clips. Il est sélectionné par défaut à l'ouverture d'un morceau.
Vous pouvez également sélectionner l'outil Sélection en appuyant sur la touche [Q] du clavier.
Appuyez sur Alt ou Cmd pour basculer provisoirement de l'outil Sélection à l'outil Crayon.
Outil Crayon

L'outil Crayon est utilisé pour dessiner manuellement des clips et des événements. Il permet également de modifier des valeurs de velocité dans des clips de note ouverts.
Vous pouvez également sélectionner l'outil Crayon en appuyant sur la touche [W] du clavier.
Appuyez sur Alt ou Cmd pour basculer temporairement de l'outil Crayon à l'outil Sélection.
Outil Gomme

L'outil Gomme est utilisé pour effacer des clips et des événements.
Vous pouvez également seLECTIONner l'outil Gomme en appuyant sur la touche [E] du clavier.
Appuyez sur Alt ou Cmd pour basculer temporairement de l'outil Gomme à l'outil Crayon.
Outil Rasoir

L'outil Rasoir est utilisé pour découvert des clips.
Vous pouvez également seLECTIONner l'outil Rasoir en appuyant sur la touche [R] du clavier.
Appuyez sur Alt ou Cmd pour basculer provisoirement de l'outil Rasoir à l'outil Crayon.
Outil Muet

L'outil Muet est utilisé pour rendre muets des clips dans l'arrangement - ou des bandes dans les clips d'automation de blocs (voir "Rendre des bandes muettes dans les clips d'automation de blocs").
Vous pouvez également seLECTIONner l'outil Muet en appuyant sur la touche [T] du clavier.
Appuyez sur Alt ou Cmd pour basculer temporairement de l'outil Muet à l'outil Rasoir.
Outil Loupe

L'outil Loupe permet d'agrandir et de réduire l'affichage horizontally et verticalement dans le panneau Arrangement. Il offre plusieurs possibilités :
Pour agrandir avec l'outil Loupe, cliquez dans le panneau Arrangement a I'endroit que vous souhaitez agrandir.

Placez l'outil Loupe dans le panneau Arrangement et cliquez.

Après trois clics, voici comment se présente le panneau Arrangement. L'agrandissement est identique verticalément et horizontally.
Pour réduire l'affichage avec l'outil Loupe, maintenez enforcée la touche Ctrl ou Option et cliquez.
Vous remarquerez que le signe ^+ de la Loupe se transforme en signe-.
Vous pouvez également cliquer et tracer une rectangle de sélection avec la Loupe.
La vue sera alors agrandie de sorte que la zone selectionnee replissse la totalité du panneau Arrangement.

Placez l'outil Loupe dans le panneau Arrangement, cliquez et faites-le glisser pour creer une selection.

Après avoir relâché le bouton de la souris, la sélection agrandie replilte le panneau Arrangement. L'agrandissement peut être différent verticalément et horizontallyment en fonction de la forme du rectangle de sélection.
Vous pouvez également sélectionner l'outil Loupe en appuyant sur la touche [Y] du clavier.
Appuyez sur Alt ou Cmd pour basculer temporairement de l'outil Loupe à l'outil Main.
Il est également possible d'agrandir la vue horizontally dans le panneau Arrangement en utilisant le navigateur de morceaux dans le séquenceur, comme cela est décrit dans "Zoom dans le séquenceur".
Outil Main

L'outil Main est utilisé pour faire défilier la vue dans le panneau Édition/Arrangement.
Sélectionnez-le et cliquez n'importe ou dans le panneau Édition/Arrangement, maintenez enforcé le bouton de la souris et faites-le glisser vers la vue souhaitée.

Vous pouvez également sélectionner l'outil Main en appuyant sur la touche [U] du clavier.
Appuyez sur Alt ou Cmd pour basculer temporairement de l'outil Main vers l'outil Loupe (+).
Appuyez sur Alt ou Cmd pour basculer temporairement de l'outil Main vers l'outil Loupe (-).
Il est également possible de faire défilier la vue horizontally dans le panneau Édition/Arrangement en utilisant le navigateur de morceaux dans le séquenceur, comme cela est décrit dans “Défilament à l'aide des barres de défilament et du navigateur de morceaux”.
Outils de remplacement
Pour chaque mode d'outils déscrit précédemment, il existe un outil de remplacement que l'on peut sélectionner temporairement en maintainant enfoncée la touche Alt or Cmd du clavier. Voici un récapitulatif de ces outils de remplacement :
| Outil sélectionné | Outils de remplacement |
| Outil Sélection | Outil Crayon |
| Outil Crayon | Outil Sélection |
| Outil Gomme | Outil Crayon |
| Outil Rasoir | Outil Crayon (outil Sélection lorsque vous editez un clip audio ouvert dans le panneau Édition) |
| Outil Muet | Outil Rasoir |
| Outil Loupe | Outil Main |
| Outil Main | Outil Loupe + |
| Outil Main | Outil Loupe - en appuyant sur [Alt]-[Ctrl](Win) ou [Option]-[Cmd](Mac) |
Magnétisation

La fonction Magnétisation de la barre d'outils du séquenceur est utilisé pour « limiter » l'édition de clips et d'evénements à une grille de valeurs de notes que l'utilisateur peut seLECTIONner. Lorsque vous déplacez des clips ou des événements, la fonction de magnétisation fonctionne toujours par rapport à la ou les position(s) d'origine du ou des clip(s) ou événement(s).
Sélectionnéz la grille que vous souhaitez magnétiser en sélectionnant une valeur de note dans la liste déroulante.

Activez la fonction de magnétisation en appuyant sur [S] ou en cochant la case Magnétisation.

! Notez que vous pouvez selectionner des valeurs de magnétisation différentes pour les clips selectionnés et les clips ouverts (voir "À propos des valeurs de magnétisation distinctes pour les clips selectionnés et les clips ouverts").
La fonction Magnétisation effectue les opérations suivantes :
- Déplacement du pointeur de position, indicateurs de boucle et marqueur de fin de morceau.
Si vous ajustez les indicateurs et que la magnétisation est activée, ils seront aimantés à la valeur de magnétisation sélectionnée dans une grille absolue.
- Déplacement des clips, des événements.
Lorsque you déplacez des objets alors que la magnétisation est activée, ils garderont leur distance relative par rapport aux positions de valeur de magnétisation.
- Dessin de clips.
Lorsque you creez des clips à l'aide de l'outil Crayon, leurs positions de début et de fin seront aimantées aux positions de valeur de note sélectionnées sur une grille absolue.
- Dessin des événements dans des clips ouverts.
La valeur de magnétisation détermine les points absolus de la grille sur laquelle vous pouvez dessiner une note ou un point d'automation. Elle définit également la plus petite durée des notes que vous pouvez dessiner.
- Découpage des clips avec l'outil Rasoir.
La valeur de magnétisation détermine la grille absolue sur laquelle un clip peut être découvert.
- Décalage des clips, des événements et des enregistements.
Lorsque vous décalez des clips, des événements ou des enregistrements alors que la magnétisation est activée, ils garderont leur distance relative par rapport aux positions de valeur de magnétisation.
À propos des valeurs de magnétisation distinctes pour les clips sélectionnés et les clips ouverts
Il existe deux réglages différents de valeur de magnétisation, l'un étant utilisé lorsqu'un clip est ouvert en mode Édition, l'autre lorsqu'aucun clip n'est ouvert (par exemple en mode Morceau/Blocs). Habituellement, vous définisse une valeur de magnétisation précise (par exemple 1/16) pour les clips ouverts en mode Édition et une autre sur « Mesure » pour l'arrangement de clips dans le mode Morceau/Blocs. Vous pouvez également désactiver la magnétisation dans l'un de ces deux modes, indépendamment de l'autre réglage.
- La valeur de magnétisation pour l'édition est utilisé lors qu'un clip de notes ou d'automation est ouvert (y compris lorsqu'un clip d'automation est ouvert en mode Arrangement).
Cependant, il existe une exception : si un clip de notes est ouvert en mode Édition et que vous cliquez dans la vue générale du clip (voir “Éléments du mode Édition”), le clip reste ouvert mais la valeur de magnétisation pour l'arrangement est alors sélectionnée. Cela vous permet par exemple de déplacer ou de redimensionner le clip dans la vue générale du clip de la même façon que dans le mode Morceau/Blocs, sans avoir à le fermer préalablement.
Raccourcis clavier de la barre d'outils du séquenceur
Voutrouvez ci-dessous laiste complte des raccourcis clavier destinés aux outils de selection de la barre d'outils du séquenceur.
| Fonction | Raccourci clavier |
| Sélection de l'outil Sélection | [Q] |
| Sélection de l'outil Crayon | [W] |
| Sélection de l'outil Gomme | [E] |
| Sélection de l'outil Rasoir | [R] |
| Sélection de l'outil Muet | [T] |
| Sélection de l'outil Loupe | [Y] |
| Sélection de l'outil Main | [U] |
| Magnétisation On/Off | [S] |
Détails de la règle
La règle correspond à la ligne temporelle du morceau. Dans la règle, le pointeur de position indique la position actuelle dans la morceau, c'est-à-dire la mesure à laquelle le morceau est lu ou va être lu. La règle s'accompagne également des indicateurs gauche (L) et droite (R) ainsi que d'un marqueur de fin (E).

Pour modifier les positions du pointeur de position, des indicateurs et du marqueur, cliquez et faites-les glisser vers la position souhaitee dans la regle. Notez que vous devez cliquer et faire glisser les « drapeaux » dans la regles - et non les lignes. Il est également possible de déplacer le pointeur de position et les indicateurs de boucle en saississant de nouvelles positions dans leur affichage de position respectif dans le panneau de transport du séquenceur (voir "Position du morceau" et "Position des indicateurs Gauche et Droite"). Un autre moyen de déplacer le pointeur de position consiste à utiliser les contrôles Retour rapide et Avance rapide dans le panneau de transport du séquenceur (voir "Retour rapide et Avance rapide").
Détails du panneau de transport
En bas de la fenêtre Reason se trouve le panneau de transport du séquenceur. C'est là que vous contrôle les fonctions de transport du séquenceur. Vous pouze également y définir le tempo, la signature rythmique et plusieurs autres paramètres.

Blogs On/Off
Activer/désactiver la piste des blocs en cliquant sur le bouton Blocs
Voir "Utilisation des blocs du séquenceur" pour plus d'informations.
Clic On/Off
Cliquez sur ce bouton pour activer le métronome pendant la lecture du séquenceur.
Le clc est joue a chaque battement, le premier intervenant dans chaque mesure accentuee (dont la hauteur est la plus haute). Voir "Clic et Pre-comptage" pour plus de details.
Pré-comptage On/Off
Cliquez sur le bouton Pre pour activer un pré-comptage métronomique avant le départ de l'enregistrement.
Le pré-comptage n'est liéqu'avant l'enregistrement - et non avant une lecture normale. Voir "Clic et Précomptage" pour plus de détails sur la seLECTION du nombre de mesures de pré-comptage, etc.
Niveau de clic
Vous reglez le volume de l'audio du métronome (et du pré-comptage) en tournant ce bouton.
Voir "Clic et Pré-comptage" pour plus de détails.
Tap Tempo
Au lieu de régler le tempo à l'aide du contrôle de tempo (voir ci-dessous), vous pouvez envoyer manuellement le tempo de votre choix en temps réel.
Cliquez sur le bouton Tap Tempo à plusieurs reprises afin de définir le tempo du séquenceur de votrechoix.
Le tempo est défini par un calcul moyen de la durée qui s'écoule entre un minimum de deux clics et un maximum de 16 clics. Plus le nombre de clics est élevé, plus le tempo est « régulier ». La durée entre deux séries de clics est de deux secondes. La plage de tap tempo décélable est 30-999.999 BPM.
Position du morceau
L'affichage présente la position du morceau en cours. La position du morceau correspond à l'emplacement actuel du pointeur de position dans la règle (voir Détails de la règle). L'affichage est divisé en segments de mesures, battements, doubles-croches et ticks (il y a 240 ticks par double-croche). Vous pouvez modifier la position du pointeur de position puis changer la position de la lecture du morceau, comme cela est expliqué dans "Affichage du segment du panneau de transport".
À propos des sous-marqueurs dans l'affichage Position du morceau
Lorsque vous modifiez des notes et des événements d'automation dans le séquenceur, la résolution est de 240 ticks par double-croche, ce qui permet un positionnement très précis. En revanche, pour le pointeur de position, la résolution interne est encore plus élevé (15360 ppq) ce qui signifie que la position peut se retrouver sur une fraction de tick, également appelée sous-marqueur.
Si la valeur du pointeur de position se trouve sur une fraction de tick, elle s'affiche avec un astérisque (*) dans la section Tick de l'affichage Position du morceau.

Pour régler le pointeur de position sur la valeur de tick la plus proche, appuyez sur Ctrl ou Cmd et cliquez sur l'astérisque dans l'affichage.
Le pointeur de position sera désormais ajusté à la valeur de tick la plus proche et l'astérisque disparait.
Temps
La position actuelle du pointeur de position dans la règle (voir Détails de la règle) se présente sous un format d'heure (heures, minutes, secondes et millisecondes). Vous pouvez modifier la position de l'heure du pointeur de position puis changer la position de l'heure de la lecture du morceau, comme cela est expliqué dans "Affichage du segment du panneau de transport".
Tempo
Le tempo du morceau en cours apparait dans l'affichage en battements par minute (bpm) et en pas de 1/1000 de bpm. Vous pouvez modifier le tempo en suivant les indications dans "Affichage du segment du panneau de transport". La plage de tempo est 1.000-999.999 BPM.
Signature
L'affichage présente la signature rythmique du morceau en cours. Vous pouvez modifier la signature rythmique en suivant les indications dans "Affichage du segment du panneau de transport".
Voici les signatures possibles : 1/2-16/2, 1/4-16/4, 1/8-16/8 et 1/16-16/16.
Retour rapide et Avance rapide
Cliquez sur les boutons Retour rapide ou Avance rapide pour déplacer le pointeur de position mesure par mesure (depuis sa position actuelle).
Pour déplacer le pointeur de position de plusieurs mesures à la fois, cliquez et maintenez enforcé le bouton de la souris.
Au lieu de cliquer sur ces boutons, vous pouvez utiliser le clavier :
Appuyez sur la touche [4] du pavé numérique pour un retour rapide et sur [5] pour une avance rapide.
Si vous cliquez et que vous maintainez enfoncés les boutons Retour rapide ou Avance rapide ou si vous appuyez et maintenez enfoncées les touches [4] ou [5], la vitesse du positionnement sera plus rapide après les 20 premières mesures.
Lecture et Stop
Cliquez sur le bouton Lecture pour demarrer la lecture a partir de la position actuelle du pointeur de position.
Vous pouvez également appuyer sur la touche [Entrée] du pavé numérique.
Cliquez sur le bouton Stop pour interrompre la lecture (ou l'enregistrement).
Vous pouvez également appuyer sur la touche [0] du pavé numérique ou les touches [Maj]+[Entrée] du clavier. Si vous cliquez sur le bouton Stop ou que vous utilisez les commandes correspondantes du clavier quand la lecture du morceau est déjà arrêtée, le pointeur de position du morceau est déplace selon les règles suivantes :
- En cliquant/appuyant sur Stop la première fois, vous déplacez le pointeur de position du morceau au point à partir duquel la lecture a été lancée précédemment.
- En cliquant/appuyant sur Stop une deuxieme fois, vous déplacez le pointeur de position au début du morceau.
- Si le pointeur de position se trouve déjà au début du morceau, rien ne se passé.
Cela signifie que vous pouvez toujours cliquer deux fois sur le bouton Stop en mode stop pour revenir au début du morceau.
Appuyez sur la touche [Barre d'espacement] du clavier pour basculer entre Lecture et Stop.
Enregistrement
Cliquez sur le bouton Enregistrement pour commencer l'enregistrement sur la bande/piste selectionnée dans le morceau.
Vouss pouvez également appuyer sur la touche [^] du pavé numérique ou maintainir Ctrl ou Cmd enforcé tout en appuyant sur [Entrée] sur le clavier. Si le pré-comptage a été activé (voir Pré-comptage On/Off ci-dessus), l'enregistrement commencerera après le nombre définie de mesures de pré-comptage.
! Rien de ce que vous jouerez pendant le pré-comptage ne sera enregistré.
Dub et Alt
Si vous cliquez sur un de ces boutons, des des bandes de notes supplémentaires sont ajoutées en vue d'un écrasement. Reportez-vous à "Enregistrement de notes avec les fonctions « Dub » et « Alt »" pour plus de détails sur ces fonctions.
Q Enr.
Cliquez sur le bouton Q Enr. (Quantifier durant l'enregistrement) afin de quantifier les notes lors de leur enregistrement.
Lorsque le bouton Q Enr. est activé, toutes les notes MIDI enregistrées seront quantifiées selon la grille de quantification sélectionnée. Reportez-vous à “Quantification de notes” pour plus d'informations sur la quantisation
Boucle On/Off
Cliquez sur le bouton Loupe ou appuyez sur [L] pour activer la fonction Loupe.
Lorsque la fonction boucle est activée, l'enregistrement et la lecture bouclent en continu entre les indicateurs Gauche et Droite. Il existe plusieurs règles générales relatives aux boucles :
-
Si le pointeur de position se trouve à gauche (ou avant) l'indicateur Droite lorsqu'la lecture démarre, le morceau sera lu vers l'indicateur Droite puis reviendra immédiatement en arrêt et reprendra à partir de l'indicateur Gauche.
-
Si le pointeur de position se trouve à droite (ou après) l'indicateur Droite lorsqu'la lecture démarre, les indicateurs seront ignorés et le morceau continuera de journ sans boucler.
- Si l'indicateur Gauche se trouve à droite de l'indicateur Droite, c'est-à-dire en ordre « inversé», le morceau continuera de jourer jusqu'à l'indicateur Droite puis revienda et continuera à partir de l'indicateur Gauche, ignorant la partie du morceau située entre les indicateurs. La lecture du morceau se poursuivra donc sans boucler.
Position des indicateurs Gauche et Droite
Les positions actuelles des indicateurs Gauche et Droite dans la règle (voir Détails de la règle) apparaissent dans les affichages. L'affichage présente des segments de mesures, battements, doubles-croches et ticks (il y a 240 ticks par double-croche). Vous pouvez modifier les positions des indicateurs et donc changer la région de lecture de la boucle en suivant les procédures décrites dans "Affichage du segment du panneau de transport".
Aller à l'indicateur Gauche et Droite
Cliquez sur le bouton G ou D pour déplacer le pointeur de position des indicateurs Gauche et Droite, respectivement.
Sinon, appuyez sur la touche [1] du pavé numérique pour déplacer le pointeur de position vers l'indicateur.
Gaughe ou [2] pour le déplacer vers l'indicateur Droite.
Raccourcis clavier du transport
Voutrouvrez ci-dessous laiste complte des raccourcis clavier destinés aux fonctions de transport du sequencer:
| Fonction | Raccourci clavier |
| Stop, Retour la position de départ, Retour au début du morceau | [0] sur le pavé numérique ou [Maj]+[Entrée] |
| Lecture | [Entr] sur le pavé numérique |
| Basculer de Stop à Lecture | [Barre d'espacement] |
| Retour rapide | [4] sur le pavé numérique |
| Avance rapide | [5] sur le pavé numérique |
| Record | [*] sur le pavé numérique, ou [Ctrl](Win) ou [Cmd](Mac)+[Retour] |
| Aller à l'indicateur Gauche | [1] sur le pavé numérique |
| Aller à l'indicateur Droite | [2] sur le pavé numérique |
| Retour au début du morceau | [.] du pavé numérique |
| Aller à la mesure suivante | [8] sur le pavé numérique |
| Aller à la mesure précédente | [7] sur le pavé numérique |
| Accélérez le tempo | [+] du pavé numérique |
| Ralentir le tempo | [-] du pavé numérique |
| Boucle On/Off | [?] sur le pavé numérique, ou [L] |
| Clic On/Off | [C] ou [9] sur le pavé numérique |
| Pré-comptage On/Off | [Ctrl](Win) ou [Cmd](Mac)+[P] |
| Réglez les indicateurs de boucle gauche et droite pour inclore les clips sélectionnés et commencer la lecture en mode Boucle. | [P] |
Si vous utilisez ReWire pour le contrôle à distance Reason, les fonctions de transport peuvent etre prises en charge par l'une ou I'autre des applications. Voir "ReWire" pour plus de détails.
À propos de l'inspecteur

Inspecteur (dépendant du contexte)
L'inspecteur, situé en haut du panneau Édition/Arrangement, intervient dans plusieurs opérations d'édition relatives aux clips, aux événements et aux enregistements. Il est dépendant du contexte, ce qui signifie que son contenu et ses fonctionnalités diffèrent en fonction de la sélection actuelle. L'édition à l'aide de l'inspecteur est expliquée en détails dans les sections "Redimensionnement de clips via l'inspecteur", "Déplacement de clips via l'inspecteur" et "Édition de notes et d'événements dans l'inspecteur".
! Lorsque l'outil Crayon est selectionné, l'inspecteur n'est pas visible. En lieu et place, des menus relatifs à la signature rythmique et à l'automation de pattern et de blocs apparaisent.
À propos des sous-marqueurs dans les affichages Position et Longueur
Lorsque vous modifie des événements de notes et d'automation dans le séquenceur, la résolution est de 960 ppq (240 ticks par double-croche), ce qui permet un positionnement très précis. En revanche, pendant l'enregistrement, la résolution interne est encore plus élevé (15360 ppq) ce qui signifie que les événements de notes et d'automation peuvent se retrouver sur une fraction de tick, également appelée sous-marqueur.
Si la valeur correspond à une fraction de tick, elle s'affiche avec un astérisque (*) dans la section Tick de l'affichage Position ou Longueur.

Pour régler la position (ou la longueur) du clip ou de l'évenement sur la valeur de tick la plus proche, appuyez sur Ctrl ou Cmd et cliquez sur l'astérisque dans l'affichage.
La valeur de position ou de longueur sera désormais ajustée à la valeur de tick la plus proche et l'astérisque disparaît.
À propos de la fonction « Égaliser les valeurs »

La fonction « Égaliser les valeurs » de l'inspecteur permet d'égaliser les positions, les longueurs et/ou les valeurs de plusieurs clips, notes, événements ou enregistrements sélectionnés en fonction de la position, longueur et/ou valeur du clip, note, événement ou enregistrement supérieur (ou le plus à gauche). Voir « Égalisation des clips via la fonction « Égaliser les valeurs »" et "Égalisation des notes ou des événements via la fonction « Égaliser les valeurs »".

REASON
Chapitre 6 Enregistrement dans le séquenceur
À propos de ce chapitre
Ce chapitre traite des différentes techniques d'enregistrement que vous pouvez utiliser dans Reason. Il aborde l'enregistrement d'automation de paramètres, de notes et d'. Avant de dire ce chapitre, vous doivent connaître les fonctions et définitions de base du séquenceur décrites dans le chapitre "Fonctions du séquenceur". Beaucoup de fonctions sont communes à toutes les méthodes d'enregistrement. Celles-ci seront décrites en premier dans ce chapitre. Un peu plus loin, nous aborderons les fonctions spécifiques à l'enregistrement d'automation de paramètres, de notes et d'.
Fonctions d'enregistrement générales
Activer l'enregistrement
Avant de commencer à enregistrer une piste dans le séquenceur, la piste doit être préte pour l'enregistrement. Il y a deux types de boutons permettant d'activer l'enregistrement : Le bouton « Activer l'enregistrement », à utiliser pour l'enregistrement des des clips de notes, et le bouton « Automation des paramètres d'activation de l'enregistrement » à utiliser quand vous enregistrrez l'automation des paramètres de la ou du module d'enregistrement et l'automation du tempo :

Quatre pistes avec leurs boutons Activer l'enregistrement et Enregistrement de l'automation des paramètres activé.
Les boutons Activer l'enregistrement et Enregistrement de l'automation des paramètres activé sont indiqués en rouge. L'enregistrement de notes peut généralement être activé sur une bande de notes à la fois. Cependant, si vous avec bloqué plusieurs contrôleurs de clavier de modules instrumentaux précis dans le rack – à l'aide de Remote (voir "Verrouiller une surface") – vous pouvez enregistrer MIDI simultanément sur ces pistes instrumentales.
L'enregistrement de l'automation des paramètres peut être activé simultanément sur autant de pistes que vous le voulez.
Activation de l'enregistrement d'une piste instrumentale

Pour activer l'enregistrement d'une piste instrumentale, cliquez sur le bouton « Activer l'enregistrement » sur la bande de notes de la piste instrumentale.
Le bouton Activer l'enregistrement devient rouge et la piste obtient l'entrée du clavier maître.
Si vous avez selectionné le mode « Standard » dans la section « Entrée du clavier maître » à la page « Claviers et surfaces de contrôle » dans la boîte de dialogue Préférences (voir “Réglages d'entrée du clavier maître”), la selection d'une piste instrumentale attribuera automatiquement une entrée du clavier maître à cette piste). Une piste instrumentale qui a une entrée du clavier maître sera automatiquement activée pour l'enregistrement, et sera également activée pour l'enregistrement de l'automation des paramètres indiqué par le bouton rouge
« Enregistrement de l'automation des paramètres activé »
Si vous souhaitez enregistrer sur une autre bande de notes de la piste instrumentale, cliquez simplement sur le bouton Activer l'enregistrement correspondant de la bande de notes.
! Une seule bande de notes sur une piste instrumentale peut avoir le bouton Activer l'enregistrement actif, à moins d'avoir bloqué des contrôleurs de clavier MIDI supplémentaires pour des modules instrumentaux en particulier dans le rack (voir “Verrouiller une surface” dans le chapitre Contrôle à distance). Si vous ave un seul contrôleur de clavier MIDI (affecté comme clavier maître), vous pouvez enregistrer des notes sur une seule bande de notes à la fois (voir “Définir l'entrée du clavier maître”).
Activation de l'enregistrement de plusieurs pistes instrumentales
Si vous avez bloqué d'autres contrôleurs de clavier MIDI pour des modules instrumentaux spécifiques dans le rack (voir "Verrouiller une surface" dans le chapitre Contrôle à distance), les pistes correspondantes pour tous ces modulesBloqués sont automatiquement activés pour l'enregistrement). Ces pistes supplémentaires dont I'enregistrement a ete active sont affichees avec un symbole de clavier sous I'icone du module dans la liste des pistes et leurs boutons Activer I'enregistrement est automatiquement sur On. La piste avec I'entree du clvier maître est always indiquee par un cadre rouge autour de I'icone de son module.

Piste « Combinator 3 » avec l'entrée du clavier maître et pistes « Combinator 1 » et « Combinator 2 » contrôlées depuis des claviers MIDI supplémentaires bloqués dans les modules correspondants du rack.
Afin d'activer/de désactiver manuellement des pistes instrumentales dont l'enregistrement est activé et qui sont bloquées pour des contrôleurs de clavier MIDI spécifiques, cliquez sur les boutons Activer l'enregistrement d'une bande de notes sur n'importe qu'elle piste.
Enregistrement de l'automation des paramètres activé
L'automation des paramètres peut être enregistrée sur tous les types de pistes, sur une piste à la fois ou sur plusieurs pistes simultanément.

-Bouton Enregistrement de l'automation des paramètres activé
Cliquez sur le ou les bouton(s) Enregistrement de l'automation des parametes activé sur la ou les piste(s) souhaitee(s) dans la liste des pistes pour activer l'enregistrement de l'automation des parametes.
Toutes les pistes activées pour l'enregistrement de l'automation des paramètres seront indiquées par des boutons Enregistrement de l'automation des paramètres activé rouges.
En définissant l'entrée du clavier maître sur une piste, vous activez automatiquement l'enregistrement de l'automation des paramètres, indiqué par le bouton rouge Enregistrement de l'automation des paramètres activé.
Activation de l'enregistrement de l'automation de pattern
L'automation de pattern peut être enregistrée sur des pistes associées à des modules basés sur des patterns tels que le module Redrum Drum ou le Séquenceur à pattern analogue Matrix. L'activation de l'automation de pattern fonctionne de la même manière que l'activation normale de l'automation des paramètres (voir "Enregistrement de l'automation des paramètres active").
! Notez que l'activation du bouton Enregistrement des paramètres activé sur une piste disposant d'un module à pattern permettra aussi l'automation de l'enregistrement pour d'autres paramètres de module en dehors des boutons de selection Pattern et Banque. Tout paramètre additionnel du module sera enregistré sur des bandes d'automation des paramètres distinctes tout comme les modules non-pattern.
Clic et Pré-comptage
Pendant l'enregistrement et la lecture vous pouvez dispose d'un son de cli c comme un métronome qui vous indique le tempo du morceau. En mode enregistrement, il est possible de faire apparaitre le son du métronome un certain nombre de mesures (que vous pouvez désir) avant le début de l'enregistrement proprement dit, c'est ce qu'on appelle un pré-comptage. L'activation du cli c et du pré-comptage sont gérés sur le panneau de transport :

Les contrôleurs de cli c et de pre-comptage sur le panneau de transport
Clic
Cliquez sur ce bouton de cliç pour activer le métronome pendant la lecture du morceau. Vous pouvez aussi appuyer sur [C].
Le clc est joue a chaque battement, le premier intervenant dans chaque mesure accentue (dont la hauteur est la plus haute).
Pré-comptage
Cliquez sur le bouton Pre pour activer un pré-comptage métronomique avant le départ de l'enregistrement. Vous pouvez également appuyer sur Ctrl ou Cmd+[P]
Le pré-comptage n'est liént qu'avant l'enregistrement - et non avant une lecture normale.
Sélectionnez le nombre de mesures du pré-comptage enCHOISIGANT «Nombre de mesures du pré-comptage » dans le menu des options.
You pouvezCHOISIR de 1 à 4 mesures.

Choisir le nombre de mesures de pré-comptage
- Libre à vous de tester différentes configurations de pré-comptage. Pour des morceaux au tempo rapide, il est généralement plus pratique d'avoir un pré-comptage un peu plus long (3 ou 4 mesures), et pour les morceaux plus lents, 1 ou 2 mesures peuvent suffire.
Niveau de clic
Pour régler le volume du clic du métronome (et du clic du pré-comptage), tournez le bouton.
! Remarquez que comme le son duclc est routé via l'interface/la carte son de votre ordinateur selectionnée, le son de clc sera ajoute au reste des sons joues dans voitre morceau. Le niveau de sortie audio sur le panneau de transport et le « Big Meter » dans l'interface matérielle Reason risquent d'indiquer un clipping en cas de réglage de clc élevé. Si cela se produit, vous pouze soit baisser le niveau duclc soit le désactiver de façon à déterminer si c'est le son duclc ou lessons enregistrres qui produits le clipping.
Mode boucle
En mode boucle, le morceau est automatiquement boucle entre les indicateurs de boucle gauche et droite sur le panneau Édition/Arrangement pendant la lecture et/ou l'enregistrement.

Le mode boucle s'active en cliquant sur le bouton Boucle sur le panneau de transport.
Le comportement lors de l'enregistrement en mode boucle diffère selon ce que vous enregistrez - MIDI ou automation de paramètres. Voir "Enregistrement de notes en mode boucle" et "Enregistrement de l'automation des paramètres en mode boucle".
Fonctions d'enregistrement générales
La description suivant s'applique à tous les types d'enregistrements : MIDI et automation de paramètres. Pour plus d'informations sur l'enregistrement MIDI et d'automation de paramètres, voir "Enregistrement de notes", "Enregistrement de l'automation du contrôleur de performance" et "Enregistrement de l'automation des paramètres".
- Si vous le souhaitez, selectionnez Clic et/ou Pre-comptage selon les indications dans "Clic et Pré-comptage".
- Déplacez le pointeur de position sur l'endetroit de la règle où vous poulez commencer votre enregistrement (voir "Détails de la règle").
- Cliquez sur le bouton Enregistrer du panneau de transport. Vous pouvez également appuyer sur la touche [^*] du pavé numérique ou maintainir la touche Ctrl ou Cmd enforcée tout en appuyant sur [Entrée]. Le bouton Enregistrement devient rouge. Si le pré-comptage est activé, attendez le nombre indiqué de mesures de pré-comptage avant de lancer l'enregistrlement MIDI, ou d'automation de paramètres. Rien n'est enregistrépendant le pré-comptage.

Pendant le pré-comptage, seul le bouton Enregistrement est actif (rouge) et rien ne sera enregistré.
4. Commencez l'enregistrement sur la piste.
Pendant que l'enregistrement commence, le bouton Lecture du panneau de transport s'assombrit tandis que le bouton Enregistrement reste rouge.

Pendant l'enregistrement, les boutons Lecture et Enregistrement sont tous deux actifs, et toute donnee d'entree sera enregistrree.
Si la bande se trouve etre vacante, un nouveau clip est create automatique sur la bande prete à l'enregistrement sur la piste. Au cours de I'enregistrement, le clip s'agrandit en suivant le pointeur de position. Les clips sont colorés en rouge pendant I'enregistrement comme I'illustre la photo ci-dessous :

5. Lorsque you've aze fini d'enregistrer, cliquez sur le bouton Stop du panneau de transport. Voupue zssi appuyer sur la [barre d'espace], [0] sur le pave numérique ou maintainir la touche [Shift] enfoncée et appuyer sur [Retour].
Les boutons Enregistrement et Lecture sont grisés, le pointeur de position s'arrête et l'ombrage rouge du ou des clip(s) disparaît. Le ou les clip(s) enregistré(s) affiche(nt) les événements enregistrés sous la forme de différents types d'objets graphiques, selon le type de clip.
! Si aucun enregistrement ne n'est effectué dans le clip de notes, vous pouvez supprimer automatiquement le clip de notes vide en cliquant sur Stop.
Annuler un enregistrement
Si vous n'etes pas satisfait de l'enregistrement que vous venez de faire, vous pouvez selectionner « Annuler la piste enregistree » dans le menu Édition, ou selectionnez le clip sur le panneau Édition/Arrangement et appuyer sur [Supprimer] ou sur [Retour].
Ceci supprimera le clip et son contenu.
Annulation au cours de l'enregistrement d'un clip de notes
Si l'enregistrement en cours de votre clip de notes ne vous satisfait pas, appuyez sur [Supprimer] ou sur [Retour].
Ceci supprimera le clip de notes en cours avec tout son contenu et créera en même temps un nouveau clip qui commencerca au niveau actuel du morceau. Le séquenceur continuera l'enregistrement pendant tout le processus.
! Remarquez que cela fonctionne uniquement lors de l'enregistrement de clips de notes.
Détails sur l'enregistrement de notes
Des événements de notes peuvent être enregistrés pour des modules instrumentaux et sont contenus dans ces clips. Les événements contrôleurs de performance, tels que la roue de modulation, le Pitch Bend et les événements Aftertouch peuvent aussi être enregistrés à partir de modules instrumentaux et être contenus dans des clips de notes, mais ils sont décrites séparément dans “Détails sur l'enregistrement de l'automation des paramètres”.
Configurer la piste instrumentale
Pour pouvoir enregistrer des notes pour un instrument sur une piste dans le séquenceur, vous devez simplement créé une piste instrumentale comme indiqué dans "Création d'une piste instrumentale". La piste instrumentale recevra directement l'entrée du clavier maître et la bande de note sera automatiquement activée pour l'enregistrement. Comme vous enregistrrez seulement des événements MIDI - et non audio - sur la piste instrumentale, il n'est pas nécessaire d'ajuster les niveaux audio etc. Ceux-ci pourrait tout jours être régés plus tard.
À propos de « Quantifier durant l'enregistrement »

Bouton Q Enr. (Quantifier durant l'enregistrement) du panneau de transport
Il est possible de quantifier les notes MIDI pendant leur enregistrement. Cette opération aligne automatiquement les positions de départ des notes enregistrées à une grille prédéfinie. Reportez-vous à “Quantification de notes” pour plus d'informations.
Enregistrement de notes
- Configurez la piste instrumentale selon la description que vous trouvrez dans "Configurer la piste instrumentale".
- Enregistrez la piste selon la description que vous trouvez dans "Fonctions d'enregistrement générales".
- Lorsque l'enregistrement est terminé, le clip de note sur la bande affiche les événements de note enregistrés sous la forme d'un rouleau de piano mécanique (« piano roll ») dans le clip :

Un clip de notes avec événements de notes
Les limites de début et de fin du clip de note s'aimant automatiquement à la mesure la plus proche pour facilitier son arrangement (déplacement, etc.) ultérieur.
! Si aucun événement MIDI (notes et/ou contrôleurs de performance) ne sont enregistrés, le clip de notes vide sera supprimé de la bande quand vous aurez cliqué sur Stop.
- Vous peuvent aussi insérer des notes manuellement en les dessinant avec l'outil crayon. Voir "Dessin de notes".
Enregistrement de notes en mode boucle
L'enregistrement sur une bande de notes en mode boucle vous permet d'ajouter continulement de nouvelles notes dans une section définie de votre morceau :
- Configurez la piste instrumentale selon la description que vous trouvrez dans "Configurer la piste instrumentale".
- Configurez les indicateurs Gauche et Droite pour qu'ils couvrent le segment souhaité de votre morceau.
- Activez le mode boucle en cliquant sur le bouton « Boucle on/off » sur le panneau de transport ou en appuyant sur la touche [L].

Mode boucle activé sur le panneau de transport
- Cliquez sur le bouton « G » du panneau de transport pour déplacer le pointeur de position vers l'indicateur de gauche.

- Enregistrez la piste selon la description que vous trouverez dans "Fonctions d'enregistrement générales".
Lorsque le pointeur de position a atteint l'indicateur de droite, l'enregistrement recommence a partir de l'indicateur de gauche et vous pouvez enregistrer des notes supplémentaires. Toutes les nouvelles notes enregistrées s'ajouteront a celles que vous avez enregistrées precedemment et s'entendront pendant l'enregistrement.
Continuez à enregistrer autant de cycles de boucle que vous le souhaitez.
Enregistrement par-dessus ou à l'intérieur d'un clip de notes existant
L'enregistrement par-dessus ou à l'intérieur d'un clip de note ajoutera simplement de nouveaux événements de notes aux événements enregistrés précédément dans le clip de notes, comme indiqué dans "Enregistrement de notes en mode boucle". Cependant, si le nouvel enregistrement commence avant le clip d'origine, et s'étend dans le clip d'origine, un nouveau clip sera créé, englobant le clip d'origine. Voyons les exemples suivants :
Dans l'image ci-dessous, nous voyons le clip de notes original qui couvre les mesures 4-13 de la piste :


Bande de notes avec un clip existant
Nous allonsMAINEN REGISTRER une introduction qui couvrira les quatre premières mesures :


Nouveau clip de notes enregistré sur les mesures 1-4 sur la même bande de notes
Le nouveau clip est enregistré partiellement par-dessus le clip original. La partie du clip d'origine ayant été écrasée est englobée dans le nouveau clip, les événements du clip d'origine se situent à présent dans le nouveau clip et le début du clip d'origine a été déplaced à la mesure 5 où se termine le nouveau clip.
Si vous enregistrez par-dessus ou dans un clip masqué et que le nouveau clip englobe des événements masqués, ceux-ci seront supprimés de façon permanente! Pour plus d'informations sur les événements masqués, voir "À propos des enregistrents et des événements masqués".
- Une autre technique plus pratique de superposition sur une piste instrumentale consiste à créé des bandes de notes supplémentaires et à enregistrer les nouveaux clips sur celles-ci à l'aide des fonctions New dub ou New alt décrites dans "Enregistrement de notes avec les fonctions « Dub » et « Alt »". Ainsi, vous obtenez une meilleure vue d'ensemble de ce que vous avez exactement ajouté dans chacun de vos enregistements.
Enregistrement de notes avec les fonctions « Dub » et « Alt »
Une technique pratique pour enregistrer des événements MIDI supplémentaires sur une piste instrumentale consiste à utiliser les fonctions « Dub » et « Alt »

La fonction « Dub »
La fonction « Dub » creé des bandes de notes supplémentaires activées pour l'enregistrement sur lesquilles vous pouvez enregistrer des « superpositions ». C'est la fonction à utiliser quand vous souhaitez ajouter de nouvelles notes dans la même section de la piste instrumentale mais que vous pouze séparer ces notes dans un nouveau clip dans des bandes de notes supplémentaires只不过 que dans le clip d'origine. Toutes les bandes de notes se liront ensemble.

La fonction « Dub » utiliseée pour creer deux bandes supplémentaires en vue d'une superposition Mode boucle Off.

La fonction « Dub » est utilisé pour creer deux bandes supplémentaires en vue d'une superposition en mode boucle.
- La création d'une nouvelle bande de notes avec le bouton « Dub » peut aussi s'effectuer à la volée pendant l'enregistrement.
La fonction « Alt »
La fonction « Alt » creé des bandes de notes supplémentaires activées pour l'enregistrement sur lesquelles vous pouvez enregistrer des prises alternatives. Simultanément, la bande de notes précédente devient muette. Seule la dernière bande de note ajoutée sera lue.
! Remarquez que si Boucle est activé et que le pointeur de position se situe entre les indicateurs, les clips entre les indicateurs sont rendus muets (à la place des bandes).
Voici deux exemples d'utilisation de la fonction « Alt » :

La fonction « Alt » utilisé pour creer deux bandes supplémentaires en vue de prises alternatives. Mode boucle Off.
Lorsque vous utilisez la fonction « Alt » avec le mode boucle off, la bande de notes precedente sera automatiquement rendue muette.

La fonction « Alt » utilise pour creer deux bandes supplémentaires en vue de prises alternatives en mode boucle.
Lorsque you utilisez la fonction « Alt » en mode boucle, les clips entre les indicateurs seront rendus muets - et non la totalité de la bande de notes. Si les indicateurs sont placés sur un clip existant, comme sur l'image ci-dessus, cliquer sur le bouton « Alt » en mode boucle divisera le clip et le rendra muet entre les pointeurs.
- La création d'une nouvelle bande de notes avec le bouton « Alt » peut également s'effectuer à la volée pendant l'enregistrement.
Détails sur l'enregistrement de l'automation des paramètres
Dans Reason, vous pouvez automatiser quasiment tous les paramètres de modules et créé des mix complètement automatisés si vous le souhaitez. Pour ce faire, vous doivent enregistrer des événements de paramètres dans le séquenceur. Vous pouvez aussi enregistrer l'automation du tempo du séquenceur (voir "Enregistrement de l'automation du tempo").
Contrôleurs de performance vs. automation des paramètres de la piste
L'enregistrement de l'automation des paramètres peut se faire de deux façon différentes : soit comme automation des contrôleurs de performance, soit comme automation des paramètres de la piste.
L'automation des contrôleurs de performance est enregistrée automatiquement avec les événements de notes dans des clips de notes ou des bandes de notes.
Tous les contrôleurs de performance MIDI standard que vous appliquez lorsque vous jouez (Pitch Bend, roue de modulation, etc.) seront enregistrres comme automation de contrôleur de performance dans le clip de notes. Un clip sur une bande de notes peut contenir toutes les combinaisons possibles d'evénements de notes et d'événements d'automation des contrôleurs de performance.
- L'automation des paramètres de piste créé des bandes d'automation de paramètres séparées sur une piste, une pour chaque paramètre automatisé.
La méthode à utiliser dépend de votre manière de travailler. Les principales différences à prendre en compte sont les suivantes :
L'automation des contrôleurs de performance vous permet de contenir les données d'automation dans un clip de note avec les événements de notes.
La fonction clé de l'automation des contrôleurs de performance est sa présence en même temps que les notes dans le clip de notes. Le déplacement du clip de notes entrainera également le déplacement de l'automation des contrôleurs de performance. Donc si vos modifications du contrôleur font partie de votre « performance de note » (par exemple le Pitch Bend et la pédale de sustain), alors vous youdrez certainement les avoir comme contrôleurs de performance (voir “Enregistrement de l'automation du contrôleur de performance”).
Des balayages de filtres joués en même temps que les notes peuvent aussi être enregistrrés comme contrôleurs de performance (voir "Enregistrement de l'automation de paramètres dans des clips de notes").
- Si vous modifiez des paramètres en vue d'un design sonore ou à des fins de mixage, (par exemple l'ouverture lente d'un filtré ou un changement gradual de niveau), ces modifications de paramètres fonctionneraient sèrement moins en tant qu'automation des paramètres de la piste.
L'automation des paramètres de la piste est enregistrée sur des bandes séparées sur la piste (une bande pour chaque paramètre à automatiser). Les clips d'automation des paramètres des pistes peuvent être déplacés individuellement, indépendamment des autres clips de notes. Voir "Enregistrement de l'automation des paramètres".
Enregistrement de l'automation du contrôleur de performance
Si vous utilisez des contrôleurs de performance MIDI lors de l'enregistrement d'une bande de notes, ils seront automatiquement ajouts au clip enregistré. Ce qui est logique puisque les contrôleurs de performance sont généralement enregistrés en même temps que les notes, comme faisant partie de la performance. Les contrôleurs de performance MIDI standard sont le Pitch Bend, la roue de modulation, la pédale de sustain, l'Aftertouch, le contrôleur à souffle et l'expression.
Pour enregistrer l'automation des contrôleurs de performance standard, suivez les indications dans "Enregistrement de notes".
Lorsque you've enregistré des contrôleurs de performance dans le clip de notes, celui-ci affiche des courbes d'automation visibles ainsi que les données de notes enregistrées.


Les contrôleurs de performance sont affichés sous forme de courbes dans le clip de notes. Dans cette figure, la roue de modulation, le Pitch Bend et une pédale de sustain ont été utilisés.
Des cordures vertes apparaissent autour des parametes du module automatisepezimant d'indiquer quils sont automatisés.


Run Pattern Devices

Bypass All FX


ShowProgrammer


Show Devices


Les paramètres Pitch Bend et Roue de modulation ont été automatisés, comme l'indiquent les cordures vertes.
! Lorsque vous arrêtez d'enregistrer, vous devez cliquer une deuxième fois sur Stop, ou sur le bouton « Écrasement de l'automation »itué au-dessus des vu-mêtres de l'audio sur le panneau de transport pour que les cordures d'automation vertes apparaissent sur le panneau du module.

Indicateur d'écrasement de l'automation sur le panneau de transport.
L'automation du contrôleur de performance s'affiche différemment dans le clip selon le type de contrôleur utilisé. Les contrôleurs ayant une etendue bipolaire ( comme le Pitch Bend ) sont représentés sous forme de lignes au milieu lorsqu'ils sont à zéro ( pas de Pitch Bend ) avec une courbe allant vers le haut ou vers le bas depuis la valeur zéro. Les contrôleurs ayant uniquement des valeurs positives ( comme la roue de modulation ) sont à zéro en bas du clip, la modulation appliquée étant représentée par une courbe croissant à partir de la valeur zéro. Les contrôleurs avec des valeurs on/off ( comme la pédale de sustain ) sont représentés par des courbes rectangulaires ( on - durée - off).
- Si vous ouvrez un clip de notes en mode Édition (en double-cliquant sur le clip), les données de performance enregistrées sur des bandes d'édition du contrôleur de performance séparées s'afficheront sur le panneau d'édition.

Automation du contrôleur de performance sur des bandes d'édition distinctes en mode Édition.
- Remarquez que vous pouvez enregistrer les notes et les contrôleurs de performance séparément, c'est à dire que vous pouze d'abord enregistrer des notes sur une bande de notes, et ensuite enregistrer les contrôleurs de performance sur une autre bande de notes sur la même piste instrumentale. L'automation est contenu dans des clips de notes sur une bande séparée et peut également être déplaced ou rendue muette séparément.
! Si plusieurs bandes de notes contiennent l'automation des contrôleurs de performance, c'est la ligne la plus au-dessus qui a la priorité (voir "À propos de l'automation de contrôleur de performance sur plusieurs bandes"). - Vous pouvez aussi insérer des événements de contrôleur de performance manuelle en les dessinant avec l'outil crayon. Voir "Dessin d'événements d'automation de paramètre".
Enregistrement de l'automation de paramètres dans des clips de notes
En plus des contrôleurs de performance standard (Pitch Bend, roue de modulation, etc.), vous pouze désir d'enregistrer l'automation de n'importe quel type de paramètre de module instrumental dans un clip de notes. Dans les versions antérieures de Reason, cette fonction était appelée « Automation sous forme de contrôleurs de performances » mais est désormais remplacée par la fonction « Enregistrer l'automation dans un clip de notes » dans le menu Options.
- Sélectionnez « Enregistrer l'automation dans un clip de notes » à partir du menu Options.

- Pendant que vous enregistrez sur une bande de notes d'après la description de "Enregistrement de notes", réglez les paramètres que vous souhaitez automatiser sur le panneau du module instrumental du rack - ou utilisez un contrôleur MIDI à distance (voir "Remote - lore et contrôleur des modules").
Chaque paramètre que vous reglez sur le module est enregistré comme automation à l'intérieur du clip de notes, comme une automation du contrôleur de performance.
Des cordures vertes apparaissent autour des parametes du module automatisé permettant d'indiquer qu'ils sont automatisés.
! Lorsque vous arrêtez d'enregistrer, vous devez cliquer une deuxième fois sur Stop, ou sur le bouton « Écrasement de l'automation »itué au-dessus des vu-mêtres de l'audio sur le panneau de transport pour que les cordures d'automation vertes apparaissent sur le panneau du module.
Bien que cette méthode soit parfaite pour creer un clip de note autonome, il y a des contreparties. Si vous utilisez cette methode pour enregistrer des parametes de module, vous n'aurez pas le même aperçu que dans l'automation des parametes de la piste. Vous ne pourrez pas non plus rendre plus tard muettes les bandes d'automation de parametes séparées, ou y acceder de façon independante.
! Il est possible que l'automation de paramètre de piste et l'automation à l'intérieur d'un clip de notes soient superposées pour le même paramètre. Dans un tel cas, l'automation de paramètre de la piste prend le pas sur l'automation du clip de notes. Dès que le clip d'automation des paramètres de la piste se termine, n'importe qu'elle automation dans le segment restant du clip de notes reprend le dessus.
Enregistrement de l'automation du contrôleur de performance par-dessus ou dans un clip existant
- Si vous enregistrez par dessus un clip de note avec des données d'automation de performance et que vous ajustez n'importe quel contrôleur de performance utilisé dans le clip, l'automation sera replacée par les nouveaux événements de performance à partir de ce point et jusqu'à ce que vous arrêtez l'enregistrement. Cependant, si le nouvel enregistrement commence avant la position de départ du clip d'origine, un nouveau clip sera créé qui englobera le clip d'origine. Les nouvelles données d'automation replaceront les données existantes, mais s'il existe des événements de notes, ceux-ci ne seront pas affectés (voir "Enregistrement de l'automation des paramètres par dessus ou dans un clip existant" et "Enregistrement par-dessus ou à l'intérieur d'un clip de notes existant").
À propos de l'automation de contrôleur de performance sur plusieurs bandes
Si vous avez plusieurs clips de notes actifs (non muets) contenant une automation de contrôleur de performance sur différentes bandes d'une meme piste, et que la position ces clips de notes se chevauche, la regle suivante s'applique :
- Les contrôleurs de performance des clips de la bande supérieure seront prioritaires sur tout contrôleur de performance du même type dans des clips superposés des bandes inférieures :


Le clip de la bande 2 contient l'automation « roue de modulation » et le clip de la bande 1 également - plus les automations Pitch Bend et pédale de sustain et des événements de notes. L'automation de la roue de modulation qui affecte les notes suivra la courbe d'automation du clip sur la bande 2 pendant sa durée. Dès que le clip de la bande 2 se termine, les notes sont affectées par l'automation de la roue de modulation dans le clip de la bande 1.
Enregistrement de l'automation des paramètres
L'automation des paramétres constitue la manière standard d'automatier des paramétres et de modules. Chaque paramètre de bande de canal obtient une bande d'automation séparée sur la piste. Il est également possible d'enregistrer l'automation du tempo sur le panneau de transport. Vous trouvez une description détaillée dans "Enregistrement de l'automation du tempo".
Avant de commencer à enregistrer l'automation des paramètres
Avant de commencer à enregistrer l'automation des paramètres d'une ou d'un module, vous souhaiterez suturement la configurer à une valeur de départ convenable que nous nommerons « valeur statique ». C'est à dire la valeur que le paramètre devrait avoir quand il n'est pas automatisé dans le morceau. Voici pourquoi :
Supposons que vous vouliez创建工作 un fondu en sortie en enregistrant le mouvement d'un curseur dans la bande de canal du mixeur. Il serait bon de regler d'abord le curseur à la valeur statique correcte (c'est à dire la valeur que le curseur devrait avoir avant le début du fondu en sortie). La même chose est vraie si vous voulez创建工作 un balayage de filtrer pour un synthétiseur quelque part dans le morceau : définissez d'abord la fréquence du filtrtre à la valeur qu'elle doit avoir ailleurs dans le morceau, puis enregistrrez le balayage du filtrtre. Cela rend possible la création d'un mixage statique dans un premier temps, puis l'ajout de modifications de paramètres automatisés tout en maintainant les valeurs statiques ailleurs dans le morceau.
Vou pouve considérer la valeur statique comme position par « défaut » ou « de repli » pour la durée du morceau.
- Vous pouvez modifier la valeur statique à n'importe quel moment en ouvrant le clip d'automation en mode Édition. Voir "Édition de l'automation de paramètre en mode Édition".
Procedure d'enregistrement de l'automation des paramètres
- Assurez-vous qu'il y a bien une piste dans le séquenceur pour le module pour lequel vous allez enregistrer l'automation des paramètres.
Pour des modules instrumentaux, une piste du séquenceur est créé automatiquement en même temps que le module. Pour les modules d'effets et de qui n'obtiennent pas automatiquement une piste de séquenceur, la manière la plus simple de creator une piste pour l'automation des paramètres est de cliquer droit (Win) ou [Ctrl]-cliquer (Mac) sur la ou de module et de selectionner « Édition de l'automation des paramètres » dans le menu Pop-up.
- Configurez la piste pour l'enregistrement de l'automation des paramètres selon la description que vous trouvrez dans "Enregistrement de l'automation des paramètres activé".
Si la piste a des bandes de notes, vous devriez désactiver le bouton « Activer l'enregistrement » pour la bande de notes active (à moins bien sur que vous ne vouliez enregistrer des notes et l'automation des paramètres simultanément).
! Notez qu'il n'est pas nécessaire que la piste soit selectionnée ni que la piste ait l'entrée du clavier maître pour enregistrer l'automation des paramètres. Le bouton Activation de l'enregistrement d'automation est totalement indépendant de l'entrée du clavier maître. Cependant, si vous poulez ajuster les paramètres à partir d'une surface de contrôle ou d'un clavier contrôleur MIDI, la technique la plus simple est d'attribuer l'entrée du clvier maître à la piste - voir "Définir l'entrée du clvier maître".
3. Enregistrez la piste selon la description que vous trouvez dans "Fonctions d'enregistrement générales".
4. Enregistrez l'automation des paramètres en changeant les paramètres de la ou du module dans le rack.
Pendant l'enregistrement, ajustez le(s) paramètre(s) de votrechioix, depuis le panneau du module ou depuis une surface de contrôle MIDI. Vous pouvez automatiser n'importe quel paramètre du module - chaque paramètre que vous modifiez généra automatiquement une bande d'automation et un clip sera enregistré dans la bande correspondante à partir du point où vous avez modifié le paramètre.
5. Lorsque you've avez fini, cliquez sur le bouton Stop du panneau de transport.
En mode Morceau ou Blocs, les clips d'automation des paramètres sur la/les bande(s) affichent les événements d'automation des paramètres sous forme de courbes ou de lignes à l'intérieur du clip.

Si vous cliquez à nouveau sur le bouton « Stop», ou sur le bouton « Écrasement de l'automation » sur le panneau de transport, les paramètres automatisés sur le(s) module(s) s'entoureront de cordures vertes, indiquant leur automation.
Si vous jouez à nouveau la section enregistrée, les paramètres automatisés seront modifiés automatiquement. En dehors des limites du clip, les paramètres retrouveront leur configuration d'origine (les valeurs statiques qu'ils avaient avant le début de l'enregistrement).
- Vous pouvez aussi insérer des événements d'automation des paramètres manuellement en les dessinant avec l'outil crayon. Voir "Dessin d'événements d'automation de paramètre".
Enregistrement de l'automation des paramètres en mode boucle
L'enregistrement d'événements d'automation des paramètres en mode boucle marche de la même façon qu'un enregistrement « non bouclé » (voir “Enregistrement de l'automation des paramètres”), sauf que pour chaque nouveau cycle de boucle, toute valeur de paramètre modifiée replacera la valeur enregistrée précédemment pour le paramètre correspondant.
Enregistrement de l'automation des paramètres par dessus ou dans un clip existant
L'enregistrement des événements d'automation par-dessus ou à l'intérieur d'un clip d'automation existant replacera simplement les événements d'automation enregistrés précédemment. Cependant, si le nouvel enregistrement démarre avant la position de départ du clip d'automation d'origine et s'estend jusqu'àn dans le clip d'origine, le nouveau clip englobera le clip d'origine. Quand le nouveau clip se termine, l'automation des paramètres dans le clip d'origine prend le dessus.
Si vous doivent refaire une section d'une automation enregistrée dans un clip existant, ou simplement enregistrer plus d'automation pour un paramètre, procédez de la façon suivante :
1. Configurez et lancez l'enregistrement comme indiqué dans "Procedure d'enregistrement de l'automation des paramètres".
Tant que vous ne touche pas à la valeur de paramètre, ses données d'automation seront lues normalement, et rien ne sera modifié.
2.À la position souhaitée,ajustez le parametre.
Dès que vous commencez à modifier la valeur des paramètres, l'indicateur d'échéement de l'automation s'allume sur le panneau de transport.

Indicateur d'échéement de l'automation sur le panneau de transport.
À partir de ce moment là, les valeurs d'automation enregistrées précédemment sont replacées par les nouvelles valeurs d'automation. L'enregistrement de l'automation est différent de l'enregistrement d'évenements de notes ou rien n'est effacé lorsque vous enregistrez par dessus les clips précédemment enregistrés. Une superposition de l'automation des paramètres replacera toutes les valeurs d'automation précédentes à la même position pour la durée de l'enregistrement. Logiquement, les clips d'automation ne peuvent être « superposés » car un paramètre ne peut pas avoir plus d'une valeur spécifique à un moment donné.
3. Lorsque vous avez fini, cliquez sur le bouton Stop du panneau de transport.
Voues aee a prsent remplice les valeurs de l'automation depuis le point de depart de l'enregistrement et jusqu'a la fin de ce dernier. L'indicateur d'écrasement de l'automation restera allumé mais s'eteindra si vous cliquez sur Stop ou Lecture sur le panneau de transport.
Vous pouvez également cliquer sur l'indicateur « Écrasement de l'automation » au cours de l'enregistrement.

Cela « réinitialise » le paramètre à la dernière valeur enregistrée et l'enregistrement de l'automation s'arrête (rendant active l'automation précédemment enregistrée, à partir de ce point). Vous étés encore en mode Enregistrement, donc dés que vous ajustez à nouveau le paramètre, l'indicateur d'écrasement de l'automation s'allumera.
Ajustement des paramètres automatisés durant la lecture « mode Live »
Meme si vous avez automatise un parametre de ou de module, vous pourrez toujours le « prendre » et l'ajuster durant la lecture, en prenant le contrôle de l'automation :
1. Pendant la lecture, ajustez un paramètre automatisé.
L'indicateur d'écrasement de l'automation s'allume sur le panneau de transport.

À partir de ce point, l'automation du paramètre sera temporairement désactivée.
2. Pour reactiver l'automation enregistrée précédemment, cliquez sur le bouton « Écrasement de l'automation »
Cela renvoie le contrôleur de paramètre à la bande d'automation des paramètres dans le séquenceur.
- Remarquez que vous pouvez aussi éteindre temporairement l'automation d'un paramètre en cliquant sur le bouton « On » (pour qu'il s'éteigne) sur la bande d'automation du paramètre dans le séquenceur (voir “Rendre muette une bande d'automation”).
Enregistrement de l'automation des paramètres sur plusieurs pistes
Bien qu'une seule piste puisse avoir l'entrée du clavier maître, il est possible de rendre plusieurs pistes prêtes à l'enregistrement pour l'enregistrement de l'automation.
Activez simplement le bouton Enregistrement de l'automation des paramètres activé pour toutes les pistes sur lesquelles vous pouze enregistrer l'automation.
Lorsque l'enregistrement est activé, toutes les pistes prêtes à l'enregistrement de l'automation enregistreront les modifications des paramètres de la piste pour les modules respectifs du rack. Cela est particulièrement utile si vous avez attribué des paramètres sur plusieurs modules à un contrôleur unique sur une surface de contrôle MIDI, ou si vous avez des surfaces de contrôle multiples qui contrôle differents modules dans le rack pendant que vous enregistrez. Voir "Remote - lore et contrôleur des modules" pour plus de détails.
Détails sur l'enregistrement de l'automation de patterns
Si vous morceau contient des modules à pattern, tels que la boite à rythme Redrum, le séquenceur à pattern analogue Matrix ou Dr. Octo Rex, vous souhaitez suturement utiliser plusieurs patterns dans tout le morceau. Pour vous facilitier la tâche, vous pouvez enregister les modifications de patterns dans le séquenceur.
Enregistrement de l'automation de pattern
- Avant de commencer à enregistrer sur la piste, assurez-vous que le bouton « Enregistrement de l'automation des paramètres activé » est allumé (rouge).
Voussouspuezdsactiver lebouton «Activer l'enregistrement » pour la bande de notes pour l'instant car elle ne sera pas nécessaire.
- Assurez-vous que le bouton « Activation de la pattern »/« Activer la lecture de la boucle » est activé sur le module dans le rack.

Les boutons « Activation de la pattern » dans Redrum (haut) et dans Matrix (bas)
- Définissez la pattern de départ désirée dans le module à pattern.
- Lancez l'enregistrement sur la piste à partir de l'endetroit que vous souhaitez.
Lorsque l'enregistrement débute, le module à pattern est automatiquement lancé. Mème siaucun clip n'est créé jusqu'au premier changement de pattern sur le module, la pattern de début est toujours enregistrée.
- Durant l'enregistrement, changez les patterns à l'aide des boutons « Banque » et « Pattern » du panneau du module.
Dès qu'une valeur de pattern ou de banque est modifiée sur le module, une bande de pattern est automatiquement créé sur le rack. Sur la bande, un clip de pattern est automatiquement créé et la sélection de la pattern est enregistrée dans le clip. Assurez-vous de changer les patterns avec un peu d'avance - le changement de pattern réel ne sera effectif et enregistré qu'au premier temps de la mesure suivante en fonction du réglage de la signature rhytmique du séquenceur.
- Lorsque vous avez fini, cliquez sur le bouton Stop du panneau de transport.
Les boutons de selection automatique de pattern sur le module du rack s'entoureront d'une cordure verte qui indique leur automation. Une bande d'automation à pattern avec des clips à pattern a également été créé sur le panneau Édition/Arrangement.


Clips d'automation à pattern sur la bande d'automation à pattern.
- L'automation de pattern n'a pas de « valeur statique ». Les patterns ne seront lues que la où des clips de patterns existent sur la bande. Si la bande de la pattern n'a plus de clips, le module s'arrête et aucune pattern n'est lue.
- Chaque changement de pattern sera enregistré sur un premier temps (au début d'une nouvelle mesure dans le séquenceur).
Voues pouvez déplacer les changements de pattern sur d'autres positions en déplaçant ou en redimensionnant les clips de la pattern, voir "Édition d'automation de pattern".
- Vous pouvez effectuer un « punch in » sur les modifications de patterns enregistrées pour replacer une section de la bande de la pattern par de nouveaux événements d'automation de la pattern. Vous pouvez le faire en suivant les mêmes indications que dans "Enregistrement de l'automation des paramètres par dessus ou dans un clip existant".
- Àprous l'enregistrement des modifications de pattern, vous pouvez utiliser la fonction « Convertir la piste de pattern en notes », pour transférer les notes des patterns en notes normales sur le séquenceur principal.
Cela you per met de creer des variations illimitees en editant ulterieurement les notes en mode Edition.Voir La fonction « Convertir une automation de pattern en notes »".
- Sur les modules Redrum, Matrix et Dr. Octo Rex, vous pouvez également utiliser la fonction « Copier la pattern/la boucle sur la piste »
Cote fction you per met de convertir une etendue definie de clps de patern en notes dans un nveau clip de notes.Voir "Copier la pattern sur la piste".
- Vous pouvez également dessiner manuellement des clips d'automation sur la bande d'automation de la pattern - voir "Dessin d'automation de pattern".
Enregistrement de l'automation du tempo
Dans Reason il est possible d'enregistrer l'automation du tempo du séquenceur. Cela signifie qu'un morceau peut changer de tempo quand vous le souhaitez. Vous enregistrrez les événements d'automation du tempo sur les bandes d'automation des paramètres sur la piste du transport.
Enregistrement de l'automation du tempo
L'automatisation du tempo s'effectue de la même façon que les autres automations. Vous enregistrez les modifications dans le tempo en changeant la valeur du tempo sur le panneau de transport. Les clips de notes et les clips d'automation suivront toujours les changements de tempo.
Pour enregistrer une automation du tempo, procédez comme suit :
- Configurez le tempo désiré pour vous morceau dans l'affichage tempo du panneau de transport.
Ce sera votre valeur statique, c'est-à-dire le tempo du morceau lorsqu'aucun clip n'est present dans la bande d'automation de tempo.
Cela selectionnera la piste du transport et creera une bande d'automation du tempo en meme temps. L'affichage du tempo aura egressement une bordure, indiquant son automation.

- Lancez l'enregistrement dans le séquenceur, et enregistrez les modifications de tempo en changeant la valeur dans l'affichage du tempo.
Cliquez soit sur les boutons haut et bas pour changer le tempo en pas de BPM, ou cliquez et glissez vers le haut ou le bas dans n'importe lequel des segments affichés pour modifier le tempo en pas BPM ou 1/1000 BPM.

- Vous pouvez aussi dessiner les événements de l'automation du tempo manuellement dans le clip d'automation des paramètres avec l'outil crayon - voir "Dessin d'événements d'automation du tempo".

REASON
Chapitre 7
Arrangement dans
le séquenceur
À propos de ce chapitre
Ce chapitre déscrit l'arrangement et le travail des clips de votre morceau. Il aborde l'arrangement de clip d'automation de paramètre, de clip de notes et de clip. Des techniques d'arrangement spéciales relatives au mode Blocs sont décrites dans le chapitre séparé "Utilisation des blocs du séquenceur".
Avant de dire ce chapitre, vous doivent connaître les fonctions et définitions du séquenceur décrites dans les chapitres "Fonctions du séquenceur" et "Enregistrement dans le séquenceur".
Manipulation des clips
L'arrangement de clips dans le séquenceur s'effectue principalement en mode Morceau. Cependant, vous pouze également utiliser le mode Édition, si les clips que vous arrangez sont sur la même bande. Les descriptions figurant dans ce chapitre font ↔ à l'arrangement du mode Morceau, sauf indication contraire.
Sélection des clips
Pour selectionner un type de clip dans le mode Morceau, il vous suffit de cliquer dessus.
Un clip sélectionné est marqué d'une cordure noire épaisse avec des poignées de redimensionnement de chaque côte. Dans le mode Édition, les poignées de redimensionnement du clip apparaissent dans la zone Vue générale du clip.

Clips sélectionnés dans le mode Morceau
Pour désélectionner des clips, il vous suffit de cliquer sur l'arrière-plan du panneau Arrangement.
Affichages de l'inspecteur pour les clips sélectionnés
Dans l'inspecteur du séquenceur, les affichages Position et Longueur montrent la position et la longueur de départ du clip sélectionné. Si plusieurs clips sont sélectionnés, les affichagesprésentent les valeurs du premier clip du morceau (ou celui possédant la position supérieure).

Les affichages de l'inspecteur pour un clip de notes sélectionné
- Affichage de la position du clip
L'affichage de la position du clip montre àquel moment du morceau le clip commence. L'écran d'affichage est divisé en mesure, temps, double-croche et marqueurs (1 double-croche = 240 marqueurs). La position peut être modifiée selon les descriptions dans "Déplacement de clips via l'inspecteur".
- Affichage de la longueur du clip
Cet affichage montre la longueur du clip. L'écran d'affichage est divisé (de gauche à droite) en mesure, temps, double-croche et marqueurs. La position peut être modifiée selon les descriptions dans "Redimensionnement de clips via l'inspecteur".
Sélection de plusieurs clips
Dans le mode Morceau, plusieurs clips peuvent être sélectionnés, notamment pour les couper, copier, coller, supprimer, déplacer ou les redimensionner.
Appuyez sur la touche Ctrl ou Shift et Sélectionnéz les clips.
Sous Windows, you pouze aussi appuyer sur la touche [Maj] et cliquer pour selectionner une plage de clips sur la même bande.
Dessinez un rectangle de selection à l'aide de l'outil Sélection (flèche) sur l'arrière-plan du panneau Arrangement.

Cliquez, maintenez enfoncé et dessinez un rectangle grâce à l'outil de sélection pour sélectionner plusieurs clips.
Tous les clips se trouvant dans le rectangle de selection seront automatiquement selectionnés une fois le bouton de la souris relaché.
Si vous maintenez la touche [Maj] enforcée lors de la seLECTION de clips avec la technique du rectangle de selection, tous les clips précédemment seLECTIONnés resteront selectionnés.
Cela vous permet d'effectuer des sélections multiples et non contiguès : Sélectionnez d'abord quelques clips, puis appuyez sur [Maj], maintenez la touche enforcée et Sélectionnez d'autres clips et ainsi de suite.
Utilisez la fonction « Sélectionner tout » dans le menu Édition ou dans le menu contextuel du clip pour sélectionner tous les clips du morceau.
Vou puez également maintainir la touche Ctrl ou Cmd enfoncée et appuyer sur [A].
- Vous pouvez également seLECTIONner plusieurs clips dans la zone de vue générale du clip dans le mode Édition, à condition que les clips soient sur la même bande.

Deux clips selectionnés dans la zone de vue générale du mode Édition.
Sélection de clips avec les touches de direction
Une autre façon de seLECTIONner les clips du panneau Arrangement consiste à utiliser les touches de direction du clavier d'ordinateur.
Appuyez sur les touches de direction Gauche ou Droite pour selectionner le clip précédent ou suivant de la bande.
Appuyez sur la touche de direction Haut ou Bas pour selectionner le clip le plus proche sur la bande du dessus ou du dessous.
Maintenez la touche [Maj] enforcée et utilisez les touches de direction Gauche ou Droite pour effectuer plusieurs sélections sur la même bande.
Suppression de clips
Pour supprimer un clip, selectionnez-le et appuyez sur [Supprimer] ou [Retour arrriere] ou selectionnez Supprimer dans le menu Édition ou le menu contextuel.
Vouss pouze égarlement dessiner des rectangles de sélection à l'aide de l'outil de sélection, englobant plusieurs clips et les supprimer en une seule fois. Les règles appliquées sont les mêmes que lors de la sélection de clips (voir "Sélection des clips").
! Attention, si vous supprimez un clip audio contenant des enregistements qui ne sont pas utilisés ailleurs dans le morceau, ces enregistements audio seront suprimés définitivement. Néanmoins, si vous effacez par erreur un clip audio, vous pouvez toujours recourir à la fonction Annuler.
Suppression de clips à l'aide de l'outil Gomme
Vouss pouvez également utiliser l'outil Gomme pour supprimer des clips dans le panneau Arrangement. L'outil Gomme s'utilise de deux façon : vous pouvez cliquer sur des clips ou dessiner un rectangle de sélection englobant plusieurs clips :
Sélectionnez l'outil Gomme et cliquez sur le clip à supprimer.

Sélectionnez l'outil Gomme et cliquez sur le clip à supprimer.
Autrement, si vous souhaitez supprimer plusieurs clips :
Sélectionnez l'outil Gomme, cliquez et maintenez le bouton de la souris enfoncé et dessinez un rectangle de sélection sur l'arrière-plan du panneau Édition/Arrangement.

Cliquez, maintenez enfoncé et dessinez un rectangle grâce à l'util Gomme pour effacer plusieurs clips.
Tous les clips se trouvant dans le rectangle de selection seront supprimés une fois le bouton de la souris relachué.
Redimensionnement des clips (masquage)
Tous les types de clips peuvent etre redimensionnés en cliquant et faisant glisser leurs poignées de
redimensionnement. Vous pouvez realiser cette operation a la fois dans le mode Morceau et dans le mode Edition. Dans le mode Edition, les poignees de redimensionnement du clip apparaisent dans la zone Vue generale du clip.

Poignées de redimensionnement de clip
Un clip de notes sélectionné
Si vous redimensionné un clip pour le réduire, tous les enregistements ou événements qui dépasse à présent les limites du clip seront muets ou n'auront plus aucun effet lorsqu'ils seront lus. Sachez néanmoins qu'ils ne sont pas supprimés mais juste masqués. Si vous agrandissez de nouveau le clip, les enregistements ou événements qui étaient masqués redeviendront visibles et seront de nouveau lus correctement. Voir “À propos des enregistements et des événements masqués”.
L'agrandissement d'un clip non masqué aura pour seul effet d'agrandir la fenêtre du clip.
Redimensionnement de plusieurs clips
Vouss pouvez redimensionner plusieurs clips. Pour ce faire, selectionnez-les, puis faites glisser une poignee de redimensionnement de clip sur l'un des clips selectionnés. Tous les clips selectionnés seront redimensionnés de façon égale.
Redimensionnement de clips via l'inspecteur
Voussoupiezaussiredimensionnerlesclipsenmodifiantleurlongueurdansl'inspecteur.Pourcefaire,procedez comme suit:
Sélectionnez un ou plusieurs clips dans le panneau Arrangement, puis modifiez la valeur Longueur dans l'inspecteur en cliquant sur les boutons de direction Haut ou Bas.
L'exemple ci-dessous illustré une expansion des longueurs du clip de deux mesures en cliquant deux fois sur le bouton de direction Haut.

Tous les clips sélectionnés sont alors plus longs de deux mesures.
Voir "Affichages de segments de l'inspecteur" pour plus de détails sur les méthodes d'édition dans les affichages de l'inspecteur.
- Si le segment Marqueur dans l'affichage de la longueur affiche un astérisque () , cela signifie que la valeur est une fraction d'un marqueur, soit un sous-marqueur. Voir "À propos des sous-marqueurs dans les affichages Position et Longueur" pour plus d'informations.
À propos des enregistrements et des événements masqués
Un clip d'automation de paramètre ou de notes qui contient des événements masqués est indiqué par des coins blancs sur ses limites gauche ou droite (ou les deux):

La position des coins blancs indique de quel côte de la limite du clip les événements masqués se trouvent :

Événements masqués dans les clips d'automation de paramètre et de notes
L'image ci-dessous illustre un clip de notes ouvert dans le mode Édition, complenant des événements de contrôleur de performances et de notes, avant et après redimensionnement du clip :

Un clip de notes à huit mesures avec des événements de contrôleur de performances et de notes

Le même clip de notes
redimensionné à quatre mesures
Après le redimensionnement du clip de huit à quatre mesures, tous les événements commençant aux mesures 5-8 sont désormais masqués et ne seront pas lus. Ces événements masqués sont toujours prênts et suivront le clip si celui-ci avait été déplace, coupé ou copié.
Les événements masqués prennt la couleur bleu sur la bande Édition de note, indiquant qu'ils ne seront pas lus. Le premier accord de trois notes de la zone masquée est toujours affchéé en orange. Cela est dû au fait que les notes commencent à la mesure quatre (juste avant le premier temps) et seront donc lues dans leur intégrality, même après redimensionnement du clip.
Les événements de contrôleur masqués, les événements d'automation de paramètre et les événements d'automation de pattern seront inactifs mais peuvent toujours influer sur le clip masqué (voir "À propos des événements d'automation et de contrôleurs de performances" ci-dessous). En dehors d'un clip masqué, les valeurs contrôleur, paramètre et pattern returneront par défaut à leurs valeurs statiques dans la zone masquée (voir "Poignées de valeur statique").
! Notez que basculer en mode Édition ne suffit pas pour afficher les événements masqués. Un clip doit être ouvert avant de pouvoir afficher ces événements. Vous pouvez supprimer tous les événements d'automation de paramètre et de notes masqués en utilisant « Réduire les événements aux clips » du menu Édition (voir “Fonction « Réduire les événements aux clips »”).
À propos des événements d'automation et de contrôleurs de performances
Des événements d'automation de paramètre et de contrôleur de performances en dehors d'un clip peuvent toujours influer sur le clip, étant donné qu'ils agissant sur la forme de la courbe. L'exemple ci-dessous illustre un clip de notes masqué avec un contrôleur de performances Roue de modulation.

L'événement masqué qui influe toujours sur le clip
Le premier événement d'automation de roue de modulation à droite de la zone masquée du clip détermine la direction de la courbe d'automation à partir du dernier événement de la zone non masquée. Ces types d'évenements d'automation ne sont pas affichés en bleu mais en noir et blanc, comme des événements non masqués.
Cet exemple a pour résultat que la valeur Roue de modulation continue à augmenter jusqu'à la fin du clip masqué, moment auquel la valeur reviendra à la valeur statique, dans le cas liéven 0.
Fonction « Réduire les événements aux clips »
Certaines situations peuvent vous inciter à supprimer tous les événements masqués, c'est-à-dire les événements situés en dehors des limites gauches et/ou droites du clip. Cette fonction n'est valable que pour les clips d'automation de paramètre et de notes et supprimera toutes les notes masquées qui commencent dans la section du clip masqué, ainsi que tous les événements de contrôleur de performances ou d'automation de paramètre :
- Réduisez la taille des clips selon vos besoin.
- Sélectionnez un ou plusieurs clip(s), puis Sélectionnez « Réduire les événements aux clips » dans le menu Édition ou partir du menu contextualuel.
- ÀpRES l'opération de réduction, tous les événements situés hors du clip sont supprimés.
Clips de mise à l'échelle du tempo
Il est possible demettre à l'échelle le tempo du contenu des clips, c'est-à-dire de dire le clip à des temps plus rapides ou plus lents. Vous disposez de deux manières pour effectuer cette opération :
- en « étendant » manuellement le(s) clip(s) sélectionné(s);
- en édotant la mise à l'échelle du tempo numérique dans la fenêtre Outils.
! La mise à l'échelle du tempo peut être appliquée à tous les types de clips, à l'exception des clips d'automation de signature rythmique.
! Notez que les clips d'automation à pattern sont uniquement redimensionnés ; le tempo de pattern dans le module source n'est PAS mis à l'échelle mais est synchronisé au tempo du séquenceur principal !
Ci-dessous, nous décrivons comment utiliser l'« outil » de mise à l'échelle du tempo pour « étendre » manuellement des clips. La mise à l'échelle du tempo numérique dans la fenêtre Outils est expliquée dans “Échelle du tempo” dans le chapitre « Édition de notes et d'automation ».
- Sélectionnez un ou plusieurs clips, soit sur le panneau d'arrangement dans le mode Morceau/Blocs, soit dans la Vue générale des clips dans le mode Édition.
- Via l'outil de selection, maintenez la touche Ctrl ou Option enforcée et placez le curseur de la souris sur l'une des poignées de redimensionnement de clip.
Lorsque you attaignez l'une des poignées de redimensionnement de clip, le symbole en forme de flèche se transforme en flèche « Échelle du tempo ».

- Maintenez la touche Ctrl/Option enforcée puis cliquez sur le curseur et déplacez-le latéralement, à droite ou à gauche, afin demettre à l'échelle le tempo des contenus de clips.
Dans cet exemple, nous « étendons » le clip de quatre mesures en faisant glisser la poignée de clip de droite d'une mesure vers la droite.

Aopsis, tous les tempos de clips ont ete mis a l'echelle et le contenu du clip a ete etendu de sorta a correspondre a la longueur du nouveau clip. Notez que le contenu des tous les clips selectionnés a ete mis a l'echelle proportionnellement. Le clip de pattern a pour sa part ete uniquement redimensionné. Le tempo de pattern dans le module source n'a PAS ete mis a l'echelle.
Déplacement des clips
Déplacement des clips dans la même bande
Déplacez un clip par glisser-deplacer à la destination souhaitée sur la bande.
Vouss pouvez également sélectionner et déplacer plusieurs clips en les faisant glisser pour les déplacer vers la destination souhaitée. Si la fonction Magnétisation est sélectionnée (voir "Magnetisation"), vous ne pourrez déplacer le ou les clip(s) que par pas de la valeur de magnétisation.
Vous pouvez également utiliser les fonctions « Couper » et « Coller » du menu Édition ou du menu contextuel pour couper le ou les clip(s) sélectionnés et les copier ensuite à la position du pointeur de position du morceau (voir “Couper, copier et coller des clips”).
Décalage des positions des clips
Vousspuvezutiliserles touchesde directionGaugeetDroite duclavierd'ordinateurafinde decalerles positions desclipsselectionnésde deuxfaçonsdifferentes:
- Sélectionnez la valeur de magnétisation selon laquelle vous souhaitez décaler le ou les clip(s).
- Appuyez sur Ctrl ou Cmd et utilisez les touches de direction Gauche et Droite pour déplacer le clip en avant ou en arrêté de la valeur de magnétisation définie.
Le clip sera toujours déplace par pas de la valeur de magnétisation définie, peu importe si la fonction Magnétisation est activée ou désactivée.
Appuyez sur [Ctrl]+Alt ou [Cmd]+Option et utilisez les touches de direction Gauche et Droite pour déplacer le clip en avant ou en arrêté par incrément de marqueeur.
Il existe 240 marqueurs par double-croche, ce qui favorise une édition très fine. Vérifiez les positions de marquee dans l'inspecteur lorsque vous réalisEZ un décalage, car les modifications de position sont imperceptibles à moins de zoomer.
Appuyez sur [Ctrl]+Maj ou [Cmd]+Shift et utilisez les touches de direction Gauche et Droite pour déplacer le clip en avant ou en arrêté par incrément de battement.
Déplacement de clips via l'inspecteur
Voupez deplacer les clips en modifiant leur position dans l'inspecteur. Pour ce faire, procedez comme suit :
Sélectionnez un ou plusieurs clip(s) dans le panneau Arrangement. Modifiez ensuite la valeur Position dans l'inspecteur, soit en cliquant sur les flèches Haut et Bas, soit en appliquant l'une des méthodes décrites dans "Affichages de segments de l'inspecteur".
Cet exemple illustré le déplacement de la position du clip de deux mesures vers l'avant en cliquant deux fois sur le bouton rotatif Haut.

Tous les clips sélectionnés sont déplacés vers l'avant de deux mesures.
- Si le segment Marqueur dans l'affichage de la position affiche un astérisque (^*) , cela signifie que la valeur est une fraction d'un marqueur, soit un sous-marqueur. Voir "À propos des sous-marqueurs dans les affichages Position et Longueur" pour plus d'informations.
Déplacement de clips entre les bandes
Voussoupézdéplacerlesclipsentre lesbandes,soit sur lameme piste ou entre des bandes de pistés différentes:
Cliquez et faites glisser le ou les clip(s) vers la position souhaitee sur la nouvelle bande.
La valeur de magnétisation fixée est prise en compte si la fonction est activée (voir "Magnetisation"). Vous pouvez également déplacer plusieurs clips sélectionnés en une seule fois.
Maintenez la touche [Maj] enforcée lorsque vous faites glisser le ou les clip(s) afin de restreindre leur mouvement verticallement.
! Pour déplacer plusieurs clips dans la version Windows de Reason, appuyez sur la touche [Maj] après avoir enforcé le bouton de la souris, autrement, si vous appuyez sur [Maj] vous scélectionné ou désélectionné les clips, ce qui n'est pas l'action souhaitée ici.
! Il est important que les bandes source et de destination soient de type identique ou similaire (voir « À propos des clips étrangers » ci-dessous).
À propos des clips étrangers
Un clip étranger est un clip qui contient d'autres types d'événements, ou une résolution ou plage de paramètres différents de ceux destinés à la bande. Par exemple, si nous déplaçons un clip de notes d'une bande de notes à une bande d'automation de paramètres, le clip de notes devient étranger et n'est pas lu sur la bande d'automation :


si un clip de notes est déplaced d'une bande de notes vers une bande d'automation de paramètres par exemple, le clip devient étranger.
Un clip étranger peut se désigner par ses rayures rouges indiquant qu'il est actuèlement inactif. Si vous positionnez le curseur sur un clip étranger, une bulle d'aide apparait avec des informations détaillées :

Bulle d'aide pour un clip de notes étranger
- Un clip d'automation de paramètre peut aussi开发商 s'il est déplaced vers une bande d'automation de paramètre pour un paramètre possédant une résolution ou une plage différente.
Dans la plupart des cas, vous pouze corriger cela en selectionnant le clip, puis en selectionnant « Ajuster les clips étrangers à la bande » dans le menu Édition ou à partir du menu contextuel.
Si un clip d'automation de paramètre possédant une plage de valeurs bipolaire (-64 à 63) est par exemple déplacé vers une bande d'automation de paramètre possédant une plage de valeurs unipolaire (0 à 127), ce clip deviendra étranger. Pour ajuster les événements d'automation de paramètre du clip afin de correspondre à la plage de paramètres de la bande de destination, Sélectionnez « Ajuster des clips étrangers à une bande » dans le menu Édition ou le menu contextual.
Déplacement de clips avec une automation de contrôleur de performances vers une autre piste
Si vous déplacez des clips de notes qui contiennent des événements d'automation de contrôleur de performances vers une autre piste (d'un type de module instrumental différent), plusieurs points sont à prendre en considération :
- Si vous n'avez enregistré que des contrôleurs de performances standard (Pitch Bend, roue de modulation et pedale de sustain) dans le clip de notes, ils seront généralement traduits sans aucun problème lors du déplacement vers une autre piste de module.
Soyez attentif au fait que tous les modules ne répondent pas à tous les contrôleurs de performances. Le module Malström, par exemple, ne répond pas aux données des contrôleurs de performances de l'Aftertouch, de l'expression ou duSouffle). - Si vous avez enregistré des paramètres de contrôleur non standard pour le module d'un clip de notes via l'option « Automation Record dans clip de notes » (voir “Enregistrement de l'automation de paramètres dans des clips de notes”), certains paramètres automatisés peuvent ne pas avoir de paramètre équivalent dans le module cible.
Dans de tels cas, les données d'automation du contrôleur incompatible seront tout simplement igorées. - Les paramètres communs à la plupart des modules instrumentaux (filtres, enveloppes, etc.) seront transférés au module cible le cas échéant.
À propos des clips superposés
Si vous déplacez ou redimensionné des clips de façon à ce qu'ils se superposent, les règles suivantes s'appliquent :
- Les clips ou sections de clip qui sont cachés (superposés) ne seront pas lus.
Chaque bande ne peut dire qu'un seul clip à la fois. Si vous souhaitez mixer deux clips, positionnez-les sur des bandes séparées (clips de notes). Voir "Ajout de bandes de notes" et "Duplication/copie des pistes et des modules".
- Le clip possédant la dernière position de départ est prioritaire (et sera lu).
Cela signifie que si un clip plus court est placé au milieu d'un clip plus long ( comme l'illustrtre l'image ci-dessous), le séquenceur lira le début du clip le plus long, puis le clip le plus court superposé et la fin du clip le plus long.

! Si les deux clips commencent à la même position et sont de longueur identique, le clip lu sera le clip qui a été déplace en dernier. Par conséquent, le clip caché ne sera pas du tout lu.
Duplication de clips
Pour dupliquer les clips selectionnés, appuyez sur la touche Ctrl ou Option et maintenez-la enfoncée, puis cliquez sur l'outil de selection et faites glisser une copie du ou des clip(s) vers la destination souhaitee.
Lorsque que vous commencez à déplacer le clip, le curseur affiche un signe « + » à côté pour indiquer la duplication.
- Vous pouvez également dupliquer uniquement une partie d'un ou de plusieurs clips en utilisant l'outil Rasoir, comme décrit dans "Duplication d'une partie d'un ou plusieurs clip(s)".
Couper, copier et coller des clips
Vouss pouvez déplacer ou dupliquer des clips en utilisant les commandes Couper, Copier et Coller du menu Édition ou du menu contextual. Lorsque vous collez, les clips apparaissent à la position actuelle du morceau, sur leur(s) bande(s) d'origine.
Si vous collez un clip dans un autre document du morceau Reason, ce clip sera placé sur la piste avec une cible d'édition, si possible. Vous pouvez ainsi sélectionner juste une piste dans l'autre document, positionner le pointeur de la position du morceau où vous le souhaitez et coller le ou les clip(s) sur la piste selectionnée.
De nouvelles pistes seront créées si nécessaire. Puisque toutes les pistes doivent avoir un module associé, les nouvelles pistes seront associées à des modules Combinator vides. Vous pouvez ensuite utiliser le navigateur de patches du Combinator pour selectionner un type de patch et de module convenable. Les règles ci-dessous s'appliquent aussi lors du collage de clips étrangers et de clips d'automation de paramètre.
Utilisation des fonctions Couper/Copier et Coller pour répéter des clips
Lorsque vous coupez ou copiez des clips, la position du morceau sera automatiquement déplacée à la fin de la seLECTION (ou, si la fonction Magnétisation est activée, à la valeur de magnétisation la plus proche après la fin du clip le plus long). Vous pouze repeter rapidement une section de clips en procédant comme suit :
- Vérifiez que le séquenceur est arrêté.
- Activez la fonction Magnétisation (voir "Magnétisation") et définièsez la valeur de magnétisation sur « Mesure » (ou la longueur de section que vous souhaitez répéter).
- Sélectionnez les clips à repeter.
Comme vous pouvez effectuer des sélections sur plusieurs pistes, c'est un moyen rapide de copier des sections entières du morceau.
- Sélectionnez Copier dans le menu Édition ou dans le menu contextual, ou maintenez la touche Ctrl ou Cmd enforcée et appuyez sur [C].
La position du morceau est déplaced à la valeur de magnétisation la plus proche de la fin du clip le plus long de la selection (à condition que le séquenceur soit arrêté).
- Sélectionnez Coller dans le menu Édition ou dans le menu contextuel, ou maintenez la touche Ctrl ou Cmd enforcée et appuyez sur [V].
La section copiee est collée et la position du morceau est deplacé à la fin de la selection collée.
- Collez à nouveau, autant de fois que vous voulez répéter la sélection.
Nommer des clips
- Vous pouvez nommer un clip en le selectionnant, puis en selectionnant « Ajouter des étiquettes aux clips » dans le menu Édition ou dans le menu contextuel.
Un champ de saisie s'ouvre.
- Saisissez le nom du clip et appuyez sur [Entrée].
Lorsque vous ajoutez des étiquettes à plusieurs clips sélectionnés en même temps, ils obtiennent tous un nom générique en fonction de leur type de clip (p. ex. « clip de notes sans nom »). Pour ouvrir le champ de saisie du texte d'une étiquette, double-cliquez sur cette étiquette.
Renommer des clips
Pour renommer un clip, double-cliquez sur I'etiquette, saisissez le nouveau nom, puis appuyez sur [Entrée].
Supprimer les étiquettes des clips
Pour supprimer les étiquettes des clips, Sélectionnez-les, puis Sélectionnez « Supprimer les étiquettes des clips » dans le menu Édition ou le menu contextuel.
Voussoupz aessidouble-cliqueur sur l'etiquette du clip,appuyer sur [Retour arriere] ou [Supprimer],puis sur [Entrée].
Coloriage des clips
Vous peuvent colorer les clips selectionnés independamment de la couleur de la piste en selectionnant « Couleur du clip » dans le menu Édition ou dans le menu contextuel, puis en selectionnant une couleur dans la palette du sous-menu.
Tous les clips sélectionnés sont colorés en fonction de la couleur sélectionnée. Si vous enregistrez de nouveaux clips sur la bande, ils seront colorés en fonction de la couleur définie pour la piste.
Division des clips
Vou puez diviser des clips en utilisant l'outil Rasoir dans le mode Arrangement. Pour diviser un seul clip, procedez ainsi :
- Sélectionnez l'outil Rasoir et positionnez-le à l'endetroit où vous souhaitez diviser le clip.
Sur le bord gauche de l'outil Rasoir, un réticule indique l'emplacement de la future division. Le réglage Magnétisation est pris en compte s'il est activé (voir "Magnetisation").


- Cliquez sur l'outil Rasoir pour diviser le clip à l'endroit du réticule.
Le clip est désormais divisé en deux clips distincts.


Une ligne verticale apparait à l'endetroit de la division du clip.
! Les enregistements et événements d'un clip divisé restent intacts, par exemple les notes d'un clip de notes ne seront pas divisées même si elles s'étendent au-delà du point de division.
You pouvez également diviser des clips sur toutes les pistes d'un morceau :
- Positionnez le réticule de l'outil Rasoir sur la règle, à l'endroit où vous souhaitez diviser les clips sur toutes les pistes et bandes du morceau.
- Cliquez sur la regle pour diviser les clips sur toutes les pistes et bandes à la position actuelle.
Les clips sur pistes et bandes - dont les pistes et bandes eventuellement invisibles - du panneau Arrangement sont également divisés.
Vou pouve également couper une section d'un ou plusieurs clip(s) en une seule fois :
- Positionnez l'outil Rasoir sur l'arriere-plan du panneau Arrangement pres de I'endroit ou vous souhaitez diviser les clips.
- Cliquez et faites glisser avec l'outil Rasoir afin de selectionner la section de division sur une ou plusieurs bande(s).

3. Relâchéz le bouton de la souris pour diviser les clips.
Si vous souhaitez « couper » une section de tous les clips sur toutes les pistes du morceau, vous pouvez proceder comme suit :
- Positionnez le réticule de l'outil Rasoir sur la règle, à l'endroit ou vous souhaitez diviser les clips sur toutes les pistes du morceau.

- Cliquez et faites glisser avec l'outil Rasoir dans chaque direction autorisée par la règle pour former un rectangle de sélection.
- Relâchéz le bouton de la souris pour diviser les clips sur toutes les pistes et bandes du morceau.
! Les clips situés sur des pistes et des bandes susceptibles d'être affichées en dehors de la vue du panneau Arrangement seront également divisés.
Duplication d'une partie d'un ou plusieurs clip(s)
En utilisant l'une des méthodes décrites ci-dessus, vous pouvez également dupliquer la section de « division » du ou des clip(s), puis la déplacer vers une nouvelle destination. Vous pouvez procéder comme suit :
Sélectionnez l'outil Rasoir, puis maintenez la touche Ctrl ou Cmd enforcée pour déplacer et créé une copie de la section coupée du ou des clip(s). Ensuite, utilisez l'outil Sélection pour déplacer le ou les clip(s) vers une nouvelle destination.
L'opération n'aura aucune incidence sur les clips d'origine qui resteront intacts.
Joindre les clips
Des clips séparés sur une même bande peuvent être joints dans un seul clip. Vous pouvez aussi joindre des clips non adjacents sur la bande, ou des clips qui se superposent.
- Sélectionnez les clips que vous souhaitez joindre.


- Sélectionnez « Joindre les clips » dans le menu Édition ou dans le menu contextuel du clip. Vous pouvez égalementmaintenir la touche Ctrl ou Cmd enforcée et appuyer sur [J].


Un clip unique est créé. Si un écart séparait les clips avant l'opération, cette zone sera vide et les positions d'origine de tous les événements des clips d'origine seront réservées dans le clip joint.
- Seuls les clips d'une même bande peuvent être joints.
Vouse puez selectionner plusieurs clips sur plusieurs bandes, mais seuils les clips appartenant aux memes bandes seront joints. - Vous pouvez également joindre des clips séparés par des clips intermédiaires.
Les clips intermédiaires non sélectionnés seront alors recouverts et masqués par le clip joint à leurs positions actuelles.
! Attention, si vous joignez des clips d'automation de paramètre ou de notes contenant des événements masqués dans la ou les zone(s) intermédiaire(s), les événements masqués seront supprimés définitivement. La lecture du clip joint sera identique à celle des clips d'origine avant l'opération de jonction. (voir "Événements masqués dans les clips d'automation de paramètre et de notes").
! Si vous joignez des clips d'automation de paramètre ou de notes superposés, les événements du clip de niveau supérieur remplacent et suppriment définitivement les événements de la région superposée du clip « masqué ».
Rendre les clips muets
You pouvez rendre les clips muets en procédant ainsi :
→ Sélectionnez l'outil Muet dans la barre d'outils et cliquez sur les clips que vous souhaitez rendre muets.

Les clips muets sont signalés par des rayures, des cordures et des événements gris.

Clips muets
Sélectionnez les clips, puis Sélectionnez « Rendre les clips muets » dans le menu Édition ou dans le menu contextuel de l'un des clips. Vous pouvez aussi Sélectionner les clips et appuyer sur [M] sur le clavier d'ordinateur pour les rendre muets.
Rendre des clips non muets
Vou pouve transformer des clips muets en clips non muets en procédant ainsi :
Cliquez sur les clips muets à l'aide de l'outil Muet.
Sélectionnez les clips muets à l'aide de l'outil de sélection et sélectionnez « Clips non muets » dans le menu Édition ou dans le menu contextuel, ou appuyez sur [M].
! Les clips muets ne peuvent etre joints à d'autres clips.
! Les clips de notes muets ne seront pas inclus lors de l'utilisation de la fonction « Fusionner les bandes de notes sur les pistes » décrite dans la section “Fusion de clips sur des bandes de notes”.
Fusion de clips sur des bandes de notes
Plusieurs bandes de notes d'une piste peuvent être fusionnées en une bande de notes unique :
- Sélectionnez la piste avec les bandes de notes que vous souhaitez fusionner.

Une piste instrumentale selectionnée avec des bandes de notes séparées
- Sélectionnez « Fusionner les bandes de notes sur les pistes » dans le menu Édition ou dans le menu contextualuel.
Les clips de toutes les bandes de notes seront fusionnés sur la bande de notes supérieure.

La même piste instrumentale après la fusion
- S'il existe des écarts de temps entre les clips des bandes, plusieurs clips seront créé sur la bande de notes fusionnée.
- Les bandes de notes muettes ou les clips muets de la piste ne seront pas inclus dans la fusion.
- Vous pouvez aussi sélectionner plusieurs pistes et fusionner des bandes de notes sur chaque piste, en même temps.
Égalisation des clips via la fonction « Égaliser les valeurs »

Vouss pouvez utiliser la fonction « Égaliser les valeurs » de l'inspecteur pour égaliser les positions ou longueurs de plusieurs clips sélectionnés à la position et/ou longueur du clip de position supérieure (ou le clip le plus à gauche si les clips se trouvent sur la même bande).
Égalisation des positions de clips
Pour égaliser des positions de clip :
- Sélectionnez plusieurs clips dans le panneau Arrangement.
- Cliquez sur le bouton « Égaliser les valeurs » à droite de l'affichage Position pour afficher tous les clips sélectionnés à la position de départ du clip supérieur (ou à l'extreme gauche si les clips se trouvent sur la même bande).

Tous les clips sélectionnés sont déplacés à la position de départ du clip supérieur sélectionné.
! Remarque : Si vous égalisez la position de plusieurs clips de la même bande, ils commenceront à la même position et se superposeront par conséquent.
Égalisation des longueurs de clips
Vouss pouvez exploiter une autre fonction d'égalisation des valeurs de l'inspecteur afin d'égaliser les longueurs de plusieurs clips sélectionnés à la longueur du clip supérieur (ou à l'extreme gauche si les clips se trouvent sur la même bande):
- Sélectionnez plusieurs clips dans le panneau Arrangement.
- Cliquez sur le bouton « Égaliser les valeurs » à droite de l'affichage Longueur pour redimensionner tous les clips sélectionnés à la longueur du clip supérieur (ou à l'extreme gauche si les clips se trouvent sur la même bande).

Tous les clips sélectionnés possèdent une longueur de six mesures comme le clip supérieur sélectionné.
Insertion de mesures
Vouss pouvez utiliser la fonction « Insertion de mesures entre les indicateurs » du menu Édition ou du menu contextual pour insérer des mesures entre les indicateurs gauche et droit. Tous les clips traversés par les positions des indicateurs sur toutes les pistes après l'indicateur gauche sont divisés et déplacés vers l'indicateur droit pour permettre l'insertion des nouvelles mesures.

Differentes pistes avec des bandes avant et après l'insertion de quatre mesures supplémentaires entre les mesures 13 et 17
Supprimer des mesures
Vouss pouvez utiliser la fonction « Suppression de mesures entre les indicateurs » du menu Édition ou du menu contextuel pour supprimer tous les événements entre les indicateurs gauche et droit. Tous les clips traversés par les positions des indicateurs sont coupés (si nécessaire) et la section de coupe (entre les indicateurs) est supprimée. Tous les clips qui étaient situés à droite de l'indicateur droit à l'origine sont alors déplacés dans l'indicateur droit, fermant l'écart.

Différentes pistes avec des bandes avant et après la suppression de quatre mesures commencer à la mesure 13
! Attention, tous les événements d'automation de paramètre et de notes situés entre les indicateurs gauche et droit seront supprimés.

REASON
Chapitre 8
Édition de notes
et d'automation
À propos de ce chapitre
Ce chapitre déscrit les méthodes d'édition des événements d'automation de notes et de paramètre après leur enregistrement dans le séquenceur. Ce chapitre déscrit également les méthodes de creation manuelle d'événements d'automation et de notes dans des clips. Les fonctions générales du séquenceur, telles l'enregistrement, l'arrangement dans le séquenceur et l'utilisation des blocs sont représentées en détaïl dans les chapitres "Fonctions du séquenceur", "Enregistrement dans le séquenceur", "Arrangement dans le séquenceur" et "Utilisation des blocs du séquenceur".
Le mode Édition
Après avoir enregistré dans des clips de notes ou des clips d'automation de paramètre, vous pouze pouvoir éoperator et corriger les évientuelles erreurs survenues au cours de l'enregistrement. Si vous avez fait une mauvaise manipulation ou si vous avez trop utilisé la roue de modulation lorsque vous avez enregistré un clip de notes par exemple, vous n'étes pas obligé de recommencer l'enregistrement. Les événements d'automation de paramètre et de notes peuvent facilement êtreédités et corrigés individuellement de plusieurs façon.
Le mode Édition dans le séquenceur vous permet de réaliser une édition détaillée des événements d'automation et de notes.
Pour entrer dans le mode Édition, double-cliquez sur un clip de notes ou d'automation dans la vue Morceau/Bloc ou cliquez sur le bouton Mode Édition dans le coin supérieur gauche du séquenceur.

Mode Édition sélectionné avec un clip de notes ouvert pour l'édition
Sortez du Mode Édition en cliquant sur le bouton Mode Édition de nouveau ou en cliquant sur le bouton « Retour » à gauche de la règle.

Cliquez sur le bouton Mode Édition ou sur le bouton Retour pour returner au mode Morceau/Blocs.
Basculez entre le mode Arrangement et le mode Édition en appuyant sur les touches [Maj]-[Tab], ou en Maintenant la touche Ctrl ou Cmd enforcée, puis en appuyant sur la touche [E].
Selection des éléments à editor
Le mode Édition affiche le contenu d'une seule piste à la fois sur le panneau Édition. Sur des pistes instrumentales, seule une bande de notes peut être la cible d'édition à un moment donné.
- Si une piste est seLECTIONnée lorsque que vous basculez en mode Édition, le contenu de la bande de notes étant la cible d'édition s'affiche.
De même, toutes les bandes d'automation de paramètre sont affichées en bas du panneau Édition. Si un seul clip a été sélectionné sur la bande de notes avec la cible d'édition lorsque vous avez basculé en mode Édition, ce clip est automatiquement ouvert. Si aucun clip n'a été sélectionné, les événements seront grisés. Pour éoperator ou dessiner des événements d'automation et/ou de notes, vous doivent ouvrir le clip en double-cliquant dessus par exemple (voir "Ouverture de clips d'automation et de notes pour l'édition").
- Si la piste sélectionnée contient plusieurs bandes de notes, le contenu de la bande de notes actuellesment sélectionnée s'affiche.
Pour désirir une autre bande de notes comme cible d'édition, cliquez sur la poignée de la bande de notes dans la liste des pistes.

Poignée de bande de notes
- Vous pouvez modifier la cible d'edition de la piste et de la bande de notes à tout moment, en cliquant sur la liste des pistes.
Ainsi, vous pouvez rester en mode Édition et modifier la cible d'édition parmi différentes pistes et bandes de notes, sans devoir repasser en mode Morceau/Bloc.
Ouverture de clips d'automation et de notes pour l'édition
Ouvrir un clip de notes pour l'édition
Les clips de notes peuvent contérer à la fois des événements de notes, avec des valeurs de velocité, et des événements de contrôleur de performance. Par défaut, les contrôleurs de performance comprendnent la roue de modulation, le Pitch Bend, la pédale de sustain, l'Aftertouch, l'expression et le souffle. Néanmoins, la configuration des contrôleurs est aisément modifiable (voir "Création de nouvelles bandes d'automation du contrôleur de performance" et "Suppression de bandes d'automation du contrôleur de performance").
En mode Morceau/Bloc, les événements de notes sont affichés sous la forme d'un rouleau de piano mécanique (« piano roll »), tandis que les contrôleurs de performance sontprésentés sous forme de courbes ou de lignes dans le clip. En mode Morceau/Bloc, il est impossible de désigner un contrôleur de performance d'un autre, étant donné que tous les contrôleurs sont affichés ensemble dans le clip. Le clip de notes illustré ci-dessous contient des événements de notes et des événements de contrôleur de performance de roue de modulation et de Pitch Bend :
Pour éoperator les événements d'un clip de notes, ouvre le clip en double-cliquant dessus ou sélectionnez-le et appuyez sur [Entrée].
L'ouverture d'un clip de notes dans le mode Morceau/Bloc fait automatiquement basculer le séquenceur en mode Édition.

Double-cliqueur sur un clip de notes en mode Morceau/Bloc...

...l'ouvre pour l'édition en mode Édition. Un clip ouvert en mode Édition est mis en surbrillance.
Double-cliquez sur un clip de notes fermé (evénements grisés) en mode Édition afin de l'ouvrir pour l'édition en mode Édition.
Voues pouvez double-cliqueur sur la vue generale du clip, la bande d'edition de notes ou toute autre bande d'edition du contrôleur de performance (le cas échéant).
Pour fermer un clip, appuyez sur la touche [Echap], cliquez en dehors du clip ouvert dans la vue generale du clip ou cliquez sur le bouton Mode Édition ou Retour.
Si vous avez ouvert le clip en mode Morceau/Bloc, le fait d'appuyer sur la touche [Echap] fait rebasculer automatiquement le séquenceur en mode Morceau/Bloc.
Ouvrir un clip d'automation de paramètre pour l'édition
Un clip d'automation de paramètre contient des événements d'automation pour un seul paramètre.
Double-cliquez sur un clip d'automation de parametes en mode Morceau/Bloc pour l'ouvrir pour l'editor en mode Morceau/Bloc.
La bande d'automation de paramètre s'estend en hauteur pour faciliter l'édition des événements d'automation. Vous pouvez à présent editor les événements d'automation de paramètre sans qu'il soit nécessaire de passer en mode Édition. Cette façon de faire est très pratique si vous souhaitez réaliser une édition rapide des événements d'automation.

Clip d'automation de paramètre avant et après son ouverture en mode Morceau/Bloc
Pour fermer un clip d'automation de paramètre ouvert en mode Morceau/Bloc, appuyez sur la touche [Echap] ou cliquez sur une autre bande.
Pour plus d'informations sur l'édition d'événements d'automation de paramètre en mode Arrangement, voir "Édition de l'automation de paramètres en mode Morceau/Bloc".
Double-cliquez sur un clip d'automation de parametre en mode Édition pour l'ouvrir pour l'édition en mode Édition.

Clip d'automation de paramètre avant et après son ouverture en mode Édition
Pour fermer un clip d'automation de paramètre ouvert en mode Édition, appuyez sur la touche [Echap] ou cliquez sur une autre bande.
Pour plus d'informations sur l'édition d'événements d'automation de paramètre en mode Édition, voir "Édition de l'automation de paramètre en mode Édition".
Éléments du mode Édition
En mode Édition, un clip de notes est divisé en plusieurs bandes d'édition servant à l'édition de différents types d'événements et de valeurs (c.-à-d. des événements de notes, des valeurs de velocité et des événements d'automation de contrôleur de performance). En bas, toutes les bandes d'automation de paramètre de la piste sont également affichées. Vous pouvez redimensionner les différentes bandes d'édition en ajustant les séparateurs horizontaux entre les bandes. Vous pouvez également faire défilier le contenu de chaque bande d'édition et zoomer sur chacune d'entre elles grâce aux barres de défilament et aux outils de zoom vertical situés à droite du panneau Édition.

L'imag montre trois clips de notes en mode Edition. Le clip central est ouvert pour l'edition et est donc mis en surbrillance. Les clips adjacents (fermés) de la même bande sont visibles, mais leurs événements sont grisés.
De haut en bas dans l'image ci-dessus, la vue du mode Édition contient les éléments suivants :
- Bouton Retour
Cliquez sur le bouton Retour pour sortir du mode Édition et returnez dans le mode Morceau/Bloc.
- Poignées de redimensionnement de clip
En cliquant et en déplaçant chacune des poignées, vous pouze modifier la position et la longueur du clip.
- Vue générale du clip
La vue générale du clip montre les clips de notes de la bande de notes qui constitue la cible d'édition. Vous pouvez selectionner un ou plusieurs clips dans la vue générale du clip et effectuer une édition basée sur le clip (par exemple, déplacement et redimensionnement), comme dans le mode Arrangement.
- Sélecteur du mode d'édition de notes
Le sélecteur du mode d'édition de notes se trouve à droite de la bande d'édition de notes, sous les outils de zoom vertical. Cliquez sur l'élement souhaité pour faire votrechoix entre le mode Édition de notes, Édition de la batterie ou Édition de REX. En fonction du mode sélectionné, la bande d'édition de notes s'affiche différemment. Pour plus d'informations sur les différents modes, voir "Modes Édition de notes".
- Sélecteur de l'automation du contrôleur de performance
Chaque contrôleur de performance que vous avez utilisé lors de l'enregistrement du clip de notes possède une bande d'édition du contrôleur de performance distincte. Vous pouvez ajouter ou supprimer des bandes d'édition du contrôleur de performance à partir du clip à l'aide de ce sélecteur. Voir “Création de nouvelles bandes d'automation du contrôleur de performance” et “Suppression de bandes d'automation du contrôleur de performance” pour plus de détails.
- Bande d'édition de notes
Cette bande vous permet d'editor les notes d'un clip ouvert à la fois. Les événements de notes sont affichés sous forme de « cases » horizontales orange dans un rouleau de piano mécanique sur la bande d'édition de notes. Le côté gauche de chaque case indique Note On (touché enforcée), tandis que le côté croit indique Note Off (touché relachée). L'intensité de couleur de chaque case indique la velocité de la note correspondante. En fonction du mode d'édition de notes sélectionné (voir “Modes Édition de notes”), le contenu de la bande d'édition de notes s'affiche différemment.
- Bande d'édition de la velocité
Les bandes d'édition de la velocité affichent les valeurs de velocité de chaque note enregistrée. Les valeurs de velocité sont automatiquement enregistrées avec les notes. Pour plus d'informations sur les valeurs de velocité, voir "Édition de la velocité des notes".
- Bandes d'édition du contrôleur de performance
Les événements du contrôleur de performance de la roue de modulation, du Pitch Bend, de la pédale de sustain, etc. se trouvent sur les bandes d'édition du contrôleur de performance. Les événements du contrôleur de performance sont automatiquement répartis sur des bandes distinctes pour chaque contrôleur reconnupend l'enregistrement. Meme si les contrôleurs de performance relevant de clips de notes différents, ils agiront sur toutes les bandes de notes parallètes actives d'une piste. Pour obtenir plus de détails sur l'édition des événements du contrôleur de performance, voir "Édition de l'automation".
- Bandes d'automation de paramètre
Toute automation de paramètre enregistrée est affichée dans des clips distincts, sur des bandes d'automation distinctes. Les clips d'automation de paramètre n'« apparitennent » ni à la bande de notes ni àaucun clip de notes et ils ne seront pas ouverts avec les clips de notes. Double-cliquez sur un clip d'automation de parametre afin de l'ouvrir pour l'edition. Voir "Édition de l'automation".
- Poignées de valeur statique
Les poignées de valeur statique placées à gauche des bandes d'édition du contrôleur de performance et des bandes d'automation de paramètre indiquent la valeur par défaut du contrôleur/paramètre automatisé lorsque la bande ne comporte aucun clip. Globalement, cette valeur reflète la valeur initiale du paramètre avant l'automatisation de ce dernier. Vous pouze aisément modifier la valeur statique d'un paramètre en abaissant ou en relevant la poignée de valeur statique. Voir "Édition de l'automation" pour plus de détails.
Manipulation de la fenêtre du mode Édition
Redimensionnement, zoom et défilament
Vous pouvez redimensionner ou masquer les bandes d'edition en déplaçant leurs sépareurs.

Le cas échéant, des contrôleurs de zoom et des barres de défilament sont disponibles individuellement à droite de chaque bande d'édition.
L'outil Loupe peut etre utilise pour zoomer en avant ou en arriere (voir "Outil Loupe").
L'outil Main peut etre utilise pour faire defiler la vue dans toutes les directions (voir "Outil Main").
Utilisez le navigateur de morceaux pour faire defiler et zoomer horizontally (voir "Zones, fenêtres et navigation de base").
Cliquez sur une poignee du navigateur de morceaux et deplacez-la horizontally pour zoomer en avant et en arriere (voir "Zones, fenetes et navigation de base").
[Maj]-cliquez sur une poignee du navigateur de morceaux et deplacez-la horizontallyment pour zoomer en avant et en arriere, horizontallyment ou de façon symétrique (voir "Zones, fenêtes et navigation de base").
[Maj]-cliquez ou cliquez à l'aide du bouton croit de la souris (Win), ou [Ctrl]-cliquez (Mac) dans le navigateur de morceaux et faites glisser vers le haut ou vers le bas pour zoomer en avant et en arrriere, horizontally ou de façon symétrique (voir "Zones, fenêtes et navigation de base").
Utilise les barres de défilement pour défilier verticalément dans les bandes d'edition correspondantes.
Cliquez sur les boutons Zoom à droite pour effectuer un zoom avant et arrriere verticalement dans les bandes d'edition correspondantes.
Pour une édition complète, il serait bon que vous agrandissiez le séquenceur et /ou que vous l'ouvriez dans une autre fenêtre couvrant la totalité de l'écran de votre ordinateur. Voir “Zones, fenêtes et navigation de base”.
Modes Édition de notes
Lorsque you basculez en mode Édition, le module utilise sur la piste instrumentale sélectionnée déterminé le mode Édition de notes sélectionné. Pour les pistes instrumentales liées aux modules de synthétiseur, le Mode Édition de notes est sélectionné automatiquement. Le mode Édition de batterie est sélectionné pour les pistes Redrum et le mode Édition de REX, pour les pistes Dr. Octo Rex.
Dans les trois modes Édition de notes, les événements de notes sont affichés sous forme de « cases», la longueur de note étant indiquée par la largeur de la case et les valeurs de velocité étant représentées par l'intensité de la couleur de la case (plus la case est souvent, plus la velocité est élevée). Les procédures de base pour l'édition de notes sont les mêmes pour les trois modes Édition de notes.
Vouss pouez modifier manuellement le mode Édition de notes en cliquant sur le bouton Mode Édition de notes situé dans le coin supérieur droit de la section de la bande d'édition de notes et en seLECTIONnant un autre mode dans le menu pop-up.

Sélection du mode Édition de notes
Le mode Édition de notes sélectionné est automatiquement méorisé pour chaque bande de notes d'une piste. La prochaine fois que vous BASculerez en mode Édition, le mode Édition de notes approprié sera rappelé pour cette bande de notes.
Mode Édition de notes

Mode Édition de notes
Le mode Édition de notes est le mode le mieux approprié à la visualisation et à l'édition de notes enregistrées pour des modules instrumentaux, comme le module ID8. Le clavier de piano situé à gauche indique les valeurs des notes et couvre l'intégrality de la plage de notes MIDI (C-2 à G8). Vous pouze écouter une note en cliquant sur la touche correspondante du clavier. Dès que le pointeur de la souris atteint la section du clavier, le curseur se modifie en symbole de haut-parleur.
Notez que les touches noires et blanches sont reproduites dans les couleurs d'arriere-plan de la grille de la bande d'édition de notes, ce qui facilitite la localisation de la note souhaitation lorsque vous dessinez ou déplacez des événements de notes.
Mode Édition de la batterie

Mode Édition de la batterie
Le mode Édition de la batterie est le mode qui convient le mieux à la visualisation et à l'édition de notes enregistrées pour un module Redrum. En mode Édition de la batterie, le clavier est remplaced par une liste montrant les noms des canaux sonores de batterie Redrum correspondants. Si la piste est associée à un autre type de module instrumental, la liste affiche à la place les numérodes de notes MIDI (0 à 127). Vous pouvez écouter lessons en cliquant sur un nom ou un numéro de note de la liste.
Mode Édition de REX

Mode Édition de REX
Le mode Édition de REX est créé pour la visualisation et l'édition de slices du Dr. Octo Rex Loop Player. En mode Édition de REX, le clavier est remplaça par une liste affichant les nombres de slices de boucle correspondants dans un module Dr. Octo Rex. La slice n°1 de la liste correspond à la note C3. Vous pouvez écouter le son d'une slice Rex en cliquant sur son nombre dans la liste.
Creation de clips vides
Lors de l'enregistrement dans le séquenceur, les clips sont automatiquement créé sur la bande activée pour l'enregistrement, si nécessaire. Dans certains cas néanmoins, vous pouvez dessiner des clips vides en mode Morceau/Bloc pour les enregistrer ou les editor ultérieurement.
- Sélectionnez l'outil Crayon dans la barre d'outils du séquenceur.

- Positionnéz le crayon sur la bande à l'endetroit où vous souhaitez que le clip débute.
Si vous souhaitez créé un clip de notes, dessinez-le sur une bande de notes. Si vous souhaitez créé un clip d'automation de paramètre, dessinez-le sur une bande d'automation de paramètre. Si la fonction de Magnétisation est activée, les limites de début et de fin du clip seront magnétisées à la valeur de magnétisation définie (voir "Magnétisation").
- Cliquez sur le crayon et faites-le glisser vers la droite, à l'endetroit où vous souhaitez que le clip se termine.

Clip de notes vide en mode Morceau créé à l'aide de l'outil Crayon
Vous pouvez aussi dessiner des clips vides en mode Édition. Un clip de notes doit alors être dessiné dans la vue générale du clip et un clip d'automation de paramètre doit être dessiné dans la bande d'automation correspondante.
Si vous dessinez sur le panneau Édition en mode Édition, une note sera créé à la place. Si nécessaire, un nouveau clip sera automatiquement créé pour encadrer la note.
Voir également "Dessin de notes" et "Dessin d'événements d'automation de paramètre".
Outils d'édition de la fenêtre Outils
L'onglet Outils du séquenceur de la fenêtre Outils est très utile pour effectuer diverses tâches d'édition de l'automation de paramètre et de notes. Pour acceder à la fenêtre Outils et au contenu de l'onglet Outils du séquenceur, procédez comme suit :
- Pour ouvrir la fenêtre Outils, Sélectionnez « Afficher la fenêtre Outils » dans le menu Fenêtre. Vous pouvez également appuyer sur la touche [F8].
Vou puez utilise la touche [F8] pour basculer entre l'affichage et le masquage de la fenetre Outils.
- Cliquez sur l'onglet Outils du séquenceur.

La page Outilis du séquenceur comporte plusieurs panneaux, chacun possédant une fonction propre.
Cliquez sur les flèches situées à droite du nom de la fonction pour plier/déplier le panneau correspondant.
Maintenez la touche Alt ou Option enforcée et cliquez sur une flèche pour plier/déplier simultanément tous les panneaux.
Les valeurs affichées pour les différents panneaux peuvent être éditees de même façon que dans l'inspecteur. Pour des affichages à segment unique, vous pouze soit utiliser les flèches, soit cliquer sur l'affichage et seLECTIONner une valeur dans une liste, en bien encore faire glisser vers le haut ou vers le bas afin de modifier la valeur. Pour des affichages à plusieurs segments, cliquez sur un segment particulier (par exemple, des mesures, des temps, des doubles-croches ou des marqueurs) et utilisez les flèches pour définir la valeur. Vous pouze également cliquer sur un segment et le faire glisser vers le haut ou vers le bas.
Édition de notes
Vouss pouze editer des notes en utilisant la souris dans le mode Édition. Vous pouze également editor des notes à l'aide des fonctions de l'onglet Outils de la fenêtre Outils. Les notes peuvent être éditees de façon numérique dans l'inspecteur, comme décrit dans "Édition de notes et de l'automation dans l'inspecteur".
Sélection de notes
Pour selectionner des notes dans un clip ouvert en mode Edition, utilisez l'une des methodes suivantes :
Cliques sur un événement de note à l'aide de l'outil Sélection (flèche).

L'outil Sélection

Une note selectionnee se distinguue des autres par une couleur plus nombre et par une poignee sur son bordroit.
Pour selectionner plusieurs notes, maintenez la touche Ctrl ou Maj enforcée, puis cliquez sur les notes souhaitees, l'une après l'autre. Vous pouez déslectionner des notes individuelles en Ctrl-cliquant ou en Maj-cliquant dessus à nouveau. Sous environnement Windows, vous pouze aussi selectionner une plage de notes en [Maj]-cliquant sur la première et sur la derniere note de la plage.
Vous peuvent également cliquer et dessiner un rectangle de sélection pour englober les notes à sélectionner.
Vous pouvez selectionner la note suivante ou precedente d'une bande en appuyant sur les touches de direction gauche ou droite de votre clavier d'ordinateur.
Pour effectuer des sélections multiples, maintenez la touche [Maj] enforcée et utilisez les touches de direction.
Pour selectionner toutes les notes d'un meme pitch (valeur de note) d'un clip, selectionnee d'abord une ou plusieurs notes, puis utilisez la fonction « Selectionner des notes de pich identique » dans le menu Edition ou dans le menu contextual.
Pour selectionner toutes les notes du clip ouvert, utilisez la fonction « Sélectionner tout » dans le menu Édition. Vous pouvez également maintainir la touche Ctrl ou Cmd enfoncée et appuyer sur [A].
Pour désélectionner toutes les notes, cliquez sur une zone vide du clip (zone sans aucun événement).
Suppression de notes
Vouspouvez supprimeres notes en procedant de l'une des facons suivantes :
Sélectionnez une ou plusieurs notes grâce à l'outil Sélection (flèche) et appuyez sur la touche [Retour arrêté] ou [Supprimer], ou sélectionné « Supprimer » dans le menu Édition ou dans le menu contextual.
→ Sélectionnez l'outil Gomme et cliquez sur les notes que vous poulez supprimer.

L'outil Gomme
Vous pouvez aussi dessiner un rectangle de seLECTION avec l'outil Gomme pour supprimer plusieurs notes en une seule fois.
Dessin de notes
Les notes sont habituèlement dessinées etédités en mode Édition de notes sur la bande d'édition de notes, mais les actions décrites ci-dessous s'appliquent également au mode Édition de la batterie et au mode Édition de REX.
- Si vous pouze restreindre l'entrée des notes à certaines valeurs de notes (par exemple, des doubles-croches), activez la fonction Magnétisation (voir "Magnétisation") et définièsez la valeur de magnétisation en conséquence.
- Sélectionnez l'outil Crayon.

L'outil Sélection (flèche) vous permet de basculer temporairement entre l'outil Sélection et l'outil Crayon en Maintenant la touche Alt ou Cmd enforcée.
3. Cliques sur la position souhaitatione sur la bande d'edition de notes.
Une note sera insérée à la position de valeur de magnétisation la plus proche. Par défaut, une valeur de velocité de 100 sera affectée à la note. (Cette valeur peut être modifiée ultérieurement comme décrit dans "Édition de la velocité des notes"). Si un clip ouvert ou fermé existe déjà sur la bande de notes à la position où vous dessinez la note, la note est alors placée dans ce clip. Si aucun clip n'este, voir "À propos du dessin de notes en dehors d'un clip ouvert" et "À propos du dessin de notes en dehors d'un clip fermé" ci-dessous.
- Si vous cliquez uniquement et que la fonction Magnétisation est activée, la note recevra comme valeur de longueur cette définitie pour la valeur de magnétisation.
Si la fonction Magnétisation est désactivée, la note recevra la longueur de la plus petite valeur de magnétisation, soit 1/64ème de note.
- En revanche, si vous cliquez et que vous maintainez le bouton de la souris enforcé, vous pouvez la déplacer vers la droite pour définir la longueur de la note.
Si la fonction Magnétisation est activée, la longueur sera un multiple de la valeur de magnétisation.
! Si vous dessinez des notes de batterie pour un module Redrum, reportez-vous aux informations sur les longueurs de notes de batterie dans “À propos du redimensionnement de notes de batterie”.
À propos du dessin de notes en dehors d'un clip ouvert
Si vous dessinez des notes en dehors des limites d'un clip ouvert, le résultat dépend du réglage « Conserver les événements dans le clip pendant l'édition » du menu Options.
Si l'option « Conserver les événements dans le clip pendant l'édition » est activée, les notes appartiendront au clip ouvert après avoir eté dessinées, mais seront masquées puisqu'elles sont dessinées en dehors de limites du clip.
La position et la longueur du clip restent inchangées.
Si l'option « Conserver les événements dans le clip pendant l'édition » est désactivée et que vous dessinEZ des notes en dehors du clip, les notes seront placées dans un clip existant ou dans un nouveau clip de la bande, en fonction de la position de votre dessin.
La figure ci-dessous montre trois scénarios lorsque vous dessinez une note en dehors d'un clip ouvert lorsque l'option « Conserver les événements dans le clip pendant l'édition » est désactivée.

Cet exemple illustré le dessin d'une note au battement 3 de la mesure 5...


Le clip ouvert s'étend selon la valeur de magnétisation en mode Arrangement (1 mesure) pour englober la nouvelle note.

Cet exemple illustré le dessin d'une note au battement 3 de la mesure 8...


La note est placée dans le clip existant au battement 3 de la mesure 8.

Cet exemple illustré le dessin d'une note au battement 1 de la mesure 12...


Un nouveau clip est créé à la mesure 12 avec une longueur égale à celle de la valeur de magnétisation (1 mesure) et la nouvelle note est placée au battement 1.
À propos du dessin de notes en dehors d'un clip fermé
Si vous dessinez des notes en dehors des limites d'un clip fermé en mode Édition, c'est-à-dire sur une bande dépourvue de clips, un nouveau clip est automatiquement créé et ouvert. La longueur du clip est déterminée par la valeur de magnétisation en mode Morceau/Bloc, à condition que la fonction Magnétisation soit activée.
Il est préférible de désactiver l'option « Conserver les événements dans le clip pendant l'édition », car vous pouvez alors continuer à dessiner des notes et le clip sera redimensionné pour s'ajuster aux nouvelles notes.
Redimensionnement de notes
Redimensionnement de notes manuel
Lorsque you selectionnez une note sur le panneau Édition, une poignée apparait sur son côte droit. Vous pouvez cliquer sur cette poignée et la déplacer de côte pour raccourcir ou rallonger la note.

- Si la fonction Magnétisation est activée (voir "Magnétisation"), la fin de la note sera aimantée à la position de la valeur de magnétisation.
- Si plusieurs notes sont selectionnées, elles seront toutes redimensionnées avec la même valeur.
Lorsque you redimensionne des notes, les événements peuvent dépasser la limite droite du clip.
Tant que la position de départ des événements est comprise dans le clip, la note sera jouée sur toute sa durée, c'est-à-dire qu'elle ne sera pas tronquée à la fin du clip.
À propos du redimensionnement de notes de batterie
Les notes de batterie Redrum peuvent etre redimensionnées tout comme les autres notes. Cependant, le résultat sonore depend des reglages des boutons Declin/Gate et Longueur pour le son de batterie du panneau du module Redrum :
- Si le mode Déclin est sélectionné, le son de batterie sera joué jusqu'à la fin, indépendamment de la longueur de la note dans le séquenceur.
Dans le cas contraire, le son fond en sortie en fonction du réglage de la longueur du panneau du module Redrum.
Si le mode Gate est selectionne, la longueur de la note dans le sequencer affecte le résultat du son.
Cependant, la longueur maximale du son est déterminée par le bouton Longueur: tout son sera coupé après cette longueur, indépendamment de la longueur de la note dans le séquenceur. De plus, même si le bouton Longueur est défini à sa valeur maximale, le son n'excédera pas la longueur du sample de batterie.
Redimensionnement de notes avec la fonction « Longueurs de notes »

Panneau Longueurs de notes dans la fenêtre Outils
La fonction « Longueurs de notes » de l'onglet Outils du séquenceur de la fenêtre Outils vous permet d'ajouter ou de soustraire des valeurs de longueur à des notes sélectionnées.
Le redimensionnement de la longueur des notes peut s'appliquer à :
- Des événements individuels (seLECTIONnés) de notes dans un clip de notes.
Cette opération doit s'effectuer en mode Édition.
- Tous les événements de notes dans un ou plusieurs clips de notes sélectionnés.
Cette opération s'effectue en mode Arrangement. Si les clips resident sur la même bande, vous pouvez aussi la réaliser en mode Édition.
! En mode Édition, Sélectionné un ou plusieurs clips enclistant dessus dans la vue générale du clip.
- Tous les événements de notes de tous les clips de notes sur une ou plusieurs pistes instrumentales sélectionnées.
Vous devez effectuer cette opération en mode Morceau/Bloc.
Cliquez sur la case d'option « Ajouter » ou « Soustraire » et selectionnez la valeur de longueur à ajouter ou à soustraire dans l'affichage correspondant. Cliquez ensuite sur « Appliquer »
Cliquez sur la case d'option « Fixe » pour définir toutes les notes à la longueur définie dans l'affichage. Cliquez ensuite sur « Appliquer »
Redimensionnement de notes avec la fonction « Ajustements du legato »

Panneau Ajustements du legato dans la fenetre Outils
La fonction « Ajustements du legato » peut être utilisée pour étendre chaque note sélectionnée de façon à ce qu'elle atteigne la note sélectionnée suivante. Vous pouvez également raccourcir la longueur de la première des deux notes qui se superposent et définir un écart entre elles. Vous indiquez l'écart ou la superposition souhaïte(e) dans les affichages. Seule la longueur de la note est concernée par les ajustements du legato ; ainsi, les positions de départ ne changent jamais.
Les ajustements du legato peuvent être appliqués à :
- Des événements individuels (seLECTIONnés) de notes dans un clip de notes.
Cette opération doit s'effectuer en mode Édition. - Tous les événements de notes dans un ou plusieurs clips de notes sélectionnés.
Voues effectuez cette opération en mode Morceau/Bloc. Si les clips resident sur la meme bande, vous pouze aussi la réaliser en mode Edition.
! En mode Édition, Sélectionnez un ou plusieurs clips enclistant dessus dans la vue générale du clip.
- Tous les événements de notes de tous les clips de notes sur une ou plusieurs pistes instrumentales sélectionnées.
Vous devez effectuer cette opération en mode Morceau/Bloc.
- « Côte à côte (juxtaposer) » estend la ou les notes sélectionnées jusqu'àu début de la ou des notes sélectionnées suivantes.

Un groupe de notes avant et après l'application de la fonction legato « Côte à côte (juxtaposer) »
- « Recouvrir » estend la ou les notes sélectionnées pour qu'elles recouvent la ou les notes sélectionnées suivantes selon une quantité définie.

Groupe de notes avant et après l'application de la fonction legato « Recouvrir » avec une superposition d'une double croche.
« Écarter de » introduit un écart entre les notes sélectionnées. Vous définisse cet écart dans l'affichage « Écarter de » .

Groupe de notes avant et après l'application de la fonction legato « Écarter » avec une valeur d'écart d'une double croche.
Redimensionnement de notes dans l'inspecteur
Vouse puez eaglement editor numériquement la longueur des notes dans l'inspecteur. Voir "Edition de notes et de l'automation dans l'inspecteur".
Déplacement de notes
Déplacement de notes manuel
Pour déplacer une note, cliquez dessus et faites-la glisser vers une nouvelle position ou un nouveau pitch (numéro de note) en utilisant l'outil Sélection.
Si plusieurs notes sont sélectionnées, elles seront toutes déplacées. Si la fonction Magnétisation est activée (voir "Magnétisation"), les événements déplacés conserveront leur distance relative en fonction de la valeur de magnétisation. Si la valeur de magnétisation est réalisée sur « Mesure » par exemple, vous pouvez déplacer les notes sélectionnées vers une autre mesure sans modifier leur timing relatif.

- Par défaut, lors d'un déplacement de notes manuel à de nouveaux pitches (numérodes notes), les notes sont déclenchées et sont jouées. Cela facilitite le déplacement (transposition) des notes au pitch souhaité.
Si vous ne poulez pas entendre les notes pendant l'edition, vous pouvez désactiver la fonction dans la boîte dialogue Préférences en désélectionnant la case « Déclencher des notes pendant l'edition » :

Charger son par défaut dans nouveaux modules
(Configure en même temps l'emplacement de navigation par défaut.)

Déclencher notes pendant édition

Utiliser le rendu audio multicore
Fonction « Déclencher des notes pendant l'édition » de la boîte de dialogue Préférences
Si vous maintainez la touche [Maj] enforcée lors du déplacement, le mouvement est limité horizontally ou verticalément.
Cela vous aidera à déplacer les notes sans les transposer accidentellement ou à les transposer sans modifier par erreur leur position.
Vous pouvez aussi éditer numériquement les pitches des notes grâce à la fonction « Pitch (transposer) » de la fenêtre Outils.
Voir "Transposition de notes".
Vous pouvez aussi déplacer les notes sélectionnées vers un nouveau clip de notes, sur une nouvelle bande de notes supplémentaire, en effectuant un clic avec le bouton droit de la souris (Win) ou en [Ctrl]-cliquant (Mac) et en sélectionnant « Déplacer les notes sélectionnées vers une nouvelle bande » dans le menu contextual.
Un nouveau clip de notes et une nouvelle bande de notes sont créés automatiquement.
À propos du déplacement de notes en dehors ou entre des clips
Si vous souhaitez déplacer des notes en dehors des limites d'un clip ouvert, le résultat dépend du réglage « Conserver les événements dans le clip pendant l'édition » du menu Options :
- Si l'option « Conserver les événements dans le clip pendant l'édition » est activée, les notes appartiendron au clip ouvert après avoir été déplacées, mais seront masquées puisqu'elles sont déplacées en dehors de limites du clip.
La position et la longueur du clip restent inchangées.
Si l'option « Conserver les événements dans le clip pendant l'édition » est désactivée et que vous déplacez des notes en dehors du clip, les notes seront placées dans un clip existant ou dans un nouveau clip de la bande, en fonction de la destination de votre déplacement.
La figure ci-dessous montre trois scénarios lorsque vous déplacez trois notes en dehors d'un clip lorsque l'option « Conserver les événements dans le clip pendant l'édition » est désactivée :

Nous allons déplacer les trois dernières notes du clip vers le battement 3 de la mesure 5.


Le clip ouvert s'etend selon la valeur de magnétisation en mode Morceau/Bloc (1 mesure) pour englober les notes déplacées.

Dans cet exemple, nous allons déplacer les trois dernières notes du clip vers le battement 4 à la mesure 10.


Les notes sont placees dans un autre clip existant au battement 4, à la mesure 10.

Dans cet exemple, nous allons déplacer les trois dernières notes du clip vers le battement 1 à la mesure 12.


Un nouveau clip est créé à la mesure 12 avec une longueur égale à celle de la valeur de magnétisation (1 mesure) et les nouvelles notes sont placées au battement 1.
Modification des pitches (transposition) de notes avec les touches de direction
Vousspuvezutiliserles touchesde directionhaut/bas pour modifierlepitchdes notesselectionnéesen les déplaçantversheautouverselbas:
Maintenez la touche Ctrl ou Cmd enforcée et utilisez la touche de direction haut ou bas pour déplacer les notes sélectionnées d'un demi-ton à la fois.
Décalage des positions de notes avec les touches de direction
Vouss pouvez utiliser les touches de direction gauche ou droite pour « décaler » la position des événements de notes sélectionnés :
Maintenez la touche Ctrl ou Cmd enforcée et utilisez les touches de direction gauche ou droit pour déplacer la position en avant ou en arrêté de la valeur de magnétisation définie.
Maintenez les touches [Ctrl] + Alt ou [Cmd] + Option enforcées et utilisez les touches de direction gauche ou droit pour déplacer la position en avant ou en arrêté par incrément de marqueeur.
Les 240 marqueurs par double croche vous permettent de réaliser une édition très fine. Vérifiez la valeur de marqueeur dans l'inspecteur lorsque vous décalez, car, à moins de zoomer sur un lot, vous ne verrez pas les modifications de position sur le panneau Édition.
Maintenez les touches [Ctrl] + Maj ou [Cmd] + Maj enforcées et utilisez les touches de direction gauche ou croite pour déplacer la position en avant ou en arrêté par incrément de battement.
À propos du décalage de notes en dehors d'un clip ouvert
Si vous décalez des notes en dehors des limites d'un clip ouvert, les notes appartiendron au clip ouvert mais seront masquées, car elles sont décalées en dehors des limites de ce clip. Le réglage « Conserver les événements dans le clip pendant l'édition » n'aaucun effet lors du décalage des notes. Si youssouhaitez déplacer des notes entre des clips ou vers un nouveau clip, yous devez utiliser pour ce faire l'outil Sélection, comme déscrit dans "À propos du déplacement de notes en dehors ou entre des clips".
Déplacement de notes avec la fonction « Altréer des notes »

Le panneau Alterer des notes dans la fenetre Outils
La fonction « Alterer des notes » de l'onglet Outils du séquenceur de la fenêtre Outils altere les positions entre les notes sélectionnées de façon aléatoire.
La fonction « Alterer des notes » peut s'appliquer à :
- Des événements individuels (seLECTIONnés) de notes dans un clip de notes.
Cette opération doit s'effectuer en mode Édition.
- Tous les événements de notes dans un ou plusieurs clips de notes sélectionnés.
Vou effectuez cette opération en mode Morceau/Bloc. Si les clips résident sur la même bande, vous pouvez aussi la réaliser en mode Édition.
! En mode Édition, Sélectionné un ou plusieurs clips enclistant dessus dans la vue générale du clip.
- Tous les événements de notes de tous les clips de notes sur une ou plusieurs pistes instrumentales sélectionnées.
Voudeveezeffectuer cette opération en mode Morceau/Bloc. - La fonction Alterer des notes utilise uniquement les positions de note qui existent déjà parmi les notes sélectionnées.
Ajustez l'intensité de l'alteration à l'aide de l'affichage Quantité.
L'utilisation de cette fonction est particulièrement appréciable pour le réarrangement des slices de boucle du module Dr.Octo REX. Sélectionnez quelques slices sur une piste Dr.Octo REX et utilisez la fonction Alterer des notes pour réarranger des slices et creator des variations instantanées, sans perdre le timing et l'impression rythmique de la boucle.
Déplacement de notes avec les fonctions « Extraire des notes vers des bandes » et « Abréger »
Voue pouze deplacer des notes definies d'un clip vers de nouveaux clips sur de nouvelles bandes supplémentaires. Voir "Extraire des notes vers des bandes".
Déplacement de notes dans l'inspecteur
Voup e aegemert editer numerequement la position et le pitch des notes dans l'inspecteur.Voir "Edition de notes et de I'automation dans I'inspecteur".
Duplication de notes
Duplication de notes manuelle
Pour dupliquer les notes selectionnées, maintenez la touche Ctrl ou Option enforcée et cliquez, puis faites glisser une copie de la selection, comme pour le déplacement de notes manuel (voir "Déplacement de notes").
Vous pouvez aussi dupliquer les notes sélectionnées vers un nouveau clip de notes en cliquant à l'aide du bouton droit de la souris (Win) ou en [Ctrl]-client (Mac), puis en sélectionnant « Dupliquer les notes sélectionnées vers une nouvelle bande » dans le menu contextuel.
Cette opération copie automatiquement la sélection et la colle dans un nouveau clip de notes, sur une nouvelle bande de notes supplémentaire.
Duplication de notes avec la fonction « Extraire des notes vers des bandes »
Voues pouvez dupliquer des notes definies d'un clip et les placer automatiquement vers de nouvelles bandes supplémentaires. Voir "Extraire des notes vers des bandes".
Utilisation des fonctions Couper, Copier et Coller
Vou puez deplcer ou dupliquer des événements en utilisant les commandes Couper, Copier et Coller du menu Édition ou du menu contextuel.
Lorsque you coupez ou copiez, le pointeur de la position du morceau est automatiquement deplacé à la fin de la selection.
Cela est très utile pour répéter des événements, comme coller plusieurs fois la sélection à la suite dans le morceau.
Collage d'événements en dehors d'un clip ouvert
Lorsque vous utilisez la commande Coller, les événements apparaissent à l'emplacement du pointeur de position du morceau, sur la bande d'origine. En fonction du réglage « Conserver les événements dans le clip pendant l'édition » de la boîte de dialogue Préférences, les règles suivantes s'appliquent :
- Si l'option « “Conserver les événements dans le clip pendant l'édition » est activée, les notes appartiendron au clip ouvert après avoir été collées, mais seront masquées puisqu'elles sont collées en dehors des limites du clip.
La position et la longueur du clip restent inchangées.
Si l'option « Conserver les événements dans le clippendant l'édition » est désactivée et que vous collez des notes en dehors du clip, les notes seront placées dans un clip existant ou dans un nouveau clip de la bande, en fonction de la position du collage.
L'image ci-dessous illustré trois scénarios de trois notes coupées et collées à différentes positions en dehors d'un clip ouvert avec l'option « Conserver les événements dans le clip pendant l'édition » désactivée. Nous déterminons les positions de collage en déplaçant le pointeur de position du morceau :

Nous allons couper les trois dernières notes du clip ouvert et les coller au battement 3, à la mesure 5.


Le clip ouvert s'etend selon la valeur de magnétisation en mode Morceau/Bloc (1 mesure) pour englober les notes collées.

Nous allons couper les trois dernières notes du clip ouvert et les coller au battement 4, à la mesure 10.


Les notes sont collées dans un autre clip existant au battement 4, à la mesure 10.

Dans cet exemple, nous allons couper les trois dernières notes du clip ouvert et les coller au battement 1, à la mesure 12.


Un nouveau clip est créé à la mesure 12 avec une longueur égale à celle de la valeur définie de magnétisation (1 mesure) et les notes sont collées au battement 1.
La fonction « Quantifier les notes » de l'onglet Outils du séquenceur de la fenêtre Outils sert à appliquer une quantification à des notes. Si vous cliquez sur le bouton Appliquer, vous alignez automatiquement les positions de départ des notes sélectionnées à une grille prédéfinie et absolue. Vous pouze également désirir de quantifier automatiquement les notes pendant leur enregistrement – voir “Quantiser les notes durant l'enregistrement”.
- Vous peuvent aussi utiliser les fonctions ReGroove pour la quantification du groove. Voir "Le mixeur ReGroove".
La quantisation peut s'appliquer à :
- Des notes individuelles (seLECTIONnées) dans un clip de notes.
Cette opération doit s'effectuer en mode Édition.
- Toutes les notes dans un ou plusieurs clips de notes sélectionnés.
Voues effectuez cette opération en mode Morceau/Bloc. Si les clips resident sur la meme bande, vous pouze aussi la réaliser en mode Edition.
! En mode Édition, sélectionnez un ou plusieurs clips enclistant dessus dans la vue générale du clip.
Toutes les notes de tous les clips de notes sur une ou plusieurs pistes instrumentales selectionnées.
Cette opération doit s'effectuer en mode Arrangement.
La grille de quantification est selectionnée dans le panneau Quantifier sur l'onglet Outils de la fenetre Outils.

Le panneau Quantifier dans la fenetre Outils
Quantification de notes après l'enregistrement
- Sélectionnez la ou les notes, clip(s) de notes ou piste(s) instrumentale(s) à quantifier.
Seules les notes du ou des clips seront concernées, aucun événement d'automation de paramètre n'est inclus dans la quantification.
2. Sélectionnez une valeur de quantification dans la liste déroulante Valeur de la fenêtre Outils.
Vou déterminez ainsi la grille de valeurs à laquelle les notes seront déplacées lors de la quantification. Si vous sélectionné par exemple :
Une double croche, toutes les notes seront déplacées sur (ou au plus pres de) la position de la double croche la plus proche.

ListedéroulanteValeur dequantification
Une dette « T » en regard d'une valeur de quantification signifie triolets. Si vous utilisez des triolets, les trois notes sont réparties de façon égale sur la même période rythmique comme deux notes « normales » (non triolet) de la même valeur de note.
3. Sélectionnéz une valeur dans la liste déroulante Intensité de quantification.
Il s'agit d'un pourcentage qui déterminé l'importance du déplacement de chaque note. Si vous sélectionnez 100% , les notes seront déplacées jusqu'à la position de quantification la plus proche. Si vous sélectionnez 50% , elles ne seront déplacées qu'à mi-chemin, etc.

Liste déroulante Intensité de quantification
4. Cliquez sur le bouton « Appliquer » de la quantification.
Les notes sélectionnées sont quantifiées.


Une pattern de charley enregistrée de façon un peu flottante est quantifiée exactement sur des valeurs de noires (valeur de quantification 1/4, intensité 100%).
La quantification peut aussi s'appliquer à une ou des notes, clip(s) et piste(s) en cliquant à l'aide du bouton droit de la souris (Win) ou en [Ctrl]-cliquant (Mac) et en sélectionnant « Quantifier » dans le menu contextual.
Les réglages actuels du panneau Quantifier de la fenêtre Outils s'appliqueront lors de l'exécution de cette opération.
Aléatoire
Voussouvez decaler les notes quantifiées en utilisant la fonction Aléatoire. Les notes seront quantifiées en fonction des réglages Valeur et Intensité, mais les positions des notes seront aléatoirement décalées selon la valeur de marqueeur définie. Si vous reglez Aléatoire sur 10 marqueurs par exemple, la position des notes variera de +/- 10 marqueurs après la quantification.
Quantifier en shuffle
Dans la liste déroulante Valeur, vous trouvezez également une option appelée « Shuffle ». Si vous Sélectionnez cette option lorsque vous quantifiez, les notes seront déplacées vers des positions de double croche, mais avec un shuffle.
Le shuffle create une impression de « swing » en retardant les doubles croches impaires (les doubles croches marquées entre les croches). L'intensité du shuffle est définie par le contrôle du shuffle global du mixeur ReGroove. La quantification en shuffle est utile si vous voulez faire correspondre le timing de notes enregistrées avec les modules à pattern du morceau (si le shuffle est activé dans les patterns). Néanmoins, vous pouvez utiliser le mixeur ReGroove pour plus de souplesse (voir le chapitre “Le mixeur ReGroove” pour plus de détails).
! Le réglage Intensité s'applique comme lors de la quantification en valeurs de note « normales ».
Quantiser les notes durant l'enregistrement
Voussousquiera quantifierdes notes entree directementlorsde l'enregistrement.Vos pouze activer cette fonction dans la fenetre Outils et/ou sur le panneau de transport:
Activez la quantification des notes en cochant la case « Quantiser lors de l'enregistrement »

Case à cocher Quantiser les notes durant l'enregistrement sur l'onglet Outils du séquenceur
Vous pouvez également cliquer sur le bouton Q Enr. du panneau de transport.

Bouton Q Enr. (Quantiser lors de l'enregistrement) du panneau de transport
Peu imports l'endetroit ou vous activez ou désactivez cette fonction : le statut en cours apparaît automatiquement à l'autre emplacement.
Toute note enregistrée après l'activation de cette fonction sera automatiquement quantifiée aux réglages actuels du panneau « Quantiser les notes » de la fenêtre Outils.
Transposition de notes

Le panneau Transposer des notes de la fenetre Outils
La fonction « Transposer des notes » de la fenêtre Outils transpose les notes sélectionnées ou toutes les notes des clips sélectionnés, de façon ascendante ou descendante. Vous pouvez aussi utiliser la fonction Randomiser qui transpose aléatoirement le pitch des notes sélectionnées.
La fonction « Transposer des notes » peut s'appliquer à :
- Des événements individuels (seLECTIONnés) de notes dans un clip de notes.
Cette opération doit s'effectuer en mode Édition.
- Tous les événements de notes dans un ou plusieurs clips de notes sélectionnés.
Voues effectue cette opération en mode Morceau/Bloc. Si les clips resident sur la meme bande, vous pouze aussi la réaliser en mode Edition.
! En mode Édition, Sélectionnez un ou plusieurs clips enclistant dessus dans la vue générale du clip.
- Tous les événements de notes de tous les clips de notes sur une ou plusieurs pistes instrumentales sélectionnées.
Vous nevez effectuer cette opération en mode Morceau/Bloc.
Demi-tons
Cliquez sur la case d'option « Demi-tons», puis selectionnéz le nombre de demi-tons pour transposer les notes sélectionnées de manière ascendante ou descendante. Cliquez sur « Appliquer » pour exécuter la transposition.
- Vous pouvez également transposer des notes en les déplacant manuellement à l'aide de la souris ou des touches de direction, comme précrit dans "Déplacement de notes manuel" et "Modification des pitches (transposition) de notes avec les touches de direction".
- Voues pouvez également transposer les notes numériquement dans l'inspecteur. Voir "Édition de notes et de l'automation dans l'inspecteur".
Randomiser
Cliquez sur la case d'option « Randomiser», puis selectionnéz la plage de notes vers laquelle transposer les notes sélectionnées. Cliquez sur « Appliquer » pour exécuter la transposition.
Les notes sélectionnées seront transposées aléatoirement dans la plage de notes définie.
Extraire des notes vers des bandes

Le panneau Extraire des notes vers des bandes de la fenetre Outils
La fonction « Extraire des notes vers des bandes » de l'onglet Outils du séquenceur de la fenêtre Outils sert à déplacer ou à dupliquer des notes définies par l'utilisateur d'un certain pitch ou des notes comprises dans une certaine plage de notes vers un nouveau clip de notes ou une nouvelle bande de notes supplémentaire. Cette fonction est très utile si vous enregistrez une piste de batterie dont toutes les notes sont dans le même clip par exemple et que vous souhaitez ensuite extraire individuellement les sons de batterie (pitches de notes dans ce cas) vers des bandes distinctes pour les editor plus facilement, ou si vous souhaitez appliquer des canaux ReGroove (voir "Le mixeur ReGroove").
La fonction « Extraire des notes vers des bandes » peut s'appliquer à :
- Des notes de pitches définis dans un ou plusieurs clips de notes sélectionnés.
Si les clips seront sur la même bande, vous pouvez réaliser cette opération en mode Édition. Si les clips seront sur des bandes distinctes, cette opération doit s'effectuer en mode Morceau/Bloc.
! En mode Édition, Sélectionné un ou plusieurs clips enclistant dessus dans la vue générale du clip.
- Des notes de pitches définis de tous les clips de notes sur une plusieurs pistes instrumentales sélectionnées.
Voudeveez effectuer cette opération en mode Morceau/Bloc.
Exemple d'extraction de notes vers des bandes
Nous avons enregistré un battement de batterie de 4 mesures, consistant en uneGsse caisse, une caisse claire et un charley ouvert+ferme dans un seul clip sur une bande de notes.Àpresent, nous souhaitons extraire les sons du charley ouvert et fermé vers une nouvelle bande de notes distincte. Cette opération pourrait normalement se dérouler en mode Morceau/Bloc mais, pour moins monrer ce qui se passae au niveau des événements de notes, nous la présenterons en mode Édition.
1. Ouvrez un clip de notes en mode Édition.
2. Cliquez sur la vue générale du clip pour activer la fonction « Extraire des notes vers des bandes »
Étant donné que la fonction Extraire des notes vers des bandes s'applique aux clips sélectionnés et non aux notes sélectionnées, vous doivent cliquer dans la vue générale du clip pour activer la fonction (Dans le mode Morceau/Bloc, pour sélectionner le clip, il vous suffit de cliquer dessus).

Clique sur la vue générale du clip pour activer la fonction Extraire des notes vers des bandes.
3. Définissez les notes à déplacer vers le panneau « Extraire des notes vers des bandes » de la fenêtre Outils.
Nous souhaitons déplacer les notes de charley ouvert et fermé, à savoir la plage de notes allant de G#1 à B1. Pour ce faire, nous cliquons sur la case d'option « Plage de notes», puis nous sélectionnons la plage de notes des affichages « Depuis : » et « Vers : »

Sélectionner les notes à déplacer
4. Cliquez sur le bouton « Déplacer » du panneau « Extraire des notes vers des bandes »
Les notes de charley ouvert et fermé sont désormais déplacées vers un nouveau clip sur une nouvelle bande de notes. Si nous cliquons sur la bande d'édition de notes et que nous faisons défiler, nous pouvons voir les notes de charley déplacées dans le nouveau clip :

Notes déplacées dans un nouveau clip sur une nouvelle bande de notes
Si nous sortons pour aller dans le mode Morceau/Bloc, nous pouvons voir le clip d'origine et le nouveau clip.

Clip d'origine et nouveau clip dans le mode Morceau/Bloc
Si vous souhaitez déplacer ou dupliquer les notes d'un certain numéro de note uniquement, cliquez sur la case d'options « Note simple», puis Sélectionnéz le pitch de note dans l'affichage. Ensuite, cliquez sur le bouton « Déplacer » ou « Dupliquer »
Seules les notes du numero de note selectionné seront déplacées ou dupliquées vers un nouveau clip ou une nouvelle bande de notes.
La fonction « Extraire des notes vers des bandes » est disponible à la fois en mode Édition et en mode Morceau/Bloc puisqu'elle est appliquée aux notes définies dans des clips et non aux notes sélectionnées manuellement.
! Toute automation de contrôleur de performance enregistrree reste sur la bande de notes d'origine.
La fonction « Abréger »
Cliquez sur la case d'option « Abréger » pour déplacer ou dupliquer des notes portant les mêmes numérios de note vers de nouveaux clips sur des bandes de notes distinctes.
Les notes possédant le même numéro seront déplacées ou dupliquées vers de nouveaux clips distincts sur des bandes de notes séparées. Une nouvelle bande est créé pour chaque numéro de note utilisé dans le clip d'origine.
- La fonction « Abréger » est idéale si vous enregistrez une piste de batterie et que vous souhaitez déplacer ou dupliquer individuellement chaque son de batterie vers une bande de notes distincte pour plus d'édition. L'application de canaux ReGroove différents à chaque bande de notes généraee peut apporter d'excellents grooves au niveau du rythme. Voir “Le mixeur ReGroove” pour plus de détails.
Échelle du tempo

Panneau Échelle du tempo de la fenêtre Outilis
La fonction « Échelle du tempo » de la fenêtre Outils peut être appliquée à des notes sélectionnées et/ou à des événements d'automation. Elle peut également être appliquée à une note sélectionnée, des clips et d'automation. La fonction Échelle du tempo fera jour le sélection plus rapidement (facteur d'échelle supérieur à 100 %) ou plus lentement (facteur d'échelle inférieur à 100 %). Pour les notes et les événements d'automation, cela s'effectue en modifier la position des événements (en partant du premier événement sélectionné) et en ajustant la longueur des notes de façon correspondante.
La mise à l'échelle du tempo peut être appliquée à :
- Des événements individuels (seLECTIONnés) de notes et/ou d'automation de paramètre dans un clip.
Cette opération doit s'effectuer en mode Édition.
- Tous les événements d'automation de notes et/ou de paramètres dans un ou plusieurs clip(s) sélectionné(s).
Voues effectue cette opération en mode Morceau/Bloc. Si les clips resident sur la meme bande, vous pouze aussi la réaliser en mode Edition.
! En mode Édition, Sélectionnez un ou plusieurs clips enclistant dessus dans la vue générale du clip.
- Tous les événements d'automation de notes et/ou de paramètres dans tous les clips sur une ou plusieurs piste(s) sélectionnée(s).
Vous devez effectuer cette opération en mode Morceau/Bloc.
- Les boutons « Double » et « Demi » sont des « raccourcis » pour les facteurs d'échelle de 200 % et de 50 %, respectivement.
Ce sont probablement les valeurs les plus courantes, simulant une mise à l'échelle à double temps et à demi-tempo.


Résultat de l'application de l'échelle du tempo sur des événements de notes avec le facteur d'échelle de 200 % (vitesse double).
La fonction « Mise à l'échelle selon » peut être utilisé pourmettre à l'échelle des clips sélectionnés ou des événements sélectionnés dans un clip ouvert selon une longueur déterminée. Les segments dans la case « Mise à l'échelle selon » sont divisés en mesures, battements, doubles-croches et marqueurs.
! La fonction Échelle du tempo agit sur les événements de notes, de contrôleur de performance, d'automation de paramètre, de modification de pattern, d'automation de tempo et les clips audio ! Elle n'affecte PAS l'automation de signature rythmique.
! Notez que les clips d'automation à pattern sont uniquement redimensionnés ; le tempo de pattern dans le module source n'est PAS mis à l'échelle mais est synchronisé au tempo du séquenceur principal !
Édition de la velocité des notes
Édition manuelle de la velocité des notes
Les valeurs de velocité des notes peuvent être éditees manuellement dans la bande d'édition de velocité :

Les valeurs de velocité sont affichées sous forme de barres, les barres plus hautes correspondant à des velocités plus grandes.
Notez également que la couleur des notes et des barres reflètent les valeurs de velocité.
Pour modifier la velocité d'une note, cliquez sur sa barre de velocité avec l'outil Crayon et faites glisser la barre vers le haut ou vers le bas. Enclinuant au dessus ou au dessous d'une barre, vous augmentez immédiatement la velocité au niveau sur lequel vous cliquez.
Vouss pouze également éditer la velocité de plusieurs notes en une seule fois en cliquant et en déplaçant l'outil Crayon.
Si vous sélectionnez l'outil Crayon et que vous appuyez sur la touche Ctrl ou Option sur la bande d'édition de velocité, le crayon se modifie en croix.
C'est l'outil Ligne qui est un outil spécial uniquement disponible pour la bande d'édition de la velocité. En le déplaçant à travers les « barres » à la hauteur voulue, vous pouvez dessiner rapidement des rampses de velocité.

Dessin d'une rampe de velocité avec l'outil Ligne.
L'outil Ligne est certainement le meilleur outil pour creer des rampes régulières et douces ou pour donner à toutes les notes la même velocité (en dessinant une ligne horizontally), alors que l'outil Crayon est utilisé pour creer des courbes plus irrégulières.
Si vous maintainez enfoncée la touche [Maj] lorsque vous editedz les valeurs de velocité, seules les notes sélectionnées seront affectées.
Cela peut être très utile, sur tout dans des sections « surchargees » qui comprend ne nombreuses notes. Supposez par exemple que vous avez un battement de batterie très complexe et que vous souhaitez ajuster la velocité des notes de charley uniquement. Si vous déplacez simplement à l'aide de l'outil Ligne ou Crayon, vous modifiez également la velocité de toutes les notes de batterie de la zone. En revanche, si vous sélectionnez d'abord les notes de charley dans la bande d'édition de la batterie et que vous appuyez sur [Maj] lorsque vous dessinez, vous pouvez éoperator leur velocité sans agir sur les autres notes.
Édition de la velocité des notes avec la fonction « Velocité de la note »

Panneau Velocité de la note dans la fenêtre Outils
La fonction « Velocité de la note » de la fenêtre Outils vous permet d'ajuster la velocité des notes sélectionnées de plusieurs façon.
La velocité des notes peut s'appliquer à :
- Des notes individuelles (seLECTIONnées) dans un clip de notes.
Cette opération doit s'effectuer en mode Édition.
- Toutes les notes dans un ou plusieurs clips de notes sélectionnés.
Voues effectez cette opération en mode Morceau/Bloc. Si les clips resident sur la meme bande, vous pouze aussi la réaliser en mode Edition.
! En mode Édition, Sélectionné un ou plusieurs clips enclistant dessus dans la vue générale du clip.
Toutes les notes de tous les clips de notes sur une ou plusieurs pistes instrumentales selectionnées.
Vous devez effectuer cette opération en mode Morceau/Bloc.
La fonction « Ajout » vous permet d'ajouter une valeur fixe aux velocités existantes.
Pour soustraire, selectionnez une valeur négative. Notez que la plage autorisée s'etend de 1 à 127.
La fonction « Réparé » vous permet de définir une valeur de velocité fixe pour toutes les notes sélectionnées.
La fonction « Échelle » vous permet demettre les velocités à l'échelle selon un facteur de pourcentage.
La mise à l'échelle par un facteur supérieur à 100% augmente les valeurs de velocité, mais accroit également la différence entre les notes douces et fortes.
La mise à l'échelle par un facteur inférieur à 100 % diminue les valeurs de velocité, mais diminue également la différence entre les notes douces et fortes.
La fonction « Aléa » modifie de manière aléatoire les valeurs de velocité selon un pourcentage défini.
En combinant les fonctions « Ajout » et « Échelle», vous pouvez ajuster les « dynamiques » des notes de différentes façon. En utilisant par exemple un facteur d'échelle inférieur à 100 % et en ajoutant une valeur appropriée dans l'affichage « Ajout», vous pouvez « compresser » la velocité (réduire la différence entre les valeurs de velocité sans réduire le niveau moyen de velocité).
Édition de la velocité des notes dans l'inspecteur
Voup e aegem titer nquement les valeurs de velocite dans linspecteur.Voir "Edition de notes et de l'automation dans I'inspecteur".
Édition de l'automation
Vue générale
L'automation dans Reason est basée sur des vecteurs. Cela signifie que l'automation est stockée dans des clips sous forme d'événements d'automation (des points) reliés par des lignes.

Bandes d'automation pour un curseur de niveau (en haut) d'un mixeur 14:2, bouton Muet (milieu) et curseur Départ aux (en bas) dans le mode Édition. Le clip d'automation de Départ aux en bas est ouvert pour l'édition.
L'automation des paramétres est contenu dans des clips d'automation sur des bandes d'automation (voir "Éléments du mode Édition").
Chaque paramètre automatisé a sa propre bande d'automation de paramètre.
- L'automation du contrôleur de performance est stockée sur des bandes d'édition du contrôleur de performance dans des clips de notes (voir "Éléments du mode Édition").
Édition de l'automation des paramètres
Les événements d'automation de paramètres peuvent êtreédités en mode Morceau/Bloc et en mode Édition. En mode Morceau/Bloc, le clip d'automation de paramètre peut être ouvert dans uneASF de « mode semi-édition » qui affiche uniquement les événements d'automation du clip sélectionné. L'édition des événements d'automation fonctionne de la même manière, que ce soit en mode Morceau/Bloc ou en mode Édition, sauf que la valeur statique du paramètre automatisé est affichée et peut êtreédité uniquement en mode Édition.
Édition de l'automation de paramètres en mode Morceau/Bloc
En mode Morceau/Bloc, double-cliquez sur le clip d'automation de parametre sur la bande d'automation de parametre.
Le clip d'automation de paramètre est désormais ouvert en mode Morceau/Bloc.

Clip d'automation de paramètre avant et après son ouverture en mode Morceau/Bloc
Dans le clip d'automation des paramètres ouvert, vous pouze déplacer, ajouter et supprimer des événements d'automation de la même façon qu'en mode Édition, à l'aide des outils Sélection (flèche), Crayon et Gomme (voir "Édition de l'automation de paramètre en mode Édition".
- La position et la valeur d'un événement d'automation sélectionné sont également affichées dans l'inspecteur.

Voupez editor numeriement la position et la valeur de I'evenement dans les affichages (voir "Edition de notes et de I'automation dans I'inspecteur".
Pour fermer un clip d'automation de paramètre ouvert en mode Morceau/Bloc, appuyez sur la touche [Echap] ou cliquez sur une autre bande du panneau Arrangement.
Si vous redimensionné le clip d'automation pour le rallonger, la première et/ou la dernière valeur d'automation sera étendue jusqu'à la limite du clip.

L'image ci-dessus illustre un bouton Muet du mixeur 14:2 automatisé. Le clip ne contient qu'un seul point d'automation, mais en étendant le clip dans les deux directions, la valeur est automatiquement étendue au début et à la fin du clip. Cela signifie que vous pouvez ajuster le rythme d'automation Muet en déplaçant et en redimensionnant le clip, sans avoir à l'ouvrir.
Édition de l'automation de paramètre en mode Édition
1. Passez en mode Édition et sélectionnez la piste qui contient l'automation de paramètre que vous souhaitez éditer.
Si nécessaire, utilisez les séparateurs pour couver le clip d'automation à éditer, ils se trouvent en bas du panneau Édition/Arrangement (pas dans le clip de notes). Les clips d'automation de paramètre se distinguent par un coin supérieur droit « coupé ».

Piste instrumentale en mode Édition avec des clips d'automation de paramètre en bas
2. Ouvrez le clip d'automation de paramètre pour l'édition en double-cliquant dessus ou en le sélectionnant, puis en appuyant sur [Entrée].
Le clip d'automation de paramètre est à prisent ouvert pour l'édition.
![PROPELLERHEAD REASON 5 - Ouvrez le clip d'automation de paramètre pour l'édition en double-cliquant dessus ou en le sélectionnant, puis en appuyant sur [Entrée]. - 1](/content/2019/10/18098/images/840ccb29e1483591910af9ddfa28be0583de34dc2e78714f61541639ee8b7706.jpg)
Clip d'automation « Paramètre 1 » ouvert pour l'édition en mode Édition
En mode Édition, la valeur statique du paramètre est affichée à gauche de la bande d'automation. Dans cet exemple, la valeur statique est configurée sur 20, ce qui signifie que la valeur du « Paramètre 1 » est définié sur 20 partout dans le morceau, sauf là où existent des clips d'automation pour ce paramètre.
Pour modifier la valeur statique, cliquez sur la poignée et déplacez-la vers le haut ou le bas, ou double-cliquez et saisissez une nouvelle valeur.
Pour ajuster finement la valeur statique, maintenez la touche [Maj] enforcée lorsque vous cliquez sur la poignee et que vous la déplacez.
![PROPELLERHEAD REASON 5 - Ouvrez le clip d'automation de paramètre pour l'édition en double-cliquant dessus ou en le sélectionnant, puis en appuyant sur [Entrée]. - 2](/content/2019/10/18098/images/620bb3084e31ae3eaadfab1fe4d9dfbfff2767961e36a8b11d8d13aec6cefc0f.jpg)
- Lorsqu'un clip d'automation de paramètre est ouvert, vous pouvez selectionner, déplacer, copier ou supprimer des événements d'automation à l'aide de l'outil Sélection (flèche).
Lors du déplacement des événements d'automation avec l'outil Sélection (flèche), la fonction Magnétisation (voir "Magnétisation") est prise en compte si elle est activée. Vous pouvez également redimensionner le clip en déplaçant ses poignées.
Si vous redimensionné le clip d'automation pour le pallonger, la durée du premier ou du dernier événement d'automation sera étendue jusqu'àux limites du clip (voir le dernier exemple dans "Édition de l'automation de paramètres en mode Morceau/Bloc").
- La position et la valeur d'un événement d'automation sélectionné sont également affichées dans l'inspecteur.
Vou puez éditer ces valeurs numérique dans les affichages de l'inspecteur. Voir "Édition de notes et de l'automation dans l'inspecteur".
À propos des événements d'automation de paramètre en dehors d'un clip ouvert
Si vous déplacez des événements d'automation de paramètre en dehors des limites d'un clip ouvert, les mêmes règles s'appliquent que pour le déplacement d'événements de notes en dehors d'un clip ouvert. Voir "À propos du déplacement de notes en dehors ou entre des clips".
Dessin d'événements d'automation de paramètre
Pour ajouter de nouveaux événements d'automation de paramètre, cliquez ou faites glisser à l'aide de l'outil Crayon dans le clip d'automation ouvert.
La courbe obtenue (c'est-à-dire le nombre de points) dépend de deux facteurs : le réglage du « Nettoyage de l'automation » sélectionné dans le menu Préférences (voir «À propos du nettoyage de l'automation») et la valeur de magnétisation si cette fonction est activée (voir “Magnétisation”).
Maintenez la touche Ctrl ou Option enforcée et cliquez ou faites glisser à l'aide de l'outil Crayon pour insérer une plage d'automation (la même valeur de paramètre sur une période de temps).
La longueur de la plage est définié par la valeur de magnétisation.

Dessin d'une plage d'automation
Lorsque le parametre automatise fonctionne par « paliers »只不过 que de façon continue, des étapes abruptes existent entre les événements d'automation只不过 que des courbes linéaires.
Les boutons de module, les sélecteurs multi-modes, la pédale de sustain et le contrôleur de performance peuvent être cités comme examples de paramètres par palier.

Automation par palier
À propos du dessin d'événements d'automation de paramètre en dehors d'un clip ouvert
Si vous dessinEZ des événements d'automation de parametre en dehors des limites d'un clip ouvert, les mêmes régles s'appliquent que pour le dessin d' événements de notes en dehors d'un clip ouvert. Voir "À propos du dessin de notes en dehors d'un clip ouvert".
Suppression d'événements d'automation
La suppression des événements d'automation s'effectue comme celle des événements de notes : vous cliquez sur les événements pour les sélectionner ou pour dessiner des rectangles de selection, puis vous appuyez sur [Retour arrière] ou [Supprimer], ou vous utilisez l'outil Gomme (voir "Suppression de notes").
Pour effacer tous les événements d'automation dans un clip, maintenez enforcée la touche Ctrl ou Cmd et appuyez sur [A] pour sélectionner tous les événements, puis appuyez sur [Retour arrêté] ou sur [Supprimer]. Vous pouvez également supprimer le clip (ou-retirer la totalité de la bande pour effacer toute automation de ce paramètre).
Édition de l'automation du contrôleur de performance
Pour éditer, dessiner ou supprimer des événements du contrôleur de performance, ouvrez le clip de notes en mode Édition.

Les contrôleurs de performance (roue de modulation et Pitch Bend dans l'exemple ci-dessus) sont affichés sur des bandes d'édition du contrôleur de performance distinctes en bas du clip de notes ouvert. Les courbes des contrôleurs de performance sont également indiquées dans la vue générale du clip (en haut) et dans le clip en mode Morceau/Bloc.
Vous pouvez éoperator des événements du contrôleur de performance en utilisant les outils Sélection (flèche), Crayon et Gomme, comme lors de l'édition des événements d'automation de paramètre (voir "Édition de l'automation de paramètre en mode Édition").
Création de nouvelles bandes d'automation du contrôleur de performance
Si vous souhaitez dessiner manuellement des événements du contrôleur de performance pour un contrôleur qui n'a pas encore été automatisé, vous doivent creer une nouvelle bande d'édition du contrôleur de performance pour ce paramètre. Procedez comme suit :
- Ouvrez un clip de notes en mode Édition.
- Sélectionnez un nouveau contrôleur de performance à automatiser en cliquant sur le sélectiond'automation de contrôleur de performance et en le sélectionnant dans la liste pop-up qui s'affiche :

Dans cet exemple, nous sélectionnons l'Aftertouch.
- Une nouvelle bande d'édition du contrôleur de performance est créé pour le contrôleur de l'Aftertouch :

- À présent, vous pouvez dessiner des événements du contrôleur de performance Aftertouch dans le clip en utilisant l'outil Crayon, comme décrit dans "Dessin d'événements d'automation de paramètre".
Vous pourrez ultérieurement éditer des événements du contrôleur de performance de la même façon que pour des événements d'automation de paramètre normaux (voir "Édition de l'automation de paramètre en mode Édition").
Vous pouvez aussi ajouter un des paramètres disponibles dans le panneau du module en tant que contrôleur de performance.
Il vous suffit de sélectionner « Plus de paramètres... » dans la fenêtre pop-up du sélecteur d'automation du contrôleur de performance et de sélectionner le paramètre souhaïte dans la liste.
Suppression de bandes d'automation du contrôleur de performance
Pour supprimer une bande d'automation du contrôleur de performance, désélectionnez-la dans la liste du sélecteur d'automation du contrôleur de performance.
Cela déclenché une alerte de confirmation si des données existent sur la bande (dans n'importe quel clip). Vous pouvez supprimer sans déclencher l'alerte en appuyant sur la touche Ctrl ou Cmd lorsque vous déslectionné le paramètre dans la liste.
À propos du nettoyage de l'automation
Le nettoyage de l'automation est une fonction qui permet de contrôler la quantité d'événements d'automation de paramètre devant être créés pendant l'enregistrement et/ou le dessin manuel. La fonction de nettoyage de l'automation s'applique aux événements d'automation de paramètre, ainsi qu'aux événements d'automation du contrôleur de performance. Le niveau de nettoyage de l'automation peut être définis dans le menu Préférences et s'applique à tous les nouveaux événements d'automation enregistrres. Vous pouvez aussi utiliser la fonction sur des événements d'automation de paramètre précédemment enregistrres. Cette opération s'effectue dans l'onglet Outils de la fenêtre Outils.
Nettoyage de l'automation dans le menu « Préférences »
Si vous trouvez que vous obtenez trop d'événements d'automation lors de l'enregistrement ou du dessin d'événements, vous pouze ajuster le réglage « Nettoyage de l'automation » sur « Important » ou sur « Maximum » dans la boite de dialogue Préférences de la page Général.

Cela supprime automatique les événements d'automation superflus la prochaine fois que vous enregistrrez ou dessinerez des événements et simplifie les courbes. Notez que la fonction Magnétisation (voir "Magnétisation") détermine aussi le nombre d' événements lors du dessin de ces derniers.

Dessen de l'automation avec un nettoyage « Normal » (gauche) et un nettoyage « Maximum » (droit)
La fonction « Nettoyage de l'automation » dans la fenêtre Outils
Voussousquaisapplerle nettoyagede l'automationadesevénementsdéjaenregistresou dessinés.Cette opération s'effectue dans Ionglet Outils du séquenceur de la fenetre Outils :

Panneau Nettoyage de l'automation dans la fenetre Outils
La fonction « Nettoyage de l'automation » peut s'appliquer à :
- Des événements d'automation de paramètre individuels (seLECTIONnés) dans un clip ouvert.
Cette opération doit s'effectuer en mode Édition pour des contrôleurs de performance. Pour l'automation de paramètre, elle peut être effectuee en mode Édition et en mode Morceau/Bloc.
- Tous les événements d'automation de paramètre dans un ou plusieurs clips sélectionnés.
Voues effectuee cet opération en mode Morceau/Bloc. Si les clips resident sur la meme piste, you pouze aussi la réaliser en mode Edition.
- Tous les événements d'automation de paramètre de tous les clips sur une ou plusieurs pistes sélectionnées.
Vous devez effectuer cette opération en mode Morceau/Bloc.
Édition d'automation de pattern
Les clips d'automation de pattern sont affichés etédités dans la bande de selection de pattern disponible sur les pistes Redrum, Dr. Octo Rex et Matrix :

Les modifications de pattern sont affichées sous forme de clips avec un sélection de pattern en haut (lorsque le clip est sélectionné). Un seul clip d'automation de pattern peut uniquement contir des données pour une seule pattern. En pratique, cela signifie que chaque clip d'automation de pattern contient uniquement un seul « événement » d'automation de pattern. Toutes les modifications de pattern requirement par conséquent des clips uniques.
- Pattern (groupe et numéro)
La pattern (groupe et numero) indique la pattern du module source qui est lue dans ce clip. Pour les modules Dr. Octo Rex, la banque n'a aucune importance.
- Sélecteur de pattern

Cliquez sur le triangle du réseauur de pattern ou double-cliquez dans le clip pour afficher une liste pop-up répertoriant toutes les patterns disponibles (groupes et numéroros) dans le module source. Sélectionnez une autre pattern dans la liste si vous souhaitez modifier la pattern dans le clip sélectionné. Si plusieurs clips de pattern sont sélectionnés, le fait de sélectionner la lecture d'une pattern particulière pour un clip vaut pour tous les clips.
- Poignées de redimensionnement de clip
Cliquez sur l'une des poignées de redimensionnement du clip et faites-la glisser pour redimensionner le clip et modifier par conséquent la position de départ et/ou la durée de la lecture de la pattern.
! Si une automation de pattern existe pour un module, cette automation ne lit que les patterns pour lesquelles des clips de pattern existent.
Dessin d'automation de pattern
Voussouspez dessiner des clips d'automation de pattern dans une bande de selection de pattern grace a l'outil Crayon :
- Activez la fonction Magnétisation et définièsez sa valeur à la position de notes à laquelle vous souhaitez insérer un clip de modification de pattern (voir "Magnétisation").
Il est préférible de définir la valeur de magnétisation sur « Mesure», du moins si vous utilisez des patterns d'une longueur correspondant à la signature rythmique (par exemple, des patterns de 16 ou 32 pas pour une signature rythmique 4/4). Cependant, si vous utilisez des patterns d'une autre longueur, il peut être judicieux d'utiliser d'autres valeurs de magnétisation lorsque vous dessinez des clips d'automation de pattern.
- Sélectionnez l'outil Crayon.
Une liste déroulante de patterns apparait dans l'inspecteur. Utilisez-la pour sélectionner la pattern que le clip doit dire. Pour les modules Dr. Octo Rex, la banque n'a aucune importance.

- Dessinez un clip de la longueur que la pattern selectionnée doit dire.

-
Continue en utilisant la même méthode pour dessiner des clips pour toutes les patterns que vous souhaitez utiliser.
-
Ne dessinez pas de clips de modification de pattern lorsque la fonction Magnétisation est désactivée, à moins que vous ne souhaitiez des modifications chaotiques.
Déplacement, redimensionnement et duplication de clips d'automation de pattern
- Vous pouze déplacer, redimensionner et dupliquer des clips d'automation de pattern de la même façon que les clips de notes et d'automation.
Cependant, il est recommandé que la fonction Magnétisation soit activée et dans la plupart des cas, régée sur « Mesure » (voir “Magnetisation”).
! Si vous redimensionné un clip d'automation de pattern en cliquant sur la poignée de redimensionnement gauche et que vous la faîtes glisser, modifier ainsi la position de départ, le clip est masqué ( comme un clip de notes). Cela signifie que la pattern ne commencera pas nécessairement au battement 1. Un clip d'automation de pattern sélectionné dont la position de départ est masquée l'indique dans l'affichage Décalage de la pattern de l'inspecteur.

Clip d'automation de pattern dessiné entre les mesures 1 et 5
À présent, si nous redimensionnons le clip en faisant glisser la poignée de redimensionnement gauche de deux battements vers la droite, le Décalage de la pattern jouera comme prévu :

Mème clip d'automation de pattern « redimensionné » pour commencer au battement 2
- Vous pouvez également déplacer ou dupliquer des clips d'automation de pattern à l'aide des commandes Couper, Copier et Coller du menu Édition ou du menu contextual.
Les mêmes règles s'appliquent comme dans le cas des clips d'automation de paramètre et de notes.
Suppression de clips d'automation de pattern
La suppression de clips d'automation de pattern s'effectue comme celle d'un clip de notes : vous pouvez sélectionner ou dessiner des rectangles de selection, puis appuyer sur [Retour arrêté] ou utiliser l'outil Gomme, etc.
Pour effacer toute automation dans un clip, il vous suffit de supprimer le clip (ou de supprimer la totalité de la bande pour effacer toute l'automation de modification de pattern sur la piste).
La fonction « Convertir une automation de pattern en notes »
Si vous avez enregistré ou dessiné une automation de pattern sur une piste Redrum ou Matrix, vous pouze convertir automatiquement l'intégrality de la bande d'automation de pattern en événements de note sur une bande de notes supplémentaire. Procedez de la façon suivante :
- Sélectionnez la piste avec l'automation de pattern.
- Sélectionnez « Convertir l'automation de pattern en notes » dans le menu Édition ou dans le menu contextual de la piste.
Pour chaque clip d'automation de pattern, la pattern du module correspondant est convertie en clips de notes sur une bande supplémentaire de la piste. La bande de notes generée sera lue exactement comme lorsque vous jouiez le module à pattern avec les modifications de pattern.
- La bande d'automation de pattern est automatiquement désactivée (annulée) après cette opération.
Vou pourrez revenir ulterieurement à l'automation de pattern si vous le souhaitez, en activant à nouveau la bande de pattern.
Particularités de Redrum :
Le selecteur « Activer la section Pattern » du module Redrum est automatiquement désactivé lorsque vous utilisez la fonction « Convertir la piste de pattern en notes »
Particularités de Matrix :
Assurez-vous que la bonne piste est selectionnée (normalement la piste du module auquel le Matrix est connecté).
La création de notes pour le Matrix lui-même est inutilie puisque le Matrix ne produit aucun son.
- Vous pourriez pouvoir déconnecter voir supprimier le module Matrix après avoir exécuté cette fonction si vous ne souhaitez pas que les notes du Matrix et du séquenceur jouent le module en même temps.
Édition de l'automation du tempo
L'automation du tempo s'édite comme une automation de paramètre normale. Voir "Édition de l'automation des paramètres".
Dessin d'événements d'automation du tempo
Le dessin d'evénements d'automation du tempo s'effectue comme le dessin d'evénements d'automation de paramètre normal. Voir "Dessen d'événements d'automation de paramètre".
- Meme si Reason prend en charge une plage de tempo très vaste (1,0 BPM à 999,999 BPM), la plage d'édition affichée initialement va de 60 à 250 BPM, dans la colonne gauche en mode Édition. Cela visse à faciliter le travail avec de petites modifications du tempo.

Si vous souhaitez des tempos supérieurs à 250 BPM ou inférieurs à 60 BPM, vous pouze facilement étendre la plaque, soit en selectionnant un événement d'automation de tempo et en le déplaçant au dessus ou en dessous de la cordure du clip, en double-cliquant sur les valeurs max. ou min. (« 250 » ou « 60 » dans la colonne de gauche de l'image ci-dessus) et en saississant une nouvelle valeur, soit en selectionnant un événement et en modifiant sa valeur dans l'affichage Valeur de l'inspecteur.
Automation de la signature rythmique
Les événements d'automation de signature rythmique ne peuvent être dessinés que manuellement avec l'outil Crayon et ne sont pas enregistrés comme l'automation du tempo, l'automation de paramètre ou l'automation du contrôleur de performance. Un seul clip d'automation de signature rythmique ne peut containir qu'une seule valeur de signature rythmique. En pratique, cela signifie que chaque clip d'automation de signature rythmique ne peut containir qu'un seul « événement » d'automation de signature rythmique. Toutes les modifications de signature rythmique dans le morceau requisent par conséquent un clip unique.
1. Définissez la signature rythmique souhaïée dans l'affichage Signature du panneau de transport.
Cela constituya la valeur statique, c'est-à-dire la signature rythmique du morceau à chaque endroit où la bande d'automation de signature rythmique ne comporte pas de clip.
2. Maintenez enfoncée la touche [Alt](Win) ou [Option](Mac) et cliquez sur l'affichage Signature du panneau de transport.
Cela sélectionne la piste de transport et cree en meme temps une bande d'automation de la signature rythmique. L'affichage Signature revet egalement une bordure verte, ce qui indique que la signature rythmique est automatisée.
Il est généralement recommandé d'activer la fonction Magnétisation (voir "Magnetisation") et de fixer sa valeur sur « Mesure » lorsque vous dessinez des clips.
3. Sélectionnez l'outil Crayon.
Lorsque l'outil Crayon est selectionné, une liste déroulante de signature rythmique apparait dans l'inspecteur. Sélectionnez la signature rythmique souhaïée dans la liste déroulante.

Si vous sélectionné « Autre», la boîte de dialogue Éditer la signature rythmique apparait dans laquelle vous pouvez indiquer une autre signature rythmique.

Voici les signatures possibles : 1/2-16/2, 1/4-16/4, 1/8-16/8 et 1/16-16/16. L'affichage de la signature rhythmique dans la boite de dialogue peut être edited selon les descriptions dans "Affichage du segment du panneau de transport".
- Dessinez un clip sur la zone de la bande de signature rythmique dans la piste de transport où vous souhaitez modifier la signature rythmique.
La signature rythmique sera modifiée pour la durée du clip.

- Continue à utiliser cette méthode générale à chaque endroit du morceau où vous souhaitez modifier la signature rythmique.
Vous pouvez changer la signature rythmique du clip d'automation à tout moment, simplement en doublecliquant sur le clip avec l'outil Sélection (flèche) et en modifiant la valeur dans le menu pop-up qui apparait. Vous pouvez également sélectionner le clip, puis cliquer sur le petit triangle du clip pour afficher le menu pop-up de la signature rythmique.
Il est inutile de passer en mode Édition à moins que vous ne souhaitiez modifier la valeur statique de la signature rythmique.
Déplacement, redimensionnement et duplication de clips d'automation de signature rythmique
Vous pouvez déplacer, redimensionner et dupliquer des clips d'automation de signature rythmique de la même façon que pour des clips de notes ou d'automation.
Cependant, il est recommandé que la fonction Magnétisation soit activée (dans la plupart des cas, régée sur « Mesure »).
Vous pouvez aussi déplacer ou dupliquer des clips en utilisant les commandes Couper, Copier et Coller du menu Édition ou du menu contextuel.
Les mês règles s'appliquent que pour couper, copier et coller les clips d'automation de paramètre et de notes.
Suppression de clips d'automation de signature rythmique
La suppression de clips d'automation de signature rythmique s'effectue comme celle d'un clip de notes : vous pouvez selectionner ou dessiner des rectangles de selection, puis appuyer sur [Retour arriere] ou [Supprimer], ou utiliser l'outil Gomme.
Pour effacer l'automation de signature rythmique dans un clip, il vous suffit de supprimer le clip (ou de supprimer la totalité de la bande de signature rythmique pour effacer toute l'automation de signature rythmique sur la piste).
Édition de notes et de l'automation dans l'inspecteur
Voupez editor des événements d'automation et de notes numérique en utilisant les affichages dans l'inspecteur.
Édition de notes et dévenements dans l'inspecteur
Si vous sélectionnez une note, quatre affichages apparaisent dans l'inspecteur, montrant la position (départ), la longueur, le numéro de note et la valeur de velocité de l'événement :

Si vous sélectionnez un événement d'automation de paramètre, deux affichages apparaisent, montrant la position et la valeur de l'événement :

Si you selectionnez un clip d'automation de pattern, trois affichages apparaisent, montrant la position, la longueur et le décalage de pattern du clip :

Pour éoperator les valeurs, cliquez sur un segment d'un affichage et faites glisser vers le haut ou vers le bas, utilisez les flèches Haut et Bas, ou saisissez de nouvelles valeurs. La magnétisation n'est pas prise en compte. Voir "Affichages de segments de l'inspecteur" pour des détails sur les méthodes d'édition dans les affichages de l'inspecteur.
! Notez que lors du déplacement de la position des événements, ces derniers peuvent se retrouver en dehors du clip et être masqués (non lus). Vous ne receivez aucun avertissement ni indication pour vous prévenir. Néanmoins, puisque le clip est ouvert en mode Édition, vous pourrez voir si les événements sont masqués.
- Si le segment Marqueur dans les affichages de position et/ou longueur affiche un astérisque (*), cela signifie que la valeur est une fraction de marqueur, soit un sous-marqueur. Voir “À propos des sous-marqueurs dans les affichages Position et Longueur” pour plus d'informations.
Édition des valeurs de plusieurs notes ou événements dans l'inspecteur
Lorsque vous éditez les valeurs de plusieurs événements sélectionnés, les modifications seront toujours relatives. Si vous modifiez par exemple la position, la longueur, le pitch ou la velocité alors que plusieurs notes sont sélectionnées, elles seront toutes modifiées de la même quantité, en maintenant leurs valeurs relatives.
- Si plusieurs événements sont sélectionnés, les affichagesprésenteront les valeurs de l'événement en première position de départ dans le morceau.
Si plusieurs événements sélectionnés ont la même position de départ, les affichagesprésenteront les valeurs de l'événement qui possède la plus petite valeur de note (s'agissant d'événements de notes) ou la plus petite valeur (s'agissant d'événements d'automation).
- Si plusieurs événements sont sélectionnés et qu'une de leur valeur diffère, les boutons d'égalisation des valeurs apparaissent à côté de l'affichage correspondant.
Voir "Égalisation des notes ou des événements via la fonction « Égaliser les valeurs »".
Égalisation des notes ou des événements via la fonction « Egaliser les valeurs »

Les boutons d'égalisation des valeurs apparaissent sous forme de signes « = » rouges
Vouse pouvez utiliser la fonction « Égaliser les valeurs » dans l'inspecteur pour égaliser les positions, longueurs et velocités de plusieurs événements de notes sélectionnés à la position, longueur ou vélocité de l'événement sélectionné qui possède la première position de départ dans le morceau. Les affichagesprésentent toujours les valeurs du premier événement. De même, les événements d'automation peuvent être égalisés à la position et/ou à la valeur du premier événement d'automation sélectionné dans le morceau.
Si plusieurs événements sélectionnés ont la même position de départ, l'égalisation se fera sur les valeurs de l' événement qui possède la plus petite valeur de note (s'agissant d'événements de notes) ou la plus petite valeur (s'agissant d'événements d'automation).
Égalisation de notes
Voici un exemple d'égalisation des valeurs de note :
- En mode Édition, Sélectionnez plusieurs notes.

Quatre notes sélectionnées en mode Édition
2. Cliquez sur le bouton Égalisation des valeurs pour obtenir les résultats suivants :




Valeurs de position égalisées




Valeurs de longueur égalisées




Valeurs de velocité égalisées
Égalisation d'événements d'automation de paramètre
L'égalisation des valeurs d'un événement d'automation de paramètre est utile si vous souhaitez modulier un paramètre automatisé du module à la même valeur dans l'ensemble du clip.
- Supposons que vous souhaitez modulier un paramètre à une valeur maximum de 80, plusieurs fois dans le clip. Sélectionnez ensuite tous les événements « valeur maximale », cliquez sur bouton « Égaliser les valeurs », puis ajustez la valeur des événements sélectionnés à 80.

L'égalisation des positions des événements d'automation peut être utile dans les circonstances suivantes :
- Si vous souhaitez égaliser les positions d'événements d'un seul contrôleur de performance sur plusieurs bandes d'automation du contrôleur de performance.

- Si vous souhaitez égaliser la position de deux événements d'automation adjacents dans un clip afin de créé un « saut » instantané entre deux valeurs.

L'égalisation de positions de plusieurs événements d'automation dans un seul clip ne présente pas de réel interet. Elle ne fera que les placer dans une « pile » sur la même position. Il en résultata un saut instantané entre les valeurs extrêmes durant la lecture. En pratique, tous les événements situés entre les valeurs extrêmes seront ignorés.

REASON
Chapitre 9
Utilisation des blocs du séquenceur
À propos de ce chapitre
Ce chapitre déscrit l'utilisation des blocs et des clips d'automation de blocs du séquenceur principal. Les fonctions du séquenceur générales, telles que l'enregistrement, l'édition de clips et d'événements, ainsi que l'arrangement dans le séquenceur, sont décrites en détaill dans les chapitres "Fonctions du séquenceur", "Enregistrement dans le séquenceur", "Édition de notes et d'automation" et "Arrangement dans le séquenceur".
Introduction
Le séquenceur propose les deux modes de base d'arrangement suivants: le mode Morceau, qui est exactement le même que le « mode Arrangement » des versions précédentes du programme, et le mode Blocs. Le mode Blocs est donc pour la création de « sections » multi-pistes courtes pouvant être répétées à tout moment durant les arrangements du morceau. Dans la plupart des cas, un bloc est constitué de quatre à huit mesures.
Un bloc est similaire à une pattern de boîte à rythme traditionnelle dans laquelle vous enregistrez plusieurs pistes instrumentales (de batterie) puis les enregistrez en tant que pattern compte. Vous procédez ensuite aux arrangements des patterns de votre morceau, l'une après l'autre, en les répétant etc.
Les modes Morceau et Bloc partagent la même liste de pistes mais utilisent des clips et des enregistrents différents. Tous les types de pistes et de clips peuvent être utilisés lors de l'utilisation de blocs : pistes instrumentales avec clips de notes, pistes d'automation avec clips d'automation de paramètres et pistes de patterns avec clips d'automation de patterns.
Le programme propose 32 blocs différents, chacun pouvant etre réutilise et repété autant de fois que vous le souhaitez dans l'arrangement de votre morceau. Les blocs you permittent de creator des blocs de couplets et de refraints et d'arranger puis de réutiliser ces derniers à votre convenance dans le morceau. Lorsque vous arrangez les blocs de votre morceau à l'aide des clips d'automation de blocs,vous pouvez désir de rendre temporairement muettes les bandes de votre choix pendant la durée de chaque clip d'automation de blocs afin de creator des variations.
Le pourquoi des blocs
L'utilisation de patterns sur un séquenceur séduit de nombreux utilisateurs. Il s'agit de l'utilisation traditionnelle qui était faite des séquenceurs matériels lors de leur première mise sur le marché. La méthode de travail linéaire de la plupart des séquenceurs logiciels présente également de nombreux avantages. C'est pourquoi nous avons choisi de combiner ces deux méthodes de travail!
Une utilisation très efficace des blocs est la combinaison des données de blocs avec les données linéaires de morceau. L'image ci-dessous montre les données de blocs utilisées en tant que bases d'un morceau, ainsi que plusieurs clips linéaires courts, utilisés pour replacer une partie des données de blocs afin de créé des variations agréables dans le morceau :

Les clips linéaires remplacent les données de blocs afin de creer des variations agreables dans l'arrangement final.
Modes d'arrangement
Mode Morceau (avec désactivation des blocs)

Sequenceur en mode Morceau
Le mode Morceau correspond au mode Arrangement des versions précédentes du programme. Ici, votre méthode de travail est linéaire, c'est-à-dire que vous enregistrez et arrangez vos clips depuis le début jusqu'à la fin du morceau. Les morceaux créés dans les versions précédentes du programme s'ouvriront automatiquement en mode Morceau, avec lequel vous étés familier.
Mode Morceau (avec activation des blocs)
Lorsque vous creez un nouveau morceau vide ou a partir d'un modele, le séquenceur active automatiquement la fonction Blocs. Cependant, si vous ouvrez un morceau créé dans une version precedente du programme, vous devrez activer les blocs manuellement :
Cliquez sur le bouton Blocs On/Off sur le panneau de transport pour activer la fonction Blocs.

Sequenceur en mode Morceau avec activation des blocs
Lorsque les blocs sont activés depuis le panneau de transport, une piste supplémentaire (la piste des blocs) apparait au-dessus de la piste de transport. Vous pouvez procéder aux arrangements des clips d'automation de blocs sur la piste des blocs, une fois les blocs enregistrrés. Lorsque les blocs sont activés, deux boutons supplémentaires apparaisent dans la barre d'outils : les boutons Mode Morceau et Mode Bloc.
Mode Bloc
Cliquez sur le bouton Bloc dans la barre d'outils pour passer en mode Bloc.
Une zone colorée apparait sur le panneau Arrangement avec le nom du bloc en haut de la piste des blocs. Par défaut, les blocs sont nommés « Bloc n», où « n » est un nombreitué entre 1 et 32. Si vous le souhaitez, vous pouvez attribuer des noms plus explicites à vos blocs (voir “Attribution d'un nouveau nom aux blocs”). Le Mode Bloc est celui que vous utilisez pour enregistrer les clips que vous souhaitez inclure dans un bloc spécifique. Les clips inclus dans la zone de bloc colorée du Mode Bloc sont spécifiques à ce seul bloc.

Le séquenceur en Mode Bloc
! Les modes Morceau et Bloc partagent la même liste de pistes. Cependant, les clips des bandes sont uniques à chaque mode. Cela signifie donc que vous pouvez avoir des clips en mode Morceau « par-dessus » des clips en mode Blocs. Voir “Combinaison de clips d'automation de blocs et de clips de morceau” pour plus de détails.
Édition de blocs en mode Bloc
Selection d'un bloc en vue de son édition
La sélection d'un bloc pour son édition se fait en mode Morceau. Sélectionnez le bloc que vous souhaitez utiliser de la façon suivante :
- Assurez-vous que les blocs sont activés.

- Cliquez sur le bouton Bloc dans la barre d'outils pour passer en mode Bloc.
Le Bloc 1 s'affiche par défaut dans le panneau Arrangement :

- Sélectionnez un bloc (1 à 32) dans la liste déroulante des blocs de la liste des pistes si vous le souhaitez. Dans cet exemple, nous avons choisi le Bloc 1. Le nom du bloc s'affiche sur la piste des blocs.

Attribution d'un nouveau nom aux blocs
Si vous ne souhaitez pas utiliser le nom attribué par défaut aux blocs, vous pouvez facilement les renOMmer :
Double-cliquez sur le nom du bloc sur la piste des blocs en mode Arrangement de bloc, tapez le nouveau nom puis appuyez sur la touche [Entrée].

Définition de la longueur du bloc
La longueur d'un bloc peut être définie à l'aide du marqueur de fin en mode Blocs :
- Sélectionnez le bloc de votrechioix en mode Bloc, comme déscrit dans "Sélection d'un bloc en vue de son édition".
- Reglez la position souhaitee du marqueur de fin en cliuant dessus puis en le faisant glisser sur la regle.

La longueur du bloc doit toujours etre definie depuis le début de la rege jusqu'au marqueeur de fin.
Les indicateurs de bocles gauche et droite n'ontaucin impact sur la longueur du bloc.
Lorsque le sequencer fonctionne en mode Bloc, il boucle automatique le marquee de fin.
Les indicateurs de boucle peuvent également être utilisés en mode Bloc pour creer des boucles à d'autres emplacements, si la fonction Boucle On/Off est activée sur le panneau de transport. Cependant, en mode Morceau, les paramètres des indicateurs de boucles utilisés en mode Bloc seront ignorés.
- La longueur de chacun des 32 blocs peut être définie.
- La longueur des blocs peut être modifiée à tout moment en ajustant la position du marqueur de fin en mode Blocs.
Modification de la couleur du bloc
Il peut être utile d'attribuer une couleur différente à chaque bloc lors de l'arrangement ultérieur de vos blocs en mode Morceau. Une couleur par défaut a déjà été attribuée aux 32 blocs mais elle peut être facilement modifiée :
Sélectionnez une couleur depuis la palette des couleurs du bloc dans le menu contextuel de la piste des blocs ou depuis le menu Édition.
Cela attribue la couleur sélectionnée au bloc. Les pistes du séquenceur et tous les clips du bloc garderont leur couleur d'origine.
Enregistrement en mode Bloc
Pour enregistrer des pistes en mode Bloc, procedez de la meme facon que pour I'enregistrement en mode Morceau.
! Tout événement ou enregistrement situé à la droite du marqueur de fin en mode Bloc sera ignoré lors de la lecture du bloc en mode Morceau.
Consultez la section "Enregistrement dans le séquenceur" pour en savoir plus sur l'enregistrement.
Édition de clips en mode Bloc
Pour éoperator les événements des clips en mode Bloc, procédez de la même façon que pour l'édition de clips en mode Morceau.
Double-cliquez sur le clip de votrechoix pour l'ouvrir et I'editor en mode Edition ou bien cliquez sur le bouton Mode Edition de la barre d'outils.
Reportez-vous à "Édition de notes et d'automation" pour plus de détails sur l'édition de clips.
Arrangement des clips en mode Bloc
Pour arranger les clips en mode Bloc, procedez de la meme facon que pour l'arrangement de clips en mode Morceau.
! Les clips ou parties de clips situés à droite du marqueur de fin en mode Bloc seront ignorés lors de la lecture du bloc en mode Morceau.
Voir "Arrangement dans le séquenceur".
Arrangement des blocs en mode Morceau
Lorsque vous en avez terminé avec vos clips sur les pistes et les bandes en mode Bloc, vous pouvez passer à l'arrangement des blocs pour creer votre morceau en mode Morceau. Pour organiser les blocs et l'ordre dans lequel ils doivent être joués, créez des clips d'automation de blocs dans la piste des blocs en mode Morceau/Arrangement.
La section suivant décrit les fonctions et routines spécifiques aux clips d'automation de blocs. Les procédures générales de manipulation des clips (telles que l'attribution de noms et de couleurs) sont décrites dans la section générale "Manipulation des clips".
Creation de clips d'automation de blocs
Un clip d'automation de bloc est très similaire à un clip de pattern (pour un module Redrum, par exemple). Un clip d'automation de bloc définit quels blocs doivent être joués et pour chaque durée. Pour creer des clips d'automation de blocs, procédez de la façon suivante :
- Cliquez sur le bouton Morceau pour passer en mode Morceau.

- Sélectionnez l'outil Crayon.
Le sélecteur de bloc apparait dans l'Inspecteur :

- Sélectionné le bloc de votrechioix (1 à 32) dans la liste du sélecteur de bloc.
Dans cet exemple, nous avons choisi le Bloc 1.
- Dessinez un clip sur la piste des blocs.
Cela cree un clip d'automation de blocs qui demande au sequencer de jour les événements precedemment enregistrés dans le Bloc 1 :

Clip d'automation de blocs dessiné sur la piste des blocs en mode Morceau
Le contenu (c'est-à-dire les clips et les événements) du Bloc 1 s'affiche dans les pistes du séquenceur correspondantes en transparence sur un fond coloré. Ainsi, vous verrez quels événements seront joués par le Bloc. Cela permet de rendre muette chacune des bandes du Bloc (voir “Rendre des bandes muettes dans les clips d'automation de blocs").
Les règles suivantes s'appliquent aux clips d'automation de blocs :
- Si la longueur du clip d'automation de blocs est supérieure à la longueur réelle du bloc (définie par le marqueur de fin en mode Bloc), le bloc est repété autant de fois que nécessaire.
Dans l'image ci-dessus, la longueur du bloc est constituée de huit mesures et le clip d'automation de blocs est constitué de vingt mesures. Cela signifie que le Bloc 1 est repété aux mesures 9 et 17. Les répétitions sont indiquées par d'étroites lignes verticales dans le clip d'automation de blocs (similaire au clip d'automation de pattern) et sur les pistes du séquenceur.
- Si le clip d'automation de blocs est plus court qu'un multiple pair de la longueur du bloc, le contenu restant du bloc est masqué (rendu muet) dans l'arrangement du mode Morceau.
Dans l'image ci-dessus, les quatre dernières mesures de la troisième répétition sont masquées.
Redimensionnement de clips d'automation de blocs
Comme pour les autres types de clips, les clips d'automation de blocs peuvent etre redimensionnés en cliquant puis en faisant glisser la/les poignee(s) des clips à l'aide de l'outil de selection en forme de flèche ou bien en étitant les valeurs de position et de longueur dans l'inspecteur.
- Si vous redimensionné un clip d'automation de blocs en cliquant sur la poignée gauche du clip puis en la faisant glisser et donc en modifiant la position de début, le décalage du bloc sera modifié.
Cela signifie que la lecture du clip d'automation de blocs peut commencer au milieu du bloc et non au début. L'image ci-dessous montre le clip d'automation de blocs avant et après le redimensionnement de position du départ :

Modification de la position de départ par le redimensionnement du clip d'automation de bloc
Dans l'exemple ci-dessus, le clip d'automation de blocs commencera la lecture à la mesure 7 et la lecture des événements commençant à la mesure 7 du bloc.
- Si un bloc contient des pistes de séquenceur qui utilisent une automation de patterns (une piste Redrum, par exemple), un décalage du bloc commencerà la lecture de la pattern à partir de l'endetroit ajustat et cette dernière sonnera comme prévu.
Réaffection de blocs dans les clips d'automation de blocs
Pour affecter un autre bloc à un clip d'automation de bloc existant, cliquez sur le bouton en forme de petit triangle situé sur le clip d'automation de bloc et Sélectionnéz un autre bloc dans la liste déroulante :


Le clip d'automation de bloc prend la couleur du nouveau bloc et les clips en transparence sur les pistes affichent le contenu du nouveau bloc.
Rendez des bandes muettes dans les clips d'automation de blocs
Lorsque vous avez arranged vos clips d'automation de blocs à votre convenance sur la piste des blocs, vous pouze rendre muettes les bandes individuelles contenues dans n'importe quel bloc. Ces bandes resteront muettes jusqu'à la fin du clip d'automation des blocs.
Ainsi, vous pouvez utiliser le même bloc pour créé l'intro d'un morceau, en introduisant progressivement de plus en plus de pistes/bandes du séquenceur. L'exemple ci-dessous montre comment rendre des bandes muettes dans des clips d'automation de blocs individuels pour créé l'intro d'un morceau.
Nous utiliserons dans cet exemple un seul bloc (le Bloc 1) pour creer l'intro d'un morceau. Le bloc est constitué de huit mesures et utilise quatre pistes de séquenceur. Nous avons enregistré en mode Bloc sur les quatre pistes de séquenceur :

Bloc 1 en mode Bloc avec les quatre pistes de séquenceur.
À présent, nous souhaitons arranger notre morceau ; nous passons donc en mode Morceau et dessinons un clip d'automation de blocs composé de huit mesures sur la piste des blocs :

Un clip d'automation de blocs de huit mesures est affecté au Bloc 1.
Nous souhaitons qu'une piste de piano et de basse joue les huit premières mesures dans notre intro. Nous souhaitons également que la batterie soit jouée dans les huit mesures suivantes. Enfin, nous souhaitons que le morceau continue sur 16 mesures supplémentaires avec toutes les pistes à l'exception de cette du piano.
Pour ce faire, nous devons的成长 plusieurs clips d'automation de blocs qui puissant jouer le même bloc. En effet, nous allons avoir besoin de rendre les bandes muettes par la suite et nous devons donc définir le nombre de mesures pour lesquelles nous sou Haitons que les mesures soient actives. Seule la longueur des clips d'automation de blocs définit la durée des bandes muettes.
Nous commençons par copier et coller deux fois le clip d'automation de bloc. Puis nous redimensionnons (élargissons) le dernier clip d'automation de bloc à 16 mesures :

Clip d'automation de bloc affecté au Bloc 1 copié et collé deux fois et dernier clip d'automation de bloc élargi à 16 mesures.
À présent, nous souhaitons rendre muettes des bandes individuelles pour la durée de chaque clip d'automation de bloc pour creer notre intro. Nous sélectionnons l'outil Muet dans la barre d'outils puis nous cliquons sur les bandes que nous souhaitons rendre muettes dans chaque clip d'automation de bloc :

Bandes muettes tout au long de chaque clip d'automation de bloc.
Nous avons donc notre intro piano et bassé qui doit être jouée pendant les huit premières mesures. Puis le morceau continue sur huit mesures supplémentaires avec les pistes piano, bassé et batterie. Enfin, le morceau joue 16 mesures supplémentaires avec les pistes batterie, bassé et pad de synthétiseur. Tout ce dont nous avons eu besoin pour cette intro a été un simple bloc constitué de huit mesures.
! Notez que les bandes seront rendues muettes pour la durée de chaque clip d'automation de bloc. Si le contenu du bloc est repété dans le clip d'automation de blocs, comme dans le dernier clip ci-dessus, la bande sera rendue muette tout au long du clip d'automation de blocs. Si vous redimensionné un clip d'automation de bloc, toutes les bandes muettes seront redimensionnées en conséquence.
Conversion de clips d'automation de blocs en clips de morceau
Une fois les clips d'automation de blocs arrangés en mode Morceau, vous pouze désirir de convertir le contenu du ou des blocs en clips « normaux » sur les pistes et les bandes du séquenceur. Pour ce faire, précédez de l'une des façon suivantes :
Conversion de simples clips d'automation de blocs en clips en mode Morceau
- Choisissez le ou les clips d'automation de blocs que vous souhaitez convertir en les sélectionnant dans la piste des blocs.
- Sélectionnez « Convertir l'automation de bloc en clips de morceaux » dans le menu Édition ou le menu contextualucl Clip de bloc.
Tous les clips non muets du/de(s) blocs seront automatiquement convertis en clips normaux sur les pistes. Le clip d'automation de bloc et son contenu seront présérés en l'état :

Avant et après l'utilisation de la commande « Convertir l'automation de bloc en clips de morceaux » sur le premier clip d'automation de bloc.
Conversion de tous les clips d'automation de blocs en clips à l'aide du mode Morceau
→ Sélectionnez « Convertir l'automation de bloc en clips de morceaux » dans la liste des pistes depuis le menu contextualuel.
Tous les clips non muets des clips d'automation de blocs seront automatiquement convertis en clips normaux sur les pistes. Les clips d'automation de blocs et leur contenu reférencé sont réservés mais le bouton « On » de la piste des blocs est automatiquement désactivé. Cela permet de réduire l'encombrement sur le panneau Arrangement :


Avant et après l'utilisation de la commande « Convertir l'automation de bloc en clips de morceaux » dans la liste des pistes.
Si vous souhaitez activer de nouveau la piste des blocs, cliquez sur le bouton « On » sur la piste des blocs.
Utilisation des fonctions Couper/Copier et Coller sur des clips individuels
Vouss pouze bien sur égarlement utiliser les fonctions standard Couper/Copier et coller pour copier des clips depuis le mode Bloc vers le mode Morceau, et vice versa.
- Sélectionnez le ou les clips sur le panneau Arrangement (en mode Blocs ou Morceau).
- Utilisez la commande standard Couper ou Copier.
- Passez à l'autre mode (Morceau ou Blocs).
- Utilisez la commande Coller.
Combinaison de clips d'automation de blocs et de clips de morceau
Il est possible de combiner des clips d'automation de blocs avec des clips normaux en mode Morceau. La règlemente est que les clips en mode Morceau ont priorité sur les données de blocs. Cela signifie que si un clip en mode Morceau chevauche un clip (en transparence) sur la même bande de bloc, le clip de morceau sera joué et le clip du bloc situé « en-dessous » sera muet (masqué):

Clips de morceau et clips d'automation de blocs combinés en mode Morceau.
Si le morceau ci-dessus est joué, voici ce que vous entendrez :
- Dans les mesures 1 à 8, les clips de morceau des pistes piano et basse seront joués. Toute donnée de bloc située « en-dessous » de ces clips sera muette.
- Dans les mesures 9 à 16, les données de bloc des pistes piano, batterie et basse seront jouées car elles ne chevauchent pas les clips de morceau.
- Dans les mesures 17 à 32, les données de bloc des pistes batterie, basse et pad de synthetiseur seront jouées car elles ne chevauchent pas les clips de morceau.
Conseils pratiques pour la combinaison de clips de blocs et de morceau
Un bon moyen d'utiliser les clips d'automation de blocs et de morceau est d'abord de creator quelques blocs en mode Bloc puis d'arranger les clips d'automation de blocs en mode Morceau. Une fois les clips d'automation de blocs arrangés, vous pouvez enregistrer quelques clips de morceau courts avec des variations en mode Morceau. Placez ensuite ces clips courts où vous le souhaitez afin de creator des variations agréables dans le morceau, comme le montre l'exemple ci-dessous :

Clips de morceau courts combinés à des clips d'automation de blocs en mode Morceau pour la création de variations agréables.
Puisque les clips de morceau rendent automatiquement muettes (masquent) les données de blocs « sous-jacentes », les clips de morceau courts convennent parfaitement à l'introduction de variations temporaires dans un morceau basé sur des blocs.
À propos des contrôleurs de performance et de l'automation de paramètres
Étant donné que les pistes et les bandes du séquenceur sont partagées entre l'arrangement en mode Blocs et celui en mode Morceau, les règles suivantes s'appliquent concernant le contrôleur de performance et l'automation de paramètres :
- Dans le cadre d'un arrangement en mode Morceau, les données du contrôleur de performance et de l'automation de paramétres replacent toujours l'automation en mode Blocs.
- Si une piste de séquenceur utilise l'automation de paramètres en mode Bloc, l'automation affectera également tous les clips sur les bandes correspondantes en mode Morceau.
L'image ci-dessous montre une portion d'arrangement avec une piste instrumentale constituee d'une bande de notes et d'une bande d'automation de parametes. L'arrangement est cree a partir de blocs (les donnees en transparence) et d'un clip de morceau court pour une variation aux mesures 28 et 29 (le clip bleu sur la bande de notes). Le bloc utilise l'automation du contrôleur de performance de la roue de modulation (la ligne grise située dans les clips de notes du bloc) et l'automation du bouton rotatif 4 (la ligne grise située dans les clips d'automation du bloc):



- Le morceau ne joue les données du bloc que depuis le début jusqu'à la mesure 28.
Pendant ce temps, l'automation du bouton rotatif 4 est active. (Cependant aucune note n'est jouée entre les mesures 1 à 16 puisque la bande de notes du bloc est muette.)
- À la mesure 17, la bande de notes est lue en même temps que les données du contrôleur de performance de la roue de modulation du bloc.
L'automation du bouton rotatif 4 est toujours active.
- À la mesure 28, le clip (bleu) de morceau reprend la lecture des notes et l'automation du contrôleur de performances de la roue de modulation.
Puisque la roue de modulation n'a pas ete du tout touchee dans le clip de morceau, sa valeur est configuere sur zero. Notez cependant que le clip de morceau est always affected par l'automation du bouton rotatif 4 dans le bloc!
- À la mesure 30, le clip de notes du bloc reprend le contrôle de la lecture des notes et de l'automation du contrôleur de performance de la roue de modulation.
L'automation du bouton rotatif 4 est toujours active.

REASON
Chapitre 10
Travailler avec le rack
À propos de ce chapitre
Ce chapitre décrit les procédures et techniques de gestion des modules et des groupes de modules dans le rack.
Procedures de modules du rack
Le rack est l'endroit où vous creez et configurez vos modules et où vous effectuez les réglages de paramètres. Cette section déscrit toutes les procédures de gestion du rack, c'est-à-dire les procédures et techniques communes à tous les modules.
Navigation dans le rack

Le rack.
Le rack héberge tous les modules que vous utilisez dans votre morceau. Pour naviguer dans le rack, utilisez l'une des méthodes suivantes :
Cliquez sur la barre de defilement et faites la glisser vers le haut ou le bas pour continuer à la faire defiler dans le rack.
Si vous utilisez une souris équipée d'une molette, vous pouvez l'utiliser pour faire defiler le rack vers le haut ou vers le bas.
Appuyez sur les boutons [Page suivante] et [Page précédente] du clavier d'ordinateur pour déplacer la vue d'un « écran » vers le haut ou vers le bas dans la colonne du rack actuellément affichée.
Notez que la zone du rack doit être la cible d'édition, c'est-à-dire que la zone du rack doit être encadrée. Définisse la cible d'édition en cliquant dans la zone du rack.
Appuyez sur les boutons [Début] et [Fin] de votre clavier d'ordinateur pour atteindre le haut ou le bas de la colonne du rack actuellément affichée.
Notez que la zone du rack doit être la cible d'édition.
Lorsque you selectionnez une piste dans le sequencer le rack defile automatique pour afficher le module associé.
Redimensionner le rack

Séparateur ajustable dans la fenêtre du morceau Reason
Redimensionnez la zone du rack en cliquant sur le séparateur horizontal et en le faisant glisser entre le rack et le séquenceur.
You pouez également etendre le rack pour qu'il replissse entierement la fenetre de document du morceau en sur le bouton « Maximiser » situé en haut à droite du rack.

Le bouton Maximiser du rack.
A propos des groupes de modules
Un groupe de modules est une série de modules interconnectés qui « sont ensemble ». Un groupe de modules peut par exemple être constitué d'un module instrumental connecté à un module d'effet
Un groupe de modules se compose comme suit :
- Un (et seulement un) module source (par exemple un instrument).
- Les modules vers lesquels le module source envoie ses signaux audio (par exemple module d'effet).
- Tous les modules uniquement CV (un séquenceur Matrix par exemple) qui sont connectés aux modules par CV dans ce groupe uniquement.
- Toutes les pistes du séquenceur pour les modules du groupe.
! Un groupe de modules est défini uniquement par les connections qui existent entre les modules. Un groupe de modules n'a rien à voir avec l'emplacement physique des modules dans le rack.
Si vous souhaitez conserver tous les modules d'un groupe de modules rassemblés physique dans le rack (par exemple si vous souhaitez déplacer tous les modules du groupe), vous pouze utiliser l'option « Groupement automatique de modules et de pistes » du menu Options.

Afficher navigateurs
L'option « Groupement automatique de modules et de pistes »
L'option « Groupement automatique de modules et de pistes » a pour avantage d'optimiser la vue générale des modules connectés les uns aux autres et demettre en évidence leur association à des pistes spécifiques du séquenceur et à une bande de canal particulière dans le mixeur principal. Cette option facilité également la réorganisation des modules dans le rack puisque tous les modules du groupe de modules sont déplacés simultanément lors qu'un seul module du groupe est déplaced.
Si you souhaitez afficher les modules qui appartiennent à un groupe de modules particulier, Sélectionnez un module, puis Sélectionné « Sélectionner tout dans un groupe de modules » dans le menu Édition ou le menu contextuel.
Creation de modules
Il existe plusieurs manières de creer des modules. Les deux premières méthodes presentes s'appliquent a tous les types de modules :
Utilisez le glisser-deposer ou double-cliquez sur un module de l'onglet « Palette de modules » dans la fenêtre Outils.
Vouss pouze également sélectionner un module et cliquer sur le bouton « Créer ». Vous pouze créé tout type de module.

Onglet Palette de modules dans la fenêtre Outils.
→ Sélectionnéz le module souhaité dans le menu « Créer ».
Voussouvezcrier tout type de module.Lemenu « Creer » est disponible dans le menu principal et dans les menuscontextuels du rack et du module.
En fonction du type de module que vous avez créé et aussi du paramètre « Groupement automatique de modules et de pistes», le résultat sera différent :
- Si l'option « Groupement automatique de modules et de pistes » n'est pas sélectionnée, le nouveau module est ajusté directement sous le module actuellement sélectionné dans le rack.
Si aucun module n'est sélectionné, le nouveau module est ajouté en bas du rack.
- Si l'option « Groupement automatique de modules et de pistes » est sélectionnée, les modules ne seront pas créé au milieu des groupes de modules existants (sauf s'il s'agit de modules d'effet, voir “Particularités des modules d'effet”).
Cela signifie qu'un module peut ne pas se couver finalement sous le module sélectionné dans le rack, mais sous le groupe de ce module
Lorsque you ajoutez un nouveau module, essaie de le connecter automatiquement d'une façon logique.
Pour plus d'informations concernant les fonctions de routage automatique, voir "Routage automatique".
! Voir ci-dessous pour des informations propres à certains types de modules.
Particularités du module instrumental
Vou pouve utiliser les méthodes supplémentaires suivantes pour creer des modules instrumentaux :
Cliquez sur le bouton « Creer un instrument... » de l'onglet « Palette de modules » dans la fenetre Outils ou selectionnement « Creer un instrument... » dans le menu Creer.
Vou accédez alors au navigateur de patch dans lequel vous pouvez désir un patch d'instrument à charger dans son module correspondant, voir "Création d'un instrument/Creation d'un effet".
! Vous pouze creator des modules instrumentaux uniquement en utilisant le bouton « Créer un instrument... » et non via les modules de mixeurs ou d'effet.
- Si vous avez créé un module instrumental, une nouvelle piste du séquenceur sera automatiquement créé. Le module instrumental sera automatiquement connecté à un module de voie de mixage disponible.
! La pisterecevront le même nom que le module instrumental create. L'entrée du clavier maître sera aussi automatique régée sur la nouvelle piste, vous permettant de dire immediatement le module instrumental créé via MIDI (voir "Entrée du clavier maître"). Par défaut également, la création automatique d'une piste de séquenceur s'applique uniquement à des modules instrumentaux et non à des modules de mixeur ou d'effet.
- Si vous appuyez sur la touche Alt ou Option et que vous la maintenance enforcée lorsque vous créEZ un module instrumental (sauf lorsque vous effectuez un glisser-deposer à partir de la fenêtre Outils), une piste de séquenceur n'est pas créé.
- Si vous maintainez la touche [Maj] enforcée lors de la création d'un module instrumental, aucun routage ni aucune connexion automatique n'a lieu.
Particularités des modules d'effet
You pouvez utiliser les méthodes supplémentaires suivantes pour créé des modules d'effet :
→ Sélectionnez « Créer un effet... » dans le menu Créer.
Vou accédez alors au navigateur de patch dans lequel vous pouvez désirir un patch de Combinator d'effets à charger dans un module Combinator (voir "Création d'un instrument/Creation d'un effet").
Les résultats lors de la création de modules d'effet dépendent des critères suivants :
- Si un module instrumental était sélectionné lorsque vous avez créé un effet, le module d'effet sera ajouté et connecté en tant qu'« insert d'effet » après le module instrumental.
Si un mixeur 14:2 ou un mixeur de ligne 6:2 etait selectionné lorsqu vous avez creu un effet, le module d'effet sera ajouté et connecté comme depart d'effet sur les premiers connecteurs de depart d'effets du module du mixeur. - Si vous appuyez sur la touche Alt ou Option et que vous la maintenance enforcée lorsque vous créEZ un module d'effet (sauf lorsque vous effectuez un glisser-deposer à partir de la fenêtre Outils), une piste de séquenceur sera créé pour le module.
- Si vous maintainez la touche [Maj] enforcée lorsque vous créez un module d'effet, ce module ne sera pas connecté.
Particularités du module mixeur
- Si vous appuyez sur la touche Alt ou Option et que vous la maintenance enforcée lorsque vous créEZ un module mixeur (sauf lorsque vous effectuez un glisser-deposer à partir de la fenêtre Outils), une piste de séquenceur sera créé pour le module mixeur.
Selection de modules
Certaines opérations, comme la coupe, la copie et la suppression de modules (voir "Couper, copier et coller des modules" et "Suppression de modules"), nécessitant de selectionner un ou plusieurs module(s) dans le rack. Cette selec-tion s'effectue comme suit :
Pour sélectionner un seul module, cliquez dessus dans le rack.
Le module sélectionné est affché entroué d'une cordure colorée (dont la couleur dépend du thème sélectionné pour votre système d'exploitation).

Pour selectionner plusieurs modules, appuyez sur la touche [Maj] et maintenez-la enforcée lorsque vous cliquez sur ces modules.
Autrement dit, le fait de sélectionner un module avec la touche [Maj] permet de ne pas désélectionner les autres modules déjà sélectionnés.
Pour désélectionner tous les modules, cliquez sur une zone vide en bas ou a côté du rack.
Pour désélectionner un module d'une série multiple, appuyez sur la touche [Maj] et maintenez-la enfoncée pour cliquer sur ce module.
Tous les autres modules sélectionnés restent sélectionnés.
Vous pouvez également utiliser les touches de direction du clavier d'ordinateur pour sélectionner le module si-tué directement au-dessus, en-dessous ou à côté du module sélectionné.
Lorsque you utilisez cette methode, Reason fera automatiquement defiler le rack afin que le module selectionné soit visible dans sa totalité. C'est une façon rapide de « parcourir » le rack. Les modules étroits (p. ex. les modules de demi-largeur tels que les effets) sont classés de gauche à droite. Par conséquent, le fait d'appuyer sur la touche de direction Bas permet de parcourir les modules de gauche à droite avant de passer à la rangée de modules suivante.
Si vous appuyez sur la touche [Maj] et que vous la maintenance enforcée lorsque vous utilisez les touches de direction Haut ou Bas, le module actuellement selectionné le restera.
Cela youspermet de selectionner une série de modules.
Le fait d'ajuster un paramètre dans un module sélectionne automatiquement ce dernier.
Autrement dit, vous n'avez pas à seLECTIONner à proprement parler ce module avant d'éditer ses paramètres.
À propos de la sélection de tous les modules dans un groupe de modules
Pour sélectionner tous les modules d'un groupe de modules, procédez comme suit :
- Sélectionnez un module dans le groupe de modules souhaité.
- Sélectionnez « Tout sélectionner dans un groupe de modules » dans le menu Édition ou le menu contextual.
Tous les modules du groupe de modules seront selectionnés comme l'indiquent les cordures colorées qui encadrent ces modules.
Suppression de modules
Pour supprimer un ou plusieurs modules, Sélectionnez-les et utilisez l'une des méthodes suivantes :
Appuyez sur la touche [Retour arrêté] ou [Supprimer].
Une alerte s'affiche vous demandant de confirmer la suppression. Toutes les connexions câblées vers ce module seront aussi supprimées (ou re-routées).
! Si vous avez selectionné un module source et que « Groupement automatique de modules et de pistes “est seLECTIONné dans le menu Options, une alerte s'affiche vous demandant si vous souhaitez supprimer le module ou l'intégralité du groupe de modules, y compris les pistes du séquenceur. (Voir “À propos des groupes de modules”).
Pour supprimer des modules ou des groupes de modules sans afficher d'alerte, appuyez sur la touche Ctrl ou Cmd et maintenez-la enforcée tout en appuyant sur la touche [Retour arrêté] ou [Supprimer].
→ Sélectionnez « Supprimer les modules et les pistes » dans le menu Édition ou le menu contextuel du module. Une alerte s'affiche vous demandant de confirmer la suppression. Cette action supprime aussi l'ensemble des modules ainsi que la ou les piste(s) de séquenceur associée(s), même si l'option « Groupement automatique de modules et de pistes » n'est pas sélectionnée. Il est possible que des modules n'aient pas de pistes associées mais il est impossible, en revanche, qu'une piste de séquenceur n'ait pas de module associé.
Pour selectionner les modules et les pistes sans afficher d'alertes, appuyez sur la touche Ctrl ou Cmd et maintenez-la enfoncée avant de selectionner « Supprimer les modules et les pistes » dans le menu Édition ou le menu contextuel du module.
! Si vous supprimez un module connecté entre deux autres modules, la connexion entre les deux autres modules est automatiquement préserve.
! L'interface matérielle Reason en haut du rack ne peuvent pas'être supprimés.
Réorganisation des modules
Si le paramètre « Groupement automatique de modules et de pistes » est sélectionné dans le menu « Options», tous les modules du groupe de modules suivant lorsque vous effectuez un glisser-déposer d'un module inclus dans un groupe de modules. Néanmoins, il est toujours possible de réorganiser les modules au sein de chaque groupe de modules. Voir « À propos des groupes de modules» pour plus de détails. Voir aussi « À propos de la fonction « Trier les groupes de modules sélectionnés » pour des informations sur le tri automatique de plusieurs groupes de modules.
Si le paramètre « Groupement automatique de modules et de pistes » n'est pas sélectionné dans le menu « Options », vous pouvez réorganiser et déplacer les modules individuellement dans le rack ainsi qu'en dehors des groupes de modules.
- Si vous souhaitez déplacer plusieurs modules en même temps, appuyez sur la touche [Maj] pendant que vous les scélectionnez.
- Cliquez sur le panneau de l'un des modules (et non sur un paramètre ou un affichage).
3. En Maintenant le bouton de la souris enforcé, faites glisser le ou les module(s) vers la nouvelle destination dans le rack.
Une ligne rouge verticale épaissé indique l'endetroit où le module sera positionné. Notez que lors de la réorganisation des modules de largeur inférieure, la ligne rouge peut se trouver à gauche d'un module (indiquant que le module déplace sera inséré avant l'autre module) ou à droite du module (indiquant que le module déplace sera inséré après l'autre module).
Dans l'exemple créé, un module de réverb RV-7 est déplaced vers deux destinations différentes :
Dans ce cas, la ligne rouge indique que le module de réverb RV-7 sera inséré à gauche du phaser.

Voici le résultat. Notez que le module de filtré est déplaced à gauche, pour combler l'espace vacant.

Dans ce cas, la ligne rouge indique que le module de réverb sera inséré à droite du chorus/flanger.

Voici le résultat. Les trois modules sont déplacés à gauche, pour combler l'espace vacant.

4. Relâchez le bouton de la souris.
Le ou les module(s) sont déplacés à leur nouvelle position et les autres modules du rack sont ajustés pour replir les « trous ».
! Notez que si vous commencez à déplacer un module mais que vous changez d'avis, vous pouvez annuler l'opération en appuyant sur la touche [Echap] tout en maintainant enforcé le bouton de la souris.
Si vous maintainez la touche [Maj] enforcée lors du déplacement d'un module, Reason essaiera de le reconnecter automatiquement.
Voir "Routage automatique" pour plus d'info sur l'auto-routage.
! Le déplacement des modules dans le rack n'influe pas sur l'ordre des pistes du séquenceur et vice versa. Si vous souhaitez également réorganiser les pistes du séquenceur, voir “À propos de la fonction « Trier les groupes de modules sélectionnés »”.
À propos de la fonction « Trier les groupes de modules sélectionnés »
Lorsque you travailliez avec des groupes de modules (voir "À propos des groupes de modules"), une fonction très appreciable vous permet d'organiser et de réordonner visuèlement les groupes de modules, Grâce à la fonction « Trier les groupes de modules sélectionnés » disponible dans le menu Édition, vous pouze trier des groupes de modules selon l'ordre des pistes actuel du séquenceur, ou vice versa, en fonction de la sélection actuelle. Pour trier les groupes de modules dans le rack en fonction de l'ordre des pistes actuel dans le séquenceur, procédez comme suit :
- Sélectionnez une piste dans le rack de la liste de pistes du séquenceur, puis Sélectionnez « Sélectionner tout » dans le menu Édition ou le menu contextuel de la piste.
Toutes les pistes s'assombrissant, ce qui indique qu'elles sont seLECTIONnées.
-
Sélectionnez « Trier les groupes de modules sélectionnés » dans le menu Édition ou le menu contextualuel de la piste.
-
À présent, tous les groupes de modulessont automatiquement réorganisés selon la configuration de la piste actuelle dans le séquenceur. Le groupe de modules associé à la piste située en première position dans le séquenceur sera mis en première position dans le rack. Les groupes de modules restants seront réorganisés selon l'ordre des pistes restantes dans la liste des pistes. Si vous Sélectionnéz plusieurs groupes de modules dans le rack et que vous Sélectionnéz « Trier les groupes de modules Sélectionnés » dans le menu Édition ou le menu contextual du module, les pistes du séquenceur sont réorganisées selon l'ordre actuel du groupe de modules dans le rack.
Duplication de modules
La duplication des modules aura des résultats différents en fonction du paramètre « Groupement automatique de modules et de pistes » défini dans le menu Options (voir «À propos des groupes de modules»):
Pour dupliquer un module ou un groupe de modules dans le rack, appuyez sur la touche Ctrl ouOption et maintenez-la enforcée tout en faisant glisser le module vers une nouvelle position.
- Si le paramètre « Groupement automatique de modules et de pistes » n'est pas sélectionné, une copie du module sélectionné sera créé, sans aucune connexion.
- Si le paramètre « Groupement automatique de modules et de pistes » est sélectionné, une copie du groupe de modules sélectionné sera créé avec toutes les connexions présvées. Une nouvelle piste sera également créée dans le séquenceur.
→ Sélectionné le ou les module(s), puis sélectionnez « Dupliquer les modules et les pistes » dans le menu Édition ou le menu contextuel.
Un doublon (copie) du ou des module(s) ou du ou des groupe(s) de modules sera créé. De nouvelles pistes pour le ou les module(s) ou le ou les groupe(s) de modules seront aussi créées dans le séquenceur.
Si vous appuyez sur la touche [Maj] et que vous la maintenance enforcée lorsque vous dupliquez les modules, Reason essaiera de les router automatiquement, comme lorsque vous déplacez des modules.
Voir"Routage automatique".
Couper, copier et coller des modules
Les modules ou groupes de modules sélectionnés peuvent être déplacés ou dupliqués à l'aide des fonctions Couper, Copier et Coller dans le menu Édition ou le menu contextuel du module. Cela vous permet de copier un ou plusieurs modules(s) ( comme un module instrumental et tous ses inserts d'effets ) d'un morceau Reason vers un autre. La coupe/copie et le collage auront des résultats différents en fonction du paramètre « Groupement automatique de modules et de pistes » définis dans le menu Options (voir “À propos des groupes de modules”:
- Les actions Couper et Copier influent sur tous les modules ou groupes de modules sélectionnés et fonctionnement selon les procédures standard.
Cela signifie que l'action Couper déplace les modules ou groupes de modules dans le presse-papier (les supprimant du rack) alors que l'action Copier create des copies des modules ou groupes de modules et les place dans le presse-papier, sans agir sur le rack.
Pour couper, copier et coller un groupe de modules, assurez-vous que le paramètre « Groupement automatique de modules et de pistes » est selectionné dans le menu Options. Sélectionnez ensuite un module dans le groupe de modules et poursuivez la procédure Couper/copier et coller.
Tous les modules du groupe de modules seront coupés/copiés et collés avec leurs connexions préservees (dans le même morceau ou un autre).
Lorsque you collez des modules ou des groupes de modules, 5s sont inserés dans le rack sous le module actuellment selectionné.
Si aucun module n'est selectionné, les modules ou groupes de modules collés apparaîtront en bas de la colonne du rack.
! Comme lors de la création de modules, vous ne pouvez pas coller un module source dans un groupe de modules existant si le paramètre « Groupement automatique de modules et de pistes » est activé. Ce module sera inséré sous le groupe de modules.
- Si vous copiez et collez plusieurs modules, leur interconnexion sera préserve.
- Si vous appuyez sur la touche [Maj] et que vous la maintainenez enforcée lorsque vous collez un module, Reason essaiera de le connecter automatique.
Les règles sont les mêmes que lorsque vous déplace ou duplique des modules par glisser-deposer. Voir "Routage de l'audio et du CV" pour plus d'informations sur le routage automatique et manuel.
Nommer des modules
Chaque module dispose d'une « bande » affichant son nom. Lorsque vous creez un nouveau module, il est automatiquement nommé selon le type de module et avec un numero d'index (de sorte que le premier synthétiseur Subtractor créé est appelé « Subtractor 1 », le suivant « Subtractor 2 », ainsi de suite). Si vous le souhaitez, vous pouvez renomer un module en cliquant sur sa bande et en saississant un nouveau nom (16 caractères maximum).

S'agissant de modules instrumentaux leurs noms sont automatiquement copés surl les pistes de séquenceur attenuantes. De même, les noms des retours d'effet dans le mixeur sont ceux des modules d'effet connectés aux entrées de retard d'effet correspondantes.
Lorsque you creez un module qui possede une piste de sequencer, cette piste receva le meme nom que son module. Le fait de renomer le module renome automatquement la piste du sequencer correspondante et vice versa.
Pliage et dépliage des modules
Si vous n'avez pas besoin d'éditer les paramètres d'un module, vous pouvez le plier pour optimiser la maniabilité du rack et éciter d'avoir à le faire défilé.
Pour plier le module, cliquez sur le bouton « Plier/deplier » situé à gauche du panneau du module.

Bouton « Plier/déplier » sur un module RV7000
Pour déplier le module, cliquez à nouveau sur le bouton « Plier/déplier »
- Dans les rangées du rack contenant des modules de largeur inférieure, le bouton « Plier/déplier » se trouve à gauche du module de l'extrémité gauche et son activation se réprecute sur tous les modules de la rangée :

Les boutons « Plier/déplier » pour des modules de largeur inférieure
Appuyez sur la touche Alt ou Option et maintenez-la enforcée tout en cliquant sur le bouton « Plier/déplier » d'un module déplié pour plier tous les modules de la colonne du rack actuelle.
À l'inverse, appuyez sur la touche Alt ou Option et maintenez-la enforcée tout en cliquant sur le bouton « Plier/déplier » d'un module plié pour déplier tous les modules de la colonne du rack actuelle.
Pour les modules plies, aucun parametre n'est affiché et vous ne pouvez pas routier de nouveau les cables à l'arriere du rack tant que les modules sont plies.
Néanmoins, si vous souhaitez effectuer une connexion vers un module plié, faites glisser un cable dessus et maintenez-le quelques instants. Le module se dépliera alors automatiquement et vous pourrait effectuer la connexion.
- Les modules pliers peuvent être renommés, déplacés, dupliqués et supprimés tout comme les modules dépliés.
- S'agissant de modules qui utilise des patches, vous pouvez également selectionner des patches en mode replié.
- La lecture n'est pas affectée par le piage.

REASON
Chapitre 11
Sons et patches
À propos de ce chapitre
Ce chapitre aborde les sujets suivants :
- Gestion des patches.
Voir "A propos des patches". - Utilisation du navigateur de patches.
Voir "Utilisation du navigateur". - Les formats de fichiers ReFills et Reason.
Voir "A propos des ReFills".
À propos des patches
Un patch contient des réglages pour un module spécifique. Les patches peuvent être soit des fichiers distincts sur votre disque dur soit des fichiers inclus dans un ReFill (voir “À propos des ReFills” pour plus d'informations concernant les ReFills).
Modules utilisant des patches
- Modules Les patches d'effet RV7000 et Scream 4 contiennent tous les réglages de leur panneau de module respectif.
La seLECTION d'un patch donne accès à un nouveau son, tout comme lorsqu'on désit des programmes ou des patches sur un module d'effet matériel.
- Le format de patch du Combinator (Combi) enregistre tous les réglages et références de fichiers pour chaque module du Combi, ainsi que les réglages du Combi lui-même, zones de jeu et de velocité, routage de modulation, etc.
Tout routage d'audio ou de CV depuis ou vers les modules qui font partie du Combi est également sauvegardé.
! Notez que les patches pour les modules inclus dans un Combi ne sont pas enregistrres individuellement - par exemple si un Combi inclut un Subtractor et que vous modifiez les réglages, ces réglages seront enregistrrés dans le Combi, mais pas dans un patch Subtractor distinct, à moins que vous ne le fassiez depuis le Combi lui-même. Voir "Enregistrement de patches".
! Les patches autres que les patches Combi ne comprend pas le routage des câbles.
- Les patches de synthétiseur Subtractor, Thor et Malström contiennent tous les réglages sur le panneau du module.
La seLECTION d'un patch donne accès à un nouveau son, tout comme lorsqu'on désit des programmes ou des patches sur un synthétiseur matériel.
- Les patches Dr. Octo Rex contiennent des informations concernant les fichiers REX qui sont chargés dans chaque emplacement, leurs réglages ainsi que les réglages des paramètres sur le panneau du module.
Il est important de noter que le patch Dr. Octo Rex ne contient pas les fichiers REX eux-memes - uniquement les informations sur les fichiers REX utilisés.
- Les patches de sampler NN19 et NNXT contiennent les informations sur les samples utilisés et leurs réglages (assignation de touches, accordion, etc.), ainsi que les réglages des paramètres du panneau du module.
Il est important de noter que le patch de sampler ne contient pas les samples eux-memes - uniquement les informations sur les fichiers de samples utilisés.
- Les patches de la boite à rythmes Redrum contiennent un « kit de batterie » complet, des informations sur les samples de batterie utilisés, ainsi que les réglages des paramètres pour chaque son de batterie.
Encore une fois, les samples eux-mêmes ne sont pas inclus dans le patch, seules les références aux fichiers le sont. Notez également que les patches Redrum sont différents des patterns Redrum - la sélection d'un nouveau patch n'affectora pas les patterns du module.
À propos de la préférence « Charger un son par défaut pour les nouveaux modules »
La page « Général » des Préférences contient une option (activée par défaut) pour charger un patch par défaut lors de la création d'un module. Pour certains modules, un certain nombre de patches existent en dehors des dossiers de catégorie dans le dossier principal de la banque de sons du module. Ils seront disponibles dans la liste de navigation (voir « À propos des.listes de navigation»)ès que vous aurez créé le module, ce qui vous permet de tester quelques sons pour un module sans ouvrir le navigateur.
Chargement des patches
Pour selectionner et charger un patch pour un module, utilisez l'une des méthodes suivantes :
Cliquez sur le bouton « Parcourir patch » dans la section Patch du panneau du module.
La section Patch a la même forme générale pour tous les modules de patch ; un affichage du nom du patch, deux boutons « Sélectionner patch » (flèches haut/bas pour se déplacer pas à pas dans les patches), un bouton « Parcourir patch » pour ouvrir le navigateur et un bouton « Enregistrer patch » pour enregistrer les patches.

Section Patch d'un module RV7000.
! Sur les panneaux des modules Redrum, NN19 et NN-XT et Dr. Octo Rex il existe également d'autres boutons de dossier, utilisés pour charger des samples ou des fichiers REX. Assurez-vous de bien cliquer sur le bouton de la section de patch (à côté de l'affichage du nom du patch) !
→ Sélectionnez « Parcourir les patches » dans le menu Édition ou dans le menu contextuel du module.
Notez que le menu Edition correspond au module sélectionné - en d'autres termes, vous doivent sélectionner le module pour que l'élement « Parcourir les patches » correspondant s'affiche dans le menu Edition.
- Dans les deux cas, la boite de dialogue du navigateur apparaît, ce qui vous permet de trouver et de sélectionner le patch, sur le système de fichiers ou à l'intérieur d'un ReFill.
Les opérations du navigateur sont décrites dans "Utilisation du navigateur" plus bas dans ce chapitre.
- Quand you've selectionné un patch, you pouvez passer d'un patch à l'autre dans le même dossier à l'aide des boutons « Sélectionner patch » dans le panneau du module :

! Notez que le fait de passer d'un patch à un autre dans un module de cette façon peut également modifier le module lui-même ! Voir “À propos des listes de navigation”.
Si vous cliquez sur l'affichage du nom du patch d'un panneau de module, un menu pop-up apparait, affichant tous les patches du dossier actuellément selectionné - voir "À propos des listedes de navigation").
Cela vous permet de selectionner rapidement un autre patch, sans avoir à les parcourir un par un. Vous pouze également ouvrir le navigateur de patch à partir de ce menu pop-up.

Lorsque you selectionnez un patch à l'aide d'une des méthodes ci-dessus, les paramètres du module seront définis en fonction des valeurs stockées dans le patch, et le nom du patch sera visible dans l'affichage du nom du patch.
! Les réglages de paramètres ultérieurs que vous effectuez sur le panneau du module après la sélection d'un patch n'affectoront en rien le fichier du patch. Pour ce faire, vous doivent enregistrer le patch - voir "Enregistrement de patches".
! Voues pouvez également selectionner les patches à partir d'un clavier maître MIDI ou d'une surface de contrôle - voir "Remote - lore et contrôler des modules".
Si les samples de références manquent
Comme indiqué précédemment, les patches pour le Redrum, NN19, NN-XT et Dr. Octo Rex contiennent des références à des samples ou des fichiers REX. Tout comme les patches, les samples peuvent être des fichiers indépendants sur le disque dur ou des éléments contenus dans un ReFill. Cependant, si les fichiers de sample ont été déplacés ou renommés après l'enregistrement d'un patch, les références au fichier de sample dans le patch ne sont plus correctes.
Si tel est le cas lorsque vous selectionnez un patch, le programme vous l'indiquera. Vous pourrez alors désirir soit de localiser manuellement les fichiers, soit de laisser le programme les searcher, soit de continuer sans lessons manquants. Pour plus de détails, voir "Gestion des sons manquants".
! Continuer sans localiser ou remplacer les samples manquants produit des sons de batterie, des zones de jeu ou des emplacements de boucles silencieux (pour le Redrum, les NN19/NN-XT et Dr. Octo Rex, respectivement).
Enregistrement de patches
Enregistrement des réglages de module dans un morceau
Lorsque you enregistrez un morceau Reason, tous les réglages de tous les modules sont automatiquement inclus dans le fichier du morceau - il est inutil d'enregistrer les patches séparation.
Il est important de remarquer que ce sont les réglages réels qui sont enregistrés dans le morceau, et non les références aux patches sur le disque. La prochaine fois que vous ouvrirez le morceau, tous les paramètres des modules seront définis de la même façon que lorsque vous les avez enregistrés (meme si vous avez supprimé ou modifié des patches sur le disque).
! Remarquez que les samples du module ne sont pas mémorisés avec le morceau par défaut. Ce qui signifie que si vous éditez un sample Redrum ou NN19/NN-XT dans une application externe puis que vous ouvrez un morceau contenant des modules qui utilisent ces samples, le son sera différent. Cependant, il est possible de mémoriser des samples du module en cours avec le morceau, à l'aide de la fonction « autonome ». Voir “À propos des morceaux autonomes”.
Enregister les régles de module comme patch sur le disque
Bien que les réglages de modules soient mémorisés avec le morceau, vous souhaïterez peut-être enregistrer des réglages que vous avez effectués pour un module dans un fichier distinct. Cela vous permet d'utiliser le patch dans d'autres morceaux et d'essayer d'autres patches dans votre morceau sans risquer de perdre votre son d'origine. Vous pouvez enregistrer un patch comme suit :
- Cliquez sur le bouton « Enregistrer patch » sur le panneau du module :

- Dans la boite de dialogue qui apparait, indiquez un emplacement et un nom pour le fichier de patch et cliquez sur Enregister.
- Sous Windows, les différents types de fichier de patch ont différentes extensions de fichier.
Les extensions sont automatiquement ajoutées par Reason lorsque vous enregistrez. Sous Mac OS X, les extensions de fichiers ne sont pas nécessaires mais cela peut être une bonne idée de les conserver si vous pouze enregistrer des fichiers utilisables sous Windows.
- Si vous avez selectionné un patch, que vous l'avez modifié et que vous pouvez l'enregistrer avec les modifications, vous pouze soit enregistrer une version modifiée et distincte du patch (avec un nouveau nom) ou simplement écraser l'ancien fichier du patch sur le disque.
Comme d'habitude, il vous sera demandé de confirmer le remplacement du fichier de patch existant.
! Notez que vous pouvez enregistrer un patch sous le même nom et emplacement sans avoir à faire apparaitre la boite de dialogue en maintainant enfoncée la touche Alt ou Option et en cliquant sur le bouton « Enregistrer patch » sur le panneau du module. Notez bien que le patch d'origine sera écrasé !
! Notez également que vous ne peuvent pas enregistrer dans un ReFill ! Cela signifie que si vous avez ouvert un patch depuis un ReFill, que vous l'avez modifié et que vous poulez l'enregistrer, vous devez l'enregistrer comme fichier séparé sous un nouvel emplacement (en dehors de ReFill). Il est également préféable de renOMmer le fichier de patch modifié, pour éviter les confusions.
Copier et coller des patches d'un module à l'autre
Une façon rapide de copier les réglages de paramètres entre des modules du même type consiste à utiliser les fonctions « Copier patch » et « Coller patch ». Le résultat est le même que si vous aviez enregistré un patch à partir d'un des modules et l'aviez ensuite ouvert dans l'autre - il s'agit simplement d'une méthode plus rapide.
! Les réglages de copier/coller sont possibles avec tous les types de module utilisant des patches.
Procedez de la façon suivante :
- Sélectionnez un patch et/ou effectuez les réglages souhaités sur le module source.
Assurez-vous que le module reste sélectionné. - Sélectionnez « Copier patch » dans le menu Édition ou dans le menu contextuel du module.
- Sélectionnez le module de destination du même type (dans le même morceau ou dans un autre).
- Sélectionnez « Coller patch » dans le menu Édition ou dans le menu contextuel du module.
Les réglages du module source (y compris les références aux samples pour Redrum et NN19/NN-XT et les références aux boucles REX pour Dr. Octo Rex) sont appliqués au module de destination.
! Notez que cette opération copie simplement les réglages d'un module à un autre. La modification des réglages sur un des modules n'affectora pas l'autre, les réglages n'affectoront pas non plus les fichiers de patch sur le disque.
Initialisation des patches
Il est parfois utile de « partir de zéro » lors de la creation d'un son de synthétiseur, de batterie ou d'un patch de sampler. Pour ce faire, sélectionnez « Initialiser le patch » dans le menu Édition ou dans le menu contextual du module. Cela définit une valeur standard pour tous les paramètres. L'initialisation des modules NN19, NN-XT, Dr. Rex ou Redrum effacera également toutes les références aux fichiers de sample/fichiers REX, vous permettant ainsi de partir de zéro.
À propos des ReFills
Un ReFill est uneASF de composants pour Reason qui peut contir des patches de sons et d'effets, des samples, des fichiers REX, des SoundFonts et des morceaux de démonstrations. En d'autres termes, les ReFills sont comparables à des cartes ROM pour un synthetiseur matériel. Sur voitre ordinateur, les ReFill apparaissent sous la forme de grands fichiers avec l'extension « .rfl »
Tous les sons que compte Reason sont intégrés à un ReFill nommé « Banque de sons Reason » copied dans le dossier de programme Reason lors de l'installation.
Des ReFills de Propellerhead supplémentaires sont en vente. Vous pouvez également télécharger des ReFills d'autres utilisateurs Reason sur Internet, les acheter auprès d'autres fournisseurs de samples, etc.
- Les samples (fichiers Wave et AIFF) sont compressés à environ la moitié de leur taille de fichier originale quand ils sont stockés dans des ReFills et ce sans perte de qualité.
Dans Reason, vous pouvez utiliser le navigateur pour afficher et acceder aux sons et autres composants inclus dans les ReFills, comme si les ReFills étaient des dossiers sur votre disque dur.
De plus, si un morceau utilise les composants de ReFills, Reason vous indiquera quels sont les ReFills nécessaires.
Utilisation du navigateur

La boite de dialogue du navigateur de morceaux
Le navigateur est une boîte de dialogue de fichier spéciale qui apparait lorsque vous ouvre des morceaux ou chargez des patches, des samples, des fichiers audio, des fichiers MIDI ou REX, depuis un dossier normal ou depuis un ReFill.
En plus des fonctions standard de parcours des dossiers et des fichiers, la boite de dialogue du navigateur propose plusieurs fonctions utiles :
- Recherche de fichier par nom et/ou par type - voir "Utilisation de la fonction de « recherche »".
- Utilisation de la « recherche croisée » pour la recherche de patches appartenant à tous les types de module.
Par exemple, vous ouvrez le navigateur depuis un module Subtractor pour chercher un patch approprié. Mais plutôt que de limiter le navigateur à l'affichage des seuls patches de Subtractor, vous pouvez désirir de parcourir tous les types de patches d'instrument. Si vous Sélectionnéz un patch avec un format différent de celui du module avec lequel vous effectuez votre recherche, le module original est remplaced par le nouveau module. Voir “Recherche croisée de fichiers de patch”.
- Créez des listedes de favors contenant des raccourcis vers vos fichiers favors pour un accès immédiat.
Voir "Liste des favors". - Écoutez des patches d'instrument, des samples et boucles audio en temps réel.
- Enregistrez des raccourcis vers différents emplacements de votre/vos disque(s) local/locaux.
Voir "Utilisation des Emplacements et favors".
Ouverture du navigateur
Vou puez utiliser les commandes suivantes pour ouvr la boite de dialogue du navigateur (le type de fichiers que you pouze parcourir depend de la methode utilise pour ouvr la boite de dialogue du navigateur) :
- En sélectionnant « Ouvrir » dans le menu fichier.
Voues ouvre als n navigateur de morceaux dans lequel you pouez chooseir d'ouvrir un morceau enregistré.
- En sélectionnant « Parcourir les patches » dans le menu Édition avec un module à patch sélectionné (ou enclinquant sur le bouton « Parcourir les patches » sur le panneau du module).
Vous ouvre ainsi le navigateur de patches qui vous permit de parcourir les patches pour le module selectionné.
Vous pouvez également utiliser la « recherche croisée » (voir “Recherche croisée de fichiers de patch”) pour sélectionner des patches pour d'autres types de modules.
- En sélectionnant « Parcourir les samples » dans le menu Édition avec un module sélectionné basé sur des samples (ou en cliquant sur le bouton « Parcourir les samples » sur le panneau du module).
Voues ouvre als navigateur de samples, dans lequel you pouze chercher des samples dans les formats audio pris en charge.
- En sélectionnant « Parcourir les fichiers ReCycle/REX » dans le menu Édition avec un module Dr. Octo Rex Loop Player sélectionné (ou enclinquant sur le bouton « Parcourir les bouches » du panneau de contrôle).
Vou vrez aie le navigateur de fichiers REX, et you permet de parcourir les bocles REX a charger dans le module Dr. Octo Rex.
- En scélectionnant « Importer un fjichier MIDI » dans le menu Fichier.
Vou vrez aie le navigateur de fichiers MIDI, ce qui you per met de parcourir les fichiers MIDI à importer vers des pistes d'instrument dans le séquenceur. Voir "Importation de fichiers MIDI standard".
- En selectionnant « Créer un instrument... » ou « Créer un effet... » dans le menu Créer.
Cela vous permet de parcourir les patches pour n'importe quel module. Lorsque vous sélectionnez un patch dans le navigateur de patches (sans cliquer sur « OK » dans la boîte de dialogue du navigateur), le module correspondant est automatiquement créé en arrêté-plan, ainsi que la piste de séquenceur correspondante si un patch d'instrument est sélectionné. Voir “Création d'un instrument/Creation d'un effet".
Éléments du navigateur

La boîte de dialogue du navigateur de patch.
Quel que soit le mode de navigation choisi (morceau/patch/sample etc.), la boîte de dialogue de navigation contient les mêmes éléments principaux, bien que certains éléments puissant être grisés s'ils ne peuvent être appliqués. La boîte de dialogue contient les éléments suivants :
Listedesfichiersetdesdossiers

LiTe de navigation principale, affichant le contenu du dossier racine selectionné - voir "Utilisation du navigateur".
Affichage de la liste déroulante

Celle-ci n'est disponible que pour le navigateur de patches (elle est grisée dans les autres cas). Elle détermine quel type de patch est affché dans la liste des fichiers et des dossiers et donc quels patches peuvent être sélectionnés. Voir "Recherche croisée de fichiers de patch".
Listedéroulante du menu racine

La zone au-dessus de la liste des fichiers et des dossiers affiche le nom du dossier racine actuellément sélectionné.
Cliquez dans la zone du nom ou sur la flèche pour appeler une liste déroulante dans laquelle vous pouvez remonter la hierarchie des dossiers.
Les résultats de recherche et listes de favors quant à eux sont affichés en tant que listed « à plat » - sans hierarchie de dossier.
Cliquez sur la flèche à droite de la liste du dossier racine pour remonter dans la hierarchie d'un niveau à la fois.
Boutons avant/arrière

Ces flèches vous permettent de vous déplacer entre les différents emplacements de recherche ouverts lors de la recherche, un peu comme lorsque vous naviguez de page en page dans un navigateur Internet. Lorsque la boîte de dialogue est fermée, la liste des emplacements est effacée.
Liste des emplacements et des favors

Cette liste contient des raccourcis vers de nombreux emplacements. Vous pouvez ajouter manuellement tous les emplacements que vous VOULEZ (sur n'importe quel disque local) dans la section inférieure de la liste, sous le séparateur gris. Les emplacements au-dessus du séparateur gris sont des emplacements par défaut et ne peuvent pas etre modifiés. La selection d'un élément dans la liste « Emplacements et favors » ouvrira le dossier ou le ReFill correspondant comme racine dans la liste principale des fichiers et dossiers - voir "Utilisation du navigateur".
Dans la liste « Emplacements et favors», vous pouze également créé votre propre «liste des favors ». La «liste des favors » peutContainir des raccourcis vers vos patches, vos samples ou vos fichiers de morceaux favors - voir "liste des favors".
Recherche dans la fenêtre pop-up et dans la zone de texte

Ces éléments vous permettent respectivement de spécifier un emplacement de recherche et de saisir un texte à rechercher. La fonction de recherche est décrite dans "Utilisation de la fonction de « recherche »".
Informations et détails

La section « Informations » dans le coin gauche peut afficher les images splash de morceaux ou de ReFills et la section « Détails » affichera des informations à propos de l'élement actuellment sélectionné dans la liste des « Fichiers et dossiers ». Le type d'information affichée dépend du type de fichier. Par exemple, les fichiers de samples ou REX contiennent des informations à propos du format de fichier et de la longueur du fichier sélectionné, et un morceau sélectionné peut afficher les commentaires de l'auteur, (voir "Insérer des informations sur le morceau") etc. Si le fichier sélectionné fait partie d'un ReFill, cela sera indiqué quel que soit le type de fichier.
Section écoute

Cette section contient des contrôleurs pour l'écoute de fichiers audio, de samples et de fichiers REX - voir "Sélection et écoute des samples". Pour tout autre type de fichiers, la section « Écoute » sera grisée.
Flèches Précédent/Suivant
Ces flèches vous permettent de sélectionner les patches précédents ou suivants dans la liste « Fichiers et dossiers ». Dans le navigateur de patches ou de samples, un fichier sélectionné (un patch ou un sample) sera automatiquement chargé en arrêtre-plan.
Indicateur de chargement
Cette icône s'allumera pour indiquer qu'un patch ou sample est en cours de chargement. Vous ne pouvez ni dire ni écouter le son tant qu'il n'est pas chargeé et que l'indicateur n'est pas étant.

Utilisation du navigateur

Le navigateur de patches ouvert à partir d'un module Combinator vous permet de rechercher des patches Combinator - ou d'autres patches d'instruments.
Dans le navigateur, les éléments s'affichent dans une liste hierarchique du dossier racine sélectionné, tout comme dans le navigateur de votre ordinateur (Finder pour Mac et Explorer pour Windows).
Tous les dossiers et sous-dossiers d'un dossier racine s'affichent, mais seuls les fichiers du type correspondant (par exemple les morceaux, les samples, les patches, etc.) peuvent etre vus/selectionnés dans le navigateur. Par exemple, si vous avez selectionné la recherche de samples pour un module NN-XT, seuils les samples audio et les fichiers REX s'afficheront dans le navigateur.
Cliquez sur les signes plus (Win) ou sur les flèches (Mac) à côté d'un dossier fermé pour l'ouvrir. Si le dossier contient des fichiers du type correspondant, ils seront affichés.
Double-cliquer sur un dossier dans la liste l'ouvre en tant que dossier racine dans le navigateur.
- Les colonnes « Nom », « Modifie le » et « Taille » affichent respectivement le nom du dossier ou du fichier, sa date de modification et sa taille (fichiers uniquement).
Cliqueur sur l'en-tete d'une colonne trie les fichiers en consequence (c'est-à-dire par ordre alphabetique, par date d'enregistrement ou par taille de fichier).
Vous pouvez utiliser les boutons « avant/arrière » pour vous déplacer entre les différents emplacements que vous avez ouverts dans le navigateur.
Lorsque vous fermez le navigateur, la « Liste d'emplacements » est effacée.
Utilisez les flèches « Précédent/Suivant » pour vous déplacer entre les fichiers dans la liste des « Fichiers et dossiers » en cours.
Vous ne pouvez parcourir que les fichiers, les dossiers sont ignorés.
- La liste déroulante du dossier racine à droite des flèches « avant/arrière » vous permet de remonter dans la hierarchie des fichiers quand le navigateur pointe un emplacement de dossier spécifique (voir “À propos des listes hierarchiques et à plat” plus bas).
À propos des listes hiérarchiques et à plat
Dans certaines circonstances, le navigateur affichera une liste à plat sans aucune hierarchie de dossiers. Dans de tels cas, il y aura une colonne supplémentaire « Parent » affichant le nom du dossier dans lequel se trouvent les fichiers. La liste déroulante du « Dossier racine » contienda ensuite à son tour un raccourci vers le dossier parent du fichier sélectionné - l'élement « Acceder au dossier parent »

Affichage du navigateur pour listedes à plat
Les listedes a plat sont affichées dans les cas suivants :
Lorsque le navigateur affiche un résultat de recherche - voir "Utilisation de la fonction de « recherche »".
- Lorsque le navigateur affiche la liste des favoris - voir "Liste des favors".
- Lorsque le navigateur affiche une liste de navigation stockée pour un module dans un morceau sauvégardé - voir "À propos des.listes de navigation".
Utilisation des Emplacements et favoris
Pour vous aider à retrouver rapidement vos fichiers, vous pouze ajouter des raccourcis vers les dossiers où vous stockez vos samples, vos patches, etc. Par défaut, la liste des emplacements contient cinq emplacements fixes ; le bureau de votre ordinateur, le dossier (mes) documents, le dossier programme Reason et les banques de sons Reason. Vous pouze facilement ajouter vos propres emplacements à cette liste si vous le souhaitez.
- La seLECTION d'un emplacement dans la liste l'ouvre en tant que dossier racine dans le navigateur.
Pour ajouter un nouvel emplacement ou favori, selectionnez un fichier, un dossier ou un ReFill a partir de la liste du navigateur principal et glissez-le vers la liste « Emplacements et favors » pour le déposer sous le séparateur gris. Vous pouvez également selectionner le fichier, le dossier ou le ReFill dans la liste du navigateur et cliquer sur « Ajouter favori »
Tous les nouveaux emplacements ou favors seront ajoutés sous la liste d'emplacements fixes. Une ligne d'insertion s'affiche pour indiquer où le nouvel emplacement sera place dans la liste. L'ordre des emplacements ajoutés manuellement peut être modifié en utilisant la fonction glisser-deposer.

Pour supprimer un emplacement ou un favori, selectionnez-le dans la liste « Emplacements et favors » et appuyez sur [Retour] ou [Supprimer] - ou cliquez sur le bouton « Supprimer favors ».
Vou puez également selectionner « Supprimer » dans le menu contextuel.
! Les emplacements par défaut (au-dessus du séparateur gris) ne peuvent pas'être modifiés.
- Les emplacements ajoutés manuellement sont stockés dans le fichier Préférences dans le fichier d'application Reason.
! Si un emplacement stocké a été suprimé ou n'est plus disponible, un triangle d'advertisement avec un point d'exclamation s'affiche devant le nom de l'emplacement dans la liste « Emplacements et favors ».
Liste des favors
La « Liste des favors » vous permet de regrouper et d'organiser les fichiers qui se trouvent physique n'importe où sur vos disques locaux. Tout filchier pouvant être charge dans Reason (morceaux, patches, samples, etc.) peut être ajouté dans la « Liste des favors ». Seuls les raccourcis vers les fichiers sont ajoutés - les fichiers originaux ne sont pas déplacés.
Cela est particulièrement pratique pour manipuler les patches. En ajoutant les patches dont vous avez besoin à un moment donné dans une liste de favoris, vous pouze déterminer précisément quels patches pourront être sélectionnés pour un module, et dansquel ordre. Vous pouze alors passer de l'un à l'autre de façon séquentielle puis utiliser les boutons de selection de patch sur votre clavier MIDI ou sur votre surface de contrôle. Voir "Utilisation des favors - un exemple pratique".
Pour ajouter une nouvelle liste de favors, cliquez sur le bouton « Creer une nouvelle liste des favors »

Le bouton « Creer une nouvelle liste des favors »
Un « dossier » vide est créé, nommé « Nouvelle liste de favors ». Les listes de favors sont toujours signalées par une icône en forme d'étoile. La liste du navigateur reste inchangée.
Pour renommer le dossier « Nouvelle liste des favors », double-cliquez dessus et saisissez un nouveau nom.
Vou puez également sélectionner « Renommer » dans le menu contextual.
Pour ajouter un fjichier au dossier « List des favors », Sélectionnez-le dans le navigateur et déplacez-le dans le dossier « List des favors » de votre choix.
Vou puez également sélectionner plusieurs fichiers en utilisant les techniques de seLECTION habituelles - [Maj] et/ou [Ctrl] (Win) ou [Command] (Mac) - et les déposer dans le dossier de la même façon.
Sélectionné le dossier «liste des+favoris » pour visualiser les fichiers que vous venez d'ajouter dans la liste du navigateur.
Ce qui peut être sélectionné et ce qui est affché dépend comme toujours du mode de navigation en cours. Si vous sélectionnez un dossier de la liste des favors qui contient des samples, ils ne seront affichés que si le navigateur de samples est sélectionné.

- Lorsqu'un dossier «liste des favoris » est sélectionné dans le navigateur, une colonne supplémentaire « Parent » s'affiche ( comme pour les résultats de recherche), affichtant le nom du dossier dans lequel se trouve chaque filchier de la liste.
- Les fichiers de la « Liste des favors » ne peuvent pas etre triés en cliquant sur les intulés de colonnes. Cependant, ils peuvent etre réorganisés en utilisant la fonction glisser-deposer.
Pour déplacer les fichiers d'un dossier «liste des+favoris», sélectionné le dossier puis les fichiers dans la liste du navigateur et appuyez sur [Supprimer], ou sélectionné « Supprimer » dans le menu contextual.
Cela ne supprime que le raccourci - le fichier original n'est pas affecté.
Pour supprimer un dossier « Nombre des favoris », Sélectionnez-le et appuyez sur [Retour] ou [Supprimer] - ou sélectionnez « Supprimer » dans le menu contextual.
Utilisation des favors - un exemple pratique
Voici un exemple pratique d'utilisation des favors pour les fichiers de patch :
Voussyou prepez pour un concert en tant que clavier.Vous connaissez les morceaux,et avez choisi les patches adaptés (dans differents formats de module) pour chaque morceau.
Voulez utilisez Reason, mais vous voulez pouvoir basculer sur le bon patch pour chaque morceau en utilisant cette clavier MIDI, sans avoir à vous inquieter de les retrouver sur toute ordinateur pendant le concert.
Voici comment cela peut être réalisé à l'aide des+favors :
- Créez un nouveau morceau Reason.
- Crééz un module instrumental, par exemple un Combinator.
Lechoixdumodule instrumentaln'apas d'importancea ce stade.
- Ouvrez le navigateur de patches depuis le module Combinator.
- Cliquez sur le bouton « Créer une nouvelle liste des favors »
Un nouveau dossier apparaît dans la liste. Double-cliquez dessus et donnez-lui un nom approprié.
- Sélectionnez l'affichage de « Tous les instruments » dans la fenêtre du menu pop-up d'affichage.
À présent, vous pouvez commencer à rechercher les patches dont vous avez besoin en utilisant le navigateur.
- Lorsque vous avez trouve un patch dont vous avez besoin pour le concert, faites-le glisser depuis le navigateur vers le dossier de la liste des favorsis.
S'il s'agit d'un patch d'un format différent de celui de l'instrument que vous avez créé, un module de ce type remplace le module original (voir "Recherche croisée de fichiers de patch").

- Continuez d'ajouter les patches de cette façon jusqu'à ce que vous ayez tous ceux dont vous avez besoin.
- Lorsque vous avez terminé, selectionnez le dossier de la liste des favorsis.
Le dossier s'ouvre dans le navigateur, affichant tous les patches que vous avez ajoutés.
- Utilisez la fonction glisser-deposer pour ordonnier les patches en fonction de la liste du set.
10.Sélectionnez le premier patch de la liste des+favoris et cliquez sur OK.
Le navigateur se ferme avec le patch charge.
Si vous avez un clavier MIDI ou une surface de contrôle avec des boutons programmables, vous pouvez affecter un bouton à « Sélectionner le patch suivant » sur le module.
Beaucoup de claviers MIDI et de surfaces de contrôle ont des boutons affectés à la sélection de patches - vérifie les documents détaillés de la surface de contrôle pour plus d'informations sur les contrôleurs. Vous pouvez également affecter manuellement des boutons pour la sélection de patches - voir le chapitre "Remote - lore et contrôle des modules".
11.Enregistrez le morceau.
12.Lors du concert, ouvrez le morceau et le premier patch sera charge.
13.Lorsque le premier morceau est terminé,utilisez le bouton « Patch suivant » du module ou de votre clavier MIDI et le patch suivant de la liste des favors sera charge!
Sélection et écoute des patches
Dans le navigateur de patches, la sélection d'un patch entraine son chargement automatique en arrêté-plan (c'est-à-dire que la boîte de dialogue est toujours ouverte). Cela vous permet d'avoir un aperçu des patches avant de confirmer leur sélection en cliquant sur OK dans le navigateur.
Sélectionnez un patch et jouez quelques notes pour l'écouter.
Pour les patches d'effet, vous pouvez activer la lecture d'une boucle dans le séquenceur avant d'ouvrir le navigateur de patches à partir de l'effet.
Une fois que la boîte de dialogue du navigateur est ouverte, vous pouvez rechercher un dossier contenant des patches compatibles et les essayer un à un pour entendre leur effet sur le son.
- Vous pouze également écouter des patches de n'importequel module instrumental ou d'effet - pas uniquement pour le module depuis lequel vous avez ouvert le navigateur! Voir "Recherche croisée de fichiers de patch".
Selection et écoute des samples
Pour les fichiers audio, les samples et les boucles REX, vous pouvez utiliser les contrôleurs d'écoute pour écouter le son.
Pour ce faire, procedez comme suit :
Sélectionné le fichier dans la liste des fichiers et cliquez sur le bouton Lecture à droite.
Le fichier est lu. Durant la lecture, le bouton Lecture de la section Écoute est renommé « Stop » - cliquez dessus pour arrêté la lecture.

Vous peuvent également cocher la case Automatique et selectionner simplement le fichier que vous pouze écouter.
Le fichier selectionné est automatiquement lu. À nouveau, cliquez sur le bouton Stop pour arrêté la lecture.
À propos de la recherche de grands patches
Comme mentionné précédemment, lorsque vous parcourez des patches (ou des samples), ils sont automatiquement chargés en arrêtre-plan lorsqu'ils sont sélectionnés. La plupart du temps, cela se produit instantanément. Gardez à l'esprit cependant que le chargement de certains fichiers (en particulier les gros patches de Combinator, qui peuventContaininger des nombreux modules et samples) peuvent restre un certain temps à charger.
Si vous seLECTIONnez un grand patch par erreur, vous pouvez arreter le chargement en selectionnant simplement un autre patch.
Sélectionner plusieurs fichiers
Il est possible de sélectionner plusieurs fichiers dans le navigateur, en utilisant les combinaisons habituelles [Shift] ou [Ctrl] (Win) ou [Command] (Mac). Cela ne peut pas dire pour autant que les fichiers sélectionnés peuvent être chargés. Il y a trois exemples fondamentaux pour lesquels la sélection de plusieurs fichiers dans le navigateur est pertinente :
- Il est possible de charger plusieurs samples simultanément dans les modules de samples NN-XT et NN19. Voir les chapitre "Sampler NN-19" et "Sampler NN-XT" pour plus de détails.
- Il est possible de charger plusieurs fichiers REX simultanément dans le module Dr. Octo Rex. Voir le chapitre "Dr. Octo Rex Loop Player" pour plus de détails.
- Vous pouze selectionner plusieurs fichiers pour les ajouter dans une liste de favors en une seule fois - voir "liste des favors".
! Dans les cas ou plusieurs fichiers sélectionnés (par exemple des patches ou des morceaux) ne peuvent pas être chargés, le bouton « OK » du navigateur est grisé.
Recherche croisée de fichiers de patch
La recherche croisée des patches est une fonction puissant du navigateur de patch. Elle vous permet de parcourir n'importe quel type de patch d'instrument ou d'effet,quel que soit le module depuis lequel vous avez ouvert le navigateur.
À propos des patches d'instrument et d'effet
Les patches sont séparés en interne en deux catégories dans le navigateur : les patches d'instrument et les patches d'effet (le navigateur « sait » dequel type de patch il s'agit). Cela est d'au fait que les patches d'instrument et d'effet sont fondamentalement différents - les instruments sont joués, les effets sont utilisés pourTRAitter le son - et vous ne devriez logiquement souhaiter rechercher que I'un des deux, pas les deux en meme temps.
Lorsque you parcourez des patches depuis un module instrumental existant, les options du menu Afficher sont :
- « Patches XXX » (XXX est le type de module depuis lequel vous avez ouvert le navigateur, par exemple NN-XT).
- « Tous les instruments » affichera les patches pour tous les modules instrumentaux.
Lorsque you parcourez des patches depuis un module d'effets existant, les options du menu sont les suivantes :
- « Patches XXX » (XXX est le type de module depuis lequel vous avez ouvert le navigateur, par exemple RV7000).
- « Tous les effets » affichera les patches pour tous les modules d'effets utilisant des patches, y compris les patches de Combi.
! Voues ne pouvez pas utiliser la recherche croisée avec des modules qui ne prennt pas les patches en charge.
Recherche croisée - un exemple :
- Vous lisez un module Subtractor mais le son n'est pas exactement celui que vous aviez en tete, vous ouvrez donc le navigateur pour essayer d'autres patches.
- Àpès avoir parcouru les patches de Subtractor pendant un moment, vous n'avoce toujours pas trouvé le type de son que vous vouliez, aussi cliquez-vous sur le menu pop-up « Afficher » et sélectionnez « Tous les instruments » dans ce menu.
Vouss pouvez à présent sélectionner des patches d'instrument pour n'importe quel module. Vous decide de parcourir un dossier contenant des patches de Malström. Vous pouze utiliser les boutons Précédent/Suivant pour parcourir les fichiers du dossier sélectionné.
- Dés que vous avez sélectionné un patch de Malström dans le navigateur, un module Malström remplace le Subtractor en arrêté-plan (le navigateur est toujours ouvert).
La piste de séquenceur qui était précédemment affectée au Subtractor est à présent affectée à un Malström dans lequel le patch sélectionné dans le navigateur est chargé.
Le nom de la piste du séquenceur n'est pas automatiquement modifie pour correspondre au nouveau module.
Cela peut ou non avoir une importance. Si la piste était nommée « Basse » (et que vous recherchez un son de basse), cela fonctionnera evidemment très bien. Mais si la piste était nommée « Subtractor 1 » et que vous finissez par vous connecter à un autre module, il sera peut-être préféroyable de renomer la piste pour éviter les confusions.
Vous pouvez continuer à parcourir les patches et à les jouer sur votre clavier pour les écouter.
Chaque fois que vous sélectionnez un patch appartenant à un autre module, un module instrumental correspondant est créé en arrêté-plan, remplaçant l'instrument précédent.
- Lorsque vous avez arrete�te choix sur un patch - pour quel que type de module que ce soit - cliquez sur OK > pour confirmer la selection et fermez la boite de dialogue.
Cliqueur sur Annuler vous ramene au meme etat qu'avant l'ouverture du navigateur.
- La recherche croisée pour un patch d'effet fonctionne de la même façon - la sélection d'un patch d'effet d'un format différent remplaça l'effect en cours en arrêté-plan par un module du format sélectionné.
Exemples particuliers de recherche croisée
Il y a quelques exemple pour lesquels le remplacement d'un module existant lors de la navigation peut amener à perdre les connexions :
Lorsqu'un module est remplaced par un autre type de module, les connexions audio peuvent etre perdues.
C'est le cas par exemple si on remplace un NN-XT qui peut utiliser jusqu'à 16 sorties, par un Subtractor qui ne dispose que d'une sortie.
- Lorsqu'un module est remplacé par un autre type de module, les connexions CV sur le panneau arrêt都可以 etre perdues.
Les seules connexions maintaines entre les types de modules sont les entrées Sequencer Control CV/Gate.
! Si vous vous trouvez face à ce genre de situations et que vous souhaitez retrouver les connexions originales, utilisez la fonction « Annuler ». Parcourir les patches pour revenir au patch de module initial ne restaurera pas les connexions perdues.
Creation d'un instrument/Creation d'un effet
Ces fonctions vous permettent de parcourir tout les types de patches d'instrument ou d'effet. Cela revient fondamentalement au même qu'effectuer une recherche croisée, sauf que vous ne partez pas d'un module existant. Les fonctions « Créer un instrument/un effet » sont très utiles si vous cherchez un type de son ou d'effet spécifique, mais que vous ignorez ou ne vous préoccupez pas des modules à utiliser. Par exemple, vous recherchez peut-être un son « feu tré » ou un « effet de déliai ». Une fois que vous avez trouvez ce que vous cherchiez, vous n'avez plus qu'à cliquer sur « OK » et le son ou l'effet s'ouvrira dans le ou les module(s) requis.
- Sélectionnez « Créer un instrument... » ou « Créer un effet... » dans le menu Créer.
Le navigateur de patches s'ouvre. Selon votre sélection, seuils les patches d'instrument ou les patches d'effet s'affichent.
- Lorsque vous sélectionnez un patch, un module correspondant est créé automatiquement.
Si vous sélectionné un patch de module d'instrument, une piste de séquenceur correspondante sera également créée automatiquement. Si vous avez sélectionné le mixeur dans le rack, le module instrumental sera automatiquement connecté à la voie de mixage disponible. L'entrée du clavier maître sera affectée à la nouvelle piste pour que vous puissiez écouter le patch en le jouant sur votre clavier maître.
- Quand vous avez trové le patch de votrechioix, cliquez sur « OK » pour confirmer la creation du nouveau module et pour fermer le navigateur.
À propos des formats de patches et des modules de sampler
Les modules sampler NN-XT et NN19 pouvant tous deux charger des patches aux formats NN19 (.smp) et REX (.rx2/.rcy/.rex), il existe certaines règles concernant la recherche croisée.
- La règle fondamentale est que le navigateur charger aes patches dans le type de module original (le module depuis lequel vous avez ouvert le navigateur), lorsque c'est possible.
Ainsi, lorsqu'un patch est au format NN19 (.smp) ou REX (.rx2/.rcy/.rex) et que vous naviguez depuis un module NN19, le patch sera chargé dans ce module. - Si vous naviguez depuis un autre type de module, ces types de patches seront chargés dans un module NN-XT.
- Si vous utilisez la fonction « Créer un instrument», un patch de NN19 (.smp) créera un module NN19 et un patch REX créera un module Dr. Octo Rex.
Utilisation de la fonction de « recherche »

La fonction de recherche vous permet de chercher des fichiers par nom et/ou par type. Le mode du navigateur (patch, morceau, etc.) détermine le(s) type(s) que vous pouvez rechercher, tout comme lorsque vous naviguez manuellement dans le navigateur.
Menu pop-up « Rechercher dans »
Ce menu pop-up yous permit de selectionner l'emplacement de voire recherche. Les options sont les suivantes :
- « Disques locaux » effectuera une recherche complète sur tous les disques locaux.
- « Emplacements utilisateur » effectuera une recherche dans tous les dossiers et ReFills stockés dans la liste des emplacements (sauf sur le bureau).
- « Dossier en cours » limitera la recherche au dossier racine actulement sélectionné (en incluant les sous-dossiers).
La zone de texte « Recherche »
C'est ici que vous entrez un texte à rechercher.
- Vous pouvez saisir un ou plusieurs mots, en entier ou en partie.
Si vous saississez plus d'un mot, la recherche affichera les résultats qui correspondent à tous les mots indiqués.
! La recherche textuelle n'est pas sensible à la casse (majuscules/minuscules).
- Notez que vous n'avez pas besoin d'entrer de texte pour utiliser la fonction de recherche. En fonction du navigateur sélectionné (patch, sample, etc.), vous pouvez également chercher simplement des fichiers du type correspondant dans l'emplacement sélectionné.
Exécution de la recherche
En cliquant sur le bouton « Recherche», vous lancez la recherche en fonction de vos indications.
Après la recherche, le résultat est affiché comme une liste à plat dans le navigateur et la zone du « Dossier racine » affiche « Résultat de la recherche »

- Une nouvelle colonne « Parent » apparait également, affichtant le nom du dossier parent de chaque fichier. Si vous sélectionnez un fichier, vous pouvez ouvrir la liste déroulante du « Dossier racine » et sélectionner « Acceder au dossier parent » - vous ouvre ainsi le dossier parent du fichier sélectionné.
- Les noms des dossiers sont également inclus dans les résultats de la recherche (si toute fois ils contiennent bien les fichiers patches du type approprié).
Cela signifie que si vous recherchez « Guitare», tous les samples ou patches dont le nom contient « Guitare » seront affichés, mais également tous les samples ou patches contenus dans un dossier dont le nom contient « Guitare ».
- Si vous avez ouvert le navigateur et recherche des patches pour un module instrumental, vous pouzeCHOISER d'afficher tous les patches qui correspondent aux critères de recherche en selectionnant « Tous les instruments » dans la liste déroulante Afficher.
Cela estend le résultat de la recherche a tous les patches qui correspondent au texte de recherche. Remarquez que vous n'avoz pour ce faire pas besoin d'effectuer a nouveau la recherche.
- Si vous avez ouvert le navigateur et cherché des patches en utilisant l'élément « Créer un instrument » ou « Créer un effet » dans le menu « Créer», la liste déroulante «Afficher » sera griseée.
Dans cette situation, le résultat de la recherche contiendra toujours « Tous les patches d'instruments » ou « Tous les patches d'effets »
Ouverture des fichiers
Lorsque you've atteint le dossier désiré (sur le disque dur ou dans un ReFill) et trouve le fichier voulu, vous pouvez l'ouvrir en double-cliquant dessus dans l'affichage des fichiers ou en le selectionnant et en cliquant sur « OK »
Comme décrit précédemment, les patches et les samples sont charges directement lors de la seLECTION, aussiclinquer sur « OK » « n'ouvre » pas réellement le fichier, mais confirme simplement sa selection et ferme la boite de dialogue du navigateur.
À propos des listes de navigation
Lorsque you cliquez sur « OK » pour ouvrin un fichier depuis le navigateur, la liste des fichiers et des dossiers affichés à ce moment-là est mémorisé pour ce module. Cela s'appeille une « liste de navigation »
Pour les patches (et dans une certaine mesure pour les samples), cette liste apporte une fonction spécifique :
- La liste de navigation est celle qui s'applique lorsqu'on utilise les boutons Patch suivant/préciédent sur le panneau avant d'un module (ou depuis les selecteurs de patches d'une surface de contrôle).
- La liste de navigation s'affiche en tant que liste de patches quand vous-cliquez sur la zone de nom du patch pour un module.
- Pour les samples, la liste de navigation est utilisé lorsqu'on change de sample en utilisant les boutons. Sample suivant/préciédent sur le panneau avant d'un module de samples.
Que peut/countir une liste de navigation ?
Lorsque you confirmez la selection d'un patch ou d'un sample en cliquant sur « OK » dans le navigateur, la liste de navigation qui en resulte contient tous les fichiers contenus actuellément dans les dossiers ouverts du navigateur.
Si vous ouvrez à nouveau le navigateur pour le même module, la même structure de fichiers et de dossiers s'affiche.
Si you enregistrez le morceau actuel et l'ouvre a nouveau, les éléments de la liste de navigation seront affichés comme listed « à plat » et la zone « Dossier racine » affiche la « Liste de recherche de document »
Dans des cas comme celui-ci, le navigateur affichera la colonne « Parent » quiiste le nom des dossiers sources. La liste déroulante « Dossier racine » contiendra également l'élément « Acceder au dossier parent » pour un fjichier sélectionné.
- Une liste de navigation peut également être un résultat de recherche ou une liste de favoris.
Les listes de favors fournissant un moyen de contrôler ou de filtrer les patches ou les samples qui sont disponibles dans une liste de navigation pour un module - voir “Utilisation des favors - un exemple pratique”!
! Notez que si vous avez ouvert un patch après avoir utilisé une recherche croisée (voir "Recherche croisée de fichiers de patch") ou utilisé la fonction de recherche (voir "Utilisation de la fonction de « recherche »"), la liste de navigation active peut containir des patches de différents formats et le fait de passer d'un patch à l'autre depuis le panneau du module peut alors modifier le type de module.
Gestion dessons manquants
Les patches de sampler, de boîte à rythme, Dr. Octo Rex ainsi que les SoundFonts contiennent des références à des samples - des fichiers sur votre disque dur. Il en est de même pour les morceaux qui contiennent des samples (dans des modules de sampler ou de boîte à rythme) ou des fichiers REX. Si un de ces fichiers a été déplaced, renommé ou supprimé lorsque vous essayez d'ouvrir le patch ou le morceau, Reason vous préviendra que des fichiers sont manquants en affichtant l'alerte « Sons manquants ». L'alerte « Sons manquants » s'affiche également si les patches du morceau font partie d'un ReFill qui a été déplaced, supprimé ou qui n'est pas installé sur votre ordinateur :

L'alerte « Sons manquants »
L'affichage principal dans la boite de dialogue affiche tous les fichiers manquants. Les quatre colonnes affichent les propriétés suivantes :
| Colonne | Description |
| Module | Affiche le nom du module dans lequel le son manquant est utilisé, accompagné de l'icône du type de module. |
| Son | Affiche le nom du son manquant avec une icône de type de fichier. |
| Partie de ReFill ou de SoundFont | Si le fichier manquant fait partie d'un ReFill ou d'un SoundFont dans un ReFill, cette colonne affiche le nom du ReFill ou du SoundFont. S'il existe une URL (une adresse Internet) associée au ReFill, vous pourrez télécharger le(s) ReFill(s) nécessaire(s) depuis cette boîte de dialogue comme décrit ci-dessous. |
| Statut | Lorsque la boîte de dialogue apparait, tous les fichiers ont le statut « Manquant ». Les fichiers qui ont été trouvés par la fonction de recherche automatique ou replacés manuellement seront indiqués par « OK ». |
Sous l'affichage principal se trouvent trois boutons :
Cliquez sur le bouton « Ouvrir sans » pour ouvrir le morceau ou le patch sans les sons manquants.
Le morceau ou le patch sera ouvert, mais des sons manqueront. Cela signifie que les patches de sampler ou de boite à rythme et/ou les lecteurs de boucles ne pourront pas'être lus correctement.
Sur le panneau des modules concernés, les samples manquants sont indiqués par un astérisque (*) devant les noms de fichier :

Cliquez sur « Localiser les sons » pour ouvrir la boite de dialogue « Sons manquants »
Voir "La boîte de dialogue Sons manquants".
Cliquez sur le bouton « Annuler » pour annuler l'opération
Aucun son ni,aucun patch ne sera ouvert.
Cliquez sur le bouton « Aide » pour obtenir la section d'aide des « Sons manquants » dans l'application.
À propos des ReFills manquants
Si un morceau contient des patches issus d'un ReFill et que le ReFill a ete deplacé ou supprimé depuis que youavesauvegardéle morceau,l'alerte suivante s'affichera quand you ouvrirez le morceau :

Alerte « ReFill manquant »
! Cette alerte ne s'affiche que si des patches ReFill sont manquants, mais que tous les autres sons du morceau peuvent etre localisés.
Si vous avez un disque (CD ou DVD) contenant le ReFill manquant, inserez-le et localisez le ReFill dans le navigateur qui apparait.
Si le ReFill manquant est disponible quelque part sur votre disque dur, cliquez sur « Parcourir » et localisez-le dans le navigateur qui apparait.
Cliquez sur « Annuler » pour continuer à charger le morceau sans les patches ReFill manquants.
La boîte de dialogue Sons manquants
Si vous avez cliqué sur « Localiser les sons » dans l'alerte « Sons manquants » décrite dans “Gestion dessons manquants”, la boîte de dialogue « Sons manquants » s'affiche.

Boîte de dialogue « Sons manquants »
La boîte de dialogue « Sons manquants » comprend les mêmes colonnes que l'alerte « Sons manquants »
Sélection des fichiers
Les fonctions « Rechercher emplacements », « Rechercher dossier », « Parcourir manuelle » et « Télécharger ReFill » (voir ci-dessous) sont exécutées sur les fichiers sélectionnés dans la liste. Cela vous permet de remplaçer certains fichiers manuelle (ce qui est nécessaire si les fichiers ont été renommés ou déplacés en dehors des emplacements), de laisser le programme trouver les autres fichiers automatiquement et d'ignorer le reste des fichiers.
Pour sélectionner un fichier, cliquez dessus dans la liste.
Vouss pouvez utiliser les techniques de selection standards [Maj] ou [Ctrl] (Win) ou [Command] (Mac) pour sélectionner plusieurs fichiers.
Pour selectionner tous les fichiers dans la liste, cliquez sur le bouton « Sélectionner tout » au-dessus de la liste.
Lorsque la boîte de dialogue apparaît pour la première fois, tous les fichiers de la liste sont sélectionnés par défaut.
Rechercher emplacements
Si vous cliquez sur le bouton « Recherche emplacements », Reason cherchera les fichiers sélectionnés dans tous les emplacements définis dans le navigateur (sauf sur le bureau). Si le programmeTrouve un fichier avec un nom correspondant au nom et au type de fichier, le nouveau chemin est stocké dans le morceau/patch et le fichier est indiqué comme « OK » dans la colonne Statut.
! Etant donne que la recherche de fichiers s'effectue sur les noms de fichier, les fichiers qui ont ete renommés ne seront pas retrouvés !
Cela signifie également que si vos emplacements contiennent plusieurs fichiers avec le même nom, c'est peut-être le mauvais son qui sera trouve.
Rechnerdossier
Cette fonction est utile si vous doivent remplaner un ensemble de samples et que vous savez où ils se trouvent. Un exemple typique serait qu'après la reorganisation de l'arborescence de fichiers sur toute disque dur, le dossier dans lequel se trouvent les patches de samples ait ete deplacé en relation avec un fichier du morceau ou du patch de sampler.
Si vous cliquez sur « Rechercheur dossier», le navigateur s'ouvre et vous demande de selectionner le repertoire du sample, c'est-à-dire le dossier dans lequel vous savez que les samples se trouvent.
Sélectionnez le fjichier. Lorsque vous cliquez sur « OK», Reason cherchera uniquement dans le dossier sélectionné (et dans ses sous-dossiers).
Si le programme trouve un fichier avec un nom correspondant au nom et au type de fichier, le nouveau chemin est stocké dans le morceau/patch et le fichier est indiqué comme « OK » dans la colonne Statut.
Parcourir manuellement
Cette fonction ouvre la fenêtre de dialogue du navigateur, ce qui vous permet de tracer manuellement chaque fisquier manquant. Cela vous permet d'utiliser des fichiers qui ont été renommés. La fenêtre du navigateur apparaître une fois pour chaque fisquier sélectionné dans la liste. Le nom du fisquier à rechercher est affchéé dans la barre de titre de la fenêtre du navigateur.
Si vous cliquez sur « Parcourir manuellement», le navigateur s'ouvre, vous demandant de selectionner le sample indiqué dans la barre de titre du navigateur.
Sélectionnez le sample et cliquez sur « OK »
Si vous avez selectionné plusieurs samples dans la boîte de dialogue Sons manquants, le navigateur reste ouvert, vous demandant de selectionner le sample suivant, comme indiqué dans la barre de titre du navigateur.
Télécharger ReFill
Si un son manquant fait partie d'un ReFill ( comme indiqué dans la colonne Partie de ReFill/SoundFont) et qu'il y a une adresse Internet (URL) valide pour ce ReFill, vous pouvez télécharger le ReFill directement depuis cette boîte de dialogue (à condition de dispose r'd'une connexion Internet):
- Sélectionnez le(s) son(s) qui utilise(nt) le ReFill.
! Vous ne devriez besoinierssons que silsutilisent me même ReFill.
- Cliques sur le bouton « Télécharger ReFill »
Cela lancera votre navigateur Internet et vous amènera vers l'adresse associée au ReFill.
-
Une boîte de dialogue apparait, qui vous demande de télécharger le ReFill. Faites-le.
-
Cliquez sur OK.
Reason recherche automatiquement le ReFill et trouvera les fichiers.
Continuer
À tout moment, vous pouvez cliquer sur le bouton « Terminate » pour fermer la boîte de dialogue et ouvrir le morceau ou le patch. Veuillez cependant noter un ou deux détails :
- Pour les fichiers que vous avez trouvés (statut « Remplacé »), les nouveaux chemins d'accès seront stockés dans le morceau ou le patch.
Cependant, vous doivent enregistrer le morceau ou le patch pour que ces modifications soient permanentes !
Si un fichier est always manquant quand you cliquez sur OK, il y aura always des sons manquants dans le morceau ou le patch.
Il est aussi possible que vous vouliez continuer avec dessons manquants, puis supprimer ou remplacer lessons depuis le panneau des modules du rack.

Sur le panneau des modules, les samples manquants sont indiqués par un astérisque (*) devant les noms de fichier.
Cliquer sur « Annuler » arrête l'opération, c'est-à-dire que le morceau ou le patch ne sera pas ouvert.
Reason Formats de fichiers
Le tableau suivant indique les formats de fichiers que vous pouvez parcourir et ouvrir en utilisant le navigateur. Reason:
| Type de fiéchier | Extension | Description |
| Morceau Reason | .rns | C'est le format de document principal dans Reason. Il contient votre musique et les réglages du rack Reason, ainsi que les références à tous les samples et boucles utilisés (ou il peut contenir des samples et des boucles réelles, si vous avez rendu le morceau « autonome ». |
| Morceau publié Reason | .rps | Un morceau publié Reason est un morceau autonome Reason prévu pour être seulement lu. Il peut uniquement être ouvert et ne peut être modifié. Ces composants ne peuvent pas être extrats et il est seulement possible d'exporter le morceau en tant que fichier audio si vous n'avez rien édité. |
| Morceau adapté Reason | .rsb | Un morceau adapté Reason est un morceau créé dans une version adaptée de Reason. |
| Patch de Combinator | .cmb | Le Combinator peut stocker/rappeler des combinaisons de modules Reason. Les patches de Combinator (Combi) enregistreront tous les réglages du panneau (ainsi que les références aux samples s'ils sont utilisés) pour tous les modules faisant partie du Combi. De plus, tous les routages (audio/CV) entre les modules du Combi seront inclus dans le patch. |
| Patch de Subtractor | .zyp | Il s'agit d'un patch pour le module synthé Subtractor, contenant tous les réglages du panneau. Vous stockez les sons de synthétiseur en enregistrant des patches Subtractor. |
| Patch de Thor | .thor | Il s'agit d'un patch pour le module synthé Thor, contenant tous les réglages du panneau. Vous stockez les sons de synthétiseur en enregistrant des patches Thor. |
| Patch de Malström | .xwv | Il s'agit d'un patch pour le module synthé Malström, contenant tous les réglages du panneau. Vous stockez les sons de synthétiseur en enregistrant des patches Malström. |
| Patch de sampler NN19 | .smp | Il s'agit d'un patch pour le module sampler NN19, contenant tous les réglages et références pour tous les samples utilisés, ainsi que les réglages du panneau. |
| Patch de sampler NN-XT | .sxt | Il s'agit d'un patch pour le module sampler NN-XT, contenant tous les réglages et références pour tous les samples utilisés, ainsi que les réglages du panneau. |
| Patch de Redrum | .drp | Il s'agit d'un patch pour le module de boîte à rythme Redrum. Il contient les informations concernant les samples de batterie utilisés, ainsi que les réglages de sons de batterie. En fait, un patch de Redrum est un kit de batterie enregistré. |
| Type de<fichier> | Extension | Description |
| Patch Dr. Octo Rex | .drex | Il s'agit d'un patch pour le module Dr. Octo Rex Loop Player. Il contient des informations sur les boucles REX utilisées ainsi que tous les réglages de paramètres de la boucle et du panneau. |
| Patch du Kit Kong | .kong | Il s'agit d'un patch pour le module du concepteur Kong Drum. Il contient les informations concernant les samples/modules de batterie utilisés, ainsi que les réglages de sons de batterie pour les seized canaux. En fait, un patch de Kong Kit est un kit de batterie stocké. |
| Patch de batterie Kong | .drum | Il s'agit d'un patch pour un seul canal de batterie dans le module du concepteur Kong Drum. Il contient les informations concernant les samples/modules de batterie utilisés, ainsi que les réglages de sons de batterie pour un seul canal de batterie. |
| Patch de RV7000 | .rv7 | Il s'agit d'un patch pour l'effet réverb RV7000, contenant tous les réglages du panneau. |
| Patch de Scream 4 | .sm4 | Il s'agit d'un patch pour l'effet de distorsion Scream 4, contenant tous les réglages du panneau. |
| Fichiers REX | .rx2, .rcy ou .rex | Les fichiers REX sont créés à l'aide d'un autre logiciel Propellerhead, l'éditeur de boucles ReCycle. Ces fichiers contiennent des boucles audio découpées en tranches (les slices), chaque slice représentant un battement significatif dans la boucle.En chargeant un fichier REX dans le module Dr. Octo Rex Loop Player, vous pouze jouer la boucle à quasiment n'importe quel tempo (sans en affecter le pitch), manipuler des battements individuels dans la boucle, extraire des informations de timing, etc.Notez que vous pouze également charger des fichiers REX dans les samplers et la boîte à rythme Redrum. |
| Fichiers audio et samples | .wav or .aif | Les samplers NN19 et NN-XT et la boîte à rythme Redrum peuvent également charger et dire des samples au format Wave ou AIFF. Vous pouze utiliser des fichiers de différents formats dans le même module - un son de batterie peut être un sample 8 bits, le suivant un sample 16 bits, etc. |
| Banque Soundfont | .sf2 | Le format Soundfont a été co-developpé par E-mu Systems and Creative Technologies et est utilisé par de nombreuses cartes son et synthétiseurs logiciels. Les banques SoundFont contiennent des tables d'ondes de sons synthétisés, permettant à l'utilisateur de créé et d'editor dessons multi-samplés dans les logiciels d'édition prévus pour Soundfont. Les SoundFonts peuvent alors être jouées dans des synthétiseurs à tables d'ondes, typiquement sur des cartes son, transformant de fait une simple carte son en sampler.Les samples NN-XT et NN19 ainsi que la boîte à rythme Redrum vous permettent de parcourir et de charger des SoundFonts. Quel que soit le logiciel d'édition qui a été utilisé pour les créé, ces banques sont organises de façon similaire et hierarchique, avec des dossiers pour les instruments, les prérégliages, les samples, etc. Les NN-XT, NN19 et Redrum vous permettent de charger des samples et des prérégliages individuels depuis une banque SoundFont, mais pas une SoundFont complète. |

REASON
Chapitre 12
Routage de l'audio
et du CV
À propos de ce chapitre
Ce chapitre déscrit les divers signaux utilisés dans Reason et leurs modes de routage.
Types de signaux
Les types de signaux suivants sont utilisés dans Reason :
Signaux audio
À l'exception du Spider CV, du séquenceur à pattern Matrix et de l'arpégiateur RPG-8, tous les modules possèdent des connecteurs audio sur leur panneau arrêté. Les connecteurs audio transportent les signaux audio vers ou à partir des modules via des câbles virtuels.
Les connecteurs audio sont représentés par de grands jacks quart de pouce.
Les modules d'effets audio, servant au traitement des signaux audio, ont à la fois des entrées et des sorties audio.
Les modules instrumentaux, à l'origine des signaux audio, ont des connecteurs de sortie audio soit mono, soit stéreo gauche/droite.
Vou n'avez pas besoin d'utiliser les deux sorties pour les modules disposant de sorties stéréo. Utilisez la sortie gauche pour utiliser un signal mono à partir d'un module stéréo.
Pour surveiller les sorties audio des modules, vous pouze router les signaux via le mixeur ou directement vers les sorties physiques de votre interface audio, via l'interface matérielle Reason (voir "Routage audio manuel").
Si vous travailliez sur une interface audio avec des sorties stéréo, vous utiliserez plus probablement le mixeur pour mixer les signaux audio vers les sorties principales.
Signaux CV/Gate
Au début des synthétiseurs et avant l'invention du protocole MIDI, des synthétiseurs analogiques pouvaient être interconnectés par des cables de tension de contrôle (CV). Un cable servait par exemple à contrôler la hauteur tandis qu'un autre cable envoyait une valeur de tension Gate donnant l'instruction au synthétiseur de journer une note ou d'arrêter. Les cables de signal CV dans Reason simulant ce système de contrôle analogue. Les signaux CV seront généralement à moduler les valeurs de paramètre et ne transportent pas d'audio.
Les connecteurs CV/Gate sont représentés sous forme de mini jacks.
Le CV est généralement utilisé pour la modulation.
Vous pouvez par exemple moduler un paramètre avec un signal CV produit par un LFO ou un généateur d'enveloppe sur un autre module.
Les entrées/sorties Gate servent généralement à déclencher des événements, comme des valeurs de note on/off, des enveloppés, etc.
Les signaux Gate produit des valeurs on/off, ainsi qu'une « valeur » qui pourrait être considérée comme la velocité (et utilisée en tant que telle).
Vous pouvez router des signaux CV/Gate uniquement à partir d'une sortie vers une entrée (ou vice versa).
Vou ne pouvez pas router une entrée vers une autre entrée ni une sortie vers une autre sortie.
À propos du routage MIDI
Normalement, le protocole MIDI (par exemple note et données de performances) est envoyé aux modules à partir de leur piste de séquenceur respecte. Aucun cable n'est utilisé dans le rack pour indiquer les connexions MIDI.
Pour effectuer le routage de MIDI vers des modules à l'aide d'autres outils, voir les chapitres "Remote - lore et contrôler des modules" et "Synchronisation et MIDI avancé".
À propos des cables
Apparence d'un cable
Si Reason compte de nombreuses connexions, les câbles peuvent parfois obscurir l'affichage, rendant difficile la lecture du texte imprimé sur le panneau arrêté des modules. Les câbles peuvent être affichés en mode « normal » et en mode « Réduction de l'encombrement des câbles »
Changez de mode d'affichage des câbles en appuyant sur [K] ou en scélectionnant « Réduire l'encombrement des câbles » dans le menu Options :

- En mode « normal», c'est-à-dire lorsque l'option « RÉduire l'encombrement des cables » est désélectionnée, tous les câbles de tous les modules sont affichés à l'arrête du rack.
Lorsque l'option « Réduire l'encombrement des cables » est sélectionnée, l'apparace des cables dépend des paramètres de la section « Apparance » de la page « Général » dans Préférences :

Sélectionnez « Afficher uniquement les modules sélectionnés » pour n'afficher que les câbles des modules sélectionnés.
Tous les autres câbles (non sélectionnés) affichent des cables « transparents » afin de faciliter la distinction des cables des modules sélectionnés.
→ Sélectionnez « Masquer les cables auto-routés » pour afficher uniquement les cables routés manuellement.
Tous les modules avec cables auto-routés affichent des cables « transparents » afin de faciliter la distinction des cables routés manuellement.
Sélectionnez « Masquer tous les câbles » pour masquer tous les câbles auto-routés ainsi que ceux routés manuellement.
Toutes les connexions cablees des modules seront indiquees par des points de couleur a l'intérieur des jacks sans qu'aucun cable ne soit affiché.

L'option « Réduire l'encombrement des cables » est sélectionnée avec l'option d'apparance des cables « Masquer tous les câbles »
Le mode « Réduction de l'encombrement des cables » vous permet néanmoins de connecter ou de déconnecter les câbles de la même façon que s'ils étaient affichés.
Voir "Routage manuel" pour obtenir une description des méthodes de routage.
Vérification et suivi des connexions câblées
Vouss pouvez toujours vérifier àquel module un jack est connecté. Cela est particulièrement utile si les câbles de patch sont masqués, mais également si vous avez beaucoup de câbles ou si les deux modules connectés sont éloignés l'un de l'autre dans le rack :
Positionnez quelques instantes le pointeur sur un connecteur.
Une bulle d'aide apparait qui affiche le nom du module et le connecteur auquel le cable est connecté.

À propos de la fonction « Faire défilier jusqu'au module connecté »
Il est possible de défilier directement jusqu'à un module connecté comme suit :
- Cliquez sur un connecteur et maintenez la pression (autrement, effectuez un clic droit de la souris (Win) ou appuyez sur la touche [Ctrl] (Mac)).
Un menu pop-up s'affiche.
- Dans ce menu, Sélectionné « Faire défiler jusqu'au module connecté »
Le module situé à l'autre extrémité du cable défilera dans la vue du rack.
Couleur du cable
Pour une meilleure vue d'ensemble des connexions dans le rack, les câbles revêtent des couleurs différentes :
Les cables verts representent des connexions au module d'effet.

Les câbles jaunes représentent des connexions CV.
Les cables rouges représent des connexions entre des modules instrumentaux et des modules de mixage.
- Les connexions audio entre des modules instrumentaux et des modules de mixage affichent des nuances de rouge différentes.
- Les connexions vers et à partir des modules d'effet affichent des nuances de vert différents.
- Les connexions CV affichent des nuances de jaune différentes.
- Les connexions au Combinator sont bleues.
Routage automatique
L'auto-routage permet le routage automatique des cables entre les modules selon certaines règles. L'auto-routage s'effectue dans les cas suivants :
- Lorsque vous creez un nouveau morceau (vide), les sorties Master G et D du module du mixeur 14:2 sont connectees par defaut aux sorties 1 et 2 de l'interface matérielle Reason via le Mastering Suite Combinator.
Lorsqu'un nouveau module est créé.
Lrs du depacement, de la duplication ou du collage de modules alors que la touche [Maj] est enfoncée. - Lors de la selection « Router automatiquement le module » dans le menu Édition ou le menu contextual, avec un ou plusieurs modules sélectionnés dans le rack.
Lorsque cela est possible, l'auto-routage est réalisé en stéreo.
Auto-routage de modules instrumentaux
Routage vers le mixeur 14:2 ou le mixeur de ligne
- Si un mixeur 14:2 ou un mixeur de ligne 6:2 est sélectionné lorsque vous créez un module instrumental, ou si vous créez un instrument juste sous le module de mixage dans le rack, l'instrument sera auto-route vers les premières entrées disponibles sur le module de mixage.
Auto-routage de modules d'effet
Routage direct vers un autre module
- Lorsque vous avez selectionné un module instrumental et que vous creez un effet, cet effet sera connecté comme « Insert » d'effect entre le module instrumental et le module de /de mixage.
La distorsion, la compression et les effets de modulation sont des exemples d'effets fonctionnant bien en tant qu'Insert d'effets.
Routage comme départ d'effet vers un module de mixage
Lorsque you ave selectionne un module de mixage (le mixeur 14:2 ou le mixeur de ligne 6:2) dans le rack et que you creez un module d'effet, ce dernier sera automatquement connecte comme depart d'effect (vers les premiers jacks depart/retour auxiliaires disponibles).
Auto-routage de signaux CV/Gate
Le séquenceur à pattern Matrix
- Lorsque vous avez selectionné un module instrumental (Subtractor, Thor, Malström, NN-19, NN-XT ou Combinator) et que vous creez un séquenceur à pattern Matrix, les signaux CV Note et Gate seront auto-routés au module instrumental.
Les sorties Note et CV Gate du Matrix sont automatiquement connectees aux entrées Sequencer Control CV et Gate du module instrumental, respectivement.
L'arpégiateur RPG-8Lorsque vous avrez sélectionné un module instrumental (Subtractor, Thor, Malström, NN-19, NN-XT ou Combinator) et que vous creez un arpégiateur RPG-8, les signaux Note CV, Gate CV, Roue de modulation et Pitch Bend seront auto-routés au module instrumental.
Les sorties Note CV et Gate CV du RPG-8 sont automatiquement connectees aux entrées Sequencer Control CV et Gate du module instrumental, respectivement. Les sorties Roue de modulation et Pitch Bend du RPG-8 sont automatiquement connectées aux entrées Modulation Roue de modulation et Pitch Bend du module instrumental, respectivement.
Auto-routage de modules après leur création
Voici quelques règles supplémentaires concernant l'auto-routage des modules qui existent déjà dans le rack :
Pour re-router un module déjàprésent dans le rack, Sélectionnez-le et Sélectionnez « Déconnecter le module » et « Router automatiquement le module » dans le menu Édition ou le menu contextual.
Lorsque vous utilisez la fonction « Router automatiquement le module», ce module sera connecté de façon logique selon son emplacement actuel dans le rack.
- Si vous supprimez un module connecté entre deux modules, la connexion entre les deux modules restants est réservée.
Prenons comme exemple un module d'effet connecté entre un module instrumental et un de mixage. Si vous supprimez le module d'effet, le module instrumental sera re-route directement vers le module de du mixeur.
- Le déplacement d'un module dans le rack n'influe en aucun cas sur ses connexions.
Lorsque you dupliquez des modules par glisser-deposer ou par copier et coller, les modules ne sont pas autorouts.
Si you voulez qu'ils le soient, appuyez sur la touche [Maj] et maintenez-la enforcée pendant la duplication.
Bypass de l'auto-routage
Si vous souhaitez créé un nouveau module sans aucun auto-routage, appuyez sur la touche [Maj] lors de la création du module.
Routage manuel
Pour connecter des modules manuellement, vous devez returner le rack pour voir le panneau arrriere. Pour ce faire, appuyez sur la touche [Tab] ou selectionnee « Retourner le rack » dans le menu Options.
Notez que vous pouvez router les cables independamment du statut du paramètre « Réduire l'encombrement de câbles » dans le menu Options. Autrement dit, vous pouvez connecter les cables même lorsqu'ils sont masqués (voir "Apparance d'un cable").

À l'arrière de chaque module se trouvent des connecteurs de deux types : audio et CV (tension de contrôle, utilisé pour contrôle les paramètres, voir “Utilisation de CV et de Gate”). Les entrées et sorties audio sont représentées par de gros jacks quart de pouce tandis que les jacks d'entrée et de sortie CV sont plus petits. Examinons pour le moment les connexions audio.

Connecteurs audio et CV
Lorsque le panneau arriré du rack est affché, vous pouvez toujours naviguer dans le rack en le faisant défilé ou en utilisant les touches du clavier.
Il existe deux façon de router des signaux d'un module vers un autre :
- En connectant des cables de patch virtuels entre les entrées et les sorties.
- En sélectionnant les connexions dans un menu pop-up.
Connexion de câbles
- Cliquez sur le jack d'entrée ou de sortie souhaité de l'un des modules et glissez le pointeur du jack (en maintainant enforcé le bouton de la souris).
Un cable couple apparait.

- Déplacez le cable jusqu'au jack de l'autre module.
Lorsque you placez l'extrémité du cable sur un jack du type correspondant (audio/CV, entree/sortie), il sera mis en surbrilance pour montré que la connexion est possible.
- Relâchéz le bouton de la souris.
Le cable est connecté. Si l'entrée et la sortie sont toutes les deux en stéreo et que vous connectez les canaux gauches, un cable est automatiquement ajouté pour le canal droit.
! Le déplacement d'un cable pour effectuer une connexion peut être annulé en appuyant sur [Echap] tout en maintainant,enforcé le bouton de la souris.
Vous pouvez modifier une connexion existante de la même façon, en cliquant sur l'une des extrémités du cable et en la déplaçant vers un autre connecteur.
Connexion des câbles via des menus pop-up
- Cliquez sur un connecteur et maintenez la pression (autrement, effectuez un clic droit de la souris (Win) ou appuyez sur la touche [Ctrl] (Mac)).
Vou accédez à un menu pop-up qui répertorie tous les modules actuelsment dans le rack.
- Déplacez le pointeur sur le module vers lequel vous souhaitez créé une connexion.
Vou accédez à un sous-menu qui répertorie toutes les connexions d'entrée/sorties possibles. Si vous cliquez par exemple sur une sortie audio d'un module, les sous-menus hierarchiques afficheront toutes les entrées audio de tous les autres modules.

- Si un module est grise dans le menu pop-up,ILA signifie qu'aucune connexion correcte n'est possible.
- Si un astérisque (*) jouxte le nom du connecteur dans le sous-menu, cela signifie que la connexion est déjà occupée.
Il est néanmoins possible de sélectionner une connexion occupée. Dans ce cas, la connexion existante sera interrompue et remplacee.
- Sélectionnez le connecteur souhaité dans le sous-menu.
La connexion est créé.
Déconnexion des cables
Il existe deux façon de déconnecter manuellement des cables :
Cliquez sur l'une des extrémités du cable pour éloigner celui-ci du jack et le déposer n'importe où loin d'un jack.
Cliquez sur un connecteur et maintenez la pression (autrement, effectuez un clic droit de la souris (Win) ou appuyez sur la touche [Ctrl] (Mac)) et Cliquez sur « Déconnecter » dans le menu pop-up qui s'affiche.

Déconnexion de modules
Pour déconnecter simultanément tous les cables des modules sélectionnés, procédez comme suit :
Sélectionné le ou les modules, puis sélectionnez « Déconnecter un module » dans le menu Édition ou le menu contextuel du module.
Tous les câbles du ou des modules sélectionnés sont à présent déconnectés simultanément.
Utilisation de CV et de Gate
CV/Gate servent à moduler et à déclencher des paramètres de modules. Chaque chapitre consacre à un module donne la liste des connexions CV/Gate disponibles et les paramètres qui peuvent être modulés ou utilisés comme sorties de modulation pour ce module.
Routage des signaux CV et Gate
Il n'existe pas réellement de « règles » globales applicables au routage de CV/Gate. Quelques points peuvent cependant être mentionnés :
- Les entrées spécifiques « Sequencer Control » présente sur les modules sampler Subtractor, Thor, Malström, NN-19 et NN-XT seront principalement à contrôler ces modules comme instruments (monophoniques) depuis le séquenceur à pattern Matrix ou l'arpégiateur RPG-8.
Si vous souhaitez utiliser les sorties CV/Gate du Matrix ou du RPG-8 pour creer des patterns mélodiques en utilisant ces modules instrumentaux, vous doivent utiliser les entrées Sequencer Control.
- Outre la création de patterns mélodiques, le séquenceur à pattern Matrix peut être utilisé de bien d'autres façon. Vous pouvez par exemple l'utiliser pour modifier les paramètres contrôlables par CV, avec l'avantage supplémentaire que la modulation sera synchronisée au tempo.
- À l'inverse, si vous souhaitez appliquer une modulation Gate ou CV à plus dfune voix, vous ne devez pas utiliser les entrées Sequencer Control, car elles ne fonctionnent que de façon monophonique.
- N'hésitez pas experimenter : Utilisez les signaux Gate pour contrôle les valeurs de paramètre et les signaux CV pour déclencher des notes et des enveloppées, si vous le souhaitez.
Voir le chapitre "Matrix Pattern Sequencer" pour plus d'informations sur l'utilisation de CV.
En routant CV vers les contrôleires rotatifs d'un Combinator, vous pouvez contrêter par CV quasiment tous les paramètres de n'importe quel module (voir “Connexions CV” dans le chapitre Combinator).
À propos des boutons Trim CV
Toutes les entrées CV ont un bouton Trim associé. Ce bouton sert à définir la « sensibilité » CV du paramètre associé. Plus le bouton Trim CV est tourné dans le sens des aiguilles d'une montre, plus l'effect de modulation est prononcé.
Lorsque le bouton fait le « tour du cadran », l'etendue de modulation sera de 100% de l'etendue du paramètre (de 0 à 127 pour la plupart des paramétres).
Lorsqu'il est tourné complètement dans l'autre sens, cela signifie qu'aucune modulation CV ne sera appliquée

REASON
Chapitre 13
Manipulation des
fichiers de morceau
À propos de ce chapitre
Ce chapitre explique comment ouvrir, creer et enregistrer des morceaux de plusieurs façon. Il décrit également comment importer et exporter des morceaux en tant que fichiers MIDI standard.
Ouvrir des morceaux
Ouvrir un morceau
Pour ouvrir un morceau Reason :
- Maintenez enforcée la touche [Ctrl] (Win) ou [Cmd] (Mac) et appuyez sur [O], ou bien, dans le menu Fichier,CHOISSEZ « Ouvrir »
La fenêtre du navigateur de morceaux Reason apparait.
- Utilisez le navigateur pour localiser le dossier recherché sur votre disque dur ou dans un ReFill.
Voir "Utilisation du navigateur" au chapitre « Sons et patches »
- Lorsque vous avez trové le fichier du morceau Reason (.rns, .rps ou .rsb), sélectionnez-le et cliquez sur « Ouvrir » (ou double-cliquez sur le fichier).
Le morceau s'ouvre dans une nouvelle fenêtre de document.
Il est possible d'ouvrir simultanément plusieurs morceaux. Vous pouvez ainsi copier et coller des patterns, des clips et des patches entre des morceaux. Toutefois, tous les morceaux ouverts sont gourmands en mémoire et en puissance de traitement, aussi devriez-vous fermer les morceaux dont vous n'avez pas besoin pour l'instant.
Il you est possible de faire en sorte que Reason ouvre le dernier morceau sur lequel vous avez travaillé des que vous lancez le programme. Voir "Ouvrir le dernier morceau au démarrage du programme" pour plus d'informations.
Si la boîte de dialogue « Sons manquants » apparait
Si le morceau contient des samples ou des fichiers REX, et qu'ils ont ete déplacés ou renommés depuis la derniere sauvegarde, le programme you informera qu'il ne peut pas trouver tous les fichiers. Vous pouze alorsCHOISIR soit de localiser manuellement les fichiers manquants, soit de laisser le programme les searcher, soit de continuer sans les sons manquants. Pour plus d'informations, voir "Gestion des sons manquants" le chapitre « Sons et patches »
Ouvrir le dernier morceau au démarrage du programme
Vouss pouvez demander à Reason d'ouvrir automatiquement le dernier morceau sur lequel vous avez travaillé à chaque démarrage de Reason. Pour ce faire, rendez-vous sur la page « Général » dans la boîte de dialogue « Préférences »
- Dans le menu Edition (Win) ou « Enregistrer » (Mac),CHOISSEZ « Préférences » puis sélectionnez « Général » dans la liste déroulante « Page : » déroulante.

- Cochez la case « Ouvrir le dernier morceau au démarrage »
Au prochain démarrage de Reason, le dernier morceau enregistré s'ouvrira automatiquement dans une fenêtre de document.
Fermer des morceaux
Fermer un morceau
Pour fermer un morceau, maintenez enfoncée la touche [Ctrl] (Win) ou [Cmd] (Mac) et appuyez sur [W], ou bien, dans le menu Fichier,CHOISSEZ «Fermer ». Sinon, cliquez sur le bouton Fermer situé dans l'angle supérieur droit de la fenetre du document.
Si les modifications n'ont pas ete enregistrées, il vous sera proposé d'enregistrer le morceau avant de fermer la fenetre.
! Notez que dans la version Windows de Reason, lorsque vous fermez le dernier document ouvert de morceau, l'application se ferme également.
Creation de morceaux
Créer un nouveau morceau vide
Pour creer un nouveau morceau, maintenez enfoncée la touche [Ctrl] (Win) ou [Cmd] (Mac) et appuyez sur [N], ou bien, dans le menu Fichier, choisissez Nouveau.
Une nouvelle fenêtre de document apparait. Par défaut, voici ce que contient le nouveau morceau :
- L'interface matérielle Reason.
- Module de mixeur 14:2 connecté à un module Mastering Suite Combinator dans le rack.
Les sorties Master L et R du module de mixeur 14:2 sont connectées à l'interface matérielle Reason via les connecteurs audio de Mastering Suite Combinator.
- La piste de transport en haut du séquenceur.
Au lieu de creer un morceau vide chaque fois que vous choisissez « Nouveau», il est possible de charger automatiquement un morceau existant et de l'utiliser comme modèle pour vos nouveaux morceaux. Par exemple, pour demarrer avec votre propre selection de modules, créez et enregistrez un morceau puis demandez à Reason de l'utiliser chaque fois que vous créerez un nouveau morceau. Voir “Configurer le morceau par défaut”.
Configurer le morceau par défaut
Il est possible de spécifique précisé le morceau qui s'ouvrira en tant que modèle chaque fois que vous sélectionnerez « Nouveau » dans le menu « Fichier ». Il peut s'agir de n'importe quel morceau créé précédemment. Pour sélectionner ce morceau par défaut, rendez-vous sur la page « Général » dans la boîte de dialogue « Préférences »
- Dans le menu Édition (Win) ou « Reason » (Mac), Sélectionnez « Préférences » puis Sélectionné « Général » dans « Page : » déroulante.

-
Cliquez sur la case d'option « Personnelisé » dans la section « Morceau par défaut »
-
Cliquez sur l'icone de dossier située à droite et seLECTIONnez le morceau à utiliser comme modèle lorsque vous crééz de nouveaux morceaux.
Chaque fois que vous creez un nouveau morceau (en selectionnant « Nouveau » dans le menu « Fichier »), le morceau sélectionné se chargerà et servira de modèle à votre nouveau morceau. Sur les plateformes Windows, le document du morceau est nommé « Document n», où « n » est un chiffre croissant. Sur les plateformes Mac OS X, le document est nommé « sans-titre n » où « n » est un chiffre croissant. Enregistrez ensuite votre morceau en lui attribuant un nouveau nom.
Enregister des morceaux
Enregisterr un morceau
! Si vous utilisez une version de démonstration de Reason, vous ne pourrez pas enregistrer de morceaux.
La fonction « Enregistrer »
Pour enregistrer un morceau,procédez comme suit :
- Maintenez enforcée la touche [Ctrl] (Win) ou [Cmd] (Mac) et appuyez sur [S], ou bien, dans le menu Fichier,CHOISSEZ « Enregistrer »
Si vous enregistrez le fichier pour la première fois, une boîte de dialogue s'affiche vous invitant à spécifique un nom et un emplacement.
- Spécifiez le nom et l'emplacement du morceau et cliquez sur « Enregistrer »
Une fois le morceau enregistré, le fait de cliquer sur « Enregistrer » l'enregistrra sous le même nom, au même emplacement, sans afficher de boite de dialogue.
Il est également possible d'inclure automatiquement tous les samples utilisés par les modules de Reason et de rendre le morceau « autonome ». Reportez-vous à “À propos des morceaux autonomes” pour plus d'informations sur la manière d'inclure vos propres samples dans vos morceaux.
Il est également possible d'insérer des informations détaillées sur votre morceau. Reportez-vous à "Insérer des informations sur le morceau" pour plus d'informations.
La fonction « Enregistrer sous... »
Pour enregistrer un morceau existant sous un autre nom et/ou un autre emplacement :
- Maintenez enfoncée la touche [Ctrl]+[Shift] (Win) ou [Cmd]+[Shift] (Mac) et appuyez sur [S], ou bien, dans le menu Fichier,CHOISSEZ « Enregistrer sous... »
La boîte de dialogue « Enregistrer sous » apparait.
- Spécifiez le nouveau nom et/ou le nouvel emplacement du morceau et cliquez sur « Enregistrer »
Insérer des informations sur le morceau
Si vous sélectionnez « Informations sur le morceau » dans le menu Fichier, une boîte de dialogue s'affiche, vous permettant d'ajouter diverses informations sur votre morceau. Par exemple, si vous prévoyez d'envoyer le morceau à d'autres utilisateurs Reason, vous pouvez y ajouter des informations quant au contact, des commentaires sur le morceau, etc.
→ Sélectionnez « Informations sur le morceau... » dans le menu Fichier.
La boîte de dialogue Informations sur le morceau s'ouvre.

Voici les éléments qu'elle contient :
- Texte du titre de la fenêtre :
Le texte saisi ici s'affichera directement après le nom du fichier dans la barre de titre de la fenetre du morceau. - Plus d'informations :
C'est ici que vous ajoutez des remarques et des commentaires à propos du morceau. - Splash du morceau :
Vous permit d'ajouter une image au morceau. L'imag sera affichee a l'ouverture du morceau.
Pour ajouter une image splash, cliquez sur le bouton dans l'angle supérieur droit et localisez et ouvre le fichier image dans la boite de dialogue qui apparait.
! Les images splash doivent etre des fichiers JPEG (extension Windows .jpg) d'uneaille de 256 x 256 pixels.
Pour supprimer l'image splash de votre morceau, cliquez sur le bouton en forme de croix dans l'angle supérieur droit.
Cochez la case « Afficher le splash à l'ouverture » pour afficher l'image splash à chaque ouverture du morceau.
Page Web de l'auteur :
Saisissez ici l'URL de votre site Web. L'utilisateur qui ouvre votre morceau peut se rendre directement sur votre site Web en cliquant sur le bouton du navigateur qui s'affiche dans l'image splash (à condition de posseder une connexion à Internet en état de marche).
- Adresse e-mail de l'auteur :
Indiquez ici votre adresse e-mail si vous souhaitez que d'autres utilisateurs Reason vous envoient leurs commentaires, etc.
Publier un morceau
Si vous souhaitez rendre vos morceaux disponibles au public, par ex. en téléchargement sur Internet, un format de fichier spécial existe à cette fin. Un morceau publié de Reason (extension de fichier Windows «.rps ») est comme un morceau autonome, mais avec les restrictions suivantes :
L'utilisateur ne peut enregistrer aucune modification apportée au morceau.
- Les fonctions Copier, Couper et Coller sont désactivées.
- Il est impossible d'utiliser la fonction Exporter le morceau/la boucle en fichier audio si le morceau a ete modifie de quelerque facon que ce soit.
En un mot, les morceaux publiés sont « verrouillés ». Ils ne sont prévus que pour la lecture -aucun élément ne peut être ajouté, supprimé ou extrait. De plus, un morceau publié contient les informations concernant les ReFills requis (le cas échéant).
Pour creer un morceau publié, procedez comme suit :
- Sélectionnez « Publier un morceau... » dans le menu Fichier.
- Indiquez un nom et un emplacement pour le morceau publié dans la boite de dialogue du fichier qui apparait, puis cliquez sur Enregister.
! Notez que vous n'avez pas à faire de réglages d'autonomie (voir “À propos des morceaux autonomes”) - tous les fichiers sont automatiquement inclus.
A propos des morceaux autonomies
Le morceau constitue le format de fichier principal dans Reason. Un morceau contient les réglages des modules et tous les réglages et connexions du rack, ainsi que tout ce que vous avez enregistré dans le séquenceur. Toutefois, cela n'est pas toujours suffisant. Si vous que vous souhaitez ouvrir votre morceau sur un autre ordinateur, ou l'envoyer à un autre utilisateur Reason, vous devrez également fournir les samples et les fichiers REX utilisés par les modules Reason dans le morceau. Pour rendre cela plus simple, Reason vous permet de créé des morceaux « autonomes ». Un morceau autonome contient non seulement les références aux samples et fichiers REX utilisés, mais également les fichiers eux-mêmes. Vous pouvez selectionner avec précision les fichiers à inclure dans le morceau autonome.
Pour indiquer les fichiers à insérer dans le morceau autonome, procédez comme suit :
- Dans le menu Fichier, Sélectionnez « Réglages du morceau autonome »
Une boite de dialogue s'ouvre, affichant tous les samples et fichiers REX utilisés dans le morceau :

- Cochez les cases à gauche de la colonne « Nom » pour le fichiers (autres que ReFill) que vous souhaitez voir dans le morceau.
Utilisez le bouton « Tout cocher » pour cocher toutes les cases en une fois.
De la même façon, le bouton « Tout découverter » découvertes toutes les cases. - Lorsque vous avez selectionné lessons désirés, cliquez sur OK pour quitter la boite de dialogue.
La prochaine fois que sauvegarderez vous morceau, lessons indiqués seront automatquement insérés dans le fichier du morceau.
! Notez qu'un fichier de morceau autonome peut etre beaucoup plus lourd que le fichier original. Cependant, les samples inclus dans un morceau autonome sont automatiquement compresses d'environ 50% .Comme cette compression est sans perte, elle n'afecte en rien la qualite du son.
« Dés-autonomiser » un morceau
Si vous avez ouvert un morceau autonome contenant un ou plusieurs sons inclus dans le fichier du morceau, vous pourriez fouloir extraire ces sons et faire en sorte que le morceau y fasse reférence sur le disque comme d'habitude. Pour ce faire, procédez comme suit :
- Dans le menu Fichier, Sélectionnez « Réglages du morceau autonome »
La boîte de dialogue « Réglages du morceau autonome » apparait. - Localisez lessons à extraire du fichier, et désactivez leur case (ou cliquez sur « Tout découvert »).
- Cliquez sur OK pour fermer la boite de dialogue.
Reason vérifie alors si chaque fichier de son extrait est disponible (à son emplacement dorigine méorisé) ou non.
- Si le programme trouve le fichier son à l'emplacement méorisé dans le morceau, il est simplement supprimé du fichier du morceau, et la reférence au chemin d'accès du fichier original est utilisée.
Cela pourrait être le cas si vous avez vous-même rendu le morceau autonome, et procédé à l'opération inverse sur votre propre ordinateur (en supposant que vous n'avez pas déplaced les fichiers son originaux sur le disque depuis que vous l'avez rendu autonome).
- Si le programme ne trouve pas le fichier son, une boîte de dialogue apparaît, vous permettant de sélectionner un dossier et un nom pour le fichier son.
Le fichier extrait sera enregistré dans le dossier spécifique, et le chemin d'accès dans le morceau sera modifié en conséquence. Cela pourrait être le cas si vous receiveviez le morceau autonome d'un autre utilisateur, par exemple.
! Notez qu'il est impossible de dés-autonomiser des samples provenant de ReFills !
! Si vous dés-autonomisez des samples modifiés dans la fenêtre Éditer le sample et comprendant des marqueurs de début et de fin et/ou des fondus enchânés de boucles, la boîte de dialogue Exportation de samples figés apparait. Les options disponibles sont décrites plus loin dans la section “Exportation de samples” du chapitre sur le sampling. Notez que l'option que vous sélectionné dans l'Exportation de samples figés s'applique à tous les samples que vous avez désélectionnés dans la boîte de dialogue des Réglages du morceau autonome ! Les samples autonomes provenant d'un ReFill ne peuvent pas été dés-autonomisés !
Remarque sur l'enregistrement de morceaux en fichiers audio
Il est également possible d'exporter vos morceaux sous forme de fichiers son au format WAV ou AIFF. Reportez-vous à "Exportation de morceaux ou de parties de morceaux" pour plus d'informations.
Importation et exportation de fichiers MIDI standard
Reason peut importer et exporter des fichiers MIDI standards (SMF). Cela vous permet de transférer les données MIDI entre Reason et les autres applications.
Importation de fichiers MIDI standard
Pour importer un fichier MIDI standard dans le séquenceur Reason, suivez les étapes suivantes :
- Crééz un nouveau morceau vide.
- Sélectionnez « Importer un fichier MIDI... » dans le menu Fichier.
Le navigateur apparait.
- Sélectionnez un fichier MIDI (.mid) dans le navigateur et cliquez sur « Ouvrir »
Un certain nombre de nouvelles pistes sont créées dans le séquenceur Reason. Les pistes auront leur nom original, avec leur canal MIDI d'origine. Toutes les pistes auront un module Combinator vide. Vous pouvez alors charger un patch Combi ou remplacer le Combinator par un autre module pour pouvoir dire le fichier MIDI importé.
- Les événements de notes du fichier MIDI se retrouveront importés dans un ou plusieurs clips de notes sur une bande de notes pour chaque piste.
- Si le fichier MIDI importé est de Type 1, il y aura une piste de séquenceur pour chaque piste du fichier MIDI.
-
Si le fichier MIDI importé est de Type 0 (c'est-à-dire qu'il contient une piste avec des événements MIDI sur plusieurs canaux), il y aura une piste de séquenceur pour chaque canal MIDI utilisé.
Le réglage du tempo, toute automation du tempo et/ou signature rythmique du fichier MIDI, seront reconnus. -
Toutes les données de contrôleur du fichier MIDI seront incluses.
Cela signifie que les contrôleurs de performance standard (Pitch Bend, roue de modulation, etc.) sont conservés et inclus dans le clip de note comme lors de l'enregistrement dans Reason. Si le fichier MIDI importé contient des contrôleurs MIDI séparés, ils seront importés afin de séparer les bandes d'automation sur les pistes instrumentales. Il se peut que certaines données de contrôleur soient importées dans des clips étrangers en raison de différentes interprétaions d'un contrôleur par un module du rack et l'instrument MIDI utilisé pour créé le fichier MIDI (voir "À propos des clips étrangers").

Des cordures vertes apparaitront pour les parametes automatisés sur les panneaux des modules Combinator. Cela vous aidera à localiser toute donnée de contrôle indésirable.
Exportation de fichiers MIDI standard
Pour exporter l'ensemble des pistes instrumentales et d'automation du séquenceur de Reason sous forme de fichier SMF, procédez comme suit :
- Placez le marqueur de fin du séquenceur à l'endetroit où vous foulez que vous morceau se termine.
Le fichier MIDI contienda tous les événements de toutes les pistes depuis le début du morceau jusqu'àu marqueur de fin.
- Sélectionnez « Exporter un fichier MIDI... » dans le menu Fichier.
Le navigateur apparait.
- Saisissez un nouveau nom de fichier (si vous le souhaitez) et un emplacement pour le fichier à exporter. Cliquez ensuite sur « Enregistrer »
Par défaut, le fichier MIDI prendra le nom du morceau suivi de l'extension .mid.
Voici les propriétés des fichiers MIDI exportés par Reason :
Le fichier MIDI sera de Type 1, avec une piste MIDI pour chaque piste dans le séquenceur Reason.
Les pistes auront le même nom que dans le séquenceur Reason.
- Comme le séquenceur Reason nutilise pas de canaux MIDI en tant que tel, toutes les pistes seront définies sur le canal MIDI 1.
- Le tempo du séquenceur et toute automation du tempo et/ou signature rythmique seront inclus dans le fichier MIDI.
! Dans Reason, une piste instrumentale pouvant etre composée de plusieurs types de modules (plus effets etc.), le fichier MIDI exporte ne contient aucune information sur le son actuel. Il ne contient que des informations sur chaque piste instrumentale et ses notes MIDI et/ou les données du contrôleur MIDI situées sur la piste. Vous devrez affercter manuellement lessons appropriés à chaque piste dans l'application d'importation.

REASON
Chapitre 14
Exportation de l'audio
À propos de ce chapitre
Ce chapitre décrit les diverses techniques permettant d'exporter de l'audio à partir de Reason.
Importation de l'audio vers des modules Reason
Lorsque vous chargez des samples WAV ou AIFF ou des fichiers REX (ReCycle) dans les samplers, les modules boîte à rythme ou le lecteur de boucle, Reason prend en charge des fichiers d'un grand nombre de fréquences de sample et de résolutions. Vous pouvez utiliser des fichiers de différents formats dans le même module : un son de batterie peut être un sample 8 bits, le suivant un sample 16 ou 24 bits, etc.
Exportation de l'audio
Vouss pouvez exporter de l'audio à partir de Reason de plusieurs façon. Vous pouze désir voir plusieurs fréquences de sample pour l'audio exporté ainsi que plusieurs formats et résolutions de fichier audio.
Exportation de morceaux ou de parties de morceaux
Il existe deux façon d'exporter le mixage de toutes les pistes actives du séquenceur dans un morceau :
- L'option « Exporter un morceau en fichier audio... » du menu Fichier vous permet d'enregistrer le mixage du début du morceau jusqu'àu marqueur de position de fin.
- L'option « Exporter une boucle en fichier audio... » du menu Fichier vous permet d'enregistrer le mixage de la section comprise entre l'indicateur gauche et l'indicateur droit.
! Lorsque you exportez un morceau ou une boucle, les signaux du fichier audio exporté proviennent des sorties 1 et 2 du module de l'interface matérielle. Toute autre sortie utilisée sur l'interface matérielle sera ignoreré.
Pour exporter le mixage de l'intégrality d'un morceau ou d'une section de boucle d'un morceau, procédez comme suit :
- Assurez-vous que le marqueeur de position de fin est placé à l'endetroit où vous souhaitez que le morceau se termine ou, si vous souhaitez exporter une boucle, assurez-vous que les indicateurs gauche et droit encadrent la boucle à exporter.
Assurez-vous que vous placez le marqueeur de fin (lors de l'exportation d'un morceau) ou l'indicateur droit (lors de l'exportation d'une boucle) de telle façon que lessons longs puissant decliner naturellement jusqu'au silence. Si tel n'est pas le cas, une coupe abrupte tronquera la fin du fichier audio exporté. Ce résultat n'est sans doute pas celui escompté. - Sélectionnez « Exporter un morceau en fichier audio... » ou « Exporter une boucle en fichier audio... » dans le menu Fichier.
Vous accedez à la boite de dialogue « Exporter un morceau en fichier audio » ou « Exporter une boucle en fichier audio »
- En bas de la boite de dialogue, Sélectionnez l'emplacement, le nom de fichier et le format de fichier (AIFF ou WAV) du fichier audio exporté, puis cliquez sur « Enregistrer »

Sélectionnez un nom de fichier et un format de fichier.
- Dans la boîte de dialogue « Réglages d'exportation audio», Sélectionnez « Fréquence de sample », « Résolution » et « Juxtaposition», puis cliquez sur « OK».
Si vous exportez à une résolution 16 bits, vous aurez la possibilité d'appliquer la juxtaposition. La juxtaposition (Dithering) est un type de bruit ajouté au signal numérique qui augmente la qualité sonore à faible niveau lorsque vous exportez de l'audio haute résolution à une résolution plus faible. Reason dispose d'un algorithme de juxtaposition inédit et très sophistiqué capable de façonner le bruit.
Cochez la case « Juxtaposition » pour améliorer la qualité de l'audio exporté à une résolution de 16 bits.

Selectionnez la fréquence de sample, la résolution et la juxtaposition de l'audio à exporter.
À propos de données de tempo dans les fichiers audio exportés
En plus des données audio, les données de tempo sont automatiquement inclues dans le fichier audio exporté. Les données de tempo contiennent des informations sur le tempo du morceau et sur toute automation de tempo utilisée dans le morceau ou la boucle. Si vous importez un tel fichier audio dans un morceau Record, il s'étendra automatiquement pour correspondre au tempo du morceau actuel.

REASON
Chapitre 15
Sampling
À propos de ce chapitre
Ce chapitre déscrit le sampling, l'édition et la gestion des samples de vos morceaux. Pour en savoir plus sur les modules permettant de créé et de jour des samples, reportez-vous aux chaprites "Sampler NN-XT", "Sampler NN-19", "Boîte à rythme Redrum" et "Kong Drum Designer".
Vue générale
La fonction de sampling vous permet de sampler de l'audio externe (ou interne depuis les sorties d'un module) à l'aide de n'importe quel module prenatal en charge les fichiers de sample, c'est-à-dire, NN-XT, NN-19, Redrum et Kong.
Le sampling en un click
Le flux de travail du sampling a ete conu pour etre aussi rapi de simple que possible, de facon a ce que you ne perdiez pas your inspiration. Quel que soit le module que you utilisez (NN-XT, NN-19, Redrum ou Kong), la fonction de sampling est accessible en un simple clic, ou bien en cliquant puis en maintainant enfoncé(s) le(s) bouton(s) de sampling des modules suivants :




Boutons de sampling de NN-XT, NN19, Redrum et Kong
Vouse pouze eaglement creer un sample depuis l'onglet Samples de morceaux dans la fenetre Outils, a tout moment. Il n'est meme pas necessaire que voitre rack dispose d'un module de lecture de samples (voir "Enregistrement des samples non affectes").
Voir "Procedure de sampling" pour plus d'informations sur le sampling.
Fenêtre Éditer le sample
Tous les paramètres et fonctions de sampling sont rasssemblés dans une seule et même fenêtre, appelée Éoperator le sample. Cette fenêtre est utilisé lorsque vous créez des samples sur les modules décrits plus haut ou depuis l'onglet Samples de morceaux dans la fenêtre Outils. Voir "Édition de samples" pour plus de détails.

La fenêtre Éditer le sample contenant un sample
À propos du format, de la fréquence et de la résolution du sample
Lorsque vous creez un sample dans Reason, les fichiers audio résultats sont enregistrres au format WAV. La fréquence du sample peut être définie par les paramètres de l'onglet Audio, sous Préférences (voir “Réglages audio”). La résolution (profondeur de bits) peut être définie depuis l'application de configuration de votre matériel audio (consultez le manuel pour en savoir plus sur le matériel audio). En vérité, Reason vous permet d'utiliser toutes les fréquences et résolution de sample que vous souhaitez. Vous pouvez même modifier les paramètres audio à tout moment, sans que le pitch ou la vitesse de lecture des samples ne soient affectés. Notre sample sonnera toujours de la même façon, quels que soient les paramètres audio actuels!
Fonctions générales de sampling
Réglages en vue du sampling
Si vous souhaitez sampler un audio exter, depuis un micro ou un instrument connecté à un équipement audio matériel sur votre ordinateur, assurez-vous d'avoir bien configuré les entrées audio souhaiées dans l'onglet Audio, sous Préférences (voir "Canaux d'entrée et de sortie actifs"). Les entrées audio disponibles sont indiquées par des LED jaunes ou vertes sur l'interface matérielle du rack :

Sélection de(s) source(s) d'entrée audio
Pour configurer le sampling, vous doivent d'abord creer certaines connexions sur l'interface matérielle :
- Accédez à l'interface matérielle et appuyez sur la touche [Tab] pour returner le rack.
- Connectez les cables aux entrées de sample de la façon suivante :
Pour sampler un audio externe, connectez le(s) connecteur(s) d'entrée audio de votrechoix au(x) connecteur(s) d'entrée de sample situés à l'arrière de l'interface matérielle, sur la gauche.
Pour sampler l'audio d'un module du rack, connectez les câbles de la/des sortie(s) audio du module au(x) connecteur(s) d'entrée de sample de l'interface matérielle.
Pour sampler en stéreo, connectez à la fois les connecteurs d'entrée de sample gauche et droit.
Pour sampler en mono, connectez l'un des connecteurs d'entrée de sample gauche ou droit.

Entrées audio 1 et 2 connectées aux entrées de sample L et R pour un sampling en stéreo
Réglage du niveau des entrées audio
Une fois les connexions à l'aux entrée(s) de sample de l'interface matérielles effectuees, il est important de vérifier le niveau d'entrée audio afin d'eviter tout risque de clipping. Si vous souhaitez sampler de l'audio externe via le matériel audio de votre ordinateur, vous doivent régler le niveau à la source, c'est-à-dire sur le préamplificateur du matériel audio (ou l'instrument connecté). Le Big Meter de l'interface matérielle vous permet de controller plus facilement le(s) niveau(x) d'entrée.
Reglez le niveau à la source et assurez-vous qu'il ne dépasse pas les 0 dB pour éviter tout risque de clipping.

Si vous effectuez un sample en interne, depuis la/les sortie(s) d'un module du rack, reglez le niveau de sortie du module source et vérifie les niveaux des entrées de sample sélectionnées sur le Big Meter :

Contrôle et niveau du moniteur
À gauche, sur l'interface matérielle, se trouvent deux boutons et un potentiemetre qui vous permettent de contrôler les signaux des entrées de sample :

Cliquez sur le bouton Monitor pour activer le contrôle des signaux des entrées de sample. Le contrôle sera toujours actif, que vous procédiez à un sample ou non.
Cliquez sur le bouton Auto pour que le contrôle ne soit activé que durant le sampling. Le contrôle ne sera actif que lorsque vous effectuerez un sampling. Lorsque vous n'effectuez pas de sampling, le contrôle est désactivé.
Tournez le potentiemetre Monitor pour regler le niveau de contrôle du signal.
! Le potentiemetre de niveau Monitor n'effecte pas le niveau de l'audio sample, mais uniquement celui du signal controlé.
Sampling
Les différencs boutons Sample
Les modules NN-XT, NN19, Redrum et Kong comprément un ou plusieurs boutons Sample. L'onglet Samples de morceaux dans la fenêtre Outils contient également un bouton Sample (voir "Enregistrement de samples non affectés"). Les boutons Sample se trouvent aux emplacements suivants des modules :




Boutons de sampling de NN-XT, NN19, Redrum et Kong
Procedure de sampling
Le sampling peut être effectué de deux façon :
- En sampler des « samples affectés » directement depuis un module enclinquant ou bien enclinquant puis enmaintenant enfoncé le bouton Sample du panneau du module.
- En supplant des « samples non affectés » qui ne sont pas (encore) affectés à un module de samples.
La fréquence du sample dépendra de vos paramètres de matériel audio actuels et non de la méthode que vous choisissez pour sampler (voir “Réglages audio”).
Sampling dans un module (NN-XT, NN19, Redrum, Kong)
- Assurez-vous d'avoir effectué les connexions nécessaires et d'avoir défini les niveaux en fonction de la section "Réglages en vue du sampling".
- Cliques sur le bouton Sample du module.
Vous pouvez également cliquer sur le bouton Sample et le maintainir enforcé aussi longtemps que vous souhaitez sampler.
Lorsque you utilisez cette methode, le sampling se termine automatiquement des que you relachez le bouton de la souris. Le sample apparaitra alors dans le module et sous l'onglet Samples de morceaux de la fenetre Outils.
Si vous effectuez votre sampling dans Redrum, assurez-vous de cliquer et de maintainir le bouton Sample enforcé pour le canal de batterie de votre choix.
Une forme d'onde s'affiche alors avec une tête de lecture mobile :

- Démarrez la lecture ou le chanté que vous souhaitez sampler.
La présence d'audio dans les entrées de sample de l'interface matérielle est traduite par l'affichage d'une forme d'onde.
! Laaille du tampon pour l'audio sample est de 30 secondes. Àpès 30 secondes, la tête de lecture recommencerà depuis le début et effacera l'audio précédement sample.
Si vous souhaitez redémarrer le sampling manuellement, cliquez sur le bouton Redémarrer le sampling :

Le bouton « Redémarrer le sampling »
Cela effacera tout audio sample et forcera la tete de lecture a returner au début.
! Notez que vous ne pouvez pas redémarrer le sampling de cette façon si vous cliquez et maintenez le bouton Sample enforcé.
4. Si vous étés satisfait de votre enregistrement, cliquez sur le bouton Arrêteur le sampling dans l'affichage sous forme d'onde.

Le bouton « Arrêtier le sampling »
L'affichage sous forme d'onde se ferme et le sample est automatiquement transmis vers le module, depuis lequel vous pouvez le jour immédiatement :

Par défaut, le sample est nommé « Sample n», où « n » représenté un nombre de série. Vous remarquerez que tout silence précédant l'audio du sample sera automatiquement ignoré. La totalité du sample est réservée pour que vous n'ayez pas à éoperator le démarrage du sample avant la lecture.
En plus de sa transmission vers le module, un raccourci vers le sample est également placé sous l'icone du module correspondant dans le dossier Samples affectés,itué sous l'onglet Samples de morceaux de la fenetre Outils :

Ici, tous les samples de votre morceau sont répertoriés (voir "Onglet Samples de morceaux"). Vous pouvez également y ouvrir des samples pour les éditer (voir "Édition de samples").
Enregistrement de samples non affectés
Si vous ne souhaitez pas sampler directement dans un module (NN-XT, NN19, Redrum ou Kong), vous pouvez enregistrer des « samples non affectés » depuis l'onglet Samples de morceaux dans la fenêtre Outils. Vous pouvez alors désir d'affector ces samples à un module à un stade ultérieur, si vous le souhaitez.
La procédure de sampling est identique à celle décrite dans la section "Sampling dans un module (NN-XT, NN19, Redrum, Kong)" ci-dessus, sauf que vous démarrez le sampling en cliquant sur le bouton Sample,itué au bas de l'onglet Samples de morceaux, dans la fenêtre Outils :

Le bouton Sample de l'onglet Samples de morceaux dans la fenetre Outils
! Notez que vous ne pouvez pas utiliser la méthode consolidant à cliquer puis à maintainir le bouton Sample enforcé depuis l'onglet Samples de morceaux !
La même forme d'onde s'affiche alors avec une tête de lecture mobile. Si vous étés satisfait de votre enregistrement, cliquez sur le bouton Arrêtéter le sampling dans l'affichage sous forme d'onde. Le sample est alors placé dans le dossier Tous les samples autonomes sous l'onglet Samples de morceaux, avec un raccourci dans le dossier Samples non affectés. Le sample est automatiquement nommé « Sample n», où « n » représenté un entier. Pour jouer le sample, Sélectionnez-le dans le dossier Tous les samples autonomes et cliquez sur le bouton Lecture situé sous l'onglet Samples de morceaux (voir “Onglet Samples de morceaux”).
Onglet Samples de morceaux
L'onglet Samples de morceaux de la fenêtre Outils est l'endetroit où sont répertoriés tous les samples de votre morceau. Il vous permet d'accéder à vos samples à des fins de pré-écoute et d'édition. En plus de vos propres samples, tous les samples Factory et les samples ReFills utilisés dans le morceau sont également accessibles à des fins de pré-écoute et d'édition!

L'onglet Samples de morceaux dans la fenetre Outils
L'onglet Samples de morceaux de la fenetre Outils contient les éléments suivants :
- Dossier Samples affectés
Ici sont répertoriés tous les samples du morceau affectés aux modules. Tous les modules contenant des samples affectés sont répertoriés en tant que « sous-dossiers ». Chaque « sous-dossier » de module affiche les samples qui lui sont actuèlement affectés. Étant donné que les samples peuvent provenir aussi bien de la Factory Soundbank, que de ReFills externes ou bien de vos propres samples, ils sont tous répertoriés dans la liste en tant que raccourcis. Voir “Samples affectés” pour plus de détails.
- Dossier Samples non affectés
Dans ce dossier se trouvent tous les sons que vous avez samplés vous-même, à l'aide du bouton Sample situé au bas de la fenêtre Outils (voir “Bouton Sample”). Lorsque vous effectuez un sampling à l'aide du bouton Sample de la fenêtre Outils, les samples deviennent automatiquement non affectés, car ils n'ont pas été samplés depuis un module. Voir “Samples non affectés” pour plus de détails.
- Dossier Tous les samples autonomes
Tous les sons que vous avez samplés vous-même, ainsi que tout sample dupliqué depuis la Factory Soundbank et/ou ReFills, deviennent automatiquement autonomies et sont toujours stockés avec le morceau. Ces samples sont répertoriés dans le dossier Tous les samples autonomies. Voir “À propos des samples autonomies” pour plus de détails.
- Bouton Lecture et case à cocher Automatique
Pour écouter un sample, Sélectionnez-le dans la liste des samples de morceaux et cliquez sur le bouton Lecture. Si vous cochez la case Automatique puis Sélectionnez un sample dans la liste, ce dernier sera joué automatiquement.
- Curseur du volume
Réglez le volume de pré-écoute du sample à l'aide du curseur. Cela n'effecte pas le volume d'origine des samples.
- Bouton Sample
Cliquez sur le bouton Sample pour sampler le signal present dans les entrées de samples de l'interface matérielle. Voir "Enregistrement de samples non affectés" pour plus de détails.
Bouton Édition
Cliquez sur le bouton Édition pour ouvrir le sample sélectionné en vue de l'éditer dans la fenêtre Éditer le sample (voir "Fenêtre Éditer le sample").
- Bouton Dupliquer
Cliquez sur le bouton Dupliquer pour creer une copie du sample selectionne. Le sample dupliqué est placé dans les dossiers Tous les samples autonomes et Samples non affectés. Voir "Duplication de samples" pour plus de détails.
- Bouton Supprimer
Cliquez sur ce bouton pour supprimer de façon permanente le sample selectionné du morceau. Notez que les samples provenant de la Factory Soundbank ou des ReFills ne seront pas supprimés de leur emplacement d'origine, mais uniquement du document du morceau. Voir "Suppression de samples d'un morceau" pour plus de détails. Tous les samples que vous avez enregistrrés vous-même seront supprimés de façon permanente, à moins que vous ne les ayez exportés sur disque (voir "Bouton Exporter" ci-dessous).
- Bouton Exporter
Cliquez sur ce bouton pour exporter le sample sélectionné vers un disque. Une boîte de dialogue s'affiche, dans laquelle vous pouvez sélectionner le format du fichier. Notez qu'il n'est pas possible d'exporter des samples provenant de la Factory Soundbank ou des ReFills. Voir “Exportation de samples” pour plus de détails.
Édition de samples
Fenêtre Éditer le sample
Tout sample present dans le dossier Tous les samples autonomes,itué sous l'onglet Samples de morceaux de la fenetre Outils, peut etre éditione.

Pour ouvrir un sample dans la fenêtre Éditer le sample, double-cliquez sur un sample ou sur l'icone de raccourci dans l'un des dossiers situés sous l'onglet Samples de morceaux, ou bien sélectionnéz un sample puis cliquez sur le bouton Éditer :

La fenêtre Éditer le sample contenant un sample ouvert
La fenêtre Éditer le sample peut être redimensionné dans tous les sens, enclinquant puis en faisant glisser le cadre de la fenêtre. Si vous redimensionné la fenêtre verticalément, la forme d'onde affichée sera, elle aussi, redimensionné verticalément.
- Boutons Annuler et Rétablier
Les boutons Annuler et Retablir fonctionnement comme les fonctions du même nom situées dans le menu de la fenêtre principale, sauf qu'ils sont utilisés localement, dans la fenêtre Éditer le sample uniquement. Le nombre d'annulations et de rétablissements dans la fenêtre Éditer le sample est limité à 10. Une fois que vous avez cliqué sur le bouton Enregistrer, vous pouze toujours annuler l'entière procédure d'édition de sample à l'aide de la fonction Annuler de la fenêtre principale.
- Bouton Réduire
Cliquez sur le bouton RÉduire pour réduire le sample, de manière à ce que seul le contenu situé entre les indicateurs de début et de fin soit préserve. Le reste du sample sera supprimé de façon définitive. Voir “Réduction de samples” pour plus d'informations.
- Bouton Normaliser
Cliquez sur le bouton Normaliser pour amplifier la totalité du sample, de façon à ce que la crête maximale attaigne 0 dB. Notez que la totalité du sample est normalisée, quels que soient les paramètres des indicateurs. Voir "Normalisation des samples" pour plus d'informations.
- Bouton Inverser
Cliquez sur le bouton Inverser pour inverser (jouer à l'envers) le sample dans sa totalité. Notez que la totalité du sample est inversée, quels que soient les paramètres des indicateurs. Voir "Inversion de samples" pour plus d'informations.
- Boutons Fondu en entrée et Fondu en sortie
Les boutons Fondu en entrée et Fondu en sortie peuvent être utilisés pour appliquer un effet de fondu en entrée ou en sortie sur le volume du sample. Voir "Application de fondu en entrée/en sortie sur des samples" pour plus d'informations.
- Boutons Mode Boucle
Cliquez sur l'un des boutons Mode Boucle pour selectionner un type de boucle. Le paramètre par défaut (celui le plus à gauche) est « aucune boucle ». Il est suivi de « Avance de la boucle » puis de « Avant + Arrière ». Voir “Mise en boucle des samples” pour plus d'informations.
- Panneau de la forme d'onde
Ici, le sample actuellment ouvert s'affiche en tant qu'une (mono) ou deux (stéreo) formes d'onde. Les indicateurs de début et de fin s'affichent également. Par défaut, l'indicateur de début est place la où commence l'audio dans le sample. Cela signifie que si vous avez commencé le sampling avant que de l'audio ne soit present dans le sample, la lecture commencera automatiquement là où l'audio commence. Ainsi, vous n'aurez pas à déplacer manuellement l'indicateur de début dans la plupart des cas.
- Navigateur de formes d'onde
Le navigateur de formes d'onde horizontal se trouve sous le panneau de forme d'ondes. Vous pouvez l'utiliser de la même façon que le navigateur de morceaux du séquenceur (voir "Défilament à l'aide des barres de défilament et du navigateur de morceaux", "Zoom horizontal dans le séquenceur" et "Défilament et zoom avec une souris à molette").
- Bouton Définir le début/la fin du sample
Définissez la zone de lecture de sample de votrechioin en cliquant puis en faisant glisser le pointeur de la souris sur le panneau de forme d'onde. Cliquez sur le bouton Définir le début/la fin du sample pour placer automatiquement les indicateurs de début et de fin au début et à la fin de la zone du sample. Voir "Fonction Définir le début/la fin" pour plus d'informations.
- Bouton Magnétiser le début/la fin du sample avec les éphémères
Cliquez sur le bouton Magnétiser le début/la fin du sample avec les éphémères pour que les indicateurs de début et de fin magnétisent des éphémères appropriées du sample à mesure que vous déplacez les indicateurs. Cela permet de trouver plus facilement les emplacements de début et de fin appropriés à la lecture du sample.
- Case à cocher Fondus enchainés de boucle
Cochez la case Fondus enchânés de boucle pour intégrer un fondu enchâné à la boucle. Les fondus enchânés sont utiles pour atténuer les clips dans les points de boucles, en particulier lessons dont le volume reste le même tout au long de la zone de boucle. Voir “Fonction Fondus enchânés de boucle” pour plus d'informations.
- Bouton Définir la boucle
Définissez la zone de boucle de votre choix en cliquant puis en faisant glisser le pointeur de la souris sur le panneau de forme d'onde. Cliquez sur le bouton Définir la boucle pour placer automatiquement les indicateurs de boucle gauche et droite au début et à la fin de la zone de boucle. Voir "Fonction Définir la boucle" pour plus d'informations.
- Bouton Lecture, case à cocher Solo et cursesur du volume
Cliquez sur le bouton Lecture pour jouer un sample à partir de la position actuelle de la tête de lecture jusqu'à la fin du sample. Dès que la lecture commence, le bouton Lecture se transforme en bouton Stop, vous permettant ainsi d'arrêter la lecture. Cela se révèle particulièrement utile lorsque le sample est mis en boucle. Vous pouvez également utiliser la barre d'espace pour passer de la lecture à l'arrêt de la lecture.
Cochez la case Solo pour une lecture de sample solo. Cette fonction est utile si vous morceau est joué en arrêté plan et que vous souhaitez uniquement écouter le sample.
Réglez le volume de lecture du sample à l'aide du curseur de volume situé à droite.
Note fondamentale
Définissez la note fondamentale (pitch) du sample en cliquant sur les boutons fléchés ou en saississant la valeur de note souhaïée dans l'affichage.
Nom
Attribuez le nom de votre choix à votre sample. Notez qu'une fois que vous aurez cliqué sur Enregistrer, cela remplacera le nom d'origine de votre sample dans la liste Samples de morceaux de la fenêtre Outils. Voir "Attribution d'un nouveau nom aux samples" pour plus d'informations.
- Boutons Enregistrer et Annuler
Cliquez sur Enregistrer pour enregistrer votre sample. Le sample apparaira dans la liste Samples de morceaux de la fenetre Outils. Voir "Enregistrement de samples éditions" pour plus d'informations.
Cliquez sur Annuler pour quitter la fenetre Éditer le sample et annuler toute modification apportée au sample actuel.
Définition du début et de la fin du sample
- Ouvrez le sample en double-cliquant dessus dans la liste Samples de morceaux dans la fenetre Outils.
Le sample s'ouvre dans la fenetre Éditer le sample.

Si vous avez enregistré le sample vous-même dans Reason, l'indicateur de début a été place automatiquement au niveau de la première éphémère significative du son. La tête de lecture a également été automatiquement placée au niveau de l'indicateur de début.
- Si nécessaire, réglez l'indicateur de début en cliquant puis en le faisant glisser vers l'avant ou vers l'arrière sur la rècle de la fenêtre Éditer le sample.
Vou puez jouer le sample en cliquant sur le bouton Lecture ou bien en appuyant sur la barre d'espace.
Pour un réglage plus précis des indicateurs, vous pouvez agrandir le panneau de forme d'onde horizontally à l'aide du navigateur de formes d'onde. Le navigateur de formes d'onde fonctionne exactement de la même façon que le navigateur de morceaux du séquenceur (voir "Zoom horizontal dans le séquenceur" et "Défilament et zoom avec une souris à molette").
Cochez la case « Magnétiser le début/la fin du sample avec les éphémères » si vous souhaitez que les indicateurs magnétisent les éphémères significatives du sample.
- Réglez l'indicateur de fin en cliquant puis en le faisant glisser vers l'avant ou vers l'arrière sur la règle de la fenêtre Éditer le sample.
Fonction Définir le début/la fin
Un autre moyen de définir les positions de début et de fin est d'utiliser la fonction Définir le début/la fin :
- Définissez la zone de lecture de sample souhaitée en cliquant puis en faisant glisser le pointeur de la souris sur le panneau de forme d'onde.

La zone définie est mise en surbrillance bleue.
- Cliques sur Définir le début/la fin du sample.

Les indicateurs de début et de fin sont automatiquement placés au début et à la fin de la zone de lecture définie.
- Vous pouvez cliquer n'importe où sur le panneau de forme d'onde pour supprimer la mise en surbrillance.
Réduction de samples
Réduire un sample signifie supprimer les parties du sample que vous ne souhaitez pas garder, comme par exemple, tout silence au début et/ou à la fin du sample. La fonction RÉduire de la fenêtre Éditer le sample permet de supprimer toute partie du sample, à l'exception de ce qui se trouve entre les indicateurs de début et de fin, ou bien toute partie située en dehors des parties mises en surbrillance du sample. Pour réduire un sample, procédez de la façon suivante :
- Définissez l'emplacement des indicateurs de début et de fin (voir "Définition du début et de la fin du sample").
Voues pouvez aussi cliquer et faire glisser le curseur dans la fenêtre Éditer le sample afin demettre en surbrillance la section que vous souhaitez garder. - Cliques sur le bouton Réduire dans la fenêtre Éditer le sample.

- Si vous avez mis en surbrillance une section en cliquant puis en faisant glisser le curseur dans la fenetre Editor le sample, toutes les parties du sample, à l'exception de celles mises en surbrillance, seront supprimées de façon permanente.
- Si vous n'avez pas mis en surbrillance une section du sample, toutes les parties situées avant et après les indicateurs de début et de fin seront supprimées de façon permanente.
Normalisation des samples
La normalisation désigne l'augmentation du volume du sample, de sorte que la crête maximale du sonatteigne 0 dB. La fonction Normaliser permet de normaliser soit la totalité du sample, soit la partie mise en surbrillance.
- Cliquez puis faites glisser le curseur dans la fenêtre Éditer le sample pourmettre en surbrillance la partie du sample que vous souhaitez normaliser.
Pour normaliser la totalité du sample, aucune action de votre part n'est nécessaire.
- Cliquez sur le bouton Normaliser dans la fenetre Editor le sample.

Si you've mis en surbrillance une section du sample, la partie mise en surbrillance sera normalisée.
- Si vous n'avez pas mis en surbrillance de section du sample, la totalité du sample sera normalisée, quels que soient les paramètres d'indicateurs.
Étant donné que la totalité du sample est normalisée, tout bruit liént dans le son sera amplifié.
Après la normalisation, la forme d'onde est redessinée en fonction des nouvelles valeurs de volume.
! Notez que la normalisation d'un sample utilisant déjà la hauteur completé (0 dB) n'aura aucun effet.
Inversion de samples
L'inversion d'un sample désigne la lecture arrête, depuis la fin vers le début. La fonction Inverser permet d'inverser soit la totalité du sample, soit la partie mise en surbrillance.
- Cliquez puis faites glisser le curseur dans la fenêtre Éditer le sample pourmettre en surbrillance la partie du sample que vous souhaitez inverser.
Pour inverser la totalité du sample, aucune action de votre part n'est nécessaire.
- Cliques sur le bouton Inverser dans la fenêtre Éditer le sample.

- Si vous avez mis en surbrillance une section d'un sample, la partie mise en surbrillance sera inversée.
- Si vous n'avez pas mis en surbrillance de section du sample, la totalité du sample sera inversée, quels que soient les paramètres d'indicateurs.
Après l'inversion, la forme d'onde est redessinée avec la forme inverse.
Application de fondu en entrée/en sortie sur des samples
L'utilisation de fondus de courte durée vous permet de supprimer les clicks et les claquements en début et en fin de sample. Vous pouze également créé des fondus plus longs pour les appliquer à un son en entrée et/ou en sortie de façon progressive.
- Définissez la zone de fondu en entrée (ou en sortie) de votrechioix en cliquant puis en faisant glisser le pointeur de la souris sur le panneau de forme d'onde.

La zone définie est mise en surbrillance bleue.
2. Cliques sur le bouton Fondu en entrée (ou en sortie).

En cliquant sur le bouton Fondu en entrée, vous creez un fondu en entrée, depuis un silence complet au début de la zone mise en surbrillance, jusqu'au volume actuel à la fin de la zone mise en surbrillance :

En cliquant sur le bouton Fondu en sortie, vous creez un fondu en sortie, depuis le volume actuel au début de la zone mise en surbrillance, jusqu'au silence complet à la fin de la zone.
Après l'application du fondu, la forme d'onde est redessinée en fonction des nouvelles valeurs de volume.
3. Vous pouvez cliquer n'importe où sur le panneau de forme d'onde pour supprimer la mise en surbrillance.
Mise en boucle des samples
La mise en boucle d'un sample signifie jouer le sample depuis le début puis jouer une zone définie du sample en boucle (en général, aussi longtemps que vous appuyez sur une touche du clavier maître MIDI). En pratique, la mise en boucle de samples peut être utilisée pour creer des sons plus longs à partir de sons courts. Par exemple, si vous disposez d'un sample de flûte, vous pouvez fouvoirmettre en boucle la zone du milieu pour que le son soit maintainu aussi longtemps que vous le souhaitez.
Il existe deux modes de boucle différents dans la fenêtre Éditer le sample (en plus du mode de non boucle, qui est celui par défaut):
Avance de la boucle
En mode Avance de la boucle, le sample est joué depuis l'indicateur de début vers l'indicateur de boucle droit, puis la lecture recommence depuis l'indicateur de boucle gauche vers l'indicateur de boucle droit indéfiniment.
Avant + Arrière
En mode Avant + Arrière, le sample est joué depuis l'indicateur de début vers l'indicateur de boucle droit, puis la lecture est inversée depuis l'indicateur de boucle droit vers l'indicateur de boucle gauche, puis de nouveau vers l'indicateur de boucle droit, indéfiniment.
Réglage de la position des indicateurs de boucle
- Cliquez sur le bouton Avance de la boucle ou Avant + Arrière.

Les indicateurs de boucles gauche (G) et droit (D) apparaissent sur le panneau de la forme d'onde.
- Jouez le sample puis reglez la position des indicateurs de boucle à votre convenance.
Si nécessaire, agrandisse le panneau de façon horizontally pour positionner plus facilement les bocles.

Pour des boucles plus progressives, essayez les fondus enchainés, comme décrit dans "Fonction Fondus enchainés de boucle".
Fonction Définir la boucle
Un autre moyen de définir les positions de la boucle est d'utiliser la fonction Définir la boucle :
- Définissez la zone de boucle de votrechioix en cliquant puis en faisant glisser le pointeur de la souris sur le panneau de forme d'onde.

La zone définie est mise en surbrillance bleue.
2. Cliquez sur le bouton Définir la boucle.
Les indicateurs de boucle gauche et droit sont automatiquement placés au début et à la fin de la zone de lecture définie.

- Vous pouvez cliquer n'importe où sur le panneau de forme d'onde pour supprimer la mise en surbrillance.
Pour des boucles plus progressives, essayez les fondus enchainés, comme décrit dans "Fonction Fondus enchainés de boucle".
Fonction Fondus enchainés de boucle
Les fondus enchainés sont utiles pour atténuer les clicks et les éphémères des points de boucles, en particulier dans lessons dont le volume resté constant tout au long de la zone de boucle. La fonction Fondus enchainés de boucle permet de creer des fondus enchainés de volume progressif avant et après les indicateurs de boucle.
Cochez la case Fondus enchainés de boucle pour intégrer automatiquement un fondu enchainé à la boucle.

Lorsque la fonction Fondus enchainés de boucle est activée, en déplaçant les indicateurs de boucle gauche et droit, vous les forcez à « magnétiser » automatiquement des positions de boucle appropriées. Si vous déplacez l'indicateur de boucle gauche, l'indicateur de boucle droit s'alignera automatiquement sur une position de boucle appropriée.
Ainsi, vous obtenez rapidement de bons résultats.
- Faites des expériences en alternant les modes Avance de la boucle et Avance + Arrière. Dans de nombreux cas, le fait de changer de mode de boucle peut conduir une transition bien plus progressive.
Lorsque you createz une boucle progressive, il est en general conseilde localiser la zone de la boucle ou le volume et le timbre restent relativement constants. Des variations importantes du volume et/ou du timbre dans la zone de boucle auront souvent pour resultat des boucles au son etrange ou très prononcé de « palpitation ». Par ailleurs, les zones de boucle de très courte durée ont tendance à avoir un son non naturel et « statique »
Enregistrement de samples éditionés
Cliquez sur le bouton Enregistrer dans la fenetre Editor le sample pour enregistrer votre sample edited.

Le sample est alors enregistré, avec toutes les modifications que vous y avez apportées depuis la fenêtre Éditer le sample (début, fin, paramètres de boucle, nom, etc.). Le sample apparaître dans la liste Samples de morceaux de la fenêtre Outils sous son nouveau nom si ce dernier a été modifié.

! Si vous avez ouvert et edited un sample ReFill, une copie de ce sample (y compris ses eventuelles modifications) sera enregistrée sous son nom d'origine dans le dossier Tous les samples autonomes.
Attribution d'un nouveau nom aux samples
- Tapez le nom de votrechoix pour votre sample dans le champ Nom, dans la fenetre Editor le sample.

- Cliquez sur le bouton Enregistrer pour enregistrer le sample sous un nouveau nom.
! Notez qu'en enregistrant un sample sous un nom différent, vous ne faites que replacer le nom actuel, aucune copie de votre sample d'origine ne sera créé !
Gestion des samples
À propos des samples affectés et non affectés
Samples affectés
Les samples peuvent être affectés aux modules prénant en charge la lecture de samples, tels que NN-XT, NN19, Redrum ou Kong. Les samples affectés à un module se trouvent dans le dossier Samples affectés, sous l'onglet Samples de morceaux de la fenêtre Outils :

Le dossier Samples affectés peut contenir plusieurs sous-dossiers, correspondant chacun à un sampler utilisé dans le morceau actuel. Le morceau dans l'image ci-dessus contient deux samplers : « NN-XT 1 » et « Redrum 1 » . Les dossiers d'instruments peuvent être ouverts pour afficher les samples qu'ils contiennent. Lessons que vous avez samplés vous-même ainsi que ceux provenant de la Factory Soundbank and de ReFills s'affichent avec une icône de raccourci.
Si les samples sont affichés ici avec des raccourcis, c'est parce qu'ils indiquent simplement l'emplacement d'origine des samples sur toute ordinateur ou dans le dossier des samples autonomes (voir "À propos des samples autonomes").
Samples non affectés
Les samples qui ne sont pas (encore) affectés à un sampler s'affichent dans le dossier Samples non affectés :

Il s'agit des raccourcis de samples ayant eté precedemment enregistrés dans le morceau Reason à l'aide du bouton Sampling dans la fenetre Outils (voir "Enregistrement de samples non affectés"). Ces samples non affectés peuvent être facilement affectés à tout moment à n'importe quel sampler, en les chargeant dans ce dernier (voir "Chargement de samples dans un module").
Enregistrement de samples dans un morceau
Lorsque vous avez enregistré un sample, soit en cliquant sur le bouton Sample d'un sampler, soit depuis l'onglet Samples de morceaux de la fenêtre Outils, le sample est automatiquement enregistré dans le dossier Tous les samples autonomes dans la fenêtre Outils.

Les sample enregistrés sont automatiquement nommés « Sample n», où « n » représenté un numéro de série.
Voues pouvez renomer un sample en double-cliquant dessus dans le dossier Tous les samples autonomes, puis en le renommant dans la fenetre Editor le sample et en cliquant sur le bouton Enregister.

Une fois vous morceau enregistré, tous les samples enregistrés seront automatiquement enregistrés en tant que samples autonomes dans le document du morceau. Ainsi, vous savez où partager tous les samples sur votre ordinateur.
Suppression de samples d'un morceau
Vous ne pouvez supprimer que les samples que vous avez enregistrres vous-meme dans un morceau Reason, c'est-à-dire ceux qui se trouvent dans le dossier Tous les samples autonomes, dans la fenetre Outils. Les samples provenant de la Factory Soundbank ou de ReFills ne peuvent pas etre supprimés car ils sont contenus dans ReFills. Cependant, vous pouvez supprimer les raccourcis vers les samples ReFills du dossier Samples affectés depuis la fenetre Outils si vous le souhaitez.
Pour supprimer un sample du dossier Tous les samples autonomes, selectionnez-le puis cliquez sur le bouton Supprimer.

Une alerte s'affiche vous demandant de confirmer ou d'annuler la suppression.
! Si vous sélectionné une icône de raccourci (dans le dossier Samples affectés ou Samples non affectés) qui dirige vers un sample contenu dans le dossier Tous les samples autonomes, le fait de cliquer sur le bouton Supprimer et de confirmer la suppression aura pour résultat de supprimer de façon définitive le sample d'origine !
Chargement de samples dans un module
Pour charger des samples dans un sampler (NN-XT, NN19, Redrum et Kong), procedez de la façon suivante :
- Cliquez sur le bouton Parcourir le sample dans le module.




Boutons Parcourir le sample de NN-XT, NN19, Redrum et Kong
La fenêtre du navigateur de samples s'ouvre :

- Cliquez sur le dossier Samples de morceaux dans la section Emplacements et favoris située à gauche.
Les dossiers Samples affectés, Samples non affectés et Tous les samples autonomes apparaisent dans la liste de navigation.
- Ouvrez le ou le(s) dossier(s) souhaite(s) et selectionnez le sample que vous souhaitez affecter à votre module.
Vouss pouvez selectionner un sample provenant de n'importe lequel de ces dossiers. Si vous souhaitez écouter un sample, cliquez sur le bouton Lecture dans la section Écoute de la fenêtre. Pour que les samples soient joués automatiquement après leur selection, cochez la case Automatique.
- Cliquez sur OK pour charger le sample sélectionné dans le module.
Lorsque le sample sélectionné a été chargé dans le module, l'icone du fichier de sample correspondant dans la fenêtre Outils apparait sous l'icone du module dans le dossier Samples affectés. Si le sample charge se trouvait à l'origine dans le dossier Samples non affectés, il a été déplaced vers le dossier Samples affectés.

Duplication de samples
Si vous souhaitez utiliser un sample existant comme base à un autre sample, duplique d'abord le sample existant puis effectuez vos modifications dans le sample dupliqué. Vous pouvez même dupliquer des samples provenant de la Factory Soundbank ou de ReFills existants! Cependant, les samples dupliqués provenant de la Factory Soundbank ou de ReFills ne peuvent pas être exportés vers un disque en tant que fichiers séparés et peuvent uniquement être enregistrés en tant que samples autonomes au sein du document du morceau.
Pour dupliquer un sample, procédez de la façon suivante :
- Sélectionnez le sample de votrechioix dans la liste Samples de morceaux de la fenêtre Outils.

- Cliquez sur le bouton Dupliquer situé au bas de l'onglet Samples de morceaux.
Le sample dupliqué s'affiche (portant son nom d'origine, suivi de « Copie ») dans le dossier Tous les samples autonomes. Une icône de raccourci vers le sample dupliqué apparait également dans le dossier Samples non affectés :

Pour savoir comment éditer et/ou renomer un sample dupliqué, reportez-vous aux sections "Édition de samples" et "Attribution d'un nouveau nom aux samples".
Si vous le souhaitez, vous pouvez exporter des samples enregistrés dans votre morceau et les enregistrer en tant que fichiers WAV ou AIFF sur disque. Procedez de la façon suivante :
- Sélectionnez le ou les samples de votrechioix dans la liste Samples de morceaux de la fenêtre Outils.
! Notez qu'il n'est pas possible d'exporter des samples provenant de la Factory Soundbank ou d'un ReFill. - Cliquez sur le bouton Exporter situé au bas de l'onglet Samples de morceaux.

Si voit/Vos sample(s) ont ete rduits ou si yous avez utilise des fondus enchaines de boucle, la boite de dialogue Exportation de samples figes s'affiche :

Les options suivantes sont disponibles :
- Réduire le(s) sample(s) sélectionné(s) et convertir les fondus enchânés de boucles
Cette option s'affiche si vous avez editedes les marqueurs de debut et de fin et utilisez une boucle avec fondus enchaines. Le sample sera reduit au niveau des marqueurs de debut et de fin et la boucle avec fondus enchaines sera convertie dans le sample.
! Ainsi, le sample aura le même son lorsque vous l'importerez dans un module/une application de lecture des samples mais ses données seront modifiées par rapport à celui d'origine.
- Réduire le(s) sample(s) sélectionné(s)
Cette option s'affiche à la place de l'option ci-dessus si aucune boucle n'est utilisé. Le sample sera réduit au niveau des marqueurs de début et de fin.
- Enregister le(s) sample(s) brut(s)
Le sample sera exporté sans les données relatives à la position des marqueurs de début et de fin, mais avec les données de boucles, le cas échéant. En cas de fondus enchaînés de la boucle, ces derniers seront supprimés.
! Le sample ne sonnera alors pas de la meme facon après son importation dans le module/l'application de lecture.
3. Cliquez sur OK pour continuer.
La boîte de dialogue « Exporter le sample sous... » apparait.

- Choisissez un emplacement pour votre fichier de sample, tapez le nom de votrechioix et choisissez entre les formats de fichier WAV et AIFF.
- Cliquez sur Enregistrer pour exporter le fichier de sample vers un disque.
Le sample est enregistré sur un disque à l'aide de sa résolution (profondeur de bits) et de sa fréquence de sample d'origine. Le sample autonome d'origine de votre morceau restera intact.
A propos des samples autonomies
Tous les samples que vous enregistrez dans un morceau deviennent automatiquement autonomes. Cela signifie que les samples sont automatiquement enregistrres dans le morceau lorsque vous enregistrez ce dernier. L'un des grands avantages est que vous ne perdez pas la trace de vos samples personalisés, car ils sont tous compris dans le document du morceau.
Tous les samples autonomes d'une chanson peuvent etre affiches en ouvrant le dossier Tous les samples.
autonomes, situé sous I'onglet Samples de morceaux dans la fenetre Outils :

Les samples autonomes peuvent également être charges dans un sampler depuis la fenêtre du navigateur de samples :

La fenêtre du navigateur de samples s'ouvre lorsque vous cliquez sur l'un des boutons Parcourir le sample d'un sampler. Voir "Chargement de samples dans un module" pour plus de détails.
Rendre vos samples non autonomes
Dans certaines situations, vous pouvez pouvoir vendre vos propres samples non autonomes, c'est-à-dire les exporter vers un disque en tant que fichiers séparés, tout en les supprimant du document du morceau. Pour cela, Sélectionnez « Réglages du morceau autonome... » dans le menu Fichier (voir «À propos des morceaux autonomes» pour plus de détails).

REASON
Chapitre 16
Le mixeur ReGroove
Introduction

Le mixeur ReGroove marie les avantages de la quantification, du shuffle et des modèles de groove dans un seul environnement intégré, vous donnant un contrôle créé en temps réel sur le feeling et le timing des bandes de notes individuelles. Le mixeur ReGroove, qui s'étend du haut du panneau de transport, met à votre disposition 32 canaux de contrôle de groove interactif.
Si vous étés habitué au mixage, vous n'en étés pas moins préts à comprendre le mixeur ReGroove. Voyez-le comme un mixeur avec 32 bus, mais au lieu de modifier le volume des pistes en entrée, ces bus modifiert le feeling (ou le groove) des pistes en entrée. Vous pouvez router n'importe qu'elle bande de notes vers l'un des 32 canaux du ReGroove et le feeling et le timing de cette bande seront modifiés en temps réel par les réglages du canal. Chaque canal du ReGroove peut utiliser son propre modèle de groove ou intensité de shuffle. De plus, chaque canal peut décaler les notes en avant ou arrière dans le temps, vous permettant de positionner certaines pistes légèrement en avance ou en retard par rapport au rythme, ce qui modifie grandement le feeling de votre musique.
- Vous pouvez également verrouiller une surface pour contrôler les paramètres du mixeur ReGroove via Remote (voir "Verrouiller une surface").
Bases de ReGroove
Lorsque you travailliez avec les grooves, vous utiliserez trois sections interactives dans l'interface de "Verrouiller une surface":
- Tout d'abord, dans le séquenceur, chaque bande de notes peut être assignée à l'un des 32 canaux de ReGroove.
Vous assignez une bande de notes à un canal de groove en la selectionnant dans le menu pop-up Sélectionner le groove dans chaque bande de notes.

- Vient ensuite le mixeur ReGroove qui contient à la fois des réglages globaux de groove et les réglages spécifique aux canaux.
Ils sont décrites dans les pages suivantes.
Enfin, la section Reglages de groove de la fenetre Outils, qui est accessible en cliquant sur le bouton Edition du canal de ReGroove.
Les réglages de groove vous permettent de définir l'intensité des différents paramètres de patch de groove. C'est également là que vous enregistrez vos propres patches ReGroove. Voir “Réglage du groove”.
Le mixeur ReGroove
Ouvrez le mixeur ReGroove en cliquant sur le bouton Mixeur ReGroove à droite du panneau de transport.

Le mixeur ReGroove est divisé en deux sections. Sur la gauche se trouvent les paramètres globaux, et sur la droite se trouvent les paramètres de canal.

Paramètres globaux

Ces paramètres sont appliqués globalement, plutôt que canal par canal.
Banques de canal
Le mixeur ReGroove est constitué de 32 canaux, groupés en quatre banques (étiquétées de A à D). Cliquez sur un bouton de banque de canal pour voir et éoperator sa banque de huit canaux correspondante.
Point d'ancrage
Normalement, toutes les patterns de groove commencent sur la mesure 1 et se repétent tout au long du morceau. Par exemple, une pattern de groove de quatre mesures commencerà à la mesure 1 et répéteraa sa pattern toutes les quatre mesures. Toutefois, les morceaux commencent souvent avec des mesures vides, des anacrouses ou, parfois, une courte introduction. Dans ces cas, vous ne poulez probablement pas que la pattern de groove commence à la mesure 1, mais plus loin. C'est l'intérêt du point d'ancrage - il indique a Reason a partir dequelle mesure il doit commencer à appliquer les réglages de groove.
Par exemple, supposons que vous ayez un morceau avec une anacrouse à la première mesure. Du fait que le morceau ne commence réellement qu'à partir de la deuxième mesure, c'est là que vous voudrez que le groove commence. Si vous reglez le point d'ancrage à 2, vous vous assurez que les patterns de gloove ne commenceront qu'à la第二种e mesure.
Remarque : Une exception à la règle selon laquelle les grooves commencent à leur point d'ancrage et se répétent indéfiniment jusqu'à la fin du morceau existe : c'est le cas lors d'une modification de leur signature temporelle. Les Groove recommencement toujours à partir de n'importe qu'elle mesure contenant une modification de signature temporelle.
Vouss pouvez utiliser cette information si, par exemple, vous avez une section de morceau complenant un nombre impair de mesures. L'insertion d'une modification de signature temporelle forcera tous vos grooves à recommencer à cette mesure.
Shuffle global
Ce potentiemetre ajuste l'intensité global du shuffle de Reason et est utilisé par tout module utilisant des patterns comme le séquenceur interne du Redrum, le séquenceur à pattern du Matrix et l'arpégiateur RPG-8. Il définit également la valeur de shuffle pour tout canal de ReGroove pour lequel l'option Shuffle global est activée.
Le réglage du Shuffle global à une valeur de 50% résultat en un battement « straight » (régulier), sans aucune application de swing. Le réglage du Shuffle global sur une valeur de 66% résultat en un parfait shuffle de triplet de doubles-croches. Les valeurs entre 50% et 66% ont un swing moins prononcé et les valeurs supérieures à 66% sont plus exagérées.
Paramètres de canal

Ces paramètres s'appliquent canal par canal. Chacun des 32 canaux de ReGroove (organisés en quatre banques de huit) contient un ensemble identique de paramètres.
Bouton On
Il s'agit d'un bouton On/Bypass pour le canal. Lorsque le bouton est allumé, le canal de groove est actif et toute bande de notes assignée à ce canal de groove sera affectée. Lorsque le bouton n'est pas allumé, le canal est désactivé et toute bande de notes assignée à ce canal de groove sera lue tellequelle (de façon régulière), sans être « groovée »
Il peut etre utilise pour comparer le groove avec le battement original, sans groove. Vous pouze etalement l'utiliser pour des bandes de notes individuelles, en desactivant I'elément « Activé » dans le menu pop-up Sélection du groove dans la liste des pistes - voir "Appliqueur des grooves à votre musique".
Bouton Édition
Cliquez sur ce bouton pour ouvrir la fenetre Outils flottante de Reason et afficher l'onglet Groove, dans lequel vous pouvez voir et éoperator les "Réglage du groove" supplémentaires pour chaque canal.
Chaque canal ReGroove dispose de ses propres réglages de groove etclinper sur le bouton Édition dans différents canaux replira la fenêtre Outils avec les réglages de groove spécifiques à ce canal.
Numéro de canal
Il s'agit d'une étiquette non modifiable de numéro de canal. Les canaux sont numérétés de 1 à 8 et groupés dans quatre banques (A-D). Les nombres de canal sont nommés en conséquence. Par exemple, A2 est le deuxième canal de la banque A et B5 le cinquième de la banque B.
Nom du patch de groove
Affiche le nom du patch de groove actuellément charged dans le canal. Si aucun patch de groove n'est chargeé, aucune nom n'apparait. Cliquez sur cette zone pour faire apparaitre la liste des patches du dossier actuel, comme pour les affichages de patch des modules du rack Reason.
Pour supprimer une affectation de patch de groove et réinitialiser le canal à ses valeurs par défaut, cliquez droit (Win) ou [Ctrl]-cliquez (Mac) sur le nom du patch de groove ou n'importe où sur l'arrière-plan du panneau ReGroove et sélectionné « Initialiser le canal » dans le menu contextuel.
Navigateur de patch de groove
Il vous permet de charger des patches de groove et de les parcourir, tout comme les patches de modules dans le rack Reason. Les patches ReGroove ont une extension .grov. Voir “Patches ReGroove dans la Reason banque de sons” plus loin dans ce chapitre, pour en apprendre plus sur les types de patches de groove fournis avec Reason.
Slide
Utilisez ce potentiometre pour faire glisser les notes en avance ou en retard. Les musiciens ajoutent souvent de l'énergie et de l'urgence à une piste en « préciptant » légèrement un battement ou un instrument particulier. De la même façon, ils peuvent « tirer » légèrement une note pour créé un feeling proche du shuffle, plus détendu. Le potentiometre Slide a une plage de ±120 marqueurs, ce qui vous permet de faire glisser les notes jusqu'à une triple-croche dans chaque direction. Le réglage sur des valeurs négatives permet de faire jouer les notes en avance (impression de précipitation). Le réglage sur des valeurs positives permet de faire jouer les notes plus tard (impression de lenteur).

Par exemple, si vous souhaitiez créé un groove prononcé, vous pourriez créé une bande de caisse claire et l'affector à un canal ReGroove avec une petite quantité de Slide positif. Cela permet de retarder légèrement la piste de caisse claire, donnant à votre musique un aspect détendu et relax.
Si you souhaitez precinctiter une piste (valeur Slide négative), nous you conseillons d'insérer une mesure vide au début de votre séquence, enPNANT garde de definir le point d'ancrage sur « 2 » (voir "Point d'ancrage"). Cela garantit que toutes les notes affectees à la mesure 1/au battement 1 joueront en effet en avance par rapport au battement (puisque vous avez create une mesure vide dans laquelle la note de depart peut etre décalée).
Shuffle
Le niveau de base de ce potentiametre permet d'ajouter un feeling de « swing » de double-croche au canal ReGroove. Une valeur de 50% donne un feeling régulier (pas de shuffle) et une valeur de 66% create un parfait feeling de triolet.

Le shuffle fonctionne en modifiant le départ de toutes les autres doubles-croches.

Une valeur de shuffle de 66 % retarde toutes les autres doubles-croches pour creer un parfait feeling de triolet.
Vouss pouvez également utiliser ce potentiemetre pour supprimer le shuffle d'un battement en entrant des valeurs inférieures à 50% . Par exemple, si vous aviez un enregistrement avec un feeling de triolet parfait et que vous régliez la valeur de shuffle sur 34% , cela rendrait sa régulariat à votre battement!
Intensité de groove
Utilisez ce fader pour ajuster l'intensité de modification des notes du patch de groove sélectionné. À 0 %, le patch de groove n'aaucun effet.À 100% ,le patch de groove aura son effet maximal. Il est évident que les valeurs entre ces deux extrêmes produit une certaine intensité d'effet de groove qui restera inférieure au maximum.
Comme nous le verrons dans “Réglage du groove” plus loin dans ce chapitre, plusieurs paramètres supplémentaires sont associés aux patches de groove et à leur façon de modifier des notes. La section Réglages de groove de la fenêtre Outils en particulier contient quatre réglages « d'impact » (timing, velocité, longueur des notes et mode aléatoire), et le fader d'intensité de Groove agit comme un fader « master » qui redimensionné ces quatre paramètres de façon proportionnelle.

Une intensité de groove de 100% modifie les notes en utilisant les réglages de groove tels qu'ils sont définis.
Une intensité de groove de 50 % modifie les notes à l'aide de tous les réglages de groove selon une intensité inférieure de moitié à celle définie.
Pré-alignment
L'activation de ce bouton engendre la quantification de toutes les notes entrantes sur une grille stricte de doubles-croches avant qu'aucune autre modification de groove ne leur soit appliquée. Cette quantification, qui s'effectue en temps réel et n'est pas destructrice, permet d'aligner facilement toutes les notes entrantes sur une grille « régulière » de façon à ce que toute modification de shuffle, slide ou groove ait l'effet escompté sur les notes.
Shuffle global
L'activation de ce bouton entraine l'utilisation du réglage « Shuffle global » par le canal de ReGroove plutôt que celle des réglages de shuffle qui lui sont propres. Le potentiamètre Shuffle du canal n'aura aucun effet lorsque le canal utilise le shuffle global. L'utilisation du shuffle global permet de synchroniser les notes dans un canal particulier avec celles des modules à pattern ( comme le séquenceur interne du Redrum, le séquenceur à pattern du Matrix et l'arpégiateur RPG-8), qui obtiennent tous leurs valeurs de shuffle à partir de celle du shuffle global.
Copier, coller et initialiser les canaux ReGroove
Pour copier une configuration de canal ReGroove dans une autre :
- Choisissez le canal ReGroove à partir duquel vous souhaitez copier, puis cliquez droit (Windows) ou [Ctrl]-cliquez (Mac) sur le nom de patch de groove (ou n'importe où sur ce canal, sauf directement sur un parametre). Un menu contextuel apparait.

- Sélectionnez « Copier le canal » dans le menu contextuel.
- Cliquez droit (Windows) ou [Ctrl]-cliquez (Mac) sur le nom de patch de groove du canal cible et selectionnez « Coller le canal » dans le menu contextuel.
Reason copie tous les réglages du canal ReGroove dans ce canal.
Pour initialisernan canal ReGroove :
- Cliquez croit (Win) ou [Ctrl]-cliquez (Mac) sur le nom de patch de groove (ou n'importe où sur ce canal, sauf directement sur un paramètre) pour ouvrir un menu contextualuel.
- Sélectionnez « Initialiser le canal » dans le menu contextuel.
Reason réinitialise tous les paramètres du canal à leur valeur par défaut.
Réglage du groove

Un patch de groove est constitué d'un modele de groove, qui contient des informations sur le timing et les dynamiques extraites d'une performance, ainsi que d'un ensemble de paramètres d'impact, qui déterminent avec qu'elle intensité le patch de groove applique les réglages du modele. Cette section aborde les réglages de l'onglet Groove de la fenêtre Outils, où tous les réglages du patch de groove apparaissent et peuvent être modifiés.
Canal de groove
Les réglages de groove affichent une voie de mixage à la fois. Pour désirer quel canal ReGroove est actuellément affché, Sélectionnez-le dans ce menu pop-up (ou cliquez sur le bouton Édition du canal dans le mixeur ReGroove).
Nom du patch de groove
Affiche le nom du patch de groove actuellément charged dans le canal. Si aucun patch de groove n'est charge, aucun nom n'apparait. Cliquez sur cette zone pour faire apparaitre la liste des patches du dossier actuel, tout comme pour les patches de module dans le rack Reason. Cette zone duplique les fonctions de la zone Nom du patch de groove de chaque canal du mixer ReGroove.
Charger/Enregisterr un patch de groove
Ces boutons vous permettent de charger et/ou d'enregistrer des patches de groove, tout comme les patches de module dans le rack Reason. Les patches ReGroove ont une extension .grov. Pour en apprendre plus sur les types de patches de groove fournis avec Reason, reportez-vous à “Patches ReGroove dans la Reason banque de sons”.
Longueur du patch de groove
Affiche la longueur du groove permettant de déterminer la fréquence de répétition du groove.
En général, si vous appliqueez différents patches de groove à différentes bandes de notes, nous vous recommendons de selectionner des multiples pour leurs longueurs respectives.
Par exemple, si canal ReGroove utilise un groove de quatre mesures, il apparait judicieux d'utiliser des grooves de quatre mesures pour les autres canaux ou, peut-être, un multiple de quatre ( comme des grooves de une, deux ou huit mesures).
Vouss pouvez, bien entendu, mélanger et faire correspondre des grooves de longueurs non standard, mais vous nevez rester vigilant quant à leur interaction. Par exemple, si un canal utilise un groove de trois mesures et un autre un groove de quatre mesures, la pattern de groove se repétera en fait toutes les 12 mesures (trois mesures fois quatre mesures).
Signature temporelle du patch de groove
Affiche la signature temporelle du groove et doit, dans la plupart des cas, correspondre à la signature temporelle de votre séquence.
En général, si vous appliqueez différents patches de groove à différentes bandes de notes, il serait bon qu'elles partagent une signature-temporelle commune.
Vouss pouvez, bien sûr, mélanger et faire correspondre des signatures temporelles pour creer des grooves polyrhythmiques, mais vous devez rester vigilant quant à leur interaction. Par exemple, un groove 6/8 décale les notes bien différemment d'un groove 4/4 ; aussi, leur application simultanée peut ou non donner le résultat escompté.
Impact de timing
Déterminé àquel point les informations de timing contenues dans le modele de groove affectent la position de vos notes.À 50% ,les notes sont déplacées a mi-chemin de la position définie dans le modele de groove. 100% signifie quelles sont déplacées aux positions exactes définies dans le groove, et 200% signifie qu'elles sont déplacées du double de cette distance.

Ce paramètre fonctionne avec le fader Intensité de groove du mixeur ReGroove, qui peut modifier l'impact de timing du groove.
Par exemple, si le fader Intensité de groove est défini à 100%, les notes sont alors déplacées selon l'intensité d'impact de timing indiquée et si le fader Intensité de groove est défini à 50%, les notes ne sont alors déplacées que de la moitié de cette intensité.
Impact de la velocité
Détermine àquel point les informations de velocité contenues dans le modele de groove affectent la velocité de vos notes. Les grooves ne modifiert que les différences relatives entre la velocité des notes, pas leurs valeurs absolues. Ainsi, les passages doux le demeurent et les passages forts restent des passages forts ; le groove ne fait qu'accentuer les notes différemment. Un réglage de 100% signifie que le feeling est plus ou moins transféré du modele à votre musique. Les valeurs inférieures significient que les dynamiques de groove affectent moins vos notes et les valeurs supérieures à 100% augmentent considérablement l'effet de dynamique du patch de groove.
Ce paramètre fonctionne avec le fader Intensité de groove du mixeur ReGroove qui peut modifier l'impact de la velocité du groove.
Par exemple, si le fader Intensité de groove est défini à 100%, la velocité des notes est alors modifiée de l'intensité de l'impact de velocité indiquée, mais s'il est défini à 50%, la velocité des notes ne sera modifiée que de la moitié de l'intensité indiquée.
Impact de la longueur des notes
Déterminé àquel point les informations de longueur de notes contenues dans le modele de groove affectent la longueur de vos notes. Ce réglage n'est pas toujours pertinent (c'est le cas des samples de batterie, qui sont toujours joués à leur longueur totale) et, en conséquence, la plupart des grooves dans la Factory Sound Bank ne contiennent pas d'informations de longueur de notes (à l'exception de la catégorie « Comp de basse »).
Cela dit, lorsqu'elle est appliquée à des instruments à sustain, la longueur de notes peut avoir un impact important sur le feeling de la performance. Les grooves ne modifiient que les différences relatives entre les longueurs de notes, pas leurs valeurs absolues. Ainsi, les passages en legato et en staccato conservent une partie de leur intention d'origine lorsqu'ils sont modifiés par un patch de groove.
Ce paramètre fonctionne avec le fader Intensité de groove du mixeur ReGroove qui peut modifier l'impact de la longueur de notes du groove.
Par exemple, si le fader Intensité de groove est défini à 100%, la longueur des notes est alors modifiée de l'intensité d'impact de longueur de notes indiquée, mais s'il est défini à 50%, la longueur des notes n'est modifiée que de la moitié de l'intensité indiqué.
Timing aléatoire
Déterminé àquel point les positions des notes sont aléatoires. Cette valeur définit la distance maximale à laquelle une note peut être déplacée de façon aléatoire (dans un sens soit positif, soit négatif). Vous pouvez définir une quantité entre 0 marqueurs (aucun processus aléatoire) et 120 marqueurs, ce qui permet de décaler les notes d'une triple-croche dans une direction ou dans l'autre.
L'effet est « polyphonique», ce qui signifie que les notes ayant une position de départ similaire à l'origine sont déplacées selon des quantités différentes. Il est également « semi-déterministe», ce qui signifie que si vous jouez un clip plusieurs fois, sans rien modifier, toutes les notes sont jouées à la même position à chaque fois. Cependant,ès que vous modifier le clip de quelque façon que ce soit, toutes les positions aléatoires sont recalculées.
Ce paramètre fonctionne avec le fader Intensité de groove du mixeur ReGroove qui peut modifier l'impact du processus aléatoire.
Par exemple, si le fader Intensité de groove est défini à 100%, les notes sont déplacées aléatoirement de la quantité indiquée par le timing aléatoire, mais s'il est défini à 50%, les notes ne sont déplacées aléatoirement que de la moitié de la quantité de timing aléatoire.
Obtenir depuis le clip
Ce bouton convertit les notes d'un clip sélectionné en patch de groove. Le patch peut alors être utilisé immédiatement dans la voie de mixage ReGroove ou enregistré sur le disque comme un nouveau patch de groove. Cliquer sur ce bouton produit le même effet que de sélectionner un clip et « Obtenir le groove depuis le clip » dans le menu Édition (ou contextuel). Voir “Créer vos propres patches ReGroove”.
Utilisation des grooves
Applique des grooves à votre musique
Suivez cet exemple pour apprendre les techniques fondamentales de mixage ReGroove et entendre l'effet que différents paramètres de groove produit sur votre musique.
- Si cela n'apparait pas deja dans le séquenceur ou le rack, ouvre le mixeur ReGroove en cliquant sur le bouton Mixeur ReGroove correspondant à droite du panneau de transport dans le séquenceur.

- Choisissez la bande de notes à laquelle vous allez appliquer le groove.
Pour obtenir un effet plus évident, la piste doit contenir un battement de batterie basé sur des doubles-croches régulières (et non pas à shuffle). Une bande de charley, par exemple, peut s'avérer un bon moyen de s'exercer.
- Utilisez le menu pop-up de selection du groove sur la bande de notes voulue pour router ces notes vers une voie de mixage ReGroove spécifique.

L'element « Activé » en haut du menu pop-up vous permet de désactiver le ReGroove pour des bandes de notes individuelles.
Cet outil est utile pour la comparaison avec le battement non grove d'origine. Si vous souhaitez utiliser cet outil pour plusieurs bandes de notes définies sur un canal ReGroove particulier, utilisez plutôt le bouton « On » du canal dans le mixeur ReGroove (voir “Bouton On”).
Pour désactiver le ReGroove pour une bande de notes, Sélectionnez « Aucun canal »
4. Dans le mixeur ReGroove, assurez-vous que le canal que vous utilisez est activé - le bouton On doit être allumé.
5. Pour entendre différentes possibilités, commencez par tourner vers le haut le potentiemetre Shuffle du canal lorsque vous jouez la séquence.

La musique de cette bande de notes (et de toute autre bande de notes assignée au même canal ReGroove) se met à jour avec un feeling de shuffle.
- Ramenez le potentiemetre Shuffle à sa position mediane (50%) et tournez le potentiemetre Slide du canal vers le haut pour entendre son effet.

Notez que, comme cela décale les notes de la même intensité, vous n'entendez aucun résultat sauf si vous jouez la piste parallèlement à une autre piste dont les notes ne sont pas décalées (ou avec le clic activé dans le séquenceur).
- Ramenez le potentiemetre Slide à sa position mediane (0 marqueurs), puis cliquez sur le bouton de navigation du canal et parcourez le dossier Patches ReGroove dans la Factory Sound Bank.

- Ouvrez le dossier Vinyl, Sélectionné le premier patch de groove de la liste et cliquez sur Ouvrir pour charger le patch de groove et fermez le navigateur.
- Augmentez le fader Intensité de groove du canal, à environ 80 %.

10.Cliquez sur le bouton Patch suivant pour parcouir les patches de groove du dossier et écouter les effets qu'ils produit sur votre musique.
11. Sur la voie de mixage ReGroove, cliquez sur le bouton Edit pour ouvrir les réglages du groove de cette voie dans la fenêtre Outils.
12. Déplacez les différents faders horizontally et écoutez l'effet que cela produit.
Notez qu'aucun des patches du dossier Vinyl n'utilise la longueur de notes ; aussi l'impact de la longueur de notes n'a-t-il aucun effet.
- Voupouvez appliquer des grooves à votre musique de nombreuses manières, aussi créatives qu'utiles. Voir "Trucs et astuces groovy" plus loin dans ce chapitre, pour connaître quelques suggestions de techniques.
Respecter le groove - rendre les grooves « permanents »
Lorsque you affectez un canal ReGroove à une bande de notes, cela n'afecte que la lecture des notes. Les notes conservent leur position d'origine sans groove si vous ouvrez le clip de notes.
Si vous souhaitez modifier des notes grovées (par ex. ajuster manuellement leur timing et leur velocité), il est utile, dans un premier temps, de déplacer les notes sur leur position de groove de façon permanente. La fonction « Respecter le groove » vous permet d'atteindre ce résultat :
- Sélectionnez la piste avec la ou les bande(s) de notes groovée(s).
- Sélectionnez « Respecter le groove » dans le menu Édition ou dans le menu contextuel de la piste.
Toutes les notes de toutes les bandes de la piste seront déplacées à leurs positions groovées et le menu pop-up Sélectionner le groove est réinitialisé sur « Aucun canal »
Si vous lisez la piste, elle sonnera exactement comme avant. Si vous regardez les notes en mode Édition, leur position, longueur et velocité correspondent désormais à ce que vous entendez.
Utiliser la fonction Respecter le groove sur certaines bandes uniquement
« Respecter le groove » affecte des pistes entières, y compris toutes les bandes de notes si plusieurs existent. Si vous ne souhaitez rendre permanent le groove que sur certaines d'entre elles, voici comme faire :
- Cliquez sur le menu pop-up Sélectionner le groove pour les bandes de notes qui doivent conserver le ReGroove, et désactive « Activé »
Cela bypassera le canal de ReGroove pour ces bandes de notes, mais conservera la selection du canal.

- Sélectionnez « Respecter le groove »
Seules les bandes de notes dont le ReGroove est activé seront affectées.
- Sélectionnez à nouveau « Activé » pour les bandes de notes qui doivent conserver le ReGroove.
Créer vos propres patches ReGroove
Pour créé vos propres patches ReGroove, procédez de la façon suivante :
- Créez un clip contenant des notes avec le timing et la dynamique (vélocité) désirés.
Vou puez également importer un fichier MIDI avec l'effet désire, ou utiliser la fonction « Vers la piste » d'un module Dr.REX pour extraire les notes d'une boucle REX.
Notez que certains clips MIDI donnent deilleurs grooves que d'autres.
Pour connaître certaines caractéristiques nécessaires à un clip pour obtenir un bon groove, voir "Astuces pour sélectionner les salariés clips pour creer un groove" plus bas.
- Sélectionnez le clip.
- Dans la section Groove de la fenetre Outils, selectionnez un canal de groove inutilise.
- Cliquez sur le bouton « Obtenir depuis le clip » en bas de l'onglet « Réglages de groove » de la fenêtre Outils.
Vou puez également selectionner « Obtenir le groove depuis le clip » dans le menu contextuel du clip.
- Définisse les différents paramètres d'impact à votre convenance.
Pour avoir un bon point de départ, vous pouze simplement les laisser à leur valeur par défaut.
- Cliquez sur le bouton Enregistrer le patch dans la section Groove de la fenetre Outils et donnez lui un nom et un emplacement.
Votre patch ReGroove est a present pret à l'emploi. comme cela est décrit dans "Appliquer des grooves à votre musique", routez simplement une ou plusieurs bande(s) de notes sur le canal ReGroove assigné à votre nouveau groove et augmentez le fader Intensité de groove pour ce canal.
Astuces pour sélectionner lesassageurs clips pour creer un groove
Les astuces suivantes vous aideront à vous assurer que vos grooves personnalisés fonctionnent le peux possible :
Insérez autant de doubles-croches que possible dans le clip source.
Si vous matériel source contient des écarts de doubles-croches, vous retrouvrez ces écarts dans votre patch de groove. Cela signifie que lorsque vous appliquez le groove à une bande de notes, certaines notes sont groovées et d'autres non (celles qui se trouvent dans les écarts).
Les grooves utilisent les différences relatives entre les velocités, pas leurs valeurs absolues.
Si vous ne souhaitez pas de modifications de dynamique importantes, évitez d'avoir un clip source dans lequel les velocités sont très variables.
Les patches de groove ont toujours un nombre exact de mesures; aussi, si votre clip source a une longueur qui ne tombe pas juste, le groove sera etendu à la mesure suivante.
Nous youe conseillons d'ajuster vrie clip source pour qu'il contienne un nombre exact de mesures avant de creer voire patch de groove.
En général, nous vous recommendons d'utiliser des clips sources dont la longueur est un multiple de deux (par exemple mesures de un, de deux, de quatre, etc.)
Vouss pouvez creer et utiliser des grooves qui ont une longueur impaire (3, 7, 13 etc.) mais a moins que vous ne soyez très organisé et comptiez utiliser ces grooves dans des morceaux polyrhythmiques spécifiques, leur effet général sur la plupart des pistes sera relativement imprévisible.
Trucs et astuces groovy
- Comme vous pouvez router chaque bande de notes vers l'un des 32 canaux ReGroove, la cléf pour créé des grooves réellement dynamiques est de disperser votre instrumentation à travers de nombreuses bandes de notes.
Par exemple, là vous ne créeriez normalement une série de Redrum avec uneGsse caisse, une caisse claire et un charley sur la meme piste, disposer ces elements sur differentes bandes you permittra de leur applier differentes grooves. Par example, you pouze router la bande de grosse caisse vers un canal ReGroove avec un léger shuffle, et envoyer la caisse claire vers un canal ReGroove qui décale les notes en avance pour « pousser » légèrement le contretemps. Répartir les éléments entre différentes bandes you permittra的真实ment de creator des battements possédant un meilleur feeling et une personnalité plott que de leur appliquer simplement un réglage de groove.
Voir "Extraire des notes vers des bandes" pour des conseils sur la répartition automatique de notes à partir d'une bande de notes sur plusieurs bandes de notes supplémentaires.
Lorsque you construisez un groove, commencez avec des éléments simples. Essayez d'ajuster le parametre Slide pour qu'il decale uniquement la caisse claire ou la charley en avance ou en retard.
Essayez d'appliquer des intensités sensiblement différentes de shuffle à différents instruments de percussion. De petites modifications peuvent parfois produit des effets très importants, utilisez donc vos oreilles (et non pas vos yeux) lorsque vous modifie les différents paramètres de groove.
- Essayez d'appliquer le même patch de groove à plusieurs bandes, en variant les intensités.
Vouss pouvez, bien entendu, appliquer librement differents patches de groove a différentes bandes. Cependant, la plupart du temps, le résultat sera plus brouillon que groovy. Les grooves les plus intéressants ont souvent l'implication humaine la plus subtile possible. - N'oubliez pas d'essayer d'envoyer des fichiers REX via le mixeur ReGroove.
En fonction du matériel dans le fichier et de la façon dont il est slicé, cela peut creer des résultats très variables - de l'inutilisable à la meilleure des inspirations.
- Si vous doublez les instruments - c'est à dire que deux instruments jouent exactement la même partition - essayez d'envoyer l'un des deux instruments vers un canal ReGroove qui a une légère valeur de timing aléatoire.
Le timing aléatoire (qui est accessible dans la section Réglages de groove de la fenêtre Outils) créera une séparation entre les deux instruments, rendant la performance plus humaine. Par exemple, si vous un clap doublant une caisse claire, appliquez un peu de timing aléatoire à la piste de clap, ce qui rendra le mixage plus clair. - Comme décrit précédemment sous l'intitulé “Point d'ancrage”, les grooves recommencent à chaque fois qu'apparait une nouvelle signature-temporelle.
Vous pouvez utiliser cette information pour forcer un groove à recommencer, ce qui peut être nécessaire si vous musique contient des sections de longueurs inégales. Ajoutez simplement un événement de signature temporelle, identique au type de signature temporelle utilisé pour le morceau. Le groove recommencerera là où l'évenement se déclença.
- Souvenez-vous que les patches de groove ont des impacts de timing et de velocité séparés et, de ce fait, que vous pouvez les appliquer indépendamment.
Par exemple, si vous avez déjà une piste qui a le bon timing de groove, mais que vous pouze essayer différentes dynamiques, vous pouze appliquer simplement la portion de velocité du groove en réglant son paramètre d'impact de timing sur 0. Les paramètres d'impact de timing et de velocité d'un groove sont accessibles en cliquant sur le bouton Édition d'un canal ReGroove, ce qui ouvre la section Réglages de groove de la fenêtre Outils.
Patches ReGroove dans la Reason banque de sons
Reason est fourni avec un assortment de patches de grooves prêts à l'emploi, organisés dans différents dossiers :
MPC-60
Ces grooves ont ete crees a partir de l'analyse de la sortie audio d'un Akai MPC-60. Utilisez-les pour obtenir la meme impression de shuffle que celle d'un MPC-60 original. Note que ces patches ne contiennent pas d'information de velocite ou de longueur de notes. Certains patches supplémentaires utilisent la fonction de timing alatoire, qui simule le comportement du MPC-60 d'origine lorsqu'il containait beaucoup d'informations.
Vinyl
Ces grooves ont ete crees en realisant le sampling des parties d'enregistements classiques de groove, en les analysant avec un outil de traitement du signal special, puis en extrayant a la fois les informations de timing et de velocite de ces samples. Ces grooves ne contiennent pas d'informations sur la longueur de notes.
Programmés
Ces grooves ont ete crees par un programmeur de groove de batterie. IIs ont ete crees specialement pour simuler le feeling de certains styles et sont repartis en deux genres : Hiphop et Pop-Rock. Ces grooves ne contiennent pas d'informations sur la longueur de notes.
Comp de basse, batteur et percussion
Les grooves de ces catégories ont été créés par des musiciens de studio. Leurs performances ont été enregistrées et analysées, et les informations de timing et de velocité ont été extraites de ces performances. Les patches de comp de basse contiennent également des informations de longueur de notes, bien que ce ne soit pas le cas des autres catégories.

REASON
Chapitre 17
Remote - litre et
contrôler des
modules
À propos des différentes entrées MIDI
Ce chapitre déscrit comment utiliser Remote pour configurer votre clavier maître et vos surfaces de contrôle, vous permettant de jourer les modules Reason, d'ajuster des paramètres et de contrôler différentes fonctions Reason. C'est la principale manière d'envoyer MIDI vers Reason, mais autres méthodes sont disponibles :
Utiliser ReWire 2.
ReWire you permit d'exécuter Reason avec une autre application, comme un séquenceur ou une station de travail audio numérique. ReWire 2 you permit d'envoyer MIDI depuis l'autre application directement dans les modules de Reason. Voir "Routage de MIDI via ReWire 2".
Utiliser les entrées de bus de contrôle externes.
Les entrées de bus de contrôle externes (définitions dans les Préférences : MIDI avancé et dans le module d'entrée MIDI de l'interface matérielles) vous permettent d'envoyer le MIDI directement vers les modules individuels du rack. Cela vous sert particulièrement si vous contrôlez Reason depuis un séquenceur externe, etc. Voir “À propos des entrées de bus de contrôle externes”.
Envoyer une horloge MIDI à Reason.
Cela vous permet de synchroniser le tempo de Reasonà d'autres modules. Voir "Synchronisation avec l'horloge MIDI".
À propos de Remote
Les entrées MIDI venant des surfaces de contrôle (clavier, unités de contrôle à distance, etc.) sont générées par un protocole appelé Remote. Le protocole Remote permet une intégration parfaite entre Reason et les modules de surface de contrôle. De façon générale, un système d'assignation fournit un contrôle manuel direct des paramètres pour chaque module Reason y compris le transport et la sélection des pistes du séquenceur!
Au moment où ce manuel est rédigé, Reason prend en charge un grand nombre de surfaces de contrôle et de cláviers - les boutons et les curseurs des modules sont automatiquement affectés aux paramètres de chaque module. Reason.
Les pilotes de Remote pour de nouvelles surfaces de contrôle seront ajoutés au fur et à mesure. Vérifiez sur les pages Web de Propellerhead si votre modèle ne figure pas dans la liste des Préférences - page des Claviers et surfaces de contrôle.
Le contrôle des modules Reason par Remote ne pourrait pas etre plus simple. Configurez Your surface de contrôle une fois pour toutes pour l'utiliser dans Reason et le programme se charge du reste !
Réglages
Ajouter une surface de contrôle ou un clavier
Voici comment ajouter vos surfaces de contrôle - y compris le clavier maître.
- Ouvrez la boite de dialogue Preférences et Sélectionnéz la page Claviers et surfaces de contrôle.
- Si votre surface de contrôle est connectée via USB (ou si vous avez effectué une connexion MIDI bidirectionnelle), essayez de cliquer sur le bouton Auto-detector les surfaces.
Reason parcourt tous les ports MIDI et essaire d'identifier les surfaces de contrôle connectées. Notez que toutes les surfaces de contrôle ne supportent pas l'auto-detection.

Toutes les surfaces trouvees sont affichées dans la liste Surfaces attachées.
- Pour ajouter une surface de contrôle manuellement, cliquez sur le bouton Ajouter.
Cela fait apparaitre une nouvelle boîte de dialogue.
- Sélectionnez le fournisseur de votre surface de contrôle dans le menu pop-up Fournisseur.
Si vous ne le trouvez pas dans le menu, reportez-vous ci-dessous.
- Sélectionnéz le contrôle de la surface de contrôle dans le menu pop-up Modèle.
Si vous ne le trouvez pas dans le menu, reportez-vous ci-dessous.
- Une image du modele de la surface de contrôle selectionné est affichée, souvent accompagnée d'un texte d'information : lisez-le attentivement.
Pour certaines surfaces de contrôle, vous devez selectionner un preréglage spécifique pour utiliser la surface avec Reason : c'est indiqué ici.

- Utilisez le menu pop-up Entrée MIDI pour selectionner le port d'entrée auquel vous avez connecté la surface. En cas de doute, vous pouvez cliquer sur le bouton Trouver et bouger un bouton ou journé une touche de la surface de contrôle pour que ReasonTrouve le port d'entrée MIDI correspondant.
Certaines surfaces de contrôle peuvent contenir plusieurs menus pop-up Entrée MIDI.
Vouces doivent seLECTIONner des ports dans tous les menus pop-up Entrée MIDI.
Certaines surfaces de contrôle ont également un menu pop-up Sortie MIDI. Dans certains cas, il est etiquete "Optionnel" - vous n'aurez donc pas de selection à faire. Dans les autres cas, une sortie MIDI est nécessaire. C'est le cas des surfaces de contrôle qui utilisent le feedback MIDI - faders motorisés, affichages, etc. Reportez-vous au document pdf sépare « Détails de la surface de contrôle » pour plus de détails.
Reason ne peut « saisir » que les entrées MIDI que vous utilisez réellement. Les entrées MIDI non sélectionnées ici ou dans la page MIDI avancé (voir “MIDI avancé - les entrées de bus de contrôle externes”) sont disponibles pour les autres programmes.
Notez que les autres programmes MIDI peuvent « saisir » tous les ports MIDI de votre système lors de leur lancement!
8. Si vous le souhaitez, vous pouvez renomer votre surface de contrôle dans la zone Nom.
9. Cliquez sur OK pour ajouter la surface.
Selon le modele de surface, des alertes peuvent apparaître, vous rappelant de selectionner un préréglage spécifique, etc.
Dans certains cas, Reason peut restaurer à votre place un préréglage de la surface de contrôle sur sa valeur par défaut. Si tel est le cas, vous en serez informé.
Enfin, vous returnez à la page Claviers et surfaces de contrôle dans les Préférences, où votre surface ajoutée apparait.
Si vous modèle de surface de contrôle n'apparait pas dans la liste
Si vous ne pouvez pas tracerer toute surface de contrôle dans le menu pop-up Fournisseur ou Modèle lorsque vous essayez de l'ajouter, cela signifie qu'il n'este pas de prise en charge intégrée pour ce modèle. Cependant, le programme supporte les claviers et contrôleurs génériques. Voici ce que vous doivent :
→ Sélectionnez « Autre » dans le menu pop-up Fournisseur et Sélectionnez ensuite l'une des trois options dans le menu pop-up Modèle.
Ou, si le fournisseur apparait mais pas votre modèle spécifique :
→ Sélectionnez l'une des trois options « Autre » dans le menu pop-up Modèle :
Dans les deux cas, les options sont les suivantes :
- Clavier MIDI classique
Selectionnez cette option si vous avez un clavier MIDI sans potentiametres, boutons ou curseurs programmables. Elle est uniquement utilisée pour jour (y compris les contrôleurs de performance comme le Pitch Bend, la roue de modulation, etc.) : vous ne pouvez pas ajuster les parametes de modules Reason avec ce type de surface de contrôle.
- Contrôleur MIDI
Selectionnez cette option si vous avez un contrôle MIDI avec des potentiomètres, boutons ou curseurs programmables (mais sans clavier).
Vouve devez configureraire surface de controle pour que les contrroleurs envoient les messages MIDI CC corrects, en fonction du module Reason que vous souhaitez contrcler - verifiez le diagramme d'implantation MIDI dans le dossier de documentation Reason. Si vous surface de controle contient des modles ou des preréglages pour differents modules Reason, ils peuvent etre utilisés.
- Clavier MIDI avec contrôleles
Selectionnez cette option si vous avez un clavier MIDI avec des potentiemètres, des boutons ou des curseurs programmables. A nouveau, vousdezéfinir vos contrôleurs pour qu'ilsenvoient des MIDI CC corrects.
Après avoir sélectionné un modele, continuez en sélectionnant un port d'entrée MIDI comme décrit ci-dessus.
À propos du clavier maitre
L'une des surfaces de contrôle peut être le clavier maître. Elle est comme les autres surfaces de contrôle, mais elle doit avoir un clavier et ne peut pas être verrouillée sur un module Reason spécifique (en d'autres termes, elle suit toujours l'entrée MIDI du séquenceur). C'est la surface que vous utilisez pour jourer les modules instrumentaux dans Reason.
La première surface avec un clavier qui est ajoutée (ou trouvée lors de l'auto-détection) est automatiquement sélectionnée en tant que clavier maître.
Cela est indiquedans la liste des surfaces attachées dans la page Preférences.
Si vous souhaitez utiliser une autre surface de contrôle en tant que clavier maître, Sélectionnez-la dans la liste et cliquez sur le bouton « En faire le clavier maître »
You ne pouvez avoir qu'une seule surface comme clavier maître à la fois.
Si vous ne souhaitez utiliser aucun clavier maître, Sélectionné la surface de clavier maître actuelle et cliquez sur le même bouton (qui est à présent étiqueté comme « Àucun clavier maître »).
Autres fonctions
Pour editorune surface,double-cliquez dessus dans laiste (ou selectionnez-la et cliquez sur Editor).
Cela vous permet de modifier son nom et ses réglages de port MIDI, le cas échéant.
Pour supprimer une surface, selectionnez-la et cliquez sur Supprimer.
Vous pouvez désactiver une surface en décochant sa case « Utiliser avec Reason »
Cela peut être utile si la surface est connectée à votre système mais que vous ne souhaitez l'utiliser qu'avac un autre programme, etc.
Il existe également une page « MIDI avancé » dans les Préférences. Elle est uniquement utilisée pour les bus de contrôle MIDI externes et pour l'entrée Synchronisation horloge MIDI. Tous les contrôles manuels MIDI sont définis dans la page Claviers et surfaces de contrôle.
Experiments de configurations
Il existe plusieurs façon de proceder lors duchioix du type de réglage que vous utilisez. Veuillez dire la suite.
Un seul clavier MIDI avec des contrôleurs
Avec cette configuration, le clavier est votre clavier maître, ce qui signifie qu'il est toujours routé via le séquenceur (il contrôle le module connecté à la piste du séquenceur avec l'entrée de clavier maître). Pour contrôler un autre module, vous déplacez l'entrée de clavier maître (le symbole de clvier dans la colonne d'entrée de la liste des pistes) vers une autre piste du séquenceur.
Vouss pouvez, cependant, utiliser les assignations de substitution pour contrcler des parametes d'autres modules Reason (ou les fonctions globales Reason comme le transport).
Un clavier MIDI classique et une surface de contrôle supplémentaire
Le clavier et la surface de contrôle devraient etre connectés à des ports MIDI séparés (ou utiliser des connexions USB séparées). Ici, le clavier MIDI classique est votre clavier maître ; il est utilisé pour jouer et enregistrer via le séquenceur. Vous pouez faire en sorte que la surface de contrôle suive le clavier maître - cela vous permet de régler les paramètre du module que vous jouez (tout comme dans l'exemple ci-dessus).
Voussouvez également verrouiller la surface de contrôle à un autre module du rack ; cela vous permet de jouer un module en ajustant les paramètres d'un autre.
Un clavier MIDI avec contrôle et une ou plusieurs surfaces de contrôle
Il s'agit de la configuration ideale ! A nouveau, tous les claviers et surfaces de contrôle devraient etre connectés à des ports MIDI séparés (ou utilisez des connexions USB séparées). Le clavier maitre est routé via la piste du séquenceur et vous pouze utiliser ses contrôles pour régler les paramètres du module que vous jouve. Les autres surfaces de contrôle peuvent etre verrouillées sur différents modules du rack.
Si vous avez d'autres claviers MIDI verrouillés dans les modules du rack, vous pouze également jour et enregistrer simultanément sur les pistes correspondantes du séquenceur. C'est idéal si votre groupe compte plusieurs claviers souhaitant jour et enregistrer leurs pistes simultanément dans Reason!
Vous pourriez également disposer de contrôles dédiés au transport, à Annuler/Rétablir, à la seLECTION de la cible d'édition des pistes MIDI du séquenceur, etc.
Bases de Remote
Les paramètres et fonctions pour chaque module Reason sont affectés aux contrôle des modules de surface de contrôle pris en charge. Dès que vous avez ajouté une ou plusieurs surface(s) de contrôle dans les Préférences, vous pouvez commencer à régler les paramètres!
- Par défaut, toutes les surfaces de contrôle connectées suivant l'entrée actuelle du clavier maître dans le séquenceur.
Cela signifie que vous définissez l'entrée du clavier maître sur une piste du séquenceur pour router la/les surface(s) de contrôle vers le module de la piste dans le rack. Vous pouze bypasser cette fonction en verrouillant une surface de contrôle sur un module spécifique - voir "Verrouiller une surface à un module". Ou vous pouze simplement utiliser les Assignations de substitution (voir "Assignations de substitution") pour des paramétres spécifique - ils seront alors affectés aux contrôleles sélectionnées qu'elle que soit l'entrée MIDI.
- Le module Reason connecté à la piste avec l'entrée du clavier maître aura ses paramètres affectés aux contrôles logiques (curseurs, boutons, etc.) sur le module de surface de contrôle.
Par ex. si un Subtractor a l'entrée du clavier maître, votre surface de contrôle contrôle lales paramètres les plus importants du Subtractor. Si vous définisse l'entrée de clavier maître sur une piste connectée à un NN-XT, la surface de contrôle contrôle lales paramètres du module NN-XT, et ainsi de suite pour chaque module. Des assignations standard existent également pour la plupart des modules - voir “À propos des variations d'assignation”.
! Veuillez vous reférer au document séparé « Détails de la surface de contrôle » pour des informations relatives aux modules.
- Les surfaces de contrôle prises en charge avec des contrôleurs de transport dédiés seront affectées aux contrôles de transport équivalents dans Reason.
Si vous n'vez pas de contrôleur de transport sur votre surface de contrôle, vous pouze toujours affecter les contrôleurs de transport aux contrôleurs en utilisant les assignations de substitution - voir "Assignations de substitution".
- D'autres fonctions importantes comme le changement de piste cible dans le séquenceur, la sélection des patches, ou Annuler/Rétablit peuvent également être contrôlees à distance.
Voir "Assignnations de substitution supplémentaires...".
A propos des assignations standard et de substitution
Les paramètres Reason sont « affectés de façon standard » pour les modules de surface de contrôle pris en charge. L'utilisateur n'a rien à faire pour contrôle à distance tout module Reason. Vous pouvez cependant utiliser les assignations de substitution pour affecter un paramètre spécifique à un contrôle spécifique si vous le souhaitez.
En utilisant les assignations standard, le contrôle à distance de chaque module sera le même pour tout nouveau morceau créé dans Reason, vous donnant le même ensemble de surfaces de contrôle.
Si vous utilisez les assignations de substitution (voir "Assignations de substitution"), les substitutions seront enregistrées avec le morceau, mais ne seront pas choses si vous créez un nouveau morceau.
Les paramètres et les fonctions qui sont assignés de façon standard pour chaque module Reason dépendant de la ou des surface(s) de contrôle.
Le document « Détails de la surface de contrôle » contient certaines informations à propos des assignations standard des différents modèles de surface de contrôle. Mais vous pouvez également activer le mode Édition des assignations de substitution pour voir quels paramètres de chaque module sont assignés à votre ou vos surface(s) de contrôle - voir “Assignations de substitution”.
Notez que si vous avez plusieurs surfaces de contrôle connectées, certains paramètres pourraient être assignés à des contrôleurs sur plus d'une surface de contrôle.
Il ne s'agit pas d'un conflit mais simplement d'une conséquence liée au fait que toutes les surfaces de contrôle par défaut suivant l'entrée du clavier maître. En utilisant le verrouillage de surface (voir ci-dessous), ou les assignations de substitution (voir "Assignations de substitution"), vous avez un contrôle total de vos surfaces de contrôle.
À propos des variations d'assignation
Comme il y a souvent plus de paramètres sur un module qu'il n'y a de contrôle sur une surface de contrôle, des variations d'assignation standard sont disponibles pour la plupart des modules. Lorsque vous Sélectionné une variation d'assignation standard, un nouvel ensemble de paramètres est assigné aux contrôle de votre surface de contrôle pour un module Reason sélectionné.
Par exemple, si vous avez une surface de contrôle avec 8 boutons rotatifs routée à un Subtractor, ces boutons peuvent contrôler les paramètres du filtré par défaut. En sélectionnant la variation 2, vous pourriez leur faire contrôler les réglages de l'oscilateur, quand la variation 3 leur ferait contrôler les LFO, et ainsi de suite.
Pour les modules qui prenrent en charge les raccourcis clavier, vous basculez entre les variations d'assignation en utilisant [Ctrl] + Alt ou [Cmd] + Option et les touches numériques [1] à [10] (pas sur le pavé numérique), où [1] Sélectionne l'assignation standard par défaut.
Le nombre de variations d'assignation disponible dépend de la surface de contrôle et du module Reason Sélectionné. La variation sélectionnée sera toujours active jusqu'à ce que vous changiez l'entrée MIDI vers un autre module (ou que vous sélectionniez une autre variation). Si vous revenez au même module, il aura toujours la même assignation standard par défaut (variation [1]).
Pour les surfaces de contrôle qui ont des contrôleles dédiés pour selectionner les variations d'assignation, ils peuvent être utilisés à la place des raccourcis clavier.
Les modules verrouillés (voir "Verrouiller une surface à un module") peuvent également être verrouillés sur une variation d'assignation spécifique.
Verrouiller une surface à un module
Vous pouvez verrouiller une surface de contrôle ou un clavier/contrôleur MIDI supplémentaire à un module spécifique pour qu'il soit toujours « régable»,quelle que soit la piste qui a l'entrée du clavier maître dans le séquenceur. Cela vous permet de jourer et d'enregistrer des notes pour plusieurs modules simultanément à partir de plusieurs surfaces de contrôle/claviers.
Le module du clavier maître ne peut pas etre verrouillé!
Si vous sélectionné le clavier maître dans les Préférences, vous pouvez cliquez sur le bouton « N'utiliser aucun clavier maître ». Vous pouvez alors verrouiller cette surface de contrôle pour un module et utiliser ses contrôleurs pour régler les paramètres, mais vous ne pourrez pas jouer le module.
- Vous pouvez verrouiller plusieurs surfaces de contrôle au même module.
Cependant, chaque surface de contrôle ne peut etre verrouillée qu'a un module à la fois. - Les informations concernant les modules verrouillés (et àquelles surfaces de contrôle) sont enregistrées dans le morceau.
Verrouiller une surface
Il existe deux méthodes fondamentales que vous pouvez utiliser pour verrouiller une surface :
En utilisant la boite de dialogue Verrouillage de surface
1. Sélectionnez « Verrouillage d'une surface... » dans le menu Options.
La boîte de dialogue Verrouillage de surface s'ouvre.

Dans cette image, la boîte de dialogue contient le clavier maître sélectionné comme surface de contrôle ne pouvant être verrouillée.
2. Déroulez le menu pop-up Surface en haut de la boîte de dialogue et Sélectionnez la surface de contrôle que vous souhaitez verwrouiller à un module.

3. Ensemble, ouvre le menu pop-up « Verrouiller sur le module »
Dans ce menu pop-up, tous les modules du morceau actuel sont affichés. L'élément « Suivre le clavier maître » qui est sélectionné par défaut signifie que la surface de contrôle n'est pas verrouillée (à la place, elle suit l'entrée du clavier maître dans le séquenceur).

4. Sélectionnez le module auquel vous souhaitez verrouiller la surface de contrôle dans la liste.
Si la surface de contrôle sélectionnée prend en charge les raccourcis clavier pour la sélection des variations d'assignation (voir "À propos des variations d'assignation") le menu pop-up supplémentaire « Toujours utiliser l'assignation » apparait.
Dans ce menu pop-up, vous pouvezCHOISIR de verrouiller une variation d'assignation standard specifie ou de permettre au module de modifier des variations d'assignation en fonction des raccourcis clavier. Dans le premier cas, selectionnez la variation d'assignation dans la liste. Dans ce dernier cas, selectionnez « Suivre les raccourcis clavier »

- Fermez la boîte de dialogue quand vous avez terminé.
Le module est à présent verrouillé à la surface de contrôle sélectionnée. Dans le mode Édition des assignations de substitution (voir "Activer le mode Édition des assignations de substitution") un module verrouillé apparait avec un symbole de verrou dans le coin supérieur gauche du panneau du module.

- Vous pouvez également verrouiller une surface de contrôle au mixeur ReGroove (voir "Le mixeur ReGroove") pour contrôle ses paramètres via Remote!
Enutilisantle menucontextuel
Vous pouvez verwrouiller les modules rapidement en effectuant un clic droit (Win) ou un [Ctrl]-clic (Mac) sur le panneau d'un module pour faire apparaitre le menu contextuel.
Dans le menu contextual, toutes les surfaces de contrôle installées (en dehors du clavier maître) sont affichées avec le texte « Verrouiller sur » suivi du nom de la surface de contrôle. Une selection entraîne le verrouillage du module sur la surface de contrôle. Dans le menu contextual, la surface de contrôle qui est actuellement verrouillée sur ce module sera cochée.

Déverrouiller une surface
Pour déverrouiller un module verrouillé, faites apparaitre le menu contextuel du module verrouillé et décochez l'élement « Verrouiller sur ».
Cela déverrouille le module et la surface de contrôle suitès lors l'entre du clavier maître.
Pour déverrouiller une surface, vous pouvez également ouvrir la boîte de dialogue Verrouillage de surface et Sélectionner « Suivre le clavier maître » dans le menu pop-up « Verrouiller sur le module »
Assignnations de substitution
Les assignations de substitution vous permettent d'assigner des paramètres ou des fonctions à des contrôleires de votre surface de contrôle, écrasant les assignations standard.
Activier le mode Édition des assignations de substitution
1. Sélectionner « Mode Édition des assignations de substitution » dans le menu Options.
Tous les modules non sélectionnés dans le rack sont grisés, indiquant le mode Édition. Chaque module sélectionné (y compris le panneau de transport) affiche un symbole en forme de flèche bleue sur chaque paramètre qui peut être assigné à un contrôle d'une surface de contrôle.

Mode Édition des assignations de substitution activé avec le module de mixeur sélectionné.
Pour pouvoir voir quels paramètres sont actuèlement assignés à un module, vous doivent diriger l'entrée du clavier maître sur la piste du séquenceur à laquelle elle est connecté :
2. Sélectionnez un module dans le rack et activez l'entrée du clavier maître pour sa piste du séquenceur.
Les paramètres à assignation standard sont affichés avec un symbole de potentiationaire jaune.

Subtractor avec paramètres à assignation standard
Notez que vous pouvez également seLECTIONner le panneau de transport!
La plupart des éléments du panneau de transport peuvent être assignés aux contrôles. Notez qu'en sélectionnant le panneau de transport, toute assignation standard sera automatique affichée, contrairement à d'autres modules pour lesquels vous doivent d'abord diriger l'entrée du clavier maître vers le module du séquenceur.
Si vous placez le pointeur de la souris sur un paramètre assigné de façon standard, une info-bulle apparait affichtant àquel contrôle de la surface de contrôle le parametre du module est assigné.

Assignnations de substitution
Si le mode Édition des assignations de substitution est activé, vous pouvez utiliser les méthodes suivantes pour assigner un paramètre à un contrôle :
Méthode 1 :
- Sélectionné le paramètre que vous souhaitez assigner.
La flèche (ou potentiomètre) devient orange, indiquant qu'il est sélectionné.
- Sélectionnez « Éditer les assignations de substitution... » dans le menu Édition.
Voussouspuezegalement [Ctrl]-clquier (Mac)/clquier-droit(PC) sur le parametre pour selectionnerle même element dans le menucontextuel.
La boîte de dialogue « Édition des assignations de substitution » s'ouvre. A partir de là, vous pouvez procéder de deux manières :

Vous pouvez selectionner manuellement la surface de contrôle et le contrôle que vous souhaitez assigner au parametre à l'aide des deux menus pop-up correspondants.
Le menu pop-up Surface de contrôle affiche tous les modules de surface de contrôle installés et le menu pop-up Contrôles affiche tous les contrôles assignables pour la surface de contrôle sélectionnée.
Vous pouvez également activer « Apprendre depuis l'entrée de la surface de contrôle » et simplement bouger (ou appuyer sur) le contrôle que vous souhaitez assigner au paramètre.
La zone « Activité de la surface de contrôle » clignote momentanément lorsque vous tournez le potentiomètre, puis la boîte de dialogue affiche la surface de contrôle et le contrôle à laquelle elle est assignée.
Si la surface de contrôle a un clavier, vous pouvez égalementCHOISIR des notes comme contrôles.
Les notes fonctionnent exactement comme des boutons on/off. Si « Clavier » est sélectionné dans le menu pop-up Contrôles, une zone Numéro de note apparait dans la boîte de dialogue.
- Cliquez sur OK pour fermer la boite de dialogue.
Le paramètre assigné montre à présent une icône en forme d'éclair, indiquant qu'il utilise une assignation de substitution. Toutes ces assignations sont affichées dans le mode Édition des assignations de substitution. Le module n'a pas besoin d'être sélectionné ou d'avoir l'entrée du clavier maître dans le séquenceur.

- Pour quitter le mode Édition des assignations de substitution, désélectionnez-le dans le menu Options.
Vou陏 quitter ce mode en appuyant sur [Echap].
Méthode 2 :
- Double-cliquez sur le parametre que vous souhaitez assigner.
Un éclair tournant sur lui-même apparait pour le paramètre, ce qui indique que le mode « Apprendre depuis la surface de contrôle » est activé. Vous pouvez quitter ce mode en appuyant sur [Echap].
- À présent, déplacer (ou appuyez sur) le contrôle auquel vous souhaitez assigner le paramètre.
Le paramètre est à prisent assigné au contrôle.
Vou n'avez pas toujours besoin d'éditer les assignations de substitution lorsque le mode Édition des assignations de substitution est activé (voir ci-dessous).
Assignnations de substitution quand le mode Édition des assignations de substitution est désactivé
Si le mode Édition des assignations de substitution est activé dans le menu option, les paramètres assignés sont « marqués », et les indicateurs en forme de flèche montrent les paramètres pouvant être affectés. Dans ce mode cependant, vous ne peuvent pas utiliser Reason normalement. Le mode Édition des assignations de substitution est avant tout une prévisualisation des paramètres disponibles et de leurs assignations actuelles.
Vous pouvez également assigner des paramètres en désactivant le « Mode Édition des assignations de substitution » dans le menu Options, et de simplement [Ctrl]-cliquer (Mac) ou clquer-droit (PC) sur le paramètre que vous souhaitez contrôle à distance.
Cela ouvre un menu pop-up, dans lequel une des options sera « Édition des assignations de substitution ». La sélection de cette option entraine l'ouverture de la boîte de dialogue Édition des assignations de substitution. Ainsi, vous n'avez pas besoin de selectionner le mode Édition dans le menu Options si vous savez déjà qu'un paramètre est libre et assignable.
Supprimer des assignations de substitution
Pour un paramètre sélectionné, vous pouvez procéder de la manière suivante :
- Dans le Mode Édition des assignations de substitution, Sélectionnez le paramètre pour lequel vous souhaitez supprimer les assignations de substitution.
L'éclair devient orange, indiquant qu'il est scélectionné.
- Sélectionnez « Supprimer les assignations de substitution... » dans le menu Édition.
Vouss pouvez également [Ctrl]-cliquer (Mac) / cliquer-droit (PC) sur le paramètre pour sélectionner le même élément dans le menu contextual. Cet élément est toujours disponible, que le mode Édition des assignations de substitution soit activé ou non.
Ou vous pouvez supprimer toutes les assignations de substitution d'un module en une seule fois :
- Sélectionnez le module pour lequel vous souhaitez supprimer les assignations de substitution.
- Sélectionnez « Supprimer toutes les assignations de substitution pour le module » dans le menu Édition.
Vou puez egalent [Ctrl]-clquer (Mac) ou cliquer-droit (PC) sur le panneau du module pour selectionner le même element dans le menu contextuel.
Copier/Coller les assignations de substitution
Youou poce copier les assignations de substitution pour un module et les coller dans un module du même type.
Cette opération fonctionne comme suit :
- Àpèras avoir activé le mode Édition des assignations de substitution, Sélectionnez le module à partir duquel vous souhaitez copier les assignations de substitution puis Sélectionnez « Copier les assignations de substitution » dans le menu Édition.
Voussoupiezegalement [Ctrl]-clquer (Mac) ou cliquer-droit(PC)sur le panneau du module pour selectionnerle même element dans le menu contextual.
- Sélectionnez le module sur lequel vous souhaitez coller les assignations copiées.
Il doit s'agir du même type de module à partir duquel vous avez copié. Au cas où vous avez copié les assignations de substitution depuis le panneau transport, vous ne pouvez les coller que dans un autre document du morceau.
- Sélectionnez « Coller les assignations de substitution » dans le menu Édition.
Voici ce qui se produit :
Si vous collez les assignations dans un module du même document du morceau, une boîte de dialogue apparaît vous informant que les assignations sont déjà utilisées.
Voues aez alr le choix dannuler l'operation, ou de deplacer les assignations existantes vers le nouveau module.
Si vous collez les assignations dans un module d'un autre morceau, les assignations de substitution copiées sont simplement collées.
Dans ce cas, les assignations de substitution originales ne sont pas affectées.
Assignnations de substitution supplémentaires...

Le menu Options contient un élément appelé « Assignations de substitution supplémentaires... ». La sélection de cette fonction ouvre une boîte de dialogue avec des fonctions à distance qui ne peuvent pas être assignées en utilisant le mode Édition des assignations de substitution, comme le basculement entre les pistes cible, Annuler/Rétablier, etc.
Bien que la plupart des éléments dans cette boite de dialogue parlent d'eux-mêmes, certains ont besoin d'être décrits. Il s'agit des fonctions suivantes :
Piste cible Delta et piste cible précédente/suivante
La piste cible correspond à la piste avec entrée du clavier maître.
L'assignation de la piste cible precedente/suivante à deux boutons de contrôle d'une surface de contrôle vous permet de déplacer le symbole de l'entrée du clavier maître vers le haut ou le bas de la liste des pistes.
La piste cible Delta est prévue pour utiliser les contrôleurs à roue Delta (un contrôleur spécial sans étendue maximale ou minimale) pour basculer la piste cible.
Une jog wheel Mackie est un exemple de ce type de contrôleurs.
La selection de la piste precedente/suivante peut etre assignee a des boutons de contrôle standard.
Sélection du patch pour le module cible et Sélection du patch précédent/suivant pour le module cible
Le module cible correspond au module connecté à la piste cible.
La selection de patch est généralement assignée de façon standard aux boutons d'une surface de contrôle.
Si vous souhaitez écraser cette assignation standard de la sélection de patch pour les modules dans le but général de selectionner les patches pour n'importe quel module à patch qui dispose actuellément de l'entrée du clavier maître, vous pouvez l'assigner ici.
Par exemple, il se peut que vous souhaitiez toujours utiliser les mêmes boutons d'une surface de contrôle pour la sélection de patches.
La selection du patch pour le module cible est également censée être assignée à un contrôle de type Delta (voir ci-dessus).
Cela vous permet de selectionner les patches pour un module connecté à la piste cible en faisant tourner la roue dans le sens des aiguilles d'une montre ou dans le sens contraire.
La selection du patch precedent/suivant peut etre assignee a des boutons de contrôle standard.
Sélectionner la variation de raccourci clavier (Delta) ou Sélectionner la variation de raccourci clavier précédente/suivante
En assignant des contrôle à ces fonctions, vous pouvez utiliser votre surface de contrôle pour modifier la variation de raccourci clavier sélectionnée dans Reason.
- Les fonctions « Précédent/Suivant » sont généralement assignées à des boutons, vous permettant de parcourir les variations de raccourci clavier.
- La fonction Delta doit être assignée à un contrôle de type Delta pour fonctionner.
- La sélection de variation de raccourci clavier est un réglage global dans Reason. Il affecte toutes les surfaces de contrôle ajoutées (si elles utilisent des variations de raccourci clavier et ne sont pas verrouillées à un module et une variation spécifique dans la boîte de dialogue Verrouillage de surface).
Annuler/Rétabir
Vou puez assigner Annuler/Retablir a des contrôles. Cela fonctionne comme les éléments correspondants du menu Édition.
Nom du document
Cela vous permet d'afficher le nom du morceau dans l'affichage de la surface de contrôle. Cela ne fonctionne que pour les surfaces de contrôle qui prennent en charge cette fonction.
Assignnations de substitution supplémentaires
Les assignations de substitution dans cette boite de dialogue sont similaires aux assignation de substitution standard :
- Sélectionner une fonction ou un paramètre dans la liste que vous souhaitez assigner à un contrôle et cliquez sur « Éditer »
La boîte de dialogue Édition des assignations de substitution s'ouvre alors et vous pouvez assigner un contrôle à la fonction ou au paramètre sélectionné(e). Vous pouvez également double-cliquer sur l'élement dans la liste pour ouvrir la boîte de dialogue.
- Cliquez sur OK pour fermer la boite de dialogue.
Supprimer les assignations supplémentaires
- Sélectionnez « Assignations de substitution supplémentaires » dans le menu Options.
Dans la colonne Assignation, vous pouvez voir les paramètres et fonctions qui utilisent des assignations de substitution.
- Sélectionnez l'élement ayant actuellement une assignation de substitution et cliquez sur « Supprimer »
Raccourcis clavier
L'assignation de commandes à distance de clavier ne fait pas appel à MIDI ; aussiaucun réglage particulier n'est nécessaire. Les raccourcis clavier peuvent être assignées à des paramètres tout comme avec les assignations de substitution, mais la fonctionnalité diffère d'un point important :
- Les commandes de raccourcis clavier ne peuvent être utilisées que pour activer/désactiver ou attribuer des valeurs minimales/maximales pour un paramètre assigné.
De ce fait, si vous assignez une commande clavier à distance à un potentiemètre, un curseur ou un bouton fléché, il ne pourra basculer qu'entre les valeurs maximale et minimale de ce paramètre. La seule exception concerne les boutons de selection multiple utilisés par de nombreux paramètres comme les destinations d'enveloppe, par exemple. Cela permet le parcours des options disponibles lors de l'utilisation des raccourcis clavier.
! Notez que les raccourcis clavier ne peut pas etre utilise pour les parametes du ReGroove Mixer.
Activer les raccourcis clavier
Pour activer les raccourcis clavier, selectionné « Activer les raccourcis clavier » dans le menu Options.
Édition des raccourcis clavier
Pour avoir une vue d'ensemble des paramètres contrôlables à distance, Sélectionnez « Mode Édition des raccourcis clavier » dans le menu Options.
Lorsque c'est fait, chaque module que vous sélectionné dans le rack affiche un symbole en forme de flèche jaune à côté de chaque paramètre pouvant être assigné à un raccourci clavier.

Section d'une boîte à rythme Redrum avec Mode Édition des raccourcis clavier acté.
Si vous cliquez sur un parametre pouvant etre affecte pour le selectionner, vous pouvez ensuite selectionner « Edition des raccourcis clavier » dans le menu Edition.
Une boite de dialogue s'ouvre alors et vous permet de selectionner un raccourci clavier pour ce parametre.
Vouss pouvez utiliser toute touche en dehors de la [barre d'espace], [Tab], [Entrée] ou le pavé numérique (qui est réservé aux fonctions de transport) et les touches de fonction (sauf [F2] et [F3]) ou une combinaison [Maj] + une touche (avec les mêmes restrictions).

La boîte de dialogue Raccourcis clavier.
Appuyez simplement sur la touche (ou combinaison avec la touche Maj) que vous pouze utiliser pour contrôler le paramètre à distance.
La zone « Touche proposée » indique momentanément qu'elle « apprend » la ou les touche(s), puis la boîte de dialogue affiche le nom de la touche que vous avez pressée. Si [Maj] a été utilisé, la case située à côté du mot Maj est cochée dans la boîte de dialogue.
Voussoupiezegalementdouble-cliqueur surlaflèche pour un paramètre pouvantetre affectéafin dedéfinirleraccourciclavier:
Un rectangle jaune tournant sur lui-même apparait, indiquant le mode Apprentissage. Appuyez sur la touche (ou la combinaison de touches) que vous souhaitez utiliser pour contrôler le paramètre.
La rotation s'arrête et le rectangle affiche alors la touche ou la combinaison de touches utilisé.
À propos des deux Modes Édition des raccourcis clavier
Si le Mode Édition des raccourcis clavier est activé (coché) dans le menu Options, les paramètres assignés dans le rack sont « marqués », affichtant le raccourci clavier pour ce paramètre. Dans ce mode cependant, vous ne pouvez pas utiliser Reason normalement. Ce mode sert principalement de vue d'ensemble des paramètres disponibles et de leurs assignations actuelles.
Une autre façon d'assigner une commande à distance consiste à désélectionner « Mode Édition des raccourcis clavier » dans le menu Options, et de simplement cliquer droit (Windows) ou [Ctrl]-cliquer (Mac) sur le paramètre que vous souhaitez contrôle.
Cela ouvre un menu pop-up, dans lequel l'une des options est « Édition des raccourcis clavier ». Cette seLECTION ouvre la boîte de dialogue Raccourcis clavier. Ainsi, vous n'avez pas besoin d'activer/de désactiver le mode Édition du menu Options si vous savez qu'un paramètre peut être affecté.
! Il s'agit de la seule option permettant d'affector des paramètres de bande de canal du mixeur principal aux raccourcis clavier.
Enregistrer les réglages de Remote
Il est inutil d'enregistrer les assignations MIDI, car les assignations standard pour chaque module Reason de surfaces de contrôle prises en charge sont intégrées et toujours disponibles. Vous pouvez cependant souhaiter enregistrer des assignations de substitutions ou des réglages de raccourcis clavier spécifiques comme modele :
Vous pouvez le faire en enregistrant un document du morceau contenant tous les modules qui sont affectés par la touche clavier ou les assignations de substitution correspondantes, mais sans aucune donnée de séquenceur.
Le document du morceau peut alors être utilisé comme point de départ pour tout nouveau morceau, en le chargeant simplement et en utilisant immédiatement « Enregistrer sous » pour l'enregistrer sous un nouveau nom.

REASON
Chapitre 18
ReWire
À propos de ce chapitre
Ce chapitre déscrit la façon d'utiliser Reason comme esclave ReWire, c'est à dire lorsque Reason fournit l'audio à une autre application compatible ReWire. L'utilisation combinée de Reason et ReBirth est désrite dans "Machine d'entrée ReBirth (Windows uniquement)".
Pourquoi utiliser Reason avec ReWire ?
Meme si Reason est un outil musical complet et autonome, vous pouze avoir envie d'ajouter d'autres éléments à votre musique, comme les éléments suivants :
Audio.
Synthétiseurs logiciels (plug-ins contrôlés via MIDI).
- Synthétiseurs matériels (contrôlés via MIDI).
La connexion de Reason à une autre application vous permet d'intégrer vos morceaux Reason avec d'autres types de musique et d'enregistrements, des instruments MIDI externes etc. En enregistrant des pistes Reason sur des pistes audio dans, vous pouvez également continuer àrialier vos pistes Reason avec d'autres plug-ins et/ou effets externes de logiciels.
Introduction à ReWire!
Pour rendre possible cette intégration entre deux logiciels audio, Propellerhead Software a développé ReWire. Cette technologie offre les possibilités et fonctions suivantes
Dans ReWire version 1
- Streaming en temps réel des canaux audio séparés, avec une bande passante totale, dans un autre programme audio.
- Synchronisation automatique avec précision des samples entre l'audio des deux programmes.
- Possibilité de partage de la carte son entre les deux programmes.
- Contrôle du transport lié permettant de dire, rembobiner, etc. depuis l'un des deux programmes.
- Configuration minimale requise moindre que lors de l'utilisation simultanée des deux programmes de façon classique.
Dans ReWire 2
De nombreuses fonctions ont ete ajoutees dans ReWire version 2. Les suivantes sont les plus importantes :
- Jusqu'à 256 canaux audio (contré 64 précédement).
- Communication MIDI bi-directionnelle jusqu'à 4080 canaux MIDI (255 modules avec 16 canaux chacun).
- Fonctions de requête et de lien automatique qui (entre autres choses) permettent à l'hôte d'afficher les modules, contrôleurs, sons de batterie etc. de l'esclave par nom.
CommentILA fonctionne-t-il?
L'essential de ReWire réside dans le fait que Reason est divisé en trois composants :
- L'application Reason.
- Le moteur Reason (une DLL sur PC et un fichier Shared Library sur Macintosh. Les deux se trouvent dans le dossier de programme Reason).
- ReWire (également une DLL sur le PC et un fichier Shared Library sur Macintosh).
ReWire et le moteur Reason sont des ressources communés aux deux programmes (l'autre application et Reason) qui générent l'audio et le transmettent dans l'autre application audio.
Terminologie
Dans ce texte nous appelons Reason un esclave ReWire et l'application recevant l'audio de Reason (il peut s'agir de Steinberg Cubase, Emagic Logic Audio ou MOTU Digital Performer par exemple) devient l'application hôte.
A propos de la configuration minimale
L'utilisation de Reason en parallèle avec une autre application audio augmente bien évidemment la demande en termes de puissance d'ordinateur. Cependant, l'ajout de ReWire ne nécessite pas, en soi, un ordinateur plus puissant. Au contraire, il est probable que les deux programmes ReWiring nécessitant moins de puissance que leurexecution séparée, par exemple, avec une carte son chacun.
Voude neanmoins savoir que l'utilisation de deux applications audio puissantes sur un même ordinateur nécessite un processeur rapide etURTout une grande quantite de RAM.
À propos de la synchronisation
Toute synchronisation avec un autre matériel est prise en charge par l'application hôte et non par Reason. En réalité, il n'y a pas de problèmes de synchronisation à proprement parler. Tout ce qui est indiqué dans la documentation de l'application hôte concernant la synchronisation des canaux audio concerne également les canaux ReWire.
Pour des informations sur la synchronisation de l'horloge MIDI sans l'utilisation de ReWire, reportez-vous à "Synchronisation avec l'horloge MIDI".
Lancement et fermeture d'applications
Lorsque vous utilisez ReWire, l'ordre dans lequel vous lancez et quittez les applications est très important :
Lancement pour une utilisation normale avec ReWire
- Lancez d'abord l'application hôte.
- Lancez ensuite Reason.
Fermer une session ReWire
Lorsque vous avez terminé, vous devez également quitter les applications selon un ordre précis :
- Quittez d'abord Reason.
- Quittez ensuite l'application hote.
Lancez l'application hôte pour une utilisation sans Reason ou ReWire
Si vous ne comptez pas utiliser Reason, lancez simplement l'application hôte comme d'habitude. Nous vous recommandons également de désactiver ensuite les canaux ReWire si nécessaire (voir la section correspondant à votre programme, plus bas). Mais cela n'est pas essentiel ; ReWire n'utilise que très peu de puissance de calcul lorsqu'il n'est pas utilisé.
Lancer Reason pour une utilisation sans l'application hôte
Si vous souhaitez utiliser Reason tel quel, sans ReWire, lancez-le simplement de la façon habituelle.
Lancer les deux programmes sans utiliser ReWire
Nous ignorons ce qui vous conduirait à lancer Reason et une application hôte ReWire en même temps, sur le même ordinateur, sans utiliser ReWire, mais vous pouvez le faire :
- Lancez d'abord Reason.
- Puis lancez l'application hôte.
Vou devriez avoir un message d'alerte de l'application hote concernant ReWire, mais vous pouze l'ignorer sans probleme. Notez également que les deux programmes entrent a present en conflit pour les ressources syste me comme la carte son, tout comme lorsque vous utilisez l'un des deux avec d'autres applications audio differentes de ReWire.
Utiliser les contrôle de transport et de tempo
Contrôles de transport classiques
Lorsque vous lancez ReWire, les transports des deux programmes sont totalement liés. Lechiox du programme qui joue, arrêté, avance rapide ou recule n'a pas d'importance. L'enregistrement, cependant, reste complètement à part dans les deux applications.
Réglages de boucle
La boucle dans Reason et la fonction correspondante (boucle, cycle, etc.) dans l'application hôte sont également liées. Cela signifie que vous pouvez déplacer les points de départ et de fin pour la boucle ou le cycle ou (dés)activer la boucle ou le cycle dans l'un des deux programmes et cela se répercutera dans l'autre.
Réglages de tempo
En ce qui concerne le tempo, l'application hôte est toujours maitresse. Cela signifie que les deux programmes fonctionnent avec le tempo défini dans l'application hôte. Cependant, si vous n'utilise pas de modifications de tempo automatisées dans l'application hôte, vous pouvez ajuster le tempo dans le transport de l'un ou de l'autre programme et cela se répercutera immédiatement dans l'autre application.
! Si vous utilisez des modifications de tempo automatises dans l'application hote, n'ajustez pas le tempo dans le panneau de transport Reason, puisque le tempo n'a aucune incidence sur la lecture !
Router l'audio
Préparations dans Reason
Lorsque you routez l'audio de Reason vers une application hote ReWire, you utilisez l'interface matérielle Reason en haut du rack. En bref, chaque sortie de l'interface matérielle est connectee à un canal ReWire séparé.
- Pour tirer entièrement profit des fonctions de mixage de l'application hote, vous doivent connecter les différents modules Reason directement à l'interface matérielle.
Par exemple, si vous morceau Reason contient huit modules instrumentaux différents et que vous les connectez à des sorties audio séparées de l'interface matérielle, ils apparaîront sur des canaux ReWire séparés dans l'application hôte. Vous pouvez alors utiliser les fonctions de mixage de l'application hôte pour ajuster le volume et le panoramicque, ajouter des effets et des égalisations, etc. de façon individuelle pour chaque module Reason.
Si vous connectez au contraire tous les modules Reason via le mixeur à la paire d'entrée stéreo de l'interface matérielle, tous les sons seront mixés sur une seule paire de canal stéreo ReWire. Bien que cela fonctionne parfaitement bien, vous ne pourrez pas mixer et Traitser les modules séparément dans l'application hôte.
Router dans l'application hôte ReWire
La description suivante est basée sur l'utilisation de Reason avec Cubase comme application hôte. Pour une description concernant l'activation et le routage des canaux ReWire dans d'autres applications hôtes, veuillez vous rendre à l'adresse www-propellerheads.se/rewirehelp.
- Déroulez le menu Modules dans Cubase et selectionnez l'élément du menu avec le nom de l'application ReWire (dans ce cas, Reason). Toutes les applications compatibles ReWire reconnues sont disponibles dans le menu Modules.
Le panneau ReWire apparait. Il est constitué de plusieurs colonnes, une pour chaque canal ReWire disponible.
- Cliquez sur les boutons verts de la colonne « Actif » pour activer/désactiver les canaux souhaités.
Les boutons s'allument pour indiquer les canaux activés. Le nombre et le nom des canaux devant être activés dépendent des entrées de l'interface matérielles auxquelles vous avez connecté vos modules Reason, comme expliqué ci-dessus.
- Au besoin, double-cliquez sur les etiquettes de la colonne de droite et entrez un nouveau nom.
Ces étiquettes seront utilisées dans le Cubase Mixer pour identifier les canaux ReWire.
- Ouvrez le Cubase Mixer.
Vous verrez que les nouveaux canaux ont ete ajouts - un pour chaque canal ReWire activé. Si les canaux n'apparaissent pas, vous devrez eventulement faire defiler la fenetre du mixer ou vérifier les options du Mode mixer (different types de canaux peuvent etre affiches ou masqués en fonction de vos souhaits dans Cubase Mixer).
- Lancez la lecture (dans Reason ou Cubase - cela n'a pas d'importance puisque les deux programmes seront automatiquement synchronisés).
Vous verrez à présent les vu-mêtres se déplacer pour la lecture des canaux ReWire, et entendrez le son des modules Reason à travers le mixeur de Cubase. Bien entendu, cela nécessite que vous morceau Reason contienne de la musique!
- Utilisez les fonctions de mixage dans Cubase pour ajouter des effets, EQ, etc.
Routage de MIDI via ReWire 2
La description suivante est basée sur l'utilisation de Reason avec Cubase comme application hôte. Pour une description concernant le routage de MIDI dans Reason et Reason à partir d'autres applications hôtes, veillez vous rendre à l'adresse www-propellerheads.se/rewirehelp.
- Dans Cubase, selectionnez une piste MIDI que vous souhaitez router vers un module Reason.
- Déroulez le menu Sortie MIDI de la piste (dans l'inspecteur ou la liste des pistes).
Tous les modules du morceau Reason actuel apparaisent dans le menu pop-up, parmi les sorties MIDI conventionnelles « physiques ».
- Sélectionnez un module Reason dans le menu pop-up.
La sortie de la piste MIDI est àpresent routée vers ce module.
- Si vous lisez un morceau MIDI sur la piste, les notes MIDI seront envoyées au module Reason, comme si la piste avait été connectée à une source sonore MIDI classique.
Le son du module sera renvoyé dans Cubase via ReWire ; le canal sur lequel il apparait dépend de la façon dont vous avez routé le module vers l'interface matérielle Reason, comme décrit ci-dessus.
- Pour jour le module en « live », vous devez scélectionner l'entrée MIDI correcte pour la piste dans Cubase (l'entrée à laquelle votre clavier MIDI est connecté) et activer le bouton Monitor pour la piste.
Lorsque le bouton Monitor est activé, toutes les données MIDI entrantes (c'est-à-dire ce que vous jouez sur le clavier) est immédiatement envoyé vers la sortie MIDI de la piste (c'est-à-dire vers le module Reason).
Convertir les canaux ReWire en pistes audio
La plupart du temps, vous n'avez pas besoin de convertir des canaux ReWire individuels en pistes audio classiques. Les canaux apparaissent déjà dans le mixeur de l'application hote, et vous pouvez typiquement effectuer le même genre de traitement en temps réel qu'avac des canaux audio normaux (effets, EQ, automatisation du volume, de pan, etc.).
Cependant, vous pouvez avoir besoin de convertir les canaux ReWire en pistes audio, par exemple si vous souhaitez poursuivre votre travail dans Cubase uniquement.
Dans Cubase, vous doivent procédez de la façon suivante :
- Assurez-vous que vos modules et/ou pistes audio Reason sont lues correctement via ReWire.
- Dans le Cubase Mixer, activez Solo pour le canal ReWire que vous souhaitez convertir en piste audio classique.
Assurez-vous qu'aucun autre canal n'est également en solo.
- Aliez dans la fenêtre Project (Projet) de Cubase et définissez les locateurs gauche et droit pour englober tout le morceau (ou la section, si c'est ce que vous souhaitez).
Assurez-vous que la fonction Cycle (boucle) est désactivée.
- Déroulez le menu File (Fichier) dans Cubase et Sélectionnez « Audio Mixdown » (Mix final audio) dans le sousmenu Export (Exporter).
La boîte de dialogue Export Audio Mixdown (Exporter le mix final audio) apparait.
- Activez les options « Import to Pool » (Importer dans le pool) et « Import to Track » (Importer dans la piste) et replissez le reste de la boite de dialogue comme vous le souhaitez.
Vou puez inclure toute automation de mixeur Cubase, selectionner un format et un nom de fichier, etc.
- Cliquez sur Save (Enregisterr).
Le canal ReWire est à présent transformé en un nouveau fichier audio sur le disque. Un clip correspondant au fichier apparait dans le pool et un événement audio jouant ce clip est créé et placé dans une nouvelle piste audio, à partir de l'indicateur gauche.
- Si vous lancez à présent la lecture audio de la piste, vous entendrez exactement ce qui était joué sur le canal ReWire.
Cela signifie que vous pouvez conserver le canal ReWire muet (ou désactivé) à partir de maintainant, car sinon, vous entendriez le son deux fois, une fois via ReWire et une autre depuis la piste audio.
Pour convertir tous vos canaux ReWire de cette façon, il vous suffit de procéder comme ci-dessus (mais pensez à prendre solo un autre canal ReWire de Cubase Mixer).
! Convertir les canaux ReWire ainsi creé de nombreux fichiers audio qui peuvent être très lourds (en fonction de la longueur du morceau). Assurez-vous de disposer de suffisamment d'espace sur votre disque dur !
Détails à propos des diverses applications hôtes ReWire
Le site Web de Propellerhead Software fournit des informations mises à jour concernant la configuration de ReWire pour la plupart des applications hôtes compatibles.
Veuillez vous rendre à l'adresse : www-propellerheads.se/rewirehelp.

REASON
Chapitre 19
Synchronisation
et MIDI avancé
À propos de ce chapitre
Ce chapitre décrit comment synchroniser Reason avec une horloge MIDI et comment utiliser les entrées du bus de contrôle externe pour un routage MIDI avancé lorsque vous n'utilise pas de ReWire.
Synchronisation avec l'horloge MIDI
Utilisateurs de ReWire - à dire impératifement !
Ce chapitre concerne la synchronisation via une horloge MIDI et ne concerne pas les utilisateurs de ReWire. Si vous utilisez Reason avec une application compatible ReWire, ReWire prendra automatiquement en charge tous les problèmes de synchronisation à votre place. Voir “À propos de la synchronisation” pour plus de détails.
Présentation de la synchronisation et de l'horloge MIDI
La synchronisation, dans ce contexte, est le processus permettant de faire jouer Reason selon le même tempo qu'un autre module pour que les deux se lancent, s'arrêtent et se positionnent ensemble. Cela s'effectue en transmettant des signaux de l'horloge MIDI entre Reason et l'autre module. L'horloge MIDI désigne un « métronome » très rapide pouvant être transmis par cable MIDI. Parmi les specifications de l'horloge MIDI se trouvent les indications de départ, d'arrêt et de localisation des doubles croches.
Vouss pouvez configurer la synchronisation entre Reason et les interfaces matérielles (enregistreurs à cassette, boîtes à rythme, séquenceurs indépendants, stations de travail, etc.), ainsi que d'autres logiciels fonctionnant sur un autre ordinateur.
Maitre/Esclave
Dans un système synchronisé, il existe toujours un maître et un ou plusieurs esclaves. Dans notre cas, le maître est celui qui contrôle le tempo. En d'autres termes, c'est uniquement le réglage de tempo du module maître qui est pris en compte, puisque les esclaves suivent fidèlement le tempo du maître.
- Reason agit toujours à titre d'esclave. De ce fait, il recoit les signaux de l'horloge MIDI, mais ne les transmet jamais.
! Avant de creator un projet sérieux qui requiert une synchronisation, testez les fonctions décrites dans "Étre Reason esclave d'une application ou d'un instrument MIDI externe" et "Étre Reason esclave d'un autre programme sur le même ordinateur", puis vérifie "Autour de la synchronisation...".
Être Reason esclave d'une application ou d'un instrument MIDI externe
Cet exemple suppose que vous possédez un module externe, comme une boîte à rythme, un séquenceur matériel, un autre ordinateur, un enregistrateur à cassette, etc., qui transmet les signaux de l'horloge MIDI avec lesquels vous pouze synchroniser Reason.
- Connectez le module via USB/MIDI à l'ordinateur sur lequel fonctionne Reason.
-
Configurez l'autre module de façon à ce qu'il transmette les signaux de l'horloge MIDI à la sortie MIDI connectée à l'ordinateur sur lequel fonctionne Reason.
-
Dans Reason, déroulez le menu Édition (sous Mac OS X, le menu Reason), puis ouvre la boite de dialogue Préférences. Sélectionnez la page Contrôle avancé.
Sync horloge MIDI :
EDIROL PCR 1

L'entrée horloge MIDI est utilisé pour la synchronisation avec d'autres équipements.
- Déroulez le menu pop-up Synchronisation horloge MIDI et Sélectionnez l'entrée MIDI à laquelle vous avez connecté l'autre module.
- Fermez la boîte de dialogue.
- Activez Synchronisation horloge MIDI via le menu Options (sous-menu « Synchro » dans Reason).
- Activez la lecture sur l'autre module.
Reason lance la lecture de façon synchronisée.
Être Reason esclave d'un autre programme sur le même ordinateur
! La meilleure méthode de synchronisation de deux applications consiste à utiliser ReWire, voir "ReWire". Cependant, si l'application que vous devez synchroniser avec Reason ne prend pas en charge ReWire, essayez les procédures décrites ci-dessous.
Cette section déscrit la façon d'utiliser une horloge MIDI pour synchroniser Reason avec une autre application fonctionnant sur le même ordinateur.
! Notez que la synchronisation via une horloge MIDI fait jour les deux programmes simultanement, c'est-à-dire qu'ils sont « exécutés » tous les deux lorsque vous « appuyez sur lecture ». Ce qui ne peut pas dire qu'ils peuvent dire tous les deux de l'audio simultanément.
Procedez de la façon suivante :
- Configurez l'autre programme afin qu'il transmette une horloge MIDI à Reason :
Sous Windows,ILA s'effectue en selectionnant l'un des ports de I'utilitaire de routag MIDI. - Dans Reason, ouvre la page Preférences - Contrôle avancé.
- Déroulez le menu pop-up Horloge MIDI et Sélectionnez le port MIDI correspondant.
- Fermez la boîte de dialogue.
- Activez Synchronisation horloge MIDI via le menu Options (sous-menu « Synchro » dans Reason).
- Activez la lecture sur l'autre module.
Reason lance la lecture de façon synchronisée.
Autour de la synchronisation...
Ajustement de la latence

En raison du problème de latence décrit dans "ReWire et latence", il se peut que vous ayez besoin de régler la lecture de Reason en fonction de la synchro principale pour qu'ils soient parfaitement ensemble. Le tempo ne diffère pas entre les deux, mais Reason peut journ en avance ou en retard par rapport à l'autre application. Il se peut que vous deviez ajuster cela. Cependant, c'est une chose que vous ne doivent faire qu'une fois. Le réglage est stocké avec vos autres préférences, ainsi vous n'aurez plus à le refaire ultérieurement.
Procedez de la façon suivante :
- Configurez l'autre application, de telle sorte qu'elle génére un cli c continu, par exemple sur les croches ou les doubles croches, de préférence en marquant le premier temps de chaque mesure.
Ce clc peut provenir d'un metronome interne ou d'une source MIDI. Si vous utilisez une source MIDI, assurez-vous d'enCHOIR une avec un timing MIDI parfait. - Configurez Reason pour jouer un rythme similaire à l'autre application.
À cette fin, vous devriez par exemple utiliser le clic du séquenceur ou une boîte à rythme Redrum. - Lancez les deux applications de façon synchronisée.
- Assurez-vous d'entendre les deux applications approximativement au même volume.
- Ouvrez la boite de dialogue Preférences dans Reason, puis sélectionnéz la page Audio.
- Ajustez le réglage « Décalage de la synchronisation » jusqu'à ce que les « clics » des deux sources seront exactement simultanément.
- Fermez la boite de dialogue Preférences dans Reason.
Si la compensation de latence ne suffit pas
Il peut arriver que vous ne puissiez pas compenser suffisamment dans Reason pour que les deux applications logicielles fonctionnent de façon synchronisée. Cela s'avere particulièrement vrai si l'autre application est un séquenceur audio, c'est-à-dire si elle peut enregistrer et dire à la fois de l'audio et du MIDI.
Ce problème est réélateur du fait que l'autre application n'ait pas été configurée correctement et que sa lecture audio ne soit pas synchronisée avec sa propre lecture MIDI.
! Ce n'est pas une chose qui peut etre compensée par Reason. Suivez plusot les instructions inclues avec l'autre application pour vous assurer que ses lectures MIDI et audio sont correctement verrouillées.
À propos du début du morceau
En raison du phénomène de latence décrit dans "À propos de la latence", Reason doit parfois corriger sa vitesse de lecture lorsqu'il recoit la première commande Lancer. Cela peut produit un léger bruit dans la lecture audio, lorsque le programme démarre. Si cela pose problème, vous doivent insérer deux mesures vides au début du morceau.
Procedez de la façon suivante :
- Définissez l'indicateur gauche sur « 1. 1. 1.0 » et le droit sur « 3. 1. 1.0 »
- Cliquez à un endroit quelconque dans la zone du séquenceur principal pour déplacer la cible du menu sur le séquenceur.
- Sélectionnez « Insertion de mesures entre les indicateurs » dans le menu Édition.
- Configurez les autres modules/applications pour deux mesures vides soient jouées au début.
À propos des pointeurs de position du morceau MIDI
L'horloge MIDI est constituée de cinq types de messages : L'horloge réelle (le métronome établissant le tempo), les commandes Lancer, Arrêté et Continuer et les pointeurs de position du morceau. Ce dernier type de message contient des informations concernant les positions afin que le programme « sache » par exemple à partir de quel endroit du morceau la lecture doit s'effectuer.
Habituèlement, cela vous permet de vous localiser à une position qualconque dans le morceau et d'activer la lecture à partir de là. Dans les modules antérieurs, les pointeurs de position du morceau peuvent ne pas être intégrés. Cela signifie que vous ne pourrait effectuer correctement la synchronisation que si vous lancez les deux modules depuis le tout début du morceau.
À propos des modifications de tempo
À nouveau, en raison du phénomène de latence, Reason requiert un peu de temps pour ajuster les modifications de tempo. S'il n'este aucun modification radicale dans l'horloge MIDI, en raison de modifications importantes de tempo coto maître, vous verrez que Reason a besoin d'un maximum d'une mesure pour sadapter à la modification. Le temps nécessaire dépend également de la précision de l'horloge MIDI entrante. Plus elle est précise, plus Reason réagira vite.
Si cet ajustement pose problème, essayez d'utiliser les modifications de tempo progressives plutôt que les modifications immédiates.
! Lorsque Reason est synchronisé avec l'horloge MIDI, aucun écran de tempo n'est disponible.
Cible d'entrée et cible de lecture
Si vous activez la synchronisation de l'horloge MIDI, les contrôleurs du panneau de transport seront désactivés et Reason ne se lancera pas à moins que des données de synchronisation MIDI ne soient fournies depuis un module externe.
Les boutons Cible d'entrée (MIDI + Audio) et Cible de lecture (Synchro MIDI) (situés sur l'interface matérielle Reason) définissent la façon dont le MIDI entrant et la synchro MIDI doivent être pris en charge si plusieurs documents des morceaux sont ouverts en même temps. Si vous comptez deux ou plusieurs morceaux ouverts et qu'aucune synchro MIDI n'est utilisée, le morceau actuèlement sélectionné (le document au premier plan) est toujours la cible d'entrée.
Si la synchro MIDI est activée (réglage global pour tous documents des morceaux ouverts), cette fonction change de la façon suivante :
- Si les deux boutons « Cible de lecture » et « Cible d'entrée » sont activés pour un morceau, les données MIDI entrantes et la synchronisation MIDI (et l'audio) seront envoyées à ce morceau,quel que soit le morceau qui est actuellement la cible.
- Si seul « Cible d'entrée » est activé pour le morceau et qu'un autre morceau à le bouton « Cible de lecture » activé, le MIDI entrant (et l'audio) sera envoyé au premier et la synchronisation MIDI au second (c'est-à-dire que ce morceau en particulier sera joué),quel que soit le morceau qui est actuellement la cible.
MIDI avancé - les entrées de bus de contrôle externes
À propos des entrées de bus de contrôle externes
Les entrées de bus de contrôle externes vous permettent d'envoyer directement MIDI vers les modules de Reason.
- Ces entrees MIDI permettent de contrcler les modules de Reason depuis un séquenceur externe.
Cela peut être un séquenceur matériel externe ou une application de séquenceur fonctionnant sur un autre ordinateur.
- Si vous souhaitez contrôleur Reason depuis une autre application de séquenceur sur le même ordinateur, il vaut moins utiliser ReWire (voir "Routage de MIDI via ReWire 2").
Cependant, si l'autre logiciel séquenceur ne prend pas en charge ReWire 2, les entrées de bus de contrôle externes peuvent être une alternative. Dans ce cas, vous devriez utiliser une application de routage MIDI pour pouvoir router le MIDI d'un programme à l'autre.
Vous configurez les entrées de bus de contrôle externes sur la page Contrôle avancé de la boîte de dialogue Préférences :

→ Sélectionnez un port MIDI sépare pour chaque bus que vous prévoyez d'utiliser.
Chaque bus fournit 16 canaux MIDI pour un total de 64 canaux d'entrée MIDI. Par exemple, si vous avez un séquenceur externe avec deux sorties MIDI, vous les connectez aux deux entrées MIDI de votre interface MIDI et seLECTIONnez ces deux entrées pour les deux premiers bus de la page MIDI avancé. Vous pourrez alors envoyer MIDI vers 32 canaux au maximum depuis le séquenceur externe vers Reason.
Assurez-vous de ne pas avoir selectionné un port MIDI déjà selectionné dans la page Claviers et Surfaces de contrôle (ou dans la section Synchronisation de l'horloge MIDI).
Router MIDI vers des modules
Chaque bus de contrôleur externe peut contrôler jusqu'à 16 modules de Reason différents, un pour chaque canal MIDI. Pour router un canal MIDI directement vers un module Reason, procédez de la façon suivante :
- Repérez l'interface matérielle Reason en haut du rack et cliquez sur le bouton MIDI AVANCE.

Le panneau Module MIDI avancé est ouvert.
- Sur le panneau Module MIDI avancé, cliquez sur le bouton de selection du bus pour le bus de contrôleur externe que vous souhaitez utiliser (A, B, C ou D).

- Sous les boutons de selection du bus se trouvent des champs des 16 canaux MIDI. Cliquez sur la flèche du canal MIDI souhaité et sélectionnez un module Reason dans le menu qui s'affiche.
Les données MIDI entrantes de ce bus et de ce canal seront à présent envoyées directement vers le module sélectionné. En d'autres termes, le routage du clavier maître dans le séquenceur est bypassé.
Envoyer des données de contrôleur via MIDI
Il est possible d'envoyer des données de contrôleur d'un séquenceur externe pour contrôleur les paramétres Reason. Configurez simplement votre module externe pour transmettre les messages de contrôleur MIDI corrects dans le port MIDI correspondant.
Pour savoirquel numero de contrôleur MIDI correspond àquel contrôle sur chaque module, reportez-vous au document « MIDI Implémentation Charts.pdf »
Une fois que vous avez localisé les numéroes de contrôleur et que vous avez tout configuré, vous pouze enregistrer et éditer les données de contrôleur du séquenceur externe comme vous le faites habituallément. Les paramètres de Reason réagiront en conséquence.
- Ne les confondez pas avec le contrôle à distance. Le contrôle à distance ne nécessite aucune assignation des numéroes de contrôleur pour les surfaces de contrôle pris en charge! Voir “À propos de Remote”.
À propos de l'enregistrement de modifications de pattern
Comme indiqué dans l'implémentation MIDI, le contrôleur MIDI n°3 peut être utilisé pour changer de pattern dans un module. Cependant, les modifications de pattern actifs de cette façon se produit immediatement (et non pas à la fin d'une mesure), ce qui n'est pasforcément ce que vous souhaiteriez.
Voir "Enregistrement de l'automation de pattern", "Édition d'automation de pattern" et "Dessin d'automation de pattern" pour plus d'informations sur l'enregistrement et l'édition des modifications de pattern.

REASON
Chapitre 20
Optimisation des
performances
Introduction
Reason est un programme offrant des possibilités infinies. Vous pouvez creator des morceaux d'une extrème complexité avec un grand nombre de pistes et de modules de rack. Bien que ce soit l'une des propriétés les plus encourissamantes du programme, il existe un revers de la medaille : cela signifie que vous doivent attention à la façon dont vous gérez la puissance de calcul de votre ordinateur.
Chaque module et piste que vous ajoutez à votre morceau utilisent jusqu'à un bit de puissance de calcul de l'ordinateur. Ainsi, plus le nombre de modules et de pistes est élevé, plus votre ordinateur doit fonctionnerrapidement. Cependant, vous pouvez configurer vos modules de façon à solliciter plus ou moins de puissance de calcul. Par exemple, un son sur un synthétiseur Subtractor qui n'utilise qu'un oscillateur et qu'un filtrre requiert moins de puissance de calcul qu'un son utilisant deux oscillateurs et deux filtres à la fois.
Les samples utilisés dans vos morceaux nécessitent également de la RAM (mémoire vivie) pour pouvoir être chargés correctement. L'utilisation de la RAM peut aussi être optimisée, comme décrit à la fin de ce chapitre.
Lorsque vous travailliez en collaboration avec d'autres propriétaires Reason sur des morceaux, vous devez faire en sorte de réduire au mieux la configuration nécessaire de lecture d'un morceau spécifique, tant en termes de puissance de calcul qu'en termes de RAM requise. D'autres utilisateurs n'ont pas nécessairement un ordinateur aussi puissant que le=votre!
Vérification de la puissance de calcul
Sur le panneau de transport situé sur votre gauche, vous trouvez un instrument de mesure étiqueté DSP. Il indique la puissance de calcul utilisé à un moment donné.

Mesure du DSP sur le panneau de transport
Plus la mesure augmente, plus le processeur de votre ordinateur est sollicité. Vous noterez que lorsque vous processeur est fortement sollicité, l'affichage graphique est mis à jour moins rapidement. Enfin, si la puissance disponible est juste trop insuffisante pour générer l'audio correctement, le son commencerà être saccadé.
Optimisation et réduction de la latence
Comme décrit dans "À propos de la latence" dans le chapitre Principes de l'audio, vous souhaitez généralement que la latence soit la plus faible possible afin d'obtenir la réponse la plus appropriée lors de l'enregistrement et de la lecture dans Reason en temps réel. Cependant, sélectionner une latence trop faible risque de se traduire par des problèmes de lecture (clips, claquements, coupures, etc.). Plusieurs raisons techniques expliquent cela, la principale étant qu'avac des tampons plus petits (latence faible), le processeur sera sollicité de façon plus importante. Cela signifie également que plus le morceau Reason est gourmand en calculs (c'est-à-dire plus vous utilisez de modules), plus la latence minimale requise pour éviter ces problèmes de lecture est importante.
Vouvez doit ajuster la latence. Cela s'effectue différemment en fonction des cartes son, des pilotes et du système d'exploitation que vous utilisez.
Ajustements de la taille du tampon dans le panneau de contrôle ASIO (Windows)
Si vous utilisez un pilote ASIO (Windows uniquement) spécifquement concu pour votre matériel audio, vous pouze, dans la plupart des cas, effectuer des réglages du matériel dans le panneau de contrôle ASIO. Ce panneau (qui s'ouvre en cliquant sur le bouton Panneau de contrôle ASIO dans la boîte de dialogue Preférences- Audio) peut ou non contir des paramètres permettant d'ajuster la latence. Généralement, cette opération s'effectue en changeant le nombre et/ou laaille des tampons audio. Ainsi, plus les tampons sont petits et plus leur nombre est réduit, plus la latence est faible. Veuillez vous reporter à la documentation de votre matériel audio et de ses pilotes ASIO pour plus de détails.
! L'augmentation de la taille des tampons pour éliminer les éléments audio indésirables lors de la lecture est surtout efficace si vous utilisez actuellement de très petits tampons, de 64 à 256 samples. Si les tampons sont déjà grands (1 024 ou 2 048 samples), vous n'entendrez aucune différence.
Ajustement dans la boîte de dialogue Préférences Reason
Si vous exécutez Reason sous Windows et que vous utilisez un pilote ASIO, ou si vous exécutez Reason sous Mac OS X et que vous utilisez un pilote Core Audio, vous pouvez ajuster les latences d'entrée ou de sortie dans la boîte de dialogue Préférences - Audio.
Pour ce faire, déplacez le curseur Taille du tampon.

Procedure générale pour réduire la latence
La procEDURE basique permettant d'optimiser la latence est la suivante :
- Ouvrez un morceau et lancez la lecture.
Voudeceoisir un orcaou dont les exigences sont raisonnables,c'est-à-direcomportant un certain nombre depistes et de modules. - Ouvrez la boite de dialogue Preférences.
Sous Mac OS X, elle se trouve dans le menu Reason. Sous Windows, elle se trouve dans le menu Édition. - Sélectionnez la page Audio et localisez le curseur Taille du tampon.
Si you effectuez des ajustements dans le panneau de contrôle ASIO pour le matériel doté d'un pilote ASIO (Windows uniquement), vous devez noter le paramétrage du tampon actuel avant de le modifier. - Lors de la lecture du morceau, écoutez attentivement les claquements et les clics, puis tentez de réduire la latence (taille du tampon).
- Lorsque you percevez ces claquements et ces clics, augmentez légèrement la valeur de la taille du tampon.
- Fermez la boite de dialogue Preférences (ainsi que le panneau de contrôle ASIO, s'il est ouvert).
A propos de la compensation de latence
Sous les lignes Latence d'entrée et Latence de sortie dans la boîte de dialogue Préférences – audio, vous trouvez l'élement Décalage de la synchronisation externe. Cette valeur est utilisé en interne par Reason pour compenser les latences lors de la synchronisation de Reason avec un autre séquenceur MIDI ou apparéil similaire.
À propos du décalage de la synchronisation externe
Le paramètre Décalage de la synchronisation externe permet de rendre possible la compensation de la latence de sortie durant la synchronisation de Reason vers une application hôte. En principe, le décalage de la synchronisation externe est défini sur la même valeur que la latence de sortie, mais il est possible de l'éditer (voir "Ajustement de la latence"). En revanche, vous ne devez normalement pas avoir besoin de modifier ce paramètre.
Optimisation de votre système informatique
Dans ce manuel, nous ne pouvons pas vous donner de procédures détaillées permettant d'optimiser votre ordinateur afin d'obtenir la puissance maximale. Il s'agit là d'un sujet sur lequel nous pourrions écrire tout un roman. Néanmoins, certains points très utiles méritent qu'ils soient contrôleés et ajustés.
À propos des processeurs multicœur
Si vous utilisez un processeur multicoeur, tel qu'un processeur double cœur, quadricoeur ou octocoeur, Reason en tirage pleinement profit, et ce, d'une maniere des plus sophistiquées. De même, si votre ordinateur est doté de plusieurs processeurs multicoeur ou cœur unique, Reason usera de toute leur capacité pour améliorer grandement leur performance.
Si vous ordinateur est doté d'un processeur multicœur ou bien de processeurs multiples, Reason le détecte alors automatiquement et active ainsi la fonction « Utiliser la transformation audio MultiCore » sur la page Général sous Préférences.
(Conngure en meme temps I empiacement de navigation par défaut.)

Déclencher notes pendant édition

Utiliser le rendu audio multicore
À propos de la technologie HyperThreading (proceseurs à cœur unique Pentium 4)
La technologie HyperThreading est une technologie utilisée dans les ancients proceseurs Intel Pentium 4 à cœur unique pour simuler un comportement double cœur, en faisant d'un proceseur physique deux proceseurs logiques. Ces deux proceseurs logiques partageront toutes une unité à virgule flottante. Depuis que Reason dépend fortement de l'unité à virgule flottante pour calculer et générer un son, des problèmes surviendront si la fonction HyperThreading est activée.
Reason désactive automatiquement la fonction HyperThreading et n'utilise qu'un processeur logique par processeur. Cependant, un autre programme fonctionnant sur votre ordinateur pourrait encore être prévu pour utiliser l'autre processeur logique et dérober les ressources (processeur, largeur de bande de la mémoire) à partir de Reason.
! Si vous utilisez un ordinateur pourvu d'un processeur Pentium 4, nous vous recommendons de désactiver la fonction HyperThreading si vous rencontres des problèmes.
À propos des lecteurs de disques durs
La plupart des lecteurs de disques durs de derniere generation fonctionnement parfaitement avec Reason. En règle générale, plus le(s) lecteur(s) de disque dur est/sonr rapide(s), mieux c'est. La plupart des lecteurs de disques durs actuels fonctionnent à 5 400 t/min ou plus, ce qui est suffisant pour une utilisation avec Reason.
Astuces générales d'optimisation
Pour finir, nous aimerions partager quelques astuces générales d'optimisation :
-
Quittez les autres programmes fonctionnant en même temps que Reason.
-
Supprimez toutes les tâches en arrêté-plan de votre ordinateur.
Il peut s'agir d'utilitaires d'arrière-plan que vous avez installés, ainsi que des connexions reseau, des activités liées à Internet, etc. - Sous Windows, assurez-vous que vous utilisez le plus recent et le plus efficace des pilotes ASIO pour votre carte son.
- Ne travailliez qu'avec un morceau Reason à la fois.
Les morceaux ouverts en arrêté-plan consomment une partie de la puissance de calcul même lorsqu'ils ne sont pas en cours de lecture.
- Réduisez le réglage de fréquence de sample dans la boîte de dialogue Preférences.
Si cela réduit la qualité sonore, c'est une maniere rapide et facile d'essayer de dire un morceau que vous ordinateur n'arrive pas à prendre en charge autrement.
Optimisation des morceaux
Voutrouvrez ci-dessous des éléments que vous pouvez vérifier et modifier pour vous assurer que votre morceau utilise le moins de puissance de calcul et de mémoire possible :
Global
- Supprimer les modules inutilisés.
Si un module n'a pas d'utilité, supprimez-le du rack.
- Utilizez moins de modules.
Par exemple, au lieu d'utiliser plusieurs réverbs identiques en tant qu'inserts d'effets séparés, remplacez-les tous par un seul et unique, puis configurer-le comme départ d'effets dans le mixeur. Dans le même ordre d'idées, essayez d'utiliser un sampler jouant plusieurs samples只不过 que plusieurs samplers jouant chacun un sample.
- N'utilise pas la stéreo à moins que cela ne soit nécessaire.
Par exemple, si un sampler ou un lecteur de boucles Dr. Octo Rex lit un sample mono, ne connectez que la sortie gauche et laissez celle de droite déconnectée.
Lecteurs de samples - NN19, NNXT, Dr. Octu Rex et Redrum
- N'active le bouton Interpolation haute qualité que lorsque nécessaire.
Écoutez le son dans un contexte et déterminez si vous pensez que ce réglage fait une différence. - Si vous jouez un sample à un pitch largement supérieur à celui auquel il a été enregistré, essayez plutôt de réduire la fréquence de sample du fichier de sample actuel.
Cela nécessitera un éditeur de sample externe avec de bonnes fonctions de conversion de fréquence de sample - Essayez de réduire l'utilisation des samples stéreo.
Filtres - Subtractor, Thor, Malstrom, NN19, NNXT et Dr. Octo Rex
- Désactivez les filtres que vous n'utilise pas.
Remarquez que si la fréquence de coupure est réglée au maximum ou que l'enveloppe est définié pour ouvrir entièrement le filtr, ce dernier ne modifie alors pas le son. Conservez de la puissance de calcul en désactivant entièrement le filtr.
- Si possible, utilisez un filtre salle-bas 12 dB plutot qu'un filtre salle-bas 24 dB.
Voyez si vous pouvez obtenir le même résultat sonore en utilisant un contrôle 12 dB, car il utilise moins de puissance de calcul.
Modules polyphoniques - Subtractor, Thor, Malström, NN19, NNXT, Dr. Octo Rex et Redrum
- Essayez de faire en sorte que le module utilise moins de voix.
Vouss pouvez par exemple le faire en réduisant le relâchement et le réglage de polyphonie au nombre maximum de notes jouées simultanément par ce module.
Tenez compte du fait que réduire simplement le réglage de polyphonie n'a aucun effet. Les voix inutilisées ne consomment pas de puissance de calcul.
- Si possible, essayez le réglage Réduction des aigus.
Celui-ci supprime certaines hautes fréquences continues dans le son de ce module précis, mais cela reste souvent imperceptible (ce qui est particulièrement vrai pour les sons de basse).
Subtractor
- Essayez d'éviter complètement d'utiliser l'oscillateur 2.
Si vous pouvez creer le son que vous souhaitez avec un seul oscillateur, cela economise considérablement la puissance de calcul.
- N'utilisez pas le mode Phase de l'oscillateur si vous n'en avez pas besoin.
En d'autres termes, reglez les selecteurs du mode de l'oscillateur sur « o » et non pas sur « · » ou sur « - » - N'active pas Bruit à moins que cela soit nécessaire.
- N'active pas le Filtre 2 à moins que cela soit nécessaire.
- N'utilisez pas FM à moins que cela soit nécessaire.
En d'autres termes, reglez le bouton FM de l'oscillateur sur « 0 » et assurez-vous qu'aucune source de modulation n'est acheminee vers FM.
Thor
- En règle générale, déchargez tout filtré ou oscillatorinutilisé.
Malstrom
- S'il n'est pas nécessaire, limitez l'utilisation de l'Osc B au maximum.
Si vous pouvez produit le son souhaité en n'utilisant que l'Osc A, cela diminuera significativement l'utilisation de la puissance de calcul.
Si un ou les deux oscillateurs sont acheminés vers un filtré unique et/ou que le paramètre Élargissement est réglé sur « 0», ne connectez qu'une sortie (celle à laquelle le filtré est connecté) au mixeur et laissez l'autre déconnectée. - Essayez de voir si vous pouvez obtenir l'effet déséré en n'utilisant que l'un des filtres, et ce, sans utiliser le shaper.
Utiliser les deux filtres et le shaper en parallèle nécessite beaucoup plus de puissance que l'utilisation d'un filtre seul et/ou du shaper.
Redrum
- N'utilisez pas la fonction Son disponible pour les canaux 1, 2 et 9.
Veillez à ce que les boutons de réglage de la tonalité et leurs boutons associés Velocité soient régés sur « 0 » (sur la position « midi pile »).
Modules de mixeur
- Évitez d'utiliser les entrées stéreo lorsque cela est inutile.
Par exemple, si vous sampler ou votre lecteur Dr. Octo Rex lit un sample mono, connectez-le seulement à l'entrée gauche sur une voie de mixage. Laissez l'entrée droite déconnectée.
- N'activez pas l'EQ (mixeur 14:2 uniquement) sauf si nécessaire.
Si un canal n'a pas besoin d'utiliser l'EQ, assurez-vous que le bouton EQ est désactisé.
Distorsion
D-11 Foldback Distortion utilisea moins de puissance de calcul que le module Scream 4 Distortion.
Réverb
- RV-7 utilise beaucoup moins de puissance que RV7000.
Pour certaines applications, RV-7 est largement suffisant et economisera de la puissance de calcul.
- Si vous arriverez à court de puissance de calcul, essayez l'algorithmme Low Density pour RV-7.
Il utilise beaucoup moins de puissance que d'autres algorithmes.
Départs d'effets
- Si vous utilisez des effets mono comme départ d'effets, vous pouvez connecter les retours d'effets en mono également (déconnectez le cable du return auxiliaire droit sur le mixeur).
Cela est vrai pour les effets suivants :
D-11 Distortion - Scream 4 Distortion
ECF-42 Envelope Controlled Filter
COMP-01 Compressor
PEQ-2 Parametric EQ) - DDL-1 Delay (à condition que le paramètre Pan soit en position centrale).
- Effects MClass Equalizer, MClass Compressor, MClass Maximizer.
Configurations logicielles requises concernant la RAM
Les morceaux n'utilisent pas seulement les ressources système en termes de puissance de calcul et d'espace du disque dur, ils nécessitent également de la RAM (mémoire vivé) pour être charges. La RAM nécessaire pour charger un morceau est directement proportionnelle au nombre de samples utilisés dans le morceau. Par exemple, un morceau n'utilisant que des Subtractors et des effets requiert très peu de RAM.
Si vous arriverez à court de RAM, essayez les opérations suivantes :
- Fermez tous les autres morceaux.
Tout morceau ouvert utilise de la RAM.
- Fermez les autres applications.
Toutes les applications ouvertes consomment une partie de la RAM disponible sur votre ordinateur.
- Preférez les samples mono aux samples stéreo.
Les samples mono nécessitant moitié moins de RAM.
- Essayez de réduire la fréquence de sample des fichiers de samples.
Notez que cela alterera la qualité du son. Notez également queILA nécessitera un éditeur de sample exter ne avec de bonnes fonctions de conversion de la fréquence de sample.

REASON
Chapitre 21
Reason Interface
matérielle
Introduction

L'interface matérielie est l'emplacement ou vous connectez Reason au « monde extérieur ». C'est ici qu'est reçu le MIDI et où les signaux audio sont routés à partir des entrées physiques et vers des sorties physiques de votre matériel audio. C'est aussi l'endetroit où les signaux de sortie audio sont routés vers les canaux ReWire. L'interface matérielie est toujours presente en haut du rack et ne peut pas être supprimée. Ce chapitre doit servir de referencia en décrivant les diverses sections de ce module. La façon de configurer votre interface audio est décrite dans le chapitre "Principes de l'audio".
L'interface matérielle est habituèlement ouverte, affichtant un panneau avec 2 entrées de sampling, 16 entrées audio et 16 sorties audio, ainsi que quelques boutons.
- Sur la partie supérieure droite du panneau se trouvent les boutons Cible d'entrée et Cible de lecture, écrits dans "Cible d'entrée et cible de lecture".
- Les sections Entrée de sampling, Entrée audio et Sortie audio contiennent un affichage LED pour chaque canal d'entrée et de sortie.
! Souvenez-vous que l'interface matérielle est l'endetroit ou il est possible que le clipping audio se produit dans Reason. Gardez un œil sur l'indicateur de clipping dans le panneau de transport, ainsi que sur les vu-mêtres individuels dans le panneau de l'interface matérielle. Si un canal pousse le vu-mêtre dans le rouge, le volume doit être réduit à la source ; voir “À propos des volumes audio” dans le chapitre « Principes de l'audio » - Les LED multicolores sous chaque canal indiquent ce qui suit :
LED verte : Canal disponible et utilisé (câble connecté au jack de canal sur le panneau arrêté).
LED jaune : Canal disponible mais inutilisé (pas de cable connecté au jack de canal sur le panneau arrêté).
LED rouge : Canal indisponible mais avec un cable connecté sur le panneau arrière. Il n'existe pas d'audio sur les canaux avec des LED rouges.
LED éteinte : Canal indisponible et non connecté (pas de cable connecté au jack de canal sur le panneau arrêté).
- En cliquant sur le bouton « MIDI AVANCE » en haut du panneau, le panneau du module MIDI avancé apparait :

Reportez-vous à "Module MIDI avancé" pour plus d'informations.
- Enclistant sur le bouton «Plus d'audio » en haut du panneau, un panneau supplémentaire Entrée/Sortie audio s'affiche avec un total de 64 entrées/sorties.

Reportez-vous à "Plus d'audio" pour plus d'informations.
- En cliquant sur le bouton « BIG METER » en haut du panneau, un panneau avec des vu-mêtres audio plus élevés s'affiche :

Reportez-vous à "Le Big Meter" pour plus d'informations.
À propos de l'utilisation de ReWire
Si vous utilisez Reason avec une application hote compatible ReWire, vous pouze router tout module de sortie Reason vers un canal ReWire en connectant le module à n'importe qu'elle sortie audio située à l'arrière de l'interface matérielle. En mode ReWire, les 64 canaux sont disponibles et n'importe qu'elle sortie de module envoyee vers un canal ReWire apparaitra dans l'application hote ReWire sur son propre canal. Voir le chapitre "ReWire" pour plus de détails.
Section sur l'entrée de sampling

La section de sampling propose deux entrées audio (G et D) auxquelles vous pouvez router les signaux audio dont vous souhaitez faire le sample. Un bouton Level et deux boutons Monitor sont également disponibles. Voir “Réglages en vue du sampling” pour plus d'informations sur le sample.
Module MIDI avancé

Il s'ouvre lorsque l'on appuie sur le bouton « MIDI AVANCE » sur le panneau de l'interface matérielle. Le module MIDI avancé n'est utilisé que si vous contrôlez Reason depuis un séquenceur externe, à l'aide des entrées de bus de contrôle externes. Généralement, vous envoyez MIDI vers une piste via le séquenceur, en sélectionnant la piste du séquenceur.
Vouse pouze selectionner les ports MIDI pour un maximum de quatre bus de contrôle externes (sur la page Contrôle avancé dans les Preférences). Chaque bus peut porter 16 canaux MIDI, pour un total maximum de 64 canaux d'entrée MIDI. C'est dans le module MIDI avancé que vous routez chaque canal MIDI vers un module en particulier dans le rack de Reason :
- Sélectionnez l'un des bus de contrôle externe en cliquant sur le bouton de selection de bus correspondant en haut du module MIDI avancé.
- Déroulez le menu pop-up de module pour un canal MIDI et sélectionnez un module.
Le menu affiche tous les modules dans le morceau actuel.
Now, incoming MIDI data on the selected bus and MIDI channel is sent directly to the selected device, bypassing the Reason sequencer. Le nom du module s'affiche dans le champ de nom pour ce canal MIDI en particulier.
- Essayez d'envoyer des notes MIDI depuis un séquenceur externe, dans le bus sélectionné et dans le canal MIDI.
L'indicateur situé sous le nom de canal devrait s'allumer.
Voir aussi "MIDI avancé - les entrées de bus de contrôle externes" dans le chapitre MIDI avancé et synchronisation.
Plus d'audio
Reason prend en charge jusqu'à 64 canaux d'entrées audio et 64 canaux de sortie. Les 48 entrées et sorties supplémentaires se trouvent sur le panneau « Plus d'audio »
Pour visualiser les entrées 17-64 et les sorties 17-64, cliquez sur « Plus d'audio »

Chaque entrée et sortie audio supplémentaire comporte une mesure et un indicateur multicolore LED qui s'allumera dans des couleurs différentes selon son état actuel ; voir "Introduction".
Le Big Meter

Pour un meilleur aperçu des niveaux d'un canal particulier, vous pouvez afficher le Big Meter sur l'interface matérielle.
- Cliquez sur le bouton « Big METER » sur le panneau avant.
Le panneau « Big Meter » s'affiche.
- Sélectionnez les paires entrée ou sortie à afficher dans le Big Meter en cliquant sur le bouton de sélection du canal sous chaque paire entrée ou sortie.
You pouvez aussi selectionner un canal en actionnant la molette de selection de canal.
Vous pouvez également sélectionner différents modes d'affichage ou combinaisons de modes d'affichage en cliquant sur le bouton Mode d'affichage à l'extrémité gauche.
Les modes d'affichage disponibles sont les suivants :
VU
Le mode VU se comporte de façon similaire aux vu-mêtres analogiques et affiche la valeur efficace (ou RMS, Root Mean Square) du signal. La valeur efficace étant une moyenne du niveau du signal sur une période donnée, elle ne permet pas de détecter correctement des éphémères rapides dans le son. Les vu-mêtres VU servent只不过 à contrôler le niveau sonore global du signal.
En mode VU, la response est de 300 ms/20 dB à la fois pour l'attaque et le relachement. Ce vu-mêtre ne présenteaucun segment de créte.
Le décalage VU peut être définir par pas de 2 dB entre -20 et 0 dB, en tournant le potentiemetre D'écalage VU.
Ce réglage déterminé la relation entre l'échelle dB VU et l'échelle dB Crête. Si vous n'avez pas de préférence, ne modifie pas le décalage VU.
- PPM
En mode PPM (Peak Program Meter), la réponse du vu-mètre est de 0 ms en attaque et 2,8 s/24 dB en relâchement. Le mode PPM convient parfaitement pour détecter les éphémères dans le son. Ce vu-mètre ne présente aucun segment de créte.
CRÉTE
En mode CRÉTE, la réponse du vu-mètre est de 0 ms à la fois pour l'attaque et le relâchement. Cela signifie que ce mode représenté le plus fidèlement le niveau du signal sur une période donnée. Le temps de relâchement étant de 0 ms, regarder les vu-mêtres en mode CRÉTE peut s'avérer très incommodant pour les yeux. Le mode PPM sera alors plus pratique car il répond aussi rapidement aux éphémères mais le relâchement est plus lent.
Le segment de crête (le segment LED à l'extrémité droit, indiquant le niveau maximum) a un temps de relâchement dépendant du réglage du paramètre Maintien de crête (5 secondes ou infini). Cela vous permet de repérer plus facilement les pics de niveau très brefs.
- VU+CRÈTE
En mode VU+CRÉTE, la réponse du vu-mètre dépend du mode VU, plus un segment de créte.
- PPM+CRÈTE
En mode PPM+CRÉTE, la réponse du vu-mètre dépend du mode PPM, plus un segment de créée.
Si le niveau audio des canaux sélectionnés est ou a été trop élevé, les indicateurs d'échéage du Big Meter restent allumés jusqu'à ce que vous cliquiez sur le bouton « Réinitialiser » ou que vous sélectionniez de nouveaux canaux audio pour le Big Meter. Voir “À propos des volumes audio” pour plus d'informations sur la façon d'utiliser et de travailler avec le Big Meter.

REASON
Chapitre 22 Le Combinator
Introduction

Le Combinator représenté un module spécial qui vous permit d'enregistrer et de rappeler toutes sortes de combinaisons de modules Reason (instruments, effets, mixeurs, etc.) avec leurs connexions internes. Une configuration enregistrée du Combinator peut être chargée en tant que patch appelé « Combi ». Le module Combinator agit lui-même comme un conteneur destiné aux modules d'un Combi.
L'idée fondamentale derrière le module Combinator est simple, mais très puissant. Pouvoir enregistrer plusieurs modules comme Combi vous permet de rappeler instantanément tout type de configuration, aussi complexe soit-elle, de façon aussi simple que le chargement d'un patch!
Voici quelques applications classiques du Combinator :
Créer des multi-instruments séparés ou superposés.
Ajouter un nombre de modules instrumentaux et les jouer comme un instrument unique superposé. Les modules instrumentaux figurant dans un Combi peuvent également être affectés à des zones de clavier/velocité spécifiques.
Enregistrer des combinaisons instrument/effet.
Enregistrez un instrument en même temps que vos effets favoris.
Creer des modules multi-effets.
Vou pOUez creER et enregister des chaInes d'effets complexes comme des Combis.
À propos du format de patch Combi
Le Combinator enregistre des fichiers au format de patch Combi (.cmb). Lorsque vous chargez un patch Combi pré à l'emploi, tous les modules inclus dans le Combi, les réglages de leurs paramètres propres, ainsi que les connexions audio et CV sont instantanément rappelés.
La Factory Soundbank Reason inclut de nombreux patches Combinator préréglés, divisés en diverses catégories.
Voici deux types fondamentaux de patches Combi : les Combis d'instruments et d'effets.
Les Combis d'instruments contiennent des modules instrumentaux et générent des sons.
Les Combis d'effets contiennent des modules d'effets et sont utilisés pour Traitser le son.
Le MClass Mastering Suite Combi (que l'on peut selectionner dans le menu Creer) est un exemple de Combi d'effets.
Creation de modules Combinator
Creation d'un module Combinator vide
Ajoutez un Combinator à partir de l'onglet Modules dans la fenêtre Outils. Pour afficher l'icone du module Combinator, la case « Autre » doit être cochée.
Sélectionnez « Combinator » dans le menu Créer.
Cette opération créera un Combinator vide. Les modules Combinator vides peuvent être utilisés comme point de départ lors de la création de nouveaux patches Combi. Cela vous permet également de rechercher des patches Combi existants.
Creation d'un Combinator en combinant plusieurs modules
Vou pouve créé un module Combinator en groupant des modules existants :
- Sélectionnez deux modules ou plus dans le rack en utilisant le [Ctrl]-clic (Win) ou [Maj]-clic (Mac). Les modules ne doivent pas nécessairement être côte à côte dans le rack.
- Sélectionnez « Grouper » dans le menu Édition ou dans le menu contextuel.
Cette opération cree un module Combinator contenant les modules qui ont ete selectionnés selon les regles suivantes :
Une piste de séquenceur est créé pour le Combinator, tout comme lors de la création d'un module instrumental ou à pattern.
Le nouveau module Combinator apparait à la position du module sélectionné le plus bas dans le rack.
Les modules selectionnés sont déplacés et contenus dans le « caisson » du Combinator. Leur ordre interne n'est pas modifié. Reason tente de router automatiquement la première « entree de module » et la première « sortie de module » aux connecteurs Modules finalaux/initialux du Combinator. Voir “À propos des connexions internes et externes”. Les autres connexions restent inchangées.
Les modules en dehors du Combi restent dans le même ordre que precedemment.
! Veuillez également voir "Ajout de modules à un Combi" pour obtenir de plus amples informations concernant le routage automatique.
Création d'un Combinator en parcourant les patches
Vous pouvez utiliser le bouton « Créer un instrument » ou « Créer un effet » pourcréer un module Combinator ( comme tout autre module). Si vous Sélectionnéz un patch .cmb, un Combinator sera créé contenant tous les modules et les réglages enregistrés dans le Combi.
Éléments du Combinator
L'imag ci-dessous montre un module Combinator déplié.



L'avant du Combinator contient les éléments suivants (de haut en bas) :
Le panneau étroit supérieur est toujours affché, même lorsque le Combinator est replié.
Il contient un affichage qui (entre autres) montre le nom du Combi actuellément chargé et des boutons standard Sélectionner/Parcourir/Enregistrer du patch.
Vient ensuite le panneau de contrôle qui est always affiché si le Combinator est déplié.
Voir "Le panneau de contrôle".
Le panneau de programmation contient les réglages pour l'affection de la zone de clavier et de velocité, ainsi que les réglages de routage de la modulation.
Le programmeur peut être affiché/masqué en cliquant sur le bouton « Afficher le programmeur » dans le panneau de contrôle. Voir “Utilisation du programmeur”.
En bas se trouvent les modules contenus dans le Combi.
Les modules peuvent être affichés ou masqués en cliquant sur le bouton « Afficher les modules » dans le panneau de contrôle. L'espace vide en bas est utilisé pour ajouter d'autres modules à un Combi via le glisser-déplacer. Cliquer sur un espace vide de façon à faire apparaitre une ligne rouge d'insertion permet également de faire du Combi le conteneur cible pour de nouveaux modules créés (depuis le menu Créer). Voir “À propos de la ligne d'insertion”.
À propos des connexions internes et externes
Contrairement à d'autres modules, le Combinator contient des connexions audio à la fois internes et externes.
Les connexions externes sont utilisées pour connecter un Combinator à des modules extérieurs au Combi.
Les connexions internes sont celles qui connectent les modules au sein d'un Combi.
Connexions externes

Les connecteurs « Sortie G/D du Combi » transportent la sortie audio du Combinator.
Cette sortie connecte le Combi à un module externe, généralement un mixeur. En interne, cette sortie est connectée aux connecteurs « Modules initiaux ». Lorsque vous creez un Combinator, cette sortie sera automatiquement routée vers la première voie de mixage d'entrée disponible.
Les connecteurs « Entrée G/D du Combi » désignent l'entrée du Combinator (utilisées pour les Combis d'effets seulement).
En interne, cette entrée est connectée aux connecteurs « Modules finaux »
Connexions internes

Les entrées « Modules initiaux G/D » sont celles auxquelles sont connectées les sorties des modules du Combi.
Les sorties « Modules finaux G/D » sont connectées à uneentrée sur un module dans un Combi d'effets.
À propos du routage externe
Si un module individuel du Combi est directement connecté à un module en dehors du Combinator, on parle alors d'une connexion « Routage externe», ce qui devrait normalement être évité. La raison en est que de telles connexions ne sont pas enregistrées dans un patch Combi.
Ainsi, toutes les connexions vers depuis un Combi doivent passer via les connecteurs Module final/initial sur le module Combinator si vous poulez prendre le Combi autonome.
Si un Combi contient des connexions de routage externe, cela est indiqué à la fois sur les panneaux avant et arrrière du Combinator. Sur le panneau avant, « Routage externe » s'affiche dans l'affichage du nom du Patch et, sur le panneau arrrière, une LED s'allume.

Il est toujours possible d'utiliser un Combi avec des connexions de routage externe dans le contexte d'un morceau (dans lequel tous les routages sont enregistrés avec le morceau). Gardez simplement à l'esprit que les connexions de routage externe ne font pas partie du patch!
Comment éviter les connexions de routage exter
Comme nous l'avons expliqué précédemment, toutes les connexions vers/depuis un module Combinator devraient passer via les connecteurs Module final/initial de façon à prendre le Combi autonome. Vousdez ondc inclure un module de mixage pour les Combis contenant plus de 2 sorties de module.
Supposons que vous ayez à grouper trois modules instrumentaux (chacun disposant de sorties stéreo connectées à un mixeur) de façon à creer un Combi d'instruments séparés ou superposés.
Si vous sélectionné simplement ces trois modules instrumentaux (mais pas le mixeur) et que vous Sélectionnez « Grouper», seul l'un des modules pourrait être auto-route vers les connecteurs « Modules initiaux», alors que les deux autres modules auraient les mêmes connexions qu'avant le groupage.
De ce fait :
Lorsque vous groupez plusieurs modules instrumentaux, connectez-les à un module de mixage et incluez ce dernier dans le Combi.
De cette façon, toutes les sorties des modules instrumentaux figurant dans le Combi peuvent être connectées à des canaux d'entrées séparés dans le mixeur. La sortie du module mixeur peut être routée via les connecteurs « Modules initiaux ». Ainsi, le Combi sera autonome.

Des modules instrumentaux et d'effets connectés à un Line Mixer 6:2 à l'intérieur du Combi.
Le Line Mixer 6:2 convient parfaitement pour mixer les sorties des modules dans des Combis (voir "Le Line Mixer 6:2").
Ajout de modules à un Combi
À propos de la ligne d'insertion

Lorsque la ligne d'insertion s'affiche, les nouveaux modules crees seront ajoutés au module Combinator.
Pour pouvoir selectionner la ligne d'insertion, vous devez vous assurer que le bouton « Afficher les modules » est allumé sur le panneau de contrôle du Combinator.
La ligne d'insertion est affichée dans un espace vide situé en bas du caisson du Combinator (sous l'un des modules disponible actuellement dans le Combi).
Si le Combi ne contientaucun module,l'espace vide se trouve alors juste sous le panneau de contrôle.
Affichage de la ligne d'insertion
Chacune des méthodes suivantes sélectionnera/affichera la ligne d'insertion :
- Enclistant dans un espace vide en bas du caisson du Combinator.
- En créé un Combi, la ligne d'insertion est automatiquement sélectionnée.
- En utilisant les touches de direction, vous pouvez vous déplacer dans tous modules situés actuellement dans le Combi et les sélectionner. En sélectionnant l'espace vide, la ligne d'insertion apparait.
- Sélectionner « Initialiser le Patch » pour un Combinator effacera tous les modules et fera apparaitre la ligne d'insertion.
Notez que l'affichage de la ligne d'insertion selectionne automatiquement le module Combinator. Cependant, la selection du Combinator n'affichera pas automatiquement la ligne d'insertion.
La ligne d'insertion reste selectionnée jusqu'à ce que vous selectionniez un autre module (soit dans le Combi, soit dans le rack) ou que vous masquiez les modules.
Creation de modules dans un Combi
Pour faire d'un Combinator le module cible des modules créés, vous doivent utiliser l'une des méthodes suivantes :
Affichez la ligne d'insertion (voir "Affichage de la ligne d'insertion").
Si vous créez un module alors que la ligne d'insertion est affichée, le nouveau module apparaitra sous la ligne d'insertion, en bas du caisson du Combi.
Sélectionnéz un module dans le Combi (mais pas le Combi lui-même).
Lorsque you selectionnez un module depuis le menu Crer, il apparaitra sous le module selectionné (como c'est le cas dans le rack).
Aucune piste de séquenceur ne sera automatiquement créé pour les modules ajoutés à un Combi.
À propos de l'auto-routage
L'auto-routage des modules dans un Combi est similaire à celui des modules dans le rack :
- Si un module figurant dans un Combi est selectionné, le nouveau module créé apparaitra sous le module selectionné selon les règles standard.
- Si un effet est sélectionné et que vous créez un module d'effet, ce dernier sera connecté en série.
- Si un module instrumental est selectionné et que vous créez un effet, il sera connecté comme Insert d'effet au module instrumental.
Si un mixeur est selectionné et que vous creez un effet, il sera connecté au mixeur comme départ d'effet. - Si un module instrumental est selectionné et que vous créez un autre module instrumental, il sera ajouté sous le module selectionné et connecté au premier canal d'entrée de mixeur disponible.
- Si vous maintenez la touche [Maj] enforcée et que vous créez un module, aucun auto-routage ne sera effectué.
- Si vous maintenez la touche [Option] (Mac) enforcée ou [Alt] (Windows) et que vous créez un module, une piste de séquenceur sera créé pour le module.
Si vous ajoutez un module à un Combi vide, sa sortie sera automatiquement routée vers les connecteurs « Modules initiaux ». Pour les modules d'effets, l'entrée sera également auto-routee vers les connecteurs « Modules finaux »
Ajout de modules via le glisser-deplacer
Voupez deplacer des modules dans le rack se trovant en dehors du Combi dans le caisson du Combinator.
Cette operation fonctionne comme suit :
- Si vous souhaitez ajouter plusieurs modules simultanément, Sélectionnez les modules en question en appuyant sur la touche [Ctrl] (Win) ou [Maj] (Mac).
- Cliques sur la zone « poignée » d'un module.
Pour les modules de largeur complète, il s'agit de la zone à gauche et à droit du panneau (entre les bords du rack). Pour les modules plus petits, vous pouvez cliquer où vous le souhaitez en dehors des paramêtres réels.
- Déposez le(s) module(s) dans le Combinator.
Une ligne rouge verticale épaisse indique l'endetroit où le(s) module(s) sera/seront positionné(s). Notez que la ligne rouge peut se couver à gauche d'un module (indiquant que le module déplace sera inséré avant l'autre module) ou à droite du module (indiquant que le module déplace sera inséré après l'autre module). Vous pouvez également ajouter des modules dans l'espace vide en bas du caisson du Combi. - Aucun auto-routage ne sera effectué.
Les connexions existantes dans le rack seront conservées, des connexions de routage externe ne sont par conséquent pas à exclure (voir « À propos du routage externe»). Si tel est le cas, « Routage externe » sera indiqué dans l'affichage du nom du Combinator (à l'arrête du Combinator, une LED s'allumera).
- Si vous déplacez des modules dans le Combi en maintainant la touche [Maj] enforcée, les modules seront déconnectés du rack et auto-routés selon leur point d'insertion.
Le routage entre les modules déplacés sera conservé. S'il n'est pas possible d'auto-router un module déplaced (par exemple, il n'y a plus d'entrées de mixeur libres dans le Combi), le module sera déconnecté. - Si vous déplacez des modules dans le Combi en maintainant enforcée la touche [Option] (Mac) ou [Alt] (Windows), les modules seront copiés. Aucun auto-routage ne sera effectué.
Si vous utilisez [Maj] simultanément, une tentative d'auto-routage sera effectue selon les mêmes règes que celles décrites précédemment.
Ajout de modules à l'aide du copier-coller
Vouspouvez copier des modules et les copier dans un Combi.
- Sélectionnez les modules que vous souhaiter copier comme d'habitude.
- Sélectionnez « Copier un module » dans le menu Édition (ou dans le menu contextual).
- Sélectionnez un module dans le Combi ou cliquez sur l'espace vide pour faire apparaitre la ligne d'insertion.
- Sélectionnez « Coller le module » dans le menu Édition (ou dans le menu contextual).
Lorsque vous collez des modules, ces derniers seront ajustés sous le module actuellément sélectionné ou sous la ligne d'insertion du Combi.
Aucun auto-routage ne sera effectué.
En Maintenant la touche [Maj] enfoncée, une tentative d'auto-routage sera effectue selon les règles standard.
Ajout d'un Combi à un Combi
Les Combis imbriqués (c'est-à-dire un Combi au sein d'un autre Combi) ne sont pas pris en charge. Si vous ouvrez le menu Créer lorsque la ligne d'insertion ou un module du Combi est sélectionné, l'élement Combinator sera grisé.
Vou puez cependant utilise le glisser-deplacer ou le copier-coller pour ajouter un Combi dans un autre Combi.
Les points suivants s'appliquent :
Les modules dans le Combi déposé (ou collé) seront « dégroupés » (c'est-à-dire que le module Combinator lui-même sera supprimé) et les modules seront ajustés sous le point d'insertion du Combi cible.
Le routage existant resterainchangé.
Si vous maintainez la touche [Maj] enforcée lorsque vous déplacez (ou collez) les modules dégroupés, ils seront auto-routés comme s'il n'existait qu'un seul module.
La sortie « Modules initiaux » (et l'entrée « Modules finaux » le cas échéant) utilisée dans le Combi dégroupe sera auto-routee vers le Combi cible, selon les règles standard.
Groupage de deux Combis
Le Combi inférieur sera dégroupe et les modules ajoutés au Combi supérieur dans le rack lors du groupe.
Le routage existant resterainchangé.
Groupage de modules dans un Combi相对较ient des modules dans le rack
Si vous groupez certains modules dans un Combi avec des modules dans le rack, les modules combinés sont supprimés de leur emplacement d'origine et ajoutés dans un nouveau Combi (sous le Combi d'origine).
Manipulation du Combi
Déplacement d'un Combi complet
Cette opération fonctionne comme pour les autres modules dans le rack.
Sélectionnez le Combinator en cliquant sur le caisson et déplacez-le vers un autre point.
Un contour du Combinator est affché lors du déplacement et une ligne rouge s'affiche au point d'insertion. Toutes les connexions sont conservées.
Si vous maintenez la touche [Maj] enforcée lors du déplacement du Combinator, une tentative d'auto-routage sera effectue au point d'insertion du rack selon les règles standard.
L'auto-routage prendra en compte le fait qu'il s'agit d'un Combi d'effets ou d'instruments.
Si vous maintenez enforcée la touche [Alt] (Win) ou [Option] (Mac) lors du déplacement, une copie du Combi est créé.
Aucun auto-routage ne sera effectué. Si vous maintenez enforcées les touches [Option] (Mac) ou [Alt] (Windows) + [Maj], le Combi copé sera auto-route selon les règles standard.
Déplacement des modules dans un Combi
Tout comme les modules du rack, un contour des modules s'affiche lors du déplacement et une ligne rouge montre le point d'insertion. Toutes les connexions sont conservées.
Si vous maintenez enforcée la touche [Maj] lors du déplacement, le(s) module(s) tentera/teront de procéder à l'auto-routage sur le point d'insertion selon les règles standard.
Déplacement des modules en dehors d'un Combi
Si vous déplacez des modules en dehors d'un Combi, le point suivant s'applique :
Le routage resteinchanged et l'indicateurRoutage externestesusceptiblede s'allumer.
Si vous maintainez enforcée la touche [Maj] lors du déplacement, le(s) module(s) tentera/tingeront de procéder à l'auto-routage sur le rack selon les règles standard.
Suppression des modules dans un Combi
Cette opération fonctionne de la même façon que pour les modules du rack. Sélectionnez le module, puis sélectionné « Supprimer les modules et les pistes » dans le menu Édition, ou appuyez sur [Retour arrêté].
Dégroupage des modules
You pouvez degrouper l'ensemble d'un Combi ou les modules selectionnés au sein d'un Combi de la façon suivante :
Si vous sélectionné un Combinator, puis « Dégrouper » dans le menu Édition, le module Combinator sera supprimé et tous les modules contenus dans le Combi seront connectés comme unique module au rack.
Les modules précédemment connectés aux connecteurs Modules finaux/initials seront désormais connectés au rack de la même façon que le module Combinator l'était (via l'entrée et la sortie Combinator).
Si vous dégroupez quelques modules sélectionnés dans un Combi, ils seront supprimés du Combi, puis ajoutés au rack sous le Combi.
Les connexions restent inchangées et le routage externe risque de se produit.
Pistes du séquenceur et lecture des Combis
Lorsque vous créez un module Combinator, une piste du séquenceur est automatiquement créé. Cette piste reçoit également l'entrée du clavier maître comme tout module instrumental standard.
Lorsque la piste Combinator reçoit des données MIDI entrantes, elles seront routées vers tous les modules instrumentaux dans un Combi d'instruments.
Cela signifie que tous les modules seront superposés lorsque vous jouez (prenant en compte la velocité par défaut et les zones de jeu).
Vous peuvent désactiver la réception de notes ou les données de contrôle de performance sélectionnées pour des modules instrumentaux individuels dans le panneau de programmation.
Voir "Utilisation du programmeur" pour plus de détails.
Le panneau de contrôle

Il s'agit du panneau principal du Combinator. comme tous les modules instrumentaux standard, ce dernier propose des roues de modulations et de Pitch et autres contrôleurs.
À propos des contrôleurs virtuels
Les quatre boutons rotatifs et les quatre boutons situés au milieu du panneau de contrôle désignent des contrôleurs "virtuels" qui peuvent être affectés à des paramètres et fonctions dans les modules contenus dans le Combi.
Ces contrôleurs sont affectés par défaut à tout paramètre des nouveaux Combis.
- Vous affectez des paramètres dans la section Routage de modulation du panneau de programmation (voir "Utilisation du routage de modulation").
- Les mouvements des contrôleurs virtuels peuvent être enregistrés comme automation.
- Chaque contrôleur peut être affecté à un nombre quelconque de paramètres.
- En cliquant sur l'étiquette d'un contrôleur rotatif ou d'un bouton, vous poupez y entraun un nom approprié.
Les roues de Pitch Bend et de modulation
Les roues de Pitch et de modulation situées sur le panneau de contrôle reflètent les actions de votre clavier maître, tout comme celles des modules instrumentaux standard.
Lorsqu'un module Combinator recooit une entrée de clavier maître et que le Combi contient plusieurs modules instrumentaux, ils receivefront tous les données de Pitch Bend et de modulation.
Cela signifie que les réglages d'un module instrumental déterminent les effets de l'application d'un Pitch Bend ou d'une modulation.
- Par exemple, déplacer la roue de modulation pourrait appliquer un vibrato pour un module et changer la fréquence de coupe de filtre pour un autre module.
- Le Pitch Bend s'applique également selon les réglages individuels dans le champ Plage pour tous les modules instrumentaux d'un Combi.
Bouton Exécuter les modules à pattern
Ce bouton peut être utilisé pour lancer/arrêter tous les modules à pattern contenus dans le Combi. Cette opération fonctionne exactement de la même manière qu'en activant le bouton Exécuter sur le panneau de modules à pattern. Le statut on/off de ce bouton n'est pas enregistré dans le patch de Combi. Appuyer sur Lecture dans le panneau de transport activera automatiquement « Exécuter les modules à pattern »
- Dans la Factory Sound Bank de Reason, les patches de Combi contenant des modules à pattern possèdent un nom de patch se terminant par « (run) ».
Bypass de tous les effets
Ce bouton vous permet de bypasser tous les modules d'effet dans un Combi. Il fonctionne de la maniere suivante :
-
Tous les modules d'Insert d'effet du Combi basculent en mode Bypass.
-
Tous les effets connectés comme départ d'effets à un module mixeur sont désactivés.
- Cliquer sur ce bouton n'affectora pas les modules d'effets déjà bypassés ou désactivés.
Sélectionner l'apparance du panneau de contrôle...

Cette fonction vous permet de changer la « skin » (apparence) du panneau de contrôle. Vous pouvez creer vos propres étiquettes pour les contrôleurs affectables et changer la couleur et l'apparence de l'ensemble du panneau.
→ Sélectionnez le Combinator et sélectionnez « Sélectionner l'apparace du panneau de contrôle... » dans le menu Édition.
Un navigateur d'images s'ouvre vous permettant deCHOISIR un fichier image au format JPEG (jpg).
Les dimensions de l'image doivent etre de 754 x 138 pixels.
Les boutons rotatifs, boutons, boutons d'affichage de nom de patch et boutons de patch ne peuvent pas etre redefinis.
Si vous souhaitez créé vos propres étiquettes pour les contrôleurs virtuels, vous devez d'abord supprimer les étiquettes d'origine.
Cliquez sur une étiquette, supprimez le texte et appuyez sur [Entrée].
Pour supprimer une appearance, selectionnez « Supprimer l'apparce du panneau de contrôle » dans le menu contextualuel.
L'apparance d'origine du panneau du Combinator est restaurée.
A propos des modèles de panneaux
Des modèles de panneaux sont installés avec le programme. Ils disposent des dimensions appropriées et représentant un bon point de départ pour creer des panneaux. Le dossier « Panneaux de Combi » se trouve dans le dossier « Documents modèles » du dossier Programme de Reason.
Deux modèles sont disponibles, l'un au format JPEG et l'autre au format Adobe Photoshop (.psd).
Le modele .psd (Photoshop) contient plusieurs couches, ce qui s'avere pratique pour personaliser les panneaux.
Vou devez enregistrer tout panneau create dans Photoshop en tant que fichier JPEG avant de pouvoir l'utiliser dans Reason.
Utilisation du programmeur
Le programmeur sert à l'affection des touches et au réglage des plages de velocité pour les modules instrumentaux et le routage de la modulation, ainsi que pour l'affection des paramètres pour les boutons et boutons rotatifs du panneau de contrôle.
Pour afficher le panneau de programmation, cliquez sur le bouton « Afficher le programmeur » du panneau de contrôle.
Le programmeur apparait sous le panneau de contrôle.

À gauche du panneau de programmation se trouve la liste des modules figurant dans le Combi actuel, et ce, dans l'ordre identique à celui dans lequel ils apparaissent dans le caisson du Combinator.
Cliqueur sur un module dans la liste le sélectionne pour l'édition.
La section intermédiaire, Affectation de touches, montre un clavier comportant une barre de défilament horizontale supérieure. Dans la zone située en dessous, la zone de jeu de chaque instrument est affichee.
Sur votre droite, se trouve la section Routage de la modulation dans laquelle vous pouvez affecter les paramètres aux contrôleurs dans le panneau de contrôle.
Voir "Utilisation du routage de modulation".
Affectation des touches aux modules instrumentaux
Chaque module instrumental peut contenir sa propre zone de jeu, la touche la plus haute et la plus basse déclengeront ce module. Cela permet de creer des modules instrumentaux séparés et superposés dans un Combi.
- Assurez-vous que la piste du Combinator possède une entrée du clavier maitre.
- Sélectionnez un module instrumental dans la liste Modules située à gauche (les modules non instrumentaux comme les effets et les mixeurs n'ont pas de zone de jeu).
La zone de jeu du module actuellément sélectionnée est affichée en surbrillance sous la forme d'une barre horizontally sous l'affichage du clavier et sous la forme de numérios de notes dans les champs Zone de jeu inf. et sup. en bas du panneau de programmation. Par défaut, l'ensemble des notes est sélectionné (de C -2 à G 8). Seul un module peut être sélectionné à la fois.

Il existe plusieurs méthodes permettant de modifier la zone de jeu actuelle :
En cliquant sur les champs Zone de jeu inf. et sup. et en déplaçant la souris vers le haut et vers le bas.
En déplaçant les poignées sur la barre horizontally dans l'affichage central. Il se peut que vous deviez utiliser la barre de défilament supérieure pour « visualiser » les poignées.
En déplaçant la barre horizontally elle-même, vous pouvez également déplacer les zones de clavier horizontally et ainsi changer leurs zones de jeu.
- En utilisant l'une de ces méthodes, définissee la zone de jeu du module sélectionné.
Une fois cette opération effectuée, le module ne jouera que les notes définies dans la zone de jeu.
En définitant les zone de jeu des modules dans un Combi, vous pouze creator des instruments séparés.
Par exemple, les notes jouées en dessous de C2 peuvent déclencher un module jouant un son de basse alors que les notes jouées au-dessus de C2 peuvent déclencher un module jouant un son feutré.
Les modules instrumentaux d'un Combi qui partagent la même zone de jeu sont dits superposés, c'est-à-dire qu'ils jouent simultanément.
À condition qu'aucune plage de velocité n'ait été définie (voir plus bas).
Vous pouvez bien sur définiir des plages se chevauchant où les notes d'une zone de jeu définie superposeront deux modules (ou plus), mais les notes au-dessus et en dessous de cette plage joueront des modules distincts.
À propos de la fonction Réglage par demi-ton
Le champ Réglage par demi-ton situé dans le coin inférieur droit vous permet de transposer le module instrumental actuellement sélectionné. Il ne déplacera pas l'affection des touches, mais simplement le pitch du module sélectionné. La plage est de +/− 3 octaves, par demi-tons.
À propos du clavier
Vousspuvezutiliserleclavier pourentendreles modulesinstrumentauxselectionnésenappuyant sur [Option] (Mac) ou[Alt] (Windows)et en cliquant sur les touches.
À propos des cases Réception de notes/Contrôleur de performance MIDI
Dans le coin inférieur gauche du programmeur se trouve le champ Réception de notes pourvu d'une case à cocher correspondante et, plus bas, se trouve des cases à cocher destinées à tous les contrôleurs de performance MIDI standard (Pitch Bend/Roue de modulation/Respiration/Expression/Pédale de sustain/Aftertouch).
Ces cases you permottent de contrôler si les données du contrôleur de performance MIDI/du récepteur de notes doivent être reçues pour chaque module instrumental d'un Combi.

Si vous découvertz la case "Réception de notes", le module sélectionné ne répondra pas aux messages de note MIDI entrants.
Si un module non instrumental est sélectionné, cette case est toujours désactivée.
Si vous désactivez un des contrôleurs de performance, le(s) contrôleur(s) correspondant(s) ne seront plus reçu(s) par le module instrumental sélectionné.
Ils sont tous actifs par défaut.
Définition des plages de vélocité pour les modules instrumentaux
Lorsque des modules instrumentaux sont définis de telle sorte que leurs zones de jeu se chevauchent (entièrement ou partiellement), vous pouvez utiliser et modifier la velocité pour déterminer quels modules doivent être joués en fonction de la force avec laquelle vous jouez sur votre clavier MIDI.
Pour ce faire, définissez les plages de velocité.
Chaque fois que vous appuyez sur une touche de votre clavier MIDI, une valeur de velocité comprende entre 1 et 127 est envoyée à Reason. Si vous appuyez délicatement sur la touche, une valeur de velocité faible est envoyée et si vous appuyez plus fortement, une valeur de velocité haute est envoyée.
La valeur de velocité détermine quels modules doivent être joués et lesquels ne le doivent pas.
- Sélectionnez un module instrumental dans la liste Modules à gauche (les modules non instrumentaux, comme les effets et les mixeurs n'ont pas de plage de velocité).
Par défaut, la plage complète est sélectionnée (0 - 127). - Cliquez sur les champs de valeur Plage de velocité inf. et sup., puis déplacez la souris vers le haut ou vers le bas pour définir respectivement une plage de velocité supérieure et inférieure.
- Lorsque vous avez defini une plage, le module ne sera déclenché que par des notes dont la velocité est comprise dans cette plage.
À propos des plages de velocité qui se chevauchent
Vou puez definir des plages de velocité qui se chevauchent. Voici un exemple decrivant le mode de fonctionnement possible :
Le module 1 possede une plaque de velocite comprise entre 1 et 60.
Le module 2 possède une plage de velocité comprise entre 41 et 100.
Le module 3 possede une plaque de velocite comprise entre 81 et 100.

Désomais, les valeurs de velocité comprises entre 41 et 60 déclencheront des notes à la fois pour les modules 1 et 2. De la même manière, les valeurs de velocité comprises entre 81 et 100 déclencheront des sons pour les modules 2 et 3.
À propos des plages de velocité complètes et partielles
Youou povez voir les modules dont les plages de velocite ont ete modifiees dans l'affichage de la carte de touches :
- Les modules dotés d'une plage de velocité complète (de 0 à 127) sont affichés uniquement avec un simple contour.
- Les modules dotés d'une autre plage de velocité sont hachurés.

Vou reconnaitrez un module avec une plage de velocité partielle par ses hachures.
Utilisation du routage de modulation
La section Routage de la modulation vous permet d'affector un paramètre ou une fonction dans les modules inclus dans un Combi à l'un des boutons ou boutons rotatifs virtuels du panneau de contrôle. Vous pouze également contrôler les paramètres du programmeur du Combi en connectant les sources de modulation CV externes à l'une des quatre entrées CV du programmeur situées à l'arrête du panneau de programmation déplié.
À propos des boutons et boutons rotatifs
Les boutons rotatifs et boutons virtuels fonctionnement comme les contrôleurs équivalents des apparciels réelés :
Un bouton rotatif peut soit changer légément les valeurs d'un paramètre (par exemple, un contrôleur de volume) ou parcourir des valeurs fixes ( comme le contrôleur de forme d'onde d'un oscillateur sur un Subtractor).
Un contrôleur basculera entre deux valeurs comme un bouton on/off.
Il est important de noter qu'il existe des boutons sur plusieurs modules Reason qui passent par une série de valeurs, par exemple les boutons de forme d'onde d'un LFO. Si la forme d'onde du LFO est affectée à l'un des boutons virtuels, vous ne pourrez basculer qu'entre deux des six formes d'onde LFO (lesquelles sont déterminées par les plages Min/Max).
La plage disponible de chaque paramètre selectionné est affiché dans les champs Min/Max du routage de modulation.
La plupart des boutons rotatifs et curseurs des modules réels complènnt les plages standard de 0 à 127 ou de -64 à 63. Les sélecteurs et les boutons fléchés peuvent posseder tout type de plage de valeur.
À propos des entrées CV du programmeur
À l'arrière du panneau de programmation se trouvent quatre entrées de modulation CV destinées à la connexion des sources externes permettant de modifier les paramètres accessibles dans la section Cible du programmeur. Voir "Entrées CV du programmeur".
Affectation des paramètres à un contrôle
Pour effectuer cette opération, procédez comme suit :
- Sélectionnez le module pour lequel vous souhaitez affecter des paramètres dans la liste de modules située à gauche.

Le nom du module sélectionné est à créé affché dans le champ Module du routage de modulation. La section Routage de modulation contient quatre colonnes :
Dans la colonne Source, les quatre boutons et boutons rotatifs sont affichés par défaut, mais chaque champ peut être remplaced par un bouton/un bouton rotatif/une entrée CV ou contrôleur de performance en cliquant sur la flèche et le sélectionnant dans le menu contextuel.
Par défaut, les deux derniers champs ne sont pas affectés.
Les menus contextuels de la colonne Cible contiennent tous les paramètres du module sélectionné.
Enfin, dans chaque liste déroulante Cible se trouve l'option permettant de receivevoir ou non les données de notes.
Les colonnes Min/Max vous permettent de specifier une plage de valeurs pour le contrôleur virtuel.
- Cliquez sur la colonne Cible pour le bouton rotatif ou le bouton auquel vous souhaitez affecter un parametre.
Dans le menu contextuel qui s'affiche sont répertoriés tous les paramètres disponibles pour le module.

- Sélectionné le paramètre que vous pouze affecter au contrôleur.
Le paramètre est à présent affecté et le nom du paramètre est affiché dans la colonne Cible pour le contrôleur correspondant.

- Si vous voulez que le module sélectionné recoive des notes, cette option doit être cochée.
- Si vous déplacez ou appuyez sur le bouton rotatif ou le bouton, un contrôle du paramètre que vous lui avez affecté sera désormais effectué.
- Vou posses préciser une plage pour le parametre en cliquant dans les colonnes Min et Max et en déplaçant la souris vers le bas et vers le haut.
Par défaut, la plage maximale est définie.
- Si vous sélectionnez un autre module dans la liste Modules située à gauche, vous pouvez affecter un autre paramètre au même bouton rotatif ou bouton en utilisant la même méthode de base.
Cela signifie que vous pouvez创建工作 des contrôleurs multi-fonctions qui opèrent simultanément sur plusieurs paramètres. Par exemple, si vous disposez de deux Subtractor et un Malström dans un Combi, vous pouvez创建工作 un bouton « maître » de coupure de filtré qui contrôleient ce paramètre pour les trois modules.
Attribution d'un nom à un contrôleur
Lorsque you effectuez des affectations de routage de modulation, you veez attribuer un nom descriptif au contrôleur associé qui reflète sa fonction, par exemple Vibrato On/Off ou le nom du paramètre qu'il contrôle.
Pour ce faire, cliquez sur l'etiquette du panneau de contrôle, puis saisissez un nouveau nom.
Connexions CV
Les connexions CV entre les modules d'un Combi sont enregistrées dans les patches de Combi. C'est également le cas pour les connexions CV entre les modules de Combi et le Combi lui-même (par exemple, si vous avez connecté un Matrix dans le Combi à l'une des entrées CV à l'arrête du panneau du Combi.
Les connecteurs CV suivants se trouvent à l'arrière du Combinator :
Entrées Sequencer Control
Les entrées Sequencer Control CV et Gate vous permettent de jour le Combinator depuis un autre module CV/ Gate (généralement un Matrix ou un RPG-8). Le signal à l'entrée CV contrôle le pitch de la note, alors que celui de l'entrée Gate restitue une note on/off avec la velocité.
Entrées de modulation
Dans cette section, vous trouvez les entrées de modulation CV standard de roue de modulation et Pitch Bend, ainsi que les entrées de modulation pour les quatre boutons rotatifs.
! Le(s) paramètre(s) affectés à un bouton rotatif peuvent ainsi être modulés par CV, ce qui vous permet d'utiliser le contrôle CV pour presque tous les paramètres Reason !
Entrées CV du programmeur

Vouss pouvez vous connecter aux sources de modulation CV externes afin de modifier l'un des paramètres Cible dans le programmeur (voir "Utilisation du routage de modulation"). En regard de chaque entrée CV se trouvent un bouton de sensibilité et un bouton de polarité fonctionnant comme suit :
- Les boutons de sensibilité peuvent être utilisés pour atténuer le signal d'entrée CV.
- Les boutons de polarité doivent être utilisés pour définir la polarité du signal d'entrée CV.
Par exemple, si vous avez connecté un signal CV à partir d'une générateur d'enveloppe, le bouton doit être défini sur Unipolaire. Si vous effectuez une modulation à partir d'un LFO standard, le bouton de polarité doit être défini sur Bipolaire.

REASON
Chapitre 23
Mixeur 14:2
Introduction

Le Mixeur 14:2 yous permit de controller le niveau, le placement stereo (pan), la tonalite (EQ) et le mixage d'effets (départs AUX) de chaque module audio connecté.
Si vous avez déjà utilisé un mixeur audio matériel conventionnel, vous devriez partager le mixeur très simple à utiliser. Il est configuré avec 14 canaux d'entrée (stériso), qui sont combinés et routés vers les sorties Master Gauche et Droite. Les « bandes » de canaux verticales sont identiques et contiennent - de haut en bas - quatre départ auxiliaires, une section EQ, des boutons Mute et Solo, un contrôleur de panoramicique et un curseur de niveau.
Chaque paramètre du mixeur peut bien entendu être automatisé.
La bande de canal

Chaque bande de canal dans le Mixeur 14:2 contient les éléments indiqués dans "Contrôleurs de bande de canal".
Contrôleurs de bande de canal
| Mode | Description | Plage |
| Curseur de canal | Le curseur de canal est utilisé pour contrôle le niveau de sortie du canal correspondant.En ajustant les faders, vous pouze définir le mixage souhaïte (balance)entre les différents modules connectés au mixeur. | 0 - 127 |
| Étiquette de canal | Chaque canal du mixeur qui est connecté à un module affiche une étiquette en lecture seule avec le nom du module à gauche du fader. | S.O. |
| Vu-mètre du canal | Il s'agit d'une représentation graphique du niveau de sortie du canal. Si le niveau du signal pousse le vu-mètre dans la partie rouge, essayez de réduire soit le niveau de sortie du module connecté au canal, soit le curseur du canal lui-même, pour éviter la distortion. | S.O. |
| Contrôleur de panoramaque | Utilissez ce contrôle pour définir la position gauche/droite du canal dans le champ stéroyo. [Command]/[Ctrl]-click sur le bouton Pan pour définir le panoramaque sur sa valeur par défaut « 0 » (position centrale). | -64 - 0 - 63 |
| Boutons Mute (M) et et Solo (S) | Cliqueur sur le bouton Mute d'un canal coupe la sortie de ce canal. Cliquez à nouveau sur ce bouton pour l'entendre de nouveau. Cliqueur sur le bouton Solo d'une voie coupe les autres voies de mixage de sortie, pour que vous n'entendiez que cette voie. Plusieurs canaux peuvent être mis en solo en même temps, mais si tel est le cas, notez que vous ne pouvez pas rendre muets les canaux solo avec le bouton Mute. Pour rendre mulet l'un des différents canaux en mode solo cliquez simplement sur le bouton « Non solo ». | On/Off |
| Contrôles d'EQ aigus et graves | Les contrôles d'EQ aigus et graves sont utilisés pour couper ou augmenter les fréquences hautes et basses respectivement du signal. Cliquez sur le bouton EQ pou activer l'EO. Si vous avez besoin d'un EQ plus avancé, vous pouvez utiliser un EQ paramétrique PEQ2 comme effet d'insert pour un module. Notez également les deux modes d'EQ - voir « À propos des modes d'EO". | Aigus: +/- 24 dB à 12 kHz. Graves: +/- 24 dB à 80 Hz. |
| Départ d'effets auxiliaires (AUX) 1-4 | Les quatre départs AUX indépendants contrôle l quantité du signal du canal qui est envoyée vers d'autres modules - typiquement des proceseurs d'affets. La sortie d'effet est normalément returnée dans le mixeur via les entrées Retour AUX (voir "La section Retour auxiliaire") où elle est mixée avec le signal sans effet (non traité). Si vous créEZ un module d'effet lorsque le mixeur est sélectionné, l'effect est auto-route vers les premiers connecteurs Départ/Retour disponibles. Vous pouze alors contrôle la quantité d'effet qui doit être appliquée à n'importe qu'il module connecté à la voie de mixage via le bouton Départ AUX correspondant. Les sorties Départ AUX sont prises après le curseur de canal, mais vous pouze sélectionner le mode Pre-fader pour départ Aux 4 (en cliquant sur le bouton « P » à côté du bouton Départ pour qu'il s'allume). Dans ce mode, le niveau de départ est indépendant du curseur de canal. Les départs sont en stéroyo mais peuvent également être utilisés en mono. | 0 - 127 |
Le flot du signal du mixeur
Le flot de signal classique pour un canal du mixeur14 :2 est le suivant :

Notez que la fonction Solo est un veritable solo « en-place», ce qui signifie que si un canal utilise des envois auxiliaires routés vers des modules d'effet, la sortie du signal solo inclura également le(s) canal/canaux solo incluant n'importe quel effet de départ auxiliaire.
Notez également que si le pré-atténuateur est activé pour l'Aux 4, le send est envoyé après les contrôleurs EQ et Pan mais avant le curseur de canal.
À propos des modes d'EQ

Avec Reason 2.5, les modules EQ dans le mixeur ont eté améliorés pour obtenir un son encore meilleur avec plus de caractère. Cependant, si vous souhaitez lire des morceaux créés avec des versions antérieures, vous pouvez utiliser l' « ancien » mode EQ pour vous assurer que les morceaux sont exactement les mêmes.
A l'arrière du Mixeur 14:2 vous trouvez un bouton à cet effet - sélectionnez « EQ amélioré » pour les nouveaux types d'EQ ou « EQ compatible » pour l'ancien EQ. Les paramètres sont exactement les mêmes dans les deux cas.
La section Retour auxiliaire

Les retours auxiliaires fournissant quatre entrées stéreo « supplémentaires » en plus des 14 canaux stéreo du Mixeur 14:2. La fonction principale des canaux de départ est de fournir des entrées pour les modules de départ d'effets connectés. Chaque canal de départ auxiliaire dispose d'un contrôleur de volume et d'une étiquette en lecture seule affichant le nom du module qui est connecté au canal de départ.
Le fader Master

La fader Master G/D contrôle le niveau de sortie fusionné de tous les canaux dans le Mixeur 14:2. Utilisez-le pour modifier le niveau relatif de tous les canaux, pour créé des fondus en sortie, etc.
Connexions
Tous les connecteurs d'entrée et de sortie sont, comme d'habitude, situés sur le panneau arrêté du Mixeur 14:2. Des connecteurs spéciaux sont utilisés pour « enchainer » ensemble deux ou plus de deux modules du Mixeur 14 :2. Cela est décrit dans "Chainage de plusieurs modules du Mixeur 14:2".
Connexions de la voie de mixage
Chaque voie de mixage offre des entrées stéreo gauche/droite pour connecter des modules audio.
Utilisez l'entrée gauche lorsque vous connectez manuellement un signal source mono.
De plus, deux entrées de tension de contrôle (CV, avec leurs potentiamétres associés) existent pour le contrôle par voltage du volume et du panoramaque du canal à partir d'autres modules.
Les sorties Départ auxiliaire (AUX)

Quatre connecteurs stéréo de sortie de départ sont disponibles, qui sont normalement utilisés pour y connecter les entrées de modules d'effet.
Pour connecter un départ à un module à entrée mono, utilisez la sortie gauche (mono).
Lorsqu'un départ est connecté à un module d'effet, le bouton Départ AUX correspondant déterminé le volume du signal envoyé au module d'effet pour chaque canal. La sortie de départ se situe après le curseur du canal mais vous pouvez selectionner le mode pre-fader pour le départ AUX 4.
Notez que certains effets (par exemple le compresseur Comp-01 ou l'EQ paramétrique PEQ2) sont des types d'effet qui ne sont pas prévus pour être utilisés comme départ d'effets mais plutôt comme inserts d'effets, où tout le signal passe par l'effet.
Vouss puez cependant utilise le depart AUX 4 en mode pre-fader et complètement réduire le curseur du canal.
Retours auxiliaires (AUX)

Quatre connecteurs d'entrée de return stéréo sont disponibles.
Ils sont normalement connectés aux sorties gauche et droite de modules d'effet.
Sorties Master Gauche/Droite

-
Les sorties Master sont auto-routées vers la première paire de sortie disponible sur l'interface matérielie. Cette dernière envoie à son tour l'audio vers les sorties de votre matériel audio.
-
Notez que les sorties Master n'ont pas à été routées directement vers l'interface matérielle. Vous pouze à la place router les sorties Master vers un effet par exemple puis router les sorties de l'effet vers l'interface matérielle.
- En plus des connecteurs de sortie Master, une entrée de tension de contrôle (CV) (et un potentiemetre associé) est disponible pour un contrôle par voltage du volume général à partir d'un autre module.
Chainage de plusieurs modules du Mixeur 14:2

Deux modules du Mixeur 14 :2 chainés sont connectés ainsi, le mixeur supérieur étant le mixeur « Maitre »
Si vous souhaitez davantage de voies de mixage, vous pouvez chaner plusieurs modules du Mixeur 14 :2.
→ Sélectionnez le module existant du Mixeur 14:2 puis « Créer : Mixeur 14:2 » à partir du menu Créer ou du menu contextualuel.
Le nouveau mixeur est connecté automatiquement via les connecteurs « Chainage Master » et « Chainage aux » du mixeur sélectionné.
- La sortie Master du mixeur nouvellement créé est connectée à l'entrée du chainage Master du mixeur original.
Le niveau de sortie Master pour le nouveau mixeur peut être contrôle depuis le fader Master du mixeur original - ce fader contrôle dans lors le volume général de sortie des deux mixeurs.
- Les quatre sorties de départ auxiliaire stéreo du mixeur nouvellement créées sont connectées aux connecteurs de chainage auxiliaire du mixeur original.
Le nouveau mixeur a alors accès à tous les départs d'effet auxiliaires connectés au mixeur original, via le(s) même(s) départ(s) auxiliaire(s) correspondants.
Ainsi, les deux mixeurs agissant comme « un seul »
! Il y a une exception qui concerne les fonctions Mute/Solo qui ne sont pas chainées. Ainsi, rendre solo un canal dans un des mixeurs ne rend pas muets les canaux de l'autre mixeur.
Vous pouvez creer autant de mixeurs que vous le souhaitez,ils seront chaines de la meme facon et un mixeur restant « maître » (master) (c'est-à-dire qu'il contrôle le volume general des mixeurs chaines et fournit les sources de depart d'effet auxiliaire).
Mixeurs partiellement ou non chainés
Vou puez également avoir plusieurs mixeurs qui ne sont que partiellement, voire pas du tout chainés.
- Vous pouvez par exemple souhaiter avoir des départ d'effets auxiliaires différents pour un mixeur.
Il vous suffit alors simplement de déconnecter un ou plusieurs des connecteurs Sortie de départ vers chainage auxiliaire et d'affector de nouveaux départ d'effets.
Vous pouvez par exemple envoyer la sortie Master d'un mixeur vers un autre module de voie de mixage au lieu des entrées de chainage Master.

REASON
Chapitre 24
Le Line Mixer 6:2
Introduction

Le Line Mixer 6:2 you permit de contrcler le volume, le placement stereo (pan) et le mixage d'effets (départ AUX) de chaque module audio connecté.
Le Line Mixer est configuré avec 6 canaux d'entrée (stéreo) qui sont combinés et routés vers les sorties principales Gauche et Droite.
Paramètres de canal
Les canaux sont identiques et contiennent un depart auxiliaire, des boutons Mute et Solo, un contrôleur de panoramaque et un contrôleur de volume :
| Éléments | Description |
| Contrôleur de volume | Il permet de contrôr le niveau de sortie de chaque canal correspondant, vous permettant de définir le mixage (la balance) de votrechoix entre différents modules connectés au Line Mixer. |
| Étiquette du canal | Chaque canal dans le mixeur qui est connecté à un module affiche une étiquette indiquant le nom du module. |
| Vu-mètre du canal | Il s'agit d'une représentation graphique du niveau de sortie du canal. Si le niveau du signal pousse le vu-mètre dans la zone rouge, essayez de réduire le niveau de sortie du module connecté au canal ou le contrôleur de volume lui-même, pour éviter la distorsion. |
| Contrôleur de panoramicique | Utilise ce contrôle pour définir la position gauche/droite du canal dans le champ stéréo. [Ctrl]-clic (Win) ou potentiamètre Pan pour définir le panoramicque sur sa valeur par défaut « 0 » (position centrale). |
| Boutons Mute (M) et et Solo (S) | Clerquer sur le bouton Mute d'un canal coupe la sortie de ce canal. Cliquez à nouveau sur ce bouton pour entendre de nouveau le canal.Clierer sur le bouton Solo d'une voie coupe les autres voies de mixage de sortie, pour que vous n'entendiez que cette voie.Plusieurs canaux peuvent être rendus solo en même temps. Dans ce cas, les canaux en solo ne peuvent être rendus muets en utilisant le bouton Mute. Pour rendre muet l'un des différents canaux en mode solo, cliquez simplement sur le bouton « Non solo » . |
| Départ d'effets auxiliaires (AUX) | Contrôle la quantité du départ auxiliaire de la quantité du signal de canal qui est envoyée vers d'autres modules - typiquement des processeurs d'effet. La sortie d'effet est normalement returnée dans le Mixeur via les entrées Retour AUX où elle est mixée avec le signal sans effet (non traité). Si vous crésez un module d'effect lorsque le Mixeur est sélectionné, l'effet est auto-route vers les connecteurs Départ/Retour. Vous pouvez alors contrôr la quantité d'effect qui doit être appliquée à chaque module connecté à une voie de mixage de ligne via le bouton Départ AUX. Le départ peut prendre place avant ou après le volume du canal - voir "Départ auxiliaire (AUX)" . |
La section Retour auxiliaire
Les canaux Retour AUX fournissent les entrées pour un module de départ d'effet connecté. Les canaux Retour Aux ont un seul contrôleur de volume sur le panneau avant.
Volume général
Le fader général G/D contrôle le niveau de sortie fusionné de tous les canaux du mixeur. Utilisez-le pour modifier le niveau relatif de tous les canaux, pour faire des fondus en sortie etc.
Connexions
Tous les connecteurs d'entree et de sortie sont generalement situés sur le panneau arriere du Line Mixer.
Connexions de la voie de mixage
Chaque voie de mixage offre des entrées stéreo gauche/droite pour connecter des modules audio.
Utilisez l'entrée gauche lorsque vous connectez manuellement un signal source mono.
De plus, une entrée tension de contrôle (CV) permet de contrôler la tension du panoramaque du canal depuis d'autres modules.
Départ auxiliaire (AUX)
Les connecteurs Départ sont utilisés pour connecter les entrées des modules d'effet.
Pour connecter le départ à un module à entrée mono, utilisez la sortie gauche (Mono).
Lorsqu'un département est connecté à un module d'effet, le bouton Départ AUX correspondant déterminé le volume du signal envoyé au module d'effet pour chaque canal.
La sortie Départ peut être placée avant (Pre) ou après (Post) le volume de canal en utilisant le bouton à gauche des connecteurs Départ.
Retour auxiliaire (AUX)
Ils sont normalement connectés aux sorties gauche et droite de modules d'effet.
Sorties principales Gauche/Droite
- Les sorties principales sont auto-routées vers la première paire d'entrée disponible dans l'interface matérielle ou dans un autre mixeur.
Si elles sont utilisées dans un Combi, les sorties principales sont normalement connectées aux connecteurs
« Depuis modules » du Combinator.

REASON
Chapitre 25
Synthétiseur
Subtractor
Introduction
Subtractor est un synthétiseur polyphonique de type analogique basé sur la synthèse soustractive, méthode utilisée par les synthétiseurs analogiques. Ce chapitre abordera tous les paramètres de chaque section de Subtractor. En plus des descriptions des paramètres, ce chapitre propose également quelques trucs et astuces pour vous aider à tirer le meilleur parti du synthétiseur Subtractor.
! Nous vous recommendons de démarrer avec les réglages par défaut (un « Patch d'initialisation ») si vous comptez suivre les exemples de ce chapitre, à moins qu'il ne soit précisé autre chose. Un patch d'initialisation est créé en sélectionnant « Initialiser le patch » dans le menu Édition. Si vous souhaitez conserver les réglages actuels, enregistrez-les avant l'initialisation.
Le Subtractor dispose des fonctions de base suivantes :
Polyphonie jusqu'à 99 voix.
Vous pouvez définir le nombre de voix pour chaque patch.
Double filtres.
La combinaison d'un filtrtre multi-modes et d'un second filtrtre chainable, passer-bas vous permet de creer des effets de filtrtre complexes. Voir "La section Filtre".
Deux oscillateurs, chacun disposant de 32 formes d'onde.
Voir "La section Oscillateur".
FM.
Voir "FM".
Modulation de décalage de phase de l'oscillateur.
Fonction unique de Subtractor qui génére des variations de formes d'onde. Voir "Modulation de décalage de phase".
Deux oscillateurs à basse fréquence (LFO)
Voir "Section LFO".
Trois générateurs d'enveloppe.
Voir "Enveloppes - Général".
Contrôle étendu par la velocité.
Voir "Contrôle par velocité".
Possibilities de modulation CV/Gate etendues.
Voir "Connexions".
Charger et enregistrer des patches
Le chargement et l'enregistrement des patches s'effectue de la même façon que pour les autres modules Reason-voir "Chargement des patches" et "Enregistrement de patches".
La section Oscillateur

Subtractor fournit deux oscillateurs. Les oscillateurs sont les générateurs de son principaux dans Subtractor ; les autres fonctions étant utilisées pour façonner le son des oscillateurs. Les oscillateurs générent deux propriétés fondamentales, la forme d'onde et le pitch (fréquence). Le type de forme d'onde produit par l'oscateur déterminé le contenu harmonique du son, qui à son tour affecte la qualité sonore réalisante (timbre). La sélection d'une forme d'onde d'oscateur est généralement la première étape dans la création d'un nouveau patch Subtractor à partir de zéro.
Formed'onde de l'oscillateur 1

L'oscillateur 1 fournit 32 formes d'onde. Les quatre premières sont des formes d'onde standard, les autres étant des formes d'onde « spéciales », dont certaines sont ideales pour simuler divers sons d'instruments de musique.
Il est important de noter que toutes les formes d'onde peuvent etre complètement transformees à l'aide d'une modulation de décalage de phase (voir "Modulation de décalage de phase").
Pour sélectionner une forme d'onde, cliquez sur les boutons fléchés à droite de l'affichage LED « Forme d'onde ».
Les quatre premières formes d'ondes classiques sont représentées par des symboles standard et les formes d'ondes spéciales sont numérotées de 5 à 32.
Voici une brève description des formes d'onde du Subtractor :
! Veuillez noter que la description du son et du timbre des formes d'onde est principalement destinée à servir de compréhension globale et ne doit pas être prise au pied de la lecture. En raison du grand nombre de manières dont vous pouvez moduler et distordre une forme d'onde dans Subtractor, vous pouvez produit des résultats extrémement différents à partir de n'importe qu'elle forme d'onde donnée.
| Forme d'onde | Description |
| En dents de scie | Cette forme d'onde contient toutes les harmoniques et produit un son riche et clair. La dent de scie est certainement la forme d'onde la plus « générale » parmi toutes celles qui sont disponibles. |
| Carrée | Une onde carrée ne contient que les harmoniques impaires, ce qui produit un son distinct et creux. |
| Triangulaire | La forme d'onde triangulaire ne générale que peu d'harmoniques, entrecoupées d'harmoniques impaires. Cela produit un son de flûte avec un aspect légèrement creux. |
| Sinusoidale | L'onde sinusoidale est la forme d'onde la plus simple possible, sans harmoniques (partiels). L'onde sinusoidale produit un timbre doux et neutre. |
| 5 | Cette forme d'onde accentue les harmoniques élevées, un peu comme l'onde en dents de scie mais produit un son moins clair. |
| 6 | Cette forme d'onde produit une structure harmonique riche et complexe, idéale pour simuler le son d'un piano acoustique. |
| 7 | Cette forme d'onde générale un timbre doux et cristallin. Convient aux sons de type piano électrique. |
| 8 | Cette forme d'onde convient pour les sons de type clavier comme un clavecin ou un clavinet. |
| 9 | Cette forme d'onde convient pour les sons de type basse électrique. |
| 10 | Cette forme d'onde convient aux sons graves de soubasse. |
| 11 | Produit une forme d'onde avec de puissants formants et convient pour les sons proches de la voix. |
| 12 | Cette forme d'onde produit un timbre métallique, convenant à de nombreux sons. |
| 13 | Cette forme d'onde convient pour les sons de type orgue. |
| 14 | Cette forme d'onde convient également pour les sons de type orgue. Elle a un son plus clair que la forme d'onde 13. |
| 15 | Cette forme d'onde convient pour les sons de cordes frottées comme le violon ou le violoncelle. |
| 16 | Cette forme d'onde est similaire à la précédente mais avec une légère différence. |
| 17 | Cette forme d'onde convient également aux sons de type instruments à cordes en général. |
| 18 | Cette forme d'onde est riche en harmoniques et convient pour les sons de type guitare à cordes métalliques. |
| 19 | Cette forme d'onde convient pour les sons de type cuivre. |
| 20 | Cette forme d'onde convient pour les cuivres à sourdine. |
| 21 | Cette forme d'onde convient pour les sons de saxophone. |
| 22 | Cette forme d'onde convient aux sons de types cuivres et trompette. |
| 23 | Cette forme d'onde convient pour simuler des instruments à maillet comme les marimbas. |
| 24 | Cette forme d'onde est similaire à la précédente mais avec une légère différence. |
| 25 | Cette forme d'onde convient pour les sons de type guitare. |
| 26 | Cette forme d'onde convient aux instruments à cordes pincées, comme la harpe. |
| 27 | Cette forme d'onde convient aussi aux sons de type instruments à maillet (voir 23-24), mais a une qualité plus claire, parfaitie pour les sons de type vibraphone. |
| 28 | Cette forme d'onde est similaire à la précédente mais avec une légère différence. |
| 29 | Cette forme d'onde a des partiels complexes et enharmoniques convenant aux sons métalliques de type cloche. |
| 30 | Cette forme d'onde est similaire à la précédente mais avec une légère différence. En utilisant FM et en réglient le « Mix » de l'oscillateur sur Osc 1, cette forme d'onde et les deux suivantes produit du bruit. |
| 31 | Cette forme d'onde est similaire à la précédente mais avec une légère différence. |
| 32 | Cette forme d'onde est similaire à la précédente mais avec une légère différence. |
Définir la fréquence de l'oscillateur 1 - Octave/Demi-ton/Cent

En cliquant sur les boutons haut/bas correspondant, vous pouvez accorder, c.a.d. modifier la fréquence de l'oscillateur 1 de trois façons :
Par pas d'octave
L'etendue est de 0-9. Le réglage par défaut est 4 (ou le « la » venant après le « do » Médian de votre clavier génére 440 Hz).
Par pas de demi-ton
Vous permet d'augmenter la fréquence par 12 pas de demi-tons (une octave).
Par pas de cent (100ème d'un demi-ton)
L'étendue est de -50 à 50 (plus ou moins une moitié de demi-ton).
Pondération au clavier de l'oscillateur

L'oscillateur a un bouton nommé « Pondération au clavier ». S'il est désactivé, le pitch de l'oscillateur restera constant, quels que soient les messages de pitch de note entrants, bien que l'oscillateur réagisse toujours aux messages de note on/off. Cela peut être utile pour certaines applications :
lorsque la FM (voir "FM") ou la modulation en anneau (voir "FM") est utilisé.
Cela produit dessons enharmoniques avec un timbre variant enormément sur le clavier.
Pour des effets spéciaux et dessons ne comportant pas de pitch ( comme une batterie ou une percussion) et qui doivent produit le même résultat sur tout le clavier.
Utiliser l'oscillateur 2

Vous activez l'oscillateur 2 en cliquant sur le bouton à côté du texte « Osc 2 ». Le réglage de la fréquence et de la pondération au clavier de l'oscillateur est identique à celui de l'oscillateur 1.
L'ajout d'un second oscillateur ouvre la voie à de nombreuses nouvelles possibilités de modulation pouvant produit des timbres plus riches. Un exemple classique est de désaccorder légèrement (+/- quelques cents) l'un des oscillateurs. Ce léger décalage de fréquence entraîne un « dual » des deux oscillateurs, ce qui produit un son plus ample et plus riche. De plus, en combinant deux formes d'ondes différentes et en ajoutant une FM ou une modulation en années, vous pouvez créé de nombreux nouveaux timbres.
Mixage des oscillateurs

Le potentiametre « Mix » de l'oscilateur détermine la balance en sortie entre l'Osc 1 et l'Osc 2. Pour pouvoir entendre clairément les deux oscillateurs, le potentiametre « Mix » de l'oscilateur doit être régle en position médiane. Si vous tournez le potentiametre Mix complètement à gauche, seul l'Osc 1 sera entendu, et vice versa. [Command]/[Ctrl]-click sur le potentiametre définit le paramètre Mix à sa position médiane.
Formed'onde de l'oscillateur 2
Les formes d'onde alternatives pour l'oscillateur 2 sont identiques a celles de l'oscillateur 1.
Cependant le générateur de bruit fournit une troisième source de génération de son (en plus des deux oscillateurs) dans Subtractor, et peut être considéré comme un forme d'onde « supplémentaire » pour l'oscilateur 2 puisqu'il est routed en interne vers la sortie de l'oscilateur 2. Voir ci-dessous la description du générateur de bruit.
Générateur de bruit

Le générateur de bruit peut être considéré comme un oscillateur qui produit du bruit只不过 qu'une forme d'onde avec pitch. Le bruit peut être utilisé pour produces une grande variété de sons, l'exemple classique étant les sons de « vent » ou de « vague», dans lesquels le bruit est passé dans un filtre tout en modulant la fréquence du filtre. Les autres applications courantes comprehennent les sons sans pitch comme la batterie et la percussion ou la simulation de bruits deSouffle pour les instruments à vent. Pour utiliser le générateur de bruit, sélectionnez un patch d'initialisation et procédez comme suit :
- Désactive l'oscillateur 2.
- Cliquez sur le bouton (dans la section du générateur de bruit) pour activer le générateur de bruit.
Si vous jouez quelques notes sur votre instrument MIDI vous devriez entendre à présent l'oscillateur 1 mixé avec le son du générateur de bruit.
3. Tournez le potentiemetre Mix complètement à droite, et jouez quelques notes.
A présent, vous n'entendez plus que le générateur de bruit.
Ainsi, la sortie du générateur de bruit est routée en interne vers l'oscillateur 2.
Si vous activez l'oscillateur 2, le bruit sera mixé avec la forme d'onde de l'oscillateur 2.
Trois paramètres existent pour le générateur de bruit : Il s'agit des paramètres suivants :
| Paramètre | Description |
| Déclin du bruit | Contrôle la durée que met le bruit à fondre en sortie lorsque vous jouez une note. Notez qu'il est indépendant du paramètre de déclin de l'enveloppe d'amplitude, ce qui vous permet de mixer un court « éclat » de bruit au tout début d'un son, c'est-à-dire un son avec pitch qui utilise oscillateurs et bruit. |
| Couleur du bruit | Permet de varier le caractère du son. Si le potentiamètre est tourné complètement dans le sens des aiguilles d'une montre, un bruit pur ou « blanc » (dans lequel toutes les fréquences sont représentées par une densité identique) est généré. Si vous tournez le potentiamètre dans l'autre sens, cela produit petit à petit un bruit moins clair. Lorsque le potentiamètre est tourné à l'extreme gauche, le bruit produit ressemblé à un grondement sourd de fréquence proche d'un tremblement de terre. |
| Niveau | Contrôle le niveau du générateur de bruit. |
Modulation de décalage de phase
L'une des fonctions unique des oscillateurs du Subtractor est leur capacité à creer une forme d'onde supplémentaire dans l'un des oscillateurs, pour décaler la phase de cette forme d'onde supplémentaire et de moduler ce décalage de phase. En soustrayant ou en multipliant une forme d'onde avec une copie du décalage de phase lui-même, des formes d'onde très complexes peuvent être créées. Cela semble compliqué ? Peut-être pour ce qui concerne la théorie, mais pour l'utilisateur ce n'est qu'un moyen de générer de nouvelles formes d'onde à partir de formes d'onde existantes.
Unprogrammateur de synthetiseur aguerri qui utilise le Subtractor pour la première fois peut se demander pourquoi les oscillateurs du Subtractor ne fournissant pas (en appearance) la forme d'onde de pulsation couramment utilisée et la modulation de largeur d'impulsion (MLI) qui lui est associée. Ou encore la synchronisation d'oscillateurs, une autre fonction courante des synthetiseurs analogiques. La reponse est simplement que le Subtractor peut facilement creer des formes d'onde de pulsation (avec une MLI) et dessons synchronisés d'oscillateur, et bien plus encore, en partie grâce à la modulation de décalage de phase.

Chaque oscillateur a son propre potentiemetre Phase et un bouton de selection. Le potentiemetre Phase est utilisé pour définir la quantité du décalage de phase et le bouton de selection bascule entre trois modes :
- Multiplication de formes d'onde (x)
- Soustraction de formes d'onde (-)
- Aucune modulation de décalage de phase (o).
Lorsque la modulation de décalage de phase est activée, l'oscillateur cree une seconde forme d'onde de la meme forme et la decale de la quantite definié par le potentiemetre Phase. En fonction du mode selectionné, Subtractor peut soit soustraire soit multiplier les deux formes d'onde entre elles. Les formes d'onde résultats peuvent etre observées dans l'illustration ci-dessous.
- Les deux formes d'onde décalées :

- Le résultat de la soustraction :

- Le résultat de la multiplication :

- Dans l'exemple 1, on remarque deux ondes en dents de scie avec un léger décalage.
- L'exemple 2 montre que soustraire une onde en dent de scie légèrement décalée d'une autreonde produit une onde pulsée. Si vous moduliez le paramètre de décalage de phase (avec par exemple un LFO), il en résultatera une Modulation de largeur d'impulsion (MLI).
L'exemple 3 montre la forme d'onde resultant d'une multiplication des deux ondes decalées entre elles. Comme vous pouvez le constater (ou l'entendre si vous essayez), la multiplication des formes d'onde peut produit des résultatsétonnants et parfois inattendus.
L'utilisation de la modulation de décalage de phase peut créé des timbres très riches et variés, notamment lorsqu'elle est utilisé avec un LFO ou des enveloppées pour modifier le décalage de phase.
Pour avoir une « aperçu concret » de ce concept, vous pouvez étudier les patches qui utilisent une modulation de décalage de phase et évientuèlement manipuler les paramètres de décalage de phase pour découvert ce qui se produit. Essayez « SyncedUp » dans la catégorie Polysynth de la Factory Soundbank pour un exemple de synchronisation d'oscillateur ou « Sweeping Strings » (dans la catégorie Pads) pour un exemple de MLI.
! Notez que si vous activez la soustraction de forme d'onde avec un décalage de phase régle sur « 0 » pour un oscillateur, la seconde forme d'onde annulera complètement la première forme d'onde et la sortie de l'oscillateur sera silencieuse. Si vous réglez le potentiamètre de décalage de phase sur une autre valeur que zéro, le son revient.
FM

En langage de synthétiseur, la FM se produit lorsque la fréquence de l'un des oscillateurs (appele « porteur ») est modulée par la fréquence d'un autre oscillateur (appelee « modulator »). L'utilisation de la FM peut conduir une grande variété de sons harmoniques et non harmoniques. Dans Subtractor, Osc 1 est le porteur et Osc2 le modulator. Pour tester quelques uns des effets FM, procédez comme suit :
- Sélectionnez un patch d'initialisation en sélectionnant « Initialiser le patch » dans le menu Édition.
- Activez l'oscillateur 2.
Comme vous avez besoin à la fois d'un porteur et d'un modulateur pour produire une FM, le fait de tourner le potentiometre FM ne produit aucun effet à moins d'activer l'oscillateur 2. Pour des sons FM classiques, utilisez une onde sinusoidale pour l'oscillateur 1 et une onde triangulaire pour l'oscillateur 2.
- Utilisez le potentiometre FM pour regler la quantite de FM sur environ 50.
Comme vous pouvez l'entendre, le timbre change mais l'effet n'est pas encore très prononcé. - Tournez le potentiemetre Mix complètement à gauche pour n'entendre que le son de l'oscillateur 1. Le modulateur (Osc 2) affecte toujours l'oscillateur 1, même si la sortie de l'oscillateur 2 est muette.
- A prisent, maintenez enfoncée une note sur toute clavier MIDI et accordez l'oscillateur 2 un cinquième audressus du pitch original en réglant le paramètre de fréquence « Demi » de l'oscillateur 2 sur 7.
Comme vous pouvez l'entendre, pour chaque pas d'un demi-ton de variation de fréquence de l'oscillateur 2, le timbre subit de grandes modifications. Le réglage de la fréquence de l'oscillateur 2 sur certains intervalles musicaux (c'est-à-dire des pas de demi-tons de quart, cinquième ou d'octave) produit des timbres harmoniques riches presque comme une distorsion à tubes. Le réglage de l'oscillateur 2 sur des intervalles non musicaux résultat généralement dans des timbres complexes et enharmoniques.
- Essayez les différents paramètres de l'oscillateur comme la modulation de décalage de phase, la modification de formes d'onde etc. et écoutez la façon dont ils affectent la modulation de fréquence du son.
Utilisation du générateur de bruit comme source modulateur
Comme nous l'avons décrit plus haut, le générateur de bruit est routed en interne à la sortie de l'oscillateur 2. Ainsi, si vous désactivez l'oscillateur 2 et que vous activez le générateur de bruit en utilisant la FM, le bruit sera utilisé pour moduler la fréquence de l'oscillateur 1.
- Avec les réglages par défaut des générateurs de bruit, cela ressemblera à un bruit coloré. Mais en modifiant (réduisant) le paramètre Déclin du générateur de bruit, pour que le bruit ne module que la portion d'attaque du son, cela peut produit des résultats plus intéressants. Vous pouvez également utiliser à la fois du bruit et l'oscillateur 2.
Modulation en anneau

En bref, les modulateurs en anneau multiplient deux signaux ensemble. La sortie modulée en anneau contient des fréquences ajoutées générées par la somme des fréquences des deux signaux et leur écart. Dans le modulator en anneau du Subtractor, Osc 1 est multiplié par Osc 2 pour produit les fréquences de la somme et de l'écart. La modulation en anneau peut être utilisée pour creer dessons de cloches complexes et enharmoniques.
- Sélectionnez un patch d'initialisation en sélectionnant « Initialiser le patch » dans le menu Édition.
Enregistrez tous les réglages actuels que vous souhaitez conserver avant l'initialisation. - Activez la modulation en annexe avec le bouton dans le coin inférieur croit de la section de l'oscillateur.
- Activez l'oscillateur 2.
You'velezactiverl'oscillateur2 pourqu'une modulation enanneu puisseetrealisée.
- Tournez le potentiametre Mix de l'oscillateur complètement à droite pour n'entendre que le son de l'oscilateur 2.
L'oscillateur 2 fournit la sortie modulée en anneau.
- Si vous jouez quelques notes pendant que vous faites varier la fréquence de l'un des oscillateurs en utilisant les boutons fléchés des demi-tons, vous pouvez entendre les importantes variations du timbre.
Si les oscillateurs sont accordés sur la même fréquence et qu'aucune modulation n'est appliquée ni à l'oscilateur 1 ni à l'oscilateur 2, la modulation en annexe n'aura pas réellement d'effet. Ce n'est que lorsque les fréquences de l'oscilateur 1 et de l'oscilateur 2 diffèrent que vous obtenez le « véritable » son d'une modulation en annexe.
La section Filtre

En synthèse soustractive, un filtré est l'outil le plus important pour façonner le timbre général du son. La section du filtré du Subtractor contient deux filtrés, le premier étant un filtrtre multi-modes avec cinq types de filtrés, et le second un filtrtre passe-bas. La combinaison d'un filtrtre multi-modes et d'un filtrtre passe-bas peut être utilisée pour créé des effets de filtrres très complexes.
Type dans Filtre 1
Vou puez, à l'aide de ce bouton de selection multiple, régler le filtré 1 pour qu'il agisse comme l'un des cinq types de filtres proposés. Les cinq types sont illustrés et expliqués dans les pages suivantes :
- Passe-bas 24 dB (LP 24)
Les filtrés passè-bas laissent passer les basses fréquences et coupent les haute fréquences. Ce type de filtré a une courbe roll-off只不过 douce (24dB/Octave). De nombreux synthétiseurs classiques (Minimoog/Prophet 5 etc.) utilisent ce type de filtrés.

La courbeASFRESE LA CURBE rol-off du fttre pas-bas 24dB La courbe plus claire au milieu reprente les
cacteristiques du fttre lorsque le parametre de resonance est augmenté.
Ce type de filtré passée-bas est également largement utilisé dans les synthétiseurs analogiques (Oberheim, premiers synthétiseurs Korg etc.). Il a une courbe douce (12 dB/Octave), faisant passer plus d'harmoniques dans le son filtré comparé au filtré LP 24.

La courbeASFRESE LA CURBE ROLL-Off du filtre pass-bas 12dB. La courbe plus claire au milieu represente les caractéristiques du filtre lorsque le paramètre de résonance est augmenté.
- Passe-bande (BP 12)
Un filtrte passe-bande coupe à la fois les haute et les basses fréquences mais les fréquences de la bande mediane ne sont pas affectées. Chaque courbe de ce type de filtrte a un roll-off de 12 dB/Octave.

La courbeASFRE represe la courbe roll-off du filtre passe-bande. La courbe plus claire au milieu represe les caractéristiques du filtre lorsque le parametre de résonance est augmenté.
- Passe-haut (HP12)
Un filtré salle-haut fonctionné à l'opposé d'un filtré salle-bas, coupant les basses fréquences et laissant passer les fréquences haute. Le filtré Passe-haut possède une courbe roll-off de 12 dB/Octave.

La courbeASFRE represante la courbe roll-off du filtre passe-haut. La courbe plus claire au milieu represente les caractéristiques du filtre lorsque le paramètre de résonance est augmente.
Notch
Un filtrtre notch (ou filtrtre coupe-bande) peut etre decrit comme l'opposed'un filtrtre passe-bande. Il coupe toutes les fréquences d'une étroite bande mediane, laissant passer les fréquences au-dessus et en-dessous de cette bande. Un filtrtre notch ne modifie pas le timbre par lui-même de façon importante, car la plupart des fréquences passent à travers. Cependant, en combinant un filtrtre notch avec un filtrtre passe-bas (en utilisant le Filtre 2 - voir "Filtre 2"), des caractéristiques de filtrtre musicalement plus intéressantes peuvent etre créé. Une telle combinaison de filtres peut produces des timbres doux qui sonneront always avec « clarté ». L'effet est particulièrement notable avec un réglage de résonance (voir "Résonance") faible.

La courbeASFRE represe la courbe roll-off du filtre notch. La courbe plus claire au milieu represe les caractéristiques du filtre lorsque le parametre de résonance est augmente.
Fréquence du Filtre 1
Le paramètre Fréquence du filtré (souvent appelé fréquence de coupure) détermine la partie du spectre de fréquence du filtré sur laquelle le filtré aura un effet. Pour un filtré passée-bas, le paramètre de fréquence pourrait être décrit comme décidant l'ouverture et la fermeture du filtré. Si le paramètre Fréquence du filtré est défini sur zéro, aucune ou seulement très peu de fréquences sont entendues. S'il est réglé sur le maximum, toutes les fréquences de la forme d'onde seront entendues. Le changement progressif de la fréquence du filtré produit le son de filtré de synthétiseur classique dit de « balayage »
! Notez que le paramètre de fréquence de filtrte est généralement contrôle par l'enveloppe de filtrte (voir "Enveloppe de filtrte"). La modification de la fréquence du filtrte avec le curseur de fréquence pourraitès lors ne pas produit le résultat attendu.
Résonance
Le paramètre de résonance du filtré est utilisé pour définir la caractéristique du filtré, ou sa qualité. Pour les filtres passée-bas, augmenter la valeur Rés du filtré accentue les fréquences autour de la fréquence définie pour le filtré. Cela produit généralement un son plus fin mais avec un « balayage » de la fréquence du filtré plus précis et plus prononcé. Plus la valeur Rés est élevé, plus le son deviendra résonant jusqu'à produit un son sifflant ou sonnant. Si vous définiquee une valeur élevé pour le paramètre Rés et faites ensuite varier la fréquence du filtré, cela produit un balayage très distinct, le son sonnant étant très évident à certaines fréquences.
- Avec un filtré salle-haut, le paramètre Rés fonctionné comme pour les filtres salle-bas.
- Lorsque vous utilisez un filtre passe-bande ou notch, le réglage de la résonance ajuste la largeur de la bande. Lorsque vous augmentez la résonance, la bande dans laquelle les fréquences passent (passe-bande) ou sont coupées (notch) deviendra plus étroite. Généralement, le filtre de notch produit des résultats plus musicaux avec des réglages de résonance bas.
Pondération au clavier du filtré (Clav)
Si la pondération au clavier du filtré est activée, la fréquence du filtré augmentera plus les notes jouées sur le clavier seront aiguës. Si la fréquence d'un filtré passe-bas est constante (réglage Clav sur « 0 ») cela peut introduire une certaine perte de l'« étincelle » dans un son à mesure que vous montez dans les octaves du clavier car les harmoniques du son sont progressivement coupées. En utilisant une portion de la pondération au clavier, cela peut être compensé.
Filtre 2
Une fonction très utile et rare du synthétiseur Subtractor est la présence d'un filtré passe-bas 12 dB/Oct supplémentaire. En utilisant deux filtrés ensemble, vous pouvez produit de nombreuses caractéristiques de filtré intéressantes qui seraient impossibles en n'utilisant qu'un seul filtré, par exemple des effets de formant.
Les paramètres sont identiques à ceux du filtré 1, en dehors du fait que le type de filtrre est déterminé et qu'il ne possède pas de pondération au clavier du filtrre.
Pour activer le filtrte 2, cliquez sur le bouton en haut de la section Filtre 2.
Les filtres 1 et 2 sont connectés en série. Cela signifie que la sortie du filtre 1 est routée vers le filtre 2 mais que les deux filtres fonctionnent indépendamment. Par exemple, si le filtre 1 supprimait la plupart des fréquences, cela ne laisserait que peu de « travail » au filtre 2. De même, si le filtre 2 avait un réglage de fréquence du filtre de « 0 », toutes les fréquences seraient supprimées quels que soient les réglages du filtre 1.

- Essayez le patch « Synthétiseur chanté » (dans la catégorie Monosynth de la Factory Sound Bank) pour un exemple d'utilisation de deux filtres.
Lien du filtré

Lorsque le Lien (et le filtré 2) est activé, la fréquence du filtré 1 contrôle le décalage de fréquence du filtré 2. Si vous avez défini des valeurs différentes de fréquence pour les filtres 1 et 2, la modification de la fréquence du filtré 1 entraine également la modification de la fréquence du filtré 2, mais conservera le décalage relatif.
- Essayez le patch « Fozzy Fonk » (dans la catégorie Polysynth de la Factory Sound Bank) pour un exemple d'utilisation des filtres liés.
! Attention ! Si aucune modulation de filtrte n'est utilisée et que les filtrtes sont liés, la réduction de la fréquence du filtrte 2 sur zéro entrainera un réglage de fréquence identique pour les deux filtrtes. En le combinant à un réglage Rés élevé, cela peut produit un volume très fort qui créera de la distorsion !
Enveloppes - Général
Les générateurs d'enveloppe sont utilisés pour contrôler plusieurs paramètres du son importants dans les synthétiseurs analogiques, comme le pitch, le volume, la fréquence du filtré, etc. Les enveloppés gérént la façon dont ces paramètres répondent avec le temps - entre le moment où la note est déclenchée et le moment où elle est reliachée.
Les générateurs d'enveloppe de synthétiseurs standard ont quatre paramètres : attaque, déclin, Maintien et relâchement (ADSR).
Le Subtractor dispose de trois générateurs d'enveloppés, un pour le volume, une pour la fréquence du filtre 1 et une enveloppe de modulation pour laquelle on peut désir les destinations de modulation.

Paramètres de l'enveloppe ADSR.
Attaque
Lorsque vous jouez une note sur votre clavier, l'enveloppe est déclenchée. Cela signifie qu'elle commence à croître de zéro à sa valeur maximale. Le temps nécessaire pour cela dépend du réglage de l'attaque. Si l'attaque est réglée sur « 0», la valeur maximale est atteinte instantanément. Si cette valeur est augmentée, cela prendra du temps avant que la valeur maximale soit atteinte.
Par exemple, si la valeur d'attaque est augmentée et que l'enveloppe contrôle la fréquence du filtré, cette dernière augmentera progressivement jusqu'à un certain point à chaque fois qu'une touche sera pressée, comme un effet « auto-wha ».
Déclin
Après que la valeur est atteinte, elle commence à diminuer. Le temps nécessaire est défini par le paramètre Déclin. Si vous souhaitez simuler l'enveloppe de volume d'une note jouée au piano par exemple, l'attaque doit être régée sur « 0 » et le paramètre Déclin sur une valeur Médiane pour que le volume décroisse progressivement jusqu'à silence, même si vous maintainez la touche enforcée. Si vous souhaitez que le déclin descendé jusqu'à une autre valeur que zéro, vous doivent utiliser le paramètre Maintien.
Maintien
Le paramètre Maintien détermine le niveau auquel l'enveloppe doit rester après le déclin. Si vous définissez le maintien au maximum, le réglage de Déclin n'aura aucune importance puisque le volume du son n'est jamais diminué.
Si vous souhaitez simuler l'enveloppe de volume d'un orgue, vous n'avez théoriquement besoin d'utiliser que le paramètre Maintien à sa valeur maximale, puisque l'enveloppe de volume d'un orgue classique atteint immédiatement son maximum (Attaque « 0 ») et y reste (Déclin « 0 »), jusqu'à ce que la touche soit relachée et que le son s'arrête instantanément (Relachement « 0 »).
Mais souvent, une combinaison du déclin et de maintainien est utilisé pour générer des enveloppes qui augmentent jusqu'à leur valeur maximale puis décroissant progressivement pour finalement s'arrêter sur une valeur comprise entre zéro et le maximum. Notez que le maintainien représenté un niveau, alors que les autres paramètres d'enveloppe représentent des durées.
Relachement
Nous terminons par le paramètre Relachement. Il fonctionne exactement comme le paramètre Déclin, sauf qu'il détermine la durée pour que la valeur atteigne zéro après le relachement de la note.
Envelope d'amplitude

L'enveloppe d'amplitude est utilisée pour ajuster la façon dont le volume du son varie entre le moment où vous enforcez une touche et celui où vous la relâchez. En définissant une enveloppe de volume, vous sculptez la forme de base du son avec les quatre paramètres d'enveloppe d'amplitude (attaque, déclin, maintainen et relâchement). Cela déterminé le caractère fondamental du son (doux, long, court, etc.).
Envelope de filtré

L'enveloppe de filtrte affecte le paramètre Fréquence du filtrte 1. En définissant une enveloppe de filtrte vous contrôlez la façon dont la fréquence de filtrte varie sur la durée avec les quatre paramètres d'enveloppe de modulation (attaque, déclin, maintain et relâchement).
Intensité de l'enveloppe de filtré
Ce paramètre déterminé àquel degré le filtré sera affecté par l'enveloppe de filtré. L'augmentation de la valeur de ce potentiametre creé des résultats plus impressionnants. Le paramètre Intensité d'enveloppe et la fréquence du filtré définie sont liés. Si le curseur Freq. du filtré est réglé autour de sa position mediane, cela signifie qu'au moment où vous appuyez sur une touche, le filtré est déjà à moitié ouvert. L'enveloppe de filtré définitie ouvrira alors de nouveau le filtré à partir de ce point. Le réglage Intensité de l'enveloppe de filtré affecte l'importance de l'ouverture ultérieure du filtré.
Inversion de l'enveloppe de filtré

Si ce bouton est activé, l'enveloppe sera inversée. Par exemple, le paramètre Déclin réduit la fréquence du filtre, mais lorsque l'inversion est activée, elle l'augmente avec la même intensité.
Envelope de modulation

L'enveloppe de modulation vous permet de selectionner l'un des nombreux parametes ou destinations à contrôler avec l'enveloppe. En définissant une enveloppe de modulation vous contrôle la façon dont le paramètre Destination sélectionné varie dans la durée avec les quatre paramètres d'enveloppe de modulation (attaque, déclin, maintain et relachement).
Les destinations d'enveloppe de modulation sont les suivantes :
| Destination | Description |
| Osc 1 | En le sélectionnant, l'enveloppe de modulation contrôle le pitch (fréquence) de l'oscillateur 1. |
| Osc 2 | Idem que ci-dessus, mais pour l'oscillateur 2. |
| Mix des oscillateurs | En le sélectionnant, l'enveloppe de modulation contrôle le paramètre de mixage des oscillateurs. Les deux oscillateurs doivent être activés pour que cela ait un effet. |
| FM | En la sélectionnant, l'enveloppe de modulation contrôle le paramètre d'intensité FM. Les deux oscillateurs doivent être activés pour que cela ait un effet. |
| Phase | Permet à l'enveloppe de modulation de contrôle le paramètre de décalage de phase pour les oscillateurs 1 et 2. Notez que la modulation de décalage de phase (soustraction ou multiplication) doit être activée pour que cela ait un effet. |
| Frequ 2 | Permet à l'enveloppe de modulation de contrôle le paramètre Fréquence du filtre 2. |
Section LFO


LFO est l'acronyme de Low Frequency Oscillator, soit oscillator à très BASSE fréquence. Les LFO sont des oscillateurs, tout comme les oscillateurs 1 et 2 en ce qu'ils générent également une forme d'onde et une fréquence. Cependant, il y a deux différences significatives :
- Les LFO ne générent que des formes d'onde avec de basses fréquences.
- La sortie des deux LFO n'est jamais réellement entendue. Elle est, au contraire, utilisée pour moduler divers paramètres.
L'application la plus courante d'un LFO est la modulation du pitch d'un oscillateur (générateur de son) pour produit un vibrato. Subtractor est équipé de deux LFO. Les paramètres et les destinations de modulation possibles varient quelques peu entre le LFO 1 et le LFO 2.
Paramètres du LFO 1
Formed onde
Le LFO 1 vous permet deCHOISIR DIFFERENTES formes d'onde pour moduler les parametes. Ces parametes comprennent (de haut en bas):
| Forme d'onde | Description |
| Triangulaire | Forme d'onde douce, convenant à un vibrato normal. |
| En dents de scie inversées | Produit un cycle « ramp up ». S'il est appliqué à la fréquence d'un oscillateur, le pitch sera balayé jusqu'à un point défini (défini par le réglage de l'intensité), après quoi le cycle recommence immédiatement. |
| En dents de scie | Cela produit un cycle « ramp down », identique au précédent mais inversé. |
| Carrière | Produit un cycle qui change abruptement entre deux valeurs, utilisable pour des trilles, etc. |
| Aléatoire | Produit une modulation par paliers aléatoire de la destination. Sur certains synthétiseurs vintage, on l'appelle « sample & hold ». |
| Aléatoire doux | Identique à la précédente, mais avec une modulation progressive. |
Destination
Les destinations du LFO 1 sont les suivantes :
| Destination | Description |
| Osc 1 et 2 | Permet au LFO 1 de contrôle le pitch (fréquence) de l'oscillateur 1 et de l'oscillateur 2. |
| Osc 2 | Idem que ci-dessus, mais pour l'oscillateur 2. |
| Freq. du filtré | Permet au LFO 1 de contrôle la fréquence de filtré du filtré 1 (et du filtré 2 s'il est lié). |
| FM | Permet au LFO 1 de contrôle le paramètre Intensité FM. Les deux oscillateurs doivent être activés pour que cela ait un effet. |
| Phase | Permet au LFO 1 de contrôle le paramètre de décalage de phase pour les oscillateurs 1 et 2. Notez que la modulation de décalage de phase (soustraction ou multiplication) doit être activée pour que cela ait un effet. |
| Mix des oscillateurs | Permet au LFO 1 de contrôle le paramètre Mix de l'oscateur. |
Synchro
Cliqueur se bouton permet de (dés)activer la synchronisation du LFO. La fréquence du LFO sera alors synchronisée avec le tempo du morceau, dans l'une des 16 divisions temporelles disponibles. Lorsque Sync est activé, le potentiamètre Rate (voir ci-dessous) est utilisé pour définir la division temporelle désirée.
Tournez le potentiometre et regardez l'info-bulle pour avoir une indication de la division temporelle.

Rate
Le potentiemetre Rate contrôle la fréquence du LFO. Tournez-le dans le sens des aiguilles d'une montre pour obtenir une fréquence de modulation plus élevé.
Intensité
Ce paramètre déterminé àquel point le paramètre de destination sélectionné sera affecté par le LFO 1. L'augmentation de la valeur de ce potentiemètre creée des résultats plus importants.
Paramètres du LFO 2
Le LFO 2 est polyphonique. Cela signifie que pour chaque note que vous jouez, un cycle LFO indépendant est général, tandis que le LFO 1 module tous les paramètre de destination en utilisant le même « cycle ». Cela peut être utilisé pour produit des effets subtils de modulation croisiée, avec plusieurs cycles de LFO qui se « battent » entre eux. Cela permet également au LFO 2 de produit des fréquences de modulation qui varient à travers le clavier (voir le paramètre « Pondération au clavier » ci-dessous).
Destination
Les destinations du LFO 2 sont les suivantes :
| Destination | Description |
| Osc 1 et 2 | Permet au LFO 2 de moduler le pitch (fréquence) de l'oscillateur 1 et de l'oscillateur 2. |
| Phase | Permet au LFO 2 de moduler le paramètre de décalage de phase pour les oscillateurs 1 et 2. Notez que la modulation de décalage de phase (soustraction ou multiplication) doit être activée pour que cela ait un effet. |
| Filtre 2 Fréq | Permet au LFO 2 de modérer la fréquence de filtre du filtre 2. |
| Vol | Permet au LFO 2 de modérer le volume général, pour creer des effets de trémolo. |
LFO 2 Délai
Ce paramètre est utilisé pour définir un délié entre le moment où la note est jouée et celui où la modulation du LFO se « lance ». Par exemple, si les oscillateurs 1 et 2 sont sélectionnés comme paramètre de destination et que le délié est réglé à une valeur modérée, le son se lancera sans modulation, le vibrato n'apparaissant que si vous maintainez la ou les note(s) suffisamment longtemps. La modulation LFO avec délié peut être très utile, notamment si vous jouez dessons proches d'instruments de musique comme le violon ou la flûte. Bien entendu elle peut également être utilisée pour contrôler des effets de modulation plus extrêmes tout en conservant la « jouabilité » du son.
Pondération au clavier du LFO 2
Si la pondération au clavier du LFO 2 est activée, la fréquence du LFO augmentera avec la hauteur des notes jouées sur le clavier. L'augmentation de cette valeur cree des résultats plus impressionnants.
Si le LFO est reglé pour moduler un décalage de phase, la pondération au clavier du LFO peut produit debons résultats. Par exemple, les pads de corde de synthé et autres sons utilisant une MLI (voir "Modulation dedécalage de phase") peuvent en tirer avantage.
Rate
Le potentiemetre Rate controle la frquence du LFO. Tournez-le dans le sens des aiguilles d'une montre pour obtenir une frquence de modulation plus elevée.
Intensité
Ce paramètre déterminé àquel point le paramètre de destination sélectionné sera affecté par le LFO 2. L'augmentation de la valeur de ce potentiemètre creée des résultats plus importants.
Les paramètres de jeu
Cette section aborde deux points : les paramètres modifiés par la façon dont vous jouvez et la modulation qui peut être appliquée manuellement avec des raccourcis standard du clavier MIDI.
Les voici :
- Contrôle par velocité
- Roues de Pitch Bend et de modulation
- Legato
- Portamento
- Polphonie
Contrôle par velocité

La velocité est utilisé pour contrôle divers paramètres en fonction de la force avec laquelle vous jouez sur votre clavier. Une des applications courantes de la velocité consiste à rendre les sons plus clairs et plus forts si vous appuyez sur une touche plus fort. Subtractor offre des fonctions de modulation de la velocité très complètes. À l'aide des potentiamétres de cette section, vous pouvez contrôle àquel point les divers paramètres seront affectés par la velocité. La sensibilité de la velocité peut être définie sur des valeurs positives ou négatives, la position centrale représentant l'absence de contrôle par la velocité.
Les paramètres suivants peuvent être contrôlés par la velocité :
| Destination | Description |
| Vol | Cela vous permit de contrôle par la velocité le volume général du son. Si vous définisse une valeur positive, le volume augmentera de la force avec laquelle vous frappez une touche. Une valeur négative inverse cette proportionnalité, le volume diminuant avec la force de frappe et augmentant lorsque vous jouez plus doucement. Si la valeur est égale à zéro, le son jouera à un volume constant que soit la force de frappe des touches. |
| FM | Règle le contrôle par la velocité du paramètre d'intensité de la FM. Une valeur positive augmentera l'intensité FM selon la force avec laquelle vous frappez les touches. Une valeur négative inversera cette relation. |
| Enveloppe de modulation | Règle le contrôle par la velocité du paramètre d'intensité de l'enveloppe de modulation. Une valeur positive augmentera l'intensité de l'enveloppe selon la force avec laquelle vous frappez les touches. Une valeur négative inversera cette relation. |
| Phase | Règle le contrôle par la velocité du paramètre de décalage de phase. Cela s'applique aux oscillateurs 1 et 2, mais les valeurs de décalage relatives sont maintaines. Une valeur positive augmentera le décalage de phase selon la force avec laquelle vous frappez les touches. Une valeur négative inversera cette relation. |
| Fréq 2 | Règle le contrôle par la velocité du paramètre Fréquence du filtre 2. Une valeur positive augmentera la fréquence du filtre selon la force avec laquelle vous frappez les touches. Une valeur négative inversera cette relation. |
| F. Env | Cela définit le contrôle par la velocité du paramètre Intensité d'enveloppe de filtre. Une valeur positive augmentera l'intensité de l'enveloppe selon la force avec laquelle vous frappez les touches. Une valeur négative inversera cette relation. |
| F. Dec | Cela définit le contrôle par la velocité du paramètre de déclin de l'enveloppe de filtre. Une valeur positive augmentera la durée du déclin selon la force avec laquelle vous frappez les touches. Une valeur négative inversera cette relation. |
| Mix des oscillateurs | Règle le contrôle par la velocité du paramètre Mix des oscillateurs. Une valeur positive augmentera l'intensité du mixage de l'oscillateur 2 selon la force avec laquelle vous frappez les touches. Une valeur négative inversera cette relation. |
| Attaque A | Règle le contrôle par la velocité du paramètre d'attaque de l'enveloppe d'amplitude. Une valeur positive augmentera le temps d'attaque selon la force avec laquelle vous frappez les touches. Une valeur négative inversera cette relation. |
Roues de Pitch Bend et de modulation

La roue de Pitch Bend est utilisé pour « courber » les notes, comme lorsque vous courbez les cordes d'une guitare. La roue de modulation est utilisé pour appliquer plusieurs modulations lorsque vous jouve. Quasiment tous les cláviers MIDI disposant de contrôleles de Pitch Bend et de modulation. Le Subtractor ne propose pas uniquement des réglages permettant de définir l'action des messages MIDI de roue de Pitch Bend et de modulation entrants sur le son. Il fournit également deux roues fonctionnelles qui peuvent être utilisées pour appliquer en temps réel la modulation et le Pitch Bend si vous ne disposez pas de ces contrôleurs sur votre clavier ou si vous n'utilise pas de clavier. Les roues du Subtractor reflètent exactement les mouvements des contrôleurs du clavier MIDI.
Plage du Pitch Bend
Le paramètre Plage définit l'intensité maximal du Pitch Bend lorsque la roue est tournée à fond. La plage maximale est de « 24 » (monter/descendre de deux octaves).
Roude modulation
La roue de modulation peut être réglée pour contrôle simultanément plusieurs paramètres. Vous pouvez définir des valeurs positives ou négatives, tout comme dans la section Contrôle par velocité. Les paramètres suivants peuvent être affectés par la roue de modulation :
| Paramètre | Description |
| F. Freq | Permet à la roue de modulation de contrôle le paramètre Fréquence du filtrte. Une valeur positive augmente la fréquence lorsque la roue est pousseée en avant. Une valeur négative inversera cette relation. |
| F. Res | Permet à la roue de modulation de contrôle le paramètre Résonance du filtrte. Une valeur positive augmente la résonance lorsque la roue est pousseée en avant. Une valeur négative inversera cette relation. |
| LFO 1 | Cela permet à la roue de modulation de contrôle paramètre Intensité du LFO 1. Une valeur positive augmente l'intensité lorsque la roue est pousseée en avant. Une valeur négative inversera cette relation. |
| Phase | Rôle le contrôle par la roue de modulation du paramètre de décalage de phase pour les oscillateurs 1 et 2. Notez que la modulation du décalage de phase (soustraction ou multiplication) doit être activé pour cela ait un effet. |
| FM | Définit le contrôle par la roue de modulation du paramètre Intensité de FM. Une valeur positive augmentera l'intensité de FM si la roue est pousseée vers le haut. Une valeur négative inversera cette relation. Les deux oscillateurs doivent être activés pour que cela ait un effet. |
Legato
Le legato offre ses meilleurs performances avec lessons monophoniques. Reglez la polyphonie (voir plus bas) sur 1 et essayez ce qui suit :
Maintenez enfoncée une touche et pressez une autre touche sans relâcher la précédente.
Notez que le pitch change, mais les enveloppes ne se redéclenchent pas. Ainsi, il n'y aura pas de nouvelle « attaque ».
Si la polyphonie est reglee sur plus d'une voix, le legato ne s'appliquera que lorsque toutes les voix seront « utilisées »
Par exemple, si vous avez un réglage de polyphonie sur « 4 » et que vous maintainez un accord de quatre notes, la note suivante jouera un legato. Notez, cependant, que cette voix de legato « volera » l'une des voix dans l'accord de quatre notes du fait que toutes les voix affectées sont déjà utilisées!
Retrig
Il s'agit du réglage « normal » pour jour des patches polyphoniques. Ainsi, lorsque vous enforcez une touche sans relâcher la précédente, les enveloppès sont déclenchées à nouveau, comme lorsque vous relâchez toutes les touches et en pressez une nouvelle. En mode monophonique, Retrig a une fonction supplémentaire : si vous appuyez sur une touche, la maintenance, et appuyez sur une nouvelle touche et la relâchez, la première note sera également déclenchée de nouveau.
Portamento (durée)
Le portamento consiste à faire « glisser » le pitch entre les notes que vous jouez au lieu de le modifier instantanément. Le potentiemètre Portamento est utilisé pour définir la durée nécessaire au pitch pour glisser d'un pitch à l'autre. Si vous ne souhaitez pas de portamento, réglez ce potentiemètre sur zéro.
Définir le nombre de voix - Polyphonie

Cela détermine la polyphonie, c'est-à-dire le nombre de voix qu'un patch Subtractor peut jouer simultanément. Cela peut être utilisé pour rendre un patch monophonique (=un réglage sur « 1 »), ou pour augmenter le nombre de voix disponibles pour un patch. Le nombre maximal de voix pouvant être définir pour un patch Subtractor est de 99. Dans le cas (peut probable) où vous auriez besoin de plus de voix, vous pouvez toujours créé un autre Subtractor!
! Notez que le réglage de polyphonie ne « monopolise » pas les voix. Par exemple, si vous avez un patch qui a un réglage polyphonique de dix voix, mais que la partie jouée par le patch n'utilise que quatre voix, cela ne signifie pas que vous avez « gachué » six voix. En d'autres termes, le réglage de la polyphonie n'est pas à prendre en considération si vous souhaitez économique la puissance du CPU, autrement dit, c'est le nombre de voix réellement utilisées qui compte.
À propos du bouton Réduction des aigus
Il peut être utilisé pour économiser la puissance du CPU. Lorsqu'elle est activée, cette fonction supprime une partie du contenu des haute fréquences du son de ce module particulier, mais ce n'est généralement pas notable (ceci est particulièrement vrai pour les sons de basse).
Modulation externe

Subtractor peut receiveoir les messages de contrroleur MIDI classiques et les router vers divers parametes. Les messages MIDI suivants peuvent etre reçus :
- Aftertouch (pression de canal)
- Pédale d'expression
- Contrôleur à souffle
Si vous clavier MIDI est capable d'envoyer des messages Aftertouch, ou si vous avez accès à une pédale d'expression ou à un contrôleur à souffle, vous pouvez les utiliser pour modifier des paramètres. Le bouton de sélection « Modulation externe » définit lequel de ces types de message doit être reçu.
Ces messages peuvent être affectés pour contrôler les paramètres suivants :
| Destination | Description |
| F. Freq | Définit le contrôle de modulation externe du paramètre Fréquence du filtre 1. Une valeur positive augmentera la fréquence avec des valeurs de modulation externe supérieures. Une valeur négative inversera cette relation. |
| LFO 1 | Définit le contrôle de modulation externe du paramètre Intensité du LFO 1. Une valeur positive augmentera l'intensité du LFO avec des valeurs de modulation externe supérieures. Une valeur négative inversera cette relation. |
| Vol | Vous permet de contrôle le volume général du son avec une modulation externe. Une valeur posité est définit, le volume augmentera avec des valeurs de modulation externe supérieures. Une valeur négative inverse cette relation. |
| FM | Définit le contrôle de modulation externe du paramètre d'intensité de la FM. Si une valeur posité est définit, l'intensité de la FM augmentera avec des valeurs supérieures de modulation externe. Une valeur négative inverse cette relation. Les deux oscillateurs doivent être activés pour que cela ait un effet. |
Connexions

Si you renversez le Subtractor, you trouvez une kyrielle de connexions possibles, dont la plupart sont liées à CV/ Gate. L'utilisation de CV/Gate est décrite dans le chapitre « Routage de l'audio et du CV »
Sortie audio
Il s'agit de la sortie audio principale du Subtractor. Lorsque vous creez un nouveau module Subtractor, elle est autoroute vers le premier canal disponible du mixeur audio.
Sequencer Control
Les entrées Sequencer Control CV et Gate yous permectent de jour le Subtractor depuis un autre module CV/Gate (generalement un Matrix ou un Redrum). Le signal à l'entrée CV contrôle le pitch de la note, alors que celui de l'entrée Gate restitue une note on/off avec la velocité.
! Pour deilleurs résultats, nous vous recommandons d'utiliser les entrées Sequencer Control avec dessons monophoniques.
Entrées de modulation
! Souvenez-vous que les connexions CV ne seront pas conservées dans le patch Subtractor, même si les connexions se font depuis/vers le même module Subtractor !
Les entrées de tension de contrôle (CV, avec leurs potentiamètres associés) peuvent modifier divers paramètres du Subtractor depuis d'autres modules ou depuis les sorties modulation du même module Subtractor. Ces entrées peuvent contrêter les paramètres suivants :
- Pitch de l'oscillateur (oscillateurs 1 et 2).
- Décalage de phase des oscillateurs (oscillateurs 1 et 2).
- Intensité FM
- Fréquence du filtré 1
Filtre 1 Res - Fréquence du filtré 2
Volume - Roude modulation
Sorties de modulation
Les sorties de modulation peuvent etre utilisees pour contrcler d'autres modules ou d'autres parametes du meme module Subtractor. Les sorties de modulation sont les suivantes :
- Enveloppe de modulation
- Enveloppe de filtré
LFO1
Entrées Gate
Ces entrées peuvent receivevoir un signal CV pour déclencher les enveloppés suivantes. Notez que la connexion de ces entrées remplacera le déclenchement normal des enveloppés. Par exemple, si vous connectez une sortie LFO à l'entrée Gate Amp, vous ne pourriez plus déclencher d'enveloppe d'amplitude en jouant des notes, puisqu'elles sont à présent contrôlées par le LFO. De plus, vous n'entendriez le déclenchement d'enveloppe par le LFO que pour les notes que vous maintainez enfoncées. Les entrées Gate suivantes peuvent être sélectionnées :
- Enveloppe d'amplitude
- Enveloppe de filtré
- Enveloppe de modulation

REASON
Chapitre 26
Synthétiseur
polysonique Thor
Introduction

Thor est un synthétiseur avancé complément de nombreuses fonctions uniques.
Son design peut être qualifié de semi-modulaire, du fait que les sections oscillateur et filtrer sont des emplacements ouverts permettant à l'utilisateur de sélectionner plusieurs types d'oscillateurs et de filtrés, chacun disposant de caractéristiques spécifiques. Certains de ces designs sont inspirés d'une seLECTION d'équipements vintage.
Ainsi, Thor peut produit une très grande variété desons.
Bien que proposant beaucoup de possibilités pour un modelage du son de qualité, il dispose néanmoins d'une interface simple et intuitive.
Dans la section importante consacrée au routage de bus de modulation, les signaux audio et de contrôle (CV) coexistent et quasiment toutes les combinaisons de routage peuvent être affectées. Utilisez l'audio pour modifier le signal CV et vice versa - les capacités de modulation de Thor sont virtuellement illimitées.
Thor offre également un séquenceur à pas avancé qui peut être utilisé pour creer des lignes de mélodie ou purement comme source de modulation.
Il offre également des entrées audio sur son panneau arrêté. En connectant la sortie d'un autre module à ces entrées, vous pouvez utiliser les filtres, enveloppés etc. de Thor, pour Traitser le son, ou vous pouvez utiliser la source audio externe pour modulier un paramètre de Thor
À propos de la terminologie de base du synthétiseur
Ce chapitre suppose une connaissance de la terminologie standard des synthétiseurs comme oscillateurs, formes d'onde, filtrés et enveloppès. Si vous étés un nouveau venu dans l'univers de Reason (ou de ces termes), vous devriez d'abord dire le chapitre "Synthétiseur Subtractor" dans lequel ces éléments et leur interaction son décrits d'un point de vue plus élémentaire.
Charger et enregistrer des patches
Le chargement et l'enregistrement des patches s'effectue de la même façon que pour les autres modules Reason-voir "Chargement des patches" et "Enregistrement de patches".
Éléments de Thor
L'image ci-dessous representa un module Thor déplié.

L'interface utiliseur de Thor est constituée des éléments suivants (de haut en bas) :
- Le panneau de contrôle, qui est always affché même si Thor est replié.
Voir "Le panneau de contrôle".
Le panneau de programmation principal contient tous les paramètres du synthétiseur.
Le programmeur peut être affiché/masqué en cliquant sur le bouton « Afficher le programmeur » dans le panneau de contrôle. Voir “Utilisation du programmeur”.
- La section de routage de bus de modulation.
Voir "Section de routage de bus de modulation".
- La section du séquenceur à pas dans laquelle vous pouvez programmer jusqu'à 16 pas pour produit des courtes lignes mélodiques ou de groove ou que vous pouvez utiliser comme source de modulation.
Voir "Sequenceur à pas".
Le panneau de contrôle

Le panneau de contrôle contient les boutons de contrôle standard Volume général, Pitch et Modulation, les sections Mode de clavier/Déclenchement de note et quatre boutons de contrôle virtuels (que l'on peut affecter librement). Le panneau dispose également d'un affichage du patch et de boutons de patch standard Sélectionner/Parcourir/Enregistrer (toujours visibles même lorsque Thor est replié).
La section Mode de clavier
C'est dans cette section que vous effectuez les réglages de base relatifs au clavier pour un patch. Elle propose les options suivantes :
| Fonction | Description |
| Polyphonie | Ce réglage déterminé le nombre de voix que vous pouze jourer simultanément lorsque le mode Polyphonie est sélectionné. Le nombre de voix maximal est de 32. |
| Relâchement la polyphonie | Déterminé le nombre de voix qui peuvent naturellement décliner/s'éteindre (durant la phase de relâchement de l'enveloppe) lorsque de nouvelles notes sont déclenchées et que le mode Polyphonie est sélectionné. Par exemple, si vous le réglez sur « 0», toute(s) nouvelle(s) note(s) coupera le relâchement de toute autre note précédemment déclenchée. |
| Legato mono | Le mode Legato mono est monophonique quel que soit le réglage de Polyphonie. Il fonctionne de la manière suivante : → Maintenez,enforcée une touche et pressez une autre touche sans relâcher la précédente. Notez que le pitch change, mais les enveloppes ne se redéclenchent pas. Ainsi, il n'y aura pas de nouvelle « attaque » . |
| Retrig mono | Retrig mono est également monophonique, ce mode signifiant que lorsque vous appuyez sur une touche, les enveloppes sont toujours déclenchées à nouveau. |
| Polyphonie | Il s'agit du mode de lecture polyphonique standard - vous pouze jouez le nombre de voix définies par le paramètre Polyphonie. |
| Portamento On/Off/Auto | Ce potentiamètre est utilisé pour contrôler le portamento - un paramètre qui fait glisser le pitch entre les notes que vous jouez,platzôt que de le modifier instantanément dés que vous appuyez sur une touche du clavier. En tournant ce potentiamètre, vous définissez le temps nécessaire au pitch pour glisser d'une note à la suivante. Il existe trois modes fondamentaux pour le portamento : ·En mode Auto, il n'yaura un portamento que lorsque vous jouerez plus d'une note. Si l'un des modes Mono est sélectionné, le portamento n'affectora que les notes legato. ·Lorsqu'il est défini sur On, le portamento s'applique à toutes les notes. ·Lorsqu'il est défini sur Off, il n'y a aucun portamento. |
Section Déclenchement des note
En utilisant les boutons de cette section, vous pouvez définir la façon dont Thor réagira :
- via l'entrée de note uniquement.
- via le séquenceur à pas uniquement (voir "Sequenceur à pas").
ou via les deux.
Cette section dispose également d'un indicateur de Note On.
A propos des contrôleurs affectables
- Les boutons et potentiomètres rotatifs du panneau de contrôle sont des contrôleurs affectables qui peuvent être affectés à plusieurs paramètres et fonctions de Thor.
- Vous affectez des paramètres aux boutons et potentiamètres dans le panneau de routage de la modulation (ils se trouvent dans le sous-menu « Modifieurs » - voir “Section de routage de bus de modulation”).
- Les mouvements des contrôleurs affectables peuvent être enregistrés comme automation.
- Chaque contrôleur peut être affecté à un nombre quelconque de paramètres.
- Enclistant sur l'etiquette d'un contrôleur rotatif ou d'un bouton, vous pouze y entrer un nom approprié.
À propos du bouton Fonction de la touche de note
À droite des deux boutons affectables se trouvent les boutons fléchés et affichages correspondants. Ils peuvent être utilisés pour afferter une touche permettant d'allumer momentarily le bouton, lors que la touche est maintainue enforcée.
Utilisez les boutons fléchés (ou cliquez sur l'affichage et déplacez la souris vers le haut ou vers le bas) pour afferter une touche pour le statut du bouton.
La touche affectee va a present activer la (ou les) fonction(s) affectee(s) tant qu'elle sera maintainue enfoncée.
Notez que la fonction de la touche de note peut uniquement basculer du mode inactif au mode actif, et non pas l'inverse; aussi assurez-vous que le bouton est désactivé si vous pouze utiliser cette fonction.
Une touche affectee ne déclenchera pas de note mais seulement le statut du bouton. Notez également que le bouton ne s'allumera pas lorsque vous appuierez sur la touche affectée.
Les roues de Pitch Bend et de modulation
- Les roues de Pitch Bend et de modulation du panneau de contrôle refléteront les actions correspondantes sur le clavier maître.
Le parametre Plage ( comme pour tout module instrumental) définit la plage de l'action du Pitch Bend. - Pitch Bend est pré-connecté au paramètre de pitch des trois oscillateurs, mais vous pouvez bien entendu l'utiliser pour contrôler n'importe quel autre paramètre. Si vous ne pouze pas que le Pitch Bend affecte le pitch de l'oscillateur, réglez simplement le paramètre Plage sur « 0 »
Volume général
Il s'agit du contrôle de volume principal pour les sorties 1 et 2.
Utilisation du programmeur
Le programmeur contient les paramètres principaux du synthétiseur.
Pour afficher le panneau de programmation, cliquez sur le bouton « Afficher le programmeur » du panneau de contrôle.
Le programmeur apparait sous le panneau de contrôle.


Le panneau de programmation est divisé en deux sections ; la section Voix à gauche et la section Global à droite. La section Global dispose d'un panneau marron séparé pour la différencier de la section Voix.
La section Voix contient les paramètres fondamentaux du synthétiseur et les paramètres sont « par voix», c'est-à-dire que tous les cycles d'enveloppe et de LFO sont déclenchés individuellement pour chaque voix. La section Global à droite contient les paramètres globaux qui affectent toutes les voix.
Il y a trois emplacements ouverts d'oscillateur, un mixeur, deux emplacements ouverts de filtre, un shaper, trois générateurs d'enveloppe, un LFO et un amplificateur dans la section Voix.
Les emplacements ouverts d'oscillateur et de filtrer vous permettent de selectionner différents types d'oscillateurs et de filtrres.
La section Global contient un second LFO, une enveloppe globale, un troisième emplacement ouvert de filtre, et des effets de chorus et de décai.
Connexions de base - tutorial
Il existe certaines connexions prédéfinies entre les emplacements d'oscillateur 1-3 et les sections Mixeur, Filtre 1/ Shaper, Filtre 2 et Vol. Sur le panneau lui-même, des lignes avec des flèches sont affichées pour indiquer les parcours standard du signal.
- Notez que vous pouvez également connecter des sections à l'aide de la section de bus de la modulation (voir "Section de routage de bus de modulation"). Vous n'êtes en aucune manière limité aux routages prédéfinis, mais ils fournissent une manière rapide et efficace de connecter les « blocs de construction » de base du synthétiseur les uns aux autres.
Dans le tutorialiel suivant, nous allons creer une configuration standard en utilisant deux oscillateurs et deux filtres pour monrer les bases de Thor et le parcours du signal (standard) :
1. Sélectionnez « Initialiser le Patch » dans le menu Édition.
Le patch d'initialisation est une configuration de base dotée d'un oscillateur analogique chargé dans l'emplacement 1 de l'oscilateur et d'un filtré échelle LP charged dans l'emplacement 1 du filtrre. Une connexion entre l'oscilateur 1, le filtrte 1 et la section Vol est déjà activée de sorte à ce qu'un son se produit lorsque vous jouez.
Sous l'emplacement de l'oscillateur 1 dans le coin supérieur gauche se trouvent deux emplacements supplémentaires, actuellément vides. Il s'agit, respectivement, des emplacements des oscillateurs 2 et 3. Les trois emplacements d'oscillateur sont identiques dans le sens où ils peuvent tous receivevoir l'un des six types d'oscillateurs.
2. Cliquez sur la flèche de pop-up dans le coin supérieur gauche de l'emplacement de l'oscillateur 2 et Sélectionnez y un second oscillateur à partir du menu pop-up.
Les types d'oscillateur suivants sont disponibles : Analogue, Table d'ondes, Modulation de phase, Paire FM, Multi et Bruit. Pour une description des différents types d'oscillateur voir "La section Oscillateur".

Selectionner le type d'oscillateur.
Avec une configuration de connexion de base, les sorties de l'oscillateur sont connectées en interne à la section « Mix ». Pour faire passer le signal de sortie en avant dans la chaîne de signal, vous doivent d'abord activer une connexion. Pour cela, utilisez les deux rangiées verticales des boutons de routage étiquétés 1, 2 et 3 à droite de la section Oscillateur.

- La rangée supérieure de boutons routage détermine lesquels des oscillateurs 1 à 3 sont routés vers le filtré 1, et la rangée inférieure lesquels des oscillateurs 1 à 3 sont routés vers le filtré 2.
Les trois oscillateurs peuvent être simultanément routés vers les deux filtres, en série ou en parallèle (ou toute autre combinaison de ces variations). Cela est expliqué plus loin dans ce tutoriel.
L'activation d'un ou plusieurs de ces boutons signifie que l'oscillateur (1 à 3) est routé vers le filtrte correspondant. Actuellement, l'oscillateur 1 est connecté à l'emplacement du filtrte 1 (pré-charge avec un filtrte échelle LP).
Cela est indiqué par le fait que bouton de routage « 1 » est allumé. L'emplacement du filtre 2 est actuellément désactivé, ce qui est indiqué par un panneau vide.
- Cliquez sur le bouton « 2 » à gauche de la section du filtre 1 pour qu'il s'allume et active la connexion de l'oscillateur 2.
A present, si vous jouez quelques notes vous devriez entendre à la fois l'oscillateur 1 et l'oscillateur 2, via la section Filtre 1.

- La sortie du filtré 1 passes via le shaper (actuellement désactivé), puis dans la section Vol et enfin dans les sorties principales.
En réalité, la sortie de la section Vol est routée via la section Global avant d'être envoyée aux Sorties principales, mais comme actuellément rien n'est activé dans la section Global, le signal passse sans être traité.
- Ensuite, cliquez sur la flèche pop-up dans le coin supérieur gauche de l'emplacement du filtre 2.
Un menu pop-up avec les quatre types de filtres disponibles apparait. Pour une description des types de filtr, voir "Emplacements de filtr".

- Sélectionnez un type de filtré, par ex. un filtré peigne pour l'emplacement du filtré 2.
À présent que l'emplacement du filtre 2 dans la section Voix est actif, vous pouvez y connecter les oscillateurs en utilisant la rangée inférieure des boutons de routage.
- Cliquez sur les boutons de routage « 1 » et « 2 » à gauche de l'emplacement du filtre 2 pour les allumer.
A present, les deux oscillateurs sont connectés au filtré 2.
- Assurez-vous que le bouton de routage en forme de flèche qui pointe vers la section Vol au dessus de la section Filtre 2 est activé.
A present, si vous jouez quelques notes, les deux oscillateurs sont routés via les deux sections filtré en parallele. Vous pourriez bien évidemment désirir de ne passer qu'un des oscillateurs via un filtré et les deux oscillateurs via l'autre - toute combinaison est possible.

Voupe 1 et 2 en serie, ce qui signifie que la sortie du filtre 1 passage par le filtre 2 avant d'atteindre la section Vol. Pour effectuer cette operation, procedez comme suit :
- Éteignez les boutons de routage « 1 » et « 2 » à gauche de l'emplacement du filtre 2.
Si vous les laissez allumés, les oscillateurs passeront deux fois à travers le filtré 2 ; les deux via filtré 1 et directement. Cela est tout à fait « permis », mais pour rendre les choses plus claires dans ce tutoriel, nous utiliserons une configuration de filtré standard.
9. Cliquez sur le bouton en forme de flèche « gauche » sous Shaper.
À présent, les filtrés sont connectés en série, avec la sortie du filtré 1 connectée (via le shaper qui est actuellement inactif) à l'entrée du filtré 2. Les deux oscillateurs sont traités par les deux filtrés connectés en série.

Cela met fin à ce tutoriel consacré à l'utilisation des connexions pré-établies dans la section Voix, mais notez que vous pouvez également utiliser le bus de modulation pour effectuer des connexions - voir "Section de routage de bus de modulation".
Autres affectations de routage prédéfinies
Il existe d'autres sections dans Thor qui sont pré-défines et peuvent être utilisées sans avoir à effectuer d'effectations préalables :
L'enveloppe d'amplitude et l'enveloppe de filtrtre contrôlent le niveau du volume et la fréquence des filtres (1 et 2), respectivement.
L'intensité du contrôle de l'enveloppe de filtré est contrôle via le paramètre « Env » dans chaque section Filtre.
Les effets (Délai/Chorus) dans la section Global font partie de la chaine du signal et peuvent simplement être activés et utilisés.
La section Oscillateur

Les oscillateurs générent un son brut de base (pitch et table d'onde) qui peut être à son tour traité par les autres paramètres. La section Oscillateur contient trois emplacements ouverts qui peuvent receiveoir l'un des six types d'oscillateur. Les trois emplacements d'oscillateur sont numérotés 1-3, celui du haut recueillant l'Oscillateur 1, celui du milieu l'Oscillateur 2 et celui du bas l'Oscillateur 3.
Le bouton en forme de flèche dans le coin supérieur gauche de chacun des emplacements ouvre un menu pop-up dans lequel on peut seLECTIONner un type d'oscillateur pour l'emplacement correspondant.

Il existe six types d'oscillateur :
- Analogique
Table d'onde
Modulation de phase - Paire FM
Multi - Bruit
Voussouspoucez également sélectionner le mode Off (aucun oscillateur).
Paramètres communs
Les paramètres spécifiques des différents types d'oscillateur sont décrits séparément, mais il existe également des paramètres commun qui s'appliquent à tous les types d'oscillateur. Les voici :
Potentiomètre Octave (OCT) - modifie le pitch de l'oscillateur par pas d'octave.
L'etendue est de dix octaves.
Le bouton Demi modifie le pitch de l'oscillateur par pas de demi-tons.
L'etendue est de 12 demi-tons (1 octave).
Le potentiometre Cent regle le pitch de l'oscillateur par pas de centiemes.
L'etendue est de + / - 50 centièmes (un demi-ton au-dessus ou en-dessous).
Pondération au clavier (Clav) - ce potentiemetre définit la façon dont le pitch de l'oscillateur suit les données de notes entrantes.
Tourné complètement dans le sens des aiguilles d'une montre, le pitch suit le clavier normalement, c'est-à-dire un demi-ton par touche.
Tous les oscillateurs ont eaglement des boutons de selection de forme d'onde et un parametre de modifier. Le fonctionnement de la selection de la forme d'onde et le parametre correspondant au modifier varient en fonction du type d'oscillateur selectionné.
Il est important de noter que si vous avez etabli un routage de modulation pour un parametre d'oscillateur, par ex. le modifier, et que vous modifiez le type d'oscillateur, la modulation sera transférée au paramètre correspondant dans le nouvel oscillateur.
Il en va de même pour tous les paramètres communs (accordage et pondération). Si vous modifiez le type d'oscillateur, tous les paramètres communs restent inchangés.
Les oscillateurs peuvent etre synchronisés - voir "A propos de la synchronisation d'oscillateurs".
Tout type d'oscillateur chargé dans l'emplacement de l'oscillateur 1 peut également subir une modulation d'amplitude par l'Oscillateur 2 - voir "À propos de l'AM".
Oscillateur analogue

Il s'agit d'un oscillateur analogique classique avec quatre formes d'onde standard. Le bouton de seLECTION de forme d'onde se trouve dans le coin inférieur gauche du panneau de l'oscilateur, mais vous pouze également cliquer directement sur les symboles de forme d'onde pour modifier la forme d'onde. Les quatre formes d'onde disponibles sont de haut en bas (telles qu'elles sont affichées dans le panneau): dents de scie, carrée, triangulaire et sinusoidale.
- Le paramètre de modulation (PW) contrôle la largeur d'impulsion et n'affecte que la forme d'onde d'impulsion. En modulant le paramètre PW, la largeur de l'onde d'impulsion change, permettant d'obtenir une MLI (Modulation de largeur d'impulsion) qui est une fonction standard dans la plupart des synthétiseurs analogiques vintage.
Pour obtenir une onde parfaitement carrée, reglez la largeur d'impulsion (PW) sur 64.
Oscillateur à table d'ondes

Les oscillateurs à table d'ondes sont à l'origine de nombreux synthétiseurs vintage (PPG, Korg Wavestation et beaucoup d'autres).
- Avec un oscillateur à table d'ondes, vous pouvez selectionner l'une des 32 tables d'ondes, chacune d'entre elles contenant plusieurs (jusqu'à 64) formes d'onde. En utilisant une enveloppe ou un LFO, vous pouvez balayer une table d'onde pour produit des variations de时间内.
Ses paramètres sont les suivants :
La Position correspond au paramètre du modifier (Mod) qui contrôle la position dans la table d'ondes sélectionnée, c'est-à-dire qu'elle forme d'onde est active à un moment donné.
En modulant la position, vous pouze balayer les formes d'onde dans la table d'ondes selectionnee. Vous pouze bien entendu également utiliser une seule forme d'onde statique dans une table d'ondes si vous le souhaitez, en n'appliquant aucune modulation à ce paramètre.
Le bouton X-Fade détermine si la modification entre les formes d'onde dans une table d'ondes doit être abrupte (X-Fade désacté), ou douce (X-Fade activé).
Si le bouton est regle sur on, les transitions entre les formes d'onde se font en fondu croise.
32 tables d'ondes peuvent etre selectionnées à l'aide des boutons haut/bas ou en cliquant sur I'affichage de la table d'ondes.
Certaines de ces tables d'ondes contiennent des formes d'onde qui suivent les séries harmoniques de façon séquentielle, c'est-à-dire que chaque forme d'onde suivante ajoute une harmonique. Certaines ont une série de formes d'onde qui produit un son similaire à une synchronisation d'oscillateurs lors d'un balayage et d'autres tables d'ondes sont simplement des formes d'onde mélangées. Les 11 dernières tables d'ondes sont basées sur des tables d'ondes utilisées dans le synthétiseur PPG 2.3 d'origine.
Oscillateur à modulation de phase

L'oscillateur à modulation de phase s'inspire des séries de synthétiseurs Casio CZ. La modulation de phase est basée sur la modification de formes d'ondes numériques pour simuler les caractéristiques de filtrre commun.
Vous pouvez combiner une première forme d'onde avec une seconde. Au lieu d'êtres mixées, elles sont jouées en série l'une après l'autre.
Cela ajoute une octave fondamentale inférieure au pitch du son d'origine.
Le paramètre PD (modulation) modifie la forme de l'onde, à la manière d'un contrôle.
Les formes d'onde suivantes (en partirant de la première) sont disponibles comme première forme d'onde :
- En dents de scie
Carree - A impulsion
- A impulsion et sinusoidale
Sinusoidale et plate (demi-sinusoidale) - En dents de scie x sinusoidale
Sinusoidale x sinusoidale
Sinusoidale x a impulsion
Les trois dernières formes d'onde pourraient etre qualifiées de « résonantes», car elles ont ete initialement conques pour simuler une résonance de filtr. Elles ne le faisaient pas de façon vraiment précise, mais constituaient cependant une importante partie du son
La seconde forme d'onde dispose des mêmes formes d'onde en dehors des trois dernières, et peut également être totallyment bypassée. Vous pouvez combiner librement les formes d'onde, mais il n'est pas possible de combiner deux formes d'onde « résonantes »
Oscillateur de paire FM

Comme son nom l'indique, cet oscillateur génére de la FM, ou un oscillateur (porteur) subit une modulation de fréquence provenant d'un second oscillateur (modulator). Bien que très simple d'utilisation (contrairement à la plupart des synthétiseurs matériels FM), cet oscillateur peut produit une large variété de sons FM.
Les boutons de selection Porteur et Modulateur reglent le rapport de fréquence entre ces deux oscillateurs (plage de 1 à 32).
Le rapport de fréquence est ce qui détermine le contenu de base de la fréquence et donc le timbre du son.
Le potentiometre FM permet de regler l'intensité de la modulation de fréquence.
Il s'agit également du paramètre Modifieur. Si l'intensité FM est configurée sur zéro, la FM est absente et la sortie correspond à une onde sinusoidale pure.
- Si vous configUREZ la quantité FM sur zéro et parcourez les valeurs de l'oscillateur Porteur, vous pouvez entendre que le pitch est modifié en fonction des séries harmoniques.
Le parcours des valeurs de l'oscillateur Modulateur modifie le pitch de la meme maniere, bien que I'intensite de la FM doive etre configuree sur une valeur differente de zero afin de pouvoir I'entendre.
Ainsi, 2:2 correspond à la même forme d'onde que 1:1 mais une octave plus haut en terme de pitch, 3:3 correspond à la même forme d'onde que 2:2 mais un cinquième plus haut en terme de pitch et ainsi de suite.
Oscillateur multiple (Multi)

Cet oscillateur polyvalent peut générer simultanément plusieurs formes d'onde désaccordées (d'un type défini) par voix. C'est un excellent moyen de produit des timbres complexes, par ex. pour simuler des sons de cymbale ou de cloche, mais également de générer une large gamme de sons harmoniques.
Les formes d'ondes classiques suivantes sont disponibles : en dents de scie, carrée, en dents de scies adoucies, carrée adoucie, à impulsion.
Vous passez d'une forme d'onde à l'autre à l'aide du bouton dans le coin inférieur gauche ou enclinquent directement sur le symbole de la forme d'onde.
Le paramètre Intensité (AMT) définit l'importance du désaccordage.
Tournez dans le sens des aiguilles d'une montre pour augmenter le désaccordage. Il s'agit également du paramètre du modifier (Mod). L'utilisation d'un réglage faible de l'intensité peut produit de subtiles variations désaccordées qui permettent de modifier et de faire évoluer le son continulement, comme un effet de chorus avancé, tandis que des réglages plus élevés de l'intensité peuvent produit des timbres désaccordés moins maitrises.
Le paramètre Mode de désaccordage définit le mode opérationnel de base du désaccordage.
Si l'intensité est configurée sur 0, seuls les modes de désaccordage « Octave » et « Cinquième » modifient réellement le son, puisque ces modes commencent par deux formes d'onde accordées avec un intervalle d'une octave et d'un cinquième chacune. Comme leurs noms l'indiquent, les modes « +cinq. » et « +/- oct. » désaccordent les formes d'onde pour les réglages de l'intensité compris entre zéro et le maximum. « Linéaire » modifier l'intensité du désaccordage en fonction de l'endroit du clavier sur lequel vous jouez ; dans les zones de jeu inférieures du clavier le désaccordage est plus marqué que dans les zones de jeu supérieures du clavier et inversement. Les autres modes (Intervalle et Aléatoire) ajoutent simplement plusieurs formes d'onde et les désaccordent différément, ce qui donnera des résultats variés.
Oscillateur Bruit

L'oscillateur Bruit peut non seulement produit du bruit blanc et coloré, mais peut également être utilisé soit comme oscillateur à pitch ou comme source de modulation.
Il dispose des paramètres de base suivants :
Un seul paramètre Bruit est disponible (en dehors des potentiomètres d'accordage et de pondération au clavier standard).
Il s'agit du paramètre de modifier de bruit qui contrôle différents paramètres en fonction du mode d'oscillateur sélectionné (voir plus bas).
Le bouton de selection Forme d'onde dans le coin inférieur gauche est utilisé pour définir le mode d'oscillateur.
Les modes suivants sont disponibles:
| Mode | Description |
| Bande | Dans ce mode, le potentiametre Oscillateur contrôle la bande passante. Lorsqu'il est tourné complètement dans le sens des aiguilles d'une montre, l'oscillateur produit un bruit pur. En le tournant dans le sens inverse, on réduit progressivement la bande passante jusqu'à la production d'un pitch. Ce pitch pondège le clavier normalement si le potentiametre clavier (Clav) est tourné complètement à droite. |
| S/H | S/H signifie « sample and hold », ce qui correspond à un type de générateur aléatoire. Le potentiametre Oscillateur contrôle la fréquence du « sample and hold ». Avec un réglage élevé du potentiametre Oscillateur, il produit un bruit coloré avec une légère qualité sonore « phasée ». Avec un réglage inférieur, on peut utiliser l'oscillateur comme source de modulation à la manière d'un LFO avec des valeurs aléatoires. Par exemple, si vous moduliez le pitch avec un autre oscillateur en utilisant S/H avec un faible réglage de Rate comme source, vous obtiendrez une modulation aléatoire par pas du pitch. |
| Statique | Comme son nom l'indique, ce mode peut générer un son d'interférence statique si vous réglez l'oscillateur à un faible niveau. Le paramètre Oscillateur contrôle la densité, c'est-à-dire la quantité d'interférence statique. Une densité élevée générale du bruit. |
| Couleur | Ce mode produit un bruit coloré, c'est-à-dire un bruit dans lequel certaines zones de fréquence sont filtrées, en coupant ou augmentant certaines zones de fréquence dans le bruit. Le potentiametre Oscillateur contrôle la couleur. Avec un réglage maximal de la couleur vous obtenez un bruit blanc, tandis qu'un réglage plus faisible produit du bruit augmentant les fréquences plus basses. |
| Blanc | Ce mode produit un bruit blanc pur, dans lequel toutes les fréquences ont une énergie identique. Il n'existeaucun paramètre Oscillateur associé au bruit blanc. |
À propos de la synchronisation d'oscillateurs
La synchronisation d'oscillateurs implique qu'un oscillateur réinitialisera la période d'un autre oscillateur, pour qu'ilts aient la même fréquence de base. Si vous modifie ou modulez la fréquence d'un oscillateur synchronisé, vous obtenez le son caractéristique associé à la synchronisation d'oscillateurs.

Un oscillator synthesisé qui réinitialise un ou plusieurs autres (s) oscillator(s) est appelé maître, et tout oscillator synchrésé réinitialisé par un autre oscillator est appelé esclave. Dans Thor, l'oscillator 1 est le maître, c'est-à-dire qu'il contrôle le pitch de base des oscillateurs, et les oscillateurs 2 et 3 sont esclaves.
Vous activez ou désactivez la synchronisation d'oscillateurs en appuyant sur les boutons Synchro à gauche des emplacements des oscillateurs 2 et 3.

Les curseurs de synchronisation « BW » à gauche des emplacements des oscillateurs 2 et 3 vous permettent d'ajuster la bande passante synchronisée.
Cela vous permet de modifier le caractère de la synchronisation d'oscillateurs. Le paramètre a pour fonction essentielle de définir àquel point la réinitialisation est abrupte - un réglage élevé de la bande passante produit un effet de synchronisation plus prononcé et inversement. L'image ci-dessus illustré une réinitialisation de la bande passante élevée - si des réglages de la bande passante plus faibles sont utilisés, la courbe de l'oscillateur esclave sera plus arrondie aux points de réinitialisation.
À propos de l'AM
L'AM est généralement appelée modulation en anneau. Elle fonctionne en multipliant deux signaux ensemble.
Dans Thor, l'amplitude de l'oscillateur 2 module l'oscillateur 1.
La sortie modulée en anneau contient alors des fréquences ajoutées qui sont générées par la somme et la différence des deux signaux. Cela peut être utilisé pour creer dessons complexes et enharmoniques.
La quantité d'AM est défini en utilisant le curseur à gauche de l'emplacement de l'oscillateur 1.

Section de mixage

La section de mixage vous permet d'ajuster les niveaux et la balance relative des trois oscillateurs.
Les deux curseurs contrôlent les niveaux des oscillateurs 1-2 et de l'oscillateur 3, respectivement.
Le potentiemetre Balance definit la balance entre les oscillateurs 1 et 2.
Le paramètre Balance est également une destination de la modulation vous permettant de modifier la balance des deux oscillateurs avec un LFO par exemple. Notez que les oscillateurs doivent être connectés au(x) filtré(s) via les boutons de routage numérotés pour que les réglages de la section de mixage aient unquelconque effet.
Emplacements de filtré

Thor dispose de trois emplacements de filtre ouverts, deux dans la section Voix (chacun agissant par voix) et un dans la section Global, complenant toutes les voix (voir "Emplacement du filtre global").
Vousselctionnez (ou modifiez) le type de filtre pour un emplacement en cliquant sur le bouton en forme de flche dans le coin supieur gauche d'un emplacement.
Dans le menu pop-up, vous pouvez selectionner l'un des quatre types de filtrer ou le mode bypass. Les types de filtrer disponibles sont Échelle LP, Variable de l'état, Peigne et Formant, chacun étant décrit séparément cidesous.
Les règles générales suivantes s'appliquent :
Les filtres sont pré-connectés à l'enveloppe de filtré (voir "Enveloppe de filtré").
- Les filtres 1 et 2 peuvent être utilisés en série (c'est-à-dire que la sortie du filtre 1 entre (via le shaper) dans l'entrée du filtre 2), ou en parallax (c'est-à-dire qu'un signal va dans le filtre 1 et un autre dans le filtre 2).
Les routages prédéfinis des trois oscillateurs dans les sections des filtres 1 et 2 sont décrits dans le passage "Connexions de base - tutorial".
Paramètres communs
Comme pour les emplacements ouverts d'oscillateurs, il existe un certain nombre de paramètres commun à tous les types de filtre.
Il s'aqit des fonctions suivantes :
Tous les types de filtré disposent de grands potentiamétres pour le paramètre de fréquence du filtré (FREQ) et pour le paramètre de résonance de filtré (RES).
Cela fonctionne de façon légèrement différente pour le filtré Formant - voir "Filtre Formant".
Le paramètre « CLAV » définit la façon dont la fréquence du filtré suit les données du pitch de la note.
Certains types de filtré (Échelle/Variable d'objet/Peigne) peuvent « auto-osciller » et « être utilisés comme sources d'oscillateur supplémentaires.
Le paramètre « ENV » définit la façon dont la fréquence de filtre répond à l'enveloppe de filtre.
Le paramètre « VEL » définit àquel point la velocité des notes entrantes affecte l'intensité d'enveloppe de filtre.
En d'autres termes, pour que ce paramètre ait unquelconque effet, il faut que le parametre « ENV » soit configuré sur une valeur différente de zéro.
Le bouton « INV » inverse la façon dont la fréquence du filtre répond aux réglages de l'enveloppe.
Le paramètre « Drive » vous permet d'ajuster le gain d'entrée du contrôle.
En augmentant le drive du filtré, vous pouvez donner plus de caractère au son.
Tout réglage de paramètre, ainsi que toute modulation affectée aux paramètres, seront conservés même si vous modifiez le type de filtré.
Filtre Échelle LP

Le filtré Échelle LP est un filtré passée-bas inspiré par le célibre filtré contrôle par voltage breveté par le Dr. Robert Moog en 1965. Le nom tire son origine de sa forme proche de celle d'une échelle du diagramme de circuit transistor/condensateur.
Le filtr d'origine avait eaglement certaines caractéristiques non linéaires qui contribuaient au son chaud et musical qui a fait sa renommée. Ces caractéristiques sont fidèlement reproduites dans le filtr Échelle LP.
La boucle de return comprend également un shaper intégré (auto-oscillation). Si l'auto-oscillation est activée (voir ci-dessous), le shaper appliquera une distorsion sur le son qui produit ces caractéristiques non linéaires. Pour ajuster l'intensité de cette distorsion, vous doivent utiliser le paramètre Drive.
Quatre pentes de filtré sont disponibles: 24, 18, 12 et 6 dB/oct.
La pente 24dB est divisée en deux types :
- Type I - Le shaper (contrôle par le paramètre Drive) est placé à la sortie du filtre mais avant la boucle de retour.
- Type II - Le shaper (contrôle par le paramètre Drive) est placé à l'entrée du filtre après la boucle de return.
Notez que « Self Osc » (voir ci-dessous) doit être activé pour que le shaper puisse fonctionner.
Ce filtré peut auto-osciller et produit un pitch de note jouable avec des réglages de résonnance élevés s'il est activé.
L'auto-oscillation peut être activée ou désactivée à l'aide du bouton « SELF OSC ». Le potentiamètre « CLAV » définit la façon dont la fréquence suit le clavier ; le tourner complètement à gauche permet de produit un suivi de 12 demi-tons/une octave.
Il s'agit d'un filtrre multi-modes qui offre les modes de filtrre Passe-bas (LP), Passe-bande (BP), Passe-haut (HP), Notch et Crête de pente 12 dB/octave pouvant etre balayés entre les états HP/LP, de la meme façon que le filtre vintage Oberheim SEM.
Les modes de filtrer sont les suivants :
LP 12 (passe-bas 12 dB)
Les filtres passe-bas laissent passer les basses fréquences et coupent les haute fréquences. Ce type de filtre a une pente de 12dB/octave.
BP 12 (passe-bande 12 dB)
Les filtres passe-bande coupent les hautes et les basses fréquences, laissant la bande de fréquences entre les deux intacte. Chaque pente dans ce type de filtre est de 12 dB/octave.
HP 12 (12 dB salle-haut)
Les filtres passe-haut laissant passer les haute fréquences et coupent les basses fréquences. Ce type de filtrer a une pente de 12dB/octave.
Les modes de filtré « Notch » et « Crête » utilisent une combinaison de deux sorties du même filtré en combinant un LP et un HP régés sur la même fréquence de filtré.
Le potentiametre « LP/HP » associé à ces deux modes de filtres peut modifier l'état du filtré de passage-bas à passer-haut. Si le potentiametre est en position médiane, vous obtenez une pente de filtrre Crête ou Notch (en fonction du mode). Le paramètre HP/LP peut être affecté comme destination de modulation.
Ce filtrte peut auto-osciller et produit un pitch avec un réglage de résonnance élevé s'il est activé.
L'auto-oscillation peut être activée ou désactivée à l'aide du bouton « SELF OSC ». Le potentiamètre « CLAV » définit la façon dont la fréquence suit le clavier ; le tourner complètement à gauche permet de produit un suivi de 12 demi-tons/une octave.
Filtre Peigne

Le filtrpeigne peut ajouter de subtilles variations de pitch et des effets de phasing aux sons.
Les filtres Peigne correspondent plus ou moins à des déliés très courts avec retard ajustable (contrôle à l'aide du potentiamètre Résonance).
Un filtr Peigne create des pics de résonance à certaines fréquences. Les filtres Peigne sont utilisés dans plusieurs modules de traitement du signal comme les flangers et produit un son caractéristique de ressac lorsque la fréquence est balayée.
La différence entre les modes « Peigne + » et « Peigne - » concerne la position des pics dans le spectre.
La principale différence audible est que le mode Peigne négatif cree une coupureasse.
Le paramètre Résonance contrôle dans les deux cas la forme et la taille de ces pics.
Ce fille produira un pitch avec un réglage de résonnance élevé combiné à des réglages de fréquence bas.
Filtre Formant

Le type de filtré Formant peut produit des sons de voyage. Il n'y pas de paramètre Fréquence ni Résonnance ; à la place, vous disposez d'un curseur de paramètre horizontal « X » et vertical « Y » qui fonctionnent ensemble pour produit les différentes caractéristiques du filtré formant.
Vous pouvez modifier les réglages des deux paramètres « X » et « Y » simultanément en déplaçant le « point » dans le rectangle gris du panneau de contrôle.
Les mouvements horizontalaux modifient le parametre « X » et les mouvements verticaux modifiert le parametre « Y »

Les potentiometres ENV-VEL-CLAV affectent le paramètre « X »
Le paramètre peut être contrôle par CV.
Le paramètre « Genre » modifie le timbre de base de la génération de voyelle entre des caractéristiques vocales masculines (réglage faible de Genre) et féminines (réglage élevé de Genre). Gendre peut également être contrôle par CV.
Shaper
Le « waveshaping » (distortion non-lineaire) est une méthode de synthèse pour transformer les sons en alternant la forme de l'onde, introduisant ainsi différents types de distorsion. Le shaper peut transformer radicallyment le son ou y ajouter simplement un peu de chaleur, en fonction du mode et d'autres réglages.
L'entree du shaper provient de la sortie du filtre 1.
Le shaper est activé par le bouton dans le coin supérieur gauche de la section.

Le paramètre Drive définit l'intensité de la distortion.
Astuce : en augmentant le paramètre Drive du filtré 1, vous pouvez ajouter encore plus de distorsion à la sortie du shaper.
Le shaper dispose de neuf modes, selectionnables à l'aide des boutons fléchés ou en cliquant dans l'affichage du mode, et qui permettent tous de distordre la forme d'onde de plusieurs manières.
Ces modes sont les suivants : Ecrétage doux et dur, Saturer, Sinus, Bipulse, Unipulse, Crête, Rectifier et Wrap. La façon exacte dont ces différents modes affectent le son dépend de nombreux facteurs sans compter une légère part d'aléatoire dans la distorsion réalisante. Nous vous recommandons simplement d'essayer les différents modes pour entendre le résultat - nous vous garantissons de nombreux types de distorsion intéressants du signal d'origine !
Section Amp

La section Amp (amplificateur) dispose de deux entrées (des filtres 1 et 2) et d'une sortie qui est routée vers la section Global (et dans les sorties Volume général et Principale).
Le potentiemetre Gain contrôle le niveau et le potentiemetre Velocite contrôle la modulation du gain, c'est-à-dire la façon dont la velocite affecte le niveau - des valeurs positives signifient que vous obtenez de plus hauts niveaux en appuyant plus vite sur une touche.
Le potentiometre Pan contrôle la position stereo relative pour les voix individuelles.
En appliquant une modulation à ce paramètre, vous pouze faire en sorte que les voix individuelles apparaissent à des positions stéréo différentes lorsque vous jouez.
LFO 1

Un FLO (Low Frequency Oscillator) est utilisé pour générer une modulation cyclique. Un exemple typique est d'utiliser un LFO pour moduler le pitch d'un oscillateur pour creer un vibrato, mais les LFO peuvent etre utilisés à de très nombreuses autres fins.
LFO 1 appliquera une modulation polyphonique.
C'est-à-dire que si la modulation par le LFO 1 d'un paramètre est affectée, un cycle individuel du LFO sera déclenché à chaque note jouée.
Vouselectionnee une forme d'onde pour le LFO en utilisant les boutons fleches a coté de I'affichage de la forme d'onde ou en cliquant sur I'affichage et en déplacant la souris vers le haut ou vers le bas.
Le LFO 1 dispose des paramètres suivants :
| Paramètre | Description |
| Rate | Définit la fréquence ou « rate » du LFO. |
| Forme d'onde | Définit la forme d'onde du LFO. En dehors des formes d'onde standard (sinusoidale, carrée, etc.) de nombreuses formes d'ondes aléatoires, non linéaires et par pas sont disponibles. La forme des ondes est indiquée dans l'affichage et ces formes reflètent plus ou moins la façon dont le signal est affecté. |
| Délai | Introduit un décal avant le début de la modulation par le LFO après qu'une note est jouée. Tournez le bouton dans le sens des aiguilles d'une montre pour augmenter le décal. |
| CLAV suivre | Détermine si (et dansquelle proportion) le paramètre Rate est affecté par le pitch. En tournant ce potentiamètre dans le sens des aiguilles d'une montre, la fréquence de modulation augmentera en même temps que la hauteur de la note jouée sur le clavier. |
| Synchro touche | Comme expliqué précédemment, le LFO 1 est polyphonique et produit un cycle LFO séparé pour chaque note jouée. Si Synchro touche est désactivé, les cycles se lancent librement, c'est-à-dire que lorsque vous jouez une note, la modulation se lancera à n'importe quel endroit du cycle de la forme d'onde du LFO. Si Synchro touche est activé, les cycles du LFO sont réinitialisés pour chaque note jouée. |
| Synchro tempo | S'il est activé, la fréquence sera synchronisée au tempo du séquenceur. |
Sections Enveloppe

Il y a trois générateurs d'enveloppe dans la section Voix. Il s'agit des enveloppes d'amplitude, de filtré et de modulation. Chaque voix jouée a son enveloppe. Une enveloppe supplémentaire Global est également disponible ; elle est décrite séparément - voir "Envelope Global".
L'enveloppe de filtre est pre-connectee pour contrcler la frquence des filtres 1 et 2.
Notez que le contrôle d'enveloppe d'une fréquence de filtrte peut être désactivé dans chaque section Filtre (le paramètre Env peut être configuré sur 0), de cette façon l'enveloppe de filtrte peut être utilisée pour contrôler d'autres paramètres.
L'enveloppe d'amplitude est pré-connectée pour contrôle l'amplitude (volume).
De la même façon, l'enveloppe d'amplitude peut également être utilisée pour contrôler d'autres paramétres, mais dans la section Voix vous ne pouvez pas la désactiver ou la bypasser - si aucune voix n'est active (c'est-à-dire s'il n'y a pas d'entrée de déclenchement gate pour l'enveloppe d'amplitude) il n'y aura pas de sortie des oscillateurs ou de toute autre source audio envoyée dans la section Voix.
L'enveloppe de modulation peut etre librement affectee aux parametes de controle.
Pour ce faire, vousdezvez allez dans la section Modulation.
Enveloppe de filtré
L'enveloppe de contrôle est une enveloppe ADSR standard comme en utilise le Subtractor.
En configurant une enveloppe de filtré, vous contrôlez la façon dont la fréquence du filtré ou un autre paramètre change dans le temps en fonction des quatre paramètres, attaque, déclin, maintain et relâchement. Veuillez vous reporter au chapitre Subtractor pour une description de ces paramètres.
Le bouton « Décl. Gate » peut être utilisé pour désactiver le déclenchement de l'enveloppe à partir des notes (mode normal) et permettre à l'enveloppe d'être déclenchée par un autre paramètre. « Décl. Gate » devrait être activé.
Les durées des pas sont les suivantes: Attaque: 0 ms - 10,3 s / Déclin et Relâchement: 3 ms - 29,6 s. Le Maintien n'est pas définir comme une durée mais comme un niveau (de Off à 0dB).
Enveloppe d'amplitude
L'enveloppe d'amplitude est également une enveloppe ADSR standard.
En paramétrant l'enveloppe d'amplitude, vous contrôlez la façon dont l'amplitude ou un autre paramètre change avec le temps en fonction des quatre paramètres, attaque, déclin, maintain et le relâchement.
Veuillez you reporter au chapitre Subtractor pour une description de ces paramètres.
Le bouton « Décl. Gate » peut être utilisé pour désactiver le déclenchement de l'enveloppe de l'entrée de notes (mode normal) et permettre à l'enveloppe d'être déclenchée par un autre paramètre.
« Décl. Gate » devrait être activé.
Les durées de chaque pas sont les mêmes que celles de l'enveloppe de filtre.
Enveloppe de modulation
Il s'agit d'une enveloppe ADR (Attaque, Déclin, Relâchement) générale avec une étape de pré-délai avant la phase d'attaque. La phase entre le décal et le déclin peut également être bouclée. En dehors des étapes standard d'attaque, de déclin et de relâchement, l'enveloppe de modulation dispose des paramètres suivants :
| Paramètre | Description |
| Décalai | Peut définir le décalai avant le début de l'enveloppe. |
| Boucle | Si ce mode est activé, la phase de l'enveloppe entre le décalai et le déclin bouclera en continu. |
| Synchro tempo | Si ce mode est activé, chaque phase aura une durée correspondant à des incréments de battement du tempo du séquenceur actuel. Ainsi, vous pouvez avoir un décalai 1/4 avant une phase d'attaque 1/16 suivie d'un déclin 1/8. Chaque étape peut être définie avec une valeur allant de 1/32 à 4/1 (4 mesures).Si ce mode est désactivé, les durées de l'enveloppe sont libres et peuvent être définies en secondes (mêmes durées que celles de l'enveloppe de contrôle). |
| Déclencheur Gate | Le bouton « Décl. Gate » peut être utilisé pour désactiver le déclenchement de l'enveloppe à partir des notes (mode normal) et permettre à l'enveloppe d'être déclenchée par un autre paramètre. « Décl. Gate » devrait être activé. |
Section Global

La section Global contient les paramètres affectant toutes les voix. Elle contient deux effets, un emplacement de fêtre ouvert, l'enveloppe Global et le LFO 2.
Section Effects
Deux effets globaux mono en entrée/stéreo en sortie sont disponibles, un délambda et un chorus. Ces effets affectent toutes les voix provenant de la section Amp de façon identique s'ils sont activés. Les effets sont placés après le filtre global dans la châne du signal.
Des boutons de contrôle sont disponibles pour les paramètres standard de Délai/Temps et Feedback.
Le chorus et le décai ne différé que dans la durée de décai - Chorus correspond aux effets de chorus, c'est-à-dire de brefs dévais, alors que Délai produit des effets d'écho.
Le temps de déliai peut être synchronisé au tempo.
Pour le régler, il suffit d'utiliser le bouton Synchro tempo - si activé, le temps de déliait est défini en résolutions de battements synchronisées au tempo du séquenceur principal.
Le pitch des effets Délai et Chorus peut également être modulé par un LFO intégré (paramètres « Mod »).
« Rate » contrôle la vitesse du LFO et « Intensité » la largeur stéréo.
Avec/Sans effet definit la balance entre le signal non traité (sans effet) et le signal avec effet.
Emplacement du filtré global
Il s'agit de l'emplacement du filtré 3 dans lequel peut être charge l'un des types de filtrre. Le Filtre 3 est plus ou moins configuré comme les autres emplacements de filtrre. La différence resides dans le fait que toutes les voix sont mixées ensemble avant d'entrez dans le filtrte. Le paramètre « ENV » détermine la modulation par le biais de l'enveloppe Global. Si vous jouez une note, l'enveloppe de filtrre sera déclenchée. L'ajout de nouvelles notes lorsqu'une note est toujours enforcée (legato) ne déclenchera pas l'enveloppe de filtrte.
Voir "Emplacements de filtrre" pour une description des types de filtrte.
Envelope Global
L'enveloppe Global 4 est une enveloppe avancée qui peut être librement utilisée qu'elle que soit l'intention, mais souvent-vous qu'il s'agit d'un « déclenchement unique», aussi ne déclenchera-t-elle pas à nouveau de notes en legato comme expliqué précédemment. Il s'agit d'une enveloppe ADSR avec une étape préliminaire de délié et une étape de maintien avant la phase de déclin. Vous pouvez faire en sorte qu'elle boucle et synchronise les réglages de durée pour le tempo du morceau.
En dehors des paramètres ADSR standard, l'enveloppe Global dispose des paramètres suivants :
| Paramètre | Description |
| Décalai | Peut définir le décalai avant le début de l'enveloppe. |
| Boucle | Si ce mode est activé, la phase de l'enveloppe entre le décalai et le déclin bouclera en continu. |
| Maintien | Vous permet de définir une phase de « mainten » avant le déclin. |
| Synchro tempo | Si ce mode est activé, chaque phase aura une durée correspondant à des incréments de battement du tempo du séquenceur actuel. Ainsi, vous pouvez avoir un décalai 1/4 avant une phase d'attaque 1/16 suivie d'un déclin 1/8. Chaque étape peut être définie avec une valeur allant de 1/32 à 4/1 (4 mesures). Si ce mode est désactivé, les durées de l'enveloppe sont libres et peuvent être définies en secondes (mèmes durées que celles de l'enveloppe de contrôle). |
| Déclencheur Gate | Le bouton « Décl. Gate » peut être utilisé pour désactiver le déclenchement de l'enveloppe à partir de notes et pour permettre à l'enveloppe d'être déclenchée par un autre paramètre. Ce bouton doit normalément être activé. |
LFO 2
Le LFO 2 est un LFP standard mais non polyphonique comme le LFO 1. Il n'est affecté àaucun paramètre dans un patch d'« initialisation ». Ainsi, vous doivent utiliser la section Routage de la modulation pour l'utiliser.
- De plus, les paramètres « Délai » et « Synchro touche » du LFO 2 sont également à déclenchement unique, c'est-à-dire que le LFO ne déclenchera pas à nouveau ces paramètres pour les notes en legato.
Vouse selectionnee une forme d'onde pour le LFO en utilisant les boutons fleches a coted e I'affichage de la forme d'onde ou en cliquant sur I'affichage et en deplaçant la souris vers le haut ou vers le bas.
Le LFO 2 dispose des paramètres suivants :
| Paramètre | Description |
| Rate | Définit la fréquence ou « rate » du LFO. |
| Forme d'onde | Définit la forme d'onde du LFO. En dehors des formes d'onde standard (sinusoidale, carrée, etc.) de nombreuses formes d'ondes aléatoires, non linéaires et par pas sont disponibles. La forme de base des formes d'onde apparait dans l'affichage, illustrant la façon dont le signal est affecté. |
| Délai | Introduit un décal avant le début de la modulation par le LFO après qu'une note est jouée. Tournez le bouton dans le sens des aiguilles d'une montre pour augmenter le décal. |
| Synchro touche | Si Synchro touche est désactivié, le cycle du LFO sera libre, ce qui signifie que lorsque vous jouez une note la modulation peut démarrer à n'importe quel endroit du cycle de la forme d'onde du LFO. Si Synchro touche est activé, le cycle du LFO est réinitialisé pour chaque note jouée. |
| Synchro tempo | Si ce paramètre est activé, la fréquence sera synchronisée au tempo du séquenceur en incréements de battements (4/1 à 1/32). |
Section de routage de bus de modulation

Un bus de modulation est utilisé pour connecter une source de modulation à une destination de modulation. Les deux paramètres de signaux audio et de contrôle (CV) sont disponibles. Cela creé un système de routage flexible qui compte le routage pré-établi dans le panneau Voix.
Utilisation élémentaire - tutoriel simple
Pour illustrer l'utilisation élémentaire de la section du bus de modulation, configurons une simple affectation d'une modulation source à une modulation de destination :
1. Sélectionnez « Initialiser le Patch » dans le menu Édition.
Si vous avez des réglages actuellément non enregistrés que vous souhaitez conserver, n'oubliez pas de les enregistrer au préalable.
Le patch d'initialisation est une installation simple d'un oscillateur/un contrôle qui produit un son lorsque vous jouez et servira d'illustration dans ce tutorial.
La moitié gauche de la section de la modulation contient cinq colonnes, Source, Intensité, Dest, Intensité et Échelle.
Sous les intitulés des colonnes se trouvent sept lignes. Chaque ligne correspond à un bus de modulation dans lequel vous pouvez affecter une modulation source à une modulation de destination.
2. Cliquez sur la ligne du haut de la colonne Source la plus à gauche.
Un menu pop-up apparait, referrerçant tous les paramètres de modulation disponibles pour Source.
La moitié supérieure du menu contient les paramètres sources de la section Voix et la moitié inférieure contient divers paramètres sources liés à la lecture et à la performance en général ainsi que l'enveloppe Global, le séquenceur à pas et les entrées CV et audio.

3. Sélectionnez « LFO 1 » dans le menu pop-up.
Cela signifie que le LFO 1 est la source de la modulation et qu'il peut a prisent etre affecte pour moduler un parametre Destination.
4. Déroulez le menu pop-up de la colonne « Dest » dans la ligne du haut.
Un menu pop-up apparait referrerçant toutes les destinations de modulation disponibles. La moitié supérieure du menu contient les destinations de la section Voix et la moitié inférieure contient les destinations de la section Global, ainsi que le séquenceur à pas et les sorties CV et audio.
5. Sélectionnez « Osc 1 » dans le menu puis « Pitch » dans le sous-menu.

Cela signifie que le pitch de l'oscillateur 1 est a present affecté pour etre modulé par le LFO 1. La prochaine etape consiste à définir l'intensité de la modulation à appliquer.
6. Cliquez sur la ligne supérieure de la colonne Intensité à droite de la colonne Source et déplacez le pointeur de la souris vers le haut ou vers le bas pour définir la valeur Intensité.
La valeur Intensité peut avoir une valeur positive ou négative (+/- 100%).
Si vous jouez à prisent quelques notes, vous pouvez entendre le pitch de l'oscillateur etre modulé par le LFO pour produit un vibrato.
Le vibrato sera toutefois constant, ce que vous ne souhaitez peut-etre pas. Cela peut etre résolu en affectant un parametre Echelle, ce qui vous permit d'affector un autre parametre pour contrcler l'intensite de la modulation.
- Déroulez le menu pop-up de la colonne « Échelle » de la ligne supérieure.
Un menu pop-up apparait referrerçant tous les paramètres Échelle disponibles. La moitié supérieure du menu contient les paramètres de la section Voix et la moitié inférieure contient divers paramètres liés au jeu et à la performance ainsi que l'enveloppe Global, le séquenceur à pas et les entrées CV et audio.
La roue de Modulation permet généralement de contrôler le vibrato.
- Sélectionnez « Performance » dans le menu puis « Roue de mod. » dans le sous-menu.

Cela signifie que le pitch de l'oscillateur 1 est a present affecté pour etre modulé par le LFO 1 et que l'intensité de la modulation est contrôlée par la roue de modulation. L'importance du contrôle de l'intensité par le paramètre Échelle peut etre définie à l'aide de la colonne « Intensité » de la ligne supérieure (à gauche de la colonne Échelle).
- Cliquez sur la ligne supérieure de la colonne Intensité et déplacez le pointeur de la souris vers le haut ou vers le bas pour définir une valeur Intensité.
Des valeurs positives et négatives Échelle Intensité peuvent être définies (+/- 100%). Pour contrôle totalément la modulation LFO pour qu'il n'y ait pas de vibrato lorsque la roue de modulation est configurée sur zéro, réglez Intensité sur 100%.

10.Le routage de la modulation est a present terminé !
Vouaves a present un controle total sur la modulation du vibrato en utilisant la roue de modulation.
- L'importance de la modulation appliquée lorsque le paramètre Échelle est configuré au maximum est définie par le paramètre Intensité de la source vers la destination.
Le contrôle de la modulation via le paramètre Échelle est configuré à l'aide du paramètre Échelle Intensité. - Pour supprimer tout routage de la modulation affecté vous pouvez utiliser le bouton « CLR » à droite du bus correspondant.
À propos des trois types de routage de la modulation
Comme décrit dans le tutoriel, les principaux opérateurs du système de routage du bus de la modulation sont les suivants :
- Vous avez des paramètres Source de modulation, Destination de modulation et Intensité de modulation.
- Vous disposez d'un paramètre Échelle en option contrôle l'Intensité de la modulation et un paramètre Échelle Intensité qui définit la façon dont le paramètre Échelle contrôle l'Intensité de la modulation.
Thor propose trois types de bus de routage de modulation :
Vous disposez de sept bus de routage « Source -> Destination -> Échelle »
Il s'agit des sept lignes de la moitié gauche de la section Modulation, commeprésentées dans le tutoriel.

Vous disposez de quatre bus de routage « Source -> Destination 1 -> Destination 2 -> Échelle »
Il s'agit des quatre lignes supérieures de la moitié droite de la section Modulation. Ils fonctionnent selon le même principe mis à part le fait que le paramètre Source peut affecter deux paramètres Destination différents (avec des réglages variables de l'Intensité) et un paramètre Échelle qui affecte l'Intensité de modulation relative pour les deux Destinations.

Enfin, vous disposez de deux bus de routage « Source -> Destination -> Échelle 1 -> Échelle 2 ».
Cela signifie qu'une valeur Intensité de la modulation peut utiliser deux paramètres Échelle.
Exemple : Vous avez l'enveloppe de modulation comme Source et le pitch de l'oscillateur comme Destination (vous définissez l'Intensité comme vous le souhaitez). Comme premier paramètre Échelle, nous utilisons la roue de modulation (Intensité configurée sur 100 pour qu'aucune modulation ne soit appliquée lorsque la roue de modulation est sur zéro) et le LFO 1 comme second paramètre Échelle (vous configurez l'Intensité comme vous le souhaitez). Lorsque vous déplacez la roue de modulation, l'intensité de modulation du pitch sera modulée à la fois par l'enveloppe de modulation et par le LFO 1 simultanément.

Sources de modulation - section Voix
Les paramètres suivants peuvent être utilisés comme sources de modulation de la section Voix :
| Paramètre | Description |
| Touche de voix | Permet d'affector la modulation selon les notes. Vous pouvez sélectionner quatre modes dans les sous-menus : |
| • Note - il s'agit de la pondération au clavier. Si une valeur Intensité positive est utilisée et que la destination correspond à la fréquence du filtre, cette dernière suivra le clavier, c'est-à-dire qu'elle augmentera avec les notes. | |
| • Note2 - fonctionne comme Note mais dans une étendue d'octave répétée. Par exemple, si Note 2 module le panoramicque de l'amplitude, la position du panoramicque se déplacera de gauche à droite sur l'étendue d'une octave puis recommencerca. Si vous jouez des accords normalement sur le clavier, l'effet sera une répartition des notes aléatoires dans le champ stéréo. | |
| • Vélocité - applique la modulation selon la vélocité (l'intensité avec laquelle vous frappez les touches). | |
| • Gate - il s'agit d'un Gate on/off. Par ex. si vous l'appliquerez au pitch d'un oscillateur vous obtiendrez une valeur de pitch (définie par Intensité) lorsque vous jouerez une note et une autre valeur (le pitch non modulé) lorsque vous relâcherez la note. | |
| Osc 1/2/3 | Vous permet de router la sortie audio des oscillateurs vers une destination. |
| Filtre 1/2 | Il s'agit de la sortie audio des filtres. Tous les paramètres du filtre affectent la destination. |
| Shaper | Il s'agit de la sortie audio du module Shaper. Notez que tout ce qui est connecté au shaper, par ex. le filtre 1, affecte la sortie du shaper, et donc la modulation réalisante. |
| Amp | Il s'agit de la sortie audio de la section Gain de l'amplitude. |
| LFO 1 | Vous permet de modifier les paramètres avec le LFO 1. |
| Enveloppe de filtre | Vous permet de modifier les paramètres avec l'enveloppe de filtre. |
| Enveloppe d'amplitude | Vous permit de modifier les paramètres avec l'enveloppe d'amplitude. |
| Enveloppe de modulation | Vous permit de modifier les paramètres avec l'enveloppe de modulation. |
Sources de modulation - Global
Les paramètres suivants peuvent être utilisés comme sources de modulation de la section Global :
| Paramètre | Description |
| Enveloppe Global | Vous permet de modifier les paramètres avec l'enveloppe Global. |
| Mixeur Voix | Vous permet de modifier les paramètres avec les entrées Gauche et Droite du mixeur. |
| Dernière touche | Appliquera une modulation selon la的最后一 note jouée (monophonique), soit via MIDI, soit depuis le séquenceur à pas. Par exemple vous pouvez utiliser Dernière touche pour que la fréquence du filtre suive les notes jouées par le séquenceur à pas. |
| Touche MIDI | Applique une modulation selon les notes de façon globale et non par voix, en d'autres termes de façon monophonique. Par exemple, si vous utilisez Touche MIDI comme source et une fréquence du filtre auto-oscillante comme destination, le filtre suivra mais vous ne pourrez jouer qu'une voix à la fois. Touche MIDI est pratique pour transposer des patterns à pas en temps réel.Vous pouvez sélectionner trois modes dans les sous-menus : |
| • Note - il s'agit de la pondération au clavier. Si une valeur Intensité positive est utilisé et que la destination correspond à la fréquence du filtre, cette的最后一 note suivra le clavier, c'est-à-dire qu'elle augmentera avec les notes. | |
| • Velocité - applique la modulation selon la véclocité (l'intensité avec laquelle vous frappez les touches). | |
| • Gate - il s'agit d'un Gate on/off. Par ex. si vous l'appliquez au pitch d'un oscillateur yours obtiennent une valeur de pitch (définie par Intensité) lorsque vous jouerez une note et une autre valeur (le pitch non modulé) lorsque vous relâcherez la note. | |
| LFO 2 | Vous permit de modifier les paramètres avec le LFO 2. |
| Paramètres de performance | Ce sous-menu vous permit d'affecter l'un des contrôleurs standard de performance pour moduler/mettre à l'échelle les paramètres Roue de modulation/Pitch Bend/Souffle/AfterTouch/Expression. |
| Modifieurs | C'est là que vous affectez les paramètres et fonctions devant être contrôlés par les deux boutons rotatifs et les deux boutons de contrôle virtuels sur le panneau de contrôle. |
| Pédale de sustain | Vous permit d'affector la pédale de sustain comme source de modulation. |
| Polyphony | Permet d'appliquer la modulation selon le nombre de notes jouées. Par exemple, vous pourriez avec une attaque d'enveloppe courte lorsque vous jouve des notes simples et une attaque longue lorsque vous jouve des accords. |
| Séquenceur à pas | Vous permit d'appliquer la modulation selon les réglages de chaque pas dans le séquenceur à pas.Dans le sous-menus vous pouze désirer d'appliquer la modulation selon les réglages de Gate/Note/Courbe 1 et 2/Longueur Gate/Durée Pas de chaque pas.Vous disposez également de Début et Fin déclench. qui envoié un déclenchement gate au début et à la fin de la séquence de pas, respectivement. |
| Entrées CV 1-4 | Il s'agit des entrées CV à l'arrête du panneau qui facilitent l'utilisation des sources de modulation externe (par exemple Matrix) dans Thor. Si elles sont connectées, vous pouze affecter librement le CV externe à toute destination de modulation dans Thor. |
| Entrées audio 1-4 | Ce sont les entrées audio à l'arrête du panneau qui vous permettent de connecter des signaux audio externes et des traîter en utilisant les paramètres de Thor, ou de les utilisier comme sources de modulation. Voir “À propos de l'utilisation des entrées audio”. |
Destinations de modulation - section Voix
Les paramètres suivants peuvent être utilisés comme destinations de modulation de la section Voix :
| Paramètre | Description |
| Osc 1 | Vous disposez de quatre destinations de modulation disponibles dans le sous-menu Osc 1 :Pitch - affecte le pitch de l'oscillateur (fréquence).FM - modulera l'oscillateur en terme de fréquence.La différence en Pitch et FM est que si un signal audio à haute fréquence (c'est-à-dire unoscillateur ou un signal audio externe) est la source, FM ne modifies pas le pitch de base de la source, uniquement son timbre. Si Pitch est utilisé, le pitch et le timbre seront affectés.Un paramètre de modifier existe également et diffère selon le type d'oscillateur sélectionné. Voir “La section Oscillateur” pour plus de détails.Osc 2 AM Intensité - contrôle l'intensité de modulation AM de l'oscillateur 2. Voir “À propos de l'AM”. |
| Osc 2/ Osc 3 | Les emplacements des oscillateurs 2 et 3 ont les mêmes paramètres de Destination que l'oscillateur 1, sauf que l'AM n'existe pas. |
| Filtre 1/ Filtre 2 | Les destinations suivantes sont disponibles dans les sous-menus des filtres 1 et 2 :Entrée audio - vous permet de connecter une source audio (par ex. unoscillateur ou un signal audio externe) à l'entrée du filtre.Fréquence - contrôle la fréquence du filtre.Fréquence (FM) - appliquera une modulation de fréquence du filtre.La différence entre Fréquence et FM est que si un signal audio à haute fréquence (c'est-à-dire un oscillateur ou un signal audio externe) correspond à la source, FM ne modifies pas la fréquence de base de la source, uniquement son timbre. Si Fréquence est utilisé, le pitch et le timbre seront affectés.Résonance - contrôle la résonance du filtre.Drive - contrôle le paramètre Drive du filtre.Genre - contrôle le paramètre Genre (filtre Formant uniquement).LPHPMix - contrôle le paramètre LP/HP (filtre Variable de l'étatuniclement). |
| Drive du shaper | Contrôle le paramètre Drive du shaper.La section Amp compte trois destinations dans le sous-menu : |
| Amp | Entrée - vous permet de connecter une source (par exemple unoscillateur ou un signal audio externe) à l'entrée de l'ampli.Gain - contrôle le Gain de l'amplitude.Pan - contrôle le Panoramaique pour chaque voix. La modulation de ce paramètre avec le LFO 1 par exemple signifie que la position Pan sera modulée différemment pour chaque voix que vous jouez.Le mixeur compte trois destinations dans le sous-menu : |
| Mix | Osc 1+2 Volume - contrôle le volume des oscillateurs 1 et 2.Osc 1:2 Balance - permet de modifier le niveau de balance entre l'oscillateur 1 et l'oscillateur 2, par ex. pour passer de l'un à l'autre.Osc 3 Volume - contrôle le volume de l'oscillateur 3. |
| Enveloppe de filtré | Les destinations de modulation de l'enveloppe du filtré sont les suivantes : |
| • Gate - il s'agit de l'entrée Gate de l'enveloppe. Un signal Gate appliqué à cette entrée déclenchera l'enveloppe. | |
| • Ataque - contrôle l'attaque de l'enveloppe. | |
| • Déclin - contrôle le déclin de l'enveloppe. | |
| • Relâchement - contrôle le paramètre Relâchement. | |
| Enveloppe d'amplitude | Dispose des mêmes paramètres de destination que l'enveloppe de filtré. |
| Enveloppe de modulation | Dispose des mêmes paramètres de destination que l'enveloppe de filtré. |
| LFO 1 Rate | Vous permet de contrôle le paramètre Rate du LFO 1. |
Destinations de modulation - Global
Les destinations de modulation Global suivantes sont disponibles :
| Paramètre | Description |
| Portamento | Vous permet de contrôle le paramètre temps du Portamento. |
| LFO 2 Rate | Vous permet de contrôle le paramètre Rate du LFO 2. |
| Enveloppe Global | Les destinations de modulation de l'enveloppe Global sont les suivantes : |
| • Gate - il s'agit de l'entrée Gate de l'enveloppe. Un signal Gate appliqué à cette entrée déclenchera l'enveloppe. | |
| • Ataque - contrôle le temps d'attaque de l'enveloppe. | |
| • Déclin - contrôle le temps déclin de l'enveloppe. | |
| • Relâchement - contrôle le temps de relâchement de l'enveloppe. | |
| Filtre 3 | Les destinations suivantes sont disponibles dans le sous-menu du filtre 3 : |
| • Entrée Gauche/Droite - vous permit de connecter une source à l'entrée du filtre. | |
| • Fréquence - contrôle la fréquence du filtre. | |
| • Fréquence (FM) - appliquera une modulation de fréquence du filtre. | |
| • Résonance - contrôle la résonance du filtre. | |
| • Drive - contrôle le paramètre Drive du filtre. | |
| • Genre - contrôle le paramètre Genre (filtre Formant uniquement). | |
| • LPHPMix - contrôle le paramètre LP/HP (filtre Variable de l'état uniquement). | |
| Chorus | L'effect Chorus dispose des destinations suivantes : |
| • Balance sans/avec effet | |
| • Délai (temps) | |
| • Mod Rate | |
| • Intensité mod | |
| • Feedback | |
| Délambda | L'effect Delay dispose des destinations suivantes : |
| • Balance sans/avec effet | |
| • Temps | |
| • Mod Rate | |
| • Intensité mod | |
| • Feedback | |
| Séquenceur à pas | Cela vous permet de contrôle divers paramètres du séquenceur à pas. |
| • Décl - permet de contrôle le statut on/off de l'exécution du séquenceur à pas. | |
| • Rate - permit de contrôle la fréquence du séquenceur à pas. | |
| • Transposition - permit de contrôle le pitch de base du séquenceur à pas. Par exemple, si vous appliquez une Note MIDI comme source de ce paramètre vous pouvez transposer la séquence en jouant des notes. | |
| • Vélocité - permit de contrôle la réponse en terme de vélocité du séquenceur à pas. | |
| • Longueur Gate - permit de contrôle la réponse en terme de longueur Gate du séquenceur à pas. | |
| Sorties CV 1-4 | Permet d'envoyer des signaux aux sorties CV à l'arrête du module. Notez que vous pouvez envoyer des signaux CV aux sorties audio et inversement. |
| Sorties Audio 1-4 | Vous permet d'envoyer des signaux aux sorties audio de l'arrête du module. Notez que vous pouvez envoyer des signaux CV aux sorties audio et inversement. |
Paramètres Échelle
Les paramètres d'échelle disponibles sont les mêmes que pour les paramètres Source.
À propos de l'utilisation des entrées audio
Les quatre entrées audio à l'arrière du panneau peuvent être utilisées pour connecter des sources audio externes et de lestraiter à l'aide des paramètres de Thor.
Notez que lorsque vous routez l'audio vers la section Voix, les phénomènes suivants s'appliquent :
- La section Voix ne dispose que d'entrees mono.
- Vous doivent envoyer un déclenchement Gate pour que le signal audio soit entendu. Vous disposez de trois manières pour y parvenir : en jouant des notes, via les notes du séquenceur à pas ou à l'aide de signaux Gate CV.
Le routage de l'audio aux destinations Global ne nécessite pas de déclenchement gate et des entrées stéreo sont fournies.
Les sources audio externes peuvent également être utilisées pour la modulation, par exemple en modulant le pitch des oscillateurs avec un signal audio.
De cette façon vous pouvez utiliser une source d'entrée audio pour moduler toute destination disponible.
Sequenceur à pas

Le séquenceur à pas de Thor est un produit innovant des séquences à pas qui était souventprésents dans les systèmes modulaires analogues vintage. Il peut être utilisé pour programmer des arpèges ou de courtes séquences mélodiques. Il peut également être utilisé simplement comme source de modulation.
Vou disposez d'un maximum de 16 pas, chacun pouvant etre programme avec diverses valeurs comme le Pitch de la note,la Velocite,la Durée Pas,etc.
Opérations fondamentales
Les principaux paramètres et fonctions sont les suivants :
La ligne de 16 boutons est utilisé pour programmer le statut on/off de chaque pas.
Un bouton allumé signifie que le pas est activé, un bouton éteint signifie que le pas correspond à une pause (silence).
Chaque bouton de pas dispose d'un potentiemetre au-dessus de lui, utilise pour définir les valeurs du pas correspondant.
Le potentiometre Edition déterminé la valeur définie par les potentiometres du pas.
Les valeurs disponibles pour Édition sont Note (pitch), Velocité, Longueur Gate, Durée Pas et Courbe 1 et 2.
Le bouton Execution lance/arrête le séquenceur à pas.
Ce qui se passé exactement lorsque vous appuyez sur le bouton Exécution dépend du mode d'exécution - voir ci-dessous.
Définir le mode Exécution

Le mode Exécution est défini à l'aide du levier situé à côté du bouton Exécution. Le mode défini gère le comportement de lecture du séquenceur lorsque vous appuyez sur Exécution. Les options sont les suivantes :
Mode Repétition - repéterla séquence en continu.
Cliquez à nouveau sur le bouton Exéciution ou utilisez le transport pour l'arrêter.
Mode Déclenchement unique - ne jouera la série qu'une fois puis s'arrête.
Mode Pas - Le bouton Exécution fait avancer le séquenceur d'un pas à chaque fois.
Off - Le séquenceur est désacté.
Définir la direction

Le paramètre Direction est utilisé pour définir la direction du séquenceur à pas. Les options suivantes sont disponibles :
Avant-joule la sequence du premier au dernier pas.
Inversion - joue la série du dernier au premier pas.
Pendulum 1 - joue la sequence du premier pas au dernier, puis du dernier au premier.
En d'autres termes, le dernier et le premier pas sont joués deux fois lorsque le séquenceur inverse la direction.
Pendulum 2 - joue la série du premier au dernier pas, puis de l'avant-dernier au premier, c'est-à-dire sans répéter les premiers et derniers pas lors de l'inversion de direction.
Aléatoire - joue les pas dans un ordre aléatoire.
Programmer le pitch de la note du pas
Pour programmer le pitch de la note du pas, procedez comme suit :
- Assurez-vous que le bouton Décl. séq à pas est activé dans le panneau de contrôle.

- Définissez le mode Exécution sur « Répétition »
Vou n'avez pas besoin d'utiliser le mode Repétition mais cela rendra plus simples les étapes suivantes.
- Lancez le séquenceur à pas en appuyant sur le bouton Exécution.
Vou devriez à partir entendre une série de notes répétées, chacune avec le même pitch (C3).Le pas actuel est indiqué par une LED jaune au-dessus des boutons de pas.
- Assurez-vous que le potentiemètre Édition est configuré sur Note.

5. Tournez l'un des potentiamétres situés au-dessus de l'un des pas.
Une info-bulle apparait et indique le pitch de note actuel sur lequel est configuré le potentiometre et lorsque le séquenceur repête vous devriez entendre le changement de pitch de ce pas. Pour augmenter le pitch par incréements de demi-tons, tournez le potentiometre complètement à droite. Tournez-le vers la gauche pour diminuer le pitch.

Vous peuvent définir la plage de notes du potentiemetre en utilisant le levier Octave à gauche des boutons de pas.
Les plages de notes sont de deux octaves (c'est-à-dire une octave au-dessus et en-dessous de la position mediane du potentiametre, C3), quatre octaves (c'est-à-dire deux octaves au-dessus et en dessous de la position mediane C3), ou Full (-C2 à G8).
- Notez que l'étendue d'octave peut être définie indépendamment pour chaque pas. Chaque pas的记忆ise l'étendue d'octave actuelle lorsque le pitch est défini pour ce pas et la conserve jusqu'à ce que vous modifie le pitch du pas en lui attribuant un autre réglage d'étendue d'octave.
Vous peuvent programmer les pas « à la volée » (lorsque le séquenceur à pas est exécuté) ou pas à pas (mode Pas).
En mode Pas, appuyez sur Execution pour avancer d'un pas et pouvoir définir les paramétres pas après pas.
En utilisant cette méthode générale vous pouvez continuer à saisir le pitch de note pour les autres pas.
Insérer des pauses
Pour rendre les séquences de pas plus interessantes rythmiquement, vous pouvez programmer des pauses pour les pas.
Il vous suffit d'appuyer sur un ou plusieurs boutons de pas pour les eteindre.
Les pas eteints correspondent à des pauses.
Notez que la valeur Durée Pas « compte » toujours pour les pauses.
Définir le nombre de pas
Vous pouvez définir le nombre pas d'une série avant qu'elle ne recommence en utilisant le potentiametre Pas complètement à droite du panneau.
Vouse pouvez utiliser jusqu'à 16 pas. Les LED allumées au-dessus de chaque pas affichent le nombre de pas actuellément utilisés. Vous pouze également modifier le nombre de pas en cliquant directement sur une LED - le séquenceur s'arrête/recommencerà lorsqu'il atteindre ce pas.

Définir la fréquence
Le potentiemetre Rate détermine la fréquence de la série de pas.
- Vous pouvez utiliser soit des fréquences « libres » (c'est-à-dire non synchronisées avec le tempo du séquenceur principal) soit un tempo synchronisé.
Le statut on/off du bouton Sync vous permet d'en effectuer le réglage. Si Sync est activé, vous pouvez définir le tempo selon diverses résolutions de battement.
Définir les autres valeurs des pas
En dehord du pitch, vous pouvez programmer d'autres paramétres pour chaque pas à l'aide des potentiamétres de valeurs de pas. Utilisez le bouton Édition pour définir l'une des valeurs suivantes :
Velocité - lorsque ce bouton est sélectionné comme mode Édition, il vous permet de définir une valeur de velocité pour chaque pas.
La valeur par défaut est 100, l'intervalle étant 0-127.
Longueur Gate- si ce mode est selectionné comme mode Édition, il vous permet de définir la valeur Longueur Gate pour chaque pas.
La valeur par défaut est 75% . La longueur Gate détermine la longueur de la note jouée pour ce pas.
Durée Pas - lorsque ce bouton est sélectionné comme mode Édition, il vous permet de définir la valeur de la durée du pas pour chaque pas.
Ce paramètre déterminé la longueur totale du pas, facteur lié à la fréquence du séquenceur. La plage va de 1/4 à 4. Par exemple, si Rate est défini sur 1/16, « 1 » correspond à la lecture d'une double croche et « 4 » correspond à la lecture d'une noire, et ainsi de suite.
Les paramètres Courbes 1 et 2 permettent de définir des valeurs pour chaque pas qui peut être envoyé pour contrôler les paramètres de votre choix.
Cela s'effectue dans la section de routage du bus de modulation, où ces deux courbes indépendantes peuvent être sélectionnées comme contrôleurs source.
- Vous pouvez comparer ces courbes aux sorties CV de courbe du Matrix - elles représentent simplement une série de valeurs qui peuvent être appliquées à n'importe quoi.
Fonctions Pattern de pas
Voutrouvez ceteres fonctions de patern de pas specifiques dans le menu Edition (et dans le menu contextuel du module). Il s'agit des fonctions suivantes :
| Fonction | Description |
| Randomiser la pattern du séquenceur | Cette fonction creé des patterns aléatoires. Elle randomise uniquement la valeur Édition sélectionnée (par ex. si elle est configurée sur Note, seules les valeurs de pitch de la note seront randomnessées, pas la velocité ni la longueur Gate, etc.). |
| Déplacer la pattern G/D | Ces fonctions déplacent la pattern un pas à gauche ou à droite. Tous les paramètres (pauses, pitch de note, velocité, etc.) sont déplacés d'un pas. |
Connexions
Les connecteurs audio et CV suivants se trouvent à l'arrière de Thor :
Entrées Sequencer Control
Les entrées Sequencer Control CV et Gate vous permettent de jour Thor avec un autre module CV/Gate (par ex. un Matrix ou le RPG-8). Le signal à l'entrée CV contrôle le pitch de la note, alors que celui de l'entrée Gate restitue une note on/off avec la velocité.
Entrées de modulation
Le bouton rotatif d'entrée de tension de contrôle (CV, associée à des potentiomètres de voltage) peut modifier deux contrôleurs rotatifs virtuels.
Ainsi, tout paramètre assigné à un bouton de contrôle rotatif peut être modulé par CV.
Filter 1x permutation of the frequency of the Filtre 1 par CV.
Si un filtré Formant est utilisé, il s'agit du paramètre « X » - voir “Filtre Formant”.
Les quatre entrées CV peuvent receivevoir un CV de sources externes qui sont disponibles comme sources dans le bus de modulation.
Sorties de modulation
Vous trouvezez ici des sorties CV pour l'enveloppe Global et le LFO 2, ainsi que quatre sorties CV librement affectables.
Entrées audio
Les entrées audio peuvent être utilisées pour connecter des sorties audio d'autres modules Reason. Lorsqu'elles sont connectées, vous pouvez router les entrées audio comme sources de modulation à l'un des filtres par exemple etTRAITER le signal externe.Voir "A propos de I'utilisation des entrées audio".
Sorties audio
Thor compte quatre sorties :
1 Gauche (mono)/2 Droite - ce sont les principales sorties stéréo.
- Deux sorties supplémentaires (3 et 4), qui peuvent être affectées dans la section Modulation.

REASON
Chapitre 27
Malström
Synthesizer
Introduction
Le Malström désigne un synthétiseur polyphonique offrant de nombreuses possibités de routage. Il est basé sur le concept que nous appelons « synthèse à table de grains » (voir ci-dessous) et il convient parfaitement à la production de types de son de synthétiseur ondulants, précis, distordus ou d'effets spéciaux abstraits. En fait, vous pouvez aller jusqu'à dire que Malström peut produit dessons n'était en rien comparables à ceux que vous avez pu entendre avec un synthétiseur.
Pour une description complète de ces principes et des explications précises des contrôleurs, veuillez continuer la lecture...
Fonctions :
Voici les fonctions de base du Malström :
- Deux oscillateurs, basés sur une synthèse à table de grains.
Voir "La section Oscillateur" pour plus de détails.
- Deux modulateurs, offrant des options de synchronisation au tempo et de déclenchement unique.
Voir "La section Modulateur".
- Deux filtres et un shaper.
De nombreux modes de filtré différents en association avec plusieurs options de routage et un waveshaper permettent de créé des effets de filtré étonnants.
Trois générateurs d'enveloppe.
Il existe une enveloppe d'amplitude pour chaque oscilateur et une enveloppe commune pour les deux filtres. Voir "Les enveloppés d'amplitude" et "L'enveloppe de contrôle" pour plus de détails.
-
Polphonie jusqu'à 16 voix.
-
Contrôle de la velocité et de la modulation.
Voir "Les contrôleurs de velocité".
- Nombres possibités de modulation CV/Gate.
Voir "Entrée de modulation".
- Diverses options d'entrée/sortinge audio.
Vouss pouze par exemple connecter des sources audio externes pour l'entree du Malstrom. Vos pouez egalement contrcler sa sortie.Voir "Entree audio" pour plus de details.
Théorie de fonctionnement
Il existe différentes méthodes de synthèse pour générer un son, la synthèse soustractive par exemple (utilisé dans le Subtractor, la synthèse FM et la synthèse par modélisation physique pour n'en citer que quelques-unes.
Pour vous permettre de comprendre parfaitement le fonctionnement interne du Malström, nous commencerons par vous donner une rapide explication de ce que nous appelons la synthèse à table de grains.
Ce que nous appelons synthèse à table de grains est en réalisé une combinaison de deux méthodes de synthèse : la synthèse granulaire et la synthèse à table d'ondes.
- Dans la synthèse granulaire, le son est génééré par plusieurs segments (grains) de sons brefs et contigus, chacun d'entre euxétant compris généralement entre 5 et 100 milliseconds.
Le son est modifié en changeant les propriétés de chaque grain et/ou l'ordre dans lequel ils se succèdent. Les grains peuvent être produits soit par une formule mathématique, soit par un son échantillonné. Il s'agit d'une méthode de synthèse très dynamique capable de produit un grand nombre de résultats bien qu'elle soit只不过 difficile à maîtriser et à contrôler.
- La synthèse à table d'ondes, d'un autre côté, consiste fondamentalement à dire une forme d'onde échantillonnée.
Un oscillateur dans un synthétiseur à table d'ondes lit une seule partie de la forme d'onde, quand d'autres synthétiseurs permettent de balayer un ensemble de formes d'ondes périodiques. Il s'agit d'une méthode de synthèse basique facilement contrôle mais quelque peu limite en termes de résultats. Le Malström combine ces deux méthodes de synthèse pour offrir une façon très flexible de synthétiser dessons avec un flux et une muabilité incroyables.
Le Malström combine ces deux méthodes de synthèse pour offrir une façon très flexible de synthétiser dessons avec un flux et une muabilité incroyables.
Il fonctionne de la façon suivante :
- Les oscillateurs du Malström jouent dessons échantillonnés qui sont soumis à un traitement très complexe et découpés en nombreux grains.
- Un ensemble de formes d'ondes périodiques (grains) se succèdent pour former une table de grains qui peut être jouée pour réproduire le son échéantillonné d'origine.
- Une table de grains peut être traitée de la même manière qu'une table d'ondes. Vous pouvez par exemple la balayer, la déplacer à une vitesse qu'elle soit sans affecter le pitch, jour une de ses sections de façon répetée, la sélectionner à partir de formes d'ondes statiques, passer d'une position à l'autre, etc.
- Il est également possible de recourir à de nombreuses autres astuces, toutes étant décrites plus loin dans ce chapitre.
Charger et enregistrer des patches
Le chargement et l'enregistrement des patches s'effectue de la meme facon que pour les autres modules Reasonvoir "Chargement des patches" et "Enregistrement de patches".
La section Oscillateur

Les deux oscillateurs (osc:A et osc:B) du Malström sont les vérables générateurs sonores et le reste des contrôleurs sont utilisés pour modifier et façonner le son. Les oscillateurs effectuent en réalité les deux opérations suivantes : ils lisent une table de grains et générent le pitch :
- Une table de grains est composée de nombreux segments de son brefs et contigus (voir ci-dessus).
- Le pitch désigne la fréquence à laquelle les segments sont joués.
Lorsque l'on cree un patch Malstrom, le premier bloc de construction de base est generalement la selection d'une table de grains pour l'un des oscillateurs ou pour les deux a la fois.
Pour activer/désactiver un oscillateur, cliquez sur le bouton On/Off dans le coin supérieur gauche.
Lorsqu'un oscillateur est activé, le bouton est allumé.

Un oscillateur activé
Pour selectionner une table de grains, vous pouze soit utiliser les boutons fléchés, soit cliquer directement sur l'affichage pour faire apparaitre un menu contextual proposant toutes les tables de grains disponibles.
Les tables de grains sont classées par ordre alphabetique dans un grand nombre de catégories descriptives vous donnant un indice quant au caractère général du son. Notez que les catégories ne sont visibles que dans le menu contextualuel, pas dans l'affichage.

Sélection d'une table de grains en cliquant dans l'affichage de l'oscillateur.
Définition de la fréquence de l'oscillateur
Vou puez modifier la frquence, c'est-à-dire la tonalité de chaque oscillateur en utilisant les trois boutons marqués « Octave», « Semi » et « Cent».

Le bouton Octave modifie la fréquence par pas d'une octave complète (12 demi-tons).
La plage est -4 - 0 + + 4, 0 correspondant au « A » moyen d'un clavier de 440Hz .
Le bouton Semi modifie la fréquence par pas d'un demi-ton.
La plage est de 0 à +12 (une octave complète supérieure).
Le bouton Cent modifie la fréquence par pas de plusieurs centièmes, ce qui correspond à des centièmes de demi-tons.
La plage est -50 - 0 - +50, c'est-à-dire un demi-ton supérieur ou inférieur.
Contrôle de la lecture de la table de grains
Chaque oscillator offre trois contrroleurs qui déterminent la façon dont les tables de grains chagées sont lues. Les voici : le curseur « Index » et les boutons « Vitesse de défilament » et « Timbre »

Le curseur Index définit le point de départ de la lecture dans la table de grains.
En déplaçant le curseur, vous définisse que point d'index dans la table de grains sera le première à être lu lorsque le Malström recoit un message Note On. La lecture continues alors jusqu'à au prochain point d'index en fonction de la table de grains active. Lorsque le curseur est complètement à gauche, le premier segment de la table de grains est également le premier à être lu.
! Notez que les tables de grains du Malström ne sont pas toutes de la même longueur et que la plage du curseur Index (0-127) ne reflète pas la longueur réelle des tables de grains. En d'autres termes, si la table de grains contient 3 ou 333 grains, le curseur Index couvrira toujours toute la table de grains même si sa plage indique 0-127.
Le bouton Vitesse de mouvement contrôle la vitesse avec laquelle Malstrom se déplace d'un segment à l'autre dans la table de grains en fonction de sa pattern de mouvement (voir ci-dessous).
Si le bouton est laissé à sa position mediane, la vitesse de déplacement sera la vitesse normale par défaut. Tourner le bouton vers la gauche la ralentit et la tourner vers la droite l'accélére. Si le curseur est tourné complètement à gauche, aucun déplacement ne sera effectué, ce qui signifie que le segment initial, défini par le curseur Index, sera joué encore et encore comme une forme d'onde statique.
Le bouton Timbre change le timbre du son (le spectre à formant).
En réalité, ce dernier réduit ou augmente le pitch d'un segment en l'échantillonnant à nouveau. Cependant, du fait que le pitch que vous entendez est indépendant du pitch réel de la table de grains (voir plus haut), le changement de pitch d'un segment signifie qu'une part plus ou moins importante de la forme d'onde du segment sera lue, ce qui create un changement du contenu harmonique et du timbre.
À propos des patterns de mouvement
Chaque table de grains dispose d'une pattern de mouvement prédéfinie et d'une vitesse de déplacement par défaut. Lorsqu'une table de grains est bouclée (c'est-à-dire, si le bouton Vitesse de déplacement n'est pas tourné complètement sur la gauche), elle suit l'une des deux patterns de mouvement possibles :
Avant
Cette pattern de mouvement joue la table de grains du début à la fin, puis la répête.
Avant-Arriere
Cette pattern de mouvement joue la table de grains du début à la fin, puis de la fin au début, puis la répête.
La vitesse de déplacement peut être modifiée à l'aide du bouton Vitesse de déplacement, comme déscrit plus haut, mais il n'est pas possible de modifier la pattern de déplacement d'une table de grains.
Les enveloppes d'amplitude

Chaque oscillateur fournit un générateur d'enveloppe ADSR standard (Attaque, Déclin, Maintien, Relâchement) et un contrôleur de volume. Illes sont utilisés pour contrôle le volume de l'oscillateur. Le Malström se désigne des autres synthétiseurs de par l'emplacement des enveloppes d'amplitude qui sont placées avant le filtré et les sections de routage dans le parcours du signal.
Les enveloppés d'amplitude contrôlent la façon dont le volume du son doit changer entre le moment où vous appuyez sur une touche de votre clavier et celui où vous la relâchez.
Vol
Les boutons Volume définissant le volume de sortie de chacun des oscillateurs.
! Pour une description complète des paramètres généraux des enveloppés (Attaque, Déclin, Maintien et Relachement), veuillez vous reporter au chapitre Subtractor.
La section Modulateur

Le Malström fournit deux modulateurs (mod:A et mod:B). Il s'agit en fait d'autres types d'oscillateurs appelés LFO (Low Frequency Oscillators, soit oscillateurs très BASSE fréquence). Ils générent chacun une forme d'onde et une fréquence, un peu comme osc:A et osc:B. Cependant, deux différences importantes existent :
- Mod:A et mod:B ne générent pas de sons. Ils sont en fait utilisés pour modifier divers paramètres afin de modifier le caractère du son.
- Ils ne générent que des formes d'onde à très bassé fréquence.
De plus, les deux modulateurs peuvent être synchronisés au tempo, puis utilisés en mode Déclenchement unique, auquel cas ils fonctionneront comme des enveloppes.
Paramètres du modulateur
Les deux modulateurs contiennent certains contrôleurs en commun, mais il existe également des différences. Les deux paramètres communs et celui qui est propre à chaque modulator (les destinations) sont décrites ci-dessous.
Pour activer/désactiver un modulateur, cliquez sur le bouton On/Off dans le coin supérieur gauche.
Lorsqu'un modulateur est activé, le bouton est allumé.

Un modulator acté
Courbe
Celle-ci vous permet de selectionner la forme d'onde des parametes de modulation. Utilisez les boutons fléchés à droite de l'affichage pour parcouir les formes d'ondes disponibles. Certaines de ces formes sont spécialement conçues pour l'utilisation du modulator en mode Déclenchement unique (voir ci-dessous).
Rate
Ce bouton contrôle la fréquence du modulator. Pour une fréquence de modulation plus élevé, tournez ce potentiamètre vers la droite.
Le bouton Fréquence est également utilisé pour définir la division temporelle lors de la synchronisation du modulator avec le tempo du morceau (voir ci-dessous).
Déclenchement unique
PourmettrelemodulatorenmodeDeclenchementunique,cliquez surcebouton pourl'allumer.
Généralement, les modulateurs répéterons les formes d'ondes sélectionnées encore et encore à la fréquence définie. Cependant, lorsque le mode Déclenchement unique est activé et que vous jouez une note, le modulator jouera la forme d'onde sélectionnée une seule fois (à la fréquence définie), puis s'arrête. En d'autres termes, il se transformera effectivement en générateur d'enveloppe!
Notez que même si toutes les formes d'ondes peuvent être utilisées avec des résultats intéressants, certaines d'entre elles conviennent parfaitement à l'utilisation en mode Déclenchement unique. Par exemple, essayez d'utiliser la forme d'onde avec une seule courbe longue et à courbe douce.
Synchro
En cliquant sur ce bouton, vous synchronisez le modulator avec le tempo du morceau, dans l'une des 16 divisions temporelles possibles.
! Lorsque Synchro est activé, le bouton Fréquence est utilisé pour sélectionner la division temporelle désirée. Tournez le bouton Fréquence et observez l'indication de la division temporelle affichée dans l'info-bulle.
Sélecteur A/B

Ce bouton est utilisé pour decideit quel oscillateur et/ou quel filtre sera modulé par le modulator - A, B ou les deux. Lorsque le bouton est positionné au centre, A et B seront tous les deux modulés.
Destinations
Les boutons suivants sont utilisés pour déterminer ce que chacun des deux modulateurs doit modifier.
- Notez que ces boutons sont bipolaires, ce qui signifie que si un bouton est positionné au centre, aucune modulation n'est alors appliquée. Si vous tournez le bouton vers la gauche ou vers la droite, l'intensité de modulation est augmente. La différence étant que si vous tournez le bouton vers la gauche, la forme d'onde du modulateur sera inversedé.
Mod:A

Mod:A peut modifier les paramètres suivants de chaque oscillateur :
Pitch
Utilisez-le si vous poulez que Mod:A déplace le pitch de osc:A, osc:B, ou des deux “Définition de la fréquence de l'oscillateur").
Index
Utilisez-le si vous pouze que Mod:A déplace la position de départ d'index de osc:A, osc:B, ou des deux "Contrôle de la lecture de la table de grains").
Déplacer
Utilisez-le si vous pouze que Mod:A affecte le contenu harmonique de osc:A, osc:B, ou des deux (voir "Contrôle de la lecture de la table de grains").
Mod:B

Mod:B peut modifier les paramètres suivants de chaque oscillateur :
Vitesse de déplacement
Utilisez ce bouton si vous poulez que Mod:B affecte la vitesse de déplacement de osc:A, osc:B, ou des deux (voir "Contrôle de la lecture de la table de grains").
Vol
Utilisez ce bouton si vous voulez que Mod:B affecte le niveau de sortie de osc:A, osc:B, ou des deux (voir "Vol").
Filtre
Utilisez ce bouton si vous poulez que Mod:B décale la fréquence de coupure de filtré:A, filtré:B, ou des deux (voir "Contrôleurs du filtré").
Mod:A
Utilisez ce bouton si vous voulez que Mod:B modifie l'intensité de modulation totale de Mod:A.
La section Filtre

La section Filtre vous permet de façonner plus précisé le caractère général du son. Elle contient deux filtres multimodes, une enveloppe de filtre et un waveshaper.
Les filtrés

Les deux filtres, filtré:A et filtré:A disposent exactement des mêmes paramètres, chacun étant décrit ci-dessous.
Pour activer/désactiver un filtré, cliquez sur le bouton On/Off dans le coin supérieur gauche.
Lorsqu'un filtré est activé, le bouton est allumé.

Un filtré activé
Types de filtré
Pour désir un type de filtré, vous pouvez soit cliquer sur le bouton Mode dans le coin inférieur gauche, soit cliquer directement sur le nom du filtré de votre choix pour l'allumer en jaune :
- LP 12 (passe-bas 12 dB)
Les filtres passe-bas laissant passer les basses fréquences et coupent les haute fréquences. Ce type de filtre possède une courbe avec un roll-off de 12dB/Octave.
BP 12 (passe-bande 12 dB)
Les filtres passe-bande coupent les hautes et les basses fréquences, laissant la bande de fréquences entre les deux intacte. Chaque courbe de ce type de filtrer a un roll-off de 12 dB/Octave.
- Peigne + et Peigne -
Les filtres Peigne désignent fondamentalement des délays très courts disposant d'un feedback ajustable (contrôle dans Reason par le bouton Résonance). Un filtre Peigne create des pics de résonance à certaines fréquences.
La différence entre « + » et « - » concernne la position de ces pics dans le spectre. La différence audible principale est que la version « - » cree une coupeasse.
Le paramètre de résonance contrôle dans les deux cas la forme et la taille de ces pics.

Peigne + Résonance basse

Peigne + Résonance haute

Peigne - Résonance basse

Peigne - Résonance haute
AM
La modulation d'amplitude (AM) est souvent appelée modulation en anneau. Un modulator en anneau fonctionne en multipliant deux signaux ensemble. Dans le cas du Malström, le filtré produit une onde sinusoidale multipliée avec le signal de osc:A ou de osc:B. La résonance contrôle la combinaison entre les signaux propres et modulés. La sortie modulée en anneau contient alors des fréquences ajoutées qui sont générées par la somme et la différence des deux signaux. Cela peut également être utilisé pour creer de sons complexes et non harmoniques.
Contrôleurs du filtré
Chaque filtré contient les quatre contrôleurs suivants :
Kbd (keyboard tracking, soit pondération au clavier)
En cliquant sur ce bouton pour l'allumer, vous activez la pondération au clavier. Si la pondération au clavier est activée, la fréquence du filtré changera en fonction des notes que vous jouez sur le clavier. Ainsi, si vous jouez des notes sur le haut du clavier, la fréquence du filtré augmentera et vice versa. Si la pondération au clavier est désactivée, la fréquence du filtré restera la mêmequelle que soit la touche du clavier que vous jouez.
Env (enveloppe)
Si vous cliquez sur ce bouton pour l'allumer, la fréquence de coupure (voir ci-dessous) sera modulée par l'enveloppe de filtré. Si vous le laissez désactivé, l'enveloppe de filtré n'aura aucun effet.
- Fréq (fréquence)
La fonction de ce paramètre dépend du type de filtrre que vous avez sélectionné :
Doté de l'ensemble des types de filtré à l'exception du filtré AM, ce bouton est utilisé pour définir la fréquence de coupure du filtré. Dans le cas d'un filtré passée-bas par exemple, la fréquence de coupure déterminée la limite audressus de laquelle les fréquences seront coupées. Les fréquences inférieures à la fréquence de coupure pourront passer. Plus vous tournez ce potentiamètre vers la droite, plus la fréquence de coupure est élevé.
Si vous avez selectionné un filtre AM, ce bouton contrôlera à la place la fréquence du signal géné ré par le filtre. La plage de contrôle est cependant la même : plus vous tournez ce bouton vers la droite, plus la fréquence est élevé.
- Rés (résonance)
À nouveau, la fonction de ce paramètre dépend du type de filtrte que vous avez sélectionné :
Si filtré sélectionné est différent du type AM, ce bouton définit la caractéristique du filtré ou sa qualité. Pour un filtré passée-bas par exemple, augmenter la résonance du filtré accentuera les fréquences autour de la fréquence définie pour le filtré. Cela générale souvent un son plus fin mais également un « balayage » de la fréquence du filtré plus précis et plus prononcé. Plus la valeur Rés est élevé, plus le son deviendra résonant jusqu'à produit un son sifflant ou sonnant. Si vous définissez une valeur élevée pour le paramètre Rés et faites ensuite varier la fréquence du filtré, cela produit un balayage très distinct, le son sonnant étant très évident à certaines fréquences.
Dans le cas d'un contrôle de type AM, ce bouton contrôle la balance entre le signal d'origine et le signal résultat de la modulation d'amplitude. Plus vous tournez le bouton vers la droite, plus le signal AM domine.
L'enveloppe de filtré

Il s'agit d'une enveloppe ADSR standard avec deux contrôleurs supplémentaires : inv et int. L'enveloppe de filtrte est commune aux deux filtrres A et B et contrôle la modification de la fréquence du filtrte au fil du temps.
Inv (inverse)
Ce bouton (dés)active l'inversion de l'enveloppe. Le segment de déclin de l'enveloppe réduira normalement la fréquence, mais si l'enveloppe est inversée, il produit l'effet contraire.
Int (intensité)
Ce bouton contrôle àquel point l'enveloppe de filtré affecte les filtres, ou plutôt les fréquences de coupures définies. Par exemple, si la fréquence de coupure est définie sur une certaine valeur, le filtré sera déjà ouvert à cette valeur lorsque vous appuierez sur une touche de votre clavier. Le réglage de l'intensité contrôle alors dans chaque mesure l'ouverture du filtré s'effectuera à partir de ce point. Tourner le bouton vers la droite augmente cette valeur.
! Pour une description complète des paramètres généraux des enveloppés (Attaque, Déclin, Maintien et Relâchément), veuillez vous reporter au chapitre Subtractor.
Le shaper

Avant le filtré:A se trouve un waveshaper optionnel. Le « waveshaping » (c'est-à-dire le façonne des ondes) désigne une méthode de synthèse pour transformer lessons en ALTERANT la forme de l'onde et créé ainsi un son riche et complexe. Ou, si ce n'est plus ce que vous recherchez, le paradis des sons lo-fi coupés et distordus!
Une boîte de distorsion pour guitare peut être considérée comme un exemple de waveshaper. Une guitare électrique non amplifiée produit un son avec un contenu只想 purement harmonique, qui est alors amplifié et transformé par la boîte de distorsion.
Pour (dés)activer le shaper, cliquez sur le bouton On/Off dans le coin supérieur gauche.
Lorsque le shaper est activé, ce bouton est allumé.

Le shaper activé
Mode
Vou puez selectionner l'un des cinq differents modes pour faconner le son, chacun disposant de ses propres caractéristiques.
Pour désir un mode, vous pouvez cliquer sur le bouton Mode dans le coin inférieur droit ou directement sur le nom du mode de votre可以选择 pour l'allumer en jaune.
Sinusoidale
Produit un son rond et doux.
- Saturation
Donne un caractère luxieux et riche au son.
- Clip
Introduit du clipping ou distorsion numérique au signal.
Quant
Permet de couper le signal par réduction de bit, rendant ainsi possible l'obtention de caractéristiques d'un son 8 bits par exemple.
- Bruit
Il ne s'agit pas réellement d'une fonction de shaper. Multiplie au contraire le son avec du bruit.

Int (intensité)
Contrôle l'intensité de façonne appliqué. En tournant le bouton sur la droite, vous augmentez l'effet.
Routage
Le Malström vous donne le contrôle total sur le routage du signal depuis les oscillateurs jusqu'àux filtrés et enfin aux sorties. Vous trouvez ci-dessous une description générale des options de routage, suivé d'exemples de routage du signal de façon à obtenir un résultat précis.
Cliquez sur un bouton pour qu'il s'allume afin de router le signal en conséquence.
Voir les descriptions ci-dessous.
Si ce bouton est allumé, le signal provenant de l'osc:A est routé vers le filtré:A via le shaper. Si ni ce bouton ni,aucun autre bouton de routage depuis I'osc:A (vers le filtré:B) n'est allumé, le signal de I'osc:A iradirectement aux sorties.
Si ce bouton est allumé, le signal de l'osc:A est routé vers le filtré:B. Si ni ce bouton ni,aucun autre bouton de l'osc:A (vers le filtré:A/ shaper) n'est allumé, le signal de l'osc:A iradirectement aux sorties.

Si ce bouton est allumé, le signal de l'osc:B est routé vers le filtré:B. S'il n'est pas allumé, le signal de l'osc:B ira directement aux sorties.
Si ce bouton est allumé, le signal du filtré:B est routé vers le filtré:A via le Shaper. Le signal du filtré:B peut provenir de l'osc:A, de l'osc:B ou des deux. S'il n'est pas allumé, le signal du filtré:B ira directement aux sorties.
! Notez que le résultat dépend à la fois des boutons de routage et de l'activation des filtres et du shaper !
Examples de routage
L'un des oscillateurs ou les deux sans filtré

Avec cette configuration, les signaux des oscillateurs bypasseront les filtres et le shaper pour aller directement vers la sortie respective. Utiliser les deux oscillateurs vous permet d'utiliser le paramètre Élargissement pour créé un verifiable son stéreo.
L'un des oscillateurs ou les deux vers un contrôle seulement

Les deux oscillateurs routés vers le filtré:B uniquement.

Les deux oscillateurs routés vers le filtré:A uniquement.
Avec ces configurations, le signal de l'osc:A et/ou de l'osc:B ira soit vers le filtré:A soit vers le filtré:B, puis vers les sorties. Il s'agit essentiellement d'une configuration mono et donc le paramètre Élargissement devrait être régé sur « 0 ».
Les deux oscillateurs vers un filtré chacun

Avec cette configuration, les signaux provenant de osc:A et osc:B iront vers le filtrre:A et filtrre:B respectivement, puis aux sorties.
À nouveau, cette configuration vous permet de travailler en vraie stéréo.
Oscillateur A vers deux filtrres en parallèle

Avec cette configuration, le signal provenant de l'osc:A ira à la fois vers le filtré:A et le filtré:B, avec les filtres en parallelle.
! Cette configuration n'est possible qu'vec l'osc:A. L'osc:B peut aussi etre routé vers les deux filtres, mais uniquely en série (voir ci-dessous).
L'un des oscillateurs ou les deux vers les deux filtres en série

Osc:A routed vers les deux filtres en série.

Osc:Bouteverslesdeuxfiltresen série.
Avec ces configurations, le signal provenant de l'osc:A et/ou de l'osc:B ira à la fois vers le filtré:A et le filtré:B, ces filtrres étant en série (l'un après l'autre).
Ajouter le shaper
Le signal issu de l'un des oscillateurs ou des deux peut également être routé vers le shaper. Le signal passera alors à travers les sorties du shaper, en passant ou non à travers les filtres.


Dans la figure gauche, le signal provenant de l'osc:A est routé vers le shaper, puis directement vers les sorties. Dans la figure droite, le signal provenant de l'osc:B est routé vers le filtre:B, puis vers le shaper et enfin vers le filtre:A.
Les contrôleurs de sortie

Ces deux paramètres contrôle la sortie depuis le Malström de la façon suivante :
Volume
Ce bouton contrôle le volume général de sortie du Malström.
Élargissement
Ce bouton contrôle la largeur du panoramicque stéreo pour les sorties des osc:A/B et des filtres A/B respectivement. Plus le bouton est tourné à droite, plus l'image stéreo sera large. En d'autres termes, les signaux seront plus largement dispersés vers la gauche et la droite.
! Si vous n'utilise qu'une sortie (A ou B), il est fortement recommendé de définir Élargissement sur « 0 ».
Les contrôleurs de jeu

Dans la partie la plus à gauche du « panneau de contrôle » de Malström se trouvent divers paramètres affectés par votre façon de jour, et qui vous permettent d'appliquer une modulation par les contrôleurs MIDI. Vous trouvez cédssous une description de ces contrôleurs.
Polyphonie - définition du nombre de voix

Cela vous permet de définir la polyphonie du Malström. La polyphonie désigne le nombre de voix qui peuvent être jouées simultanément. Le nombre maximal est de 16 voix et le minimum 1, auquel cas le Malström deviendra monophonique.
! Le nombre de voix que vous pouze jour dépend bien entendu de la puissance de votre ordinateur. Meme si le nombre maximal est de 16 voix, cela ne signifie pas que votre ordinateur pourraforcément utiliser autant de voix. Notez également que les voix n'utilisent pas de puissance de calcul à moins qu'elles ne soient réellement « utilisées ». Cela signifie que si vous utilisez un patch qui joue deux voix mais a un réglage polyphonique de quatre voix, les deux voix « inutilisées » ne consomment pas de ressources système.
Porta (portamento)

Ce bouton est utilisé pour contrôler le portamento. Il s'agit d'un paramètre qui fait glisser le pitch entre les notes lorsque vous jouez,只不过 que le modifier instantanément dés que vous appuyez sur une touche de votre clavier. En tournant ce potentiamètre, vous définisse le temps nécessaire au pitch pour glisser d'une note à la suivante.
Lorsque ce potentiometre est tourné complètement vers la gauche, le portamento est désactivé.
Legato

En cliquant sur ce bouton vous (dés)activez le legato. Le legato dans Malström est unique dans la mesure où il vous permet de contrôler si le son est monophonique ou polyphonique en utilisant votre style de jeu :
Si vous jouez legato (maintenir une touche puis appuyer sur une autre sans relâcher la précédente), le son sera monophonique.
Notez également que le pitch change mais que les enveloppès ne se redéclenchent pas. Ainsi, il n'y aura pas de nouvelle « attaque »
Si vous jouez non legato (notes séparées), avec la polyphonie définie sur plus d'une voix, chaque note déclinera séparément (polyphonique).
Cela sera plus évident avec des temps de relâchement plus longs.
Les roues de Pitch Bend et de modulation

- La roue de Pitch Bend est utilisé pour tordre le pitch des notes, comme lorsque vous tordez les cordes d'une guitare ou d'un autre instrument à corde.
- La roue de modulation est utilisé pour appliquer une modulation lorsque vous jouez.
Quasiment tous les claviers MIDI disposent de contrôle des Pitch Bend et de modulation. Le Malström permet non seulement de contrôler l'impact des messages MIDI de roue de Pitch Bend et de modulation sur le son, mais il fournit également deux roues fonctionnelles qui peuvent être utilisées pour appliquer en temps réel la modulation et le Pitch Bend si vous ne disposez pas de ces contrôleurs sur votre clavier ou si vous n'utilisez pas de clavier MIDI. Les roues du Malström reflètent également les mouvements des roues de votre clavier MIDI.
Plage du Pitch Bend
Le paramètre Range définit l'intensité maximal du Pitch Bend, en d'autres termes dans qu'elle mesure il est possible de changer le pitch en tournant la roue complètement. La plage maximale est de 24 demi-tons (2 octaves). Pour changer cette valeur, cliquez sur les flèches situées à droite de l'affichage.
Les contrôleurs de velocité

La velocité est utilisé pour contrôle divers paramètres en fonction de la force avec laquelle vous jouez les notes sur le clavier. Une utilisation classique du contrôleur de velocité consiste à prendre lessons plus clairs et plus forts lorsque vous frappez une touche avec plus de force. À l'aide des potentiamétres de cette section, vous pouvez contrôler à quel point les divers paramètres seront affectés par la velocité.
! Tous les boutons de contrôle de la velocité sont bipolaires, ce qui signifie que leur valeur peut être positive ou négative, la position centrale bloque les contrôleurs de velocité.
Les paramètres suivants peuvent être contrôleés par la velocité :
Vol:A
Permet de contrôle par velocité le volume de sortie de l'osc:A.
Vol:B
Permet de contrôle par velocité le volume de sortie de l'osc:A.
Env.F
Cela définit le contrôle par la velocité du paramètre Intensité d'enveloppe de filtre. Les valeurs positives augmenteront l'intensité de l'enveloppe avec la force de votre jeu et les valeurs négatives réduiront cette intensité.
- Atq (attaque)
Permet de contrôle par velocité le paramètre d'attaque de l'enveloppe d'amplitude de l'osc:A et/ou de l'osc:B. Des valeurs positives augmenteront le temps d'attaque avec la force de votre jeu, et des valeurs négatives le réduiront.
- Déplacer
Permet de contrôle par velocité le paramètre Déplacer de l'osc:A et/ou de l'osc:B.
Mod
Permet de contrôle par velocité toutes les intensités de modulation du mod:A et/ou du mod:B.
! Notez que vous pouvez faire contrôle par la velocité les trois derniers paramètres (Atq, Timbre et Mod) pour l'un ou les deux oscillateurs/modulateurs A et B. Cette opération s'effectue grâce au bouton de seLECTION A/B.
Les contrôleurs de roue de modulation

La roue de modulation peut être réglée pour contrôle plusieurs paramètres. Vous pouvez définir des valeurs positives ou négatives, tout comme dans la section de Contrôleur de velocité (voir ci-dessus).
Les paramètres suivants peuvent être affectés par la roue de modulation :
Index
Permet à la roue de modulation de contrôle l'index de la table de grains actuelsment active (voir “Contrôle de la lecture de la table de grains” pour l'osc:A et/ou l'osc:B. Des valeurs positives déplaceront l'index en avant si la roue est poussaee en avant. Des valeurs négatives le déplaceront en arrêté.
- Déplacer
Permet à la roue de modulation de contrôle le paramètre Timbre de l'osc:A et/ou de l'osc:B (voir "Contrôle de la lecture de la table de grains").
Filtre
Ce bouton permet à la roue de modulation de contrôle le paramètre Fréquence du filtré
(voir "Contrôleurs du filtré"). Les valeurs positives augmenteront la fréquence si la
roue est poussaee en avant et les valeurs négatives diminuérernt la fréquence.
Mod
Ce bouton permet à la roue de modulation de contrôle l'intensité totale de la modulation du mod:A et/ou du mod:B. Des valeurs positives accentueront ces réglages si la roue est poussée en avant et des valeurs négatives diminuéreront ces réglages.
! Voues pouvez definir si ces parametes de l'un ou des deux oscillateurs/modulateurs/filtres A et B doivent etre affectés par la roue de modulation. Pour ce faire, utilisez le bouton de selection A/B.
Connexions

Retourner le Malström montre les possibilités de connexion. La plupart d'entre elles sont liées aux CV/Gate. L'utilisation de CV/Gate est décrite dans le chapitre « Routage de l'audio et du CV »
Sortie audio
Il s'agit des sorties audio du Malström. Lorsque vous creez un module Malström, ces sorties sont auto-routées vers le premier canal disponible dans le mixeur audio :
- Shaper/Filtre:A (gauche) et Filtre:B (droit)
Ce sont les principales sorties stéreo. Chacun des deux filtres est connecté à une sortie séparée et en connectant les deux, vous pouvez avoir une sortie stéreo. Le fait que la sortie soit réellement stéreo ou non est déterminé par le routage et le paramètre Élargissement. Voir “Routage” pour plus de détails.
Osc:A et osc:B
Cela permet de faire sortir le son directement après l'enveloppe d'amplitude de chaque oscillateur, en bypassant la section Filtre. Connecter l'une d'elles ou les deux à un canal de mixeur audio intercompra la chaine de signaux internes de Malström. Ainsi, il ne sera plus possible de Traitser le son en utiliser les filtres ni le shaper du Malström. Le son ira au contraire directement dans le mixeur.
- Notez que vous pouze également connecter les sorties Osc:A et Osc:B aux entrées audio du Malström pour obtenir des effets intéressants (voir "Routage de l'audio externe vers les filtres".
Entrée audio
- Shaper/Filtre:A
- Filtre:B
Ces entrées vous permettent de connecter soit d'autres sources audio soit le signal interne propre du Malström directement aux filtres et au shaper ( voir "Routage de l'audio externe vers les filtres".
Sequencer Control
Les entrées Sequencer Control CV et Gate yous permitent de jouer le Malström depuis un autre module CV/Gate (généralement un Matrix ou un Redrum). Le signal à l'entrée CV contrôle le pitch de la note, alors que celui de l'entrée Gate restitue une note on/off avec la velocité.
! Pour deilleurs résultats, nous vous recommandons d'utiliser les entrées Sequencer Control avec dessons monophoniques.
Entrée Gate
Ces entrées peuvent receivevoir un signal CV pour déclencher les enveloppées suivantes :
- Enveloppe d'amplitude
- Enveloppe de filtré
! Notez que la connexion de ces entrées remplacera le déclenchement normal des enveloppes. Par exemple, si vous connectez une sortie de modulation à l'entrée Gate Amp, vous ne pourrez plus déclenger d'enveloppe d'amplitude en jouant des notes, puisqu'elles seront controulées par le modulator. De plus, vous ne devriez entendre l'enveloppe déclenchée par le modulator que pour les notes que vous maintainez enfoncées.
Entrée de modulation
Ces entrées de tension de contrôle (CV, avec leur potentiamètre de voltage associé et les boutons de seLECTION A/B) peuvent modifier divers paramètres du Malström depuis d'autres modules ou depuis les sorties de modulation du même module Malström. Ces entrées peuvent contröler les paramètres suivants :
Pitch de l'oscillateur
- Fréquence du filtré
- Décalage d'index de l'oscillateur
- Contenu harmonique de l'oscillateur
Volume
- Intensité de modulation
- Roude modulation
Sortie de modulation
Les sorties de modulation peuvent être utilisées pour contrôler la tension d'autres modules ou d'autres paramètres dans le même module Malström.
Les sorties de modulation sont les suivantes :
Mod:A
Mod:B
- Enveloppe de filtré
Routage de l'audio externe vers les filtres

Les entrées audio à l'arrière du Malström vous permettent de connecter tout signal audio aux filtres et au shaper.
Pour utiliser cette fonction, il est important de comprendre ce qui suit :
Normalement, le Malström se comporte comme un synthétiseur polyphonique standard en ce sens que chaque voix dispose de son propre filtré. Les réglages de filtré sont les mêmes mais chaque enveloppe de filtré est déclenchée individuellement lorsque vous jouez une note.
Cependant, lorsque vous connectez un signal audio aux entrées audio, celui-ci est routé vers un filtr « supplémentaire ». L'enveloppe de ce filtr est déclenchée à chaque fois que l'une des autres enveloppés de filtr est déclenchée. En d'autres termes, l'enveloppe de filtr « supplémentaire » est déclenchée chaque fois que vous jouez une note dans le Malström.
Il existe deux utilisations différentes des entrées audio :
Connexion d'une source de signal externe
La connexion d'un signal audio à partir d'un autre module dans le rack à une entrée audio vous permet de Traitser le signal par l'intermediaire de filtres et/ou du shaper du Malstrom. Le signal traité sera ensuite combiné aux « propres » voix du Malstrom (si activées), puis envoyées aux sorties.
Le résultat dépend de ce qui suit :
- Àquel jack est connecté le signal.
- Si les filtres et/ou le shaper sont actifs sur le panneau avant.
Le bouton de routage du filtré:B.
S'il est activé et que vous connectez un signal à l'entrée du filtré:B, le signal sera traité par le filtré:B et ensuite envoyé au shaper et au filtré:A ( comme lors du routage des oscillateurs du Malström sur le panneau avant).
Notez à nouveau que l'enveloppe de filtré est déclenchée par toutes les voix. Pour utiliser l'enveloppe de filtré, vous devez soit jourer le Malström, soit utiliser des signaux de Gate pour le déclencher lui ou l'enveloppe de filtré, séparation.
Connexion au signal du Malström lui-même

Si vous connectez l'une des sorties d'oscilateur ou les deux aux entrées audio, le chemin interne du signal des oscillateurs vers les filtres est interrompu. En d'autres termes, aucun signal ne passera en interne des oscillateurs aux filtres et les trois boutons de routage des oscillateurs sont ignorés.
Cela peut sembler a priori sans intérêt, mais en voici quelques utilisations :
Lorsque you jouez Malstrom dans ce mode, l'enveloppe de filtrte est déclenchée à chaque note que vous jouez, affectant toutes les notes sonnantes.
Cela est du filtré monophonique « supplémentaire » décrit précédemment. Sur les anciens synthétiseurs, cette fonction est appelée « Déclenchement multiple »
Puisque toutes les notes que vous jouez sont mixées avant d'être envoyées dans le filtre, l'utilisation du shaper donnera des résultats totally différents (si vous jouez plus d'une note à la fois).
Cela ressemble au son obtenu lorsque l'on joue un accord de guitare à travers un effet de distorsion, par exemple.
Vous pouvez insérer des effets externes entre les oscillateurs et les filtres.
Connectez simplement une sortie d'oscillateur à l'entrée d'un module d'effet et la sortie de l'effet à l'entrée audio du Malstroms.
- Vous pouvez utiliser des combinaisons de connexions et de routage. Vous pourriez par exemple connecter un signal audio externe à l'une des entrées, l'un des oscillateurs du Malström à l'autre entrée et ensuite utiliser les options de routage du panneau avant pour l'autre oscillator. Tous ces signaux sont alors mixés et envoyés dans les sorties principales de Malström.

REASON
Chapitre 28
Sampler NN-19
Introduction
On pourrait déscrire un sampler comme un apparéil capable d'enregistrer et de reproductive un matériel audio comme un magnétophone. Contrairement à un magnétophone ou à un enregistrur de type disque dur, les samplers vous permettent de « jouer » le son enregistré via MIDI en utilisant par exemple un clavier. Ainsi, tout son reproductible peut être intégré dans un environnement MIDI et être contrôle depuis des séquenceurs comme des synthétiseurs.
Le NN-19 est un sampler capable de reproductive et d'enregistrer (mais pas d'éditer des) fichiers son.
Le programme est accompagné de nombreux patches de samples prêts à l'emploi, couvrant tous les types d'instruments. De plus vous disposez de nombreux samples individuels que vous pouvez utiliser pour créé vos propres patches.
Si vous souhaitez réaliser le sample de vos propres sons et les editor, vous pouvez utiliser la fonction Sampling décrite dans le chapitre "Sampling".
Il existe un très grand nombre de logiciels d'édition audio à très bon marché (et même Gratis) pour les plate-forme Windows et Mac OS, ce qui vous permettra d'enregistrer de l'audio (via les entrées audio de votre ordinateur ou de votre carte son), et d'éditer le fjichier audio résultat. Quasiment tout logiciel capable de faire cela peut creer des fjichiers son qui peuvent être charges directement dans le NN-19.
Il existe également des milliers de bibliothèques de samples de grande qualité, couvrant tous les types de musiques ou de direction imaginables, des samples d'orchestre enregistrés par des professionnels aux bruits électroniquesésotériques.
Principes généraux de sampling
Arrière-plan
Avant qu'un son puisse être utilisé par un sample, il doit être converti en un signal numérique. Les samplers matériels et les cartes audio de l'ordinateur fournissant des entrées audio qui peuvent convertir le signal analogique en numérique, en utilisant un « Convertisseur A/D » (analogue vers numérique). Celui-ci « réalise le sample » du signal à de très courts intervalles et le convertit en une représentation numérique de la forme d'onde du signal analogique. La fréquence du sample et la résolution de cette conversion déterminant la qualité du son résultat. Enfin, le signal passe par un convertisseur du numérique vers l'analogue (D/A) qui reconstruit le signal analogique à partir du signal numérique et qui peut être lu.
La plupart des patches inclus dans le NN-19 sont une collection de plusieurs samples. Cela est d'au fait qu'un son de sample individuel ne donne juste que dans une plage de fréquences très limitée. Si un sample individuel est charge dans un NN-19 vide, il sera jouable à travers tout le clavier. Le pitch (fréquence) du sample d'origine (appelez note fondamentale) sera automatiquement placé sur le do Médian du clavier (C3).
Notez que cela n'a rien à voir avec le pitch réel que le sample produit lui-même! Il pourrait même ne pas avoir de pitch du tout, car cette pourrait être le son d'une personne qui parle, par exemple.
Si vous jouez un sample individuel environ deux octaves au-dessus ou au-dessous de sa note fondamentale, il aura très probablement un son « peu naturel ». Dans le cas où ce serait effectivement un sample d'une personne qui parle, le fait de jouer deux octaves au-dessus donna sera un caractère aigu, rapide et très certainement incompréhensible. Le jouer deux octaves en dessous le fera ressembler à un gargouillement interminable.
Ainsi, la plage permettant de transposer des samples sans qu'ils paraisent peu naturels est très limitée. Pour qu'un piano « sample » par exemple sonne correctement sur tout le clavier, vous devez tout d'abord créé de nombreux samples à intervalles rapprochés sur le clavier et ensuite définir une étendue supérieure et inférieure pour chaque sample, appelée zone de jeu. Toutes les zones de jeu dans le patch de sample de piano forment alors une affection de touches.
"À propos des zones de jeu et des samples" précrit comment créé des zones de jeu.
Le sampling adéquat des instruments réels nécessite beaucoup de travail. Tout d'abord, vous devez posseder l'instrument d'origine en parfait état de marche. Pour les instruments acoustiques, vous avez besoin d'une paire de microphones de qualité, d'un mixeur ou de tout autre module possédant des pré ampli de micro de grande qualité et d'une piece dotée d'une bonne acoustique. Vous devez être méticuleux lorsque vous enregistrez les différents samples, de sorte que les volumes soient doux et égaux à travers toute l'étendue, etc.
Heureusement, Reason fournit une large quantité d'instruments multisamplés de haute qualité ce qui vous épargnera une grande partie de ce travail difficile.
D'après notre expérience, la plupart desgens n'utilisant pas des samplers uniquement pour jouer des versions
samplées d'instruments « réels ». Très souvent, des samples individuels ou « autonomes » sont utilisés. Mais peut'être
souhaitez-vous utiliser différents sons pour chaque zone de jeu. Ou vous pouvez affecter des chants de chorus ou de
couplet ainsi que des variations à plusieurs zones de jeu « à note unique ». Ou utiliser des samples de différents
accords qui jouent des figures rythmiques au même tempo et les utiliser pour construire des structures de morceau,
etc. Les possibilités sont infinies. Lorsque vous utiliser des samples de cette façon, les touches de votre clavier qui jouent les samples n'ont pas besoin de correspondre au pitch puisqu'elles ne sont utilisées que pour déclencher les
samples.
À propos des formats de fichier audio
Le NN-19 peut dire les fichiers audio des formats suivants :
Wave (.wav)
- AIFF (.aif)
SoundFonts (.sf2)
- Slices de fichiers REX (.rx2, .rx, .rcy)
- Toute fréquence de sample et pratiquement toute résolution.
Wave et AIFF sont les formats de fichiers audio standard pour les plateformes PC et Mac, respectivement. Tout éditeur audio ou de sample, qu'elle que soit la plate-forme, peut dire et creer des fichiers audio dans au moins l'un de ces formats.
SoundFonts est un standard ouvert pour l'audio numérique à table d'ondes, développé par E-mu systems et Creative Technologies.
Les fichiers REX sont des bouches créées dans le logiciel ReCycle (voir ci-dessous). Le NN-19 vous permet de charger soit des fichiers REX comme des patches soit des slices individuelles de fichiers REX comme samples individuels.
À propos du format de patch de samples
Le format de patch de samples de Reason (.smp), est basé sur des fichiers Wave ou AIFF mais inclut également tous les réglages de paramètres du NN-19 associés.
- Les fichiers audio peuvent etre stereo ou mono. Les fichiers audio stereo sont mis en evidencepar le symbole « S » a cote de leur nom dans I'affichage.
Charger un patch de samples
Lorsque vous creez un nouveau module NN-19, il est vide. Ce qui signifie que lorsque vous utilisez « Patch d'initialisation » pour le NN-19, il ne contient aucun sample. Pour que le NN-19 produise du son, vousdezvez charger soit un patch de samples soit un sample - ou réaliser vous-meme le sample d'un son à l'aide de la fonction Sampling (voir "Sampling").
Un patch contient « tout ». Tous les samples, les zones de jeu affectées et les réglages du panneau affectés sont charges. Pour charger un patch de samples, utilisez le navigateur de patch, comme pour tout autre module qui utilise des patches.
Ouvrez le dossier qui contient le patch NN-19 que vous souhaitez charger, selectionnez-le et cliquez sur Ouvrir.
Charger des fichiers REX comme patches
Les fichiers REX sont des fichiers créés par le logiciel ReCycle. Il s'agit d'une application créé par Propellerhead Software, utilisée pour faire des slices de boucles musicales et pour permettre de les rejouer à tout tempo. Dans Reason, les fichiers REX sont principalement utilisés par le lecteur de boucle Dr. Octo Rex mais peuvent également être utilisés dans le NN-19. Les extensions possibles sont « .rx2», « .rcy » et « .rex »
Lorsque you chargez un fichier REX, chaque slice dans le fichier est affecte a une touche, chromatiquement. Tous les parametes sont configurés sur leur valeur par défaut.
Lorsque you utilisez des fichiers REX dans le lecteur de boucle DR. Rex, il est possible de faire en sorte qu'une piste joue les slices de façon à recreer la boucle originale. Obtenir le même résultat dans le NN-19 nécessite quelques étapes supplémentaires.
- Utilisez le navigateur de patch pour charger le fichier REX dans un sampler NN-19.
- Créez un lecteur de boucle Dr. Octo Rex et chargez le même fichier REX dans un emplacement de la boucle de ce module.
- Utilisez la fonction « Copier la boucle sur la piste » du Dr. Octo Rex pour creer des données de lecture (un groupe) sur la piste affectee au Dr.Octo Rex.
- Déplacez ce groupe sur la piste qui joue le NN-19 et jouez-le depuis cette piste.
- Supprimez le lecteur de boucle Dr. Octo Rex.
Sampling dans le NN-19
La procédure de sampling est généérique pour tous les modules Reason permettant de créé des samples (NN-19, NN-XT, Redrum et Kong). Les procédures d'édition de sample et de sampling sont décrites en detail au chapitre "Sampling".
Pour réaliser le sample de votre propre son et le charger automatique dans le module NN-19, cliquez sur le bouton Sample.

Reportez-vous au chapitre "Sampling" pour plus de détails sur la manière de configurer et d'utiliser la fonction sampling.
À propos des zones de jeu et des samples
Charger un sample dans un NN-19 vide
- Créez un nouveau module sampler.
- Cliquez sur le bouton du navigateur de samples.
Il se trouve au-dessus de l'affichage du clavier à gauche.

Lorsque you parcourez les samples, you pouez en avoir un aperçu avec de les charger en utilisant le bouton Lecture du navigateur. Si you selectionnez la fonction d'aperçu « Automatique», les samples seront lus automatiquement une fois selectionnés.
- Utilisez le navigateur pour selectionner un sample et ouvrez-le.
Lorsque vous chargez un premier sample un NN-19 vide, il sera affecté à une zone de jeu qui s'étend sur tout le clavier, et les réglages du patch d'initialisation par défaut seront utilisés.
Sous le clavier, l'étendue, le nom du sample, la note fondamentale, la tonalité, le niveau et l'état de la boucle de la zone de jeu actuelle s'affichent, chacun disposant d'un potentiemètre correspondant.

La ligne bleu clair au-dessus du clavier indique la zone de jeu actuellément selectionnee qui, dans ce cas, correspond à l'intégrality de la zone du clavier.
La touche inversée sur le clavier indique la « note fondamentale » du sample. Tous les samples contiennent un réglage de la note fondamentale, de la tonalité et du volume. Si le NN-19 est vide, la note fondamentale d'un sample est placée sur le dos Médian (C3).
- Si vous le souhaitez,-cliquez sur le clavier pour modifier la note fondamentale.
! Voues pouez ecouter un patch de samples ou un sample charged en maintainant enfoncée la touche [Option] (Mac)/[Alt] (Windows) et en cliquant sur une touche de l'affichage du clavier. La souris prend la forme d'un haut-parleur pour l'indiquer.
Charger des samples SoundFont
Le format SoundFont a eté développé par E-mu systems en collaboration avec Creative Technologies. C'est un format de données standardisé contenant de l'audio numérique dans des tables d'ondes et des informations quant à la façon de les jouer depuis un synthétiseur à table d'ondes - généralement sur des cartes son. Le format SoundFont est un standard ouvert et il existe donc un grande nombre de banques SoundFont et de banques compatibles SoundFont développées par des tiers.
Les samples dans un SoundFont sont stockés hierarchiquement dans différentes catégories : samples de l'utilisateur, instruments, prééglages, etc. Le NN-19 vous permet de rechercher et de charger des samples SoundFont individuels, mais pas des soundfonte entiers.
- Utilisez le navigateur de sample pour selectionner un fichier SoundFont (.sf2) et ouvrez-le.
Le navigateur ouvre la SoundFont et affiche les dossiers qu'elle contient.
- Sélectionnez le dossier « Samples » et ouvre-le.
Le dossier contient un certain nombre de patches qui peuvent etre chargés comme tout autre sample.
- Sélectionnez le sample de votrechoix et ouvrez-le.
Le sample est chargé et une zone de jeu qui s'étend sur tout le clavier lui est affectée. Vous pouvez à présent effectuer ses réglages comme pour n'importe quel autre sample.
Charger des slices REX comme samples
Une slice est un fragment de son dans un fisier REX. Pour importer une slice REX, cliquez sur le bouton du navigateur de sample (voir ci-dessus), cherchez un fisier REX et ouvre-le comme s'il s'agissait d'un dossier. Le navigateur affichera alors les slices sous forme de fisiers dans ce « dossier »
Dans la suite de ce manuel, lorsque nous ferons reférence à l'importation de samples, tout ce qui sera dit s'appliquera également aux slices REX.
Créer des zones de jeu
Une « zone de jeu » est une plage de touches qui joue un sample. L'ensemble des zones de jeu creée une « affection de touches ».
Pour creer une nouvelle zone de jeu, vous pouze utiliser les méthodes suivantes :
→ Sélectionnez « Division de la zone de clavier » dans le menu Édition ou le menu contextual.
Cela permet de divisor la zone de jeu sélectionnée au milieu. La nouvelle zone est la moitié supérieur de la division et elle est vide. Le point de division dispose d'une « poignée » au-dessus d'elle, voir « Définir l'étendue de la zone de jeu » ci-dessous pour une description.
En cliquant avec [Alt]/[Option] sur un point juste au-dessus de la bande de zone de jeu, une nouvelle zone de jeu vide est créé.
Le point où vous cliquez devient la limite inférieure (ou frontière) de la zone de jeu originale et la limite supérieure de la nouvelle zone de jeu.

La nouvelle zone de jeu vide est selectionnée après la création.
Sélectionner des zones de jeu
On ne peut seLECTIONner qu'une zone de jeu à la fois. Une zone de jeu sélectionnée est indiquée par une bande bleu clair (et non bleu foncé) au-dessus du clavier dans l'affichage. Vous pouvez seLECTIONner des zones de jeu de deux manières :
En cliquant sur une zone de jeu qui n'est pas seLECTIONnée dans l'affichage.
En activant le bouton « Sélectionner la zone via MIDI »
En jouant une note qui apparait à une zone de jeu non sélectionnée sur le clavier MIDl, vous sélectionnerez la zone de jeu à laquelle elle apparient.
Définir l'étendue de la zone de jeu
! Les zones de jeu ne peuvent pas se chevaucher.
Lorsque vous ajustez les frontières d'une zone de jeu, les frontières autour sont automatiquement ajustées en conséquence.
You pouvez modifier l'étendue de la zone de jeu des façons suivantes :
En déplaçant la ou les « poignée(s) » qui divisent les zones de jeu, vous pouvez modifier l'étendue de la zone de jeu sélectionnée.
Dans le cas où vous avez deux zones de jeu divisées au milieu, vous pouze alors modifier la limite inférieure de la nouvelle) zone de jeu et la limite supérieure de la zone de jeu d'origine.

En utilisant les potentiamétres « Note plancher » et « Note plafond » pour définir les limites inférieures et supérieures, respectivement.

Supprimer une zone de jeu
Pour supprimer une zone de jeu, selectionnez-la et selectionnez « Supprimer la zone de jeu » dans le menu Édition.
À propos des zones de jeu et des samples affectés et non affectés
Lorsque vous chargez des samples et réarrangez votre affectation de touches, vous aurez souvent des samples qui ne sont pas affectés à une zone de jeu en particulier. Par la suite nous ferons référence aux samples de la façon suivante :
-
Les samples affectés sont des samples qui sont actuèlement affectés à une ou plusieurs zones de jeu.
-
Les samples non affectés sont des samples qui se trouvent dans la mémoire des samples, mais qui ne sont actuellement affectés à aucune zone de jeu.
Ajouter un ou plusieurs sample(s) à une affectation de touches
Si le sample n'est pas encore chargé
- Sélectionnez une zone de clavier.
Elle peut être vide ou contenir un sample - cela n'a pas d'importance pour le moment. - Utilisez le navigateur de sample pour ajouter un ou plusieurs (voir ci-dessous) sample(s).
Les actions suivantes ont lieu :
Si la zone contenait un sample avant le chargement, il sera remplace, à la fois dans la zone et dans la mémoire de samples, à moins que le sample soit également utilisé par une autre zone de jeu, auquel cas il sera conservé.
Si vous chargez plusieurs samples, l'un des samples sera affecté à la zone de jeu et les autres seront chargés mais resteront non affectés.
Si le sample est déjà charge mais non affecté
- Sélectionnez une zone de clavier.
Elle peut être vide ou contenir un sample - cela n'a pas d'importance pour le moment. - Utilisez le potentiometre Sample pour enter le sample que souhaitez voir joué par la zone de jeu.

Potentiomètre Sample.
Définir la note fondamentale
Une fois que vous avez défini une zone de jeu et ajoute un sample, nous vous recommendons de définir la note fondamentale pour le sample.
→ Sélectionnez la zone de jeu à laquelle appartient le sample et cliquez sur la note pour laquelle vous souhaitez configurer la note fondamentale.
Le pitch du sample détermine normalement qu'elle note sélectionner. Par exemple si le sample joue une note de guitare F#2, cliquez sur F#2.
- Notez qu'il est possible de selectionner une note fondamentale en dehors de la zone de jeu si nécessaire.
Supprimer un ou des sample(s) d'une affectation de touches
Pour supprimer un sample, selectionnez la zone à laquelle il appartient et selectionnez « Supprimer le sample » dans le menu Édition ou le menu contextuel.
Le sample est supprimé de la zone et de la mémoire de sample.
Pour supprimer un sample d'une zone de jeu ou d'une affectation de touches, sans le supprimer de la mémoire, vous pouvez soit selectionner « Aucun sample » à l'aide du potentiamètre Sample pour cette zone, soit simplement le remplacer par un autre sample de la même manière.
Supprimer tous les samples non affectés
Pour supprimer tous les samples qui ne sont affectés à aucune zone, Sélectionnez Supprimer les samples inutilisés dans le menu Édition.
Réarranger les samples dans une affectation de touches
Il n'existe pas de fonction spécifique pour réarranger ou échanger les emplacements des samples et des zones de jeu. Sélectionnez simplement une zone de jeu et modifiez l'affection de sample actuelle à l'aide du potentiamètre Sample.
Régler le volume du sample
Chaque zone de jeu dispose d'un volume que vous poupez définir à l'aide du bouton Volume sous l'affichage. Si la transition entre deux zones de jeu create une différence de volume perceptible, ce paramètre peut être utilisé pour régler la balance des volumes.
Parfois, il se peut que vous trouviez que les samples que vous souhaitez utiliser dans une affectation de touches sont quelque peu désaccordés entre eux. Ce paramètre permet d'accorder chaque sample dans une affectation de + / - la moitié d'un demi-ton.
Sélectionnéz la ou les zone(s) de jeu qui contiennent le ou les sample(s) désaccordé(s), et utilisez le potentiamètre Accordage sous l'affichage du clavier.
Si tous les samples proviennent de sources différentes et que tous ou la plupart d'entre eux ont un pitch légèrement différent (ce qui n'est pas rare), vous pouvez tout d'abord les accorder pour qu'ils correspondent entre eux, puis, si nécessaire, utiliser les boutons de contrôle Pitch du sample de la section Osc pour les accorder globalement au « morceau » dans lequel vous souhaitez utiliser ces samples.
Notez que si tous les samples sont légèrement désaccordés avec une intensité équivalente par rapport au morceau dans lequel vous souhaitez les utiliser, il est plus simple d'utiliser directement les boutons de contrôle Pitch du sample de la section Osc.
Boucler les samples

Un sample, contrairement aux cycles d'un oscillateur par exemple, est une quantite finie. Il y a un début et une fin de sample. Pour que les samples jouent aussi longtemps que vous maintainez enforcées les touches de votre clavier, ils doivent être bouclés.
Pour que cela fonctionne correctement, vous doivent tout d'abord configurer deux points de boucle qui déterminent la partie du sample qui sera bouclée, et en faire une partie du fichier audio. Vous ne pouvez pas définir les points de boucle dans le NN-19 ; vous doivent le faire dans la fenêtre Éditer le sample (voir "Mise en boucle des samples") ou dans un éditeur de samples externe.
Tous les samples fournis disposent déjà de points de boucle définis (si nécessaire).
Pour chaque sample (ou zone de jeu), vous pouvez définir les modes de boucle suivant en utilisant le potentiemetre Boucle sous l'affichage du clavier:
OFF
Aucune boucle n'est appliquée au sample.
→AV
La partie entre les points de boucle joue du début à la fin, puis le cycle est répété. Il s'agit du mode de boucle le plus courant.
AV-AR
La partie entre les points de boucle joue du début à la fin, puis de la fin au début et repète le cycle.
! Pour les samples ne disposant pas de points de boucle, tout le sample sera bouclé.
A propos de la fonction Sample en mode solo
Le bouton Sample en mode solo vous permet d'écouter un sample sélectionné sur toute l'étendue du clavier.
Sélectionnez la zone de jeu à laquelle est affecté le sample puis activez Sample en mode solo.
Cela peut être pratique pour vérifier si la note fondamentale est correctement définie ou si la zone actuelle peut être étendue, etc.
! Pour que Sample en mode solo fonctionne, « Sélectionner la zone de jeu via MIDI » doit être désactivié !
Affectation automatique des samples
Si vous dispose de plusieurs samples qui sont ensemble mais que vous ne les avez pas affectés à des zones de jeu, vous pouvez utiliser la fonction « Affector les samples automatiquement » du menu Édition. Elle s'utilise de la façon suivante :
- Sélectionnez tous les samples qui vontienne et chargez-les en une seule fois en utilisant le navigateur des samples.
L'un des samples sera affecté à une zone de jeu s'étendant sur toute l'etendue et le reste sera chargé en mémoire mais restera non affecté.
- Sélectionnez Affector les samples automatiquement dans le menu Édition.
A present, tous les samples actuellement en mémoire (affectés ou non) seront arrangés automatiquement de sorte que :
Chaque sample soit place correctement en fonction de sa note fondamentale et soit accordé en fonction de l'information du fichier de sample.
La plupart des programmes d'edition audio peuvent enregistrer l'information de note fondamentale dans le fichier.
Chaque sample occupe la moitié de l'étendue de note jusqu'à la note fondamentale du prochain sample.
La note fondamentale est toujours au milieu de chaque zone, la zone s'étendant de chaque côte (vers le haut et vers le bas) en relation avec la position fondamentale.
Affectation de samples sans note fondamentale ni information concernant l'accordage
Certains samples n'ont aucune information quant à la note fondamentale ou à l'accordage inclus dans le fichier. Si les noms de fichier indiquent la note fondamentale, vous pouze la définir manuellement pour chaque sample à l'aide de la méthode décrite ci-dessous. Dans le pire des cas, c'est-à-dire aucune information quant à l'accordage ou à la note fondamentale, vous pouze toujours utiliser la fonction d'aftection automatique :
- Sélectionnez tous les samples qui vont Ensemble et chargez-les en une seule fois en utilisant le navigateur de samples.
L'un des samples sera affecté à une zone de jeu s'étendant sur toute l'etendue et le reste sera chargé en mémoire mais restera non affecté.
- Définissez manuellement la note fondamentale et ajustez le potentiametre Accordage si le sample nécessite un accordage plus précis.
Si aucune information n'est stockée dans le fichier ou si le nom du fichier n'indique pas la note fondamentale, vous devrez faire cet accordage à l'oreille. Jouez le sample et utilisez un autre instrument ou un accordeur pour déterminer le pitch.
- Sélectionnez le sample suivant en utilisant le potentiomètre Sample et repêtez l'etape précédente.
Procedez ainsi jusqu'à ce que vous ayez défini la note fondamentale de chaque sample en mémoire.
- Sélectionnez « Affector les samples automatiquement » dans le menu Édition.
Les samples seront affectés en fonction de la note fondamentale qui leur est définie !
Comment l'information d'affection est enregistrée
Toutes les informations de zones de jeu, etendue supérieure et inférieure, note fondamentale, etc. sont stockées dans le patch de sampler. Les fichiers de sample d'origine ne sont jamais modifiés!
Paramètres du synthé NN-19
Les paramètres du synthé NN-19 sont utilisés pour façonner et modifier les samples. Ils sont quasiment similaires aux paramètres utilisés pour façonner les oscillateurs dans le Subtractor - vous disposez de générateurs d'enveloppe, d'un filtr, d'un contrôle de velocité, etc. À nouveau, il est important de se souvenir que ces paramètres ne modifiient pas les fichiers audio mais uniquement la façon dont ils sont joués.
! Ces parametes sont globaux, en ce sens quils affectent tous les samples dans un patch de samples.
Section Oscillateur

Pour un pacth de samples, les samples réels correspondant à ce que sont les oscillateurs pour un synthétiseur, à savoir la principale source sonore. Les réglages suivants peuvent être effectuels dans la section Osc du NN-19 :
Début du Sample
Modifie la position de départ des samples du patch de samples. Si vous tournez le potentiemetre dans le sens des aiguilles d'une montre, vous decalez la position de départ des samples, pour qu'il soient lus plus loin « dans » leur forme d'onde. C'est utile dans les deux cas suivants en particulier :
Pour supprimer le «Souffle » ou d'autres éléments indésirables au début de samples perfectibles.
Parfois, (bien que ce ne soit pas le cas des samples fournis avec Reason), you pouvez rencontres des samples dans lesquels le point de départ est légarement situé en amont du départ réel du son. Il peut y avoir du bruit ou du silence au début qui n'est pas sensé faire partie du sample. Vous pouvez le supprimer en ajustant la position de départ.
Pour modifier le point de départ pour produit un effet.
Par exemple, si vous avez un sample dans lequel une personne dit « un, deux, trois » vous pouvez modifier la position de départ pour qu'elle commence sur « trois » lorsque vous jouez le sample.
- Vous pouvez également affecter le début du sample de velocité permettant d'utiliser votre lecture pour déterminer le début exact du sample. Voir plus loin dans ce chapitre.
Définir le pitch du sample - Octave/demi-ton/centième
En ajustant les potentiemêtres correspondants, vous pouvez modifier le pitch de tous les samples appartenant à un patch de trois façon :
Par pas d'octave
La plage est de 0 - 8. Le réglage par défaut est 4.
Par pas d'un demi-ton
Vous permet d'augmenter la fréquence par 12 pas de demi-tons (une octave).
Par pas de centièmes (100ème de demi-ton)
L'etendue est de -50 à 50 (plus ou moins une moitié de demi-ton).
! Notez que les boutons de contrôle de cette section ne peuvent pas etre utiliser pour accorder les samples entre eux, car tous les samples son affectés de la meme facon. Pour accorder les samples individuels,utilisez le parametre Accordage sous I'affichage du clavier (voir "Accorder les samples").
Pondération au clavier
La section Osc dispose d'un bouton appelé « Pondération au clavier ». S'il est désactivé, le pitch du sample restera constant, quels que soient les messages de pitch de note entrants, bien que l'oscillateur réagisse toujours aux messages de note on/off. Cela peut être utile si vous utilisez des samples sans pitch, comme des batteries par exemple. Vous pourriez alors jouer un sample dans une zone en utilisant plusieurs touches, vous permettant de déclencher les notes plusrapidement pour jouer un roulement de tambour, par exemple.
Intensité de l'enveloppe de l'oscillateur
Ce paramètre déterminé àquel point le pitch général des samples sera affecté par l'enveloppe de filtre (voir "Enveloppe de filtre"). Vous pouvez y définir des valeurs négatives ou positives qui déterminent si le paramètre de l'enveloppe doit augmenter ou réduire le pitch.
La section Filtre

Les filtres sont utilisés pour façonner le timbre général du son. Le filtré du NN-19 est un filtrre multi-modes proposant cinq types de filtré.
Mode de filtré
C'est ce bouton qui vous permet de définir le filtrre à utiliser comme l'un des cinq types de filtrre. Il s'agit des fonctions suivantes :
- Passe-bas 24 dB (LP 24)
Les filtres passé-bas laissent passer les basses fréquences et coupent les haute fréquences. Ce type de filtrer a une courbe roll-off只不过 douce (24dB/Octave). De nombreux synthétiseurs classiques (Minimoog/Prophet 5 etc.) utilise ce type de filtré.
Ce type de filtré passé-bas est également largement utilisé par les synthétiseurs analogiques classiques (Oberheim, TB-303 etc.). Il a une courbe douce (12 dB/Octave), laissant passer plus d'harmoniques dans le son filtré comparé au filtré LP 24.
- Passe-bande (BP 12)
Un filtrte passe-bande coupe à la fois les hautes et les basses fréquences mais les fréquences de la bande mediane ne sont pas affectées. Chaque courbe de ce type de filtrer a un roll-off de 12 dB/Octave.
- Passe-haut (HP12)
Un filtré passée-haut est l'opposé d'un filtré passée-bas ; il coupe les fréquences basses et laïse passer les fréquences haute. Le filtré Passe-haut possède une courbe roll-off de 12 dB/Octave.
Notch
Un filtr notech (ou filtre coupe-bande) peut etre decrit comme l'opposed d'un filtre passe-bande. Il coupe toutes les fréquences d'une étroite bande mediane, laissant passer les fréquences au-dessus et en-dessous de cette bande.
Fréquence du filtré
Le paramètre Fréquence du filtré (souvent appelé fréquence de coupure) détermine la partie du spectre de fréquence du filtré sur laquelle le filtré aura un effet. Pour un filtré passer-bas, le paramètre de fréquence pourrait être décrit comme décidant l'ouverture et la fermeture du filtré. Si le paramètre Fréquence du filtré est défini sur zéro, aucune ou seulement très peu de fréquences sont entendues. S'il est réglé sur le maximum, toutes les fréquences de la forme d'onde seront entendues. Le changement progressif de la fréquence du filtré produit le son de filtré de synthétiseur classique dit de « balayage »
! Notez que le paramètre Fréquence du filtré est généralement également contrôle par l'enveloppe de filtrre (voir ci-dessous « Section Enveloppe »). La modification de la fréquence du filtrre avec le curseur de fréquence pourraitès lors ne pas produit le résultat attendu.
Résonance
Le paramètre Résonance du filtré (parfois appelé Q) est utilisé pour définir le caractère du filtré, ou sa qualité. Pour les filtres passé-bas, augmenter la valeur Rés du filtré accentue les fréquences autour de la fréquence définie pour le filtré. Cela produit généralement un son plus fin mais avec un « balayage » de la fréquence du filtré plus précis et plus prononcé. Plus la valeur de résonance est élevé, plus le son devient résonnant jusqu'à produit un son siffrant ou sonnant. Si vous définisse une valeur élevée pour le paramètre Rés et faites ensuite varier la fréquence du filtré, cela produit un balayage très distinct, le son sonnant étant très évident à certaines fréquences.
- Avec un filtré salle-haut, le paramètre Rés fonctionné comme pour les filtres salle-bas.
Lorsque you utilisez un filtre passe-bande ou notch, le reglage de la resonance ajuste la largeur de la bande. Lorsque you augmentez la resonance, la bande dans laquelle les fréquences passent (passe-bande) ou sont coupées (notch) deviendra plus etroite. Généralement, le filtre de notch produit des résultats plus musicaux avec des réglages de resonance bas.
Section Enveloppe
Les générateurs d'enveloppe sont utilisés pour contrôler plusieurs paramètres du son importants dans les synthétiseurs analogiques, comme le pitch, le volume, la fréquence du filtre, etc. Les enveloppes gèrent la façon dont ces paramètres répondent avec le temps - entre le moment où la note est déclenchée et le moment où elle est relachée.
Les générateurs d'enveloppe de synthétiseurs standard ont quatre paramètres : attaque, déclin, maintain et relâchement (ADSR).
Le NN-19 possède deux générateurs d'enveloppe, un pour le volume et un pour la fréquence du filtre.
! Veuillez vous reférer au chapitre consacre au Subtractor pour une description des paramètres de base de l'enveloppe.
Enveloppe d'amplitude

L'enveloppe d'amplitude est utilisée pour ajuster la façon dont le volume du son varie entre le moment où vous enforcez une touche et celui où vous la relâchez. En définissant une enveloppe de volume, vous sculptez la forme de base du son avec les quatre paramètres d'enveloppe d'amplitude (attaque, déclin, maintain et relâchement). Cela déterminé le caractère fondamental du son (doux, long, court, etc.). Le paramètre Volume agit comme un contrôleur du volume général pour le patch de samples.
Enveloppe de filtré

L'enveloppe de filtrte peut être utilisée pour contrôler deux paramètres : la fréquence du filtrte et le pitch du sample. En définissant une enveloppe de filtrte vous pouvez contrôler la façon dont la fréquence du filtrte et/ou le pitch du sample changent avec le temps avec les quatre paramètres d'enveloppe de filtrte (attaque, déclin, maintain, relâchement).
Intensité de l'enveloppe de filtré
Ce paramètre déterminé àquel degré le filtré sera affecté par l'enveloppe de filtré. L'augmentation de la valeur de ce potentiametre creée des résultats plus impressionnants. Le paramètre Intensité de l'enveloppe et la fréquence de filtré définie sont liés. Si le curseur Freq. du filtré est réglé autour de sa position mediane, cela signifie qu'au moment où vous appuyez sur une touche, le filtré est déjà à moitié ouvert. L'enveloppe de filtré définite ouvrira alors de nouveau le filtré à partir de ce point. Le réglage Intensité de l'enveloppe de filtré affecte l'importance de l'ouverture ultérieure du filtré.
Inversion de l'enveloppe de filtre
Si ce bouton est activé, l'enveloppe sera inversée. Par exemple, le paramètre Déclin réduit la fréquence du filtre, mais lorsque l'inversion est activée, elle l'augmente avec la même intensité. Notez que l'inversion n'afecte pas le paramètre de pitch de l'oscillateur (celui-ci peut être inversé en définitissant des valeurs positives ou négatives).
Section LFO

LFO est l'acronyme de Low Frequency Oscillator, soit oscillator à très BASSE fréquence. Les LFO sont des oscillateurs en ce sens qu'ils générent une forme d'onde et une fréquence. Cependant, ils possèdent deux différences significatives par rapport aux oscillateurs classiques générateurs de sons :
- Les LFO ne générent que des formes d'onde avec de basses fréquences.
- La sortie des deux LFO n'est jamais réellement entendue. Elle est, au contraire, utilisée pour moduler divers paramètres.
L'application la plus répandue d'un LFO est la modulation du pitch d'un oscillateur (générateur de son) ou d'un sample, pour produit un vibrato.
La section LFO dispose des paramètres suivants :
Formedonne
Le LFO 1 vous permet deCHOISIR DIFFERENTES formes d'onde pour modifier les parametes. Ces parametes sont (de haut en bas) :

| Forme d'onde | Description |
| Triangulaire | Forme d'onde douce, convenant à un vibrato normal. |
| Inversée | Produit un cycle « ramp up ». S'il est appliqué à la fréquence d'un oscillateur, le pitch sera balayé jusqu'à un point défini (défini par le réglage de l'intensité), après quoi le cycle recommence immédiatement. |
| En dents de scie | |
| En dents de scie | Cela produit un cycle « ramp down », identique au précédent mais inversé. |
| Carrée | Produit un cycle qui change abruptement entre deux valeurs, utilisable pour des trilles, etc. |
| Aléatoire | Produit une modulation par paliers aléatoire de la destination. Dans certains ancients synthétiseurs analogues, cette fonctionnalité se nommaït « sample & hold ». |
| Aléatoire doux | Identique à la précédente, mais avec une modulation progressive. |
Destination
Les destinations disponibles du LFO sont les suivantes :
| Destination | Description |
| Osc | Permet au LFO de contrôle le pitch (fréquence) du patch de sample. |
| Filtre | Le LFO contrôle la fréquence du filtre. |
| Pan | Permet au LFO de moduler la position panoramicque des samples, c'est-à-dire qu'il déplacera le son de gauche à droite dans le champ stéréo. |
Synchro
Cliqueur se bouton permet de (dés)activer la synchronisation du LFO. La fréquence du LFO sera alors synchronisée avec le tempo du morceau, dans l'une des 16 divisions temporelles disponibles. Lorsque Sync est activé, le potentiamètre Rate (voir ci-dessous) est utilisé pour définir la division temporelle désirée.
Tournez le potentiometre et regardez l'info-bulle pour avoir une indication de la division temporelle.

Rate
Le potentiemetre Rate controle la frquence du LFO. Tournez-le dans le sens des aiguilles d'une montre pour obtenir une frquence de modulation plus elevée.
Intensité
Ce paramètre déterminé jusqu'àquel degré le paramètre de destination sélectionné sera affecté par le LFO. L'augmentation de la valeur de ce potentiemètre creée des résultats plus impressionnants.
Les paramètres de jeu
Cette section aborde deux points : les paramètres modifiés par la façon dont vous jouvez et la modulation qui peut être appliquée manuellement avec des raccourcis standard du clavier MIDI.
Les voici :
- Contrôle par velocité
- Roues de Pitch Bend et de modulation
- Legato
- Portamento
- Polphonie
- Élargissement de la voix
- Contrôleurs externes
Contrôle par velocité

La velocité est utilisé pour contrôle divers paramètres en fonction de la force avec laquelle vous jouez sur votre clavier. Une des applications courantes de la velocité consiste à rendre les sons plus clairs et plus forts si vous appuyez sur une touche plus fort. À l'aide des potentiomètres de cette section, vous pouze contrôler àquel point les divers paramètres seront affectés par la velocité. La sensibilité de la velocité peut être définie sur des valeurs positives ou négatives, la position centrale représentant l'absence de contrôle par la velocité.
Les paramètres suivants peuvent être contrôlés par la velocité :
| Destination | Description |
| Amp | Cela vous permet de contrôle par la velocité le volume général du son. Si vous définisse une valeur positive, le volume augmentera de la force avec laquelle vous frappez une touche. Une valeur négative inverse cette proportionnalité, le volume diminuant avec la force de frappe et augmentant lorsque vous jouez plus doucement. Si la valeur est égale à zéro, le son jouera à un volume constant qu'elle que soit la force de frappe des touches. |
| F. Env | Cela définit le contrôle par la velocité du paramètre Intensité d'enveloppe de filtre. Une valeur positive augmentera l'intensité de l'enveloppe selon la force avec laquelle vous frappez les touches. Une valeur négative inversera cette relation. |
| F. Dec | Cela définit le contrôle par la velocité du paramètre de déclin de l'enveloppe de filtre. Une valeur positive augmentera la durée du déclin selon la force avec laquelle vous frappez les touches. Une valeur négative inversera cette relation. |
| Début S. | Définit le contrôle par la velocité du paramètre Début du sample. Une valeur positive augmentera l'intensité du début proportionnellement à la force de votre jeu. Une valeur négative inversera cette relation. |
| Attaque A | Règle le contrôle par la velocité du paramètre d'attaque de l'enveloppe d'amplitude. Une valeur positive augmentera le temps d'attaque selon la force avec laquelle vous frappez les touches. Une valeur négative inversera cette relation. |
Roues de Pitch Bend et de modulation
La roue de Pitch Bend est utilisé pour « courber » les notes, comme lorsque vous courbez les cordes d'une guitare. La roue de modulation est utilisé pour appliquer plusieurs modulations lorsque vous jouez. Quasiment tous les claviers MIDI disposent de contrôle des Pitch Bend et de modulation. NN-19 fournit également deux roues fonctionnelles qui peuvent être utilisées pour appliquer en temps réel la modulation et le Pitch Bend si vous ne disposez pas de ces contrôleurs sur votre clavier ou si vous n'utilisez pas de clavier. Les roues reflètent les mouvements des contrôleurs du clavier MIDI.
Plage du Pitch Bend
Le paramètre Plage définit l'intensité maximal du Pitch Bend lorsque la roue est tournée à fond. La plage maximale est de « 24 » (monter/descendre de deux octaves).
Roude modulation
La roue de modulation peut être régée pour contrôler simultanément plusieurs paramètres. Vous pouvez définir des valeurs positives ou négatives, tout comme dans la section Contrôle par velocité. Les paramètres suivants peuvent être affectés par la roue de modulation :
| Destination | Description |
| F. Freq | Définit le contrôle de la roue de modulation du paramètre Fréquence du filtre. Une valeur positive augmente la fréquence lorsque la roue est pousseée en avant. Une valeur négative inversera cette relation. |
| F. Res | Définit le contrôle de la roue de modulation du paramètre Résonance du filtre. Une valeur positive augmente la résonance lorsque la roue est pousseée en avant. Une valeur négative inversera cette relation. |
| F. Dec | Cela permet à la roue de modulation de contrôle le paramètre de déclin de l'enveloppe de filtre. Une valeur positive augmente le déclin lorsque la roue est pousseée en avant. Une valeur négative inversera cette relation. |
| LFO | Définit le contrôle de la roue de modulation du paramètre Intensité du LFO. Une valeur positive augmente l'intensité lorsque la roue est pousseée en avant. Une valeur négative inversera cette relation. |
| Amp | Cela permet à la roue de modulation de contrôle paramètre le paramètre Vol. Une valeur positive augmente le volume lorsque la roue est pousseée en avant. Une valeur négative inversera cette relation. |
Legato
Le legato offre ses meilleurs performances avec lessons monophoniques.Configuez la polyphonie (voir "Definir le nombre de voix - Polyphonie") sur 1 et essayez ce qui suit :
Maintenez enfoncée une touche et pressez une autre touche sans relâcher la précédente.
Notez que le pitch change, mais les enveloppès ne se redéclenchent pas. Ainsi, il n'y aura pas de nouvelle « attaque ».
Si la polyphonie est reglée sur plus d'une voix, le legato ne s'appliquera que lorsque toutes les voix seront « utilisées »
Par exemple, si vous avez un réglage de polyphonie sur « 4 » et que vous maintainez un accord de quatre notes, la note suivante jouera un legato. Notez, cependant, que cette voix de legato « volera » l'une des voix dans l'accord de quatre notes du fait que toutes les voix affectées sont déjà utilisées!
Retrig
Il s'agit du réglage « normal » pour jouer des patches polyphoniques. Ainsi, lorsque vous enforcez une touche sans relâcher la précédente, les enveloppées sont déclenchées à nouveau, comme lorsque vous relâchez toutes les touches et en pressez une nouvelle. En mode monophonique, Retrig a une fonction supplémentaire : si vous appuyez sur une touche, la maintenance, et appuyez sur une nouvelle touche et la relâchez, la première note sera également déclenchée de nouveau.
Portamento (durée)
Le portamento consiste à faire « glisser » le pitch entre les notes que vous jouez au lieu de le modifier instantanément. Le potentiemètre Portamento est utilisé pour définir la durée nécessaire au pitch pour glisser d'un pitch à l'autre. Si vous ne souhaitez pas de portamento, réglez ce potentiemètre sur zéro.
Définir le nombre de voix - Polyphonie
Cela détermine la polyphonie, c'est-à-dire le nombre de voix qu'un patch peut jourer simultanément. Cela peut être utilisé pour rendre un patch monophonique (=un réglage sur « 1 »), ou pour augmenter le nombre de voix disponibles pour un patch. Le nombre maximal de voix pouvant être définir pour un patch est de 99.
! Notez que le réglage de polyphonie ne « monopolise » pas les voix. Par exemple, si vous avez un patch qui a un réglage polyphonique de dix voix, mais que la partie jouée par le patch n'utilise que quatre voix, cela ne signifie pas que vous avez « gâché » six voix. En d'autres termes, le réglage de polyphonie n'est pas à prendre en considération si vous souhaitez économique la puissance du CPU - c'est le nombre de voix réellement utilisées qui compte.
Élargissement de la voix
Voupez utilisec ce parametre pour contrcler la position stereo des voix (pan).Le potentiometre Elargissement détermine l'intensité du panoramaque. S'il est regle sur « 0 », aucun élargissement n'a lieu. Les modes de panoramaque suivants peuvent etre selectionnés:
| Mode | Description |
| Touche | Déplacera la position panoramicque progressivement de gauche à droite plus vous jouerez des aigus sur le clavier. |
| Touche 2 | Déplacera la position panoramicque de gauche à droite en huit pas (1/2 octave) pour chaque note consécutive la plus haute que vous jouez, puis recommencerà le cycle. |
| Saut | Alternera la position panoramicque de gauche à droite pour chaque note que vous jouez. |
Réduction des aigus
Supprime une partie du contenu des hautes fréquences du son, mais ce n'est généralement pas perceptible (c'est particulièrement vrai si vous avez « filtré bas » les samples). L'activation de ce mode vous permet d'obtenir davantage de puissance du processeur, si nécessaire.
Section du contrôleur
NN-19 peut receivevoir les messages de contrôleur MIDI habituels et les router vers divers paramètres. Les messages MIDI suivants peuvent être reçus :
- Aftertouch (pression de canal)
- Pédale d'expression
- Contrôleur à souffle
Si vous clavier MIDI est capable d'envoyer des messages Aftertouch, ou si vous avez accès à une pedale d'expression ou à un contrôleur à souffle, vous pouvez les utiliser pour modifier des paramètres du NN-19. Le bouton de sélection « Source » définit lequel de ces types de message doit être reçu.
Ces messages peuvent être affectés pour contrôler les paramètres suivants :
| F. Freq | Définit le contrôle de la modulation externe du paramètre de fréquence du filtré. Une valeur positive augmentera la fréquence avec des valeurs de modulation externe supérieures. Une valeur négative inversera cette relation. |
| LFO 1 | Définit le contrôle de la modulation externe du paramètre Intensité du LFO. Une valeur positive augmentera l'intensité du LFO avec des valeurs supérieures de modulation externe. Une valeur négative inversera cette relation. |
| Amp | Vous permet de contrôle le volume général du son avec une modulation externe. Une valeur positive est définie, le volume augmentera avec des valeurs de modulation externe supérieures. Une valeur négative inverse cette relation. |
Connexions
Sur le panneau arrière du NN-19, vous trouvez des connecteurs qui sont généralement du type CV/Gate.

Sorties audio
Il s'agit des sorties audio principales gauche et droite. Lorsque vous creez un nouveau module NN-19, elle sont autorétées vers le premier canal disponible du mixeur audio.
Il s'agit des entrées principales CV/Gate. CV contrôle le pitch de la note. Les entrées Gate déclenchent des valeurs de note on/off et un volume qui peut être comparé à une valeur de velocité. Si vous souhaitez contrôle le NN-19 depuis un séquenceur de patterns Matrix par exemple, nous vous recommendons d'utiliser ces entrées. Ces entrées sont « mono », c'est-à-dire qu'elles contrélont une voix dans le sampler.
Entrées de modulation
Rappelez-vous que les connexions CV ne sont pas stockées dans le patch de samples, même si les connexions se font vers depuis le même module NN-19!
Ces entrées de tension de contrôle (CV, avec leurs potentiamètres associés) peuvent modifier divers paramètres du NN-19 depuis d'autres modules ou depuis les sorties de modulation du même module NN-19. Ces entrées peuvent contrêter les paramètres suivants :
- Pitch de l'oscillateur (sample)
- Coupe du filtré
- Résonance du filtré
Volume - Roude modulation
Sorties de modulation
Les sorties de modulation peuvent etre utilisées pour contrcler la tension d'autres modules ou d'autres parametes dans le même module NN-19. Les sorties de modulation sont les suivantes :
- Enveloppe de filtré
LFO
Entrées Gate
Ces entrées peuvent receiveoir un signal CV pour déclencher les enveloppes. Notez qu'en vous connectant à ces entrées, vous remplacez le déclenchement « normal » des enveloppes. Par exemple, si vous connectez une sortie de LFO à l'entrée Gate d'amplitude, vous ne pourriez plus déclencher d'enveloppe d'amplitude en jouant des notes, puisqu'elles sont à prisent contrôlees par le LFO. De plus, vous n'entendriez le déclenchement d'enveloppe par le LFO que pour les notes que vous maintainez enfoncées.
- Enveloppe d'amplitude
- Enveloppe de filtré

REASON
Chapitre 29
Sampler NN-XT
Introduction
Les fonctions de base du NN-XT sont très similaires à celles de son sampler associé dans le rack Reason, le NN-19 (voir "Sampler NN-19"). Comme pour le NN-19, le NN-XT vous permet de charger des samples et de créé des patches de plusieurs samples en affectant des samples sur le clavier. Le son peut alors être modifié grâce à un ensemble de paramètres complets de type synthétiseur. Il existe cependant des différences notables entre les deux. Le NN-XT dispose de :
Prise en charge des SoundFonts.
Les prépréglages et les samples des banques SoundFont peuvent être charges et utilisés dans le NN-XT (voir "Charger des SoundFonts").
8 paires de sortie stéréo.
Cela permet de router plusieurs samples vers différentes voies de mixage pour appliquer des effets individuellement (voir "Out (sorties)").
Possibilité de créé des sons superposés.
Cela s'effectue en affectant plusieurs samples à travers la même etendue du clavier (voir "Créer dessons superposés").
Possibilité de creator des sons ne se déclenchant qu'à travers certaines plages de velocité, des affectations de touches par velocité ou des fondus enchânîés de velocité.
Voir "Définir la plage de velocité d'une zone".
Affections de touche avec des réglages individuels de paramètres de synthétiseur pour chaque sample.
Voir "Les paramètres de synthétiseur".
Meme si le NN-XT est un lecteur de sample plus evolué que le NN-19, il ne doit pas etre considere comme son succesieur mais只是一个 complément. Le NN-19 restera par exemple le sampler de reference pour ceux d'entre vous qui souhaitent pouvoir charger rapidement quelques samples et commencer a les jouer, du fait que cela prend un plus de temps avec le NN-XT.
Créer des samples dans le NN-XT
La procédure de sampling est générique pour tous les modules permettant de creer des samples (NN-19, NN-XT, Redrum et Kong). Les procédures d'edition de sample et de sampling sont décrites en detail au chapitre "Sampling".
Pour réaliser le sample de votre propre son et le charger automatique dans le module NN-XT, cliquez sur le bouton Sample.

Reportez-vous au chapitre "Sampling" pour plus de détails sur la manière de configurer et d'utiliser la fonction sampling.
Aperçu du panneau
Panneau principal
Lorsque vous ajoutez le NN-XT dans votre rack, vous ne verrez au départ que le panneau principal.

Panneau principal du NN-XT.
Le panneau principal vous permet de charger des patches de sample complets. Il contient également les « boutons de contrôle globaux ». Il s'agit de boutons de contrôle qui affectent et modifient le son de patches entiers jusqu'à que de zones de jeu individuelles.
Le panneau Remote Editor
Pour afficher/masquer le panneau Remote Editor, utilisez la flèche de piage/dépliage en bas à gauche.

Le panneau Remote Editor you permit de charger des samples individuels, de creer des affectations de touches, de modifier le son des samples avec des parametes de synthetiseur, etc.
! Le panneau principal du NN-XT peut être relié comme tout autre module Reason. Notez que plier le panneau principal pliera également le panneau Remote Editor quel que soit son état actuel.
Charger des patches complets et des fichiers REX
Comme nous le signalions precedemment, vous pouze charger des patches de sample complets ainsi que des samples individuels dans le NN-XT.
- Un patch est un « ensemble de sons » complet. Il contient des informations sur tous les samples utilisés, les zones de jeu affectées, les réglages du panneau associés, etc. Le chargement d'un patch de sample s'effectue en utilisant le navigateur de patch du panneau principal qui fonctionne comme les autres modules de Reason.

Le bouton du navigateur de patch du panneau principal.
Pour savoir comment charger et enregistrer des patches, veuillez consulter "Chargement des patches" et "Enregistrement de patches".
- Charger des samples séparés s'effectue de la même façon, mais via le navigateur de samples sur le panneau Remote Editor. Si vous chargez des samples, les affectez à travers des étendues du clavier et configUREZ le son comme vous le souhaitez, vous pouvez enregisterv vos réglages sous forme de patch pour y acceder plus facilement ultérieurement.

Le bouton du navigateur de samples du Remote Editor.
Voutrouverez plus d'informations sur le chargement des samples plus loin dans ce chapitre.
Charger des patches NN-XT
Les patches NN-XT sont des patches créés spécifique pour le NN-XT. Reason fournit un grand nombre de patches NN-XT, certains dans la Factory Sound Bank mais la plupart dans l'Orkester Sound Bank. Les patches NN-XT ont une extension « .sxt »
Charger des patches NN-19
Les patches NN-19 ont une extension « .smp ». Notez que lorsque vous chargez des patches NN-19 dans le NN-XT, certains paramètres ne pourront pas s'appliquer du fait que les NN-19 et NN-XT ont parfois des contrôleurs différents l'un de l'autre. Dans ces cas, les paramètres concernés seront soit ignorés par le NN-XT soit affectés au contrôle le plus équivalent.
Charger des SoundFonts
Le format SoundFont a eté développé par E-mu systems en collaboration avec Creative Technologies. C'est un format de données standardisé contenant de l'audio numérique dans des tables d'ondes et des informations quant à la façon de les jouer depuis un synthétiseur à table d'ondes - généralement sur des cartes son. Le format SoundFont est un standard ouvert et il existe donc un grande nombre de banques SoundFont et de banques compatibles SoundFont développées par des tiers.
Le chargement de SoundFonts est identique à celui des patches NN-XT. Tout comme pour les patches NN-19, le NN-XT fait de son moyen pour afferter tous les réglages SoundFont aux paramètres NN-XT.
Voupuez charger des preréglages SoundFont en utilisant le navigateur de patch et des samples SoundFont individuels en utilisant le navigateur de samples.
Charger des fichiers REX completes comme patches
Les fichiers REX sont des fichiers créé par le logiciel ReCycle. Il s'agit d'une application créé par Propellerhead Software, utilisé pour faire des slices de boucles musicales et pour permettre de les rejouer à tout tempo. Dans Reason, les fichiers REX sont principalement utilisés par le lecteur de boucle Dr. Rex, mais ils peuvent être aussi bien utilisés dans le NN-XT. Les extensions possibles sont « .rx2», «.rcy » et «.rex».
Lorsque vous chargez un fichier REX, chaque slice dans le fichier est affectee a une touche, chromatiquement. Tous les parametes sont configurés sur leur valeur par défaut.
Lorsque vous utilisez des fichiers REX dans le lecteur de boucle DR. Rex, il est possible de faire en sortie qu'une piste joue les slices de façon à recreer la boucle originale. Obtenir le même résultat dans le NN-XT nécessite quelques étapes supplémentaires.
- Utilisez le navigateur de patch pour charger le fichier REX dans un sampler NN-XT.
- Créez un lecteur de boucle Dr. Rex et chargez le même fichier REX dans un emplacement de la boucle de ce module.
- Utilisez la fonction Copier la boucle sur la piste du Dr. Octo Rex pour creer des données de lecture (un groupe) sur la piste affectee au Dr. Octo Rex.
- Déplacez ce groupe sur la piste qui joue le NN-XT et jouez-le depuis cette piste.
- Supprimez le lecteur de boucle Dr. Octo Rex.
Utiliser le panneau principal
Tous les boutons de contrôle du panneau principal sont utilisés pour modifier globalement certains paramètres pour tous les samples d'un patch, de la même intensité.
! Les mouvements des paramètres du panneau principal peuvent être enregistrés comme automation. Cependant, cela n'est pas possible pour les boutons de contrôle du panneau Remote Editor (décrits plus loin) !
Ce qui suit est une description des boutons de contrôle et des paramètres du panneau principal.
Les roues de pitch et de modulation

La plupart des claviers MIDI sont équipés de roues de Pitch Bend et de modulation. Le NN-XT propose des réglages permettant de définir l'action des messages entrants MIDI de la roue de Pitch Bend et de modulation sur le son. Les roues du NN-XT reflètent également les mouvements des roues de votre clavier MIDI.
Si vous ne disposez par de boutons de contrôle du Pitch Bend ou de la modulation sur votre clavier, ou si vous n'utilise pas de clavier, vous pouvez utiliser les deux roues totallyment opérationnelles du NN-XT pour appliquer de la modulation et du Pitch Bend en temps réel.
- La roue de Pitch Bend est utilisé pour « courber » les notes jouées afin de modifier leur pitch - un peu comme lorsque l'on tord les cordes d'une guitare ou d'un autre instrument à cordes. L'étendue du Pitch Bend est définie dans le panneau Remote Editor (voir “Plage du Pitch Bend”).
- La roue de modulation peut être utilisée pour appliquer une modulation au son lorsque vous jouez. Elle peut également être utilisée pour contrôleer de nombreux autres paramètres, comme décrits dans “Les boutons de contrôle de la modulation”.
La roue de contrôle externe

Cette section peut être utilisé de trois façon :
Recevoir des messages de contrôle MIDI de sources externes
NN-XT peut receivevoir les messages de contrôle MIDI courants et les router vers plusieurs paramètres. Vous utilisez le bouton de sélection « Source » pour déterminer le type de message à receiveoir :
- Aftertouch (pression de canal)
- Pédale d'expression
- Contrôleur à souffle
Si vous clavier MIDI peut envoyer des messages d'aftertouch, et/ou si vous avez connecté une pédale d'expression ou un contrôleur à souffle dessus, vous pouvez les utiliser pour modifier les paramètres du NN-XT. Les paramètres devant être modulés sont définis dans le panneau Remote Editor (voir "Les boutons de contrôle de la modulation").
Enregistrer des messages de contrôle MIDI avec la roue
La roue de la section de contrôle exter ne peut etre utilise pour enregistrer l'un des trois ou les trois types de messages de contrôle MIDI dans le sequenceur Reason. Si vous clavier MIDI ne peut pas envoyer de messages d'aftertouch ou si vous n'vez pas acces à une pedale d'expression ou a un contrôleur a souffle, vous pouvez utiliser cette roue à la place.
Cela s'effectue comme pour tout autre enregistrement d'automation, voir "Enregistrement de l'automation du contrôleur de performance".
Interpolation haute qualité

Ce bouton (dés)active l'interpolation de haute qualité. Lorsqu'il est activé, le pitch du sample est calculé en utilisant un algorithme d'interpolation amélioré. Cela permet d'obtenir une meilleure qualité audio, notamment pour les samples ayant de nombreuses hautes fréquences.
- Cette fonction utilise plus de puissance de l'ordinateur, donc si vous n'en avez pas besoin, il vaut mieux la désactiver! Ecoutez lessons dans un certain contexte pour decide si ce réglage apporte ou non une amélioration.
Boutons de contrôle globaux

Tous ces potentiemètres modifiert la valeur de nombreux paramètres dans le panneau Remote Editor et affectent tous les samples charges. Ils peuvent ainsi être utilisés pour ajusterrapidement le son global.
Les potentiétres sont bi-polaires, ce qui signifie que lorsqu'ils sont centrés, aucune modification de paramètre n'est appliquée. En les tournant vers la croite, vous augmentez la valeur correspondante, et en les tournant vers la gauche, vous diminuez cette valeur.
Une fois encore, les mouvements de ces paramètres peuvent être enregistrés sous forme d'automation. Cela s'effectue comme pour tout autre enregistrement d'automation, voir "Enregistrement de l'automation des paramètres".
Les boutons de contrôle sont, de gauche à droite :
Filtre
Ces deux potentiamètres contrôlent chacun un paramètre du filtré (voir “La section Filtre”). Notez que le filtré doit être activé pour qu'ils aient unquelconque effet.
Fréquence
Modifie la fréquence de coupure du filtré.
Résonance
Modifie le paramètre de résonance du filtré, c'est à dire la caractéristique du filtré ou sa qualité.
Enveloppe d'amplitude
Ces trois potentiametres controlent l'enveloppe d'amplitude (voir "L'enveloppe d'amplitude") de la façon suivante :
- Attaque
Modifie la valeur d'attaque de l'enveloppe d'amplitude. C'est à dire le temps que le son met à atteindre son volume maximal après que vous avez appuyé sur une touche de votre clavier.
- Déclin
Modifie la valeur Déclin de l'enveloppe d'amplitude. Le déclin détermine le temps nécessaire au son pour revenir à son niveau de maintainen après qu'il a atteint sa valeur maximale (voir "L'enveloppe d'amplitude") alors que la touche qui a déclenché le son est maintainue enfonnée.
Relachement
Modifie la valeur de relâchement de l'enveloppe d'amplitude. Le relâchement fonctionne comme le déclin mais il détermine le temps nécessaire au son pour s'éteindre après que la touche a été relâchée.
Enveloppe de modulation
Ce potentiemetre controle la valeur de declin de l'enveloppe de modulation (voir "Enveloppe de modulation"). Reportez-vous également ci-dessus pour une brve description du declin.
Volume général
Contrôle le volume principal sortant du NN-XT. Tournez ce potentiametre vers la droite pour augmenter ce volume.
Aperçu du panneau Remote Editor
C'est dans le panneau Remote Editor que se déroule l'action principale du NN-XT, notamment si vous créez vos propres patches. Le Remote Editor s'attache essentiellement à l'affichage de l'affection des touches, partie sur laquelle nous allons nous concentrer également dans un premier temps.
L'affichage de l'affection des touches
L'affichage de l'affection des touches est constitué d'un certain nombre de zones distinctes qui vous permettent de réaliser différentes opérations. Pour vous aider à vous y retrouver dans cet affichage, ces zones sont décrites cidesous.

La zone d'information
Cette zone affiche les informations suivantes concernant le sample actuellément selectionné : fréquence de sample, informations mono/stéreo, résolution en bits et taille du fichier.
La zone de sample
Cette zone affiche les noms des samples dans chaque zone. Elle vous permet de modifier l'ordre des zones en cliquant dessus et en les faisant glisser vers le haut ou vers le bas.
La zone de groupe
Cette zone n'affiche aucune information. Cependant, enclinquent dessus, vous pouvez instantanement selectionner toutes les zones appartenant a un certain groupe. Voir "Travailler avec les groupes" pour plus d'informations quant a la creation de groupes.
La zone de clavier
En dehors du fait que cette zone sert de repère pour définiir des zones de jeu, elle est également utilisée pour désactiver les notes fondamentales et écouter les samples charges. Voir “À propos de la note fondamentale” et “Écouter les samples” respectivement pour plus d'informations.
La zone de barre d'onglet
Cette zone vous donne une indication visuelle de la zone de jeu d'une zone sélectionnée. Enclinquent et en déplaçant les « poignées » aux limites de la zone de jeu, vous pouvez redimensionner ces zones, et enclinquent entre les poignées, vous pouvez déplacer les zones de jeu sans modifier leur longueur.
La zone de jeu
Cette zone située au milieu de l'affichage de l'affection des touches permet de suivre toutes les zones et leurs relations. Vous pouvez également déplacer et redéfinir la taille des zones de la même façon que dans la zone de barre d'onglet décrite ci-dessus.
Les barres de défilament
Vous disposez de deux barres de défilament, une horizontal et une verticale, fonctionnant comme des barres de défilament habituelles. Lorsque l'affichage de l'affectation des touches comprend plus d'informations que ce qu'un « seul écran » peut afficher, vous pouze utiliser ces barres de défilament pour les afficher. Vous pouze soit cliquer sur les flèches, soit cliquer et déplacer les poignées des barres de défilament.
Paramètres de sample

Cette zone affiche les valeurs actuelles des paramètres fondamentaux que vous pouvez définir pour les zones, comme la note fondamentale, le mode de jeu, la sortie, etc. Vous pouze modifier les paramètres à l'aide des potentiamètres situés directement sous l'affichage de l'aftection des touches.
Paramètres de groupe

Ces paramètres sont ajustés sur la base de groupes (voir “Paramètres de groupe” pour plus d'informations sur les groupes). La plupart d'entre eux sont liés à la performance ou au style de jeu.
Paramètres de synthétiseur

La majeure partie des paramètres de Remote Editor est utilisé pour ajuster le son des samples en appliquant des filtrés, des enveloppées, de la modulation ( comme le vibrato et le trémolo) et ainsi de suite. Nous les appelons des paramètres de synthétiseur du fait qu'ils sont trèssemblables à ceux que l'on trouve sur un synthétiseur traditionnel.
À propos des samples et des zones
Pour une compréhension claire de la terminologie utilisé à l'occasion de la description des diverses opérations pouvant être effectuées dans l'affichage de l'affection des touches, il est important de désigner clairement un sample et une zone:
- Un sample est un extrait audio qui peut être charge dans le NN-XT et lu.
- Une zone peut être considérée comme un « contenant » d'un sample chargeé.
Tous les samples chargés sont placés dans des « zones » dans l'affichage de l'affection des touches. Vous pouvez alors organiser les zones à votre convenance et effectuer divers réglages comme ceux des zones de jeu et des plages de velocité séparément pour chaque zone.
En d'autres termes, les réglages que vous effectuez sont réellement appliqués sur les zones, mais affectent les samples qu'elles contiennent. De ce fait, lorsque nous parlons de réglages pour une zone, cela revient à faire des réglages pour un sample - le sample contenu dans la zone.
- Deux zones ou plus peuvent jour le même sample, mais avec des réglages de paramètres différents, rendant lessons totalement différents.
- Une zone peut être vide, ne jouantaucun sample.
Sélections et cible d'édition
Presque toutes les opérations dans le Remote Editor sont effectuées sur une ou plusieurs zones séLECTIONnées ou sur la zone de la cible d'édition. Plusieurs zones peuvent être sélectionnées en même temps, mais chaque une zone à la fois peut être la cible d'édition.
Cela est important pour les raisons suivantes :
- Les opérations d'édition qui peuvent être effectuées sur plusieurs zones ( comme la suppression), s'appliquent toujours aux zones sélectionnées.
- Les opérations d'édition qui ne peuvent être effectuées que sur une seule zone s'appliquent toujours sur la zone correspondant à la cible d'édition.
- Le panneau avant affiche toujours les réglages de la zone cible d'édition.

Ici, aucune zone n'est selectionnée.

Ici, la zone du milieu est selectionnée mais n'est pas la cible d'édition.

Ici, la zone du milieu est la cible d'edition mais n'est pas selectionnée. Notez la cordure plus épaisse et les poignées supplémentaires dans la zone de jeu.

Ici, la zone du milieu est selectionnée et correspond à la cible d'édition.

Ici, les trois zones sont selectionnées, mais celle du milieu est la cible d'edition.
Selectionner des zones
Pour selectionner une zone, cliquez dessus.
Cliquer sur une zone en fera également automatiquement la cible d'édition.
Voussouspoucez également sélectionner plusieurs zones de différentes façons :
En maintainant enfoncée la touche [Maj] ou [Ctrl](Win) ou [Cmd] (Mac) et en cliquant sur les zones que vous souhaitez sélectionner.
Ainsi, vous pouvez seLECTIONner plusieurs zones non contiguës. Vous pouvez également déslectionner une zone en cliquant à nouveau dessus.
En maintainant la touche [Ctrl](Win) ou [Cmd](Mac) enforcée et en appuyant sur [A].
Cela selectionnera toutes les zones dans l'affichage de l'aftection des touches. Pour déslectionner toutes les zones, cliquez sur une zone non occupée dans la colonne Sample ou sur la zone de l'aftection des touches.
En cliquant sur une boite de selection et en la déplaçant dans la zone de l'affection des touches.
La réalisation d'une boîte de sélection comme celle-ci...

...sLECTIONNE ces zones :

Notez qu'il n'est pas nécessaire d'entourer complètement les zones de la boîte de sélection. Il suffit que cette dernière traverse les zones en partie pour les inclure à la sélection.
Sélectionner des zones via MIDI
Vouse pouze eaglement selectionner des zones via suaive clavier MIDI. En cliquant sur le bouton « Selectionner des zones via MIDI » au-dessus de l'affichage de I'afctation des touches pour qu'il s'allume, vous activez la selection via MIDI.

De cette façon, vous pouvez selectionner une zone et en faire la cible d'edition en appuyant sur une touche quiappeient à la zone de jeu (reportez-vous plus loin dans ce chapitre pour Brokerir plus d'informations sur laconfiguration des zones de jeu).

Dans ce cas, cette zone peut etre selectionnee en appuyant sur une touche entre C2 et C3 sur notre clavier MIDI.
Notez également que la sélection via MIDI est sensible à la velocité. Les zones peuvent avoir des plages de velocité spécifique. Cela signifie qu'elles ne jouveront pas à moins que la touche qui déclenché la zone soit jouée avec une certaine velocité. Les mêmes règles s'appliquent lors de la sélection via MIDI; seules les zones qui replissent les critères de velocité sont sélectionnées. Vous en apprendrez plus sur le réglage des plages de velocité dans "Définir la plage de velocité d'une zone".
Selectionner toutes les zones d'un groupe
Le concept de groupes de zones est abordé dans son ensemble dans "Travailler avec les groupes". Pour le moment, nous ne décrirons que la façon de sélectionner tous les samples appartenant à un même groupe:
Clique dans la colonne Groupe....

...selectionne toutes les zones du groupe.

Déplacer la cible d'édition
Déplacer la cible d'édition
Une zone peut devenir la cible d'edition qu'elle que soit la sélection :
Lorsque you cliquez sur une zone non selectionnee, elle est selectionnee et devient la cible d'edition.
Lorsque vous selectionné plusieurs zones en utilisant [Maj] ou Ctrl ou [Cmd] (Mac), la dernière que vous avez selectionnée devient la cible d'édition.
Pour faire d'une zone la cible d'edition lorsque plusieurs zones sont déjà seLECTIONnées, cliquez dessus sans maintainir enfoncée aucune touche de modification.
Ainsi, you could replace the cable edition entre les zones selectionnées sans en déslectionner aucune.
Ajuster les paramètres
Ajuster les parametes de synthetiseur
Les paramètres de synthétiseur sont ceux qui occupt la majeure partie du panneau Remote Editor (voir "Paramètres de synthétiseur"). Les modifications faites sur les paramètres de synthétiseur s'appliquent toujours à toutes les zones sélectionnées.
Le panneau affiche toujours les réglages de la zone cible d'édition.
Nous reviendrons plus bas sur ce point.
Pour effectuer les réglages d'une zone, Sélectionnez-la (ce qui en fait également la cible d'édition) et ajustez le paramètre sur le panneau avant.
Pour définiir la même valeur à plusieurs zones, Sélectionnez-les et ajustez le paramètre.
Toutes les zones obtiendront la même valeur pour le paramètre que vous avez ajusté.
Ajuster des paramètres de groupe
Les paramètres de groupe s'appliquent à un groupe. Cela signifie que les réglages sont partagés par toutes les zones du groupe.
Pour effectuer des réglages pour un groupe, Sélectionnez une ou plusieurs zones appartenant au groupe et ajustez le paramètre sur le panneau avant.
Pour définitir la même valeur à plusieurs groupes, Sélectionnez au moins une zone dans chaque groupe que vous souhaitez ajuster et ajustez le paramètre.
Tous les groupes obtiendront la même valeur. Nous reviendrons plus bas sur ce point.
À propos des paramètres « en conflit »
Vous vous trouvrez souvent dans une situation où vous sélectionnez plusieurs zones et où les réglages de paramètres sont différents. C'est tout à fait normal. Par exemple, vous ferez souvent des réglages de volume et de filtrer pour équilibrer le son entre différents samples à travers le clavier. Cependant, si vous ave plusieurs sélections cela peut parfois préter à confusion: Saisissez l'indication « paramètres en conflit » de NN-XT :
Lorsque deux zones ou plus selectionnées ont des réglages de paramètres en conflit, NN-XT vous l'indiquera en affichtant un petit symbole « M » (pour multiple) à côté du paramètre.

Dans cet exemple, Niveau et Élargissement ont des réglages en conflit.
Les boutons de contrôle sur le panneau affichent always les réglages de la zone cible d'édition.
En cliquant sur les différentes zones de la seLECTION, vous pouvez voir les réglages de chaque zone.
Si vous ajustez un paramètre, toutes les zones selectionnées seront définies sur la même valeur pour ce paramètre.
Voutrouvrez cette fonctionnalité très pratique lorsque vous vérifierez comment un patch a été créé et lorsque vous vérifierez que vos propres réglages sont cohérents à travers les différentes zones.
Paramètres de sample
Les paramètres de sample vous permettent de définir diverses propriétés pour une ou plusieurs zones sélectionnées, comme la tonalité, la zone de jeu et la plage de velocité.

Pour que plusieurs zones obtiennent la même valeur, Sélectionnez-les et ajustez le paramètre.
Toutes les zones obtiendront la même valeur pour le paramètre que vous avez ajusté.
Copier des paramètres entre les zones
Vou puez facilement copier les réglages de paramètres d'une zone vers n'importe quelles autres zones. Procedez de la façon suivante :
- Sélectionnez toutes les zones que vous poulez intégrer à l'opération,
c'est-à-dire la zone avec les réglages que vous poulez copier et la ou les zone(s) vers lesquelles vous poulez copier ces réglages. - Assurez-vous que la zone qui contient les réglages que vous souhaitez copier est la cible d'édition.
- Déroulez le menu Édition ou le menu contextuel du NN-XT et Sélectionnez « Copier les paramètres vers les zones sélectionnées »
Toutes les zones sélectionnées ont à prisent les mêmes réglages de paramètres.
! Notez queILA ne s'applique qu'aux parametes de synthetiseur (voir "Les parametes de synthetiseur"). Les parametes de sample (note fondamentale, plaque de velocite, etc.) ne peuvent pas etre copies.
Gérer les zones et les samples
Créer une affection de touches
Lorsque you ajouter un sampler NN-XT dans le rack, son affichage de l'affectation des touches est always vide.
C'estàdirequ'ilnecontientaucoun sample.
Pour creer une nouvelle affecation des touches, procedez de la façon suivante :
- Cliquez sur le bouton Parcourir les samples ou selectionner Parcourir les samples dans le menu Edition ou dans le menu contextuel du NN-XT.
Cela fera apparaitre le navigateur de fichiers classique.

Le bouton Parcourir les samples.
- Sélectionnez le sample ou les samples que vous souhaitez charger dans le navigateur et cliquez sur « OK »
Le(s) sample(s) sélectionné(s) sont charges dans le NN-XT.
Lorsque de nouveaux samples sont charges dans le NN-XT ils ont les propriétés suivantes :
- Chaque sample est placé dans sa propre zone.
- Chaque zone occupe une zone de jeu de cinq octaves sur le clavier - C1 à C6.
- Tous les nouveaux sample(s)/zones ajoutés sont automatiquement sélectionnés.
- La première zone ajoutée devient la cible d'édition.

Affectation de touches avec quatre samples nouvellement ajoutés.
Régler les notes fondamentales et les zones de jeu
L'etape suivant le chargement des samples consiste généralement à ajuster la zone de jeu, la note fondamentale et tonalité des samples, pour que leur lecture fasse sens dans la zone de jeu. Les nombreuses façon de procéder sont décrites aux pages "Travailler avec les zones de jeu" et suivantes. Cependant, nous décrirons rapidement ici une procédure pour créé rapidement une affectation de touches complète à partir d'un ensemble de samples charges.
Cet exemple suppose que les samples que vous avez chargés sont un ensemble de multisamples pour un instrument à pitch comme une guitare, un piano, une flûte, etc.
- Chargez les samples.
- Utilisez « Tout sélectionner » dans le menu Édition pour sélectionner tous les samples charges.
- Utilisez « Définir les notes fondamentales avec la détéction de pitch » pour définir automatiquement les notes fondamentales (pitches) des samples.
- Sélectionnez « Affector automatiquement les zones » dans le menu Édition.
Toutes les zones selectionnées sont automatiquement organises dans une affection de touches de base. Vous pouvez à présent ajuster les réglages des paramètres de synthétiseur sur le panneau avant pour façonner le son !
À propos des formats de fichiers et de slices REX
Le NN-XT peut importerer différents types de samples :
Fichiers Wave standard
Ils ont l'extension « .wav ». C'est le format de fichier audio standard de la plate-forme PC. Tout editor audio ou des sample, qu'elle que soit la plate-forme, peut dire et creer des fichiers audio au format Wave. Il supporte toute fréquence de sample et quasiment toute résolution.
- Les fichiers AIFF standard
Ils ont l'extension «.aif » et sont le format de fichier audio standard de la plate-forme Mac. À nouveau, tout éditeur audio ou de sample peut生存 et creer des fichiers audio à ce format. Il supporte toute fréquence de sample et quasiment toute résolution.
- Les samples SoundFont
Il s'agit d'un format de données standardisé contenant de l'audio numérique à table d'ondes et des informations sur comment le litre dans un synthétiseur à table d'ondes - typiquement une carte audio. Les banques SoundFont sont organises hierarchiquement dans différentes catégories : les samples d'utilisateur, les instruments, les préroglages, etc. Le NN-XT vous permet de charger des samples individuels dans une banque SoundFont.
- Les fichiers de slices REX
Une slice est un fragment de son dans un fichier REX (voir "Charger des fichiers REX complets comme patches"). Pour importer une slice REX, cherchez un fichier REX et ouvre-le comme s'il s'agissait d'un dossier. Le navigateur affichera alors les slices sous forme de fichiers dans ce « dossier ». Dans la suite de ce manuel, lorsque nous ferons reférence à l'importation de samples, tout ce qui sera dit s'appliquera également aux slices REX.
Ajouter plus de samples à l'affection de touches
Voussoupiezajouterdesamplessupplémentairesauneaffectationde touchesde lamaniereindiquee precedemment.
1. Assurez-vous qu'aucun sample precedemment charge n'est la cible d'edition.
Si vous ne le faites pas, il y a un risque que le sample sélectionné soit remplace, voir plus bas. Pour supprimer la cible d'edition, cliquez sur une zone vide dans la colonne Sample ou dans la zone de l'affection des touches.
2. Ouvrez le navigateur de samples.
3. Sélectionnez le ou les samples que vous souhaitez charger dans le navigateur et cliquez sur « OK »
Le(s) nouveau(x) sample(s) est/sont ajoute(s) à l'affection des touches.
Remplacer un sample
Pour remplaçer un sample dans une zone,procédez de la façon suivante :
- Assurez-vous que la zone est la cible d'edition et faites l'une des actions suivantes :
Cliquer sur le bouton Parcourir les samples.
Sélectionner Parcourir les samples dans le menu Édition ou dans le menu contextuel du NN-XT.
Double-cliquez sur la zone.
N'importe laquelle de ces méthodes ouvrira le navigateur standard dans lequel vous pouvez seLECTIONner un nouveau sample pour la zone.
- Sélectionnez un sample, et un seul, dans le navigateur de samples.
Si vous scélectionné plus d'un sample dans le navigateur, les samples que vous chargerez ne remplaceront pas celui qui est la cible d'édition. Ils seront simplement ajoutés en dessous.
Parcours rapide des samples
Si vous voulez parcourir rapidement un grand nombre de samples, pour voir par exemple lequel correspond le mieux à un certain contexte, procédez de la façon suivante:
- Configurez la zone comme vous le souhaitez et assurez-vous qu'elle correspond à la cible d'édition :
- Utilisez les boutons en forme de flèches dans la section Parcourir les samples pour sélectionner le sample suivant/précedent dans le réseau.
Supprimer des samples
Pour supprimer un sample d'une zone, selectionnez-le en cliquant dessus puis selectionnez « Supprimer les samples » dans le menu Édition ou le menu contextuel du NN-XT.
Cela supprimera le sample de la zone, la laissant vide. Notez que vous pouvez supprimer des samples de plusieurs zones selectionnées en même temps.
Écouter les samples
You pouvez écouter les samples charges de deux façon :
En appuyant sur la touche Alt ou Option et en cliquant sur un sample dans la colonne Sample.
Le pointeur de la souris prendra la forme d'un symbole de haut-parleur lorsque vous le déplacerez dans la colonne Sample.
Cliqueur sur un sample le lira alors a son pitch fondamental (voir "À propos de la note fondamentale"). De plus; le sample sera lu dans son etat non traité. C'est à dire sans aucun paramètre de synthétiseur (voir "Les paramètres de synthétiseur").
En appuyant sur la touche Alt ou Option et en cliquant sur un sample dans la colonne du clavier.
La différence ici est que vous entendrez le sample au pitch correspondant à la touche sur laquelle vous cliquez et avec tous les traitements appliqués. Le click correspond à une touche jouée à la velocité de 100. Notez également que cela peut déclencher plusieurs samples, en fonction de la façon dont ils sont répartis (à travers les mêmes zones de jeu ou des zones de jeu superposées) et des réglages de la plage de velocité (voir "Configurer les zones de jeu" et "Définir la plage de velocité d'une zone" respectivement).
Ajouter des zones vides
Vous pouvez ajouter des zones vides à une affection des touches. Les zones vides sont traitées comme des zones contenant des samples, en cela qu'elles sont sélectionnées automatiquement, deviennent la cible d'édition et sont affectées à une zone de jeu de cinq octaves lorsqu'elles sont créées. Cependant, vous ne pouvez ajouter qu'une zone à la fois. Il est également possible de redimensionner, de déplacer et d'éditer les zones vides de la même façon que pour les zones contenant des samples.
Pour ajouter une zone vide, déroulez le menu Édition ou le menu contextuel du NN-XT et sélectionnez « Ajouter une zone »
Une zone vide est ajoutée sous n'importe qu'elle zone existante dans l'affectation des touches. Une zone vide est indiquée par le texte « Aucun sample »
Après avoir ajouté une zone vide, vous pouvez y affecter un sample, comme lorsque vous remplacez un sample, ou lorsque vous faites un parcours rapide, comme déscrit précédemment.
Dupliquer des zones
Vou puez dupliquer n'importe quel nombre de zones existantes (contenant des samples ou vides).
- Sélectionnez la ou les zone(s) que vous pouze copier.
- Sélectionnez « Duplier les zones » dans le menu Édition ou dans le menu contextual du NN-XT.
Les zones selectionnées sont alors copiees et automatiquement insérées sous la dernière zone dans l'affichage de l'affection de touches.
Les zones dupliquées contiennent des références aux mêmes samples que les zones originales. Elles ont également les mêmes tessitures et réglages de paramètres.
Utiliser copier et coller
La fonction Copier les zones dans le menu Édition vous permet de copier toutes les zones séLECTIONnées dans le presse-papier. Sélectionner Coller les zones dans le menu Édition collera les zones dans le module NN-XT sélectionné, sous les zones existantes.
Cela est pratique pour transférer des zones (avec tous leurs réglages) depuis un module NN-XT vers un autre.
Supprimer des zones
Pour supprimer une ou plusieurs zones, selectionnez-les et faites l'une des opérations suivantes :
Appuyez sur la touche [Suppr] or [Retour arrêté] de votre clavier d'ordinateur.
→ Sélectionnez « Supprimer les zones » dans le menu Édition ou dans le menu contextuel du NN-XT.
Lorsque you supprimez des zones, you supprimez également les samples qu'elles contiennent.
Réarranger les zones dans la liste
Pour déplacer une zone à un autre emplacement de la liste,clinquez dessus dans la colonne Sample et déplacez-la vers le haut ou vers le bas.
Un contour you montre l'endetroit où la zone apparaitra lorsque you relacherez le bouton de la souris.
Travailler avec les groupes
A propos des groupes
Le groupement à deux fonctions :
→ Cela vous permet de sélectionner rapidement plusieurs zones qui « vont Ensemble »
Par exemple, si vous avez créé un son superposé constitué de piano et de cordes, vous pouvezmettre tous les samples de cordes dans un groupe et tous les samples de piano dans un autre groupe. Vous pouvez ensuite sélectionner tous les samples de piano et effectuer des réglages en ajustant un paramètre.
→ Cela vous permet de groupe des zones qui doivent partager les mêmes réglages de groupe.
Par exemple, vous pouvez définir un groupe pour le legato et le mode monophonique et ajouter du portamento pour pouvoir jouer une partie dans laquelle vous glissez entre les notes.
Notez qu'il y a toujours au moins un groupe, puisque les zones que vous creez sont toujours groupées ensemble par défaut.
Créer un groupe
- Sélectionnéz les zones que vous voulez grouper.
Il n'est pas nécessaire que les zones soient contiguës pour pouvoir être groupées. Quelle que soit leur position d'origine dans la colonne des samples, elles sont toutes réunies les unes à la suite des autres.
- Sélectionnez « Grouper les zones séLECTIONnées » dans le menu Édition ou le menu contextuel du NN-XT.
Les zones sont groupées.
Selectionner ces zones et les grouper...

...creera deux groupes à la place du grand groupe d'origine.

Déplacer un groupe à un autre emplacement de la liste
Cliquez sur le groupe dans la colonne Groupes et déplacez-le vers le haut ou vers le bas en maintainant enforcé le bouton de la souris.
Un contour du groupe que vous déplacez est superposé à l'affichage pour vous aider à le déplacer à l'emplacement souhaité.

Déplacer un groupe à un nouvel emplacement.
- Relâchéz le bouton de la souris à l'emplacement souhaité.
Le groupe et toutes ses zones apparait au nouvel emplacement.
Déplacer une zone d'un groupe à un autre
Cela s'effectue comme lorsque l'on réarrange les samples dans la liste, déscrit à la page précédent. La seule différence est que vous déplacez la zone d'un groupe à l'autre.
Selectionner un groupe et/ou des zones d'un groupe
Cliquer sur un groupe dans la colonne des groupes selectionné le groupe et toutes les zones qu'il contient.

Cliquer sur une zone dans la colonne des samples selectionné le groupe (et cette zone).

Les paramètres de groupe
Certains paramètres du panneau avant ne s'appliquent qu'aux groupes. Voir "Paramètres de groupe" pour plus de détails.
Travailler avec les zones de jeu
À propos des zones de jeu
Chaque zone peut avoir sa propre zone de jeu, la touche la plus BASSE et la plus haute qui déclencheront le sample.
Un bon exemple d'utilisation est lorsque vous samplez un certain instrument. Sampler un piano par exemple est généralement effectué en faisant divers enregistements des différentes notes à intervalles rapprochés et en affectant ces samples à des zones de jeu séparées, continues et assez restreintes. Ce concept est appelé multi-sampling.
La raison à cela est que si un seul sample est joué à travers tout le clavier, il sonnera très certainement de façon étrange lorsque vous le jouerez trop loin de son pitch d'origine, du fait que la transposition d'un son doit être très limitée pour ne pas affecter le timbre d'un son.
Configurer les zones de jeu
You pouvez ajuster la zone de jeu des zones de différentes façon :
En déplaçant les poignées aux extrémités de la zone
- Sélectionnez la zone dans la zone de jeu.
- Cliquez sur l'une des poignées qui apparait à chaque extrémité.
3. Déplacez la poignée vers la croite ou vers la gauche.
Des lignes pointillées s'etendent des extrémités des zones jusqu'à dans la zone du clavier. Ces lignes vous donnent une indication visuelle des notes que comprendra la zone de jeu. Une indication alphanumeric est également disponible dans le coin inférieur gauche de l'affichage.
Cliquez sur la poignée de limite de la note aiguè d'une zone avec la zone de jeu par défaut de C1 - C6...

...pour modifier la zone à C1 - C2.

- Repetez la Procedure avec autant de zones que vous le souhaitez pour creer une affectation de touches complete.
En utilisant les boutons de contrôle Lo Key et Hi Key
Immédiatement sous la zone de l'affection des touches, vous trouvez les paramètres de sample. Ils sont utilisés pour modifier divers paramètres qui affectent la façon dont les zones sont jouées. Ils peuvent affecter une ou plusieurs zones sélectionnées. Dans la partie centrale de la zone des paramètres de sample se trouvent deux potentiamètres appelés « Lo Key » et « Hi Key »

On peut les utiliser pour définir la note inférieure et la note supérieure d'une zone de jeu.
1. Assurez-vous que la zone dont vous voulez définir la zone de jeu est sélectionnée.
2. Utilisez les boutons Lo Key/Hi Key pour modifier la zone de jeu.
Vérifiez l'affichage au-dessus des potentiemêtres pour avoir une indication de la note. Vous pouze également garder un œil sur les lignes qui s'étendent des limites de la zone jusqu'à la zone du clavier.
Définir des zones de jeu pour plusieurs zones
Vousspuvezdefinirdeszonesdejeu pourplusieurs zonesselectionnéessimultanement.Cela ne peutetreeffectue qu'enutilisantlesboutonsdecontroleLoetHiKey.Ifonctionne de la maniere suivante:
Si vous avez trois zones selectionnées qui ont chacune des notes supérieures différentes et que vous tournez le potentiametre Hi Key, cela leur donnea automatquement la meme valeur Hi Key que celle de la zone cible d'edition.
En d'autres termes, si la zone sélectionnée qui est la cible d'édition a sa note supérieure définie sur C4 et que vous la modifiez sur D4 en tournant le potentiamètre Hi Key, toutes les autres zones sélectionnées seront également étendues à D4 pour leur note supérieure.

Si la note inférieure de l'une des zones selectionnées est supérieure à la note supérieure de la zone qui est la cible d'edition avant de tourner le potentiametre Hi Key, la zone de jeu sera descendue d'un demi-ton, en partant du réglage de la note inférieure.
La note supérieure ne peut bien entendu pas etre definie sur une valeur inférieure a un demi-ton supérieur au réglage de la note inférieure - autrement, la zone disparaître !
L'inverse est également vrai - c'est-à-dire que tourner le potentiametre Lo Key pour plusieurs zones selectionnées appliquera le réglage de note inférieure de la zone correspondant à la cible d'edition à toutes les zones selectionnées.
Un note inférieure ne peut jamais être définie sur une valeur supérieure à un demi-ton en dessous de la note supérieure ; aussi, si la zone cible d'edition a une note inférieure supérieure à la note supérieure d'une autre zone, l'autre zone sera diminuée d'un minimum d'un demi-ton.
En déplaçant les poignées de limites de zone dans la barre de l'onglet
Comme décrit précédemment, la zone située juste sous la zone de clavier est appelée la barre de l'onglet. Elle affiche la zone de jeu de la zone actuellesment sélectionnée et contient également des poignées de limites.

Déplacer une poignée de limite dans la barre de l'onglet.
Ces poignées peuvent être utilisées pour le même effet que lorsque l'on déplace les poignées de limites dans l'affichage de l'affection des touches. Cependant, les poignées de la barre de l'onglet peuvent modifier la zone de jeu de plusieurs zones en même temps.
Les points suivants s'appliquent :
- La barre de l'onglet affiche la zone de jeu pour la zone cible d'édition.
- Déplacer les poignées de limites de la zone modifiera simultanément les zones de jeu de plusieurs zones alentour si :
La note supérieure ou inférieure (en fonction de la poignée que l'on déplace) des autres zones sont les mêmes que celle de la zone cible d'édition.
Les autres zones sontAdjacentes à la zone cible d'édition.
! Notez queILA n'a pas d'importance que les autres zones soient selectionnées ou non. Elles seront affectees quoi qu'il en soit.

Dans l'exemple de l'image ci-dessus, la zone du milieu est la cible d'édition. Sa poignée gauche (note inférieure) est placée différemment de celle des autres zones, mais toutes les zones ont le même réglage de note supérieure. Cela signifie que...
- Déplacer la poignée de gauche modifiera uniquement l'emplacement de la note inférieure de la zone cible d'edition (les images montrent l'emplacement avant et après le déplacement de la poignée).


- Déplacer la poignée droite modifiera la note supérieure de toutes les zones en même temps, du fait qu'elles ont toutes le même emplacement de note supérieure (à nouveau, l'image montre l'emplacement avant et après le déplacement de la poignée).


Déplacer des zones en déplaçant les boîtes de zone
Vou puez également déplacer des zones horizontally, et de ce fait modifier leur zone de jeu.
- Sélectionnez toutes les zones que vous souhaitez déplacer.
Vous pouvez déplacer plusieurs zones simultanément. - Pointez le curseur de la souris sur n'importe qu'elle zone selectionnee et cliquez.
- Déplacez la souris vers la droite ou vers la gauche et relâchez le bouton.

Déplacer plusieurs zones.
Déplacer les zones en déplaçant la barre de l'onglet
Vouss pouvez également déplacer une zone en la déplaçant entre les poignées de limites de la zone de la barre de l'onglet. Lorsque vous procéderez ainsi, les zones adjacentes seront affectées comme lorsque vous déplacez les poignées de limites de la barre de l'onglet (voir plus haut).
Cela peut être utilisé pour « faire glisser » une zone en fonction des zones adjacentes, comme l'image de l'exemple cédssous le montre (avant et après le déplacement).


À propos de la fonction Verrouiller les notes fondamentales

Normalement, lorsque vous déplacez des zones ( comme déscrit précédemment), la note fondamentale de(s) zone(s) que vous déplacez change également. En d'autres termes, la/les zone(s) sera/seront transposée(s). Si ce n'est pas ce que vous souhaitez, vous pouze activer la fonction Verrouiller les notes fondamentales avant de déplacer la/les zone(s) en cliquant sur le bouton au-dessus de l'affichage de l'affection des touches.
Déplacer des zones sans modifier leur note fondamentale permet d'obtenir des effets intéressants, du fait que cela modifiera complètement le timbre du/des sample(s) lors de leur lecture.
À propos de la fonction Sample en mode solo

La fonction Sample en mode solo vous permet de jourer un sample sélectionné sur toute l'étendue du clavier quel que soit le réglage de la plage de velocité affectée au sample. Tous les autres samples charges sont temporairement rendus muets.
Ceci est utile si vous souhaitez par exemple vérifier àquelle distance de sa note fondamentale un sample peut être joué sur le clavier avant de produit un son « non naturel ». La fonction Sample en mode solo s'avère alors très utile pour définiir les zones de jeu décrites dans “Configurer les zones de jeu”.
- Sélectionnez une ou plusieurs zone(s), ou - si vous avez une seLECTION de plusieurs zones - assurez-vous que cette que vous souhaitez entendre est la cible d'édition.
- Activer le Sample en mode solo en cliquant sur le bouton pour qu'il s'allume.
- Jouez sur le clavier MIDI.
Trier les zones par note
Le menu Édition et le menu contextuel du NN-XT contiennent un élément appelé « Trier les zones par note ». Cette option vous permet de trier automatiquement les zones sélectionnées en ordre décroissant en fonction de leurs zones de jeu.
Lorsque you utilisez cette option, les zones selectionnées sont triées de haut en bas dans l'affichage, en commençant par celle qui a la tessiture la plusasse.
Notez cependant que ce tri es effectue strictement sur une base de groupe. Cela signifie que seules les zones appartenant à un même groupe peuvent etre triées lesunes par rapport aux autres.


Avant et après le tri.
Si deux zones ont la même zone de jeu, elles sont triées en fonction de leur plage de velocité.
Définir les notes fondamentales et la tonalité
A propos de la note fondamentale
Tous les sons des instruments ont un pitch inherent. Lorsque vous jouez un sample d'un tel son sur le clavier, les notes que vous jouez doivent correspondre à ce pitch. Par exemple, vous pouze enregistrer un piano jouant la note « C3 ». Lorsque vous l'affectez sur l'affection des touches du NN-XT, vous devez effectuer vos configurations de telle façon que le sampler puisse jouer ce sample au pitch original lorsque vous appuyez sur la touche C3.
Cela s'effectue en ajustant la note fondamentale.
De nombreux fichiers de sample de sources diverses ont une note fondamentale définie dans le fichier. Si c'est le cas, la note fondamentale sera automatiquement définie lorsque vous chargerez ce sample dans une zone.
Cependant, si le sample n'a pas de note fondamentale stockée dans le fichier (si vous avez par exemple enregistré vous-même ce sample), vous devrez le régler.
Définir la note fondamentale manuellement
Pour définit la note fondamentale d'une zone, procédez de la façon suivante :
Assurez-vous que la zone est la cible d'edition (par exemple, cliquez dessus) et faites l'une des opérations suivantes:
Utilisez le potentiometre « Root » dans la zone de parametes de sample sous l'affichage.
Le tournier vers la droite augmentera le pitch de la note fondamentale. La note seLECTIONnée est affichée de façon alphanumérique directement sous le potentiamètre, et vous pouvez également regarder la zone de clavier pour une indication visuelle (voir ci-dessous).

Appuyez sur la touche [Ctrl] (Windows)ou [Command] (Mac) et cliquez sur la note fondamentale souhaite dans la zone de clavier.
La note fondamentale définie est grisée pour que vous puissiez facilement la distinguuer.

Accorder les samples manuellement
En plus de définir la note fondamentale, vous pourriez avoir besoin de régler précisément vos samples, de façon à les faire correspondre à d'autres instruments et/ou entre eux:
Assurez-vous que la zone est la cible d'edition (par exemple, cliquez dessus).
Utilise le potentiometre « Tonalité » dans la zone de paramètres de sample.
Cela vous permet d'accorder finement le sample dans l'affection des touches de + / - la moitié d'un demi-ton (- 50 - 0 - 50).

Définir la note fondamentale et la tonalité en utilisant la détéction de pitch
Le NN-XT dispose d'une fonction de détention du pitch qui vous aide à définir les notes fondamentales. Cela est utile si vous chargez par exemple un sample que vous n'avez pas enregistré vous-même et pour lequel vous n'avez aucune information sur le pitch d'origine.
Procedez de la façon suivante :
- Sélectionnez toutes les zones auxquelles vous souhaitez appliquer la détction de pitch.
- Déroulez le menu Édition ou le menu contextuel du NN-XT et sélectionnez « Définir les notes fondamentales à partir de la détéction de pitch »
Les samples de toutes les zones sélectionnées sont alors analysés et les notes fondamentales détectées sont automatiquement définies.
! Notez que pour que cela fonctionne correctement, les samples doivent avoir une forme de pitch perceptible. S'il s'agit du sample d'un discours ou d'une caisse claire par exemple, il n'y a probablement pas de pitch perceptible.
À propos de la modification du pitch des samples
Les procédures précédentes devraient être utilisées pour vous assurer que les samples sont régulièrement « pitches
» à travers le clavier et qu'ils correspondent tous à une référence absolue (par exemple la tonalité A 440).
Si vous avez besoin d'accorder les samples pour les faire correspondre à d'autres éléments, ou pour obtenir un certain effet (par exemple désaccorder deux sons entre euxs pour un effet chorus) vousdezutiliser la section Pitch parmi les parametes de synthetiseur et non pas les parametes de tonalité du sample.
Utiliser l'affection automatique
La fonction d'aftection automatique peut être utilisée pour creer rapidement une affectation de touches ou pour effectuer d'autres réglages sur une affectation de touches.
L'affection automatique fonctionne dans l'hypothèse où vous souhaitez créé une affectation de touches pour un instrument complet, par exemple plusieurs samples d'un piano, tous à des pitches différents.
- Chargez les samples que vous souhaitez affecter automatiquement.
Considerer que l'information de note fondamentale des fichiers est déjà correcte.
Ajuster manuelles le notes fondamentales (et la tonalité) pour tous les samples.
Utilize « Définir les notes fondamentales à partir de la détéction de hauteur » pour définir automatiquement les notes fondamentales.
2. Sélectionnez toutes les zones que vous souhaitez affecter automatiquement.
3. Sélectionnez Affector automatiquement les zones dans le menu Édition ou dans le menu contextuel du NNXT.
Toutes les zones sélectionnées sont alors automatiquement organises de la façon suivante :
Les zones sont triées dans l'affichage (de haut en bas - en commencerant par la note la plus BAS) en fonction des notes fondamentales.
Des tessitures sont affectées aux zones en fonction des notes fondamentales.
Les tessitures sont définies de telle sorte que la division entre deux zones soit l'exact milieu entre les notes fondamentales de ces zones. Si deux zones ont la même note fondamentale, elles se voient affecter la même tessiture.
Affecter automatiquement les zones chromatiquement
Cet élément du menu Édition donne à chaque zone une zone de jeu d'un demi-ton (c'est-à-dire. d'une touche), en partant de C2 puis en montant.
Cette fonction ne prend pas la note fondamentale en compte. Elle place simplement chaque sample sélectionné sur les touches successives en fonction de leur emplacement dans la liste des samples (de haut en bas).
Sons superposés, en fondu enchâné et échangés par velocité
Créer des sons superposés
Vouss pouvez faire en sorte que deux zones ou plus aient des zones de jeu superposées - soit complètement soit partiellement. Ainsi, vous creez des sons superposés, c'est-à-dire que différents samples sont joués simultanément lorsque vous appuyez sur une touche de votre clavier.

Dans l'image ci-dessus, vous pouvez voir un ensemble de samples de piano en haut, affectés sur la zone de jeu.
En dessous, se trouve un ensemble de samples de cordes qui s'étend également sur toute la zone de jeu.
Quelle que soit la touche que vous jouez sur cette zone de clavier, le son produit sera une combinaison de sample de piano et de cordes.
De plus, dans l'exemple ci-dessus, l'utilisateur a arrangé les samples de piano dans un même groupe et les samples de cordes dans un autre. Cela est utile car cela permet de selectionner rapidement l'affection complète du piano pour par exemple ajuster son niveau par rapport à celui des cordes.
A propos des plages de velocité
Lorsque des zones sont définies de telle sorte que leur zone de jeu est superposée - complètement ou partiellement - vous pouvez utiliser le basculement par velocité et le fondu enchaîné pour déterminer celle zone sera lue en fonction de la force avec laquelle vous jouez sur votre clavier MIDI.
Cela s'effectue en configurant les plages de velocité, avec ou sans fondu enchâné.
Chaque fois que vous appuyez sur une touche de votre clavier MIDI, une valeur de velocité compte entre 1 et 127 est envoyée à Reason. Si vous appuyez délicatement sur la touche, une valeur de velocité faible est envoyée et si vous appuyez plus fortement, une valeur de velocité haute est envoyée.
Cette valeur de velocité détermine quels samples seront joués et quels autres ne le seront pas.
Par exemple, supposons que vous avez affecté trois zones différentes dans la même zone de jeu:
La zone 1 a une plage de velocité de 1-40.
Cela signifie que le sample qu'elle contient sera déclenché par des valeurs de velocité comprises entre 1 et 40.
- La zone 2 a une plage de velocité de 41-80.
Le sample de cette zone sera lu par des valeurs de velocité comprises entre 41 et 80.
La zone 3 a une plage de velocité de 81-127.
Le sample de cette zone sera déclenché par toutes les valeurs de velocité supérieures à 80.

Superposer des plages de velocité
Modifions légèrement les valeurs de velocité précédentes :
- La zone 1 a une plage de velocité de 1-60.
La zone 2 a une plage de velocité de 41-100.

- La zone 3 a une plage de velocité de 81-127.
A present, les valeurs de velocité entre 41 et 60 déclencheront les samples des deux zones 1 et 2. De même, les valeurs de velocité entre 81 et 10 déclencheront les sons des zones 2 et 3.
À propos des plages de velocité complètes et partielles
Yououpouvez voirquelles zones ont desétendues de velocité modifiées dans l'affichage de l'affection des touches :
- Les zones avec une plage de velocité complète (0 - 127) sont affichées avec un contour.
- Les zones avec une autre plage de velocité sont hachurées.

La zone supérieure a une plage de velocité complète (1-127), et la zone inférieure une plage de velocité partielle (toute autre étendue), indiquée par des hachures
Trier les zones par valeurs de velocité
Le menu Édition et le menu contextual du NN-XT contiennent un élément appelé « Trier les zones par velocité ». Cette option vous permet de trier automatiquement les zones sélectionnées dans l'affichage en ordre décroissant en fonction de leurs valeurs de velocité supérieure ou inférieure définies.
Lorsque you utilisez cette option, les zones selectionnées sont triées de haut en bas, en commençant par celle qui a la plus haute valeur « Lo Vel » (velocité inférieure).
Notez cependant que ce tri est effectué strictement sur une base de groupe. Cela signifie que seules les zones appartenant à un même groupe peuvent être triées lesunes par rapport aux autres.
Si deux zones ont la même plage de velocité, elles seront triées en fonction de leur zone de jeu.
Définir la plage de velocité d'une zone
Pour configurer la plage de velocité d'une zone, procédez de la façon suivante :
- Sélectionnez une ou plusieurs zones que vous souhaitez ajuster.
- Utilisez les potentiamétres « Lo Vel » et « High Vel » dans la zone de paramètres de sample pour définir les valeurs de velocité inférieure et supérieure souhaitées.

Ajuster la valeur « Lo Vel » d'une zone.
« Lo vel » est la plus petite valeur de velocité qui déclenchera le sample de la zone - c'st-à-dire que si vous appuyez sur une touche si doucement que sa velocité est inférieure à cette valeur, le sample ne sera pas joué.
« Hi vel » est la plus grande valeur de velocité qui déclenchera le sample, ce qui signifie que si vous appuyez sur une touche si fort que sa velocité est supérieure à cette valeur, le sample ne sera pas joué.
À propos du fondu enchâné entre les zones
Dans le coin inférieur droit de la zone de paramètres de sample se trouvent deux potentiamètres « Fondu en entrée » et « Fondu en sortie ». Ils sont utilisés pour définir les fondus enchânés de velocité pour des transitions douces entre deux zones superposées. Pour définir les fondus enchânés, vous ajustez les valeurs de fondu en entrée et en sortie des zones superposées.
Fondu enchaîné entre deuxsons
Example :
- Deux zones sont définies pour jouer sur l'ensemble de la plage de velocité de 1-127.
- La zone 1 a une valeur de fondu en sortie de 40.
Cela signifie que cette zone est jouée à son niveau maximal avec des valeurs de velocité inférieures à 40. Avec des valeurs de velocité supérieures, elle est progressivement fondue en sortie.
- La zone 2 a une valeur de fondu en entrée de 80.
Cela signifie que lorsque vous jouez des valeurs de velocité jusqu'à 80, cette zone est progressivement fondue en entrée. Avec des valeurs supérieures à 80, elle est jouée à son niveau maximal.

Autre exemple :
Le fondu enchainé peut être utilisé uniquement pour un fondu en entrée ou en sortie pour un certain son. Un exemple courant est de définir les paramètres de telle sorte qu'un son soit joué sur toute la plage de velocité et qu'un autre ait un fondu en entrée uniquement dans les valeurs de velocité élevées.
La zone 1 est definié pour jouer sur toute la plage de velocité sans fondu enchaine.
- La zone 2 est définié pour jouer sur la plage de velocité de 80 à 127, avec un fondu en entrée de 110.
Cela signifie que cette zone ne subira un fondu en entrée qu'a partir des valeurs de velocité de 80 et jouera à son niveau maximal dans l'étendue de velocité de 110 à 127.

Cela peut être utilisé par exemple pour ajouter un rimshot à un son de caisse claire classique ou une attaque plus forté à un sample de violon plus doux.
Définir le fondu enchâné pour une zone
Manuellement
Pour définir un fondu enchâné pour une zone, procédez de la façon suivante :
- Sélectionnez une ou plusieurs zones que vous souhaitez ajuster.
- Utilisez les boutons « Fondu en entrée » et « Fondu en sortie » dans la zone de paramètres de sample pour définir les valeurs souhaitées.

- Vous peuvent modifier les valeurs avec une plus grande précision en maintainant enfoncé la touche [Maj] lorsqu'elles tournez les potentiamétres et vous pouvez réinitialiser les valeurs standard en appuyant sur [Command] (Mac)/[Ctrl] (Windows) et en cliquant sur les potentiamétres.
Automatiquement
Si vous trouvez fastidieux de définir manuellement les fondus enchahines entre les zones, le NN-XT peut le faire pour vous! Le menu Édition et le menu contextuel du NN-XT ont un élément appelé « Créer des fondus enchahines de velocité ».
- Définissez les zones pour que les plages de velocité soient superposées comme vous le souhaitez.
- Sélectionnez les zones.
Vou puez selectionner autant de zones que you le souhaitez, pas seulement deux zones superposées.
- Sélectionnez « Créer des fondus enchânés de velocité » dans le menu Édition.
NN-XT analyse les zones superposées et définit automatiquement les valeurs de fondu en entrée et en sortie qu'il estime appropriées pour ces zones.
Cette opération ne fonctionne pas si les deux zones ont des plages de velocité complètes.
Au moins l'une des zones doit avoir une plage de velocité partielle (voir "À propos des plages de velocité complètes et partielles").
Cette opération ne fonctionne pas si les zones sont complètement superposées.
Utiliser l'alternance
À propos de la fonction Alternance

A droite de la zone de paramètres de samples se trouve le potentiemètre « Alt ». Il n'a que deux états - On et Off. Il est utilisé pour alterner de façon semi aléatoire deux zones lors de la lecture.
Il existe plusieurs utilisations pratiques de ce bouton. Voici deux exemples :
Superposer différents enregistements d'une meme caisse claire. En les alternant, vous obtenez une repetition plus naturelle.
Superposer des battements de cordes vers le haut et le vers le bas. En les alternant, vous obtenez un effet plus réaliste en basculant entre les deux directions de battement.
Vou puez superposer autant de sons que you le souhaitez et l'algorithmme basculera entre euxde facon a creer le moins de repétition possible.
Pour configurer l'alternance d'un ensemble de zones, procédez comme suit :
- Configurez les zones de façon à ce qu'elles soient partiellement ou totalement superposées.
- Sélectionnez-les toutes.
- Configurez « Alt » sur On pour toutes ces zones.
A present, le programme détectera automatiquement comment alterner entre ces zones, en fonction de leur superposition.
Paramètres de sample

La zone de paramètres de sample se trouve sous l'écran. Ils vous permettent d'ajuster les paramètres pour une ou plusieurs zones sélectionnées. Régler un paramètre pour plusieurs zones sélectionnées définira la même valeur de ce paramètre pour toutes les zones sélectionnées. Ci-dessous se trouve une liste des différents paramètres :
Note fondamentale et tonalité
Ces paramètres sont décrits dans "Définir les notes fondamentales et la tonalité".
Début et fin du sample
En tournant les potentiemêtres vous décalez la position de départ et de fin, de telle sorte qu'ils joueront plus ou moins la forme d'onde des samples. Voici quelques exemple classiques d'utilisation :
- Supprimer des parties indésirables de samples.
Cela peut correspondre à n'importe quel élément, aussi bien du bruit que du silence, au début ou à la fin d'un sample.
- Créer des variations à partir d'un seul sample.
Ces boutons de contrôle peuvent etre utiliser pour selectionner toute portion d'un enregistrement pour l'utiliser comme sample.
- Bouton de contrôle du début du sample avec la velocité.
Vouss pouvez par exemple augmenter le début de sample et appliquer une modulation de velocite négative au début de sample. Ainsi, plus fort vous jouerez et plus vous entendrez la partie d'attaque du son.
Si vous maintenez enfoncée la touche [Maj] lorsque vous reglez ces paramètres, l'ajustement se fait au cas par cas (samples).
Début et fin de boucle
Un sample, contrairement aux cycles d'un oscillateur par exemple, est une quantite finie. Il y a un début et une fin de sample. Pour que les samples jouent aussi longtemps que vous maintainez enforcées les touches de votre clavier, ils doivent être bouclés. Pour que cela fonctionne correctement, vous devez tout d'abord configurer deux points de la boucle qui déterminent la partie du sample qui sera bouclée.
Les samples d'instrument dans les banques de sons fournies avec Reason sont déjà sous la forme de boucles. Il en va de même avec la plupart des bibliothèques de samples. Cependant, si vous veez le faire, vous pouvez utiliser ces boutons de contrôle pour ajuster la boucle.
- Laaille et l'emplacement de la boucle - dans le sample - sont déterminés par deux paramètres, Début de la boucle et Fin de la boucle.
Le NN-XT repete alors la section entre le début et la fin de la boucle jusqu'à ce que le son ait decliné jusqu'au silence.
Mode de lecture
En utilisant ce potentiemetre, vous pouvez selectionner l'un des modes de bocles suivant pour chaque zone :
·AV
Le sample dans la zone ne sera jouée qu'une fois, sans mise en boucle.
AV-BOUCL
Le sample sera joué du point de départ du sample jusqu'au point de fin de boucle, puis returnera au point de départ de la boucle et bouclera sans fin entre les points de départ et de fin de la boucle. Il s'agit du mode de boucle le plus courant.
AV-AR
Le sample sera joué du point de départ du sample jusqu'àu point de fin de boucle, puis du point de fin de boucle au point de départ de la boucle (en arrrière), puis mis en boucle sans fin en avant et en arrrière entre les points de départ et de fin de la boucle.
AV-REL
Fonctionne comme AV-BOUCL à l'exception du fait que la boucle ne sera jouée que tant que la touche sera maintainue enfoncée. Dès que vous relâcherez la touche, le sample sera joué jusqu'à sa fin absolue, soit au-delà de la limite de la boucle.
Cela signifie que le son peut avoir un court relâchement naturel même si le paramètre de relâchement est augmenté à sa valeur maximale (ce qui n'est pas le cas de « AV-BOUCL», dans lequel le paramètre de relâchement contrôle la longueur du son après le relâchement de la touche).
AR
Le sample sera joué une seule fois - de la fin à son début - sans boucle.
Lo Key et Hi Key
Ces paramètres sont décrits dans "Configurer les zones de jeu".
Lo Vel et Hi Vel
Ces paramètres sont décrites dans "À propos des plages de velocité".
Fondu en entrée et en sortie
Ces paramètres sont décrits dans "À propos du fondu enchâné entre les zones".
Alt
Cela est décrit dans "À propos de la fonction Alternance".
Out (sorties)
Le NN-XT fournit huit paires de sorties stéreo indépendantes (voir "Sortie audio"). Pour chaque zone, vous pouvez decide laquelle de ces paires utiliser. Ainsi, si vous avez créé une affectation de touches constituée de huit zones, chacune d'elles peut avoir une sortie stéreo propre depuis le NN-XT, pouvant être alors routée vers une voie de mixage différente si vous le souhaitez.
Pour selectionner vers quelle sortie doit etre envoyee une zone selectionnee,utilisez le potentiometre « Out » dans la zone de parametes de sample.
Les paires de sortie sont indiquées au-dessus du bouton.
! Notez que vous devez toujours router les sorties en fonction de la maniere dont vous souhaitez qu'elles soient disposées sur le panneau arrêté du NN-XT. Si vous affectez une zone à une paire de sortie différente de 1-2 (qui est cette part défaut), aucune connexion ou routage audio ne sera fait. Vous devez le faire manuellement.
Exemple stéreo
L'une des façon possibles d'utiliser cette option serait de creer un kit de batterie. Dans ce cas, vous pouriez charger huit samples de batterie stéreo, les affecter à des sorties indépendantes, les router vers une voie de mixage séparée et ensuite utiliser le mixeur pour régler le niveau et le panoramicique, ajouter des départ d'effets, etc.
Utiliser une sortie stéreo comme deux sorties mono
Si, d'un autre côté, vous utilisez des samples mono, vous pouvez utiliser une paire stéreo comme deux sorties séparées, ce qui vous donnera en réalité 16 sorties séparées.
- Affectez deux zones à la même sortie.
- Utilisez le bouton de contrôle Pan pour effectuer le panoramicique de l'une des zones à gauche et de l'autre à droite.
- Connectez chacune des deux stéreó de la paire stéroo vers une voie de mixage séparée.
Paramètres de groupe

Les paramètres de groupe se situent dans le coin supérieur gauche du panneau Remote Editor. Ce sont des paramètres qui, par plusieurs aspects, sont liés au style de jeu.
Les paramètres de groupe s'appliquent à un groupe, c'est à dire que ce sont des réglages partagés par toutes les zones d'un groupe.
Pour effectuer des réglages pour un groupe, Sélectionnez une ou plusieurs zones appartenant au groupe et ajustez le paramètre sur le panneau avant.
Pour accorder la meme valeur a plusieurs groupes, selectionnez au moins une zone de chaque groupe que you souhaitez ajuster et ajustez le parametre sur le panneau avant.
Poly touches
Ce réglage détermine le nombre de touches que vous pouvez jouer simultanément (polyphonie). Le nombre maximal est 99 et le minimum 1, auquel cas le groupe est monophonique.
Les utilisateurs d'autres samplers devraient noter que la polyphonie correspond souvent au réglage du nombre de voix pouvant être jouées. Le NN-XT diffère de ce point de vue du fait que le réglage de polyphonie déterminée quant à lui le nombre de touches, quel que soit le nombre de voix que joue chaque touche.
Le bouton Mono groupe
Le bouton Mono groupe a côté de la section Poly touches peut être utilisé pourdéfinirrapidement un groupe afin de jouer de façon monophoniquequel que soit le réglage de polyphonie. Par exemple, si vous avez un groupe avec des charleys ouverts et fermés, vous pouvez activer ce bouton pour qu'un charley ouvert soit rendu automatiquement muet lorsque vous jouez un charley fermé.
Mono groupe remplace le réglage Poly touches - sauf lorsqu'il joue la même note.
Vouss pouvez ainsi jouerVote charley ouvert de facon repeteee sans que le son se coupe lui-meme.Lorsque you jouez le charley fermé, il coupe le charley ouvert.
Notez que l'activation de ce bouton ne correspond pas à un réglage de polyphonie sur 1. Par exemple, il ne peut pas être utilisé pour le Legato ou le Retrig mono (voir "Legato et Retrig"ci-dessous).
Legato et Retrig
Legato
Le legato offre ses meilleurs performances avec lessons monophoniques. Reglez Poly touches (voir ci-dessus) sur 1 et essayez les opérations suivantes :
Maintenez enfoncée une touche et pressez une autre touche sans relâcher la précédente.
Notez que le pitch change, mais les enveloppes ne se redéclenchent pas. Ainsi, il n'y aura pas de nouvelle « attaque ».
Si Poly touches est defini sur plus d'une voix, le legato ne sera appliqué que lorsque toutes les touches affectées seront « utilisées »
Par exemple, si vous avez un réglage de polyphonie sur « 4 » et que vous maintenez un accord de quatre notes, la note suivante jouera un legato. Notez cependant que ce legato « volera » l'une des touches de l'accord de quatre notes, puisque toutes les touches affectées sont déjà utilisées!
Retrig
Retrig correspond au réglage « normal » pour la lecture des patches polyphoniques. Cela signifie que lorsque vous appuyez sur une touche sans relâcher la précédente, les enveloppées sont déclenchées, comme lorsque vous relâchez toutes les touches et appuyez sur une nouvelle. En mode monophonique, Retrig a une fonction supplémentaire : si vous appuyez sur une touche, la maintenance, et appuyez sur une nouvelle touche et la relâchez, la première note sera également déclenchée de nouveau.
LFO 1 Rate
Permet de contrôler la fréquence du LFO 1 s'il est utilisé en mode « Fréquence de groupe ». Dans ce cas, ce potentiamètre l'emporte sur le paramètre de fréquence de la section du LFO 1. Voir “LFO” pour des informations détaillées à ce sujet.
Portamento
Permet de contrôle le portamento - un paramètre qui permet de faire glisser le pitch entre les notes que vous jouez jusqu'à que de le changer instantanément dés que vous appuyez sur une touche de votre clavier. En tournant ce potentiamètre, vous définisse le temps nécessaire au pitch pour glisser d'une note à la suivante.
En mode legato, il n'y aura de portamento que lorsque vous jouerez des notes réellement legato (liées).
Lorsque ce potentiametre est tourné complètement vers la gauche, le portamento est désactivé.
Les paramètres de synthétiseur
Les boutons de contrôle de la modulation

Comme décrit précédement, la roue de modulation (et la roue de contrôle externe) peut être utilisée pour contrôler divers paramètres. Ces boutons de contrôle vous permettent de définir quels paramètres seront modulés par les roues et dansquelle mesure.
Sous chacun des potentiometres se trouvent les lettres « W » et « X »
Ces potentiomètres sont utilisés pour sélectionner la source qui doit contrôler le paramètre et représentent, respectivement, la roue de modulation (W) et la roue de contrôle externe (X).
En cliquant sur l'une de ces lettres, vous decide que celle source doit contrôler le paramètre.
Vousepuvez selectionner l'une,les deux, ou aucune de ces lettres.Lorsqu'une lettre est « allumee»,la source correspondante est definié pour contrcler le parametre.
En tournant les potentiamétres, vous decide de l'importance de la modulation du paramètre par la roue de modulation et/ou de contrôle externe.
Notez que tous les potentiamètres de contrôle sont bipolaires, ce qui signifie que s'ils peuvent être régés sur des valeurs positives et négatives. Vous définisse des valeurs positives en tournant le potentiamètre vers la droite et des valeurs négatives en tournant le potentiamètre vers la gauche :
- Le réglage sur des valeurs positives signifie que la valeur du paramètre contrôle sera augmentée si la roue source est poussaee en avant.
- Le réglage sur des valeurs négatives signifie que la valeur du paramètre contrôle sera diminuée si la roue source est poussée en avant.
- Si vous laissez les potentiamètres en position médiane, aucune modulation n'est appliquée.
Il y a une exception à ces règles : le bouton de contrôle LFO 1 Int qui fonctionne de façon légèrement différente. Voir plus loin pour plus d'informations le concernant.
Les paramètres suivants peuvent être modulés :
F.Freq
Définit le contrôle de modulation de la fréquence de coupure du filtré (voir "La section Filtre").
Mod. Déclin
Définit le contrôle de modulation du déclin de l'enveloppe de modulation (voir "Enveloppe de modulation").
LFO 1 Int
Détermine la quantité de modulation du LFO 1 qui sera affectée par la roue de modulation et/ou la roue de contrôle externe. Cela s'effectue en « mettant à l'échelle » les quantités définies à l'aide des trois potentiamétres de destination de la section LFO 1 (pitch, filtrer et niveau, voir “LFO”). Nous l'expliquerons à travers un exemple :
Pour utiliser la roue de modulation pour augmenter la modulation de pitch (vibrato), précédez comme suit:
- Tournez la roue de modulation complètement vers le bas, pour qu'aucune modulation ne soit appliquée.
- Activez le bouton « W » pour le LFO 1 Int dans la section Modulation.
- Configurez le bouton correspondant sur « midi » (zéro).
- Configurez le LFO 1 de sorte qu'autant de vibrato que vous le souhaitez soit appliqué lorsque la roue de modulation est complètement tournée vers le haut.
- Augmentez LFO 1 Int jusqu'à ce que vous entendiez autant de vibrato que vous le souhaitez lorsque la roue est tournée complètement vers le bas.
Si you augmentez au maximum LFO 1 Int, il n'y aura aucun vibrato lorsque la roue sera complètement en bas.
À la place, pour utiliser la roue de modulation pour réduire le vibrato, procédez comme suit :
- Tournez la roue de modulation complètement vers le bas, pour qu'aucune modulation ne soit appliquée.
- Activez le bouton « W » pour le LFO 1 Int dans la section Modulation.
- Configurez le bouton correspondant sur « midi » (zéro).
- Configurez le LFO 1 de sorte qu'autant de vibrato que vous le souhaitez soit appliqué lorsque la roue de modulation est complètement tournée vers le bas.
- Tournez la roue de modulation complètement vers le haut.
- Réduisez LFO 1 Int jusqu'à ce que vous entendiez autant de vibrato que vous le souhaitez lorsque la roue est tournée complètement vers le haut.
Si vous diminuez LFO 1 Int au maximum, il n'y aura aucun vibrato lorsque la roue sera complètement en haut.
Rés F.
Définit le contrôle de modulation du paramètre de résonance du filtré (voir "La section Filtre").
Niveau
Définit l'importance de la modulation de l'enveloppe d'amplitude du volume de chaque zone. Le volume défini ici sera le niveau maximal du plus haut point de l'enveloppe d'amplitude.
LFO 1 Rate
Définit le contrôle de modulation du paramètre Rate (fréquence) du LFO 1 (voir "LFO").
Boutons de contrôle de la velocité

La velocité est utilisé pour contrôle divers paramètres en fonction de la force avec laquelle vous jouez les notes sur le clavier. Une utilisation classique du contrôleur de velocité consiste à prendre lessons plus clairs et plus forts lorsque vous frappez une touche avec plus de force. En utilisant les potentiamètres de cette section, vous pouvez contrôle si les divers paramètres doivent être affectés par la velocité et de chaque façon.
Tout comme les boutons de contrôle de modulation, tous les potentiomètres de contrôle de la velocité sont bipolaires et peuvent receivevoir des valeurs positives ou négatives.
Leur réglage sur des valeurs positives signifie que la valeur du paramètre contrôle augmentera avec la force de votre jeu.
Leur reglage sur des valeurs négatives signifie que la valeur diminuera avec la force de votre jeu.
- Si les potentiomètres sont en position médiane, cela signifie qu'aucun contrôle de velocité n'est appliqué.
Les paramètres suivants peuvent être contrôlés par la velocité :
F.Freq
Définit le contrôle de velocité de la fréquence de coupure du filtre (voir "La section Filtre").
Mod. Déclin
Définit le contrôle de velocité du paramètre Déclin de l'enveloppe de modulation (voir "Enveloppe de modulation").
Niveau
Définit le contrôle de velocité de l'enveloppe d'amplitude.
Attaque env. amp.
Définit le contrôle de velocité du paramètre Attaque de l'enveloppe d'amplitude (voir "L'enveloppe d'amplitude").
Début du Sample
Définit le contrôle par velocité de la position de départ du sample (voir "Début et fin du sample"), le déplaçant en avant ou en arrêté selon la force de votre jeu.
Cela vous permet de contrôler la portion de l'attaque du sample que vous entendez selon que vous jouez plus ou moins fort.
Pour pouvoir utiliser des valeurs négatives pour ce paramètre, vous devez augmenter le paramètre de sample de Départ du sample.
La section Pitch

Cette section contient divers paramètres liés au contrôle du pitch, ou de la fréquence, des zones.
Plage du Pitch Bend
Vous permet de defir la quantite de Pitch Bend, c.a.d. aquel point le pitch changera lorsque you tournerez la roue de Pitch Bend complètement vers le haut ou vers le bas. La plage maximale est de + / - 24 demi-tons (deux octaves).
Définir le pitch
Utilisez les trois boutons « Octave », « Semi » et « Fine » pour modifier le pitch du ou des samples :
- Octave
Permet de modifier le pitch par pas d'octave. La plage est de -5 - 0 - 5.
Semi
Permet de modifier le pitch par pas d'un demi-ton. La plage est de -12 - 0 - 12 (deux octaves).
- Fine
Permet de modifier le pitch par pas d'un centieme (centieme de demi-ton). La plage est de -50 - 0 - 50 (un demi-ton supérieur ou inférieur).
Piste clav.
Ce bouton contrôle la pondération au clavier du pitch.
- En position Médiane, chaque touche représenté un demi-ton. Il s'agit du réglage normal.
Lorsqu'il est tourné complètement vers le bas, toutes les touches ont le même pitch. Cela peut être pratique pour les percussions avec lesquels vous pouvez pouvoir jouer le même pitch pour toutes les touches.
Lorsqu'il est tourné complètement vers le haut, chaque touche du clavier décembre le pitch d'une octave.
La section Filtre

Les filtres peuvent etre utilisees pour faconner le caractere du son. Le filtre dans le NN-XT est un filtre multi-modes proposant six types de filtres.
Pour (dés)activer un filtré, cliquez sur le bouton On/Off dans le coin supérieur droit.
Lorsque le filtré est activé, le bouton est allumé.
Mode de filtré
Pour selectionner un mode de filtre, cliquez soit sur le bouton Mode dans le coin inférieur droit soit directement sur le nom de filtre souhaite pour qu'il s'allume :
Notch
Un filtr notech est utilise pour couper les fréquences d'une plage de fréquence étroite autour de la fréquence de coupure définie, tout en laissant passer les fréquences inférieures et supérieures à cette bande.
HP12
C'est un filtré passer-haut avec une courbe roll-off de 12 dB/octave. Un filtré passer-haut coupe les fréquences basses et laisseisser les fréquences haute. Ainsi, les fréquences inférieures à la fréquence de coupure sont coupées et les fréquences supérieures passent.
BP12
C'est un filtré salle-bande avec une courbe roll-off de 12 dB/octave. Un filtré salle-bande peut être vu comme l'opposé du filtré notch. Il coupe à la fois les haute et basses fréquences, laissant celles de la bande passer.
- LP6
C'est un filtrte passer-bas avec une courbe douce de 6 dB/octave. Un filtrte passer-bas est l'opposé d'un filtrte passehaut. Il laisse passer les fréquences basses et coupe les haute fréquences. Ce filtrte n'a pas de résonance.
LP12
C'est un contrôle passage-bas avec une courbe roll-off de 12 dB/octave.
LP24
C'est un过滤Passes-bas avec une courbe roll-off relativement raide de 24 dB/Octave.
Boutons de contrôle de filtré
Les boutons de contrôle de filtré suivants sont disponibles:
- Fréq.
Ce bouton est utilisé pour régler la fréquence de coupure du filtre. La fréquence de coupure détermine la limite au-dessus ou en-dessous de laquelle les fréquences seront coupées en fonction du type de filtre sélectionné. Dans le cas d'un filtre passe-bas, par exemple, les fréquences inférieures à la fréquence de coupure pourrait passer, alors que les fréquences supérieures seront coupées. Plus vous tournez ce potentiamètre vers la droite, plus la fréquence de coupure est élevée.
Il est très courant de moduler la fréquence du filtré avec une enveloppe de modulation, comme précrit dans "Enveloppe de modulation".
Rés.
Technique, ce potentiemetre contrrole le feedback du signal de sortie du filtrer vers son entree.
Acoustiquement, il amplifie les fréquences autour de la féquence de coupure. Pour un filtrer passée-bas, par exemple, augmenter la résonance (Rés) rendra le son beaucoup plus creux jusqu'à ce qu'il commence à « sonner ». Si vous définisse une valeur élevée pour le paramètre Rés et que vous faites varier la féquence du filtrre, cela produit un balayage de filtrtre de synthétiseur classique.
Pour les types de filtré notch et passé-bande, le réglage de résonance ajustera à la place la largeur de la bande. Cela signifie que plus le réglage de résonance est élevé, plus la bande dans laquelle les fréquences sont coupées (notch) ou passent (passé-bande) sera étroite.
Piste clav.
Permet d'activer et de contrôler la pondération au clavier de la fréquence du filtre. Si la pondération au clavier est activée, la fréquence de coupure définie du filtre changera en fonction des notes que vous jouez sur votre clavier. Cela signifie que plus les notes sont aiguées sur le clavier, plus la fréquence du filtre sera haute et vice versa.
Lorsque le potentiemetre est regle sur sa position mediane, la frquence du filtre sera ajustee de telle sorte que le contenu harmonique reste constant tout au long du clavier.
La pondération au clavier est désactivée par défaut (le potentiemètre est tourné complètement à gauche). Cela signifie que la fréquence du filtre reste inchangée qu'elle que soit la touche du clavier que vous jouez.
Envelope de modulation

Les paramètres de l'enveloppe de modulation vous permettent de contrôler comment certains paramètres ou destinations doivent changer avec le temps - entre le moment où la note est enforcée et celui où elle est reliachée.
Vouspouvezutiliserlesdestinationssuivantes:
Pitch
- Fréquence du filtré
Paramètres
Les paramètres suivants sont les paramètres contrôlables :
- Attaque
Lorsque vous appuyez sur une touche de votre clavier, l'enveloppe est déclenchée. Le paramètre d'attaque contrôle alors la durée qu'il faut avant que le paramètre contrôle (pitch ou filtre) attigne son maximum, lorsque vous appuyez sur une touche. En réglient la valeur d'attaque sur une valeur de « 0», le paramètre de destination atteindre sa valeur maximale instantanément. En augmentant le paramètre d'attaque, la valeur « glissera » au contraire lentement jusqu'à son maximum.
- Maintien
Ce paramètre est utilisé pour définir la durée pendant laquelle le paramètre doit rester sur sa valeur maximale avant de commencer à décliner à nouveau. Il peut être utilisé en association avec les paramètres d'attaque et de déclin pour qu'une valeur atteigne son niveau maximal, y reste pendant un moment (maintien) puis commence à descendre progressivement vers son niveau de maintien.
- Déclin
Après que la valeur de destination a atteint son maximum et que le temps de blocage aExpired, le paramètre contrôle commence à diminuer progressivement jusqu'àu niveau de maintien. Le temps nécessaire pour atteindre le niveau de maintien est contrôle par le paramètre de déclin. Si le déclin est configuré sur « 0», la valeur diminuera immeditatement à son niveau de maintien.
- Maintien
Le paramètre de maintain déterminé la valeur que doit retrouver l'enveloppe après le déclin. Toutefois, si vous configrez le maintien sur son niveau maximal, le réglage de déclin n'aura aucune importance puisque la valeur ne diminuera jamais.
On peut combiner le déclin et le maintain pour creer des enveloppes quiatteignent la valeur maximale puis diminuement progressivement jusqu'à un niveau qu'elles conservent entre zéro et le maximum.
Relachement
Ce paramètre fonctionne comme le paramètre de déclin, à l'exception qu'il déterminé les temps pour que la valeur atteigne zéro après que la touche a été relachée.
Délai
Ce paramètre est utilisé pour définir un décali entre le moment où la note est jouée et celui ou l'effet de l'enveloppe débute. Cela signifie que le son commence de façon non modulée, puis l'enveloppe sera déclenchée après que la ou les touches ont été maintainues enforcées pendant un certain temps. Tournez le potentiamètre vers la droite pour augmenter le temps de décali. Si le potentiamètre est tourné complètement à gauche, il n'y aura aucun décali.
- Touche déclin
Ce potentiometre vous permet de decaler la valeur du parametre de declin (voir ci-dessus) en fonction de la touche jouee sur le clavier. Si vous tournez le potentiometre vers la droite, la valeur de declin augmentera avec la hauteur de la note jouee, et en tournant le potentiometre vers la gauche, la valeur de declin diminuera avec la hauteur de la note jouee. Lorsque le potentiometre est en position mediane, ce parametre est inactif.
Destinations
Les destinations suivantes de l'enveloppe de modulation sont disponibles :
Pitch
Permet à l'enveloppe de moduler le pitch, comme défini dans la section Pitch (voir "La section Pitch"). Tournez le potentiamètre vers la droite pour augmenter le pitch et vers la droite pour le diminuer. Lorsque le bouton est en position mediane, le pitch n'est pas modifié par l'enveloppe.
Filtre
Cela permet à l'enveloppe de modifier la fréquence de coupure du filtre (voir "La section Filtre"). Tournez le potentiamètre vers la droite pour augmenter la fréquence et vers la gauche pour la diminuier. Lorsque le bouton est en position Médiane, la fréquence de coupure ne sera pas modifiée par l'enveloppe.
L'enveloppe d'amplitude

Les paramètres de l'enveloppe d'amplitude vous permettent de contrôler la façon dont le volume d'un son doit changer avec le temps - entre le moment où la note est enforcée et celui où elle est relihartée.
Paramètres
La plupart des paramètres d'enveloppe d'amplitude sont identiques à ceux de l'enveloppe de modulation. Pour une description plus détaillée des paramètres suivants, veuillez vous reférer à la section de l'enveloppe de modulation "Enveloppe de modulation":
- Attaque
- Maintien
- Déclin
- Maintien
- Relachement
Délai - Touche déclin
Les paramètres suivants sont les seuls pour la section d'enveloppe d'amplitude :
- Niveau
Ce potentiemetre definit le volume de la zone. Tournez-le vers la droite pour augmenter le niveau.
- Modes Élargissement et Panoramaque
Ces deux paramètres sont utilisés pour contrôler la position stéréo (pan) du son. Le potentiomètre Élargissement détermine la largeur du son dans l'image stéréo (àquelle distance à gauche et droite les notes seront dispersées). S'il est configuré sur « 0», aucun élargissement n'est effectué. Le bouton de selection Mode est utilisé pour sélectionner le type d'élargissement que vous souhaitez appliquer :
| Mode | Description |
| Touche | Décalera la position panoramique progressivement de gauche à droit, à mesure que vous montez sur le clavier. |
| Touche 2 | Décalera la position panoramique progressivement de gauche à droit puis de droit à gauche, par intervalles de huit touches. Si vous jouve quatre demi-tons adjacents, vous décalerez progressivement la position du panoramicque de gauche à droit. Les 4 demi-tons supérieur们 suivants modifieront alors la position panoramique de droit à gauche de la même façon, et le cycle sera alors repété. |
| Saut | Permet de faire sauter la position panoramique de gauche à droit à chaque fois qu'une note est jouée. |
Pan
Ce bouton contrôle la balance stéreo de la paire de sortie vers laquelle une zone est routée. En position Médiane, le signal apparait au même niveau dans les canaux gauche et droit d'une paire stéreo. En tournant le potentiamètre vers la gauche ou vers la droite, vous pouvez modifier cette balance stéreo.
Notez que si vous tournez par exemple le potentiemetre Pan complètement à gauche, le signal sera seulement envoyé au canal gauche de la paire stéreo.
Vouss pouvez utiliser ce potentiametre pour traiter une sortie stéreo comme deux sorties mono indépendantes, si besoin.
Voir "Out (sorties)" pour plus d'informations concernant le routage des zones vers des paires de sortie.
LFO

Le NN-XT offre deux oscillateurs basse frquence, le LFO 1 et le LFO 2. Des oscillateurs « normaux » generations une forme d'onde et une frquence et produit du son. Les oscillateurs basse frquence quant a'eux generations également une forme d'onde et une frquence, mais avec deux différences majores :
- Les LFO ne générent que dessons à basse fréquence.
- Les LFO ne produit pas de son mais sont utilisés pour moduler divers paramètres.
L'utilisation la plus courante d'un LFO est la modulation du pitch d'un son (généré par un oscillateur ou - dans le vas du NN-XT - un sample) pour produit un vibrato.
À propos des différences entre le LFO 1 et le LFO 2
Il y a deux différences fondamentales entre le LFO 1 et le LFO 2 :
- Le LFO 2 est always synchronised aux touches ce qui signifie qu'à chaque fois que vous appuyez sur une touche, la forme d'onde du LFO recommence depuis le début. Vous pouvez basculer le LFO 1 entre les modes de synchronisation ou de synchronisation aux touches.
Le LFO 2 n'a qu'une forme d'onde triangulaire.
Les LFO disposant des paramètres suivants :
Rate (LFO 1 et 2)
Le potentiemetre Rate contrôle la fréquence du LFO. Pour une fréquence de modulation plus élevé, tournez ce potentiemetre vers la droite. Le potentiemetre Rate du LFO 1 est également utilisé pour définir la division temporelle lorsque l'on synchroniser le LFO au tempo du morceau (voir ci-dessous).
Délai (LFO 1 et 2)
Le bouton Délai peut être utilisé pour définir un début entre le moment où une touche est jouée et celui où la modulation du LFO commence (progressivement). Ainsi, vous pouze déclencher le son sans modulation puis faire débuter la modulation du LFO après avoir maintainu enforcée(s) la ou les touches pendant un certain temps.
Tournez le potentiometre vers la droite pour augmenter le temps de retard.
Mode (LFO 1 uniquement)
Permet de définir le « mode d'opération » pour le LFO. Cliquez sur le bouton pour basculer entre les différents modes disponibles :
- Fréquence de groupe
Dans ce mode, le LFO fonctionnera à la fréquence définie pour son groupe dans la section groupe,只不过 qu'à la fréquence définie ici (voir “Paramètres de groupe”). Ainsi, toutes les zones d'un groupe auront exactement la même fréquence de modulation.
Synchro tempo
Dans ce mode, le LFO sera synchronisé au tempo du morceau, dans l'une des 16 divisions temporelles possibles.
! Lorsque la synchronisation au tempo est activée, le bouton Rate (fréquence) est utilisé pour sélectionner la division temporelle souhaïée. Tournez le potentiamètre Rate et observez l'info bulle pour avoir une indication de la division temporelle.
- Exécution libre
Dans ce mode, le LFO fonctionne simplement à la fréquence définie par le paramètre Rate. De plus, si Synchro touche est désactivé, le cycle de modulation ne sera pas redéclenché lorsque vous appuierez sur une touche - il fonctionnera en continu.
Formed'onde (LFO 1 uniquement)
Vouper de selectionner le type de forme d'onde autiliser pour moduler les parametes de destination.
Cliquez sur le bouton pour basculer entre les différentes formes d'onde :
| Forme d'onde | Description |
| Triangulaire | Forme d'onde douce, convenant à un vibrato normal. |
| En dents de scie inversées | Produit un cycle « ramp up ». Si elle est appliquée à la fréquence d'un oscillateur, le pitch sera balayé jusqu'à un point défini (par le réglage Amount), après quoi le cycle recommence immédiatement. |
| En dents de scie | Cela produit un cycle « ramp down », identique au précédent mais inversé. |
| Carrée | Produit des cycles qui changent abruptement entre deux valeurs, utilisable pour des trilles, etc. |
| Aléatoire | Produit une modulation par paliers aléatoire de la destination. Dans certains ancients synthétiseurs analogues, cette fonctionnalité se nommait « sample & hold ». |
| Aléatoire doux | Identique à la précédente, mais avec une modulation progressive. |
! Le LFO 2 utilise toujours une forme d'onde triangulaire.
Synchro touche (LFO 1 uniquement)
En activant le bouton Synchro touche, vous « forcez » le LFO à redémarrer son cycle de modulation à chaque fois que vous appuyez sur une touche.
! Notez que le LFO 2 utilise toujours Synchro touche.
Destinations pour le LFO 1
Les paramètres suivants peuvent être modulés par le LFO 1 :
Pitch
Le LFO modulera le pitch pour un vibrato, des trilles, etc. Il peut etre configue sur -2400-0-2400 centiemes, ce qui equivaut a quatre octaves. Le pitch defini sera augmenté et diminué de cette valeur, à chaque cycle de modulation. En tournant le potentiometre vers la droite, le cycle commercera au-dessus du pitch defini, alors que le tourner vers la gauche inversera le cycle. Le conserv dans sa position mediane signifie que le pitch ne sera pas affecte par le LFO.
Filtre
Le LFO modulera la fréquence de coupure du filtre pour des effets auto-wah, etc. L'effet positif/négatif est le même que pour le pitch.
- Niveau
Le LFO modulera le niveau de la sortie du NN-XT, pour des effets de trémolo, etc. L'effet positif/négatif est le même que pour le pitch.
Destinations pour le LFO 2
Les paramètres suivants peuvent être modulés par le LFO 2 :
Pan
Permet au LFO de modifier la position panoramicique d'une zone. Le son bougera d'avant en arrêté dans le champ stéreo. Si vous tournez le potentiamètre vers la gauche, le son se déplace de gauche à droite, et si vous le tournez vers la droite, le son se déplace de droite à gauche. La position mediane ne produit aucune modulation.
Pitch
Comme pour le LFO 1(voir ci-dessus), ce paramètre permet au LFO 2 de modifier le pitch. La plage correspond à celle du LFO 1.
Connexions
Sur le panneau arriere du NN-XT se trouvent de nombreux connecteurs. Beaucoup sont de type CV/Gate. L'utilisation de CV/Gate est décrite dans le chapitre « Routage de l'audio et du CV »

Sequencer Control
Les entrées Sequencer Control CV et Gate vous permettent de faire jour le NN-XT depuis un autre module CV/ Gate (généralement un Matrix ou un Redrum). Le signal à l'entrée CV contrôle le pitch de la note, alors que celui de l'entrée Gate restitue une note on/off avec la velocité.
Entrée Modulation
Ces entrées de tension de contrôle (CV) (avec leurs potentiamètres associés) peuvent modérer divers paramètres du NN-XT depuis d'autres modules. Ces entrées peuvent contrêter les paramètres suivants :
Pitch de l'oscillateur
- Fréquence de coupe du filtre
- Résonance du filtré
LFO1Rate
Volume général
Pan
- Roude modulation
Roue de Pitch Bend
Entrée Gate
Ces entrées peuvent receivevoir un signal CV pour déclencher les enveloppées suivantes :
- Enveloppe d'amplitude
- Enveloppe de modulation
Notez que la connexion de ces entrées remplacera le déclenchement normal des enveloppes. Par exemple, si vous connectez une sortie Gate du Matrix à l'entrée Gate de l'enveloppe d'amplitude, vous ne pourrez plus déclenger d'enveloppe d'amplitude en jouant des notes, car ce déclenchement sera alors contrôle par la sortie Gate du Matrix. De plus, vous n'entendrez le déclenchement de l'enveloppe par la sortie Gate que pour les notes que vous maintainendez enfoncées.
Sortie audio
Le panneau arrêté du NN-XT dispose de 16 jacks de sortie audio - huit paires stéroid distinctes. Lorsque vous creez un nouveau module NN-XT, la première paire de sorties (1G & 2D) est auto-routée vers le premier canal disponible du mixeur audio.
Les autres paires de sortie ne sont jamais routées automatiquement. Si vous souhaitez utiliser l'une des autres paires de sortie, vous doivent les connecter manuellement au module souhaité - généralement un module de de voie de mixage voie de mixage. Les bases du routage sont décrites dans "Routage de l'audio et du CV".
! Notez que lorsque vous utilisez une autre paire de sortie que la première, vous devez également lui router une ou plusieurs zones si vous souhaitez qu'elle produit un son, puisque toutes les zones routées par défaut sont routées aux sorties 1 & 2. La section "Out (sorties)" décrit comment router des zones à d'autres sorties.

REASON
Chapitre 30
Dr. Octo Rex
Loop Player
Introduction

Dr. Octo Rex Loop Player est le successeur de l'excellent Dr. Rex Loop Player, introduit dans la version 1 de Reason. Dr. Octo Rex peut prendre en charge jusqu'à huit boucles REX en même temps, dans huit mémoires de patterns, et vous permet de passer d'une boucle ou d'une slice à l'autre avec une grande souplesse. Dr. Octo Rex Loop Player est totalement rétrocompatible avec Dr. Rex, la version précédente du module. Cela signifie que toutes les boucles REX de vos morceaux créées à l'aide du module Dr. Rex seront désormais ouvertes et jouées avec le module Dr. Octo Rex. Les boucles sonneront exactement pareil que dans le module Dr. Rex.
Dr. Octo Rex Loop Player permit également de dire et d'editor des fichiers créés dans ReCycle, un autre programme créé par Propellerhead Software. ReCycle est un programme conçu spécialément pour travailler avec des boucles samplées. En découpant (« slicing ») une boucle et en créé un sample pour chaque battement, ReCycle permet de modifier le tempo sans modifier le pitch, ainsi que d'editor cette boucle, comme si elle était composée de plusieurs sons.
Boucles ReCycle
Pour bien comprendre le fonctionnement de Dr. Octo Rex, vous devez comprendre ce qu'est une boucle de batterie ReCycle. Imaginez que vous disposiez d'un sample d'une boucle de batterie et que vous souhaitiez l'utiliser dans une piste. La boucle est de 144 bpm et votre piste de 118 bpm. Que devez-vous faire? Vous pouvez bien sur baiser le pitch de la boucle, mais cette dernière sonnera alors de façon très différente, et si cette boucle contient des éléments pitchés, elle ne correspondra plus à celle de votre morceau. Vous pouvez également la « timestretcher», c'est-à-dire adapter son tempo. Cela ne modifie pas le pitch, mais la boucle sonnera différemment. Généralement, cela se traduit par une perte de « punch » dans la boucle.
Au lieu de stretcher le sample, ReCycle découvert la boucle en petits morceaux (« slices »), de façon à ce que chaque battement de batterie (ou tout autre son que vous utilisez) obtienne sa propre slice. Ces slices peuvent être exportées vers un sampler matériel externe ou enregistrées en tant que fichier REX et utilisées dans Reason. Une fois la boucle découvert en slices, vous pouvez librement changer le tempo de la façon que vous souhaitez. Vous pouze également créé des « fills » (replissages) et des variations puisque la position des slices peut être modifiée dans le séquenceur.
À propos des formats de fichier REX
Dr. Octo Rex peut dire les fichiers REX aux formats suivants :
- REX (.rex)
Il s'agit du format de fichier génére par les versions antérieures de ReCycle (plate-forme Mac).
RCY (.rcy)
Il s'agit du format de fichier génére par les versions antérieures de ReCycle (plate-forme PC).
- REX 2 (.rex2)
Il s'agit du format de fichier ReCycle pour les plates-formes Mac et PC génére par ReCycle version 2.0. L'une des différences entre le format d'origine REX et le format REX2 est que ce dernier prend en charge les fichiers stéreo.
! Contrairement à Dr. Rex, Dr. Octo Rex peut également charger et enregistrer des réglages du panneau du module dans un format de patch spécifique (.drex). Les fichiers REX et les réglages du panneau Dr. Octo Rex peuvent également être enregistrés dans le fichier de morceau, tout comme un patch.
Chargement et enregistrement de patches Dr. Octo Rex
Le chargement et l'enregistrement des patches Dr. Octo Rex se fait de la même façon que pour tout autre module basé sur patches (voir les sections "Chargement des patches" et "Enregistrement de patches").
Les patches Dr. Octo Rex peuvent comprendre jusqu'à huit boucles REX différentes. Lorsque vous chargez un patch Dr. Octo Rex, les boucles REX sont automatiquement chargées dans les emplacements de boucles et leur nom est affché sous chaque bouton.

À propos du format de patch Dr. Octo Rex
Les patches Dr. Octo Rex (.drex) rassemblent tous les réglages du synthétiseur et du panneau, ainsi que les références à toutes les boucles REX (jusqu'à huit boucles). Les fichiers REX ne sont pas compris dans le patch mais sont disponibles à un emplacement différent de l'ordinateur.
À propos de l'ouverture des morceaux créés à partir d'un module Dr. Rex
Les morceaux créé à partir des versions antérieures de Reason utiliser les modules Dr. Rex pourrait être ouverts dans Reason Version 5. Les modules Dr. Rex seront replacés par les modules Dr. Octo Rex et la boucle REX correspondante sera chargée dans l'emplacement de la boucle 1. Les réglages d'origine du module Dr. Rex seront convertis de la façon suivante :
- Les régles du panneau sont automatiquement appliqués au module Dr. Octo Rex.
La boucle sonnera exactement pareil que lors de sa création dans Dr. Rex. -
Le bouton Activer la lecture de la boucle de Dr. Octo Rex sera regle sur Off.
-
Toute automation au niveau des options Niveau et Réglage par demi-ton sera convertie en Volume général et Réglage par demi-ton général.
- Le routage vers Niveau d'entrée Mod CV se fera à la place vers Volume général.
- Dr. Octo Rex doit être régle sur le mode « Entrée du clavier maître sur slices » pour obtenir un comportement identique à celui de Dr. Rex.
Lecture des bouches
- Assurez-vous que le bouton Activer la lecture de la boucle est activé (allumé).

- Cliquez sur le bouton Emplacement de la boucle désiré.
- Lancez la lecture de la boucle en cliquant sur le bouton Exécuter.
La boucle de l'emplacement de boucle selectionné sera lue en boucle au tempo défini dans le panneau Transport. Si vous modifiez le tempo, le tempo de la boucle suivra.
Vous pouvez également jouer la boucle une seule fois via l'interface MIDI à l'aide de la touche D0.
Pour vérifier les boucles ainsi que les données du séquenceur et les patterns du module déjà enregistrés, cliquez sur le bouton Lecture du séquenceur.
Les bouches seront automatiquement lues en synchronisation avec le séquenceur.
Lecture d'un emplacement de boucle à l'autre
Le basclement depuis une lecture de boucle vers celle d'un emplacement de boucle different est identique au basclement vers une pattern dans un module Redrum, par exemple.
- Activez le bouton Activer la lecture de la boucle dans le module Dr. Octo Rex.
- Cliques sur le bouton Exécuter ou bien lancez la lecture du séquenceur.
- Cliquez sur un autre bouton Emplacement de boucle pour passer à une boucle différente.
Si you selectionnez des emplacements de boucles ne contenant aucune boucle, vous n'entendrez rien.
Fonction Déclencher la boucle suivante
La fonction Déclencher la boucle suivante permet de définir le temps que Dr. Octo Rex doit attendre avant de déclencher la boucle lorsque l'utilisateur clique sur le bouton Emplacement de boucle ou sur une touche. Les opérations suivantes permettent différents niveaux de « précision » lors du passage d'une boucle à une autre :

Cliquez sur le bouton Mesure pour faire passer les bocles à la mesure suivante de la boucle actuelle.
Cliquez sur le bouton Battement pour faire passer les bocles au battement suivant de la boucle actuelle.
Cliquez sur le bouton 1/16 pour faire passer les bocles à la double croche suivante de la boute actuelle.
Passage d'une boucle à une autre à l'aide de l'automation de patterns dans le séquenceur
Le passage d'un emplacement de boucle à l'autre peut être automatisé à l'aide de l'option Automation de patterns dans le séquenceur principal.
! Lorsque you utilisez l'automation de patterns, la fonction Declencher la boucle suivante descripte ci-dessus est ignorerée et le passage d'un emplacement de boucle à l'autre est instantané.
Consultez la section "Détails sur l'enregistrement de l'automation de patterns" pour en savoir plus sur l'automation de patterns.
! Lorsque vous utilisez l'outil Crayon pour dessiner des clips d'automation de patterns et selectionnez Pattern dans l'inspecteur, la selection de la banque n'est pas importante puisque Dr. Octo Rex n'utilisent pas les banques.
Déclenchement de la lecture et sélection des emplacements de boucles depuis un clavier MIDI
Il est également possible de contrôler et d'interrompre la lecture ainsi que de sélectionner des emplacements de boucles en temps réel à l'aide des touches du clavier MIDI. En appuyant sur les touches E0 à B0, vous sélectionnez Emplacement de boucle 1 à 8 et démarrez la lecture de la boucle correspondante. Les boucles seront lues en continu, une après l'autre, jusqu'à ce que vous appuyiez sur la touche D#0 pour arrêter la lecture ou bien cliquiez sur le bouton Exécuter ou Stop dans le séquenceur principal. Le délambda de basculement vers un emplacement de boucle après avoir appuyé sur une touche peut être définir à l'aide de la fonction Déclencher la boucle suivante (voir "Fonction Déclencher la boucle suivante").
! Notez que le bouton Activer la lecture de la boucle doit etre activé.
L'imag montre sur quelles touches appuyer pour selectionner et dire un emplacement de boucle ainsi que pour interrompre la lecture de la boucle :

Pour préserver la rétrocompatibilité avec Dr. Rex, la touche D0 doit être utilisée pour dire la boucle REX de l'emplacement de boucle actuellement sélectionné lors de l'utilisation de la fonction Note vers emplacement (voir "Note vers emplacement").
La boucle n'est lue qu'une seule fois (déclenchement unique) et ne peut pas être interrompue.
Ajout de boudles
Pour ajouter une ou plusieurs boucles (maximum 8) dans Dr. Octo Rex Loop Player, procédez comme suit :
- Ouvrez le panneau Éditeur de boute.
- Sélectionnez l'emplacement de boucle auquel vous souhaitez ajouter la (première) boucle REX.

- Ouvrez le navigateur des boucles REX en cliquant sur le bouton en forme de dossier, situé à gauche des boutons Emplacement de boucle.
Selectionnez « Parcourir les bocles » dans le menu Édition ou dans le menu contextuel du module.
- Dans le navigateur, localisez et ouvre la ou les boucles désirées.
Voupez ecouter les bocles avant de les charger a l'aide de la fonction Pré-ecoute du navigateur.
Pour selectionner plusieurs boucles, maintenez la touche Ctrl/Cmd enfoncée puis cliquez.
Pour selectionner une plaque de boucles, maintenez la touche [Maj] enfoncée tout en cliquant sur le dernier fichier.
- Cliquez sur Ouvrir pour charger le(s) fichier(s) selectionne(s) dans le(s) emplacement(s) de boucle(s).
Si you've selectionné et ouvert plusieurs boucles, la première boucle sera chargée dans l'emplacement de boucle selectionné et les autres seront chargées l'une après l'autre dans des emplacements suivants.
! Lorsque vous chargez de nouveaux fichiers REX, vous remplacez les fichiers se trouvant actuellément dans les emplacements de boucles.
Chargement de boucles « à la volée »
Une autre méthode pratique pour vérifier les boucles est de les charger « à la volée», c'est-à-dire durant la lecture. C'est particulièrement utile si vous pouze vérifier un grand nombre de boucles par rapport à d'autres données de séquenceur et de patterns préalablement enregistrées. Procedez de la façon suivante :
- Activez le bouton Activer la lecture de la boucle dans le module Dr. Octo Rex et lancez la lecture du séquenceur.
Les bouches REX et le séquenceur sont synchronisés.
- À présent, chargez un fichier REX à l'aide du navigateur.
Après un bref silence, le nouveau fichier est chargé et la synchronisation est préserve.
- Repetez l'etape 2 autant que nécessaire jusqu'à ce que vous trouviez une boucle qui convienne.
Si vous testez des boucles provenant du même dossier, la façon la plus rapide de selectionner une nouvelle boucle est d'utiliser les boutons fléchés en regard du nom de la boucle.
Voussoupiezaussi cliqur sur le nom de la boute et selectionner une nouvelle boute dans le menu contextuel qui apparait.
Suppression de boucles
Pour supprimer une boucle d'un emplacement de boucle, selectionnez « Supprimer la boucle » depuis le menu Édition ou depuis le menu contextuel du panneau du module.
Couper/Copier-coller de boucle d'un emplacement de boucle à l'autre
Pour couper/copier une boucle depuis un emplacement de boucle et la coller dans une autre, procedez de la façon suivante :
- Cliques sur le bouton de l'emplacement de boucle contenant la boucle que vous souhaitez couper ou coller.
- Sélectionnez « Couper la boucle » ou « Copier la boucle » à partir du menu Édition ou du menu contextual.
! Pour acceder au menu contextual approprié, vous doivent un clic droit sur le panneau et non sur un bouton ou un potentiametre.
3. Cliquez sur le bouton Emplacement de boucle de destination puis selectionnez « Coller la boucle » depuis le menu Édition ou le menu contextuel.
Vouss pouvez maintainant éditer les slices de la boucle collée (voir "Manipulation des slices").
Lecture de slices de boucle
Outre la possibilité de dire des bocles REX dans leur totalité à l'aide de la fonction Exécuter (ou Lecture dans le séquenceur), il est également possible de dire individuellement les slices d'une boute depuis un clavier maître MIDI. Ainsi, vous utilisez Dr. Octo Rex comme un sampler traditionnel, en jouant chaque slice à partir d'une touche différente.
Les slices seront réparties automatiquement par demi-ton, la première slice sur la note C1 de l'interface MIDI, la seconde sur C#1 et ainsi de suite, avec une note pour chaque slice. La plage de notes varie en fonction du nombre de slices containues dans la boucle REX.
Pour définiter qu'elle boucle REX doit être contrôle depuis le clavier maître MIDI, Sélectionnez l'emplacement de boucle désiré à l'aide du potentiamètre Note vers emplacement :

La plage s'étend de 1 à 8, correspondant aux huit emplacements de boucles. L'emplacement sélectionné est indiqué par une LED allumée.
Creation de notes de séquenceur
Chaque slice d'une boucle REX peut être transférée en tant que note MIDI vers des pistes du séquenceur. Cela permet un contrôle précis de chaque sample d'une boucle REX. Pour creer des notes de séquenceur à partir de slices, procédez de la façon suivante :
- Sélectionnez la piste de séquenceur associée au module Dr. Octo Rex.
- Définissez les indicateurs gauche et droit pour couvir la section que vous souhaitez agrémenter de notes REX.
- Sélectionnez l'emplacement de boucle qui contient la boucle REX que vous souhaitez copier dans la piste de séquenceur.
- Cliquez sur le bouton Copier la boucle sur la piste.

À présent, le programme va créé des clips contenant une note pour chaque slice d'une boucle REX de l'emplacement de boucle sélectionné, place en fonction du timing des slices. Les notes seront réparties par demiton, la première note sur C1, la seconde sur C#1 et ainsi de suite, avec une note pour chaque slice.
Outre les notes créées, le paramètre Note vers emplacement (voir "Note vers emplacement") est copied dans les clips en tant que contrôleur de performance. Cela permet à Dr. Octo Rex de savoir dequel emplacement de note proviennent les notes generées et donc, de dire automatiquement les slices de boucle depuis l'emplacement de boucle approprié.


Les clips de boucle dans la vue Morceau...

... et en mode Édition, avec le paramètre Note vers emplacement en tant que contrôleur de performance au bas de l'écran.
- Désactive le paramètre Activer la lecture de la boucle.

La désactivation est nécessaire car vous ne souhaitez probablement pas contrôle la lecture de la boucle à l'aide de la fonction Exécuter mais plutôt à l'aide de la lecture de notes du séquenceur. Si le paramètre Activer la lecture de la boucle est activé, des notes doubles seront jouées pendant la lecture depuis le séquenceur.
L'activation de la lecture dans le séquenceur lancera à présent la lecture des notes de la piste du séquenceur. Ces notes joueront à leur tour les slices de la boute REX de l'emplacement de boute défini dans le paramètre Note vers emplacement, dans l'ordre approprié et avec le timing d'origine. Les choses amusantes peuvent enfin commencer!
- Si la longueur de la zone située entre les indicateurs gauche et droit est plus grande que celle de la boucle REX, les clips seront répétés sur la bande de notes.


La longueur de la boucle REX est d'une mesure et l'espace situé entre les indicateurs est de quatre mesures, par conséquent le clip est répété quatre fois sur la bande de notes.
- La fonction Copier la boucle sur la piste cree toujours un nombre exact de clips complets, le dernier clip peut donc « déborder » de l'indicateur droit.

Ici, la boucle REX est longue de quatre mesures. Puisqu'il n'y a que deux mesures entre les indicateurs, le clip dépassera de l'indicateur droit.
! Si vous utilisez la fonction Remplacement pour les slices de la boucle REX, ces dernières produit differentes numeros de notes à chaque utilisation de la fonction Copier notes sur la piste. Voir “À propos du parametre Remplacement” pour plus de détails.
Si you le souhaitez, you pouze redimensionner manuellement le clip de maniere a ce qu'il ne contienne que deux mesures, en cliquant sur la poignee droite du clip puis en la faisant glisser. Les deux dernieres mesures du clip seront alors masquées et ne seront pas lues (voir "Redimensionnement des clips (masquage)").
- Vous pouvez changer le groove dans la boute en quantifiant ou en déplaçant les notes.
- Vous pouvez transposer les notes pour changer l'ordre des slices lors de la lecture.
- Vous peuvent utiliser la fonction Modification de notes (voir “Déplacement de notes avec la fonction « Alterer des notes »”) pour changer l'ordre des notes de la boucle, sans ALTERER le timing d'origine de la boucle.
- Vous pouvez supprimer et ajouter de nouvelles notes, créé ainsi tout type de variations.
- Vous pouvez utiliser la fonction Groove d'utilisateur pour appliquer le feeling rythmique de la boucle aux notes d'autres pistes de séquenceur.
Pour plus de détails sur l'édition dans le séquenceur, voir le chapitre "Édition de notes et d'automation".
! Notez qu'en cas de creation de notes de séquenceur à partir d'un fichier REX d'un emplacement de boucle spécifique, la sélection d'une autre boucle REX d'un autre emplacement de boucle peut affecter la lecture. Cela s'explique par le fait que les notes générées à partir de la boucle REX d'origine ne correspondront pas, dans la plupart des cas, aux slices des autres boucles REX. Dans certaines situations, cependant, cela peut résultat en quelque chose de très intéressant, alors n'hésitez pas à expérimenter.
- Vous pouvez automatiser la sélection de l'emplacement de boucle à l'aide de la fonction Notes vers emplacement voir "Note vers emplacement".
Voues pouvez également exporter un fjichier REX en tant que fjichier MIDI, comme décrit dans "Exporter REX en tant que fjichier MIDI...".
Manipulation des slices
Selection des slices

La slice sélectionnée est mise en surbrillance dans l'affichage sous forme d'onde. Pour sélectionner une slice, utilisez l'une des méthodes suivantes :
En cliquant dans l'affichage sous forme d'onde.
Si vous maintainez enforcée la touche [Option] (Mac) ou [Alt] (Windows) et cliquez sur une slice dans l'affichage sous forme d'onde, cette slice sera jouée. Le pointeur prendra la forme d'un haut parleur pour l'indiquer.
En utilisant le bouton « Slice » de l'affichage sous forme d'onde.
Via l'interface MIDI.
Si vous activez « Sélectionner la slice via MIDI», vous pouvez selectionner et « jouer » les slices en utilisant notre clavier MIDI. Les slices sont toujours affectées à des demi-tons consécutifs, la première slice correspondant toujours à la touche C1.

Si vous jouez une boucle lorsque l'option « Sélectionner la slice via MIDI » est activée, chaque slice consécutive est sélectionnée dans l'affichage sous forme d'onde à mesure que vous appuyez sur les touches. Vous pouvez modifier les paramètres durant la lecture.
Édition de slices individuelles
Il existe deux méthodes de base pour éoperator une slice dans Reason :
- Depuis l'affichage sous forme d'onde du module Dr. Octo Rex.
Cette méthode permet d'effectuer des réglages de lecture pour une slice.
- Dans le séquenceur.
Avec cette méthode, vous pouvez éoperator les notes qui jouent les slices. Il existe une bande REX spéciale pour éoperator les notes de slice REX, les notes étant indiquées par des numérodes de slice只想 que par des pitches. L'édition de notes dans le séquenceur est décrite dans le chapitre "Édition de notes et d'automation".
Édition dans l'affichage sous forme d'onde

Ici, vous pouvez éditer plusieurs paramètres pour chaque slice, en la sélectionnant dans un premier temps, puis en utilisant les boutons situés sous l'affichage de la forme d'onde. Si vous souhaitez éditer un seul paramètre pour plusieurs slices, il conviendrait moins d'utiliser le mode Édition de slice (voir "Le mode Édition de slice"). Les paramètres de slice suivants peuvent être régliés :
| Paramètre | Description |
| Pitch | Yousemet de transposer chaque slice par demi-ton sur une etendue de plus de huit octaves. |
| Pan | La position stéréo de chaque slice. |
| Niveau | Le volume de chaque slice. La valeur par défaut est de 100. |
| Déclin | Yousemet de raccourcir des slices. |
| Inv | Yousemet de jour des slices individuelles dans le sens inverse (à l'envers). |
| F.Freq | Yousemet de modifier la fréquence de coupure du filtre de chaque slice. Cette valeur est ajoutée (ou soustraite si négative) à la valeur FREQ du panneau du synthétiseur (voir "Fréquence du filtre"). |
| Remplacement | Yousemet d'attribuera des slices à un groupe de remplacement (1 à 4). Les slices attribuées à l'un de ces groupes de remplacement seront jouées dans un ordre aléatoire dans chaque groupe (voir "À propos du paramètre Remplacement"). |
| Sortie | Yousemet d'attribuera des slices à différentes sorties audio (1 à 8). Si la boucle REX est en stéréo, il existe une autre option permettant de selectionner des paires de sorties (1+2, 3+4, 5+6 ou 7+8) pour chaque slice. |
! Si vous avez regle l'un des parametes ci-dessus, ils seront perdus lorsque vous chargerez un nouveau fichier REX dans cet emplacement de boucle.
À propos du paramètre Remplacement
Le paramètre Remplacement de l'affichage sous forme d'onde peut etre utilise pour creer une impression de « live » dans vos boucles REX en remplaçant les samples de chaque groupe de remplacement. Par exemple, si vous attribuez toutes les slices de coup de caisse claire de la boucle au groupe de remplacement 1, les samples de caisse claire seront selectionnés et joues de façon aléatoire à chaque apparition de ces slices dans la boucle. Vous pouvez alors attribuer toutes les slices de charley au groupe de remplacement 2 et ainsi de suite. Ainsi, la lecture de la boucle sera différente à chaque cycle.
Dans l'exemple ci-dessous, les slices 3 et 6 ont ete attribuées au meme groupe de remplacement. Ici, nous avons utilise la fonction Copier la boucle sur la piste a cinq reprises afin de generer des notes a partir des slices de la boucle, pour que vous puissiez voir la repartition des notes. Come you pouvez le voir, les slices 3 et 6 ont ete réparties de façon aléatoire pour chaque cycle de boucle :

Cette répartition aléatoire au sein de chaque groupe de remplacement se produit également lorsque vous jouez une boucle REX à l'aide de la fonction Exécuter et lorsque vous utilisez l'option Automation de patterns du séquenceur principal.
Le mode Édition de slice
Le mode Édition de slice est très pratique lorsque vous souhaitez éoperator plusieurs slices en même temps. En mode Édition de slice, vous pouvez éoperator un paramètre pour toutes les slices d'une boucle.
1. Cliquez sur le bouton Mode Édition de slice.

L'affichage sous forme d'onde montre alors la boucle REX en mode Édition de slice.
2. Sélectionnez le paramètre que vous souhaitez éditer en cliquant sur son nom sous la boucle REX.
Les paramètres pouvant être sélectionnés sont les suivants : Pitch, Pan, Volume, Déclin, Inversion, Fréquence du filtré, Groupe de remplacement et Sortie.

Dans cet exemple, nous avons sélectionné le paramètre Pitch.
- Pour modifier la valeur Pitch de chaque slice, cliquez ou dessinez sur chaque slice dans l'affichage.

Le paramètre Pitch peut désormais être édité pour toutes les slices en une seule fois.
Pour restaurer les valeurs par défaut du paramètre selectionné pour une ou plusieurs slices, maintenez enfoncée la touche Ctrl ou Cmd et cliquez sur la ou les slices désirées, ou bien dessinez sur les slices depuis l'affichage sous forme d'onde.
4. Lorsque vous avez terminé, selectionnez un autre parametre et repeteze cette procedure en dessinant des valeurs pour les slices depuis l'affichage sous forme d'onde.
Si vous avez regle l'un des parametes ci-dessus, ils seront perdus lorsque vous chargerez un nouveau fichier REX dans cet emplacement de boucle.
Paramètres du panneau Dr. Octo Rex
Pitch et roues de modulation

Le Pitch Bend situé à gauche est utilisé pour « tordre » le pitch des notes vers le haut ou vers le bas. La roue de modulation est utilisée pour appliquer une modulation lorsque vous jouez la boucle. Quasiment tous les claviers MIDI possèdent des options de Pitch Bend et de modulation. Dr. Octo Rex possède également deux « roues » sur le panneau qui peuvent être utilisées pour appliquer une modulation ou un Pitch Bend en temps réel si votre clavier ne possède pas ces options ou si vous ne disposez pas de clavier. Les roues reflètent exactement le mouvement des contrôleurs correspondants sur le clavier MIDI.
Les paramètres Plage du Pitch Bend et Destination de modulation peuvent être définis sur le panneau des paramètres du synthétiseur, voir "Plage du Pitch Bend" et "Roue de modulation".
Déclencher la boucle suivante

Le paramètre Déclencher la boucle suivante détermine le timing du passage d'un emplacement de la boucle à un autre, voir "Fonction Déclencher la boucle suivante".
Note vers emplacement

Le bouton Note vers emplacement est regle sur l'emplacement 1.
Le bouton Note vers emplacement permet de définir quel Emplacement de boucle est actuellment controle depuis le clavier maître MIDI ou par toute note de séquenceur enregistrée. L'emplacement de boucle ayant actuellment une entrée de note est indiqué par une LED allumée.
Le paramètre Note vers emplacement peut également être automatisé. Cela signifie que vous pouvez passer d'un Emplacement de boucle à un autre pour chaque note de séquenceur si vous le souhaitez. Cela permet d'intéressantes experimentations en matière de « beat mangling ». Dans l'exemple ci-dessous, le paramètre Note vers emplacement a été automatisé de manière à passer d'une boucle REX à l'autre dans les cinq premiers emplacements de boucles :

Automation du paramètre Note vers emplacement pour passer automatiquement d'un Emplacement de boucle à l'autre
Dans l'image ci-dessus, la slice 1 est jouée depuis l'Emplacement de boucle 1, les slices 2 et 3 depuis l'Emplacement de boucle 2, les slices 4 et 5 depuis l'Emplacement de boucle 3, la slice 6 depuis l'Emplacement de boucle 2 et ainsi de suite.
Boutons Emplacement de boucle

Les huit boutons Emplacement de boucle sont situés au centre du panneau avant. Vous pouze charger une boucle REX par emplacement. Le chargement des boucles REX se fait depuis le panneau Editeur de boucle, voir "Sélectionner la boucle et Charger l'emplacement".
Cliquez sur un bouton Emplacement de boucle pour selectionner et dire sa boucle REX. Lisez la boucle REX de l'emplacement de boucle selectionné en cliquant sur le bouton Exécuter (ou Lecture dans le séquenceur principal).
! Notez qu'en sélectionnant un emplacement de boucle, vous ne seLECTIONnez que la boucle REX correspondante à l'aide de la fonction Exécuter (voir "Activer la lecture de la boucle et Exécuter"). Pour définir quel emplacement de boucle doit être contrôle par le clavier maître ou les notes du séquenceur, utilisez le bouton Note vers emplacement (voir "Note vers emplacement").
Activer la lecture de la boucle et Exécuter

Cliquez sur le bouton Activer la lecture de la boucle pour pouvoir jour les bocles REX à l'aide du bouton Exécuter ou de la fonction Lecture du séquenceur principal.
Si le bouton Activer la lecture de la boucle n'est pas activé, vous ne pourrez pas jouer les boucles à l'aide des fonctions Executer et Lecture du séquenceur. Cela peut se révérer utile uniquement si vous souhaitez contrôle certains slices de boucles REX depuis un clavier maître ou depuis des notes enregistrées dans le séquenceur principal.
Volume

Le paramètre Volume général permet de contrôler le volume général des boucles de tous les emplacements de boucles.
Réglage par demi-ton général

Pour définiir la transposition générale des boucles de tous les emplacements de boucles, utilisez le bouton rotatif Réglage par demi-ton général. Vous pouvez augmenter ou diminuer le pitch de 12 demi-tons (+/- 1 octave).
Paramètres du synthétiseur Dr. Octo Rex
Les paramètres du synthétiseur de Dr.Octo Rex sont utilisés pour façon et moduler le son des boucles REX. Ces paramètres ressemblant à ceux des synthétiseurs Subtractor et Malström et des samplers NN-19 et NN-XT. Il faut retenir que ces paramètres ne modifient en aucun cas les fichiers REX, mais seulement la façon dont ils sont joués.
! La plupart des paramètres du synthétiseur sont appliqués de façon globale, c'est-à-dire qu'ils s'appliquent à toutes les slices des fichiers REX ainsi qu'à toutes les boucles REX des huit emplacements de boucle.
Tous les paramètres du panneau du synthétiseur Dr. Octo Rex sont stockés dans le morceau (et dans le fichier de patch Dr. Octo Rex si vous souhaitez enregistrer les paramètres en tant que patch).
Sélectionner la boucle et Charger l'emplacement

Pour selectionner une boucle REX chargée en vue de l'editor ou pour charger un nouveau fichier REX, cliquez sur l'un des huit boutons Selectionner la boucle et Charger l'emplacement.
Si aucune boucle ne se trouve dans l'emplacement de boucle selectionné, l'affichage sous forme d'onde reste vide. Sinon, l'affichage montre la boucle REX ainsi que des informations la concernant (nom, tempo d'origine, nombre de mesures et signature).
Cliquez sur le bouton Suivre la lecture de la boucle pour synchroniser les boutons Sélectionner la boucle et Charger l'emplacement avec les boutons Emplacement de la boucle du panneau avant.
De cette façon, la boucle en cours de lecture sera toujours affichée dans l'affichage sous forme d'onde. Si vous utilisez l'automation de patterns du séquenceur, qui permet de passer d'un emplacement de boucle à l'autre pendant la lecture, la désactivation de la fonction Suivre la lecture de la boucle peut faciliter l'édition d'une boucle particulière.
Consultez "Ajout de boucles" pour en savoir plus sur le chargement des fichiers REX et "Édition dans l'affichage sous forme d'onde" pour en savoir plus sur l'édition des boucles REX.
Réglage par demi-ton de la boucle

Définissez la transposition des boucles dans Dr. Octo Rex à l'aide du potentiemètre Réglage par demi-ton de la boucle située en bas à gauche du panneau, ou bien enclinquant sur l'affichage du clavier sous le potentiemètre.
Vouspouvez augmenter ou diminuier le pitch de 12 demi-tons (+ / - 1 octave).
- La valeur de réglage par demi-ton peut également être modifiée via l'interface MIDI, en appuyant sur les touches C-2 à C0 (C-1 réinitialise la valeur à zéro).
Ainsi, you couldz egalent enregister les modifications de la transposition dans le sequencer.
! Pour régler le Réglage par demi-ton de la boucle via l'interface MIDI, le paramètre Note vers emplacement doit être définir sur l'emplacement que vous souhaitez modifier, voir "Note vers emplacement".
Il est également possible de définir une valeur de transposition générale qui s'applique à toutes les boucles REX, voir "Réglage par demi-ton général".
Niveau de la boute
Pour définir les niveaux de chaque boucle contenue dans les emplacements de boucles, utilisez le bouton Niveau de la boucle.
Ceci vous permet de définir le niveau des bocles des 8 emplacements de bocles.
Section Oscillateur

Pour un fichier REX, l'audio contenu dans les slices représenté ce que les oscillateurs sont pour un synthétiseur, c'est-à-dire la principale source de son. Les réglages suivants peuvent être effectuels dans la section Pitch de l'oscillateur de Dr. Octo Rex :
Env. A
Ce paramètre permet de définir de chaque façon le pitch global de tous les fichiers REX sera affecté par l'enveloppe de filtré (voir "Enveloppe de filtré"). Vous pouvez définir des valeurs négatives ou positives, ce qui définira si la courbe de l'enveloppe doit augmenter ou diminuier le pitch.
Oct et Fine - Définition du pitch général
Voupez regler le pitch général des fichiers REX des 8 emplacements de boucles de trois façons différentes :
Par octave.
Pour cela, utilisez le bouton Oct. L'etendue est de 0 à 8, 4 étant la valeur par défaut.
Par demi-ton.
Pour cela, utilisez les boutons Reglage par demi-ton général, voir "Réglage par demi-ton général".
Par centième de demi-ton.
L'etendue est de -50 à 50 (plus ou moins une moitié de demi-ton).
Pour régler la transposition de chaque boucle REX, utilisez le paramètre Réglage par demi-ton de la boucle, voir "Réglage par demi-ton de la boucle".
Pour régler une slice apparant à une boucle REX, sélectionnez-la et utilisez le paramètre Pitch sous l'affichage sous forme d'onde (voir "Édition dans l'affichage sous forme d'onde").
Roue de modulation

La roue de modulation peut être régée pour contrôler simultanément plusieurs paramètres. Vous pouvez définir des valeurs positives ou négatives, tout comme dans la section Contrôle par velocité. Les paramètres suivants peuvent être affectés par la roue de modulation :
| Paramètre | Description |
| F. Freq | Cela permet de contrôle le paramètre de fréquence du filtre. Une valeur positive augmente la fréquence lorsque la roue est pousseée en avant. Une valeur négative inversera cette relation. |
| F. Res | Cela permet à la roue de modulation de contrôle le paramètre de résonance du filtre. Une valeur positive augmente la résonance lorsque la roue est pousseée en avant. Une valeur négative inversera cette relation. |
| F. Decay | Cela permet à la roue de modulation de contrôle le paramètre de déclin de l'enveloppe de filtre. Une valeur positive augmente le déclin lorsque la roue est pousseée en avant. Une valeur négative inversera cette relation. |
Section Velocité

La velocité est généralement utilisée pour contrôle divers paramètres en fonction de la force avec laquelle vous jouez les notes sur votre clavier. Un fichier REX ne contient pas lui-même de valeurs de velocité. Et lorsque vous créEZ des données de piste de séquenceur avec la fonction Copier la boucle sur la piste, toutes les velocités sont régles par défaut sur la valeur 64. Puisque les informations relatives à la velocité sont censées reflérer la variation, les régler toutes sur la même valeur ne présente pas réellement d'intérêt si votre but est de contrôle les paramètres du Dr. Octo Rex par la velocité.
Il existe deux façon d'appliquer des valeurs de velocité « significatives » aux fichiers REX :
- Àpèras avoir créé des données de piste, vous pouvez éoperator les valeurs de velocité dans la bande de velocité du séquenceur.
- Vous pouvez jour des slices en temps réel sur votre clavier. Les données résultatses auront des valeurs de velocité reflètant la force avec laquelle vous avez joué les notes.
Une fois les valeurs de velocité ajustées, vous pouvez contrôler l'importance de la modification des divers paramètres par la velocité. La sensibilité de la velocité peut être définie sur des valeurs positives ou négatives, la position centrale représentant l'absence de contrôle par la velocité.
Les paramètres suivants peuvent être contrôlés par la velocité :
| Paramètre | Description |
| F. Env | Cela définit le contrôle par la véclocité du paramètre Intensité d'enveloppe de filtrte. Une valeur positive augmentera l'intensité de l'enveloppe de filtrte avec les valeurs de véclocité plus élevées. Une valeur négative inversera cette relation. |
| F. Decay | Cela définit le contrôle par la véclocité du paramètre de déclin de l'enveloppe de filtrte. Une valeur positive augmentera le temps de déclin avec des valeurs de véclocité plus élevées. Une valeur négative inversera cette relation. |
| Amp | Cela vous permet de contrôle par la véclocité le volume général du fichier. Si une valeur positive est choisis, le volume augmentera avec des valeurs de véclocité plus élevées. |
La section Filtre

Les filtres seront a faconner le timbre global des fichiers REX contenus dans les 8 emplacements de boucles. Le filtré dans Dr. Octo Rex est un filtrer multi-modes avec cinq modes de filtrre.
En cliquant sur le bouton On du filtrre, vous activez ou désactivez totalement le filtrre.
Le filtré est activé lorsqu'el bouton est allumé.
Mode
C'est ce bouton qui vous permet de définir le filtrer à utiliser comme l'un des cinq types de filtrre. Ces filtrres sont les suivants :
Notch
Un filtrtre notch (ou filtrtre coupe-bande) peut etre decrit comme l'opposé d'un filtre passe-bande. Il coupe toutes les fréquences d'une étroite bande mediane, laissant passer les fréquences au-dessus et en-dessous de cette bande.
- Passe-haut (HP12)
Un filtré salle-haut fonctionne à l'opposé d'un filtré salle-bas, coupant les basses fréquences et laissant passer les fréquences haute. Le filtré Passe-haut possède une courbe roll-off de 12 dB/Octave.
- Passe-bande (BP 12)
Un filtrte passe-bande coupe à la fois les hautes et les basses fréquences mais les fréquences de la bande mediane ne sont pas affectées. Chaque courbe de ce type de filtrte a un roll-off de 12 dB/Octave.
Ce type de filtré passée-bas est également très repandu dans les synthétiseurs analogiques classiques (Oberheim, premiers synthétiseurs Korg, etc.). Il a une courbe douce (12 dB/Octave), faisant passer plus d'harmoniques dans le son filtré comparé au filtré LP 24.
- Passe-bas 24 dB (LP 24)
Les filtres passé-bas laissent passer les basses fréquences et coupent les haute fréquences. Ce type de filtrer a une courbe roll-off只不过 douce (24dB/Octave). De nombreux synthétiseurs classiques (Minimoog/Prophet 5 etc.) utilise ce type de filtré.
Fréquence du filtré
Le paramètre Fréquence du filtré (souvent appelé fréquence de coupure) détermine la partie du spectre de fréquence du filtré sur laquelle le filtré aura un effet. Pour un filtré passée-bas, le paramètre de fréquence pourrait être décrit comme décidant l'ouverture et la fermeture du filtré. Si le paramètre Fréquence du filtré est défini sur zéro, aucune ou seulement très peu de fréquences sont entendues. S'il est réglé sur le maximum, toutes les fréquences de la forme d'onde seront entendues. Le changement progressif de la fréquence du filtré produit le son de filtré de synthétiseur classique dit de « balayage »
! Notez que le paramètre de fréquence de filtrte est généralement contrôle par l'enveloppe de filtrte (voir "Enveloppe de filtrte"). La modification de la fréquence du filtrte avec le curseur de fréquence pourraitès lors ne pas produit le résultat attendu.
Résonance
Le paramètre de résonance définit le caractère du filtr, ou sa qualité. Pour les filtres passé-bas, l'augmentation de la résonance accentue les fréquences autour de la fréquence définie pour le filtr. Cela produit généralement un son plus fin mais avec un « balayage » de la fréquence du filtr plus précis et plus prononcé. Plus la valeur de résonance est élevé, plus le son devient résonnant jusqu'à produit un son sifflant ou sonnant. Si vous définisse une valeur élevée pour le paramètre de résonance et ensuite modifiez la fréquence du filtr, cela produit un balayage très distinct, le son sonnant devenant très évident à certaines fréquences.
- Avec un filtrtre salle-haut, le paramètre de résonance fonctionne comme pour les filtres salle-bas.
Lorsque you utilisez un filtre passe-bande ou notch, le reglage de la resonance permet d'ajuster la largeur de la bande.
Lorsque vous augmentez la résonance, la bande dans laquelle les fréquences passent (passe-bande) ou sont coupées (notch) deviendra plus étroite. Généralement, le contrôle de notch produit des résultats plus musicaux avec des réglages de résonance bas.
Section Enveloppe
Les générateurs d'enveloppe sont utilisés pour contrôler plusieurs paramètres de son importants dans les synthétiseurs analogiques, tels que le pitch, le volume, la fréquence du contrôle, etc. Dans un synthétiseur conventionnel, les enveloppées gérènt la façon dont ces paramètres répondent avec le temps, c'est-à-dire depuis le moment où la note est déclenchée jusqu'à un moment où elle est reliçée. Dans le module Dr. Octo Rex cependant, les enveloppées sont déclenchées à chaque fois qu'une slice est jouée.
Il y a deux générateurs d'enveloppe dans Dr.Octo Rex, un pour le volume, l'autre pour la fréquence du filtre (et/ou le pitch). Les deux disposent des quatre paramètres standard : Attaque, Déclin, Maintien et Relâchement.
! Consultez la section "Enveloppes - Général" du chapitre consacre au Subtractor pour une description des paramètres de base de l'enveloppe.
Enveloppe d'amplitude

L'enveloppe d'amplitude gère la façon dont le volume de la slice change avec le temps, du moment où elle est déclenchée (la note départ de la slice) jusqu'àu moment où la slice s'arrête. Elle peut être utilisée pour rendre une slice plus remarquable (en ayant une attaque plus claquante et un temps de déclin plus court) ou plus imposante (en augmentant le temps d'attaque).
Enveloppe de filtré

Le paramètre Enveloppe de filtré peut être utilisé pour contrôler les deux paramètres des boucles REX des 8 emplacements de boucles, qui sont la fréquence de filtré et le pitch général de la boucle. En définissant une enveloppe de filtré, vous contrôle la façon dont la fréquence du filtré et/ou le pitch change avec le temps pour chaque slice.
Le paramètre Intensité déterminé àquel degré la fréquence sera affectée par l'enveloppe de filtre. Plus la valeur du paramètre Intensité est élevée, plus l'effet de l'enveloppe sur le filtre sera prononcé.
- Essayez de descendre le curseur Fréquence et d'augmenter la résonance et l'intensité de l'enveloppe pour obtenir un meilleur effet de l'enveloppe filtré.
Section LFO

LFO est l'acronyme de Low Frequency Oscillator, soit oscillator à très BASSE fréquence. Les LFO sont des oscillateurs en ce sens qu'ils générent une forme d'onde et une fréquence. Cependant, ils possèdent deux différences significatives par rapport aux oscillateurs classiques générateurs de sons :
- Les LFO ne générent que des formes d'onde avec de basses fréquences.
- La sortie des deux LFO n'est jamais réellement entendue. Elle est, au contraire, utilisée pour moduler divers paramètres.
L'application la plus répandue d'un LFO est la modulation du pitch d'un oscillateur (générateur de son) ou d'un sample, pour produit un vibrato. Dans le module Dr. Octo Rex, vous pouvez également utiliser le LFO pour moduler la fréquence du filtré ou le panoramaque.
Formed'onde
Le LFO 1 vous permet deCHOISIR DIFFERENTES formes d'onde pour modifier les parametes. Les voici, de haut en bas :
| Forme d'onde | Description |
| Triangulaire | Forme d'onde douce, convenant à un vibrato normal. |
| Inversée | Produit un cycle « ramp up ». Si elle est définié pour contröler le pitch (fréquence), le pitch sera balayé jusqu'à un point défini (par le réglage Intensité), après quoi le cycle recommence immEDIatement. |
| En dents de scie | |
| En dents de scie | Cela produit un cycle « ramp down », identique au précédent mais inversé. |
| Carrée | Produit un cycle qui change abruptement entre deux valeurs, utilisable pour des trilles, etc. |
| Aléatoire | Produit une modulation par paliers aléatoire de la destination. Dans certains ancients synthétiseurs analogues, cette fonctionnalité se nommaït « sample & hold ». |
| Aléatoire doux | Identique à la précédente, mais avec une modulation progressive. |
Destination
Les destinations disponibles du LFO sont les suivantes :
| Destination | Description |
| Osc | Le LFO contrôle le pitch (fréquence) du fichier REX. |
| Filtre | Le LFO contrôle la fréquence du filtre. |
| Pan | Le LFO module la position panoramicique du fichier REX, c'est-à-dire qu'il déplacera le son de gauche à droite dans le champ stéreo. |
Synchro
En cliquant sur le bouton Synchro, vous activez ou désactivez la synchronisation du LFO. La fréquence du LFO sera alors synchronisée avec le tempo du morceau, dans l'une des 16 divisions temporelles disponibles. Lorsque Sync est activé, le bouton Rate (voir ci-dessous) est utilisé pour définir la division temporelle désirée.
Tournez le bouton et regardez l'info-bulle pour avoir une indication de la division temporelle.

Rate
Le bouton Rate contrôle la fréquence du LFO. Tournez-le dans le sens des aiguilles d'une montre pour obtenir une fréquence de modulation plus élevé.
Intensité
Ce paramètre déterminé jusqu'à quel degré le paramètre de destination sélectionné sera affecté par le LFO 1, c'est-à-dire l'intensité du vibrato, du wah ou du panoramaque automatique.
Plage du Pitch Bend

Le paramètre Plage du Pitch Bend définit l'intensité maximal de Pitch Bend lorsque la roue est tournée à fond vers le haut ou vers le bas. L'étendue maximale est de 24 demi-tons (c'est-à-dire +/- 2 octaves).
Définition du nombre de voix - Polyphonie

Cela permet de définir la polyphony, c'est-à-dire le nombre de voix ou de slices que Dr. Octo Rex peut jouer simultanément. Pour une lecture normale de boucle, il est interèssant de noter que les slices sont parfoids « superposées ». De ce fait, il est recommandé d'utiliser un paramètre de polyphony d'environ 3 à 4 voix lorsque vous lisiez des fichiers REX. Si vous jouez des slices via l'interface MIDI, le réglage de polyphony doit être définii en fonction du nombre de slices que vous souhaïze superposer.
! Notez que le réglage de polyphonie ne « monopolise » pas les voix. Par exemple, si vous lisez un fichier qui possède un réglage de polyphonie de dix voix, mais que le fichier n'utilise que quatre voix, cela ne signifie pas que vous avez « gachué » six voix. En d'autres termes, le réglage de polyphonie n'est pas à prendre en considération si vous souhaitez économiser la puissance du CPU, autrement dit, c'est le nombre de voix réellement utilisées qui compte.
Réglages de la qualité audio
Ces deux fonctionnalités de Dr. Octo Rex fournissant des moyens d'équilibrer la qualité de l'audio par rapport à la puissance de calcul. Ces paramètres sont « Interpolation haute qualité » et « Réduction des aigus » et sont situés à droite du panneau arrêté :

Interpolation haute qualité
Lorsque cette fonction est activée, la lecture du fichier de boucle est calculée à l'aide d'un algorithme d'interpolation plus sophistiqué. Cela permet d'obtenir une meilleure qualité audio, en particulier pour les boucles qui contiennent de nombreuses haute fréquences.
- Cette fonction utilise plus de puissance de calcul, donc si vous n'en avez pas besoin, il vaut mieux la désactiver.
Écoutez la boucle en contexte et déterminez si ce réglage fait une quelconque différence.
Réduction des aigus
Cela supprimera certaines haute fréquences du son, mais cela n'est généralement pas notable (surtout si vous avez « baisse » le filtré de votre boucle). L'activation de ce mode vous permet d'obtenir davantage de puissance du processeur, si nécessaire.
Connexions

Les connecteurs se trouvent sur le panneau arrêté de Dr. Octo Rex. La partie gauche du panneau abrite plusieurs entrées et sorties CV/Gate. L'utilisation des entrées et sorties CV/Gate est décrite dans "Routage de l'audio et du CV".
Entrées de modulation
Ces entrées de tension de contrôle (et leurs potentiamétres associés) peuvent modérer divers paramètres de Dr. Octo Rex depuis d'autres modules (ou depuis les sorties de modulation du module Dr. Octo Rex). Les entrées CV suivantes sont disponibles :
Volume général
- Roue de modulation
Roude Pitch Bend
- Coupe du filtré
- Résonance du filtré
Pitch de I'oscillateur
Sorties de modulation
Les sorties de modulation peuvent etre utilisées pour contrcler d'autres modules ou d'autres parametes du module Dr. Octo Rex. Les sorties de modulation sont les suivantes :
- Enveloppe de filtré
Les enveloppes de filtrde Dr. Octo Rex sont polyphoniques (une enveloppe par voix). Seule l'enveloppe de filtre de la voix 1 est une sortie ici.
LFO
Entrées Gate
Ces entrées peuvent receivevoir un signal CV/gate pour déclencher les deux enveloppés. Notez qu'en vous connectant à ces entrées, vous remplacez le déclenchement « normal » des enveloppés. Par exemple, si vous connectez une sortie de LFO CV d'un autre module à l'entrée Gate Amp du module Dr. Octo Rex, l'enveloppe d'amplitude ne sera plus déclenchée par les notes MIDI entrant dans Dr. Octo Rex, mais par le signal CV du LFO. De plus, vous n'entendrez le déclenchement d'enveloppe par le LFO que pour les boucles qui sont jouées au moment du déclenchement.
- Enveloppe d'amplitude
- Enveloppe de filtré
Sortie Gate
Cette sortie fournit un signal Gate pour chaque slice déclenchée de la boucle.
Sorties de slices
Les huit sorties audio de slices se trouvent à la droite des entrées et sorties de modulation. Vous pouvez attribuer des slices à l'une de ces sorties, comme décrit dans "Édition dans l'affichage sous forme d'onde".
Sorties principales
Il s'agit des sorties audio principales gauche et droite situées à droite. Lorsque vous creez un nouveau module Dr. Octo Rex, elles sont routées automatiquement vers le premier canal disponible du mixeur audio.

REASON
Chapitre 31
Boîte à rythme
Redrum
Introduction

Au premier abord, Redrum semble s'inspirer des boîtes à rythme à base de pattern, comme les mythiques instruments Roland 808/909. En effet, il possède une rangée de 16 boutons de pas utilisés pour programmer des patterns par pas, exactement comme dans les classiques susmentionnés. Il existe cependant des différences notables. Redrum propose dix « canaux » de batterie qui peuvent tous receivevoir un fichier audio, ce qui offre des possibités sonores sans fin. Si vous n'aimez pas la caisse claire, changez-en tout simplement. Des kits de batterie complets peuvent être sauvégardés sous forme de patches Redrum, vous permettant de mélanger et d'associer des sons de batterie et de créé vos propres kits de batterie très simplement.
En outre, Redrum possede égarlement des fonctionnalités de sampling. Cela signifie que vous pouze réaliser le sample de vos propressons directement dans un des dix canaux de batterie d'un simple clic!
Sampling dans Redrum
La procédure de sampling est générique pour tous les modules permettant de creer des samples (NN-19, NN-XT, Redrum et Kong). Les procédures d'edition de sample et de sampling sont décrites en detail au chapitre "Sampling".
Pour réaliser le sample de votre propre son et le charger automatique dans une voie de mixage du module Redrum, cliquez sur le bouton Sample de la voie de mixage souhaitee.

Reportez-vous au chapitre "Sampling" pour plus de détails sur la manière de configurer et d'utiliser la fonction sampling.
À propos des formats de fichier
Redrum prend en charge deux types de fichiers de base :
Patches Redrum
Un patch Redrum (extension Windows « .drp ») contient tous les réglages pour les dix canaux sonores de batterie, incluant les références aux samples de batterie utilisés (mais pas les samples de batterie eux-mêmes). Basculer d'un patch à l'autre revient à sélectionner un nouveau kit de batterie.
Samples de batterie
Redrum peut dire et jouer des fichiers samples aux formats suivants :
Wave (.wav)
- AIFF (.aif)
SoundFonts (.sf2)
- Slices de fichiers REX (.rx2, .rex, .rcy)
- N'importequelle résolution
- N'importe qu'elle fréquence de sample
- Stéreo ou Mono
Wave et AIFF sont les formats de fichiers audio standard pour les plateformes PC et Mac, respectivement. Tout éditeur audio ou de sample, qu'elle que soit la plateforme, peut dire et creer des fichiers audio dans au moins l'un de ces formats, et la plupart d'entre eux dans les deux formats.
SoundFonts est un standard ouvert pour l'audio numérique à table d'ondes, développé par E-mu systems et Creative Technologies.
Les banques SoundFont contiennent des tables d'ondes de sons synthétisés, permettant à l'utilisateur de créé et d'éditer des sons multi-samplés dans les logiciels d'édition prévus pour Soundfont. Cessons peuvent êtrelus par les synthétiseurs à table d'ondes, typiquement sur une carte son. Les samples dans un SoundFont sont stockés hierarchiquement dans différentes catégories: samples de l'utilisateur, instruments, préroglages, etc. Redrum youpermét de parcourir et de charger des samples SoundFont individuels et non l'intégrality des SoundFonts.
Les fichiers REX sont des fichiers créés dans ReCycle - un programme créé pour travailler avec des boucles samplées. Il fonctionne en découpant en « slices » une boucle et en créé des samples individuels pour chaque battement, ce qui permet de modifier le tempo des boucles sans modifier le pitch et d'editor la boucle comme si elle était composée de sons individuels. Redrum vous permet de parcourir les fichiers REX et d'en charger des slices séparées comme des samples individuels.
Utilisation des patches
Lorsque vous creez un nouveau module Redrum, celui-ci est chargé avec un kit par défaut. Si vous le souhaitez, vous pouvez programmer une pattern et une lecture à l'aide de ce kit par défaut - ou charger un autre patch Redrum (ou en creator un nouveau en chargeant des patches de batterie individuels). Un patch Redrum contient les réglages des dix canaux sonores de batterie avec les références aux fichiers de samples de batterie utilisés.
! Les patterns Redrum ne font pas partie du patch ! Si vous voulez enregistrer des patches Redrum completes avec les patterns, créez un Combinator contenant le Redrum et enregistrrez un patch Combi.
Charger un patch
Pour charger un patch, utilisez l'une des méthodes suivantes :
Utilisez le navigateur pour trouver et ouvrir le patch de votrechoix.
Pour ouvrir le navigateur, sélectionnez « Parcourir les patches Redrum » dans le menu Édition ou dans le menu contextuel du module, ou cliquez sur le bouton en forme de dossier dans la section patch du panneau du module.

Lorsque you've selectionne un patch, you pouze passer d'un patch à l'autre dans le même dossier en utilisant les boutons flechés a coté de l'affichage du nom du patch.
Si vous cliquez sur l'affichage du nom du patch dans le panneau du module, un menu pop-up apparaitra, affichant tous les patches du dossier actuel.
Cela yous permet de selectionner rapidement un autre patch dans le meme dossier sans avoir a les parcourir un par un.
Vérifier lessons dans un patch
Il y a deux façon d'éçouter les sons dans un patch sans programmer une pattern :
En cliquant sur le bouton Declencher (flèche) en haut de chaque canal sonore de batterie.

En jouant les notes C1 à A1 sur votre clavier MIDI.
C1 joue un son de batterie sur le canal 1 et ainsi de suite. Voir aussi "Utiliser Redrum comme module sonore".
Ces deux méthodes lisent le sample de batterie pour le canal sonore de batterie correspondant, avec tous les réglages pour le son appliqués.
Créer un nouveau patch
Pour creer vos propre patch (ou modifier un patch existant), vous devez faire ce qui suit :
- Cliquez sur le bouton en forme de dossier pour le canal sonore de batterie.
Le navigateur de sample Redrum s'ouvre.

- Trouvez et ouvre un sample de batterie.
Vous trouvez un grand nombre de samples de batteries dans la Factory Sound Bank (dans le dossier kits de batterie Redrum/triés exclusivement par batteries). Vous pouvez également utiliser tout sample AIFF, Wave, SoundFont ou slice fichier REX pour ce faire.
- Effectuez les réglages de votrechioix pour le canal sonore de batterie.
Ces paramètres sont décrits dans "Paramètres de Redrum". - Repetez les étapes 1 à 3 pour les autres canaux sonores de batterie.
- Lorsque you etes satisfait de Your kit de batterie, you pouze enregister le patch en cliquant sur le bouton en forme de disquette dans la section patch du panneau du module.
Notez cependant que vous n'avez pasforcément besoin d'enregistrer le patch - tous les réglages sont inclus si vous enregistrrez le morceau.
Charger des slices de fichiers REX
Le chargement des slices depuis un fichier REX s'effectue de la même façon que lorsque l'on charge des samples «classiques » :
- Ouvrez le navigateur de samples comme décrit précédemment.
- Recherche un fichier REX.
Les extensions possibles sont «.rex2», «.rex » et «.rcy».
- Sélectionnez le fichier et cliquez sur « Ouvrir »
Le navigateur va alors afficher la liste des slices individuelles dans le fichier REX.
- Sélectionnez la slice de votre choix et cliquez sur ouvrir.
La slice est chargée dans le Redrum.
Créer un patch vide
Pour « initiaiser » les réglages dans le Redrum, Sélectionnez « Initiaiser le Patch » dans le menu Édition ou le menu contextual du module. Cela supprime tous les samples pour tous les canaux sonores de batterie, et redéfinit tous les paramètres à leur valeur par défaut.
Programmation des patterns
Bases de la pattern
Redrum contient un séquenceur à patterns intégrées. Contrairement au séquenceur principal de Reason, le séquenceur de Redrum joue de façon répétitive une pattern d'un certaine longueur. L'équivalent classique dans le « monde réel » est une boite à rythmes qui joue des patterns de batterie, généralement d'une longueur de une à deux mesures.
Avoir la même pattern repétée tout au long d'un morceau peut convenir dans certains cas, mais souvent vous chercherez à avoir des variations. La solution consiste à créé différentes patterns et à programmer des changements de pattern (passage automatique d'une pattern à l'autre) à certains endroits du morceau.
Comment le séquenceur à pattern de Redrum s'intègre avec le séquenceur principal
Le séquenceur à patterns intégrées dans Redrum interagit avec le séquenceur principal de Reason des façon suivantes :
Le tempo défini dans le panneau de transport est utilisé pour la lecture.
Si la piste Tempo (voir "Enregistrement de l'automation du tempo") est utilisée, le Redrum la suivra.
Si vous lancez la lecture pour le séquenceur principal (sur le panneau de transport), Redrum se lancera automatiquement lui aussi (en supposant que le séquenceur à patterns n'est pas désactivé - voit ci-dessous).
Vous peuvent rendre muettes ou solo des pistes Redrum dans le séquenceur.
Si le Redrum a une piste dans le séquenceur et que vous la rendez muette, Redrum le deviendra aussi. Cela est montré par l'indicateur Muet sur le panneau du module. Si plusieurs bandes de notes existent dans la piste Redrum, leur état muet respectif ne sera pas indiqué sur le panneau du module.

Le module Redrum est rendu muet.
Vous pouvez également lancer Redrum séparation (sans lancer le séquenceur principal) en cliquant sur le bouton Exécuter du panneau du module.
Cette opération lance le séquenceur intégré dans le module. Pour arrêté la lecture, cliquez à nouveau sur le bouton Exécuter ou cliquez sur le bouton Stop du panneau de transport.

Bouton Executer du Redrum.
Si vous lancez Redrum séparément et que vous lancez la lecture du séquenceur principal, le module à pattern se relancera et sera synchro avec le séquenceur.
Les changements de pattern peuvent etre controlés par des événements de changement de pattern dans le séquenceur principal.
En d'autres termes, vous pouvez enregistrer ou creer des changements de pattern dans le séquenceur principal et les faire apparaitre à la position voulue lors de la lecture.
Les sources sonores peuvent également être jouées par le séquenceur principal ou via MIDI.
Vouse coupez combiner la lecture de pattern integree avec la lecture depuis le sequencer principal ou via MIDI. Par exemple, cela yous permit d'ajouter des variations ou des fills a une patternde base.
Il est également possible de désactiver le séquenceur à pattern complètement, transformant le module en pur module sonore. Cela s'effectue en désactivant le bouton Activer la section pattern.

Selection de patterns
Le Redrum dispose de 32 mémoires de pattern, divisées en quatre banques (A, B, C, D).

Boutons Banque et Pattern du séquenceur à pattern de Redrum.
Pour selectionner une pattern dans la banque actuelle, cliquez sur le bouton Pattern de votrechoix (1-8).
Vou puez également affercet des raccourcis clavier et/ou des messages MIDI à la selection des patterns.
Pour selectionner une pattern dans une autre banque, cliquez sur le bouton de banque de votrechioix (A,B,C, D), puis sur le bouton Pattern.
Rien ne se produit tant que vous ne cliquez pas sur le bouton Pattern.
Si vous sélectionné une nouvelle pattern lors de la lecture, le changement prendra effet à la prochaine mesure (en fonction de la signature rythmique définie dans le panneau de transport).
Si vous automatisez les changements de pattern dans le séquenceur principal, vous pouvez les faire apparaitre à n'importe qu'elle position - voir "Enregistrement de l'automation de pattern".
Notez que vous ne pouvez pas charger ni enregistrer des patterns - elles ne sont stockées que comme partie d'un morceau.
Cependant, you pouvez déplacer des patterns d'un endroit à un autre (meme entre des morceaux) en utilisant les commandes Couper, Copier et Coller la pattern.
Tutorial de pattern
Si vous n'etes pas familier de la programmation par pas de patterns, le principe de base est très intuitif et facile à apprendre. Procedez de la façon suivante :
- Chargez un patch Redrum, si ce n'est pas deja fait.
- Assurez-vous qu'une pattern vide est selectionnée.
Si vous le souhaitez, utilisez la commande Supprimer la pattern dans le menu Édition ou dans le menu contextuel du module pour vous en assurer.
- Assurez-vous que les boutons « Activer la section pattern » et « Pattern » sont activés (allumés).

- Appuyez sur le bouton « Exécuter »
Il n'y auraaucunsoncaraucunpas de patternn'acoreéte enregistré.Mais commeyouspouvezlevoir,lesLED au-dessus du boutonPas s'allument les unesapresles autres,de gaucheadroite,et recommencement.Chaque boutonPasrepresenteun‘pas”danslapattern.
- Sélectionnez un canal Redrum en cliquant sur le bouton « Sélectionner » en bas du canal.
Le bouton s'allume, indiquant que ce canal et le son de batterie qu'il contient est seLECTIONné.

- En mode Exécution, appuyez sur le bouton Pas 1 pour qu'il s'allume.
Le son seLECTIONné va à présent être joué chaque fois que le pas 1 est « survélé »
- En cliquant sur d'autres boutons Pas pour qu'ils s'allument, vous pouvez jour le son selectionné quand le séquenceur passé par ces pas.
Cliqueur un bouton de pas selectionné (allumé) une seconde fois supprime le son pour ce pas et le bouton s'éteint. Vous pouvez cliquer et déplacer pour ajouter ou supprimer des pas rapidement.
- Sélectionnez un autre canal Redrum pour programmer des pas pour ce son.
Selectionner un nouveau son ou canal supprime également les indications visuelles (boutons statiques allumés) des entrées de pas pour le son préalablement sélectionné. Les boutons de pas montrent toujours les entrées de pas pour le son actuellément sélectionné.
- Continue à alterner lessons etprogrammerlespas pour construirevoretepattern.
Notez que vous pouze effacer et ajouter des entrées de pas même si le mode Exécuter est désactivé.
Définition de la longueur de la pattern
Il se peut que vous souhaitiez définir la longueur de la pattern, c'est-à-dire le nombre de pas que la pattern doit jouer avant de se repeter :

Utilisez les contrôleurs fléchés « Pas » pour définir le nombre de pas que vous souhaitez que la pattern joue.
La plage s'étend de 1 à 64. Vous pouze toujours étendre le nombre de pas ultérieurement, car cela n'ajoutera que des pas vides à la fin de la pattern d'origine. Vous pouze également la raccourcir, mais cela signifie (evidemment) que les pas « hors » de la nouvelle longueur ne seront pas entendus. Ces pas ne sont pas effacés cependant ; si vous augmenter la valeur Pas à nouveau, les pas seront à nouveau joués.
À propos du bouton « Édition de pas »
Si vous définissez une longueur de pattern supérieure à 16 pas, les pas de pattern situés après le 16ème ne seront pas visibles, même s'ils seront joués. Pour voir et éoperator les 16 pas suivants, vous doivent placer le bouton Édition de pas sur 17-32. Pour voir et éoperator les pas situés après le 32ème, vous configUREZ le bouton sur 33-48, et ainsi de suite.
Définir la résolution de la pattern

Redrum suit toujours les réglages de tempo du panneau de transport, mais vous pouze également faire jouer Redrum dans différentes « résolutions » en rapport avec le réglage de tempo. Modifier le réglage de la résolution modifie la longueur de chaque pas et donc la « vitesse » de la pattern.
Dynamiques des pas
Lorsque you raisissez des pas pour un son de batterie, you pouze definir sa velocite pour chacun des pas avec l'une des trois valeurs : Hard, Medium ou Soft. Cela s'effectue en reglant le bouton Dynamique avant d'entrer une note.

La couleur des boutons de pas montre la dynamique pour chaque pas. Les notes douces (soft) sont allumées en jaune, les notes moyennes (medium) en orange et les dures (hard) en rouge.
Lorsque la valeur Medium est selectionnée, vous pouvez entre des notes Hard en maintainant enfoncée la touche [Maj] et en cliquant.
De la même manière, vous pouvez enter des notes Soft en maintainant enforcée la touche [Option] (Mac) ou [Alt] (Windows) et en cliquant. Notez que cela ne modifie pas le réglage de la dynamique sur le panneau du module - cela n' affecte que les notes que vous entrez.
Lorsque you utilisez differentes dynamiques, la differencé resultante dans le son (niveau sonore, pitch, etc.) est regie par le reglage du potentiometre « VEL » de chaque canal de batterie (voir “Parametes de Redrum”). Si aucune valeur de velocité n'est définié pour le canal de batterie, il sera always joué avec la même force, quel que soit le reglage de la dynamique.
Pour modifier les dynamiques d'un pas déjàprogramme, configurez le bouton sur la valeur de dynamique que vous souhaitez attribuer et cliquez à nouveau sur le bouton.
! Notez que si vous déclenchez Redrum via MIDI ou depuis le séquenceur principal, lessons réagiront à la velocité comme tout autre module audio. Les valeurs Dynamique sont là pour offrir un contrôle par la velocité lors de l'utilisation du séquenceur à patterns intégrées.
Shuffle de pattern
Le Shuffle désigne une fonction rythmique qui donne à la musique une impression de swing plus ou moins prononcée. Elle fonctionne en ajoutant un-delai à toutes les doubles-croches note entre chaque croche. Vous pouvez activer ou désactiver le shuffle individuellement pour chaque pattern Redrum en cliquant sur le bouton Shuffle du panneau de module.

La quantité de Shuffle est définié globalement par le bouton de contrôle Shuffle global dans le mixeur ReGroove – voir “Le mixeur ReGroove”.

Flam

Un Flam consiste à taper deux fois sur une caisse pour creer un effet rhythmique ou dynamique. Appliquer un Flam à une saisie de pas ajouter a un deuxième « coup » au son de batterie. Le potentiamètre Quantité de Flam détermine le liéai entre les deux coups.
Pour ajouter une note de batterie Flam, procédez ainsi :
- Activez le Flam en cliquant sur le bouton Flam.
- Cliquez sur un pas pour ajouter une note (en tenant compte du réglage de la dynamique comme d'habitude).
Une LED rouge s'allume au-dessus du pas pour indiquer que le Flam s'appliquera a ce pas.
- Utilisez le potentiometre Flam pour définir la quantite de Flam souhaitee.
La quantité de Flam est globale pour toutes les patterns dans le module.
Pour ajouter ou supprimer le Flam d'une note de pas existante, cliquez directement sur la LED Flam correspondante.
Vouse pouze egalement cliquer sur les LED et les deplacer pour ajouter ou supprimer plusieurs pas de Flam rapidement.
Appliquer des Flams à plusieurs saisies de pas consécutives permet de créé rapidement un roulement de tambour.
En ajustant le potentiemetre Flam vous pouvez creer des triples-croches meme si la resolution de pas est de 1/ 16, par exemple (doubles-croches).
Le bouton Activer la pattern

Si vous désactivez le bouton « Pattern», la lecture de la pattern sera muette, à partir de la prochaine mesure (comme si vous aviez sélectionné une pattern vide (silencieuse)). Par exemple, ce bouton peut être utilisé pour ajouter ou supprimer différents modules de pattern dans le mix lors de la lecture.
- Vous pouvez également rendre muets des modules Redrum dans le séquenceur en utilisant le bouton Muet pour la piste connectée au Redrum. Si vous le faites, cela rendra muette la sortie de Redrum instantanément et l'indicateur Muet sur le panneau du Redrum s'allumera. Notez que toutes les pistes connectées à ce module Redrum doivent être rendues muettes pour que cela fonctionne.

Indicateur Muet
Le bouton Activer la section pattern

S'il est désacté, Redrum fonctionnera comme un pur « module sonore », c'est-à-dire que le séquenceur à pattern interne est désacté. Utilisez ce mode si vous souhaitez contrôle le Redrum exclusivement depuis le séquenceur principal ou via MIDI (voir “Utiliser Redrum comme module sonore”).
Fonctions de pattern
Lorsqu'un module Redrum est selectionné, vous trouvez des fonctions spécifiques aux patterns dans le menu Édition (et dans le menu contextuel du module):
| Fonction | Description |
| Déplacer la pattern à gauche/ à droite | Ces fonctions décalent toutes les notes de la pattern d'un pas vers la gauche ou vers la droite. |
| Déplacer la batterie à gauche/à droite | Ces fonctions décalent toutes les notes du canal de batterie sélectionné (le canal dont le bouton Sélectionner est allumé) d'un pas à gauche ou à droite. |
| Randomiser la pattern | Crée une pattern aléatoire. Les patterns aléatoires peuvent être un bon point de départ pour vous aider à tracer de nouvelles idées. |
| Randomiser la batterie | Crée une pattern aléatoire pour le son de batterie sélectionné uniquement - les notes des autres sons de batterie restentinchangées. |
| Modifier la pattern | Cette fonction modifie la pattern sélectionnée en « mélangeant » les notes de la pattern en cours et en les redistribuant aléatoirement parmi les sons de batterie. Cela creée une pattern moins chaotique que la fonction « Randomiser la pattern». Notez que la fonction doit pouvoir s'appliquer à chaque chose dans la pattern - son utilisation sur une pattern vide n'a aucun effet. |
| Modifier la batterie | Fonctionne comme la fonction « Modifier la pattern » mais n'afecte que le son de batterie sélectionné. |
Chainage des patterns
Lorsque you've created plusieurs patterns qui coexist, you souhaitez très probablement les jouer dans un certain ordre. Cela s'effectue en enregistrant ou en insérant des modifications de pattern dans le séquenceur principal. Voir "Enregistrement de l'automation de pattern".
Conversion des données de patterns en notes dans le séquenceur principal
VousspuvezconvertirlespattnesdeRedrumennotessdlesequenceeurprincipal.Celayoupermet d'editor librementlesnotes,decrerdesvariationsoudutiliserlaquantificationGroove.
Fonction « Copier la pattern sur la piste »
Cette fonction est utile lorsqu'vous avez créé une pattern unique dans le module Redrum et que vous souhaitez convertir les événements de notes individuels sur la piste du séquenceur. Vous pouvez également l'utiliser si vous avez par exemple créé une pattern de batterie et que vous souhaitez que cette pattern soit jouée par un autre type de module.
Procedez de la façon suivante :
- Reglez les locateurs gauche et droit pour englober la section que vous pouze « replir » avec les notes de la pattern.
Vou devriez you assurer que l'espace entre les locateurs representation un multiple de la longueur de la pattern pour eviter de « couper » la pattern.
- Sélectionnez le module dans le rack et désissez « Copier la pattern sur la piste » dans le menu Édition ou dans le menu contextuel du module.
La pattern est convertie en un seul clip de notes sur la piste (voir les notes ci-dessous). Si l'espace entre les locateurs est supérieur à la longueur de la pattern, cette derniere sera repétée dans le clip pour combler l'espace.


Pattern de batterie Redrum interne convertie en événements de note sur la piste
Si vous utilisez la fonction « Copier la pattern sur la piste » avec le Redrum, vous devriez constater ce qui suit :
- Les notes auront le pitch du son de batterie correspondant (voir "Utiliser Redrum comme module sonore") et la velocité dépendra de la valeur du paramètre Dynamique dans le module.
Les notes « Soft » obtiennent une velocité de 30, les notes « Medium » une velocité de 80 et les notes « Hard » une velocité de 127.
- Nous vous recommendons de désactiver le bouton « Activer la section pattern » sur le panneau du module Redrum.
Dans le cas contraire, lessons de batterie seront déclenchés deux fois lors de la lecture (par la section de pattern elle-même et par les notes obtenues sur la piste du séquenceur).

Fonction « Convertir une automation de pattern en notes »
Si vous avez enregistré ou dessiné des modifications de pattern sur une piste Redrum, vous pouvez convertir l'ensemble de la piste en notes, et ce, de la façon suivante :
- Sélectionnez la piste avec l'automation de pattern.
- Sélectionnez « Convertir l'automation de pattern en notes » dans le menu Édition ou le menu contextual de la piste.
Pour chaque clip de pattern, la pattern correspondante est convertie en clips de notes sur la piste (en suivant les mêmes règles que pour la fonction « Copier la pattern sur la piste »). La piste est jouée exactement comme lorsque vous avez lu le module à pattern avec les modifications de pattern.
Avec cette opération, la bande de selection de pattern est désactivée.
Le bouton « Activer la section pattern » figurant sur le module est automatiquement désactivé.
Paramètres de Redrum
Réglages de son de batterie
Redrum offre dix canaux de sons de batterie qui peuvent chacun receivevoir un sample Wave ou AlFF ou un sample provenant d'une banque SoundFount. Bien qu'ils soient fondamentalement similaires, ce sont trois « types » de canaux de son de batterie, avec des fonctions légèrement différentes. Cela rend certains canaux plus appropriés pour certains types de sons mais vous pouvez bien sur configurer librement vos kits de batterie comme vous le souhaitez.
Dans les pages suivantes, tous les paramètres serontprésentés. Si un paramètre est disponible pour un certain type de canal sonore de batterie, cela sera précisé.
Muet & Solo

En haut de chaque canal sonore de batterie se trouve un bouton Muet (M) et Solo (S). Rendre mulet un canal coupe sa sortie, alors que leMETRE en solo rend muets tous les autres canaux. Plusieurs canaux peuvent etre rendus muets ou solo en meme temps.
Vou puez egalent utilise les touches de voite clavier MIDI pour rendre muet ou solo un son de batterie individuel en temps reel.
Les touches C2 à E3 (touches blanches uniquement) rendront muets les canaux de batterie en partant du canal 1.
Lessonsontmuetstantqueyoumaintenezlaou les touchesenfoncée(s).
Les touches C4 à E5 (touches blanches uniquement) rendront solo les canaux de batterie en partant du canal 1.
Lessonsontsolostantqueyoumaintenezlaoules touchesenfoncée(s).

C'est un excellent moyen d'ajouter ou de supprimer des sons dans le mixage lorsque vous jouez Reason en live. Vous pouvez également enregistrer les muets du canal de batterie dans le séquenceur principal comme tout autre contrôleur (voir "Enregistrement de l'automation des paramètres").
Départs d'effets (S1 & S2)

A l'arrière du Redrum se trouvent deux connexions audio étiquétées « Sortie de départ » 1 et 2. Lorsque vous créez un module Redrum, elles sont auto-routées par défaut aux deux premières entrées « Chainage aux » du module de mixeur (si ces entrées ne sont pas déjà utilisées).
Cette fonction vous permet d'ajouter des effets aux sons de batterie indépendants dans le Redrum.
Augmenter le potentiometre S1 pour un canal sonore de batterie enverra le son au premier depart d'effet connecté au mixeur.
De façon similaire, le bouton S2 gere le niveau de depart au second depart d'effet dans le mixeur.
Notez qu'il doit y avoir des departs d'effets connectés aux connecteurs Départ et Retour AUX du mixeur pour que cela fonctionne.
Notez également que si Redrum est rendu solo dans le mixeur, les départ d'effet seront rendu muets.
Une autre façon d'ajouter des effets indépendants auxsons de batterie consiste à utiliser les sorties de batterie indépendantes.
Voir "Connexions".
Pan

Définit le panoramicque (position stéreo) du canal.
Si la LED au-dessus du bouton de contrôle Pan est allumée, le son utilise un sample stéréo.
Dans ce cas, le bouton de contrôle Pan sert de contrôle de la balance stéreo.
Volume et Velocité

Le bouton Volume définit le volume du canal. Cependant, le volume peut également être affecté par la velocité ( comme défini par la valeur Dynamique, ou jouée via MIDI). L'importance de la modification du volume par la velocité est défini par le potentiamètre « Vel »
Si le potentiometre Vel est configuré sur une valeur positive, le volume s'amplifiera à mesure que les valeurs de velocité augmenteront.
Plus la valeur Vel est importante, plus la différence de volume entre les valeurs de velocité faibles et hauteures sera grande.
Une valeur négative inverse cette relation, le volume décroissant avec des valeurs plus élevées de velocité.
Si le potentiometre Vel est configuré sur zéro (position mediane), le son sera joué à un volume constant, qu'elle que soit la velocité.
Lorsque Vel est configuré sur zéro, la LED au dessus du potentiamètre s'éteint.
Boutons Longueur et Déclin/Gate

Le potentiemetre Longueur détermine la longueur du son de batterie, mais le résultat dépend du réglage du bouton Déclin/Gate :
En mode Déclin (bouton en bas), le son s'attenue (s'éteignant gradulement) après avoir été déclenché. Le temps de déclin est déterminé par le réglage Longueur.
Dans ce mode, le temps durant lequel la note est maintainue n'a pas d'importance (si elle est jouee depuis le séquenceur principal ou via MIDI) - le son sera joue durant la meme durée pour les notes courtes ou longues. Il s'agit du traditionnel mode de « boite à rythmes »
En mode Gate (bouton en haut), le son sera joué pour la longueur définie, puis coupé.
En outre, si un son configuré sur le mode Gate est joué depuis le séquenceur principal, depuis un module CV/ Gate ou via MIDl, le son sera coupé lorsque la note s'arrête ou après la longueur déterminée, en fonction de la durée la plus courte. En d'autres termes, le son sera joué aussi longtemps que vous maintainrez la note, mais le réglage Longueur déterminera la durée maximale pour le son.
Le mode Gate a plusieurs utilisations :
Pour des sons de batterie de type « gate», quand la fin du son est coupée abruptement en guise d'effet.
- Si vous souhaitez utiliser dessons très courts et ne voulez pas les voir « perdre de leur puissance » en subissant un fondu en sortie.
- Si vous souhaitez jouer Redrum depuis le séquenceur ou via MIDI, avec dessons pour lesquels la longueur est importante (par ex. lorsque I'on utilise Redrum comme module d'effets sonores).
! Les samples audio contiennent parfois une « boucle » qui est définié en édotant l'audio dans un éditeur de samples. La boucle repête une partie du sample pour produit un effet de sustain tant que la note est maintainue. Les samples de batterie ne contiennent généralement pas de boucle, mais qui a dit que Redrum ne doit jourer que des samples de batterie ?
Notez que si un sample contient une boucle et si le potentiemetre Longueur est configuré sur le maximum, le son sera maintainu indéfiniment, en d'autres termes il ne sera jamais rendu silencieux même si vous arrêtez la lecture. Diminuer le réglage de Longueur résout ce problème.
Pitch

Définit le pitch du son. L'étendue est de + / - 1 octave.
Lorsque le pitch est defini sur une autre valeur que 0, la LED au-dessus du potentiemetre s'allume pour indiquer que le sample n'est pas joué à son pitch d'origine.
Pitch Bend

En configurant le potentiametre Bend sur une valeur positive ou négative, vous indiquez le début du pitch du son (en fonction du réglage Pitch). Le pitch du son sera alors courbé selon la valeur Pitch principale. Ainsi, en sélectionnant une valeur Bend positive, le pitch commencerà à une valeur supérieure et sera raméné à son pitch d'origine, et vice versa.
Le potentiometre Rate détermine la durée de bend - plus la valeur est élevé et plus le bend est lent.
Le potentiemetre Vel détermine àquel point l'intensité du Bend sera affectée par la velocité. Avec une valeur positive, une velocité élevée cree des Pitch Bend plus larges.
Les potentiemètres Bend et Vel ont des LED qui s'allument lorsque les fonctions sont activées (c'est-à-dire lorsque leur valeur est différente de zéro).
! Le Pitch Bend n'est disponible que pour les canaux sonores de batterie 6 et 7.
Tonalité

Le potentiametre Tonalité détermine la brillance du son de batterie. Augmenter ce paramètre créé un son plus brillant. Le potentiametre Vel détermine la façon dont le son devient plus brillant (valeur Vel positive) ou plus souvent (valeur Vel négative) avec une velocité plus élevé.
Les boutons Tonalité et Vel ont des LED qui s'allument lorsque les fonctions sont activées (c'est-à-dire lorsque leur valeur est différente de zéro).
! Les boutons de contrôle Tonalité ne sont disponibles que pour les canaux sonores de batterie 1, 2 et 10.
Début du Sample

Le paramètre Début vous permet d'ajuster le point du départ du sample. Plus la valeur de Début est élevé, plus le point de départ sera déplaced « dans » le sample. Si vous configUREZ le potentIAMetre Début de la velocité sur une valeur positive, le point de départ du sample est déplaced en avant avec des velocités plus élevées. Une valeur Début de la velocité négative inverse cette relation.
Lorsque Début de la velocité est configuré sur une valeur différente de zéro, le LED au dessus du potentiamètre s'allume.
Une valeur Début de la velocité négative n'est utile que si vous avez configuré le paramètre Début sur une valeur supérieure à 0.
En augmentant légèrement la valeur Début et en configurant Début de la velocité sur une valeur négative, vous pouvez créé un contrôle de velocité plutôt réaliste sur certains sons de batterie. Cela est dû fait que vous n'entendrez que les premières éphémères du son de batterie que lorsque vous jouerez des notes fortes.
! Les réglages Début de sample ne sont disponibles que pour les canaux sonores de batterie 3, 5, 8 et 9.
Réglages globaux
Canaux 8 & 9 exclusuits

Si ce bouton est activé, lessons chargés dans les canaux de batterie 8 et 9 seront exclusifs. En d'autres termes, si un son est joué dans le canal 8, il sera coupéès qu'un son est joué dans le canal 9, et vice versa.
L'application la plus évidente de cette fonction est de « couper » un charley ouvert avec un charley fermé, comme dans la réalité.
Interpolation haute qualité

Lorsque ce bouton est activé, la lecture du sample est calculée à l'aide d'un algorithme d'interpolation plus complexe. Le résultat est une qualité audio supérieure, notamment pour les samples de batterie responsable de nombreuses fréquences haute.
L'Interpolation haute qualite utilise davantage de puissance de calcul - si vous n'en ave pas besoin, vous feriez moins de la désactiver!
Ecoutez lessons de batterie dans uncontexte et déterminez si ce réglage fait une différence ou non.
Volume général
Le potentiomètre Volume général dans le coin supérieur gauche détermine le volume général de Redrum.
Utiliser Redrum comme module sonore
Lessons de batterie dans Redrum peuvent etre joues via des notes MIDI.Chaque son de batterie est declenche par un numero de note précis, en commencant par C1 (note MIDI numero 36) :

Cela vous permet de jouer Redrum en live depuis un clavier MIDI ou un contrôleur de percussion MIDI ou d'enregistrer ou de dessiner des notes de batterie dans le séquenceur principal. Si vous le souhaitez, vous pouvez combiner la lecture de pattern avec des notes de batterie supplémentaires comme des fills ou des variations. Cependant :
! Si vous souhaitez utiliser Redrum uniquement comme module sonore (sans lecture de pattern), nous vous recommendons de vous assurer que le bouton « Activer la section pattern » est désactivé (voir “Le bouton Activer la section pattern”), sinon le séquenceur de pattern Redrum se lanceès que vous lancez le séquenceur principal.
Connexions

A l'arrière du Redrum vous trouverez les connexions suivantes :
Pour chaque canal sonore de batterie :
| Connexion | Description |
| Sorties audio | Des sorties audio individuelles de chaque canal sonore de batterie sont disponibles, vous permettant de router un son de batterie vers un canal séparé dans le mixeur, éventuelles via des effets insert, etc.Pour lessons mono, utilisez la sortie « Gauche (mono) » (et appliquez un panoramaque au son en utilisant le bouton de contrôle Pan dans le mixeur).Lorsque vous utilisez une sortie individuelle pour un son, ce dernier est automatiquement exclu de la sortie stéréo principale. |
| Sortie Gate | Envoie un signal Gate lorsqu'un son de batterie est joué (depuis une pattern, via MIDI ou en utilisant le bouton Déclencher du panneau de module). Cela vous permit d'utiliser Redrum comme « séquenceur à déclenchement», contrôlant d'autres modules.La longueur du signal Gate dépend des réglages Déclin/Gate pour le son : en mode Déclin, une brève « impulsion de déclenchement » est envoyée, alors qu'en mode Gate, le signal Gate aura la même longueur que la note de batterie. |
| Entrée Gate | Youpermét de déclencher le son depuis un autre module CV/Gate. Tous les réglages s'appliquent, comme lorsque l'on joue un son de batterie traditionnel. |
| Entrée CV de pitch | Youpermét de contrôrler le pitch du son de batterie depuis un autre module CV. |
Autres
| Connexion | Description |
| Sortie de départ 1-2 | Sorties pour les signaux de départ contrôlés à l'aide des potentiomètres S1 et S2. |
| Sortie stéréo | Il s'agit de la sortie stéréo principale, restituant un mixage de tous les sons de batterie (à l'exception de ceux pour lesquels vous utilisez des sorties individuelles). |

REASON
Chapitre 32
Kong Drum Designer
Introduction
Le Kong Drum Designer donne l'impression visuelle d'une boîte à rythme basée sur des patterns, comme les légendaires unités MPC. En effet, il possède une matrice de 16 pads utilisés pour dire des sons, exactement comme dans les classiques susmentionnés. Il existe cependant des différences notables.
Kong possè de 16 « canaux sonores » de batterie pouvant contenir un son de batterie chacun. Chaque son de batterie est composé d'un module sonore routé via plusieurs types de modules d'effets et de traitement, ouvrant la porte à des possibités de création sonores illimitées. Chaque son peut être enregistré sous forme de patches de batterie et des kits complets de batterie peuvent être enregistrés sous forme de patches de kit, ce qui permet de mélanger et demettre en correspondence des sons de batterie, et de créé aisément des kits personalisés.
En outre, Kong possede également des fonctionnalités d'échantillonnage. Cela signifie que vous pouvez échantillonner vos propressons directement dans un des 16 canaux de batterie d'un simple cli!
Vue générale

Le panneau avant de Kong
Kong désigne un synthétiseur sonore de batterie avancé, sampler/lecteur de sample et lecteur de boucle/slice REX comprenant de nombreuses fonctionnalités uniques. Le design peut être qualifié de semi-modulaire dans la mesure où les modules de son, d'effets et de traitement sonore sont des emplacements ouverts qui permettent de sélectionner plusieurs types de générateurs de sons, d'effets et de proceseurs audio.
Kong est donc capable de produit une quantité étonnante de sons de batterie et de percussion - ou n'importe quel type de son. Bien que proposant beaucoup de possibilités de design sonore de qualité, son interface reste très simple et intuitive.
Il possè de également des entrées audio sur son panneau arrêté. En connectant la sortie d'un autre module à ces entrées, vous pouvez utiliser les modules de traitement audio de Kong pour Traitser un son externe. Vous pouze également router des sons de batterie en vue de les traîter dans des modules externes.
La section Pad
La section pad possède 16 pads. Chacun peut être affecté à un son de batterie distinct. Vous pouvez également désclenche également plusieurs pads à un seul et même son de batterie - ou delier des pads de sorte qu'un pad déclenché égarlement plusieurs autres pads. À droite des pads se trouve une zone de réglage où vous pouvez contrôler les affectations et le comportement des pads. Voir “Réglages de pad”.
Le Panneau de contrôle de batterie
Le Panneau de contrôle de batterie en bas à gauche du panneau indique le nom et les réglages de macro paramètre du pad sélectionné dans la section de pad. Vous pouze également y charger et y enregistrer des patches de batterie et initier l'échantillonnage. Voir "Le Panneau de contrôle de batterie".
La section Effets et batterie
En cliquant sur le bouton Programmeur en bas du panneau de contrôle de batterie, vous affichez la section Effets et batterie. C'est ici que vous modifiez vossons de batterie et que vous associez differents types de proceseurs de son et d'effets. Voir "La section Effets et batterie".
À propos de l'utilisation des panneaux personnelisés
Comme avec le module Combinator, il est possible de personneliser les images du panneau avant de Kong grace à une « skin » (apparente) conçue par l'utilisateur. Le dossier Application/Docs modèles/Panneaux contient un modulo au format Photoshop (.psd) que vous pouvez utiliser comme point de départ pour connavoir vos propres images de panneau. Voir le fichier ReadMe.txt situé dans le dossier Panneaux pour plus de détails. Notez que vous devrez utiliser des appearances différentes pour les versions pliees et dépliées du panneau.
À propos des formats de fichier
Kong lit plusieurs types de fichiers :
Patches de kit
Un patch de kit Kong (extension Windows «.kong ») contient les réglages des 16 canaux sonores de batterie, incluant les références aux samples de batterie utilisés (mais pas les samples de batterie eux-mêmes). Basculer d'un patch à l'autre revient à sélectionner un nouveau kit de batterie.
Patches de batterie
Un patch de batterie Kong (extension Windows «.drum ») contient tous les réglages pour les 16 canaux sonores de batterie, incluant les références aux samples de batterie utilisés (mais pas les samples de batterie eux-mêmes). Basculer d'un patch à l'autre revient à sélectionner un nouveau son de batterie.
Samples de batterie
Le module NN-Nano Sampler de Kong peut dire et jour des fichiers de samples aux formats suivants :
Wave (.wav)
- AIFF (.aif)
SoundFonts (.sf2)
- Slices de fichiers REX (.rx2, .rex, .rcy)
- Résolutions jusqu'à 24 bits
- Fréquences d'échantillonnage les plus standard
- Stéreo ou Mono
Wave et AIFF sont les formats de fichiers audio standard pour les plateformes PC et Mac, respectivement. Tout éditeur audio ou de sample, qu'elle que soit la plateforme, peut dire et creer des fichiers audio dans au moins l'un de ces formats, et la plupart d'entre eux dans les deux formats.
SoundFonts est un standard ouvert pour l'audio numérique à table d'ondes, développé par E-mu systems et Creative Technologies.
Les banques SoundFont contiennent des tables d'ondes de sons synthétisés, permettant à l'utiliser de créé et d'éditer des sons multi-samplés dans les logiciels d'édition prévus pour Soundfont. Cessons peuvent êtrelus par les synthétiseurs à table d'ondes, typiquement sur une carte son. Les samples dans un SoundFont sont stockés hierarchiquement dans différentes catégories : samples de l'utiliseur, instruments, preset, etc. Kong you permit de parcourir et de charger des samples SoundFont individuels et non l'intégrality des SoundFonts.
Les fichiers REX sont des fichiers créés dans ReCycle - un programme créé pour travailler avec des boucles samplées. Il fonctionne en « découpart » une boucle et en créé des samples individuels pour chaque battement, ce qui permet de changer le tempo des boucles sans modifier le pitch et d'editor la boucle comme si elle était composée de sons individuels. Kong vous permit de parcourir les fichiers REX et de charger des slices en tant que samples individuels.
Voir "NN-Nano Sampler" pour plus de détails.
Fichiers REX
Le module REX Player de Kong peut dire et jouer des fichiers aux formats suivants :
- Fichiers REX (.rx2, .rex, .rcy)
Voir "Nurse Rex Loop Player" pour plus de détails.
Utilisation des patches
Lorsque vous creez un nouveau module Kong, celui-ci est chargé avec un kit par défaut. Si vous le souhaitez, vous pouvez utiliser ce kit par défaut - ou charger un autre patch de kit Kong (ou en creator un nouveau en chargeant des patches de batterie individuels). Un patch de kit Kong contient les réglages pour les 16 canaux de batterie, avec des réglages de paramètres et des références de fichier aux samples utilisés.
Charger un patch de kit
Pour charger un patch, utilisez l'une des méthodes suivantes :
Utilisez le navigateur pour trouver et ouvrir le patch désire.
Pour ouvrir le navigateur, selectionnez « Parcourir les patches Kong » dans le menu Édition ou dans le menu contextuel du module, ou cliquez sur le bouton en forme de dossier dans la section de patch du panneau du module.

Lorsque you've zselectionne un patch, you pouze passer d'un patch à l'autre dans le meme dossier en utilisant les boutons fleches a coté de l'affichage du nom du patch.
Si vous cliquez sur l'affichage du nom du patch dans le panneau de module en maintainant enforcé le bouton de la souris, un menu pop-up s'affiche avec la liste de tous les patches de kit Kong situés dans les dossiers actuellement ouverts dans le navigateur de patch.
Cela you permit de selectionner rapidement un autre patch, sans avoir a les parcourir un a un.
Vérifier lessons dans un patch de kit
Il existe trois moyens d'écouter des sons dans un patch sans utiliser le séquenceur principal :
En cliquant sur les boutons Pad sur le panneau avant.

! Notez que la position du cli c vertical sur le pad détermine la valeur de velocité. Si vous cliquez vers le bas d'un pad, la velocité est basse et si vous cliquez en haut de chaque pad, la valeur de velocité est haute.

Cela you donne une tres bonne idee sur le comportement dynamique de chaque son de batterie. You pouze ainsi enregistrer dans le sequencer principal en utilisant la plaque dynamique complete de chaque son de batterie, meme sans surface de contro/clavier MIDI connectes.
En appuyant sur les touches C1 à D#2 ou C3 à B6 de votre clavier MIDI ou sur les touches de piano à l'écran.

Dans la plage C1-D#2, chaque note MIDI déclenché un pad, du Pad 1 au Pad 16. Dans la plage C3-B6, chaque pad peut être déclenché à partir de trois touches adjacentes du clavier MIDI. C3-D3 déclenché le Pad 1, D#3-F3 déclenché le Pad 2 et ainsi de suite. La plage de notes C3-B6 est idéale pour dire des passages rapides en déclenchant le même pad depuis plusieurs touches du clavier MIDI.
Créer un nouveau Kit de patch
Pour creer vos propre patch (ou modifier un patch existant), vous devez faire ce qui suit :
- Cliquez sur le pad du son de batterie que vous souhaitez charger ou replacer.
Un cadre bleu entoure le pad sélectionné.

- Cliquez sur le bouton en forme de dossier du canal sonore de batterie selectionné.

Sinon, cliquez avec le bouton croit (Win) ou [Ctrl]-clic (Mac) sur le pad et selectionnez « Parcourir les patches de batterie... » dans le menu contextuel.
Le navigateur de patches s'ouvre.
3. Localisez et ouvre un patch de batterie Kong (extension .drum), un sample ou un fichier REX.
Voutrouvrez une selection de patches de batterie Kong dans la Factory Sound Bank (située dans le dossier Patches de batterie Kong).
Charger un sample l'ouvrira automatique dans un module NN-Nano Sampler (voir "NN-Nano Sampler") et charger un fichier REX l'ouvrira automatique dans un module Nurse Rex Loop Player (voir "Nurse Rex Loop Player").
Vou puez égarlement sampler votre propre son dans une batterie, voir "Sampling dans Kong".
4. Changez les réglages de paramètre du canal de son de batterie à l'aide des boutons du panneau de contrôle de batterie.
Ces paramètres sont décrits dans “Le Panneau de contrôle de batterie”. Notez que les paramètres du panneau de contrôle de batterie sont « globaux » pour chaque canal de batterie. Chaque son de batterie peut être composé de plusieurs sons différents et de modules d'effets, chacun avec son propre jeu de paramètres. Reportez-vous à “Les modules de batterie”, “Les modules générateurs de support” et “Les modules d'effets” pour plus de détails sur tous les modules qui peuvent être utilisés pour creer un son de batterie complet.
5. Repétez les étapes 1 à 4 pour les autres canaux sonores de batterie.
6. Lorsque vous étes satisfait de votre kit de batterie, vous pouvez enregistrer le patch en cliquant sur le bouton en forme de disquette dans la section patch du panneau de batterie.
Notez toute fois que vous n'avez pas nécessairement besoin d'enregistrer le patch de batterie - tous les régages sont inclus lorsque vous enregistrrez un patch de kit Kong (voir "Enregistrer des patches de kit") et/ou votre morceau.
Créer un patch de kit vide
Pour « initiaiser » les réglages dans Kong, Sélectionnez « Initiaiser le Patch » dans le menu Édition ou le menu contextual du module. Cela supprime tous les samples pour tous les canaux sonores de batterie, et redéfinit tous les paramètres à leur valeur par défaut.
Enregisterr des patches de kit
Vou enregistrrez des patches comme avec n'importe quel autre module Reason - voir "Chargement des patches" et "Enregistrement de patches".
! Notez que vous n'avez pas besoin d'enregistrer d'abord individuellement les 16 patches de batterie si tel n'est pas votre souhait - tous les réglages de chaque patch de batterie sont inclus dans le patch de kit Kong.
Réglages de pad
Dans la section de réglages de pad à droite de la section Pad, vous disposez de plusieurs affectations et astuces pour contrôler les canaux de batterie à partir des pads.
Afferder des batteries à des pads
Kong possède 16 pads et 16 canaux de batterie, comme décrit précédemment. Chaque pad contrôle un canal sonore de batterie distinct. Vous pouvez également affecter plusieurs pads pour contrôler un seul canal sonore de batterie. Cela est particulièrement utile pour appliquer différents régliages, comme des types de coups (voir “Affecter un type de coup à des pads”) pour chaque pad, de sorte que le canal sonore de batterie réponde différemment. Par défaut, les 16 pads sont affectés à leur canal sonore de batterie correspondant; Pad 1 à Batterie 1, et ainsi de suite. Pour changer cette affection, procédez de la façon suivante :
- Sélectionnez le canal sonore de batterie souhaité en cliquant sur son pad correspondant - ou sur le nom du pad en dessous du pad si vous ne voulez pas que le pad déclenché le son.
Un cadre bleu entoure le pad selectionné et la batterie correspondante s'affiche dans la section Batterie à gauche.

- Sélectionnez l'autre pad à partir duquel vous voulez contrôler la Batterie 1.
Dans cet exemple, nous sélectionnons Pad 2.

- Cliquez sur le bouton 1 dans la section Affectation de batterie pour afferter Pad 2 à Batterie 1.

Désormais, Pad 2 est également sélectionné pour dire Batterie 1. La mention sous Pad 2 indique désormais « Batterie 1 » pour désigner l'affection en cours.
Affecter des batteries à des pads à l'aide de la fonction Édition rapide
Pour afferent rapidement plusieurs batteries à plusieurs pads, vous pouze utiliser la fonction Édition rapide.
- Cliquez sur le bouton Édition rapide dans la section Affectation de batterie.

Chaque pad indique désormais l'affection de batterie en cours.
- Modifiez l'affection de batterie en cliquant sur le numero du canal de batterie youlu dans chaque pad.
- Lorsque vous avez terminé, cliquez sur le bouton Édition rapide ou appuyez sur [Echap] pour revenir en mode normal.
Renommer des pads
Double-cliquez sur le nom du pad en dessous du pad correspondant, saisissez un nouveau nom et appuyez sur [Entrée].
Copier et coller des batteries entre des pads
Il est possible de copier un pad auquel vous avez affecté une batterie et de le coller à un autre emplacement de pad :
Voussouvez aessiselectionner « Copier patch de batterie » à partir du menu Édition ou du menu contextual.
Voussoususse selectionner « Coller patch de batterie » a partir du menu Édition ou du menu contextual.
Désormais, le patch de batterie complet a été dupliqué vers le pad de destination et vous pouvez commencer à le modifier comme s'il s'agissait d'un patch distinct.
Affecter un type de coup à des pads
Si vous avez affecté plusieurs pads au meme canal sonore de batterie, vous pouze? pour chacun d'eux (lorsque cela est possible). En fonction du type de son de batterie, certainssons peuvent? jusqu'a quatre types de coup predefinis. Ceux-ci apparaissent dans l'affichage Type de coup.

Par exemple, un son de batterie charley du synthetiseur possede quatre types de coups par defaut : Fermé, Semifermé, Semi-ouvert et Ouvert. En selectionnant un type de coup différent pour chacun des pads affectés à la même batterie, vous créez un son « live » très intéressant.
Pour affecter un type de coup à un pad, Sélectionnez le pad puis Sélectionnéz Type de coup enclinquant sur le bouton du même nom (ou sur son nom dans l'affichage).
L'affection Type de coup est enregistrée lorsque vous enregistrez le patch de kit Kong et/ou le morceau.
Afferter un type de coup à des pads à l'aide de la fonction Édition rapide
Un moyen plus rapide d'affector un type de coup à plusieurs pads consiste à utiliser la fonction Édition rapide.
- Cliquez sur le bouton Édition rapide dans la section Type de coup.

Chaque pad indique désormais l'affection de type de coup en cours.
- Modifiez l'affection de type de coup en cliquant sur le numero de type de coup youlu dans chaque pad.
- Lorsque you've terminé, cliquez sur le bouton Édition rapide ou appuyez sur [Echap] pour quitter.
Rendre des pads muets et solo

Cliquez sur le bouton Mute pour rendre muette la batterie affectee au pad selectionné.
Vourendrez également muet le contrôle MIDI de la batterie affectee. Les pads muets s'affichent en rouge.
Cliquez sur le bouton Solo pour rendre solo la batterie affectee au pad selectionné.
Les pads rendus solo s'affichent en vert. Tous les autres pads sont automatiquement rendus muets. Cela affecte également le contrôle MIDI des canaux de batterie.
Cliquez sur le bouton CLR pour supprimer toutes les affectations Mute et Solo.
Rendre des pads muets et solo à l'aide de la fonction Édition rapide
Un moyen plus rapide de rendre muet et solo plusieurs pads consiste à utiliser la fonction Édition rapide.
- Cliquez sur le bouton Édition rapide dans la section Type de coup.

Chaque pad présente désormais un bouton Mute et Solo.
- Cliquez sur les boutons Mute et/ou Solo dans les pads désirés.
- Lorsque vous avez terminé, cliquez sur le bouton Édition rapide pour quitter.
Travailler avec des groupes de pads

Kong possè de 9 groupes de pads divisés en 3 groupes Mute, 3 groupes Link et 3 groupes Alt. Chaque pad peut être affecté indépendamment à un ou plusieurs de ces 9 groupes de pads. Les groupes de pads sont utiles si, par exemple, vous souhaitez déclencher plusieurs pads à partir d'un seul pad, qu'un pad en rende muet un autre, ou déclencher aléatoirement d'autres pads à partir d'un pad.
Groupes Mute
Les groupes Mute peuvent être utilisés si vous souhaitez qu'un pad rende automatiquement mulet un autre son dans le même groupe Mute. Par exemple, si vous affectez un son de charley ouvert et fermé au même groupe Mute, la lecture d'un pad rend automatiquement mulet le son affecté à l'autre pad.
Groupes Link
Les pads affectés au même groupe Link sont lus ensemble si vous déclenchez n'importe quel pad de ce groupe.
Groupes Alt
Si vous lisez des pads affectés au même groupe Alt, ceux-ci se déclencheront de manière aléatoire un à un. Quel que soit le pad lu dans le groupe, le déclenchement est toujours aléatoire.
Afferder des pads à des groupes de pads à l'aide de la fonction Édition rapide
Un moyen plus rapide d'affector plusieurs pads à des groupes de pads consiste à utiliser la fonction Édition rapide.
- Cliquez sur le bouton Édition rapide dans la section Groupe de pads.

Chaque pad indique désormais l'affection au groupe de pad en cours.
- Modifiez l'affection au groupe de pad en cliquant sur la lecture du groupe de pad souhaité sur chaque pad.

Dans l'image ci-dessus, les pads 9 et 10 sont affectés au groupe Alt G, ce qui signifie qu'ils se déclencheront en alternance lorsque vous lirez un de ces pads.
Les pads 11 et 12 sont affectés au groupe Mute B, ce qui signifie que la lecture du pad 11 rendra muet le pad 12 et vice versa.
- Lorsque vous avez terminé, cliquez sur le bouton Édition rapide ou appuyez sur [Echap] pour quitter.
La section Effets et batterie

La section Effets et batterie de Kong est composée du panneau de contrôle de batterie et de la section Effets et batterie.
Cliquez sur le bouton Afficher les batteries et les effets sous le panneau de contrôle de batterie pour déplier la section Effets et batterie.
Celle-ci est composée de cinq emplacements :
- Emplacement du module Batterie
L'emplacement FX1
L'emplacement FX2
L'emplacement Bus d'effets
L'emplacement Effet maitre
Les emplacements Batterie, FX1 et FX2 sont propres à chacun des 16 canaux de batterie de Kong. Les emplacements Bus d'effets et Effet maître sont partagés entre tous les canaux de batterie du module Kong. Vous pouvez activer/désactiver n'importe quel emplacement en cliquant sur le bouton On dans le coin supérieur gauche de chaque emplacement.
Flot du signal
Le signal de sortie du module de batterie est envoyé via les emplacements FX1 et FX2 au Bus d'effets, aux effets maître ou à une paire de sorties individuelles à l'arrière du panneau de Kong. Il existe également un Bus de départ d'effets que l'on peut utiliser pour envoyer un signal audio en provenance de la batterie via les emplacements FX1 et FX2 vers le Bus d'effets. L'emplacement Bus d'effets peut containir par exemple un module réverb que l'on peut utiliser comme départ d'effet pour tous les canaux de batterie. En prime, vous pouvez également raccorder un module d'effet externe entre les emplacements Bus d'effets et Effet maître, voir "Utilisation des effets externes avec Kong".
Le routage du signal dans la section Effets et batterie dépend du réglage du sélecteur de sortie de batterie situé en bas de la section Effets et batterie :

Les différents flots de signaux sont décrites dans les paragraphs suivants :
Sortie de batterie Effet maitre
Lorsque la sortie de la batterie est reglée sur « Effet maître», le flot du signal emprunte le cheminprésenté dans la figure ci-dessous. Si vous utilisez un Bus d'effets, celui-ci est traité comme un départ d'effet; le niveau du Bus d'effets est contrôle par le bouton Bus d'effets situé sur le panneau de contrôle de batterie.

Flot du signal lorsque la sortie de batterie est régée sur « Effet maître »
Sortie de batterie Bus d'effets
Lorsque la sortie de la batterie est reglee sur « Bus d'effets », le flot du signal emprunte le chemin presenté dans la figure ci-dessous. Notez que le Bus d'effets est désormais routé à la fois comme Insert d'effet et comme départ d'effet. En conséquence, il peut être judicieux de régler le bouton Bus de partir d'effets du panneau de contrôle de batterie sur zéro dans cette configuration.

Flot du signal lorsque la sortie de batterie est reglee sur « Bus d'effets »
Sortie de batterie séparée
Lorsque la sortie de batterie est reglée sur n'importe qu'elle paire de sorties séparées 3-4 à 15-16, le flot du signal suit le même chemin que dans la figure ci-dessous. Les signaux vers la paire de sorties séparées sélectionnée proviennent directement de FX2 via le bouton Volume général. Notez que le signal via le Bus d'effets et Effet maître est toujours disponible sur les sorties principales G et D et peut être contrôle avec le bouton Bus de départ d'effets du panneau de contrôle de batterie.

Flot du signal lorsque la sortie de batterie est definié sur une des paires de sorties séparées 3-4 à 15-16.
Le Panneau de contrôle de batterie

Le panneau de contrôle de batterie possède un ensemble de « macro-controôres » qui affectent les paramètres de chaque batterie. Ces contrôle modifiient les paramètres du module de batterie et des modules d'effet dans la section Effets et batterie. Il existe également des paramètres standard identiques pour chaque batterie : Pan, Son et Niveau. Tous les boutons du panneau de contrôle de batterie sont également automatisables.
Le bouton Decalage de pitch affecte les parametes de pitch de tous les modules de batterie.
Aucun module d'effets n'est affecté, même s'il possède un paramètre de pitch.
- Le bouton Décalage du déclin affecte les paramètres d'amplitude de déclin ou de relâchement de tous les modules de batterie ainsi que tous les modules d'effet contenant un paramètre de déclin.
Par exemple, le temps de déclin de la réverb dans le module d'effet Réverb de la pierce est affecté par le paramètre D'écalage du déclin.
Le bouton Bus de départs d'effets affecte le niveau du signal envoyé vers l'emplacement Bus d'effets.
En fonction du réglage de sortie de batterie en cours, l'effet sera un peu différent - voir les exemples dans "Flot du signal".
- Les boutons Départ Aux 1 et Aux 2 contrôle le volume de tous les modules connectés au sorties de départ Aux 1 et Aux 2 sur le panneau arrière, voir "Sortie Départ Aux".
Les signaux vers le Départ Aux sont envoyés après les emplacements FX1 et FX2 mais avant les emplacements Bus d'effets et Effet maître.
Le paramètre Pan contrôle la dispersion panoramicique du signal dans le panoramicque stéreo.
Le paramètre Pan affecte le signal envoyé après les emplacements FX1 et FX2 mais avant les emplacements Bus d'effets et Effet maître.
- Le paramètre de tonalité est un filtré intégré (similaire au filtré dans Redrum).
Le paramètre de tonalité affecte le signal envoyé après les emplacements FX1 et FX2 mais avant les emplacements Bus d'effets et Effet maître.
Modifier les paramètres du panneau de contrôle de batterie à l'aide de la fonction Édition rapide
Un moyen plus rapide de modifier les paramètres du panneau de contrôle de batterie pour plusieurs canaux de batterie en une seule fois consiste à utiliser la fonction Édition rapide. Le panneau de contrôle de batterie contient quatre boutons d'édition rapide.
- Cliquez sur le bouton Edition rapide en dessous de la section Pitch et Decalage du déclin.

Chaque pad presente désormais les réglages Pitch et Décalage du déclin en cours pour chaque canal de batterie affecté.
- Modifie le décalage de Pitch et du déclin en cliquant et en faisant glisser le « réticule » sur les pads désirés.

Le Décalage du déclin se trouve sur l'axe horizontal X et le Décalage de pitch sur l'axe vertical Y, comme le montre la légende sur le grand cadre rouge qui entoure la section Pad. Lorsque vous déplacez le réticule, les boutons correspondants sur le panneau de contrôle de batterie bougent également - et vice versa.
- Lorsque vous avez terminé, cliquez sur le bouton Édition rapide ou appuyez sur [Echap] pour quitter - ou cliquez sur un autre bouton d'édition rapide pour modifier d'autres paramètres.
Charger et enregistrer des patches de batterie

Le chargement et l'enregistrement de patches de batterie Kong (.drum) se font de la même maniere que pour n'importe quel autre module Reason - voir "Chargement des patches" et "Enregistrement de patches".
Un patch de batterie Kong contient tous les réglages de paramètre qui se trouvent sur le panneau de contrôle de batterie, y compris les modules et les réglages des paramètres de la section Effets et batterie - avec des références à tous les samples utilisés.
Il est également possible de charger des samples et des boucles REX dans la section Panneau de contrôle de batterie. Charger un sample l'ouvrira automatique dans un module NN-Nano Sampler (voir "NN-Nano Sampler") et charger un fichier REX l'ouvrira automatique dans un module Nurse Rex Loop Player (voir "Nurse Rex Loop Player").
Sampling dans Kong
La procédure de sampling est la même pour tous les modules capables d'échantillonner (Kong, NN-19, NN-XT et Redrum). Les procédures d'édition de sample et d'échantillonnage sont décrites en détaïl au chapitre "Sampling".
Pour échantillonner vous propre son et le charger automatique dans un module NN-Nano Sampler dans la section Effets et batterie, cliquez sur le bouton Sample du canal de batterie désiré.

Reportez-vous au chapitre "Sampling" pour plus de détails sur la manière de configurer et d'utiliser la fonction sampling.
L'emplacement du module de batterie

Chaque canal de batterie de Kong possede un emplacement de module principal - l'emplacement Module de batterie - vers lequel vous pouze charger un des 9 types differents de modules sonores de batterie pour creer des sons de batterie.
Sélectionnez le type de module de batterie en cliquant sur le bouton à droite du bouton On et en sélectionnant le module dans le menu pop-up.
Voici les types de modules de batteries que vous pouvez selectionner : NN-Nano Sampler, Nurse Rex Loop Player, Grosse caisse physique, Caisse claire physique, Tom Tom physique, Grosse caisse synthé, Caisse claire du synthétiseur, Synthe Tom Tom et Charley du synthétiseur. Voir “Les modules de batterie” pour plus de détails sur chaque module de batterie.
! Notez que vous ne pouvez automatiser que quatre paramètres prédéfinis par module de batterie !
En bas, sous l'emplacement Batterie, se trouve le parametre Plage du Pitch Bend qui contrôle la plage de Pitch Bend de l'emplacement Batterie. Ce parametre est global pour tous les types de modules de batterie, mais est propre à chacun des 16 canaux de batterie.

Le bouton Plage du Pitch Bend pour chacun des 16 canaux de batterie
Les emplacements FX


Chaque canal de batterie possède également 2 emplacements d'insert d'effets - les emplacements FX 1 et FX 2 - vers lesquels vous pouvez charger un des deux types différents de générateurs de son de support ou un des 9 modules d'effets différents.
Sélectionnez le type de module en cliquant sur le bouton à droite du bouton On et en sélectionnant le module dans le menu pop-up.
Voici les types de modules que vous pouze selectionner pour les emplacements FX 1 et FX 2 : généateur de bruit, généateur de tonalité, Réverb de la piece, Shaper éphémère, Compressor, Filtre, EQ paramétrique, Modulateur en anneaux, Chaîne, Echo d'enregistrement et Overdrive/Résonateur. Voir "Les modules générateurs de support" et "Les modules d'effets" pour plus de détails sur chaque type de module.
! Notez que vous ne pouvez automatiser que deux paramètres prédéfinis par module d'effets/de générateur de support !
- Pour les emplacements Bus d'effets et Effet maître, vous pouvez selectionner tous les types de modules à l'exception des générateurs de bruit et de tonalité.
Les modules de batterie
! Notez que vous ne pouvez automatiser que quatre paramètres prédéfinis par module de batterie !
NN-Nano Sampler

Le NN-Nano Sampler est basé sur le NN-XT Sampler et a été créé spécifiquement pour les sons de batteries et de percussion.
Le NN-Nano gère les samples ou les ensembles de samples pour chacun des quatre types de coups différents décrits dans "Afferter un type de coup à des pads". Chaque type de coup peutContainir un ou plusieurs samples qui peuvent être superposés et/ou modifiés et contrôlés individuellement via la velocité.
Chargement de samples
- Sélectionnez le coup que vous souhaitez charger dans le ou les sample(s) enclinquant dans l'affichage.

- Cliquez sur le bouton Parcourir les samples (en forme de dossier) et selectionnez un ou plusieurs fichiers WAV, AIFF, samples SoundFont ou fichiers slice REX.
- Cliquez sur Ouvrir dans le navigateur de samples.
Le ou les sample(s) sont charges dans le coup sélectionné.

Si vous avez selectionné plusieurs samples, ceux-ci se chargeront sous forme de couches distinctes dans le coup selectionné.
Si vous le souhaitez, vous pouvez charger d'autres samples, soit dans un autre coup, soit dans une nouvelle couche dans le même coup. Pour charger un nouveau sample dans une nouvelle couche du même coup, procédez de la façon suivante :
- Sélectionnez le coup puis cliquez sur le bouton Ajouter une couche.

Un espace supplémentaire est créé dans le coup.
2. Sélectionnez la couche vide dans l'affichage et chargez un nouveau sample en suivant la procédure décrite précédemment dans la section "Chargement de samples".
NN-Nano prend en charge les fichiers aux formats suivants :
Fichiers Wave standard
Ils ont l'extension .wav. C'est le format de fichier audio standard de la plate-forme PC. Tout editor audio ou des sample, quelle que soit la plate-forme, peut dire et creer des fichiers audio au format Wave. Il prend en charge toute fréquence d'échantillonnage et quasiment toute résolution (jusqu'à 24 bits).
- Les fichiers AIFF standard
Ils ont l'extension .aif et sont le format de fichier audio standard de la plate-forme Mac. À nouveau, tout éditeur audio ou de sample peut dire et créé des fichiers audio à ce format. Il prend en charge toute fréquence d'échantillonnage et quasiment toute résolution (jusqu'à 24 bits).
- Les samples SoundFont
Il s'agit d'un format de données standardisé contenant de l'audio numérique à table d'ondes et des informations sur comment le litre dans un synthétiseur à table d'ondes - typiquement une carte audio. Les banques SoundFont sont organises hierarchiquement dans différentes catégories : les samples d'utilisateur, les instruments, les presetts, etc. Le NN-XT vous permet de charger des samples individuels dans une banque SoundFont.
- Les fichiers de slices REX
Une slice est un fragment de son dans un fichier REX. Pour importer une slice REX, cherchez un fichier REX et ouvre-le comme s'il s'agissait d'un dossier. Le navigateur affichera alors les slices sous forme de fichiers dans ce « dossier ». Dans la suite de ce manuel, lorsque nous ferons reférence à l'importation de samples, tout ce qui sera dit s'appliquera également aux slices REX.
Remplacement des samples
Pour remplacer un ou plusieurs samples, selectionnez le ou les sample(s) dans l'affichage puis chargez les nouveaux samples en suivant la procEDURE décrite dans la section "Chargement de samples".
Il est ainsi possible par exemple de remplacer trois samples selectionnés par trois nouveaux samples en une seule fois.
Ajouter et supprimer des couches
Pour ajouter une nouvelle couche à un coup, sélectionnez le coup et cliquez sur le bouton Ajouter une couche.

Un espace supplémentaire est créé dans le coup pour la couche créée.
Pour supprimer la couche d'un coup, selectionnez-la et cliquez sur le bouton Supprimer la couche.

La couche est supprimée en même temps que son sample (le cas échéant).
Sampling dans le NN-Nano
La procédure de sampling est généérique pour tous les modules capables d'échantillonner (Kong, NN-19, NN-XT et Redrum). Les procédures d'édition de sample et d'échantillonnage sont décrites en detail au chapitre "Sampling".
Pour échantillonner votre propre son et le charger automatique dans le NN-Nano, cliquez sur le bouton Sample.

Reportez-vous au chapitre "Sampling" pour plus de détails sur la manière de configurer et d'utiliser la fonction sampling.
Le bouton Editor le sample

Si vous cliquez sur le bouton Editor le sample avec un sample selectionné dans l'affichage, celui-ci s'ouvrira dans la fenêtre générique Editor le sample. Vous pouvez y modifier le sample et l'enregistrer en tant que sample de morceau autonome. Voir "Fenêtre Editor le sample" dans le chapitre Sampling pour plus de détails sur l'edition des samples.
Paramètres de sample
Il existe plusieurs paramètres propres à chaque sample et coup individuel dans le NN-Nano. Ces paramètres sont visibles dans l'affichage du sample sélectionné (mis en surbrillance):

Vélocité
Vouss pouvez definir la plage de velocite soit en cliquant et en faisant glisser la barre de velocite de cote a droite du sample, soit en cliquant et en faisant glisser les valeurs de velocite minimales et maximales verticalement en bas de l'affichage.
- Niveau
Définissez le niveau du sample en cliquant et en faisant glisser la valeur du volume vers le haut ou vers le bas dans l'affichage.
Pitch
Définissez le pitch du sample en cliquant et en faisant glisser la valeur Pitch vers le haut ou vers le bas dans l'affichage.
- Replacement
Cliquez sur la case Remplacement de plusieurs samples appartenant au meme coup pour les dire en alternance.
- Nom du coup
Vouss pouvez modifier le nom du coup si vous le souhaitez en cliquant dans la zone Nom du coup, en saississant un nouveau nom puis en appuyant sur [Entrée]. Le nom s'affiche dans l'affichage Type de coup du panneau principal (voir "Afferter un type de coup à des pads").
Paramètres globaux
Les paramètres situés sur le panneau, en dehors de l'affichage, sont globaux et affectent tous les samples de tous les groupes de coups de façon égale.

- Polyphonie
La mention « Full » désigne une polyphonie complète. Cela signifie que tous les coups peuvent sonner avec une polyphonie complète. Plusieurs coups peuvent également être joués ensemble s'ils sont contrôlés depuis des pads distincts affectés à différents types de coups.
« Coups exclusifs » signifie que lorsqu'un coup est lu, il rendra automatiquement muet tout autre coup lu. En revanche, la polyphonie reste complète au sein de chaque coup.
La mention « Monophonique » désigne un son...monophonique.
- Roue de modulation
Si vous souhaitez que la roue de modulation affecte le pitch et/ou le déclin du son, vous pouvez la définir grâce aux boutons Roue de mod. -> Pitch et/ou Roue de mod-> Déclin. Ces deux paramètres sont bipolaires (+/-).
Vélocité
Dans la section Velocité, vous contrôle la manière dont la velocité affecte plusieurs paramètres, Ces paramètres sont : Pitch, Déclin, Volume, Bend et Début du sample. Tous les paramètres sont bipolaires (+/-).
Pitch
Voupvez definir ici le Pitch global, l'intensite du Pitch Bend et la durée du Pitch Bend pour tous les samples. Les paramètres Pitch et Intensité du Pitch Bend sont bipolaires (+/-).
Osc
Dans la section Osc, vous définisse les paramètres globaux de Début de sample et d'Inversion de tous les samples situés dans le NN-Nano.
Env.Vol
La section Env. Vol contient une enveloppe Ataque-Déclin et le paramètre de Volume global pour tous les samples. Elle contient également un/selecteur de mode de déclenchement d'enveloppe qui permet de désir entre le mode Gate et Trig. En mode Gate (symbole du carré), la durée du déclin définit la durée minimum de gate. Si vous maintainez enforcée une touche ou un pad sur votre clavier MIDI/surface de contrôle, l'étape de déclin commencerera une fois que vous aurez relâché la touche/le pad.
Le Nurse Rex Loop Player est basé sur le Dr. OctoRex Loop Player mais a été modifié pour optimiser la lecture et le déclenchement de sons de batterie et de percussion.
Le Nurse Rex peut charger des fichiers REX standard et dire des bocles et/ou des slices de plusieurs manieres, selon le type de coup selectionné (voir "Affecter un type de coup à des pads").
Chargement des fichiers REX
- Cliquer sur le bouton (en forme de dossier) Parcourir les samples.

- Sélectionnez un fichier REX et cliquez sur Ouvrir dans le navigateur.
Le fichier REX est chargé dans Nurse Rex avec la boucle représentée dans l'affichage.
Types de coups (modes de lecture)
En fonction du type de coup sélectionné, la boucle REX sera lue différemment. Les possibilités d'édition différent également en fonction du type de coup sélectionné pour le pad affecté.
- Déclenchement de la boucle
En mode Déclenchement de la boucle, vous déclenchez la boucle REX afin de dire un seul cycle chaque fois que vous executez le pad affecté. Ce mode peut également être utilisé avec le mode « Stop » sur un autre pad pour interrompree immediatement la lecture de la boucle, voir “Stop” ci-dessous.


Une boucle REX avec comme type de coup « Déclenchement de boucle »
Vouset definissez la slice de Debut et de Fin soit en cliquant et en faisant glisser vers le haut ou vers le bas les valeurs numériques S et E dans les cases, soit en cliquant et en faisant glisser latéralement les poignées dans la « règle » au-dessus de la boucle REX dans l'affichage.

Différents moyens d'editor les valeurs de slice de début et de fin
- Déclenchement de fragment
En mode Déclenchement de fragment, vous pouvez assigner plusieurs pads pour lire des sections plus courtes - des fragments - de la boucle REX. Le nombre de fragments dépend du nombre de pads affectés à la boucle REX à l'aide du type de coup Déclenchement de fragment. Les fragments sont répartis en sections égales dans la boucle REX. Le mode Déclenchement de fragment peut également être utilisé avec le mode « Stop » sur un autre pad pour interrompree immidiatement la lecture du fragment, voir “Stop” ci-dessous.
Dans la figure ci-dessous, nous avons affecté quatre pads à la même boucle REX et nous avons sélectionné « Déclenchement de fragment » comme type de coup sur ces quatre pads :


Quatre pads affectés à la même boucle REX et type de coup définir sur « Déclenchement de fragment »
Définissez la taille des fragments en cliquant et en faisant glisser les bords droits des « onglets » au-dessus de la boucle REX dans l'affichage.
Vou déplacez ainsi automatiquement la position de départ des autres fragments ; les fragments seront donc toujours adjacent les uns aux autres.

Modifier la taillie des fragments
Vous modifier la position de début du premier fragment et la position de fin du dernier fragment en modifiant les valeurs de début et de fin de la boucle REX.
En fait, cela revient à définir la position globale de début et de fin de la boucle REX.

Modifier la position de début du premier fragment et la position de fin du dernier fragment
- Déclenchement de slice
En mode Déclenchement de slice, vous pouvez affecter un pad pour lire une seule slice de la boucle REX - ou plusieurs slices en alternance. Par défaut, la Slice 1 de n'importe qu'elle boucle REX chargée dans le Nurse Rex est définie pour être lue si vous avez sélectionné le type de coup « Déclenchement de slice »


La Slice 1 est lue par défaut en mode Déclenchement de slice
Une boucle REX avec un type de coup « Déclenchement de slice »
Modifiez la slice à生存 en décochant d'abord la case Déclenchement, puis cliquez sur une autre slice dans l'affichage et cochez la case Déclenchement correspondant à cette slice.

Cette fois, c'est la Slice 3 qui est lue
La Slice 3 est selectionnée pour etre lure en mode Declenchement de slice
Un autre moyen d'affector une slice pour la lire, ou d'affector plusieurs slices pour les lire en alternance, consiste à utiliser la souris en association avec la touche Ctrl/Cmd.
Maintenez enforcée la touche Ctrl/Cmd et cliquez sur la ou les slice(s) dans l'affichage que vous souhaitez affecter ou désaffecter.

Les slices 3, 5, 8 et 11 sont sélectionnées et seront lues en alternance en mode Déclenchement de slice
Les slices 3, 5, 8 et 11 sont selectionnées pour être lues en mode Déclenchement de slice, ce qui les force à être lues en alternance
Les slices sélectionnées s'affichent avec un arrêté-plan rouge. La slice « ciblée » s'affiche avec un arrêté-plan orange. La case de déclenchement des slices sélectionnées est automatiquement cochée.
- Stop
Le quatrième type de coup s'appeille « Stop ». Vous pouvez utiliser le mode Stop pour utiliser un pad afin d'interr compromise immédiatement la lecture du fragment ou de la boucle REX en cours. Vous doivent l'employer en association avec les types de coups « Déclenchement de la boucle » ou « Déclenchement de fragment ». Sinon, cela ne sera rien.

« Stop » sélectionné comme type de coup pour un pad affecté à un module Nurse Rex
- Affectez un pad à une boucle REX dans Nurse Rex et Sélectionnez un type de coup « Déclenchement de la boucle » ou « Déclenchement de fragment »
- Affectez un autre pad au même module Nurse Rex et selectionnez « Stop » comme type de coup.
Désormais, si vous lisez le premier pad, la lecture de la boucle ou du fragment commence. Dès que vousatteignez le deuxieme pad, la lecture de la boucle/du fragment s'interrompt immédiatement.
Combiner des types de coups
En combinant plusieurs types de coups différents dans le module Nurse Rex, vous pouze creator des réglagesvrément intéressants. Par exemple, vous pouze charger une boucle REX et affecter à plusieurs pads le type decoup « Déclenchement de fragment », le coup « Déclenchement de la boucle » à un autre pad, « Déclenchement deslice » à un autre, et « Stop » à un autre. En lisant des pads différents, vous obtenez alors des résultatsvrimentsurprenants. La figure ci-dessous montre un exemple de ce type de configuration :

Huit pads affectés au même module Nurse Rex, définis sur différents types de coup (en mode Édition rapide).
Si vous cliquez sur le bouton Édition rapide Type de coup, vous pouvez voir que le Pad 1 est défini sur Déclenchement de la boucle, les pads 2 à 6 sont définis sur Déclenchement de fragment ; le pad 7 est défini sur Déclenchement de slice, et possède quatre slices définies sur Déclenchement dans l'affichage de la boucle REX pour une lecture en alternance. Enfin, le pad 8 est défini sur Stop. Vous pouvez donc interrompre la lecture de la boucle et des fragments dés que vous le souhaitez.
Modifier des paramètres de slice
Dans l'affichage de la boucle REX, vous pouvez modifier les paramètres qui sont propres à chaque slice :


Paramètres de slice
Paramètres de slice d'une boucle REX chargee
Pour selectionner une slice en vue de la modifier, cliquez sur la slice souhaitee dans l'affichage de la boucle REX.
Sinon, cliquez et faites glisser la souris vers le haut ou vers le bas dans la case Numéro de la slice ou utilisez le bouton Sélectionner la slice en dessous de l'élement Slice.
Les paramètres de slice sont :
- Déclenchement
Cochez la case Déclenchement pour les slices que vous souhaitez alterner à l'aide du type de coup Déclenchement de slice.
Pitch
Définissez le pitch de chaque slice de la boucle REX enclinuant et en faisant glisser la valeur Pitch vers le haut ou vers le bas.
- Niveau
Définissez le volume de chaque slice de la boucle REX en cliquant et en faisant glisser la valeur Niveau vers le haut ou vers le bas.
Inversion
Cochez la case Inversion des slices que vous souhaitez dire en marche arrière.
Paramètres du panneau Nurse Rex
Sur le panneau Nurse Rex, vous pouvez modifier les paramètres commons à toutes les slices de la boucle REX chargée :

- Type d'enveloppe
Définit le type d'enveloppe d'amplitude sur Gate ou ADSR (Attaque, Déclin, Maintien et Relachement). En mode Gate, le temps de gate est défini avec le paramètre de déclin.
- Attaque avec le contrôle de la velocité
Définit le temps d'attaque de l'enveloppe d'amplitude si vous sélectionnez ADSR comme type d'enveloppe. Le temps d'attaque peut aussi être contrôle par la velocité en fonction de la sensibilité définie avec le bouton Vel.
- Déclin avec les contrôle des velocité et de modulation
Définit le temps de déclin de l'enveloppe d'amplitude si vous scélectionné ADSR comme type d'enveloppe. Si Gate est sélectionné comme type d'enveloppe, le paramètre Déclin définit le temps de gate. Le temps de déclin/de gate peut aussi être contrôle par la velocité en fonction de la sensibilité définie avec le bouton Vel. Vous pouvez aussi le contrôle à partir de la roue de modulation à l'aide de l'intensité définie avec le bouton Mod.
- Maintien
Définit le niveau de maintien de l'enveloppe d'amplitude si vous Sélectionnez ADSR comme type d'enveloppe. En mode Gate, le paramètre Maintien n'a aucun effet.
- Relachement avec contrôles de la velocité et de la modulation
Définit le temps de relâchement de l'enveloppe d'amplitude si vous Sélectionnez ADSR comme type d'enveloppe. Le temps de relâchement peut aussi être contrôle par la velocité en fonction de la sensibilité définie avec le bouton Vel. Vous pouvez aussi le contrôle à partir de la roue de modulation à l'aide de l'intensité définie avec le bouton Mod. En mode Gate, le paramètre Relâchement n'a aucun effet.
- Pitch avec contrôle de la velocité
Définit le pitch global de toutes les slices de la boucle REX. Le pitch peut être contrôle par la velocité en fonction du réglage du potentiamètre Vel. Une valeur négative réduit le pitch à une velocité croissant et une valeur positive augmente le pitch à une velocité croissant.
Volume avec contrôle de la velocité
Définit le volume global de toutes les slices de la boucle REX. Le volume peut être contrôle par la velocité en fonction du réglage du potentiamètre Vel. Une valeur négative réduit le volume à une velocité croissant et une valeur positive augmente le volume à une velocité croissant.
En haut du panneau Nurse Rex se trouve un bouton pour régler la polyphonie :

- Polyphonique désigne une polyphonie complète.
Le fait de redéclencher la même slice/fragment continua d'ajouter d'autres voix sans rendre muets lessons longs.
- Monophonique fait que tous bocles/slices/fragments nouvellement déclenchés rendent muets tous lessons lus/longs en cours.
Grosse caisse physique, caisse claire et Tom Tom



La Grosse caisse physique, la caisse claire et le Tom Tom utilise des modèles mathématiques très fiables pour générer des sons de batterie acoustique. Lessons des batteries PM sont générés à l'aide d'une modélisation physique ; des calculs mathématiques en temps réels des phénomènes acoustiques physiques. Comparée à la lecture de sample, cette technique de modélisation physique donne lieu à plus de liberté créative et à de plus amples plages sonores.
Paramètres généraux
- Niveau
Il contrôle le niveau de sortie global du module de batterie aux emplacements FX1 et FX2 (voir "Flot du signal"). Le niveau est également affecté par la velocité.
Paramètres de fût et de peu de batterie
La fonction de batteries par modélisation physique contient les paramètres de peu et de fût suivants :
Pitch
Définit le pitch global de la batterie. Le paramètre Pitch peut être considéré comme la taille totale de la batterie et affecte tous les autres paramètres de peu et de fêt.
- Tonalité 1 et Tonalité 2 (Grosse caisse PM et Tom Tom PM)
Les paramètres Tonalité 1 et Tonalité 2 définissant le caractère harmonique de la batterie, comme le réglage individuel des vis de tension cercclées en haut de la peau de la batterie.
- Tonalité (Caisse claire PM)
Il contrôle la tension de la peau supérieure de la batterie et affecte en conséquence le caractère harmonique du son.
- Intensité du Bend (Grosse caisse PM et Tom Tom PM)
Il définit l'effet de « pitch bend » dynamique que vous obtenez en tapant sur une peu de batterie.
- Antivibratoire
Il contrôle la vibration de la peau de batterie.
- Déclin
Le paramètre Déclin n'a aucun équivalent dans le monde réel. Il contrôle simplement le temps de déclin du son de la batterie.
- Intensité du fêt (Grosse caisse PM et Tom Tom PM)
Il contrôle la quantité de son du fût de la batterie présente dans le son.
Taille du fut (Tom Tom PM)
Il contrôle la profondeur (« longueur ») du fêt.
- Tonalité du bord (Caisse claire PM)
Il contrôle la tonalité de la peau lorsque le type de coup 4 (coup du bord) est sélectionné pour le pad (voir "Affecter un type de coup à des pads").
Tension de la caisse claire (Caisse claire PM)
Il contrôle la tension de la caisse claire et la distance entre la caisse claire et la peu inférieure de la batterie.
Pitch inférieur (Caisse claire PM)
Il contrôle le pitch de la peau inférieure de la batterie.
- Mixage inférieur (Caisse claire PM)
Il contrôle àquel point le son de la peau inférieure doit être present dans le son de la batterie.
Paramètres de pédale et de baguette
- Densité (Grosse caisse PM)
Il contrôle la « durée » de la pédale de la grossse caisse.
- Tonalité (Grosse caisse PM et Tom Tom PM)
Il s'agit d'un filtré qui contrôle la tonalité du coup.
Volume de la pédale (Grosse caisse PM)
Il contrôle àquel point le son du coup de la pédale doit être present dans le son de la batterie.
Volume des baguettes (Tom Tom PM)
Il contrôle àquel point le son du coup de la baguette doit être present dans le son de la batterie.
Grosse caisse, caisse claire et Tom Tom synthétiques



La grossse caisse, la caisse claire et le Tom Tom synthétiques utilisent une modélisation analogique pour générer des sons de batterie synthétiques classiques. Le Tom Tom synthétique a été créé avec précision d'après un célibre système de batterie hexagonale créé dans les années 1980.
Paramètres généraux
- Niveau
Il contrôle le niveau de sortie global du module de batterie aux emplacements FX1 et FX2 (voir "Flot du signal"). Le niveau est également affecté par la velocité.
Paramètres de batterie
La fonction Batteries synthétiques contient les paramètres suivants :
Pitch
Il définit le pitch global de la batterie. Le pitch du bruit n'est pas affecté par ce paramètre.
- Tonalité (Grosse caisse synthétique)
Il s'agit d'un filtré identique à celui utilisé dans Redrum qui affecte la tonalité de la batterie. Le bruit n'est pas affecté par ce paramètre.
- Attaque (Grosse caisse synthétique)
Définit le temps d'attaque du son de la batterie. Il affecte également le bruit.
Déclin
Définit le temps de déclin du son de la batterie. Il affecte également le déclin du bruit de la Grosse caisse synthétique et est ajusté au paramètre de déclin de bruit des batteries Caisse claire synthétique et Tom Tom synthétique. Il est aussi ajusté à la valeur de déclin harmonique de la Caisse claire synthétique. Le temps de déclin est également affecté par la velocité.
Balance harmonique (Caisse claire synthetique)
Définit le niveau de balance entre la tonalité fondamentale et la tonalité harmonique.
- Fréquence harmonique (Caisse claire synthétique)
Définit la fréquence de la tonalité harmonique.
- Déclin harmonique (Caisse claire synthétique)
Définit le temps de déclin de la tonalité harmonique. Il est également affecté par le paramètre de déclin.
- Fréquence du clic (Grosse caisse synthétique)
Définit la fréquence du cig dans l'attaque.
- Résonance du clic (Grosse caisse synthétique)
Définit la quantité de résonance du son du cig dans l'attaque.
- Niveau du clic (Grosse caisse synthétique et Tom Tom synthétique)
Définit le niveau du son du clic dans l'attaque.
Durée du bend (Grosse caisse synthétique et Tom Tom synthétique)
Définit le temps nécessaire pour redéfinir le pitch de la valeur d'intensité du Bend (voir ci-dessous) au pitch d'origine.
- Intensité du bend (Grosse caisse synthétique et Tom Tom synthétique)
Definit la limite supérieure du pitch du bend. L'intensité du bend est également affectée par la velocité.
- Tonalité du bruit (Caisse claire synthétique et Tom Tom synthétique)
Il s'agit d'un filtré qui définit le contenu des fréquences du bruit.
- Déclin du bruit (Caisse claire synthétique et Tom Tom synthétique)
Définit le déclin du bruit dans le son. Le déclin du bruit est également affecté par le paramètre de déclin normal.
- Mixage du bruit (Caisse claire synthétique et Tom Tom synthétique)
Définit le niveau de bruit dans le son de la batterie.
Charley synthétique

Le charley synthetique utilise la modélisation analogue pour générer des sons. Il peut être employé pour générer les sons de charley caractéristiques des toutes premières batteries analogiques.
Paramètres
Pitch
Il définit le pitch global du son du charley.
Déclin
Il définit le temps de déclin du son du charley.
- Niveau
Il contrôle le niveau de sortie global du module Charley synthétique aux emplacements FX1 et FX2 (voir "Flot du signal"). Le niveau est également affecté par la velocité.
Clic
Il contrôle le niveau du cli c dans l'attaque du son du charley.
Tonalité
Il s'agit d'un filtré similaire à celuiutilisé dans Redrum qui affecte le contenu des fréquences du son du charley.
Anneau
Definit le niveau des pics de résonance dans le son. Plus cette valeur est élevé et plus le son est « métallique »
Les modules générateurs de support
Il existe deux types de modules générateur de support dans Kong, un qui génère du bruit et un autre qui génère une tonalité. Les modules générateur de support peuvent être utilisés avec n'importe quel module de batterie, ou de manière autonome. Les générateurs de support peuvent être charges dans les emplacements FX1 et/ou FX2.
! Notez que vous ne pouvez automatiser que deux paramètres prédéfinis par module générateur de support !
Générateur de bruit

- Boutons Type de coup
Ces boutons permettent deCHOISIR pourquel(s) type(s)de coup(s)le generateur de bruit doit etre actif.Par defaut, le generateur de bruit est actif pour tous les types de coups (voir "Affecter un type de coup a des pads").
Pitch
Il définit le pitch central du bruit.
- Attaque
Il définit le temps d'attaque du bruit.
Déclin
Il définit le temps de déclin du bruit.
Réso
Il définit l'intensité de la résonance du bruit autour du pitch central.
Balayage
Il définit le pitch supérieur du début de la plage de balayage. La plage de balayage est également affectée par la velocité.
Clic
Il définit le niveau du cliç dans l'attaque du bruit.
- Niveau
Il définit le niveau global du générateur de bruit. Le niveau est également affecté par la velocité.
Générateur de tonalité

- Boutons Type de coup
Ces boutons permettent deCHOISIR pourquel(s) type(s) de coup(s) le generateur de tonalite doit etre actif.Par défaut,le générateur de tonalite est actif pour tous les types de coups (voir "Afferter un type de coup a des pads").
Pitch
Il définit le pitch de l'oscillateur.
- Attaque
Il définit le temps d'attaque de la tonalité.
Déclin
Il définit le temps de déclin de la tonalité.
- Déclin du bend
Il définit le temps de déclin du Bend.
Bend
Il définit le pitch supérieur du début de la plage de bend. La plage de bend est également affectée par la velocité.
- Forme
Il définit le caractère de la tonalité du son, de moins à plus d'harmoniques.
- Niveau
Il définit le volume général du générateur de tonalité. Le niveau est également affecté par la velocité.
Les modules d'effets
Les modules d'effet peuvent être utilisés aux emplacements FX1, FX2, Bus d'effets et Effet maître.
! Notez que vous ne pouvez automatiser que deux paramètres prédéfinis par module d'effets !
Utiliser la modulation CV des paramètres Bus d'effets et Effet maître
Lorsque les modules d'effets sont utilisés aux emplacements Bus d'effets et/ou Effet maître, il est possible de router des signaux CV externes vers les deux premiers paramètres du module d'effet en vue de la modulation. Si vous survvalez avec la souris le premier ou le deuxième paramètre d'un module d'effet charge à l'emplacement Bus d'effets ou Effet maître, une bulle d'aide apparait :

elle indique l'entrée de modulation CV à l'arrière du panneau Kong déplié qui contrôle ce paramètre. Concernant les modules d'effets charges à l'emplacement Bus d'effets, la bulle d'aide indique « Bus d'effets P1 : nn » pour le premier paramètre du module d'effet et « Bus d'effets P2 : nn » pour le second. Concernant les modules d'effets charges à l'emplacement Effet maître, la bulle d'aide indique « Effet maître P1 : nn » pour le premier paramètre du module d'effet et « Effet maître P2 : nn » pour le second. nn désigne la valeur du paramètre en cours.
En reliant des cables aux entrées de modulation CV à l'arrière du panneau Kong, vous pouvez modifier les paramètres de module d'effet correspondants aux emplacements Bus d'effets et/ou Effet maître.

Contrôle des valeurs de modulation du paramètre d'effet avec les potentiomètres d'atténuation correspondants.
Si vous désisissez de remplacer les modules d'effets aux emplacements Bus d'effets et/ou Effet maître, le routage de la modulation sera réservée - mais les signaux CV contrôleont désormais les deux premiers paramètres du ou des module(s) de remplacement.
Réverb de lapiece de la batterie

La Réverb de la pierce de la batterie est une réverb dotée d'un algorithme de réverb de type « piece ». Elle ajoute efficacement une ambiance à des sons de batterie isolés ou au mixage complet des 16 canaux de batterie. Ses paramètres sont les suivants :
- Taille
Il définit la « taille » de la pierce, de petite à grande.
- Déclin
Il définit le temps de déclin du réverb.
Attenuation
Il définit la valeur d'atténuation des haute fréquences de l'effet réverb, de�除 un à fort.
Largeur
Il définit l'effet stéreo de la réverb, de mono à stéreo élargi.
Avec/Sans effet
Il définit le mixage entre le signal avec (réverb) et sans effet.
Shaper éphémère

Le Shaper éphémère est un type de processeur de dynamiques qui produit un résultat comparable à celui d'un compresseur. Contrairement à un compresseur « normal», le Shaper éphémère affecte principalement l'attaque du signal, ou les éphémères dans le signal, entraînant ces derniers à se frayer un chemin dans le mixage. Ses paramètres sont les suivants :
- Attaque
Une valeur d'attaque positive produit une attaque/éphémère amplifiée tandis qu'une valeur négative réduit le volume de l'attaque/éphémère.
Déclin
Il réinitialise le temps de déclin de l'amplification/atténuation sur son niveau d'amplitude normal.
Intensité
Il contrôle l'intensité de l'amplification. Une intensité élevée associée à une valeur d'attaque positive produit une attaque/éphémère très prononcée dans le son.
Compresseur

Le compresseurillage l'audio en adouciissant lessons élevés. Pour compenser la perte de volume, le compresseur possède un gain de sortie qui augmente le volume général avec l'intensité appropriée. Les niveaux audio sont ainsi plus réguliers et les sons ont plus de « puissance » et un maintainen plus long. Ses paramètres sont les suivants :
Intensité
Il définit la sensibilité du compresseur. Une valeur élevée rendra le compresseur plus sensible. Il réagira ainsi aux signaux d'entrée faibles.
- Attaque
Il définit la vitesse de la compression à appliquer au signal entrant. Une valeur BASSE déclenchera immédiatement la compression, tandis qu'une valeur élevée laissera passer l'attaque/l'éphémère avant l'exécution de la compression.
Relachement
Il définit la durée après laquelle le comprésur laissera repasser le son sans le modifier. Définissez le relâchement sur des valeurs courtes pour obtaining des effets plus intenses de « montée en puissance » du comprésur, ou sur des valeurs longues pour obtaining un changement plus doux des dynamiques.
- Gain de sortie
Il définit la compensation du volume général. Une valeur BASSE produit un signal de sortie plus doux tandis qu'une valeur élevée amplifie le signal de sortie.
Filtre

Le filtré est un filtré à état variable doté d'un sélecteur pour sélectionner l'état Passe-bas, Passe-bande ou Passe-haut. Il possède des contrôleurs pour l'intensité de la fréquence de coupure/centrale et de la résonance, et il peut également être contrôle à partir d'un générateur d'enveloppe intégré contrôle en MIDI pour le balayage de la fréquence. Utilisé à l'emplacement Bus d'effets, MIDI Note E2 (#52) déclenché l'enveloppe. Utilisé à l'emplacement Effet maître, MIDI Note F2 (#53) déclenché l'enveloppe. Ses paramètres sont les suivants :
Fréquence
Définit la fréquence de coupure dans les états LP et HP et la fréquence centrale dans l'état BP.
Résonance
Il définit l'intensité de l'amplification des fréquences autour de la fréquence de coupure/centrale.
LP/BP/HP
Définit l' état du filtré sur Passe-bas, Passe-bande ou Passe-haut.
- Intensité EG du déclenchement MIDI
Il définit l'intensité de l'enveloppe du filtré contrôle en MIDI. La valeur de l'intensité est bipolaire (+/-). Définie sur une valeur positive, l'enveloppe balayera la fréquence du filtré en partant d'une valeur élevé jusqu'à la valeur de fréquence définie. Définie sur une valeur négative, l'enveloppe balayera la fréquence du filtré en partant d'une valeur faible jusqu'à la valeur de fréquence définie. L'intensité est également affectée par la velocité.
- Déclin EG du déclenchement MIDI
Il définit le temps de déclin de l'enveloppe contrôle en MIDI.
EQ paramétrique

L'EQ paramétrique est un égaliser paramétrique simple-bande avec des contrôle pour la fréquence centrale, le gain et la bande passante (valeur Q). Ses paramètres sont les suivants :
Fréquence
Définit la fréquence centrale de l'égaliser.
- Gain
Définit l'amplification (valeur de gain positive) ou l'atténuation (valeur de gain négative) autour de la fréquence centrale.
Q
Définit la bande passante autour de la féquence centrale, allant d'une crête large à étroite.
Modulateur en anneaux

Le modulator en anneaux multiplie le signal d'entrée par le signal de l'onde sinusoidale interne. Cela donne souvent un son métallique synthétique. Le modulator en anneaux possède également une générateur d'enveloppe contrôle en MIDI pour le balayage de la fréquence de l'onde sinusoidale interne. Utilisé à l'emplacement Bus d'effets, MIDI Note E2 (#52) déclenché l'enveloppe. Utilisé à l'emplacement Effet maître, MIDI Note F2 (#53) déclenché l'enveloppe. Ses paramètres sont les suivants :
Fréquence
Définit la fréquence de l'oscillateur de l'onde sinusoidale interne. Plus la fréquence est élevée et plus le pitch du signal de sortie résultat est élevé.
Intensité
Définit le niveau de l'oscillateur de l'onde sinusoidale interne. Plus le niveau est élevé et plus l'effet de modulation d'anneaux est important.
- Intensité EG de déclenchement MIDI
Il définit l'intensité de l'enveloppe contrôle en MIDI. La valeur de l'intensité est bipolaire (+/-). Définie sur une valeur positive, l'enveloppe balayera la fréquence de l'oscillateur de l'onde sinusoidale interne en partant d'une valeur élevé jusqu'à la valeur de fréquence définie. Définie sur une valeur négative, l'enveloppe balayera la fréquence de l'oscillateur en partant d'une valeur faible jusqu'à la valeur de fréquence définie. L'intensité n'est pas affectée par la velocité.
- Déclin EG de déclenchement MIDI
Il définit le temps de déclin de l'enveloppe contrôle en MIDI.
Chaine

La chaîne ajoute l'effet d'une caisse claire « attachée » à tous les sons qui lui parviennent. L'utilisation de la chaîne avec d'autres types de sons que les sons de caisse claire « traditionnels » peut donner des résultatsvertsactually interressants ! Vous n'avez jamais joué sur une grossse caisse claire ou une caisse claire de charley, par exemple ? Ses paramètres sont les suivants :
Tension de la caisse claire
Il définit la tension de la caisse claire. Notez que si vous augmentez cette tension, l'effect sera en réalité moins prononcé car la caisse claire aura « moins de contact » avec la source du son.
Tonalité
ll s'agit d'un filtre similaire a celui utilise dans Redrum qui affecte le contenu des fréquences du signal de sortie.
- Déclin
Il définit pendant combien de temps la caisse claire va « sonner »
- Accordage
Il définit l'accordage de la caisse claire, de faible à élevé, et affecte le contenu des fréquences du signal.
- Niveau
Il définit le volume général de la chaîne. Le niveau est également affecté par la velocité.
Écho à bande

L'écho à bande est basé sur les principes des effets d'échos à bande classiques. À l'origine, ces effets étaient des modules electro-mécaniques qui utilisait une bande magnétique sans fin associée à des têtes d'enregistrement et de lecture situées dans un boîtier. La répétition et les styles d'échos étaient contrôlés par la vitesse de la bande et les têtes de lecture employées. Plus tard, de nombreux effets d'échos à bande ont été replacés par des effets de délays numériques. L'écho à bande de Kong simule l'effet d'écho à bande classique et contient les paramètres suivants :
Temps
Il définit le temps entre les déçais, de court à long.
Feedback
Il définit le nombre de répétitions des déliais, de un à… plusieurs.
- Oscillation
Il définit l'effet d'oscillation lié à la vitesse de la bande. Comme il imite une bande magnétique, la vitesse d'oscillation générale aussi automatiquement un pitch d'oscillation du signal.
Fréquence
Il définit le changement de fréquence des répetitions de décai. Pour chaque décai, le contenu des fréquences change en fonction du réglage de la fréquence. Une valeur faible rendra chaque son répété plus « sale » que le précédent, tandis qu'une valeur élevée rendra chaque son de décai plus brillant.
Résonance
Il définit l'intensité de résonance des répetitions de délambda. En fonction du réglage du paramètre de fréquence sus mentionné, différentes fréquences seront amplifiées.
Avec/Sans effet
Il s'agit du paramètre classique Avec/Sans effet qui contrôle la relation entre un signal traité et non traité.
Overdrive/Résonateur

Le Overdrive/Résonateur est un module de distorsion et un résonateur combiné. On peut l'utiliser pour ajouter une belle distorsion au signal d'entrée. Il contient aussi une section de résonateur où l'on peut seLECTIONner plusieurs caractéristiques, à l'instar de la section Caisse de la Scream 4 Sound Destruction Unit. Ses paramètres sont les suivants :
Drive
Definit l'intensité de la distorsion overdrive.
Résonance
Définit l'intensité de la résonance du résonateur.
- Taille
Définit la taille de la « chambre de résonance » virtuelle, de petite à grande.
- Modèle
Cliquez pour sélectionner une des cinq caractéristiques de « caisse » de résonateur différents.
Connexions
Sur le panneau arrière de Kong se trouvent de nombreux connecteurs. Beaucoup sont de type CV/Gate. L'utilisation de CV/Gate est décrite au chapitre "Routage de l'audio et du CV".

Sequencer Control
Les entrées Sequencer Control CV et Gate permettent de jour Kong depuis un autre module CV/Gate (typiquement un Matrix ou un Redrum). Le signal à l'entrée CV contrôle le pitch de la note, alors que celui de l'entrée Gate offre une note on/off avec de la velocité.
Entrée Modulation
Ces entrées de tension de contrôle (CV) (avec leurs potentiamètres associés) peuvent modérer divers paramètres de Kong depuis d'autres modules. Ces entrées contrôlent les paramètres suivants :
Volume
Il contrôle le volume général dans Kong.
Pitch
Il contrôle la roue Pitch Bend dans Kong.
Modulation
Il contrôle la roue de modulation dans Kong.
Sortie Départ Aux
Les deux sorties stéreo Départ Aux peuvent être utilisées pour connecter des modules d'effets externes pour Traits les signaux externes. Le niveau de signal de ces sorties Départ Aux est contrôle à partir des boutons Aux 1 et Aux 2 situés sur le panneau de contrôle de batterie, voir "Le Panneau de contrôle de batterie".
Entrée et sortie Gate
- Les entrées Gate peuvent receivevoir un signal CV pour déclencher individuellement chacun des 16 pads.
Vous pouvez toujours contrôler les pads à partir du panneau et/ou via MIDI même si les entrées Gate sont en cours d'utilisation. - Les sorties Gate envoient un signal Gate CV chaque fois que le pad correspondant est lu. Les signaux Gate peuvent etre utilisés pour déclencher des sons dans d'autres modules.
Sortie Audio 3-16
Il existe 14 jacks de sortie audio distincts sur le panneau arrirée de Kong - répartis en sept paires stéreo séparées. Ces sorties ne sont jamais routées automatiquement mais peuvent être connectées manuellement et sélectionnées sous forme de sorties individuelles dans n'importe quel canal de batterie à l'aide du sélecteur de sortie de batterie de la section Effets et batterie, voir "Flot du signal".
Sortie audio principale
Ce sont les sorties audio principales. Lorsque vous creez un nouveau module Kong, la paire de sorties audio principales est routée automatiquement vers la première voie de mixage disponible.
Utilisation de Kong comme module d'effet
Outre la multitude de possibilités sonores internes qu'offre Kong, vous pouze également employerer ce dernier comme module d'effet externe. Si vous dépliez la section Effets et batterie et que vouseturnnez le rack, un ensemble de jacks audio supplémentaires apparaissent en bas du panneau arrêté.

Ces jacks audio peuvent être utilisés pour connecter des modules externes et Traits leur audio dans Kong. Comme vous pouvez le voir, le flot du signal servant à Traits l'audio externe s'affiche sur le panneau arrêté. Meme si vous souhaitez utiliser Kong pour Traits des signaux externes, vous pouvez toujours dire et employerer ses canaux de batterie internes comme avant.
Pour connecter un module externe afin de Traitser l'audio dans Kong, procedez de la façon suivante :
- Connectez les sorties de votre module (un synthese, par exemple) aux entrées audio de gauche.
Si vous module ne possède qu'une sortie mono, reliez-la à l'entrée audio gauche de Kong.
- Jouez quelques notes sur l'autre module.
L'audio est désormais routé via l'emplacement Bus d'effets de Kong puis via l'emplacement Effet maître vers les sorties audio principales de Kong. - Sélectionnez les modules d'effets appropriés aux emplacements Bus d'effets et Effet maître dans Kong en suivant les procédures décrites dans “Les modules d'effets” et modifier les paramétres de votre choix.
En connectant les signaux CV aux entrées de paramètres dans les sections Bus d'effets et Effet maître sur le panneau arrêté, vous pouvez modifier les deux premiers paramètres dans les modules d'effets sélectionnés, voir “Utiliser la modulation CV des paramètres Bus d'effets et Effet maître”.
Attenuez le signal CV grâce aux boutons correspondants situés à proximé des jacks de modulation.
Utilisation des effets externes avec Kong
Il est également possible de relier un module d'effet exter à la chaîne de signaux pour Traitser l'audio de Kong, ou de traiter tout l'audio routé via les entrées audio de gauche sur le panneau arrêté déplié de Kong.
Connectez le module d'effet externe aux entrées et sorties d'effet externes.
Dans l'image ci-dessous, une réverb RV7000 est reliée à la section Effet externe de Kong, ce qui permet au RV7000 de Traitser le signal entre les emplacements internes Bus d'effets et Effet maître de Kong :

Une réverb RV7000 connectée à Kong pour traîter ses signaux audio
! Notez que si vous avez selectionné Effet maître ou Sortie séparée comme mode de sortie dans le sélecteur de sortie de batterie, le bouton BUS départ d'effets du panneau de contrôle de batterie contrôle aussi le niveau du signal vers l'effet externe, voir "Flot du signal".

REASON
Chapitre 33
Les effets MClass
Les effets MClass
Le pack MClass comprend quatre modules d'effets, qui sont disponibles séparément ou regroupés dans le « MClass Mastering Suite Combi ». comme son nom l'indique, les effets s'appliquent au mastering, c'est-à-dire au traitement final du morceau mixé, mais peuvent également être utilisés pour le traitement de modules individuels. Les effets MClass sont les suivants :
- MClass Equalizer : cet effet dispose de bandes shelve pour les graves et les aigus, de deux bandes totalement paramétriques ainsi que d'un bouton d'égalisation des graves « anti-grondement ». Voir “MClass Equalizer”.
- MClass Stereo Imager : cet effet peut être utilisé pour contrôler séparément la largeur stéreo des plages de fréquences graves et aiguës. Voir “MClass Stereo Imager”.
- MClass Compressor: ce compresseur simple bande dispose d'une entrée de point d'insertion et d'un relâchement adapté au programme. Voir "MClass Compressor".
- MClass Maximizer est un limiteur concu spécialement pour maximiser le niveau sonore sans risque de clipping. Voir "MClass Maximizer".
Paramètres communs des modules d'effets
Vouss trouvez ci-après tous les paramètres propres à chaque module d'effets MClass. Sachez toute fois que certaines fonctionnalités et procédures sont communés à tous les modules d'effets. Reportez-vous à “Fonctions communes des modules d'effet” pour plus d'informations sur l'affichage d'entrée, le bouton Bypass/On/Off et les graphiques de flot du signal dans les modules d'effets.
MClass Mastering Suite Combi

Lorsque vous sélectionnez MClass Mastering Suite, un module Combinator est créé, dans lequel se trouvent les quatre modules MClass déjà routés les uns aux autres ainsi que le premier patch du dossier « MClass Mastering Patches » précharge.
Ce dossier Reason Sound Bank contient de nombreux patches MClass Combi, dont le nom explicite indique la manière dont les effets affecteront le son. Utilisez les selecteurs de patches du panneau Combinator pour essayer les différents patches de mastering.
En outre, la plupart de ces patchs Combi possedent des fonctions et parametes logiques reliés à des boutons du panneau programmateur du Combinator, ce qui rend MClass Mastering Suite Combi très intuitif et facile d'utilisation.
Les boutons du Combinator yous permectent d'ajuster le son a vaue convenance. Si yous desirez avoir davantage de controle, cliquez sur « Afficher les modules » pour parameter chaque module MClass.
Connexions
Si vous utilisez MClass Mastering Suite Combi dans le cadre d'un mastering, le Combinator doit être connecté tout au bout de la chaîne du signal, entre la sortie mixée finale et l'interface matérielle.
- Si vous sélectionnez l'interface matérielle puis creez un MClass Mastering Suite Combi, les bonnes connexions seront effectuées automatiquement.
Pour en savoir plus sur l'utilisation des modules Combinator, liquez le chapitre "Le Combinator".
MClass Equalizer

MClass Equalizer est constitué de deux bandes indépendantes totalement paramétriques, de bandes shelve pour les graves et les aigus et d'un bouton d'égalisation grave.
Cet effet est le plus souvent utilisé en tant qu'Insert d'effets, en mono ou en stéréo.
Activation de chaque bande de l'égaliseur
Les bandes sont disposées sur le panneau de façon vertical et dans l'ordre suivant (de gauche à droite): Coupe bas/Lo Shelf/Paramétrique 1/Paramétrique 2/Hi Shelf.
Chaque bande peut être activée en cliquant sur le bouton situé en haut de chaque section verticale (aucune des bandes n'est activée par défaut).
Coupe bas
Le bouton Coupe bas permet de couper les fréquences inférieures à 30 Hz (de 12 dB/octave). Cela se révèle très utile pour supprimer le « grondement » lié aux basses fréquences.
Si vous utilisez MClass Equalizer avec un comprisseur ou un maximiseur, l'activation du bouton Coupe bas empêche le son subsonique de pousser les limites définies par le comprisseur/limiteur et leur permet de fonctionner aussi efficacement que possible.
Paramètres Paramétrique 1-2
Un égaliseur paramétrique permet d'augmenter et de couper les fréquences inférieures et supérieures à la fréquence de référence. Les paramètres suivants sont disponibles pour les deux bandes paramétriques :
| Paramètre | Description |
| Fréquence | Détermine la fréquence centrale de l'égaliseur, par exemple à chaque fréquence le niveau doit décroître ou augmenter. La plage se situe entre 39 Hz et 20 kHz. |
| Gain | Permet de spécifique le niveau d'augmentation ou de coupe de la plage de fréquences de référence. La plage de gain est de ±18 dB. |
| Q | Détermine la largeur de la zone affectée autour de la fréquence centrale définie. Plus la valeur est élevé, plus la plage de fréquences affectée est étroite. |
Paramètres Lo/Hi Shelf
Un égaliseur shelve permet d'augmenter et de couper les fréquences inférieures et supérieures à la fréquence de réference.
Les paramètres suivants sont disponibles pour les bandes Lo/Hi Shelf :
| Paramètre | Description |
| Fréquence | Les fréquences inférieures (Lo Shelf) ou supérieures (Hi Shelf) à la fréquence de référence seront augmentées ou coupées.La plage du Lo Shelf s'étend de 30 Hz à 600 Hz.La plage du Hi Shelf s'étend de 3 kHz à 12 kHz. |
| Gain | Permet de spécifique le niveau d'augmentation ou de coupe. La plage de gain est de ±18 dB. |
| Q | Ce paramètre permet de contröler la pente de la courbe. Plus la valeur est élevé, plus la pente de la courbe est raide. Des valeurs Q élevées produit une « bosse » dans le sens opposé de l'augmentation/coupe par rapport à la fréquence de référence. |
A propos de l'affichage graphique
L'affichage graphique situé à gauche dans le panneau du module indique la courbe de réponse de la fréquence telle que définie par les paramètres de l'égaliser. Il vous offre un feedback visuel et vous permet d'ajuster ces paramètres.
MClass Stereo Imager

MClass Stereo Imager divise le signal en deux bandes de fréquence, « Bande fréquences aiguës » et « Bande fréquences graves », et vous permet d'élargir et de rétrécir l'image stéreo de chaque bande. L'effect Stereo Imager est typiquement utilisé pour élargir les fréquences aiguës et rétrécir les fréquences basses. Cela rendra les basses « étroites » tout en « ouvrant » les fréquences aiguës.
Cet effet est le plus souvent utilisé en tant qu'Insert d'affets en stéréo.
! MClass Stereo Imager ne peut pas creer une sortie stéreo à partir d'une entrée mono. Pour que le module fonctionne correctement, il doit être connecté à l'aide d'un cable stéreo in/out et le signal d'entrée doit containir un signal audio stéreo.
Paramètres
Les paramètres suivants sont disponibles :
| Paramètre | Description |
| X-Over Fréquence | Cela permet de déterminer la fréquence de crossover entre la bande des aigus et des graves. La plage est comprise entre 100 Hz et 6 kHz. Les fréquences inférieures seront affectées par le paramètre Largeur grave et les fréquences supérieures seront affectées par le paramètre Largeur aigu. |
| Largeur grave | Ce paramètre permet d'ajuster la largeur stéreo de la bande des graves. Tournez le bouton dans le sens inverse des aiguilles d'une montre pour rétrécir la largeur stéreo (c'est-à-dire pour la rendition davantage « mono ») et dans le sens des aiguilles d'une montre pour élargir l'image stéreo. Une position centrale signifie que le signal d'origine reste le même. L'indicateur « Actif » indique si le paramètre Largeur grave est activé ou non. Notez que pour la bande des graves, il est plus courant de rétrécir l'image stéreo, car le contenu des fréquences basses d'un mix est généralement centré et peut devenir moins précis lorsqu'il est élargi. |
| Largeur aigu | Ce paramètre permet d'ajuster la largeur stéréo de la bande des aigus. Tournez le bouton dans le sens inverse des aiguilles d'une montre pour rétrécir la largeur stéréo (c'est-à-dire pour la rendre davantage « mono ») et dans le sens des aiguilles d'une montre pour élargir l'image stéréo. Une position centrale signifie que le signal d'origine reste le même. L'indicateur « Actif » indique si le paramètre Largeur aigu est activé ou non. |
| Bouton Solo | Il permit d'écouter les bandes des graves et des aigus séparément, pour référence. « Normal » est le mode de fonctionnement standard. |
Connexions

Outre les entrées et sorties standard G/D, le panneau arrêté dispose également de sorties G/D « séparées ». Les sorties séparées peuvent transporter la sortie de bande des graves ou des aigus, qui peut être définie à l'aide du bouton situé à côté des sorties. Ces sorties peuvent être utilisées pour appliquer séparation un traitement à la bande des graves ou à celle des aigus.
Si you'reglez le bouton Solo sur « Bande fréquences graves » et la sortie séparée sur « Bande fréquences aigués», le module fonctionnera comme un filtré crossover de base, en envoyant le signal de la bande des graves depuis la sortie principale et le signal de la bande des aigus depuis la sortie séparée.
MClass Compressor

Il s'agit d'un compresseur simple bande capable de tout, depuis la compression la plus subtile aux effets de « montée en puissance » les plus agressifs. comme pour tous les processeurs dynamiques, il est préféable de l'utiliser comme Insert d'effets.
Les fonctionnalités incluent la compression « soft knee » (avec arrondi du seuil) pour une compression discrète et plus musicale, un temps de relâchement adapté au programme ainsi qu'une entree de point d'insertion pour le « dessing » et le traitement des autres dynamiques. De plus, vous disposez d'une sortie CV, vous permettant de contrôler les autres paramètres Reason via la réduction du niveau de gain.
Paramètres :
| Paramètre | Description |
| Gain d'entrée | Le gain d'entrée permet de contrôle le « drive » de la compression, autrement dit, le niveau de compression du signal par rapport au seuil. Plage : ±12 dB. |
| Seuil | Définit le niveau auquel le début de la compression se produit. Lorsque le niveau d'entrée est inférieur au seuil défini, le signal n'est pas affecté. Lorsque le niveau d'entrée est supérieur à ce seuil, la compression commence. En pratique, cela signifie que plus le niveau de seuil est bas (et plus le gain d'entrée est élevé), plus la compression appliquée est importante. Plage : de -36 dB à 0 dB. |
| « Soft Knee » (arrondi du seuil de compression) | En général, les signaux qui dépassent le seuil défini sont compressés immédiatement au rapport qui a été défini. Cette compression se remarque beaucoup, en particulier en cas d'utilisation de rapportes de compression élevés. Lorsque le « soft knee » est activé, le début de la compression est plus progressif, produit un effet moins brutal. |
| Rapport | Définit le niveau de réduction de gain appliqué aux signaux qui dépassent le seuil défini. Le rapport peut être défini entre 1:1 (aucune réduction) et ∞:1 (infini). |
| Affichage du gain | Indique le niveau de réduction de gain (en dB). |
| Point d'insertion Solo | Permet de contrôle le signal connecté à l'entrée de point d'insertion (voir ci-dessous). |
| Attaque | Contrôle la vitesse à laquelle le compresseur applique son effet lorsque des signaux dépassent le seuil défini. Si vous augmentez cette valeur, la ↔ response sera plus lente, permettant plus facilement au signal de passer à travers le compresseur sans en ↑ être affecté. Habituelles, on l'utilise pour préserver les attaques des sons. Plage : 1 ms à 100 ms. |
| Relâchément | Lorsque le volume du signal tombe au-dessous du seuil défini, le relâchement déterminé le laps de temps nécessaire avant que le compresseur laisse passer le son sans le modifier. Définissez le relâchement sur des valeurs courtes pour obtenir des effets intensés de « montée en puissance » du compresseur, ou sur des valeurs longues pour obtenir un changement plus doux des dynamiques. Plage : 50 ms à 600 ms. |
| Ajuster le relâchément | Lorsque vous utilisez ce paramètre, définissez le temps de relâchement que vous souhaitez pour les créés courtes. En cas de créés plus longues, le temps de relâchement est automatiquement augmenté. |
| Gain de sortie | Contrôle le gain de sortie et peut être utilisé pour compenser la réduction de gain entrainée par la compression. Plage : ±12 dB. |
À propos des entrées de point d'insertion
Le signal connecté aux entrées de point d'insertion est celui qui déclenchera la compression.
Ce signal n'est pas transmis à la sortie du compresseur et ne sera donc pas entendu (à moins que le paramètre Point d'insertion Solo ne soit activé).
Le signal connecté aux entrées G/D normales est celui qui sera traité par le compresseur ( comme c'est le cas habituèlement).
Voici deux exemples d'utilisation du traitement par point d'insertion :
Exemple 1 - Utilisation des entrées de point d'insertion pour créé un effet « ducking »
Le « ducking » consiste à réduire le niveau d'un signal par rapport à un autre signal. Il est typiquement utilisé pour baiser automatiquement le niveau de la musique lorsqu'une personne commence à parler sur celle-ci et remonter le niveau lorsque cette personne cesse de parler. Pour cela, appelons le fond sonore par exemple « Module A » et la voix parlée « Module B », Procedez de la façon suivante :
- Connectez le module A et le module B à des canaux séparés du module de mixage.
Dans cet exemple, le signal produit par le module A doit être continu et le signal produit par le module B doit être intermittent, c'est-à-dire qu'il doit containir à la fois des passages de silence et des passages de signal.
- Sélectionnez le module A puis Sélectionnez un comprésur MClass dans le menu Créer.
L'effet sera routé automatiquement en tant qu'Insert d'effets vers le module A.
- Connectez un départ d'effet du module de mixage aux entrées de point d'insertion du compresseur MClass.
Dès qu'un élément est connecté aux entrées de point d'insertion, l'indicateur « Actif » s'allume sur le panneau du module. Le compréseur ne réagira plus au signal produit par le module A.

- Augmentez le niveau du départ AUX correspondant au module B du module de mixage.
Cela signifie que le signal du module B est envoyé à la fois à l'entrée du mixeur et à l'entrée du point d'insertion du compresseur, qui, à son tour, déclenché la réduction du gain.
- Si vous démarrez la lecture des deux modules, le niveau du module A sera baisse à chaque fois que le module B produit un son, et sera remonté lorsque le module B s'arrête.
Le niveau de réduction du gain, la rapidité à laquelle le niveau est baisse et le temps nécessaire au niveau pour returner à la normale, peuvent être définis par les paramètres Gain/Seuil/Rapport et Attaque/Relâchement correspondants.
Exemple 2 - Utilisation des entrées de point d'insertion pour créé une compression sensible à la fréquence
En insérant un signal égalé dans les entrées de point d'insertion, vous pouvez rendre la compression plus ou moins sensible à une certaine plage de fréquences. Le « deessing » est une application classique de la compression sensible à la fréquence, où l'on réduit ou supprime les sifflements très prononçés.
Pour paramétre la compression sensible à la fréquence, procédez de la façon suivante :
- Maintenez la touche Maj enfoncée pour creer un module instrumental.
Lorsque vous appuyez sur la touche Maj, aucune connexion de routage automatique vers ou depuis le module n'est effectuee. - Maintenez la touche Maj enforcée pour creer un égaliseur MClass Equalizer.
- Maintenez la touche Maj enforcée pour creer un compresseur MClass Compressor.
- Crééz un module Spider Audio Merger & Splitter.
- Connectez les sorties du module instrumental aux entrées A et B du module Spider.
- Routez une paire des sorties de division du signal du module Spider vers les entrées du MClass Equalizer.
- Routez les sorties du MClass Equalizer vers les entrées de point d'insertion du MClass Compressor.
- Routez une autre paire des sorties de division du signal du module Spider vers MClass Compressor.
À présent, les entrées audio normales du compresseur reçoivent le signal non traité et les entrées de point d'insertion reçoivent le signal égalisé.

- Ensemble, routiez les sorties du compresseur vers les entrées du module de mixage.
10.Activez le bouton Point d'insertion Solo sur le panneau avant du compresseur.
You entendrez maintainant le signal égalisé.
11.Maintenant, utilisez les parametes du MClass Equalizer pour augmenter les fréquences qui doivent déclencher la réduction du gain et pour couper les fréquences qui ne doivent pas déclencher la réduction de gain.
Vous pouvez utiliser des valeurs d'égaliser assez extrêmes car, de toutes façon, le signal ne sera pas entendu si le point d'insertion Solo est désactivié. Vous pouvez donc, pour le « deessing » par exemple, séparer et augmenter les fréquences de sifflement autant que possible.
- Désactivez le point d'insertion Solo lorsque vous avez terminé de régler l'égaliseur.
Maintenant, le compresseur sera plus sensible à la zone de fréquences que vous avez définitie avec l'égaliseur et réagira davantage à ces fréquences. Notez, cependant, que la totalité du signal sera compressée (et non uniquement les fréquences augmentées), donc en cas de « deessing», vousdezvez généralementutiliser des paramétres d'attaque ou de relâchement rapides de maniere à ce que la réduction de gain n'afecte pas trop le reste du programme.
Sorties CV
À l'arrière du MClass Compressor se trouve le connecteur de sortie CV de réduction de gain. Ce dernier peut être utilisé pour moduler d'autres paramètres à l'aide de la réduction de gain appliquée par le compresseur. C'est-à-dire que le compresseur agit comme un suiveur d'enveloppe. Vous pouvez, par exemple, utiliser le niveau du signal audio pour contrôler le panoramicique d'un paramètre de mixeur ou de synthétiseur.
MClass Maximizer

Il s'agit d'un maximiseur de niveau sonore, un type spécial de limiteur qui augmente de façon significative le niveau sonore perçu d'un mix, sans risque de distorsion due au clipping. Parmi ses fonctionnalités se trouvent la fonction d'anticipation 4 ms pour une limitation dite « mur de briques », ainsi qu'une fonction d'échéage doux.
MClass Maximizer doit être utilisé en tant qu'Insert d'effets et est créé pour être positionné au bout de la chaîne du signal, entre la sortie mixée finale et l'interface matérielle.
Paramètres
| Paramètre | Description |
| Gain d'entrée | Le gain d'entrée permet de définir le volume général d'un mix. Pour une valeur très élevé, vousdezuez utiliser le mode d'anticipation ou la fonction d'écrêtage doux afin d'éviter tout risque de distorsion due au clipping. Plage : ±12 dB. |
| Limueur On/Off | Ce paramètre permet d'activer ou de désactiver la section Limueur. |
| Anticipation On/Off | Lorsque ce paramètre est activé, un très bref délambda (de 4 ms) est appliqué au signal. Ce délambda peut de détecter les créées du signal avant qu'elles ne se produit. Si des créées élevées sont détectées, le limueur s'y attend et la réduction de gain est appliquée pour un contrôle transparent des créées. |
| Attaque (Rapide/Moyenne/Lente) | Ce paramètre permet de contröler la rapidité à laquelle le limueur doit appliquer son effet. S'il est régèle sur Rapide et que l'anticipation est activée (et que le gain de sortie est régèle sur 0 dB), vous obtiendaure une limitation de type « mur de briques », ce qui signifie qu'aucune créée de signal supérieure à 0 dB ne passera. |
| Relâchement (Rapide/Lent/Auto) | Ce paramètre permet de définir le temps nécessaire avant que le limiteur ne laïssse passer le son sans le modifier. S'il est réglé sur Auto, le temps de relâchement sera automatiquement adapté au programme. |
| Gain de sortie Écrotage doux On/Off | Ce paramètre permit de contrôle le gain de sortie et doit normalement être définis sur 0 dB. Lorsque ce paramètre est activé, il agit comme un limiteur « mur de briques » mais d'une façon légèrement différente. Un écrotage doux sera appliqué au signal, ce qui donnaera une distorsion plaissant au signal. Il peut être simplement utilisé pour obtenir cet effet ou comme rempart à la distorsion due au clipping si les paramètres d'anticipation avec attaque moyenne ou lente sont utilisés (ou bien si l'anticipation est désactivée). |
| Quantité d'écrotage doux | Ce paramètre permit de contrôle le niveau de distorsion d'écrotage doux. Notez que si l'écrotage doux est activé mais que sa valeur est définitie sur zéro, la distorsion sera similaire au clipping et ne sera donc pasplaissant à l'oreille. |
| Affichage du niveau de sortie (Crête/VU) | Il s'agit d'un affichage plus détaillé que celui du mixeur. Vous pouvez passer du mode Crête (réponse plus rapide aux crétes) au mode VU (niveau moyens). |

REASON
Chapitre 34
RV7000
Réverbération avancée
RV7000 Réverbération avancée

RV7000 est un module de réverbération de haute qualité. Il offre neuf algorithms de réverbération et d'écho différents, allant des modèles Room à Hall en passant par des effets spéciaux. RV7000 est livre avec de nombreuses présections de réverbération que vous pouvez utiliser directement ou modifier via les paramètres en façade - vous pouvez également utiliser le programmeur pour ajuster précisément la réverbération avec un niveau de détails très élevé.
RV7000 contient également des sections égaliser et Gate permettant de Traitser le son de la réverbération. Vous pouvez ainsi creer n'importe quel type de réverbération, y compris des réverbérations Gate.
À propos du format de Patch
Tout comme le module Scream 4, RV7000 est livre avec des présélections d'effets programmables. La banque Factory Sound Bank comprend de nombres Patches présélectionnés pouvant être utilisés directement ou servir de base de travail pour vos propres réglages.
Ces Patches portent l'extension Windows "*.RV7". Le chargement et la sauvegarde des Patches s'effectuent de la même façon que pour les modules d'instruments.
Connexions
RV7000 s'utilise en général comme effet auxiliaire en départ/retour, ce qui lui permet de Traitser plusieurs voies de mixage à la fois. Il est toutefois possible de l'utiliser comme effet d'insertion - reglez alors la balance entre signal direct et son de l'effet par le biais du paramètre Dry/Wet en façade. Note :
RV7000 est un veritable module de réverbération stéreo, ce qui signifie qu'il traite les deux canaux à partir des informations d'entrée stéreo (sans sommer les canaux d'entrée).
Il peut aussi être utilisé comme effet à entrée mono/sortie stéreo. Le type de connexion utilisée (entree mono ou stéreo) dépend des données audio à traiter. Si les sources audio sont mono (ou stéreo mais sans grande différence entre les canaux gauche et droit), une entrée mono est suffisante.
Si vous souhaitez utiliser l'effet de réverbération Reverse de RV7000, connectez le module en insertion ou sur le départ Send 4 du Mélangeur en mode Pré-Fader (sans outblier de baisser le Fader de la voie).
En effet, il est préférible de ne pas entendre le signal direct avec l'effet Reverse. Voir "Section Gate".
Face avant

Module RV7000 - Face avant.
Lorsque vous creez un module RV7000, seule la face avant est visible. Elle contient une section de gestion des Patches, les touches d'activation des sections EQ et Gate, les principaux paramètres de réverbération ainsi qu'un réglage Dry/Wet. Vous n'avez pas besoin d'autres réglages pour sélectionner un Patch de réverbération et faire les principaux réglages.
Programmeur
Il suffit de cliquer sur la flèche située à côté de "l'emplacement de cable" en face avant pour afficher l'interface du programmeur.

C'est sur le programmeur que vous pouvez paramétre en détaill la réverbération. Note :
- La touche Edit Mode à gauche déterminé la section (Reverb, EQ ou Gate) sur laquelle portent les réglages.
- Les réglages s'effectuent au moyen des huit potentiomètres entourant l'écran. Leur fonction varie selon le mode d'édition Edit Mode et l'algorithmme de réverbération choisis. À côté de chaque potentiomètre, l'écran indique le nom et la valeur du paramètre correspondant.

- Les huit potentiometres ne sont pas utilisés dans tous les modules et par tous les algorithmes. Si un potentiemetre reste inexploité dans le mode en vigueur, rien ne s'affiche a cotoé de lui à l'écran.
- Il est possible d'effectuer des réglages directement sur l'écran graphique. Il sert uniquement à donner une représentation graphique de la réverbération sélectionnée.
Algorithms de réverbération et paramètres
A propos des paramètres en face avant

La face avant ne propose que trois paramètres de réglage disponibles pour tous les algorithmes de réverbération :
| Paramètre | Description |
| Decay | Détermine la longueur (durée) de la réverbération ou de la réinjection (en cas de l'algorithmme d'écho). |
| HF Damp | Détermine la vitesse d'atténuation des fréquences aiguées de la réverbération. Plus la valeur est élevé, plus le son de la réverbération est chaud et feuéré. |
| HI EQ | Égaliseur Baxendall aigu fonctionnant comme le réglage de tonalité aigu d'un mélangeur ou d'un amplificateur. Abaissez sa valeur pour adoucir le son de la réverbération. Relevez-la pour que la réverbération soit plus brillante. |
Sélection d'un algorithme
You pouvez sélectionner les algorithmes de réverbération depuis l'interface du programmeur :
- Ouvrez le programmeur en cliquant sur sa flèche d'affichage.
- Vérifiez que la touche Edit Mode est réglée sur Reverb.
- Sélectionnez ensuite un algorithme de réverbération à l'aide du potentiotème en haut à gauche.
L'algorithmie selectionné s'affiche à l'écran à côté du potentiemètre.

Voici une brève presentation des neuf algorithmes - Vous pouvez partager plus de détails ainsi que la description des paramètres ci-après.
| AlGORITHM | Description |
| Small Space | Petit espace clos (petite pièce ou endroit résonant). |
| Room | Pièce dont les réglages de forme et de parois sont régables. |
| Hall | Hall. |
| Arena | Très grande salle avec réglage séparé du temps de retard des réverbérations gauche, droit et centre. |
| Plate | Réverbération à plaque classique. |
| Spring | Réverbération à ressort ( comme on en touve sur les amplificateurs guitare). |
| Echo | Effet d'écho dont les répétitions baisSENT progressivement. Il est possible de le synchroniser sur le tempo de Reason. |
| Multi Tap | Délai multi-tap composé de quatre lignes de retard différentes et d'une synchronisation au tempo. |
| Reverse | Effet de réverbération inversée où le signal direct est joué après la réverbération. |
Small Space
Avec cet algorithme, le son est placé dans un petit espace clos, allant d'un petit endroit résonant à une piece.
Paramètres :
| Paramètre | Description |
| Size | Taille de l'espace émulé. |
| Mod Rate | La réverbération peut être modulée de manière aléatoire afin de creator un son encore plus régulier (ou pour creator des effets spéciaux). Ce paramètre déterminé la fréquence de la modulation (dont le montant se règle au paramètre Mod Amount). |
| Room Shape | Détermine la forme de la piece (parmi 4), ce qui modifie le caractère de la réverbération. |
| LF Damp | Détermine la vitesse d'atténuation des fréquences graves de la réverbération. Plus la valeur est élevé, plus le son de la réverbération s'affine et perd en registre grave. |
| Wall Irreg | Définit le placement des parois du petit espace émulé. La valeur la plus faible émulé deux parois directement opposées. Avec la valeur maximum, l'espace comporte de nombreuses parois avec des angles, ce qui produit une résonance complexe. |
| Predelay | Détermine le temps de retard, c'est-à-dire le temps que met la réverbération à se déclencher après l'apparition du signal source. |
| Mod Amount | Détermine l'intensité de modulation de la réverbération. Si vous souhaitez émuler des pieces réelles, préférez un réglage modéré. Par contre, relevez la valeur pour creator des effets spéciaux. |
Room
Émule une pierce de taille moyenne. Paramètres de réglage :
| Paramètre | Description |
| Size | Taille de la pièce émulée. |
| Diffusion | Avec une valeur de diffusion faible, vous entendez plus facilement chaque réverbération. Avec une valeur élevé, le son de réverbération est plus dense et mélé. |
| Room Shape | Permet de sélectionner la forme de la pièce parmi quatre. Le caractère de la réverbération varie d'une forme à l'autre. |
| ER->Late | Les premières “réponses” de la réverbération sont baptisées “premières réflexions” (ER) et sont en général plus prononcées que la “traîne” de la réverbération. Ce paramètre déterminé la durée entre les premières réflexions et la traîne de la réverbération. Ce réglage s'effectue sous forme de pourcentage - le veritable temps de retard dépend du paramètre Size. |
| ER Level | Rôle le niveau des premières réflexions. “0” correspond au niveau normal. |
| Predelay | Définit le temps de retard, c'est-à-dire le temps que mettent les premières réflexions et la réverbération à se déclencher après l' apparition du signal source. |
| Mod Amount | Détermine le montant de modulation de la réverbération. Une valeur modérée permet d'obtenir un son naturel et peu statique. |
Hall
Émule un hall ou une grande salle. Les paramètres sont identiques à l'algorithméme Room ci-dessus (mais l'algorithméme Hall propose des tailles Size plus importantes).
Arena
Émule l'ambiance d'une très grande salle ou d'une salle de concert avec de longs temps de retard (separés pour la gauche, la droite et le centre):
| Paramètre | Description |
| Size | Taille du lieu émulé. |
| Diffusion | Avec une valeur de diffusion faible, vous entendez plus facilement chaque réverbération. Avec une valeur élevé, le son de réverbération est plus dense et mélé. |
| Left Delay | Temps de retard de la partie gauche de la réverbération. |
| Right Delay | Temps de retard de la partie droite de la réverbération. |
| Stereo Level | Rôle le niveau des parties gauche et droite de la réverbération. "0" correspond au niveau normal. |
| Mono Delay | Temps de retard du signal mono (centre) de la réverbération. |
| Mono Level | Rôle le niveau du signal mono central de la réverbération. "0"pcorrespond au niveau normal. |
Plate
Réverbération à plaque classique ideale sur la voix, par exemple. Paramètres :
| Paramètre | Description |
| LF Damp | Détermine la vitesse d'atténuation des fréquences graves de la réverbération. Plus la valeur est élevé, plus le son de la réverbération s'affine et perd en registre grave. |
| Predelay | Détermine le temps de retard, c'est-à-dire la durée que met la réverbération à se déclencher après l' apparition du signal source. |
Spring
Émulation d'une réverbération à ressort que l'on retrouve sur les amplificateurs guitares, les orgues, etc. Paramètres de réglage :
| Paramètre | Description |
| Length | Déterminé la longueur du ressort simulé. |
| Diffusion | Avec une valeur de diffusion faible, vous entendez plus facilement chaque réflexion. Avec une valeur élevé, le son de réverbération est plus dense et mélé. |
| Disp Freq | Dans la réalité, lorsqu'un signal est envoyé dans une réverbération à ressort, la transitoire initiale produit un bruit sec caractéristique. Ce bruit est dû aux différentes fréquences du son qui sont retardées de différents montants (phénomène baptisé dispersion). Ce paramètre déterminé la fréquence de ce son. |
| LF Damp | Déterminé la vitesse d'atténuation des fréquences graves de la réverbération. Plus la valeur est élevé, plus le son de la réverbération s'affine et perd en registre grave. |
| Stereo (on/off) | Déterminé si la sortie de la réverbération à ressort doit être mono ou stéreo. |
| Predelay | Déterminé le temps de retard, c'est-à-dire la durée que met la réverbération à se déclencher après l' apparition du signal source. |
| Disp Amount | Fixe le degré de dispersion (voir Disp Freq ci-dessus). |
Echo
Effet d'écho sophistique doté d'un réglage de diffusion et d'une synchronisation au tempo. Avec l'algorithmme Echo, le paramètre Decay en face avant règle la réinjection des échos (nombre de répétitions). Paramètres :
| Paramètre | Description |
| Echo Time | Déterminé le temps de retard entre chaque écho. Si le paramètre Tempo Sync (voir ci-dessous) est désactivié (off), le temps de retard se règle en millisecond (10 - 2000 ms); S'il est activé (on), le temps de retard se règle en doubles croches (1/16) ou en triollets de croches (1/8T) par rapport au tempo en cours du morceau. |
| Diffusion | Lorsque ce paramètre est régle sur 0, l'écho prend la forme d'un déliel standard avec des répétitions claires et précises. Le fait de relever la valeur ajoute des échos additionnels à proximité des échos "principalux". Le son devient alors plus dense, avec une image stéréo élargie. |
| Tempo Sync | Déterminé si le temps de retard doit être libre ("off") ou synchronisé au tempo de Reason ("on"). |
| LF Damp | Déterminé la vitesse à laquelle les fréquences graves des échos doivent être attenuées. Relevez la valeur pour atténuer progressivement les fréquences graves. |
| Spread | Ajuste l'espacement entre les échos additionnels générés au paramètre Diffusion. Pour obtenir un écho dense (proche d'une réverbération), réglez les paramètres Diffusion et Spread sur leur valeur maximum. |
| Predelay | Définit un temps de retard supplémentaire avec le premier écho. |
Multi Tap
Le délambda Multi Tap peut produit jusqu'à quatre lignes de délambda dotées de temps de retard, de panoramicque et de niveau distincts. L'ensemble des quatre lignes de retard peut ensuite se répéter à une fréquence donnée. Ici aussi, le paramètre Decay en face avant gère la réinjection (nombre de répétition du délambda multi-tap global). Tous les temps de retard peuvent se synchroniser au tempo.
Note : Cet algorithme est traité un peu différencment du fait qu'il nécessite des réglages séparés pour chaque ligne de délambda :
- Les paramètres à gauche de l'écran sont communs à toutes les lignes de début.
- Le paramètre Edit Select en haut à droite permet de sélectionner la ligne de début à configurer - les trois paramètres en dessous agissant sur la ligne de début selectionnée.

Ligne de retard 2 sélectionnée en édition.
- Vous pouvez également régler le paramètre Edit Select sur "Repeat Tap" - c'est là que se fixe le tempo de répétition du début multi-tap global.
Avec une valeur faible, la première ligne peut se répéter avant même le déclenchement de la dernière. Vous pouvez ainsi réaliser des effets de déliés multiples extrémement complexes.

Paramètres communs (à gauche):
| Paramètre | Description |
| Tempo Sync | Détermine si le temps de retard doit être libre ("off") ou synchronisé au tempo de Reason ("on"). |
| Diffusion | Le fait de relever la valeur de diffusion ajoute des échos additionnels à proximité des échos "principalaux". Le son de début devient alors plus dense. |
| LF Damp | Détermine la vitesse à laquelle les fréquences graves des échos doivent être attenuées. Relevez la valeur pour atténuer progressivement les fréquences graves. |
Si vous avez selectionné Tap 1 - 4 au paramètre Edit Select, vous pouvez effectuer les réglages suivants sur la ligne de délambda selectionnée :
| Paramètre | Description |
| Tap delay | Définit le retard - durée éçoulée ente le signal source et l'écho. Si le paramètre Tempo Sync est désactivé (off), le temps de retard se règle en milliseconds (10 - 2000 ms); S'il est activé (on), le temps de retard se règle en doubles croches (1/16) ou en triollets de croches (1/8T) par rapport au tempo en cours du morceau. |
| Tap level | Règle le niveau de la ligne de début sélectionnée. |
| Tap pan | Règle le panoramicique de la ligne de début sélectionnée. |
Si vous avez selectionné Repeat Tap au paramètre Edit Select, vous n'avez accès qu'à un seul paramètre à la droite de l'écran :
| Paramètre | Description |
| Repeat Time | Définit le retard entre chacune des lignes de délié de l'effet global. Le nombre de répétition se règle à l'aide du potentiamètre Decay en face avant.Si le paramètre Tempo Sync est désactivé (off), le temps de retard se règle en millisecond (10 - 2000 ms); S'il est activé (on), le temps de retard se règle en doubles croches (1/16) ou en triolets de croches (1/8T) par rapport au tempo en cours du morceau. |
Reverse
L'algorithm de réverbération Reverse de RV7000 est particulier dans le sens où le signal source est traité également. Lessons envoyés dans la réverbération Reverse sont "échantillonnés", une réverbération inversée est calculée et ce n'est qu'ensuite que le signal source est joué. Exampie : Si vous envoyez un coup de caisse claire dans la réverbération Reverse, vous entendrez la réverbération "croître", suivie du coup de caisse claire.
Par conséquent, il est préférible de ne pas entendre le signal direct non traité. Vous pouvez y arriver de deux manières :
Reliez RV7000 en effet d'insertion et placez le réglage Dry/Wet en façade à fond en position "Wet".
Reliez RV7000 en auxiliaire sur le départ effet Send 4 du Mélangeur, activez le sélecteur pré-Fader (P) du département, puis abaissez complètement le Fader de la voie de mixage du signal source.
Le signal est ainsi transmis à la réverbération sans que l'on puisse l'entendre sur le Mélangeur. Ici aussi, il faut que le réglage Dry/Wet de la réverbération soit place en position "Wet" totale.
Notez qu'avcet cet algorithme, le fait de relever la valeur Decay en façade avance le début de la réverbération inversée, ce qui la fait durer plus longtemps. De même, le paramètre HF Damp rgle la vitesse de generation des fréquences aigués dans la réverbération. Sur le programmeur, l'algorithmé Reverse propose les paramètres suivants :
| Paramètre | Description |
| Length | Déterminé la durée entre le moment où le signal source est envoyé dans la réverbération et le moment où il est joué. C'est au cours de cette phase que se déclenché la réverbération inversée, comme affché sur l'écran. Cette durée peut se régler en milliseconds ou en valeurs de note selon le réglage On/Off du paramètre Tempo Sync. Note : Comme nous l'avons déjà vu, le potentiamètre Decay gère la longueur de la réverbération inversée - par essence, le temps qu'elle met à se déclencher après réception du signal source. Bien entendu, la réverbération inversée ne peut pas se déclencher avant le signal source! Si la valeur Decay est plus élevé que la valeur Length, la réverbération inversée démarre brusquementès que le signal source est envoyé dans la réverbération. Si cela vous semble compliqué, consultez l'écran de RV7000 et essayez les réglages afin de voir leur action en temps réel. Sachez également que des valeurs Length très élevées consommment énormément de puissance de traitement. Cette consommation peut toutesifs être réduite grâce au paramètre Density (voir ci-dessous). |
| Density | Ce paramètre déterminé l'“épaisseur” de l'effet Reverse. S'il est régèle sur zéro, l'effet produit des délais séparés au lieu d'une réverbération massive, ce qui peut constituer un effet recherché. Notez q'avac un réglage Density à 50 %, la charge CPU est considérablement réduite sans vérifiablement alterer le son de l'effet. Les répercussions exactes sur la qualité sonore finale dépendant des signaux sources utilisés. |
| Rev Dry/Wet | Règle la balance entre le signal source “déplace” (“dry”, valeurs faibles) et la réverbération inversée (“wet”, valeur élevées). |
| Tempo Sync | Déterminé si le paramètre Length doit être libre (“off”) ou synchronisé au tempo de Reason (“on”). |
Section EQ

L'égaliseur du module RV7000 agit uniquement sur la réverbération dont il permet de modeler le son. Vous disposez de deux bandes d'égalisation, une pour les fréquences graves (Baxendall) et l'autre paramétrique large bande.
Pour activer l'égalisation, cliquez sur la touche EQ Enable en façon jusqu'à ce que son témoin s'allume.
Pour configurer l'égalisation, Sélectionnez "EQ" via la touche Edit Mode sur la gauche sur le programmeur.
Dans ce mode, le programmeur affiche une courbe de fréquence correspondant aux réglages en vigueur des paramètres d'égalisation.
Paramètres de réglage :
| Paramètre | Description |
| Low Gain | Niveau d'atténuation ou d'accentuation du filtré grave Baxendall. |
| Low Freq | Fréquence en dessous de laquelle le gain Low Gain est appliqué. |
| Param Gain | Niveau d'atténuation ou d'accentuation de l'égaliser paramétrique. |
| Param Freq | Fréquence centrale de l'égaliser paramétrique (par exemple, la fréquence dont le niveau doit être augmenté ou abaisse). |
| Param Q | Déterminée la largeur de la bande de fréquences autour de la fréquence centrale affectée par le filtré. Plus la valeur est élevé, plus la bande de fréquences affectée se rétrécit. |
N'oubliez pas que vous disposez également d'une troisième bande d'égalisation - le paramètre HI EQ en face avant.
Ce paramètre se trouve directement en face avant car il s'ajuste très fréquement. Vous n'avez ainsi pas à ouvrir l'interface du programmeur pour y acceder.
Section Gate

La section Gate you per met de creer des effets de reverbation Gate avec de nombreuses possibilites de reglage. Voupce soit declencher le Gate grace au signal audio source ou par messages MIDI ou CV.
Fonctionnement en cas de déclenchement du Gate par le signal audio source :
Le Gate "analyse" le signal source (direct) et s'ouvre lorsque le signal atteint un certain niveau de seuil.
Le son de la réverbération passe par le Gate - lorsque le Gate est fermé, la réverbération est inaudible.
- Lorsque le niveau du signal source repasse en dessous du seuil, le Gate se refere au bout d'une durée variable en fonction du paramètre Hold et du niveau du signal source (voir tableau des paramètres).
Si you souhaitez que le Gate s'ouvre pendant une durée précise, déclenchez-le par MIDI ou par signaux CV. En mode de déclenchement audio, le temps de Gate exact varie en fonction du signal source.
Fonctionnement lors du déclenchement du Gate par signaux MIDI ou CV :
Le son de la réverbération passe par le Gate - lorsque le Gate est fermé, la réverbération est inaudible.
Lorsque le Gate recoit une note MIDI (transmise à RV7000) ou un signal de Gate (au niveau de l'entrée CV Gate Trig à l'arrête de RV7000), le Gate s'ouvre pour la durée de la note ou du signal Gate.
Note :
Pour activer la section Gate, cliquez sur la touche Gate Enable en façade jusqu'à ce que son tímein s'allume.
Pour configurer le Gate, selectionnez "Gate" via la touche Edit Mode sur la gauche sur le programmeur.
Dans ce mode, deux afficheurs de niveau sont représentés sur l'écran du programmeur - le premier pour le niveau du signal (avec indication du niveau de seuil) et l'autre indiquant l'état du Gate.
Ces afficheurs vous permettent de savoir en permanence ce qui se passé, comme le Gate se déclenché, etc.
Paramètres de réglage de la section Gate :
| Paramètre | Description |
| Threshold | Si le paramètre Trig Source est régé sur "Audio", ce paramètre déterminé le niveau de seuil à partir duquel le signal audio va ouvrir le Gate. Avec des valeurs élevées, seuls les sons très forts pourron ouvrir le Gate. |
| Decay Mod | Permet de modifier le paramètre Decay de la réverbération afin de raccourcir le temps de déclin lorsque le Gate se referte. Avec la valeur zéro, le déclin n'est pas modulé - si le Gate se ferme, puis s'ouvre à nouveau, vous risquez d'entendre la fin des précédentes réverbérations. Si vous relevez la valeur Decay Mod, le déclin sera automatiquement raccourci lors de la fermeture du Gate, ce qui éliminera cet effet. |
| Trig Source | Détermine le mode de déclenchement du Gate : par signal audio ou par MIDI/CV (voir description ci-avant). |
| High Pass | Filtre passé-haut affectant le signal audio charge de déclencher le Gate (actif uniquement si le paramètre Trig Source est régé sur "Audio"). Avec des valeurs élevées, lessons comportant unquivalent des fréquences graves ne déclenchent plus le Gate. Notez que ce réglage n'aflecte pas le son de la réverbération, mais uniquement le mécanisme de déclenchement. |
| Attack | Détermine la durée que met le Gate pour s'ouvrir une fois qu'un signal de déclenchement a été détecté. |
| Hold | Ce paramètre est actif uniquement si le paramètre Trig Source est régé sur "Audio". Le Hold détermine la vitesse à laquelle le Gate se reférer. Description du fonctionnement :En interne, le Gate est piloté par un suiveur d'enveloppe qui analyse le niveau du signal source et géné ren un "signal CV de niveau" correspondant. Ce signal est comparé au niveau de seuil (Threshold) afin de déterminer si le Gate doit s'ouvrir ou se fermer. Le paramètre Hold affecte la vitesse de réponse du suiveur d'enveloppe en cas de baisse de niveau du signal source - c'est en quellesorte un réglage de déclin du suiveur d'enveloppe. Plus la valeur Hold est élevée, plus le signal du suiveur d'enveloppe met de temps à repasser sous le niveau de seuil et à referrer le Gate. La durée correspondante dépend également du niveau du signal source - avec un signal fort, le suiveur d'enveloppe met plus de temps à repasser sous le niveau de seuil. Par conséquent, le veritable temps de Gate dépend à la fois de valeur Hold et de la nature du signal audio source. |
| Release | Détermine la vitesse que met le Gate à se reférer une fois la durée Hold écoulée. |
Entrées CV

À l'arrière du module RV7000 se trouvent trois entrées CV. Description :
| Paramètre | Description |
| Decay | Permet de pilotier le déclin de la réverbération ou la réinjection des échos/délais par signaux CV. |
| HF Damp | Contrôle le paramètre HF Damp en face avant. |
| Gate Trig | Permet de déclencher la section Gate par un signal Gate. La durée du signal Gate déterminée la durée de la réverbération Gate. |

REASON
Chapitre 35
Scream 4
Module de
déstructuration
sonore
Scream 4 Module de déstructuration sonore

Scream 4 est un module de déstructuration sonore polyvalent à entrée/sortie stéreo capable de transformer rapidement n'importe quel son ou alors de produit des effets musicaux les plus subtils. Scream 4 propose de nombreux algorthèmes de distorsion et de déstructuration sonore pouvant être cumulés à un égaliseur et à une section de résonance permettant d'effectuer n'importe qu'elle manipulation sur la matière sonore. Cet effet s'utilise en insertion.
À propos du format Patch
Contrairement à d'autres modules d'effets, Scream 4 dispose de préseLECTIONs d'effets programmables. Il est livré avec de nombreux Patches d'usine pouvant être utilisés directement ou servir de base de travail pour vos propres Patches.
Ces Patches portent l'extension Windows *.SM4". Le chargement et la sauvegarde des Patches s'effectuent comme pour les modules d'instruments.
Paramètres
Scream 4 se compose de trois grandes sections ; Damage (distorsion et autres types de déstructuration sonore), Cut (égalisation) et Body (réglage de résonance - peut émuler une enceinte, un effet Wah-Wah ou tout autre effet) pouvant être activées/ coupées séparément. Description des paramètres :
Section Damage

C'est dans la section "Damage" que se définit l'algorithm de traitement sonore de base et se règle le montant de déstructuration du son. Vous avez le besoin entre dix algorithmès de bases, parmi lesquels des effets de distorsions classiques ou des effets de modulations et déstructurations numériques.
Vouavesaccà5paramètresdotésdes fonctions suivantes:
| Paramètre | Description |
| Touche Damage | Active/désactive la section Damage. |
| Bouton Damage Control | Règle le gain d'entrée qui lui-même déterminé le niveau de déstructuration infilgé. Plus la valeur est élevé, plus la déstructuration est importante.Si vous relevez le bouton Damage, il faut abaiser le niveau Master (ou vice versa) afin de maintainir le même niveau de sortie. |
| Bouton Damage Type | Sélectionne le type d'effet - voir description des modes de déstructuration possible dans le tableau ci-dessous. |
| Boutons P1/P2 | La fonction de ces boutons varie selon le type de déstructuration choisi. Voici tableau ci-après. |
Description des algorithms Damage Type
Ce tableau donne la description des deux algorithmes Damage Types disponibles ainsi que les paramètres régés par les boutons P1/P2 pour chaque type :
| Type | Description |
| Overdrive | Effet de saturation analogique qui varie en fonction de la dynamique. Réglez le paramètre Damage Control sur une valeur faible pour obtenir un effet "Crunch" plus subtil. - Le bouton P1 définit le son de base de l'effet. Tournez-le vers la droite pour donner du brillant au son. - Le bouton P2 règla la présence. La présence accentue les fréquences Médium en amont de l'étage de distorsion qui en retard agissant sur le caractère de la distorsion. Tournez le bouton vers la droite pour augmenter la présence. |
| Distortion | Identique à Overdrive, mais produit une distorsion plus dense et épaissé. La distorsion est par ailleurs plus "homogène" sur toute la plage Damage Control par rapport à l'algorithmhe Overdrive. - Les boutons P1/P2 agissant respectivement sur le son et la présence de l'effet - voir Overdrive pour Broker une description. |
| Fuzz | L'algorithmhe Fuzz produit un son distordu et brillant même avec une valeur Damage Control faisible. - Les boutons P1/P2 agissant respectivement sur le son et la présence de l'effet - voir Overdrive pour Broker une description. |
| Tube | Émule une distorsion à lampe. - Le bouton P1 règla le Contour qui est une sorte de filtre passa-haut qui agit sur le son et le caractère de la distorsion. - Le bouton P2 règla le Bias, qui agit sur la "symétrie" de la distorsion à lampe. Avec la valeur minimum ou maximum, vous obtenez une distorsion asymétrique (typique des vrais amplificateurs à lampes), alors qu'une valeur Médiane produit une distorsion symétrique (avec uniquement des harmoniques impaires). |
| Tape | Émule la distorsion douce produit lors de la saturation d'une bande magnétique ainsi que de la compression qui donne du "punch" au son. - Le bouton P1 règla la vitesse de rotation de la bande. Plus la vitesse est élevée, plus les fréquences aiguës du signal d'origine sont conservées. Tournez le bouton vers la droite pour donner du brillant au son. - Le bouton P2 définit le montant de la compression. Tournez le bouton vers la droite pour augmenter le taux de compression. |
| Feedback | Cet effet simule une distorsion dans une boucle de réinjection et peut produit des résultats très intéressants, voire imprévisibles. Il est comparable au Larsen lorsqu'une source sonore se réinjecte sur elle-même. Du Larsen se produit si un micro ouvert reprend le son d'enceintes environnantes chargé d'émettre le son du micro en question. Cela fait alors une boucle de réinjection. Le bouton Damage Control règla le gain de la boucle de réinjection. - Le bouton P1 règla la taille ou "longueur" (distance entre le micro et l'enceinte dans l'exemple) de la boucle de réinjection. - Le bouton P2 règla la féquence qui, sur cet effet, déterminé les fréquences d'accrochage du Larsen. |
| Modulate | Avec cet algorithme, le signal est multiplié par une version filtrée et compressée de lui-même, puis se voit ajouter une distorsion. Vous obtenez un effet de distorsion très résonant. - Le bouton P1 déterminé la résonance du filtre. Tournez-le vers la droite pour augmenter la sensation de résonance. - Le bouton P2 fixe la féquence du filtre. Tournez-le vers la droite pour relever la féquence du filtre (ce qui donne un son plus tranchant et/perçant). |
| Warp | Le signal d'entrée est distordu, puis multiplié par lui-même. - Le bouton P1 déterminé le "tranchant" de l'effet. Avec une valeur faible, la distorsion est douce et compressée. Plus la valeur est élevé, plus le son est tranchant et riches en harmoniques. - Le fait de multiplier un signal par lui-même a pour effet de supprimer la fondamentale du signal pour ne laisser que les harmoniques. Le bouton P2 règla le Bias - relevez-le pour réintroduire la féquence fondamentale dans le son. |
| Digital | Cet algorithme permet de réduire la résolution et la fréquence d'échantillonnage du signal afin d'émuler le son brut des premiers apparèils numériques. |
| - Le bouton P1 règle la résolution (bits). Lorsque le bouton est placé complètement à droite, aucune baisse de résolution n'est appliquée, En position à fond à gauche, la résolution est ramenée à 1 bit. | |
| - Le bouton P2 contrôle la fréquence d'échantillonnage. Lorsque le bouton est placé complètement à droite, aucune baisse de fréquence n'est appliquée. Tournez-le vers la gauche pour abaisser progressivement la fréquence d'échantillonnage. | |
| Scream | Idem Fuzz, avec un filtre passée-bande avec réglages de gain et de résonance aiguè placés en amont de l'étage de distorsion. |
| - Le bouton P1 règle le son de l'effet. Tournez-le vers la droite pour donner plus de brillant au son. | |
| - Le bouton P2 règle la fréquence du filtre. Grâce au réglage de résonance aiguè, vous avez accès à des effets Wah-Wah. |
Section Cut (Égalisation)

Les curseurs de la section Cut seront au réglage de la tonalité, permettant d'atténuer ou d'accentuer le niveau des registres grave, Médium et aigu de 18 dB. La section Cut s'active au moyen du bouton Cut situé au-dessus des curseurs.
Pour accentuer les niveaux, relevez les curseurs à partir de leur point central. Pour les atténuer, abaissez les curseurs à partir de leur point central.
Section Body

La section Body permet de placer le son dans un environnement résonant. Selon les réglages, vous pourrez recréer un simulateur d'enceinte, obtenir un effet Auto-Wah ou encore un effet sans aucun équivalent. La section propose cinq types de départ qui simulant la façon dont le son est affecté par différents environnements physiques. La taille et la résonance de l'environnement sont réglibres, et vous disposez en outre d'un suiveur d'enveloppe.
Paramètres de la section Body :
| Paramètre | Description |
| Touche Body | Active/désactive la section Body. |
| Bouton Body Type | Permet de sélectionner l'un des cinq environnements possibles (A-E). |
| Bouton Body Reso | Simule la résonance de l'environnement sélectionné. Tournez le bouton vers la droite pour accentuer la résonance. |
| Body Scale | Ce paramètre déterminé la “taille” de l'environnement. Notez que cette taille est “inversée” - le fait de tourner le bouton vers la droite réduit la taille émulée. |
| Bouton Auto | Déterminé l'action du suiveur d'enveloppe sur le paramètre Scale - voir ci-après. |
À propos du suiveur d'enveloppe
La section Body dispose d'un suiveur d'enveloppe permettant de faire varier le paramètre Scale en fonction de la dynamique. Le suiveur d'enveloppe analyse l'amplitude du signal d'entrée et fait varier le paramètre en conséquence - plus le signal d'entrée est fort, plus la valeur Scale sera relevante. La plage de fréquences se définit au paramètre Scale tandis que l'intensité d'action du suiveur d'enveloppe se règle au paramètre Auto. L'effect Auto-wah est un exemple d'effet typique réalisé via le suiveur d'enveloppe - essayez le type Body Type "B" pour un effet Wah prononcé.
- À l'arrière de Scream 4 se trouve une sortie CV Auto - cette sortie délivre le signal CV du suiveur d'enveloppe, ce qui vous permet de piloter dynamiquement d'autres modules. Voir exemple "Création d'un effet Wah dynamique grâce au suiveur d'enveloppe".
Réglage de niveau général Master

Le réglage Master permet de baisser ou de relever le niveau général de l'effet sans en modifier le caractère. Il permet également de faire la balance entre le son distordu et le son direct non traité si vous souhaitez activer et couper l'effet en cours de mixage.
Si le niveau de sortie est trop élevé, le fait de baiser la valeur du paramètre Damage Control va réduire le niveau de sortie, mais va également affecter le caractère de la distorsion, ainsi que les réglages d'égalisation et de présence.
Si vous baissez le niveau de la voie de mixage (sur laquelle Scream 4 est inséré), la différence entre le son traité et le son direct augmentera.
Par conséquent, si le témoin d'échéage s'allume sur la barre de transport, ou si le son distordu est trop puissant par rapport au signal direct, la solution consiste à baisser le niveau de sortie général Master.
Comme cela a déjà été déjà mentionné ailleurs dans ce manuel, l'écrêtage audio en sortie (indiqué par le témoin d'écrêtage rouge allumé sur la barre de transport) se produit exclusivement au niveau de l'interface de communication de Reason. Autrement dit, n'ayez aucune crainte sur les niveaux transient en interne entre les modules. Par contre, n'oubliez pas qu'avoc des valeurs Master élevées (ou avec une forte accentuation dans la section Cut), Scream 4 risque de provoquer facilement de l'écrêtage audio en sortie - et cette forme de distorsion-là n'est en général pas souhaitable!
Entrées et sorties CV

À l'arrière de Scream 4 se trouvent des entrées CV permettant de contrôle les quatre paramètres suivants :
Damage Control
Permet de faire varier dynamiquement le montant de l'effet.
→P1
L'emploi de cette entrée dépend du type Damage Type chosesi. Exemple : avec l'algorithmme Feedback, cette entrée module le paramètre Size - reliez-la à la sortie CV d'un module Matrix ou au LFO d'un synthétiseur afin de creator des effets d'ondulation bizarreoides.
P2
L'emploi de cette entrée dépend du type Damage Type besoin. Exemple: avec l'algorithmme Scream, cette entrée module le paramètre Frequency et produit un son Wah Wah distordu.
Scale
Permet de modifier le paramètre Scale de la section Body à partir d'une autre source CV afin de réaliser des effets de type Wah Wah.
En outre, vous pouvez également trouver une sortie CV pour la fonction "Auto" (suiveur d'enveloppe) de la section Body. Il suffit de relier cette sortie à l'entrée CV d'un paramètre d'un autre module pour piloter le paramètre en question par le signal transitant par Scream 4. Veuillez trouver un exemple ci-après.
Trucs et astuces
Ne considerez pas Scream 4 comme une simple pedale de distorsion. Vous serez surprise de discoverir comment Scream 4 peut insuffler du punch, de la couleur et de la chaleur aux sons. Voici quelques exemple :
Creation d'un son de batterie lourd
Scream 4 est idéal pour le traitement de la batterie. Relief-le en insertion sur un module Redrum et testez différents réglages Damage Type.
- Pour le son de batterie distordu classique, essayez les algorithmes Tube, Tape ou Distortion.
L'algorithmé Scream ajoute un côté très brut et industririel au son. - Pour des effets plus étranges et synthétiques, essayez les algorithmes Modulation ou Warp.
Il n'est pas nécessaire d'affector la totalité du kit de batterie dans l'effet Scream - il est parfoids plus judicieux d'affector les sorties séparées de la grossse caisse, de la caisse claire et/ou des toms vers un module Spider Audio Merger (voir "Spider Audio Merger & Splitter"), d'affector la sortie cumulée de Spider à Scream 4, puis de le router à une voie de mixage séparée. Le charleston et les cymbales restent ainsi naturels.
Donner de la chaleur à un mixage grâce à l'effet Tape
Si vous trouvez que vos mixages sont un peu froids, l'algorithmme Tape est excellent pour ajouter de la chaleur et de la distorsion douce :
- Créez un module Scream 4 et insérez-le entre les sorties principales du Mélangeur et l'interface de commutation matérielle.
- Reglez le paramètre Damage Type sur Tape.
Vérifiez que les sections Cut et Body sont désactivées.
- Réglez le paramètre Damage Control sur une valeur faible et placez les boutons P1 (vitesse) et P2 (compression) en position centrale.
- Lancez la lecture et ajustez les réglages.
Relevez la valeur Damage Control si vous souhaitez davantage de saturation à bande. Ajustez le bouton P1 en fonction de la brillance désirée et relevez le bouton P2 pour obtenir un son plus compressé et contrôle. Si vous le souhaitez, activez la section Cut et ajustez le son à l'aide de l'égaliseur 3 bandes.
Utilisation de la section Body comme Enhancer/Phaser/Wah
Rien ne vous empêche d'utiliser la section Body seule en désactivant la section Damage. Voici un exemple :
- Crééz un module échantillonneur (NN-19, par exemple), puis Sélectionnéz un Patch de piano électrique.
- Sélectionnez l'échantillonneur et créez un module Scream 4.
Scream 4 est ajoute comme effet d'insertion.
- Désactivez la section Damage et activez la section Body.
Le son prend un caractère résonant ce qui le rend plus vivant et le fait mieux ressoir dans le mixage. Essayez différents régles Body jusqu'au résultat souhaïte. Vous pouvez également activer la section Cut - par exemple, si vous trouvez le registre grave trop riches, abaissez légèrement le curseur "Lo".
- Retournez à présent le rack et raccordez la sortie CV LFO de l'échantillonneur à l'entrée CV Scale de Scream 4. Le paramètre Scale est désormais modulé par le LFO.
- Reglez le niveau de modulation Scale via le potentiemetre de l'entrée CV situé au dos de Scream 4, ainsi que la vitesse (et la forme d'onde) de modulation dans la section LFO de l'échantillonneur.
Ce type de configuration permet d'obtenir facilement des effets de Phaser bien amples. Pour obtenir un son de type Wah Wah, Sélectionné le type Body B et relevez les réglages Reso et Scale.
Émulation d'anciens apparils numériques
Les premières générations d'appareils numériques (boîtes à rythmes, synthétiseurs et échantillonneurs) traitaient le son en 8 ou 12 bits à de faibles fréquences d'échantillonnage. Ce son "Lo-Hi" reste très prisé dans les musiques Hip-Hop et R'n'B. Essayez les réglages suivants :
- Reliez un module Scream 4 en insertion sur un module Redrum, où vous chargez le kit de votrechoix.
- Sélectionnez l'algorithmé Digital au paramètre Damage Type et tournez les boutons P1 et P2 à fond à droite.
- Lancez la lecture et abaissez les boutons P1 (résolution) et P2 (fréquence d'échantillonnage) jusqu'à obtenir le son souhaité.
Vou puez également utilise la section Cut pour accentuer ou attenuer certaines fréquences du son.
Création d'un effet Wah dynamique grâce au suiveur d'enveloppe
Comme nous l'avons vu, il est possible de creator des effets d'Auto-Wah depuis la section Body de Scream 4 (via le paramètre Auto). Vous pouvez également utiliser le filtré à enveloppe ECF-42 et le déclencher par un signal de Gate - il s'agit après tout d'un "veritable filtrre" dont le son se rapproche encore plus d'un effet Wah. Par contre, pour obtenir un effet de d'Auto-Wah variant en fonction du signal, vous doivent combiner ces deux modules :
- Créez un module d'instrument à Traitser par un effet d'Auto-Wah.
Il doit être sensible à la velocité : plus vous jouez fort, plus le volume augmente.
- Crééz un module Scream 4 et un module ECF-42.
Ces modules doivent être reliés comme effets d'insertion sur le module d'instrument.
- Désactivez les trois sections de traitement de Scream 4.
Il s'agit d'une question de goût. Nous voulons ici vous montré comment exploiter le suiveur d'enveloppe de Scream 4, et pas ses capacités sonores.
-
Retournez le rack et raccordez la sortie CV Auto de Scream à l'entrée CV Freq de ECF-42.
-
Abaissez légèrement le potentiamètre de l'entrée CV - le suiveur d'enveloppe est assez sensible et vous souhaitez probablement que le filtre ne s'ouvre pas trop.
Vous pourrez modifier ce réglage ultérieurement si nécessaire.
-
Sur ECF-42,CHOISSEZ le mode BP 12 (passe-bande) et reglez le parametre Res sur une valeur assez elevée.
-
Faites jouer le module d'instrument et reglez le parametre Freq de ECF-42 selon vos préférences.
Comme vous pouvez l'entendre, plus vous jouez fort (ou plus vous jouez de notes), plus le filtre s'ouvre.
Si vous trouvez l'Auto-Wah trop sensible, vous pouze ajouter un compresseur entre le module d'instrument et Scream 4 afin de réduire légèrement les différences de niveau.
- Vous peuvent également vous servir des modules Spider CV Splitter et Merger (voir "Spider CV Merger & Splitter") pour inverser et distribuer le signal de la sortie CV Auto et bénéficier ainsi d'encore plus de flexibilité.

REASON
Chapitre 36
Vocoder BV512
Introduction

Le BV512 est un module vocodeur avancé avec un nombre variable de bandes de filtré. Il dispose également d'un mode exclusif de vocabodage FFT à 1 024 points (equivalent au vocodeur à 512 bandes) pour une voix vocodée précise et de haute qualité. En connectant le BV512 à deux modules instrumentaux, vous pouze produit un grand nombre d'effets, de la voix parlée vocodée, à des effets spéciaux étranges en passant par des voix chantées ou des batteries.
Meme si vous avez déjà travaillé avec un vocodeur, veuillez dire la section suivante. Connaître les termes fondamentaux et les processus vous aidera grandement lors de votre première utilisation du BV512!
Principe de fonctionnement d'un vocodeur
Porteur et modulateur
Un vocodeur accepte deux signaux d'entrée différentes, un « porteur » et un « modulator ». Il analyse le signal modulateur, applique ses caractéristiques de fréquence au signal porteur et fournit en sortie le signal résultat de la « modulation » du signal porteur.
Dans la plupart des cas, le signal porteur est un son de corde ou un son feutré et le signal modulator une voix parlée ou chantée - le résultat étant un son synthétiseur parlé ou chanté. Le modulator peut également être une batterie ou une percussion (pour des sons et effets modulés en rythme) ou tout autre son accompagné de fréquences changeantes.
Bandes de filtré
Techniquement parlant, un vocodeur fonctionne de la façon suivante: le signal modulateur est divisé en un certain nombre de bandes de fréquences au moyen de filtres passé-bande (appelez « filtres du modulateur » ou « filtres d'analyse »). Le signal dans chacune de ces bandes est envoyé vers un suiveur d'enveloppe séparé (qui analyse en continu le niveau du signal). Le signal porteur est envoyé vers le même nombre de filtres passé-bande (les « filtres du porteur »), avec la même plage de fréquences que les filtres du signal modulateur. Le gain de chaque filtre passée-bande est contrôle par le niveau du suiveur d'enveloppe correspondant, et les signaux filtrés sont combinés et envoyés à la sortie du vocodeur.
De cette façon, le porteur est filtré de façon à avoir approximativement les mêmes caractéristiques de fréquence que le modulateur. Si le signal modulateur possède une bande de fréquences très énergique, le gain de la bande de filtré correspondante pour le signal porteur sera aussi élevé, augmentant ainsi ces fréquences dans le signal de sortie. S'il n'existe aucun signal au niveau de la bande de fréquences dans le signal modulateur, la bande correspondante dans le signal de sortie sera silencieuse (du fait que le gain sera de zéro pour ce filtré).
Il existe plusieurs facteurs déterminant la qualité du son du vocodeur, mais le plus important est le nombre de bandes de filtré. Plus ce nombre est élevé, plus le signal de sortie sera proche des caractéristiques de fréquence du modulateur. Le BV512 permet le vocabage sur 4, 8, 16 ou 32 bandes.
- Mème si un nombre élevé de bandes rendra le son plus précis et intelligible, ce n'est pas toujours l'effet souhaité ! Vocoder avec un nombre réduit de bandes peut engendrer dessons différents, qui convennent moins à un certain contexte musical, etc.
Vocodage FFT
Le BV512 possède un mode supplémentaire FFT, dans lequel le traitement de vocabodage n'est pas basé sur des filtrés passée-bande comme décrit précédemment. À la place, on utilise une analyse et un traitement par FFT (Fast Fourier Transform, soit Transformation de Fourier rapide). Cela correspond à 512 bandes de fréquences
« conventionnelles » et fournit un son de vocodeur très précis et détaillé. Remarque :
- Le mode FFT convient比较好 au vocabrage de voix parlée ou de chant, offrant ainsi des résultats limpides et très intelligibles.
Il convient moins au vocabodage de batterie et de percussions, du fait que le traitement par FFT est naturellement « plus lent » que le filtrage habitual et ne répond pas aussi vite aux signaux éphémères. Il y aura également un léger liéai ajoute au signal (de l'ordre de 20 ms). Une solution générale pourrait être de décaler le signal modulateur légrement en avant pour compenser ce liéai.
Lorsque les bandes de filtre conventionnelles sont distribuées de façon logarithmique (c'est-à-dire le même nombre de bandes de filtre par octave). Les 512 bandes du mode FFT sont distribuées de façon linéaire.
Cela signifie que de nombreuses bandes se trouveront dans une plage de haute fréquences - c'est l'une des raisons pour lesquelles le son est si clair, mais vousdez y penser lorsque vous effectuez des réglages du vocaboeur en mode FFT.
Réglages d'un vocabage basique
Ce tutoriel décrit la façon dont connecter et utiliser un réglage standard du vocodeur. Nous supposons ici que vous avez connecté un clavier MIDI. Pour plus de détails sur ces paramètres, voir “Paramètres BV512”.
Vocodage des chants en temps réel
L'utilisation la plus courante d'un vocodeur est probablement le son « chanté » ou « de synthétiseur de voix parlée », en utilisant des voix chantées ou parlées comme modulateur. Comme Reason prend en charge l'entrée audio live, vous pouvez donc chanter ou journ en temps réel. Il s'agit d'un exemple basique sur la manière dont router vos signaux.
- Créez le module instrumental que vous voulez utiliser pour le signal porteur.
Il peut généralement s'agir d'un synthé ou d'un sampler. Dans cet exemple, nous choisissons un synthétiseur Subtractor.
- Reglez le module porteur (Subtractor) pour un son long et clair.
Il est important d'avoir de haute fréquences (un grand nombre d'harmoniques) dans le porteur. Sur le Subtractor un son simple mais efficace de porteur peut se baser sur une onde en dents de scie avec un filtre légèrement ouvert. Pour plus de détails sur lechioix du porteur, voir "Choisisir un son de porteur".
3. Sélectionnéz le module porteur (Subtractor) et crééz un vocodeur BV512.
Si vouseturnezle rack,voverrezque le vocodeur est automatiquement routé en tant qu'Insert d'effet pour le module porteur (à l'aide des jacks d'entrée Carrier).

- Connectez un microphone à votre interface audio, puis raccordez manuellement l'audio approprié à partir du jack de l'interface matérielle Reason à l'entrée Modulator du BV512.
- Assurez-vous que l'entrée du clavier maitre est definite sur la piste du module porteur.
-
Veillez également à ce que le bouton « Avec/Sans effet » sur le vocodeur BV512 soit tourné (complètement dans le sens des aiguilles d'une montre) sur « Avec effet »
-
Jouez quelques notes ou accords sur votre clavier MIDI et chantez dans le microphone.
Le résultat sera le son vocal vocodé classique.


- Essayez différentes options de bandes de filtrer et constatéz les différences au niveau du son.

9. Vous pouze également ajuster le son du vocodeur en cliquant et déplaçant les barres dans l'affichage inférieur.
Chaque barre correspond à une bande de fréquences, les basses fréquences étant situées à gauche et les hautes fréquences à droite. Vous ajustez le niveau d'une bande en déplaçant sa bande vers le haut ou vers le bas. Cliquer et déplacer la souris à travers les barres vous permet de changer le niveau de plusieurs barres, comme lorsque l'on dessine un coubre d'égalisation.

L'affichage supérieur montre le spectre du signal modulateur, pour l'affichage uniquement.
Pour réinitialiser une bande à ±0 dB, appuyez sur [Command] (Mac) ou sur [Ctrl] (Win), puis cliquez dessus.
Vou puez également réinitialiser toutes les bandes à zéro en faisant apparaitre le menu contextual du module Vocodeur et en selectionnant « Réinitialiser le niveau des bandes »
10.Si le son du vocodeur est « sale » ou indistinct, essayez de tourner le bouton « HF Emph » vers la droite sur le vocodeur.
Ce paramètre (High Frequency Emphasis, soit accentuation des hauteures fréquences) augmente les hauteures fréquences du signal porteur.
11. Essayez d'autres paramètres si vous le souhaitez.
Voir "Paramètres BV512" pour plus de détails.
Utiliser le BV512 comme égaliseur
Le BV512 possède un mode égaliseur unique, dans lequel le module fonctionne totally comme un Insert d'effet (l'entrée du modulator n'est pas utilisé). Cela vous permet d'utiliser les filtres de traitement du vocodeur comme uneASFégaliseur graphique.
Réglages
1. Sélectionné le module que vous souhaitezTraitser avec le BV512.
2. Creez un module BV512.
Il est automatiquement connecté comme Insert d'effet, via les jacks d'entrée Carrier.
3. Reglez le bouton à gauche de l'affichage sur « Égaliseur »

Utilisation pratique

En mode égaliseur, vous coupez ou accentuez les fréquences en cliquant et en déplaçant les barres dans l'affichage inférieur - tout comme avec un égaliseur graphique. L'utilisation et le résultat dépend du mode sélectionné :
Mode 4-32 bandes
Comme en mode vocodeur, le nombre de barres dans l'affichage correspond au nombre de bandes sélectionnées (4, 8, 16 ou 32). Plus le nombre de bandes est élevé, plus le contrôle sur les fréquences sera détaillé. Cependant :
Dans ces modes, l'égalisera « colorera » le son même si toutes les bandes sont définies sur ± 0 dB!
Cela est dû à l'interaction de phase et à la superposition des filtres passé-bande.
De ce fait, vous souhaitez probablement utiliser les modes 4 - 32 bandes pour colorer et transformer lessons et non pour obtenir une égalisation subtile et « propre »
Mode FFT (512)
En mode FFT (512), vous disposerez toujours de 32 barres dans l'affichage, mais chaque barre pourra contrôler plusieurs bandes de fréquences (souvenez-vous que le mode FFT compte 512 bandes). comme les bandes de fréquences sont distribuées de façon linéaire dans le mode FFT, les barres situées à gauche de l'affichage contrôlent peu de bandes de fréquences tandis que les barres situées à droite en contrôlent beaucoup.
En mode FFT (512), le réglage de toutes les bandes sur ± 0 dB revient à bypasser l'égaliser - le son ne sera pas affecté.
Cela rend le mode FFT adapté à une égalisation « propre », dans laquelle vous pouvez accenter ou couper certaines fréquences sans changer le caractère du son.
Cependant, le mode d'égalisation FFT n'est pas conçu pour les coupures ou les accentuations de fréquences importantes, car il produit trop d' éléments audio causés par le traitement par FFT.
En conséquence : comme toujours, il n'existe pas de règle absolue. Jugez par vous-même !
Gardez à l'esprit que le mode FFT introduit également un léger lié au niveau du signal.
Paramètres BV512
Sur le panneau avant du vocodeur BV512 se trouvent les paramètres et affichages suivants :
| Paramètre | Description |
| Bouton Bypass/On/Off | En mode Bypass, le signal porteur traverse le module sans être modifié et le signal modulateur est ignoré. En mode On, le module fournit en sortie le signal vocodé ou égalisé. En mode Off, il coupe la sortie, rendant le module silencieux. |
| Vu-mètres | Affichent le niveau des signaux du porteur et du modulator, respectivement. |
| Bouton Bandes | Sélectionne le nombre de bandes de filtré (4, 8, 16 ou 32) ou le mode FFT (512). |
| Bouton Égaliseur/Vocodeur | Détermine si le BV512 doit fonctionner comme un vocodeur ou comme un égaliseur. En mode Égaliseur, l'entrée Modulator est ignorée. |
| Affichage du niveau de modulation | L'affichage supérieur montre le spectre du signal modulator. |
| Réglage du niveau des bandes de fréquences | L'affichage inférieur vous permit d'ajuster le niveau de chaque bande de fréquences de filtré enclinquant et en déplaçant la barre correspondante. En mode VOCODEUR, cela affect le son vocodé. En mode Égaliseur, cela coupe ou accentue les fréquences. Pour réinitialiser une bande sur ±0 dB, appuyez sur [Command] (Mac) ou sur [Ctrl] (Win), puis cliquez sur sa barre dans l'affichage. Pour réinitialiser toutes les bandes, Sélectionnez « Réinitialiser le niveau des bandes » dans le menu contextual du module.Remarque : lorsque le mode FFT (512) est sélectionné, chacune des 32 barres de l'affichage correspond à plusieurs bandes de fréquences, les barres situées à droite contrôleient progressivement plus de bandes (ce qui est d'au fait que les bandes FFT sont distribuées de façon linéaires à travers la plage de fréquences). |
| Bouton Maintien | Clicer sur ce bouton « gèle » les réglages de filtré actuels. Tant que ce bouton est allumé, le signal modulateur n'afectera pas le son - le signal porteur est filtré avec les réglages qui étéant en cours lorsque vous avez activé Maintien. Clicez sur le bouton à nouveau pour désactiver Maintien. Le bouton Maintien est également réinitialisé automatiquement (déactivé) lorsque vous arrêtez la lecture du sérieur ; tout comme les roues de Pitch Bend et de modulation des modules du synthétiseur.Cette fonction peut être contrôle via CV ou MIDI, pour des effets de sample par exemple.Le bouton Maintien n'est pas disponible en mode Égaliseur. |
| Attaque | Il s'agit du contrôleur de temps d'attaque global, affectant tous les suiveurs d'enveloppe (voir "Bandes de filtré"). Généralement, vous le reglez sur zéro pour que le vocodeur réagisse aussi vite que possible. Augmenter le temps d'attaque peut être utile si vous souhaitez « salir » le son, créér des pads, etc.Ce paramètre n'est pas disponible en mode Égaliseur. |
| Déclin | De la même façon, ce dernier contrôle le temps de déclin pour tous les suiveurs d'enveloppe, c'est-à-dire la vitesse avec laquelle le niveau de bandes de filtré baise. Ajustez-le à votre goût et selon le contexte.Ce paramètre n'est pas disponible en mode Égaliseur. |
| Déplacer | Déplace les filtres du porteur vers le haut ou le bas en fréquence, changeant de façon importante le caractère du son vocodé (ou égalisé). Ce paramètre peut être contrôle via CV, pour des effets spéciaux et des effets de balayage de type phaser. |
| HF Emph(accultuation des hautes fréquences) | Accentue les hautes fréquences du signal porteur. Cela permet parfois d'obtenir un son vocodé plus clair. La raison en est que le signal porteur devrait théoriquement contenir approximativement la même énergie dans toutes les plages de fréquences pour de更好地 résultats : dans un son de synthétiseur standard, les hautes fréquences sont souvent plus faibles que les basses fréquences. Augmenter le contrôleur HF Emph permet de rectifier cela.Ce paramètre n'est pas disponible en mode Égaliseur. |
| Avec/Sans effet | Déterminé la balance entre le son du modulator (sans effet) et le son vocodé (avec effet). Pour n'entendre que le son vocodé, tournez-le complètement à droite.Ce paramètre n'est pas disponible en mode Égaliseur. |
Connexions

Le panneau arrêté du BV512 fournit les connexions suivantes :
Niveau des bandes individuelles
Il s'agit des entrées et sorties CV.
- La rangée supérieure fournit les signaux CV généres par les suiveurs d'enveloppe pour chaque bande de fréquences.
- La rangée inférieure correspond aux entrées de niveau CV pour les filtres passé-bande individuels à travers lesquels le signal est traité (les « filtres du vocodeur »).
Connector un signal CV à l'une de ces entrées casse le chemin interne du signal pour le suiveur d'enveloppe correspondant (en d'autres termes, la bande de fréquences est à présent contrôle par le signal CV que vous avez connecté et non plus par la bande de fréquences correspondante dans le signal modulator).
- Si le mode 16 bandes est sélectionné, chaque paire d'entrée/de sortie correspond à une bande de fréquences séparée.
Si le mode 4 ou 8 bandes est selectionné, seules les 4 ou 8 premières paires d'entrées/de sorties sont utilisées. En mode 32 bandes, chaque sortie est un mixage de deux bandes de fréquences adjacentes et chaque entrée contrôle deux bandes. Enfin, en mode FFT (512), chaque paire d'entrée/de sortie correspond à plusieurs bandes de fréquences.
Il existe plusieurs utilisations interessantes pour les connecteurs de niveaux de bande individuelle : vous pouvez croiser les connexions des bandes de fréquences pour que, par exemple, les basses fréquences du signal modulator contrôlent les bandes des haute fréquences du vocodeur, vous pouze extraire les signaux CV pour contrôler les paramètres de synthétiseur dans d'autres modules, vous pouze baser le VOCADAGE sur des signaux CV d'autres modules只不过 que sur un signal modulator, etc. Voir “Utiliser les connexions de niveau de bande individuelle” pour plus de détails.
Autres connexions CV
| Connexion | Description |
| Shift (entree CV) | Cela permet de contrôle le paramètre Shift depuis une source CV externe. Un bouton de sensibilité permet de déterminer dans qu'elle mesure le paramètre Shift est affecté par le signal CV. |
| Maintien (entree Gate) | Lorsqu'un signal Gate est envoyé à cette entrée, la fonction Maintien est activée (voir “Bouton Maintien"). La fonction Maintien reste activée jusqu'à ce que le signal retombe à zéro. En connectant par exemple un Matrix à cette entrée, vous couldezecre dessons vocabodes « par pallier», des effets de sample, etc. |
Connexions audio
| Connexion | Description |
| Entrée Carrier | C'est là que vous connectez le module instrumental qui fournit le signal porteur (ou le module qui est traité en mode Égaliseur) - généralement un module synthétiseur ou sampler. Le vocodeur peut prendre en charge des signaux des porteurs mono ou stéreo. |
| Entrée Modulator | C'est là que vous connectez le module instrumental qui fournit le signal modulateur, en mono. Cette connexion n'est pas utilisé en mode Égaliseur. |
| Sortie | En mode Vocodeur, les sorties fournissent un mixage entre le signal vocodé et le signal modulateur ( comme définir par le contrôleur Avec/Sans effet sur le panneau avant). En mode Égaliseur, la sortie est le signal porteur, traité par le filtré de l'égaliseur. Notez que la sortie sera en mono si l'entrée Carrier est en mono, et inversement ; le BV512 ne transforme pas le son mono en stéreo. |
Automation

Tous les paramètres du panneau avant peuvent être automatisés de façon standard. Les niveaux de bandes individuelles (les barres dans l'affichage inférieur) serontédités sur des bandes séparées dans le séquenceur. Remarque :
- Comme avec les autres modules d'effet, vous devez creator manuellement une piste de séquenceur pour le BV512.
- Bien que les ajustements de niveau de bande puissant etre edits individuellement,ils sont traités comme un seul parametre automatisable sur le panneau du module.
Cela signifie que si un seul contrôle de niveau de bande est automatisé, un cadre s'affichera autour de l'ensemble de l'affichage inférieur du panneau du module. Utiliser [Ctrl]-click (Mac) ou le click droit (Win) dans l'affichage inférieur et selectionner « Supprimer l'automation » supprimera l'automation de toutes les bandes. De même, selectionner « Éditer l'automation » ouvrira le séquenceur en affichtant les bandes de tous les niveaux de bande.

Le cadre indique qu'un ou plusieurs contrôles de niveau de bande sont automatisés.
Trucs et astuces
Choisir un son de porteur
Comme plusieurs, le besoin du son de porteur est une affaire de goût et de contexte musical. Cependant, nous pouvons vous prodiguer quelques conseils pour vous aider à atteir de bons résultats :
Le son de porteur doit de préférence avoir un fort contenu harmonique (brilliance) : lessons plus sombres ouétouffés ne donneuront pas « beaucoup de grain à moudre au vocodeur »
- Vous souhaitez souvent que le son du porteur reste à un certain niveau (c'est-à-dire ne « s'éteigne » pas lorsque vous maintainez un accord). De même, vous souhaitez souvent une attaque raisonnablement rapide (bien que n'avant pas un pic distinct etclinquant).
- Vous pourriez把你 un son qui reste惟ot constant dans la durée, sans d'important contrôles d'enveloppe ou de coupure de filtre par exemple.
- Si vous foulez jouer des accords vocabés, le son du porteur doit bien sûr être polyphonique.
Voici quelques suggestions pratiques pour lessons du porteur :
Un simple pad Subtractor basé sur une forme d'onde en dents de scie.
Vouss pouvez simplement commencer avec le patch initial ( comme défini lorsque vous creez un nouveau module Subtractor). Ouvrez le filtrre, désactivez la modulation d'enveloppe de la fréquence de coupure et augmentez le maintien de l'enveloppe d'amplitude.
Si vous voulez un son classique et niche du type chorus, utilisez deux oscillateurs désaccordés ; ou mistréx encore, ajoutez un module Unison UN-16 comme Insert d'effet entre le Subtractor et le vocodeur !

Un réglage simple mais efficace de son de porteur.
Un gros son de porteur similaire peut etre obtenu en utilisant un module Malstrom avec un patch basé sur la table a grains « Sawtooth*16 »
Grace au Malström, vous pouvez obtenir un signal de porteur stéréo sans aucun module supplémentaire : sélectionnez simplement la table de grains « Sawtooth*16 » pour les deux oscillateurs, désaccordez légèrement les oscillateurs avec les contrôleurs Cent et augmentez le paramètre d'élargissement pour obtaining la largeur stéréo voulue. Aucun routage de filtrer n'est nécessaire.
Pour un son plus distinct et précis, essayez d'utiliser une forme d'onde pulsative plus étroite.
Vou l'obtiendrez en selectionnant par exemple une forme d'onde en dents de scie sur le Subtractor, en reglant le selecteur du mode de phase sur « - » et en tournant le bouton Phase à gauche jusqu'à obtenir le son désiré. Ce type de son de porteur convient parfaitement aux lignes monophoniques de vocodeur dans les registres bas.
Utilisez un bruit comme porteur.
Essayez d'utiliser du bruit pur (éventuellesment un peu attenué par un filtré) pour des voix robotiques, des chuchotements et des effets spéciaux. C'est également très utile pour ajouter un peu de bruit à un son en dent de scie ou pulsé : cela rend la voix parlée vocodée plus claire et plus intelligible.
Utilisez des cordes samplées ou dessons de chêur.
Un sample d'orgue très riche peut également représenter un très bon son de porteur.
Pour dessons vocabodes plus originaux,essayez d'utiliser le Malstrom comme module porteur,par exemple avec un son de pad numérique selectionné.
Essayez d'augmenter les contrôles d'attaque et de déclin sur le BV512, pour une modulation salie, rythmique ou pseudo aléatoire du pad.
Choisir un son de modulator
Le son de modulator doit généralement contenir un niveau et un contenu harmonique variables. comme évoqué précédemment, lessons de modulator les plus courants sont les voix chantées ou parlées et les batteries ou percussions.
Pour utiliser votre propre voix comme son de modulator, voir "Utiliser le BV512 comme égaliseur".
La façon la plus rapide d'obtenir un son de modulator « interne » est d'utiliser une boucle rythmique dans le module Dr. Octo Rex.
De cette façon, vous n'avez pas à programmer de pattern rythmique. D'un autre côté, utiliser un Redrum comme modulateur vous permet de creer exactement le rythme que vous souhaitez et de travailler précisément lessons et le groove.
Utiliser le modulator comme porteur
Vou puez obtenir des effets spéciaux interressants en utilisant le même module, à la fois comme porteur et comme modulator. Par exemple, essayez de Traitser un module Redrum de la façon suivante :
- Créez un module Redrum et réglez le patch et la pattern comme vous le souhaitez.
- Crééz un module Spider Audio Merger & Splitter.
- Créez un vocodeur BV512.
- Retournez le rack pour connecter les modules de la façon suivante :

La sortie du Redrum entre dans la section splitter du Spider et est divisée en deux signaux. Un signal va dans l'entrée Carrier du vocodeur, l'autre va dans l'entrée Modulator.
Il s'agit essentiellement des connexions nécessaires, mais pour deGXr虑ats, vous pouze ajouter une distorsion et/ou une compression au signal porteur : cela augmente l'intensite des haute fréquences dans le signal porteur :
- Appuyez sur [Maj] et créez un module de distorsion Scream 4.
- Connectez le module de distorsion comme Insert d'effet entre le Spider et l'entrée Carrier du vocodeur.
Àpresent,le signal porteur sera traité dans le module de distorsion mais pas le signal modulateur.
- Jouez la pattern et essayez différents régles dans le vocodeur et dans le module de distorsion.
Cette technique peut également être utilisé pour traiter des voix parlées et chantées.
Essayez d'ajuster le paramètre Shift pour de nouveaux effets etsons.
Souvenez-vous que vous pouvez envoyer un signal CV vers le paramètre Shift situé à l'arrête du BV512. Utilisez par exemple un Matrix ou une sortie LFO d'un module synthétiseur!
Contrôler la fonction Maintien
Comme décrit dans "Bouton Maintien", appuyer sur le bouton Maintien sur le panneau avant « gèle » le spectre actuel du filtré jusqu'à ce que vous le désactiviez à nouveau. Cela peut être utilisé pour créé des effets du type sample ou de temporisation, ou encore dessons vocabédés bégayant ou confus :
Connectez par exemple la sortie Gate d'un module Matrix à l'entrée Maintien à l'arrière du BV512.
En jouant une pattern de gate sur le Matrix, la fonction Maintien sera activée et désactivée de façon répétée en fonction du rythme programme dans la pattern. La fonction Maintien sera activée pour la durée de chaque signal Gate.
Automatiser la fonction Maintien avec le séquenceur principal, soit en l'enregistrant, soit en le dessinant dans sa bande de contrôleur.
- Si vous routrez le MIDI vers le BV512, vous pouze contrôler la fonction Maintenir de deux façon par défaut: soit en pressant la pédale damper connectée à votre contrôleur MIDI, soit en jouant la note C4.
Dans les deux cas, la fonction Maintien sera activée momentarily : elle sera activée tant que vous maintiendrez enforcée la pédale ou la touche.
Utiliser les connexions de niveau de bande individuelle
Comme décrit dans "Niveau des bandes individuelles", les connecteurs de niveau de bande individuelle à l'arrière sont des sorties CV et des jacks d'entrée. La rangée supérieure envoie des signaux CV depuis les suiveurs d'enveloppe pour les différentes bandes de fréquences, tandis que les jacks du bas sont des entrées CV pour contrôle les filtres passé-bande individuels (interrompant la connexion interne des suiveurs d'enveloppe). Plusieurs choses intéressantes peuvent être réalisées avec ces connexions :
Connexion croisée des bandes de fréquences

En connectant les sorties aux entrées dans des configurations alternatives, vous pouze changer considérablement le résultat du VOCODage. Par exemple, les fréquences basses dans le signal modulateur pourraient donner des haute fréquences dans le son VOCODE et inversement. Remarque :
-
Dans le mode 4 et 8 bandes, seules les 4/8 premières paires de sorties/d'entrées sont utilisées.
-
Dans le mode 32 bandes et FFT (512), chaque connexion correspond à deux ou plusieurs bandes de fréquences.
Cela signifie que connecter une sortie à l'entrée avec le même nombre n'est pas la même chose qu'utiliser le chemin interne du signal (pas de cable CV connecté). Vous pouvez l'entendre assez clairement en mode FFT (512): connectez toutes les sorties aux entrées correspondantes et retirez progressivement les cables tout en écouteant le son vocabode : le son sera progressivement plus détaillé.
Extraire le signal CV du vocodeur
Vous pouvez connecter une sortie de niveau de bande individuelle à une entrée CV d'un module qu'il soit. Cela signifie que vous pouvez utiliser le vocodeur comme suiveur d'enveloppe, des éléments du son du modulator contrôlant un paramètre dans un autre module ; par exemple, un effet. Remarque :
- Les réglages d'attaque et de déclin sur le panneau du BV512 affectent les suiveurs d'enveloppe et, de ce fait, les temps de croissance et de décroissance des signaux CV provenant des sorties du niveau des bandes individuelles.
- Si vous utilisez le vocodeur dans un mode avec de nombreuses bandes, mais que vous voulez qu'une large plage de fréquence génére le signal CV, vous pouvez fusionner plusieurs sorties de bande en un seul signal CV en utilisant un module Spider CV Merger & Splitter.
Contrôler les bandes du vocodeur à l'aide d'une source externe
Connector une source CV à une entrée de bande individuelle casse la connexion interne pour le suiveur d'enveloppe correspondant. De cette façon, vous pouvez contrôler « manuellement » les filtres du vocodeur. Voici quelques applications :
Connectez les sorties CV pour une ou plusieurs enveloppes dans le module porteur aux entrées de bandes individuelles.
Lorsque vous jouez l'instrument porteur, un ou plusieurs filtres passe-bande dans le vocodeur sera ouvert automatiquement, en ajoutant une attaque supplémentaire au son. Cela peut etre utile si vous foulez reellement "jouer"le porteur,plutot que simplement maintainir un accord.
Connectez les sorties Gate d'un Redrum aux entrées de niveau de bandes individuelles.
Avec cette connexion (et sans module connecté à l'entrée Modulator), le Redrum servira de séquenceur à pattern, ouvrant et fermant les différentes bandes de filtr. Pour ajuster les temps des gates, définissez les sons des batteries en mode Gate et utilisez le paramètre de longueur. Le résultat est totalement différent de celui obtenu en utilisant le signal audio du Redrum comme modulator.

Les bandes du vocodeur sont à present contrôlées uniquement par les signaux Gate des canaux de batterie : l'entrée Modulator n'est pas utilisée.
Notez que vous pouze utiliser un module Spider CV Merger & Splitter pour diviser le signal Gate pour l'envoyer vers plusieurs bandes. Notez aussi que la velocité des notes de batterie programmées gère le niveau des bandes de filtre correspondantes.
« Jouer » le vocodeur à l'aide d'un clavier MIDI
Si vous avez routé le MIDI vers le BV512, jour des notes depuis C1 et en montant contrôle les bandes de filtre individuelles. Par exemple, en mode 16 bandes, C1 contrôle la bande 1, C#1 la bande 2 et ainsi de suite jusqu'à D#2 (qui contrôle la bande 16).
Le nape des bandes est proportionnel a la velocite de la touche (la force avec laquelle you appuyez dessus).
- Une bande sera « ouverte » tant que vous maintainiérez enforcée la touche correspondante.
- Les bandes auxquelles vous avez connecte un signal CV (en utilisant les entrées de niveau des bandes individuelles sur le panneau arrêté) ne repondront pas aux touches MIDI.
Notez qu'avac ce tte fonction, you « jouez le modulateur ». You aurez tous besoin d'un signal porteur pour obtenir un son. En rgle generale, you enregistrez d'abord les notes ou accords pour le module porteur dans le sequencer, puis routez le MIDI vers le vocodeur et le "jouez" à l'aide de votre clavier MIDI pendant la lecture des notes du porteur enregistrées.
- Une application interessante à ce propos est de connecter le vocodeur comme Insert d'effet pour l'ensemble du mixage (la sortie du mixeur principal connectée à l'entrée du porteur, sans aucun module modulator connecté), et de « jour le vocodeur ». Seules les bandes de fréquences pour lesquelles vous appuyez sur une touche poursont passer. Utilisez le mode FFT (512) pour obtenir les résultats les plus intéressants.
Utiliser le BV512 comme réverb
C'est une astuce très spéciale qui peut s'avérer bien pratique. Procedez de la façon suivante :
1. Creez un module Redrum.
Le "vocodeur-reverb" convient比较好 aux percussions, même si rien ne vous empêche de l'utiliser sur d'autres sons.
2. Créez un Subtractor et un vocodeur.
Le Subtractor sera automatiquement routé vers l'entrée Carrier. Un modulateur dédié est inutile dans ce réglage.
3. Retournez le rack et connectez le Départ aux 1 du mixeur à l'entrée Modulator du vocodeur.
4. Dans un même temps, routez à nouveau la sortie du vocodeur à Aux return 1.
De cette façon, notre vocodeur-reverb sera connecté comme départ d'effect normal.

-
Définissez le vocodeur sur le mode FFT (512), tournez le bouton Déclin entre 6 et 7 et tournez le bouton Avec/ Sans effet complètement à droite.
-
Sur le Subtractor, définissee un son de bruit de la façon suivante :
Tournez le bouton Mixage des oscillateurs complètement à droite.
Activez la section Bruit (mais assurez-vous que l'Osc 2 est désactivé).
Dans la section Bruit, tournez le bouton Couleur vers la position midi.
Ouvrez complètement le filtré et assurez-vous que la résonance est réglée sur 0.
Assurez-vous que l'intensité de l'enveloppe de filtre (bouton Amt) est réglée sur 0 (et désactivez la modulation par la velocité).
Augmentez le maintain en maximum dans la section Enveloppe d'amplitude.



À présent, nous voulons que le Subtractor joue un son continu. Vous pouvez simplement router le MIDI vers lui, jouer une note et la maintainir appuyée, mais cela ne vous conviendra pas à long terme. Il vaut mieux utiliser un Matrix :
7. Créez un Matrix et routiez-le vers le Subtractor.
Nous n'avons réellement besoin que de la connexion Gate : le numéro de note n'est pas important avec le patch de bruit.
8. Définissez une pattern à un pas avec un gate lié (appuyez sur [Maj] et dessiner le gate), puis lancez la lecture sur le Matrix.
À présent, le vocodeur recoit un signal de bruit continu comme porteur.
9. Crééez une pattern de percussion ajusté sur le Redrum et lancez la lecture de la pattern.
10.Augmentez progressivement le Send 1 pour le canal Redrum dans le mixeur.
Il sert à partir de contrôle de la balance entre le son de percussion sans effet et la réverb, généraee par le bruit vocabode ! Choisissez un niveau de réverb satisfaisant.
11. Utilisez le contrôle Déclin du vocodeur pour ajuster le temps de déclin de la réverb.
12. Utilisez le contrôleur de couleur de bruit du Subtractor pour rendre la réverb plus nombre ou plus claire.
Vous pourriez tout aussi bien utiliser la coupure du filtré à cette fin.
Et voilà, un son de réverb只不过 bon avec un grand contrôle. Bien que les réglages ci-dessus donnent le son le plus naturel, vous pouvez varier le son et creator une réverb à effet spécial de la même manière que celle utilisée dans les exemples suivants :
Faites basculer le vocodeur sur un mode de bandes inférieur.
Diminuez la fréquence de coupure et ajoutez de la résonance au filtré du Subtractor.
Modulez le filtr du Subtractor avec un LFO rapide.
Définissez le filtré du Subtractor dans le mode Passe-haut pour supprimer l'extrémité inférieure de la réverb.
Désactivez le Matrix contrôlant le Subtractor et « jouez » le patch de bruit vous-même (ou depuis le séquenceur). De cette façon, vous pouvez créé des effets de réverb Gate, etc.
Créer une réverb stéreo
Le résultat : une réverb mono. Voici comment la passer en stéreo:
- Sélectionnez le Subtractor et créez un module Spider Audio Merger & Splitter.
- Creez un début DDL-1.
- Connectez les modules de la façon suivante :
La sortie du Subtractor doit être routée dans l'entree Splitter du Spider. Une sortie Split doit être routée dans l'une des entrées Carrier du vocodeur, et l'autre sortie Split vers le déla. La sortie du déla (mono) doit être routée vers l'autre entrée Carrier du vocodeur.

Le vocodeur obtienda à présent un signal de bruit porteur « faussement stéreo »
- Assurez-vous que la sortie du vocodeur est connectée en stéreo à Aux return du mixeur.
- Enfin, baissez le Feedback sur le début, reglez-le sur « avec effet » et reglez le temps de déclin à environ une seconde.
Lorsque you lancez la lecture du Redrum, la réverb sera passée en stéreo!

REASON
Chapitre 37
Effects « demi-rack »
Fonctions communes des modules d'effet
Voutrouvez ci-apres tous les parametes propres à chaque module d'effet. Sachez toute fois que certaines fonctionnalités et procédures sont communés à tous les modules d'effet.
L'affichage d'entrée

Le signal audio entrant est affché, vous donnant ainsi une indication sur les modules actifs, connectés et en cours de lecture. Cependant, vous n'avez pas besoin de vous préoccuper du clipping dans les modules d'effet, même si l'affichage passé dans le rouge.
Le bouton Puisance/Bypass
Ce bouton se situe dans le coin supérieur gauche de chaque module d'effet. Ce bouton possède trois modes, illustrés par le schéma suivant :

| Mode | Description |
| Bypass | Ce mode permet au signal d'entrée d'être transmis directement à la sortie audio, sans être affecté par le module d'effet. Ce mode est utile lorsque le module d'effet est connecté en tant qu'Insert d'effet et que vous souhaitez comparer le son avec effet au son sans effet. |
| On | Ce mode est le mode par défaut qui permet au module detraits le signal entrant. |
| Off | Lorsque ce mode est actif, le module d'effet est éteint et aucun son, qu'il soit avec ou sans effet, n'est envoyé. Ce mode est utile lorsque le module est connecté en tant que départ d'effet et que vous souhaitez l'éteindre temporairement. |
À propos des réglages
Vouasajustezlesparametesd'effetsenutilisantlestechniquesd'éditionclassiques.
Pour réinitialiser les paramètres par défaut, appuyez sur Ctrl ou Cmd et cliquez sur la molette correspondante.
A propos des connexions
- Tous les modules d'effet possedent des entrées et sorties stéreo et peuvent être connectés en tant que départs d'effets ou Inserts d'effets.
Néanmoins, certains effets sont utilisés au moins uniquement en tant que départs d'effets ou uniquement en tant qu'Inserts d'effets. Vous trouvrez une description plus détaillée de chaque effet sur les pages suivantes.
Reportez-vous également à la section concernant les graphiques de flot du signal ci-dessous.
- La plupart des modules d'effet possedent une ou plusieurs entrées CV sur le panneau arrière.
Cela you permit de controler les differents parametes d'effets en temps reel, depuis un autre module du rack.
Voir "Routage des signaux CV et Gate" pour plus de détails sur le routage de CV.
Les graphiques de flot du signal

À l'arrière de chaque module d'effet, vous trouvez deux ou trois petits « graphiques ». Ils indiquent comment le module d'effet gère les signaux mono et stéreo en fonction des connexions. La sélection des graphiques pour un module vous indique comment l'utiliser selon les règles suivantes :
| Graphique | Description |
| Peut être connecté en tant que module mono-in ou mono-out. (Bien entendu, tous les modules d'effet peuvent être connectés en mono. Cependant, si ce graphique n'est pas liént pour un module, cela signifie que la connexion mono-in mono-out pourra ne pas donner les résultats appropriés). | |
| Peut être connecté en tant que module mono-in ou stéréo-out. Cela signifie que le module créé un effet stéréo (par exemple une réverb) ou un effet mono pouvant être dispersé en panoramicque. | |
| Si vous connectez à la fois les entrées et les sorties en stéréo, les deux côtsés seront traités de façon indépendante (traitement mono double). | |
| Si vous connectez à la fois les entrées et les sorties en stéréo, les deux côtsés sont fusionnés avant le traitement de l'effet. Cependant, l'effet réel est en stéréo (et le signal sans effet restera en stéréo, s'il passse par l'effet). | |
| Traitement en « vraie stéréo » ou traitement en « stéréo in - stéréo out ». Lorsque vous connectez les entrées en stéréo, chaque canal dans l'effet utilise l'information de signal des deux entrées. Cependant, les entrées ne sont pas fusionnées ; les deux canaux sontTraits différément. Ce mode est disponible sur le RV7000 Advanced Reverb - voir “RV7000 Réverbération avancée”. |
DDL-1 Digital Delay Line

Ce délambda est un délambda mono (ou la sortie peut être dispersée en stéreo) pouvant être synchronisé sur le tempo du morceau. Le délambda peut être utilisé comme Insert d'effet ou comme départ d'effet.
Paramètres
| Paramètre | Description |
| Temps de salarié | L'affichage à gauche du panneau de module affiche le temps de salarié, soit en pas de valeur de note (base sur le tempo du séquenceur et sur le paramètre de longueur de pas) ou en millisecond, selon le réglage du bouton Unité. Le temps de salarié maximum est de deux secondes (2 000 ms) alors que le nombre maximal de pas est de 16. Notez que si le tempo est lent, vous atteindrez le temps de salarié maximum avec moins de 16 pas (dans ce cas, augmenter la valeur des pas ne fera alors aucune différence). |
| Unité | Vous choisissez ici si vous désírez un salarié basé sur le tempo (mode « Pas ») ou un salarié libre (mode « MS »). En mode Pas, vous indiquez le temps de salarié en pas de valeur de note. Cela signifie que si vous modifièez le tempo dans le panneau de transport, le salarié conservera sa relation rythmique avec la musique (si le temps de salarié ne dépasse pas la valeur maximum). Ce mode permet de créé des patterns rythmiques. Si vous modifièez le tempo en mode MS, le temps de salarié resteinchangé. Voir également la note concernant la sélection des modes Unité ci-dessous. |
| Longueur de pas | Détermine si chaque pas du mode Pas doit être une double-croche ou une croche de triollet. |
| Feedback | Détermine le nombre de répétitions de salarié. |
| Pan | Déplace l'effet de salarié sur la gauche ou sur la droite. |
| Avec/Sans effet | Si vous utilisez le salarié comme Insert d'effet, utilisez ce paramètre pour régler la balance entre le signal audio non traité (sans effet) et l'effet de salarié (avec effet). Si le salarié est utilisé comme départ d'effet, il doit toujours être réglié sur « Avec effet » uniquement, dans la mesure où vous pouvez régler la balance grâce aux contrôles des départs AUX du mixeur. |
Entrées CV
Les entrées CV suivantes se trouvent sur le panneau arrêté du module :
CV du pan
Cela vous permet de contrôler la dispersion panoramicique du signal de décai. Connectez un LFO pour déplacer les effets de décai ou utilisez une pattern Matrix pour simuler une dispersion aléatoire du décai.
CV de feedback
Cela vous permet de contrôler la quantité de feedback (le nombre de répetitions de décai) depuis un autre module. Utile pour les échos de type dub uniquement sur certains temps ou notes.
Basculer entre les modes Unité
Lorsque vous basculesz d'un mode Unité à l'autre (Pas et MS), les règles suivantes s'appliquent :
Si vous passez du mode Pas au mode MS, le décai sera exactement le même temps de décai que celui utilisé en mode Pas.
Cela signifie que vous pouvez définir un décali rythmique exact en mode Pas puis passer ensuite en mode MS afin de l'ajuster.
Si vous passez du mode MS au mode Pas, le dernier est réinitialisé à la valeur de pas utilisé précédement.
CF-101 Chorus/Flanger

Le CF-101 est un effet combiné de chorus et de flanger. Il ajoute de la profondeur et du mouvement au son en ajoutant au signal audio un délambda court et modulé. Le signal avec délambda est alors mixé avec l'original (soit dans le module d'effet ou manuellement - voir ci-dessous). Le CF-101 peut être utilisé en tant qu'Insert d'effet ou département d'effet.
Paramètres
| Paramètre | Description |
| Délambda | Ce bouton manuel pour le temps de délambda est utilisé pour créé l'effet de chorus/flanger. Habituellesment, les effets de type flanger utilisent des temps de délambda plutôt courts alors que les effets de type chorus utilisent des délaïs moyens ou longs. |
| Feedback | Détermine la quantité de signal d'effet renvoyée à l'entrée, qui à son tour affecte l'intensité et le caractère de l'effect. Si vous tournez ce bouton complètement à gauche (feedback négatif) ou complètement à droite (feedback positif), vous produsez des effets flanger différents avec un « son » de résonance pronoçé, et si vous le tournez jusqu'àu milieu, cela produit un effet de chorus plus doux. |
| Fréquence LFO | C'est la fréquence du LFO qui module le temps de délambda. Plus cette valeur est élevé et plus le son oscille. |
| Synchronisation du LFO | Ce bouton permet d'activer/de désactiver la synchronisation du LFO. Une fois activée, la fréquence du LFO est synchronisée avec le tempo du morceau selon une des 16 divisions temporelles possibles. Le bouton Fréquence LFO est alors utilisé pour définir la division temporelle souhaïtée. Tournez le bouton et regardez l'info-bulle pour avoir une indication de la division temporelle. |
| Intensité de modulation LFO | Détermine la profondeur de la modulation LFO, à savoir de combien le temps de délambda doit être modulé. Si vous la définissez sur 0, l'effet sera « gelé » (plus efficace si vous ajoutez du feedback). |
| Mode d'envoi | Détermine si le signal avec délambda et le signal sans effet doit être mixés dans le module d'effet ou non. Si vous utilisez CF-101 en tant qu'Insert d'effet, vous devez désactiver ce mode. Le module mixera le signal sans effet et le signal avec délambda modulé. Si vous utilisez le module en tant que départ d'effet, vous devez activer le mode d'envoi. Ainsi, le module ne produit que le signal de délambda modulé, vous permettant ainsi de le mixer avec le signal sans effet à l'aide des contrôleles des départs AUX du mixeur. Voir également la note ci-dessous concernant l'utilisation du CF-101 en tant qu'effet de vibrato ! |
Entrées CV
Les entrées CV suivantes se trouvent sur le panneau arrêté du module :
CV de déliai
Permet de contrôle le temps de début d'un autre module. Vous obtiendaç deailles résultats si vous désacteze la modulation LFO dans le module (intensité de modulation LFO sur zéro). Par exemple, en contrôle le paramètre de début depuis un Matrix, vous pouvez créé des effets « flanger par paliers», synchronisés sur le tempo.
Si you utilisez l'entree CV de delai pour « litre » le son du feedback, notez qu'une valeur de delai plus grande donne une note plus basse.
CV de fréquence.
Permet de contrôle la fréquence du LFO de modulation depuis un autre module.
À propos des connexions stéréo et mono
Il est possible de connecter le CF-101 en utilisant des entrées mono ou stéreo, comme le montrent les graphiques situés sur le panneau arrière. Notez ce qui suit :
Vous ne pouvez obtenir un effet stéréo « en déplacement » que si vous utilisez une entrée mono et des sorties stéréo.
Avec une entrée stéreo, les deux côtés sont traités en parallèle, maintainant ainsi l'image stéreo du son d'origine.
Si vous utilisez une entrée mono et des sorties stéréo, vous n'obtenez qu'un effet stéréo si vous utilisez le LFO interne.
Si vous positionnez l'intensité de modulation LFO sur zéro, les deux sorties stéreo végiculent le même signal (mono). En effet, le « faux » effet stéreo provient de l'inversion de la modulation d'un des canaux de sortie.
Astuce : Utilisation du CF-101 en tant qu'effet de vibrato
Le mode d'envoi est concu pour etre utilise avec le CF-101 lorsque celui sert de depart d'effet. Dans ce mode, le module produira uniquement le signal de retard modulé. Vous obtiendrez le vrai chorus en mixant le signal avec le signal sans effet et non traité dans le mixeur.
Cependant, si vous activez le mode d'envoi pendant l'utilisation du module en tant qu'Insert d'effet, le pitch du son d'origine sera modulé, en d'autres termes, vous obtiendarez un effet de vibrato. Et avec un petit peu de feedback, cela peut creer des effets spéciaux.
Spider Audio Merger & Splitter

Spider Audio Merger & Splitter n'est pas un module d'effet mais un utiliser. Il possede deux fonctions de base.
Fusionner jusqu'à quatre signaux audio d'entrée en une sortie.
Diviser un signal audio d'entrée en quatre sorties.
Aucun bouton ne figure sur le panneau avant de ce module, seulement des indicateurs de signal.
Fusionner l'audio

Le panneau arrête du Spider dispose de plusieurs connecteurs audio. La moitiéGAue du panneau contient quatre connecteurs d'entree audio stereo et a droite, une sortie stereo fusionnee.
Le principe est simple, tous les signaux audio connectés à l'une des quatre entrées seront fusionnés et envoyés en sortie via les connecteurs de sortie.
Si vous connectez un signal mono (à une entrée G/Mono, sans connecter de signal à l'entrée D correspondante), il sortira dans les deux sorties fusionnées. Vous pouvez ainsi fusionner des signaux mono et stéreo librement.
Si vous connectez un signal à l'entrée D uniquement (sans connecter de signal à l'entrée G/Mono correspondante), ce signal sortira sur la sortie D uniquement.
Utilisations pratiques de la fusion de l'audio
Il existe de nombreuses utilisations pratiques de la fusion des signaux audio, comme par exemple :
Traitement de plusieurs signaux audio avec le même Insert d'effet(s).
Vous souhaitez peut'êtretraiter certains canaux d'un mix avec le même compresseur ou utiliser un ECF-42 pour filtrer un groupe d'instruments dans un mix. Vous pouvez également configurer une chaîne d'Inserts d'effets et traiter les signaux fusionnés.
Sous-groupage des signaux
Il peut s'avérer pratique de contrôle plusieurs signaux audio via une bande de canal dans le mixeur.
Utilisation de signaux fusionnés soit comme source porteur ou modulateur pour le BV512 Vocoder.
Voupvez utiliseers pluseurssons en tant que signal porteur ou moduler le porteur avec plusieurs sources de signal.
Division de l'audio
La moitié droite du panneau arrête contient deux diviseurs de signal, étiquetés « A (G) » et « B (D) ». Les deux diviseurs sont indépendants :
Le signal envoyé au connecteur d'entrée sera envoyé en sortie simultanément par les quatre sorties.
Pour diviser les signaux stéréo, vous utilisez les deux diviseurs avec « A » pour la canal de gauche et « B » pour le canal de droite.

Utilisations pratiques de la division de l'audio
Il existe de nombreuses utilisations pratiques de la division des signaux audio. En voici quelques exemple :
Creer des effet « pseudo » stéreo à partir de signaux mono.
Par exemple, vous pouvez router la sortie mono d'un Subtractor vers le Spider puis envoyer deux sorties divisées (depuis la même rangée) à différents effets et à différents canaux de mixeur, dispersés à gauche et à droite.
Vous pouvez ainsi passer instantanément d'une variation du même signal à une autre (ou les mixer).
Cela vous permet d'appliquer des « effets remarqués » à un mixage. Une sortie instrumentale est divisée et envoyée à trois différentes combinaisons de traitement d'Inserts d'effet. Les sorties des trois effets sont routées vers des canaux distincts dans le mixeur, qui ont eux-mêmes différents départ d'effets, eq, etc. Vous obtenez donc trois variations différentes du même signal, qui peuvent facilement être ajoutées ou retirees du mix, entraînant de grandes différences de son, ou combinées pour obtenir dessons superposés impressionnants.
Spider CV Merger & Splitter

Spider CV Merger & Splitter n'est pas un module d'effet mais un utiliser. Il possède deux fonctions de base.
Fournir une sortie CV fusionnée à partir de quatre sources d'entrées CV.
Diviser des entrées CV ou Gate en plusieurs sorties.
Deux entrées sont fournies, A et B, compteant chacune quatre sorties, où l'une des sorties inversera la polarité du signal de contrôle. Les deux entrées divisibles permettent de pouvoir-divider les Gate CV et Note CV, afin de contrôler plusieurs modules instrumentaux avec un Matrix par exemple.
Aucun bouton ne figure sur le panneau avant de ce module, seulement des indicateurs de signal CV. Les quatre indicateurs horizontally s'allument pour indiquer que des signaux sont connectés aux entrées de fusion correspondantes. Les deux indicateurs à droite indiquent que des signaux sont connectés aux entrées de division correspondantes.
Fusion de CV

Le panneau arrêté du Spider dispose de plusieurs connecteurs CV. La moitiéGAue du panneau contient quatre connecteurs d'entree CV/Gate avec des potentiometres associés, et a droite une sortie CV fusionnee.
La sortie CV fusionnée produit un signal CV représentant la somme de toutes les entrées CV connectées.
Quelques remarques :
- Les signaux CV Gate déclenchent les cycles de notes ou d'enveloppés et ils sont normalement routés vers une entrée Gate.
- Les signaux CV contrôlent le pitch des notes et modulent les paramètres et ils sont normalement routés vers CV Note ou Entrées de modulation.
Il n'existe aucune règle stricte, mais les faits mentionnés ci-dessus signifient qu'il est préférible d'utiliser les signaux CV Gate ou les signaux CV mais pas un mélange des deux lors de la fusion car les signaux CV/Gate sont généralement vers différentes destinations d'entrée.
Par exemple, la fusion de Note CV et Gate CV depuis un Matrix n'est pas très logique si vous souhaitez utiliser le Matrix pour dire des patterns mélodiques via les entrées Sequencer Control d'un module instrumental. Vous n'obtiendriez qu'une sortie fusonnée alors que le module instrumental nécessite un signal Gate CV et Note CV distinct pour fonctionner correctement.
Utilisations pratiques de la fusion de CV
Les applications pratiques de la fusion de CV peuvent sembler moins évidentes que pour la division de CV. Mais il existe de nombreuses applications pour une sortie de contrôle CV fusienne. En voici quelques exemple :
Vous pouvez creer des effets de modulation interessants en fusionnant plusieurs sorties de modulation de LFO et autres sources de modulation CV.
Par exemple, la fusion des sorties de modulation depuis plusieurs LFO produit une sortie de « modulation mixée ». Ce signal de sortie fusionné peut être comparé à un « super LFO», capable de générer plusieurs cycles de modulation simultanément, chacun selon une forme d'onde et une fréquence de modulation différentes!En outre, en utilisant le bouton de réglage pour chaque entrée CV, vous contrôle l'intensité de modulation appliquée à chaque LFO.
L'exemple ci-dessus pourrait bien sur inclure des sorties CV de courbe d'un Matrix ou Mod Outs de Malström etc., en d'autres termes n'importe quel sortie de modulation CV.
Utilisation du filtré ECF-42 pour appliquer des effets de filtré contrôlés par une enveloppe.
Vouss pouvez ainsi creer le son d'une percussion « synthetisee » et autres effets intéressants.
Pour ce faire,procédez comme suit :
- Connectez les sorties audio d'un Redrum à un filtré contrôle par une enveloppe ECF-42.
- Connectez les sorties Gate de plusieurs canaux (jusqu'à 4) de batterie Redrum aux entrées fusonnées d'un CV Spider.
- Routez la sortie fusonnée vers l'entrée Gate d'enveloppe sur le ECF-42.
Si vous ajoutez une touche de velocité, les signaux Gate connectés déclenchent l'enveloppe de filtrte ECF-42. Ici également, les potentiamètres sur le Spider vous permettent d'ajuster la quantité d'enveloppe de filtrte appliquée.
Creez un « arpégiateur » en utilisant deux modules Matrix et le Spider CV Merger & Splitter.
En fusionnant la sortie de Note CV d'un Matrix avec un CV de courbe d'un autre Matrix, vous pouvez transposer la pattern de Matrix en temps réel, un peu comme un arpégiateur.
- Crééz un Subtractor et un module de Matrix.
Connectez les sorties Note CV et Gate CV de Matrix respectivement aux entrées CV et Gate du Subtractor Sequencer.
- Programmez une pattern pour le Matrix.
Le texte suivant l'appelle « Matrix 1 »
- Créée à présent un CV Spider et un second module de Matrix et connectez-les comme illustré dans l'image ci-dessous.

Notez que la sortie Note CV de Matrix 1 et la sortie CV de courbe de Matrix 2 doivent être connectées à Spider. La sortie fusonnée est connectée à l'entrée Note CV du Sequencer Control sur le Subtractor.
- Sur le CV Spider, tournez le potentiometre à droite pour l'entrée connectee à la sortie Note CV.
Ce réglage conservevera la relation de pitch correcte pour les notes jouées par la pattern.
- Sur le CV Spider, tournez le potentiemetre sur 32 pour l'entrée connectee à la sortie CV de courbe.
Vousobtiendrezune sortieCVde courbe correspondantàdes demi-tons.

- Reglez le bouton Type de courbe sur « Bipolaire » à l'arrière du second Matrix (Matrix 2).
-
Retournez le rack pour voir les panneaux avant et effectuez les réglages suivants pour le « Matrix 2 »
-
Réglez le nombre de pas sur « 1 »
-
Réglez le bouton Courbe/Notes sur « Courbe »
-
Ajustez la courbe du Matrix 2 pour le pas 1 (l'unique pas utilisé) afin qu'il soit au milieu de la courbe bipolaire, comme le montre l'image.

- Si vous cliquez sur Lecture dans le transport, la pattern que vous avez programmée pour Matrix 1 est lue. En ajustant avec précaution le pas 1 de la courbe de Matrix 2 vers le haut ou vers le bas, la pattern de Matrix 1 est transposée par pas de demi-ton.
En programmant différentes valeurs pour la « pattern » jouée par Matrix 2 et en les enregistrant à différents emplacements de pattern, vous pouvez utiliser les selecteurs de pattern pour transposer la pattern de Matrix 1 en différentes tonalités !
Division de CV

Sur la moitié droite du panneau arrière, vous trouvez deux entrées de division « A » et « B», compteant chacune quatre connecteurs de sortie. Le signal connecté à une entrée de division sera envoyé en sortie par les quatre sorties correspondantes, où une est inversée.
Utilisations pratiques de la division de CV
Il existe de nombreuses utilisations pratiques de la division des signaux CV. En voici quelques exemple :
En connectant les sorties CV Note et CV Gate d'un Matrix à l'entrée de division A et B, vous pouvez connecter le Matrix à plusieurs modules instrumentaux.
Routez les sorties CV et Gate aux entrées CV/Gate correspondantes du Sequencer Control sur les modules instrumentaux. Meme si vous pouze également copier les données de la pattern de Matrix dans plusieurs pistes du séquenceur et router les sorties vers les modules choisis, l'avantage de la division est que lorsque vous modifie les données de la pattern de Matrix, cela se réprecute immédiatement dans tous les modules connectés, sans qu'aucune opération de copier/coller ne soit nécessaire.
La division des sorties de modulation des LFO, des données CV de courbe, etc. vous permet d'appliquer la modulation d'une source à plusieurs paramètres.
En utilisant la sortie inversée, vous pouvez创建工作 des fondus enchaînés de modulation interessants, où une valeur de paramètres est augmentée et l'autre diminuée par exemple.
RV-7 Digital Reverb

Une réverbajoute de l'ambiance et create un effet d'espace. Elle simule habituèlement un environnement acoustique comme dans une piece ou dans un hall, mais il est également possible de l'utiliser comme un effet spécifique.
- Le module Réverb peut être utilisé comme départ d'effet ou comme Insert d'effet.
Si plusieurs modules utilisent le même type de réverb, vous doivent connecter la réverb en tant que départ d'effectifs. Ainfin de préserver la puissance de l'ordinateur.
Paramètres
L'affichage situé à gauche du panneau présente l'algorithm de réverb sélectionné : le type général de réverb. Pour changer d'algorithmme, cliquez sur les flèches. Voici les différentes options disponibles :
| AlGORITHM | Description |
| Hall | Simule un effet assez grand et doux. |
| Grand hall | Simule un hall plus grand avec un temps de retard prononcé. |
| Hall 2 | Réverb de hall avec une attaque plus claire que « Hall ». |
| Grande pièce | Simule une grande pièce avec de fortes réflexions précoces. |
| Pièce moyenne | Simule une pièce de taille moyenne avec des murs semi-rigides. |
| Petite pièce | Pièce plus petite qui convient aux réverbs de type « drum booth ». |
| Gate | Une réverb de type gate brusquement coupée. |
| Faible densité | Réverb faiblement espacé où chaque écho se désigne clairément. Utile pour les cordes et les pads, ainsi que pour un effet spécifique. |
| Échos en stéréo | Un effet d'écho qui se repête en alternance sur chaque sortie stéréo. |
| Pièce pan | Identique aux échos en stéréo, sauf que les attaques des répétitions de l'écho sont douces. |
Pour préserver la puissance de l'ordinateur, utilisez l'algorithmme Faible densité. Il utilise beaucoup moins de puissance que les autres algorithmes.
You pouze modifier l'algorithm de reverb selectionné à l'aide des paramètres de ce panneau de module :
| Paramètre | Description |
| Taille | Règle la taille de la pièce simulée. La position intermédiaire (valeur 0) correspond à la taille par défaut de l'algorithmé sélectionné.La réduction de ce paramètre se traduit par un son plus proche et progressivement plus « étouffé ». L'augmentation de ce paramètre se traduit par un son plus ample avec un temps de retard plus long.Pour les algorithmes « Echos en stéroye » et « Pièce pan », le paramètre Taille règla la durée du déliai. |
| Déclin | Règle la longueur de l'effet réverb. La position intermédiaire correspond au temps de déclin par défaut de l'algorithmé sélectionné.Remarque : Le déclin ne s'applique pas à l'algorithmme « Gate » . |
| Vitesse de génération | L'augmentation de la valeur de vitesse de génération coupe les haute fréquences de la réverb, créé ainsi un effet plus doux et plus chaud. |
| Sans/Avec effet | Si vous utilisez la réverb comme Insert d'effet, utilisez ce paramètre pour régler la balance entre le signal audio non traité (sans effet) et l'effet (avec effet).Si la réverb est utilisée comme départ d'effet, elle doit toujours être réglée sur « Avec effet » uniquement,dans la mesure où vous pouvez régler la balance grâce aux contrôles des départs AUX du mixeur. |
Entrées CV
Yououpouzecontrerle parametreDeclinvia l'entreeCVsituéeau dos du module de réverb.
Le D-11 est un effet de distorsion simple mais efficace capable de tout produit, d'une simple esquisse de distorsion à un thrash enorme. Cet effet est le plus souvent utilisé en tant qu'Insert d'effect.
Paramètres
Voici les paramètres de distorsion :
| Paramètre | Description |
| Intensité | Contrôle la quantité de distorsion. Plus cette valeur est élevé, plus la distorsion est importante. |
| Foldback | Règle le caractère de la distorsion en introduisant un foldback, ce qui complexifie la forme d'onde. La position intermédiaire est la valeur par défaut. Elle générale une distorsion de clipping « plate», qui est la plus fréquence. La réduction de ce paramètre arrêtit et adoucit le son ; l'augmenter rend le son plus aigu et plus strident. |
Entrées CV
Vous trouvrez sur le D-11 une entrée CV qui contrôle le paramètre Quantité. Celle-ci permet d'obtenir des effets plus radicaux, en particulier si vous contrôlez simultanément les paramètres du module instrumental ( comme la fréquence et la résonance du contrôle).
L'ECF-42 est un filtré multimode avec un générateur d'enveloppe intégré. Il est essentiellement conçu pour être utilisé avec des modules de pattern pour creer des effets d'enveloppe et de filtré contrôlés par pattern. On peut également le déclencher via MIDI ou l'utiliser comme filtré « statique » pour modifier le son d'un module instrumental ou d'un mixage complet.
Utilisation
Le filtré controlé par enveloppe fonctionné比较好 lorsqu'il est connecté comme Insert d'effet. Toutefois, contrairement aux autres effets, il ne s'agit pas d'un module totalement « autonome ». Pour tirer le meilleur parti de l'ECF-42, il vous faut une entrée CV/Gate provenant d'un module externe ou de notes MIDI issues d'une piste de séquenceur.
- Si vous connectez un module au ECF-42 uniquement à l'aide d'entrées/sorties audio, il agira comme un simple filtré sans velocité ou modulation d'enveloppe.
En conséquence, tous les paramètres de filtrer sont « statiques », sauf si vous activez manuellement les boutons ou si vous les automatisez dans le séquenceur.
- La connexion d'un signal Gate à l'entrée Gate d'enveloppe sur le panneau arrêté du module permet de déclencher le générateur d'enveloppe du filtre.
Notez que le générateur d'enveloppe ECF-42 n'est pas déclenché par l'audio lui-même : les paramètres d'enveloppe ne font rien tant que le module n'a pas reçu de signaux Gate.
- En créé une piste de séquenceur relié au ECF-42, l'enveloppe peut être déclenchée par les notes MIDI sur la piste.
L'enveloppe est affectee par la position, la longueur et la velocite des notes MIDI (mais pas par leur pitch).
Si you n'etes pas familiarise avec les parametres de filtrer et d'enveloppe de base, reportez-vous à "Envelopppees - Général" au chapitre Subtractor pour une description plus approfondie.
Les paramètres de filtré

La section de filtré ECF-42 contient les paramètres suivants :
| Paramètre | Description |
| Mode | Ce bouton définit le mode de filtre souhaité. Il existe trois modes : passer-bas 24dB/octave, passer-bas 12dB/octave et passer-bande 12dB/octave. |
| Fréq. | Il s'agit de la fréquence de coupure du filtre. Lorsque vous utilisez l'ECF-42 en mode « statique » (sans déclencher l'enveloppe), ce paramètre règle la fréquence du son. Utilisé avec l'enveloppe, le paramètre Fréq. agit comme fréquence de début et de fin du balayage de filtre. |
| Rés. | Il s'agit de la résonance du filtre. En l'augmentant, vous obtenez un effet « synthé » plus prononcé. |
| Intensité env. | Déterminé l'affection de la fréquence de filtre nécessaire lorsque l'enveloppe est déclenchée. Plus cette valeur est élevé, plus l'effet est important. Notez toutes que si le paramètre Fréq, est défini sur une valeur élevée, l'augmentation de l'intensité de l'enveloppe n'a aucun effet au-delà d'une certaine valeur ! En effet, le filtre est déjà complètement ouvert. Dans ce cas, réduisez plutôt le paramètre Fréq. |
| Vélocité | Ce paramètre déterminé dans qu'elle mesure la valeur de véclocité de gate modifier l'intensité de l'enveloppe. |
Paramètres d'enveloppe

Il s'agit d'un générateur d'enveloppe standard avec des paramètres d'attaque, de déclin, de maintain et de relâchement. Il est déclenché par un signal Gate connecté à l'entrée Gate d'env. sur le panneau arrêté, ou par des notes MIDI sur une piste de séquenceur reliée au ECF-42. Voici les fonctionnalités de ces paramètres :
| Paramètre | Description |
| A (Attaque) | Lorsque l'enveloppe se déclenché, il s'agit du temps nécessaire avant que le signal de l'enveloppe atteigne sa valeur maximale. |
| D (Déclin) | Une fois sa valeur maximale atteinte, il s'agit du temps nécessaire pour que le signal de l'enveloppe atteigne le niveau de maintainen. |
| S (Maintien) | Si le gate reste ouvert (ou si la note MIDI est maintainue), le signal d'enveloppe reste à ce niveau. |
| R (Relâchement) | Si le gate est fermé (le CV gate revient à 0) ou si la note MIDI se termine, ce paramètre correspond au temps de relâchement nécessaire pour que le signal de l'enveloppe passé de sa valeur actuelle à sa valeur de départ (définie par le paramètre Fréq.). |
Lindateur Gate sallume des que le module reoit un signal de l'entree Gate denv. situated sur le panneau arrire ou une note MIDI provenant d'une piste du sequencer.
Entrées CV/Gate
Voici les entrées CV/Gate situées sur le panneau arrêté du ECF-42 :
- CV de fréquence.
Permet de contrôle la fréquence de filtrer provenant d'un autre module. Pour une modulation douce du filtrre, connectez un LFO à cette entrée.
CV de déclin
Contrôle le paramètre de déclin de l'enveloppe d'un autre module.
- CV de rés.
Permet de contrôle la résonance du filtré d'un autre module. Très efficace combiné à des balayages de fréquence de filtré.
Env. Gate.
Il s'agit de l'endetroit où vous connectez un signal Gate (provenant par exemple d'un module Matrix ou Redrum) pour déclencher l'enveloppe.
Filtre contrôle par pattern : exemple
Cet exemple montre comment utiliser l'ECF-42 et le Matrix pour creer des effets de filtrtre contrôlés par pattern. Procedez de la façon suivante :
- Commencez par un morceau vide.
- Creez un mixeur.
- Creez un synthétiseur Subtractor.
Un patch d'initialisation est parfait pour ces exemples.
- Creez un ECF-42.
- Créez un séquenceur à pattern Matrix.
Si vous retournez le rack, vous pouvez constater que l'audio qui sort du Substractor passée par l'ECF-42, puis par le mixeur. Le CV de courbe Matrix est relié au paramètre CV de fréquence ECF-42 et le CV Gate Matrix est relié à l'entrée Gate d'enveloppe ECF-42.

- Sélectionnez la piste reliée au Subtractor (en supposant que vous gérez les entrées MIDI via le séquenceur) afin de pouvoir la jour depuis votre clavier.
Si vous jouez quelques notes et que vous activez le bouton de fréquence de filtre ECF-42, vous doivent le son filtré.
- Dessinez une pattern de gate dans le Matrix en utilisant plusieurs valeurs de velocité.
Dessinez uniquement une pattern de gate et non une pattern de courbe. - Positionnez les boutons Velocité et Intensité d'enveloppe sur l'ECF-42 sur « 40 » environ.
- Cliques sur le bouton Exécuter du panneau Matrix.
- En mode Exécution, maintenez enforcé un accord sur votre clavier.
Vou deves maintainant entendre l'enveloppe (controlant le filtre) qui se déclenché a chaque étape de gate.
En augmentant l'intensité de l'enveloppe, vous déterminez dans qu'elle mesure les paramètres de l'enveloppe affectent la fréquence du filtré.
En augmentant le paramètre de velocité, vous déterminez dans qu'elle mesure la velocité du gate affecte la fréquence du filtré.
Si I'effet du filtrre n'est pas très marqué, tentez de réduire la fréquence du filtrre et augmentez la valeur de résonance.
11.Positionnez les boutons Velocité et Intensité de l'enveloppe de l'ECF-42 sur « 0 » environ.
12.Pendant que le Matrix joue always, dessinez une patern de courbe dans la fenetre de pattern Matrix.
Vou dece a present entendre comment la frquence du filtre est modulée par la pattern de courbe. En combinant les differents paramètres, vous pouze creator un grand nombre de nouveaux effets de filtre.
- Vous pouvez également contrôler le ECF-42 depuis d'autres modules avec des sorties CV et/ou Gate.
Déclenchement de l'ECF-42 via MIDI
Pour déclencher l'enveloppe dans l'ECF-42, procédez comme suit :
1. Crééz une piste de séquenceur dans l'ECF-42.
Pour ce faire, la solution la plus simple consiste a selectionner dans le menu contextuel du module « Crer un piste pour XX » (ou XX correspond au nom de ce module de filtrtre précis).
2. Enregistrez ou dessinez des notes sur la piste du séquenceur.
Souvenez-vous que l'enveloppe tient compte de la longueur et de la velocité de la note. Le pitch de la note n'entre pas en jeu.
3. Jouez la piste.
Vou n'entendrez pas really les notes (puisque la piste est connectee au ECF-42, qui ne produit aucun son en soi), mais l'enveloppe sera déclenchée en fonction de ces notes.
Vous pouvez même contrôle l'enveloppe en direct via MIDI : il suffit de définir l'entrée du clavier maître sur la piste du séquenceur pour l'ECF-42 et de jour de votre instrument MIDI !
Pour router l'entrée MIDI vers une piste, cliquez sur l'icone du module dans la liste des pistes, de telle sorte que le cadre de l'entrée du clavier maître l'entoure.
PH-90 Phaser

Le PH-90 Phaser désigne un effet de phaser classique doté de fonctionnalités spéciales pour ajuster le son. Il peut creer dessons phaser de balayage classiques destinés à des pads ou à des guitares, mais aussi des effets plus radicaux si vous le souhaitez. Il vaut moins utiliser le phaser comme Insert d'effet.
Théorie
Un phaser modifie des portions du signal audio provenant de la phase, puis ajoute le signal traité à celui d'origine. Ainsi, les bandes étroites de la plage de fréquences (« notches ») sont filtrées. Lorsque ces fréquences sont ajustées, vous créez un son de phaser balayé.
Le PH-90 est un phaser en quatre étapes, ce qui signifie qu'il existe quatre « notches » dans la courbe de réponse de la fréquence (ce qui revient à utiliser quatre filtres notch avec des fréquences de filtrer différentes ; voir “Notch” au chapitre Subtractor pour plus d'explications sur les filtres notch).
Lorsque vous reglez la fréquence du phaser (manuellement ou via le LFO intégré), ces notches se déplacent en parallele dans le spectre de la fréquence. En outre, vous pouvez régler la distance entre les notches (division) et leur largeur. Si vous ajoutez du feedback, le gain de filtre situé en dessous de chaque notch dans la plage de fréquences s'éleve pour un effet plus prononcé.
Paramètres
| Paramètre | Description |
| Fréquence | Définit la fréquence du premier notch. En réglient ce paramètre, vous déplacez les autres notches en conséquence. Il s'agit du paramètre modulé par le LFO pour créé des balayages de phaser. |
| Division | Règle la distance entre les notches dans la plage de fréquences, modifier ainsi le caractère de l'effet. |
| Largeur | Déterminé la largeur des notches. L'augmentation de la largeur approfondit l'effet tout en rendant le son plus creux et fin. Cela a également un effet sur le caractère du « son » du feedback. |
| Fréquence LFO | C'est la vitesse du LFO qui module le paramètre de fréquence. Plus cette valeur est élevé et plus le balayage du phaser est rapide. |
| Synchronisation du LFO | Ce bouton permet d'activer/de désactiver la synchronisation du LFO. Une fois activée, la fréquence du LFO est synchronisée avec le tempo du morceau selon une des 16 divisions temporelles possibles. Le bouton Fréquence LFO est alors utilisé pour définir la division temporelle souhaitée. Activez ce bouton et observe l'info-bulle pour obtenir une indication de la division temporelle. |
| Modulation de fréquence LFO | Déterminé la profondeur de la modulation LFO, à savoir de combien le paramètre de fréquence doit être modulé. Si vous le positionnez sur zéro, vous obtiendaç un son statique formant (plus efficace si vous ajoutez un peu de feedback). |
| Feedback | Ressemble au contrôle de résonance d'un filtre. L'augmentation du feedback donne un son plus prononcé dans l'effet. Pour des sons de phaser « chantants », augmentez-le au maximum. |
Entrées CV
Les entrées CV suivantes sont disponibles sur le panneau arrêté du module :
- CV de fréquence.
Règle le paramètre de fréquence. Utilisez cet exemple pour créé un phasing contrôle par enveloppe (de préférence avec la modulation de fréquence LFO désactivée dans le module).
- CV de fréquence.
Permet de contrôle la vitesse du LFO de modulation depuis un autre module.
À propos des connexions stéréo et mono
Il est possible de connecter le PH-90 en utilisant des entrées mono ou stéréo, comme le montrent les graphiques situés sur le panneau arrêté. Notez ce qui suit :
- Vous ne pouvez obtenir un effet stéreo « en déplacement » que si vous utilisez une entrée mono et des sorties stéreo.
Avee n e rree stere, les deux cotes sont traités en parallle, manenant ainsi l'image stere du son d'origine.
- Si vous utilisez une entrée mono et des sorties stéreo, vous n'obtenez qu'un effet stéreo si vous utilisez le LFO interne.
Si you positionnez l'intensité de modulation LFO sur zéro, les deux sorties stéreo végiculent le même signal (mono). En effet, le « faux » effet stéreo provient de l'inversion de la modulation d'un des canaux de sortie.
UN-16 Unison

L'UN-16 simule le son de plusieurs voix désaccordées jouant les mêmes notes simultanément. Les voix marquent individuellement un léger délié et sont aussi modulées par de faibles bruits de fréquence. Cela produit un effet de chôeur riche où les voix s'étendent dans tout le champ stéreo (en supposant que vous utilisez des sorties stéreo).
L'UN-16 peut être utilisé comme Insert d'effet ou comme départ d'effet.
Paramètres
| Paramètre | Description |
| Comptage de voix | Ce bouton définit le nombre de voix de l'effet ; 4, 8 ou 16. |
| Désaccordé | Définit àquel point les voix sont déssacccdées. Tournez-le dans le sens des aiguilles d'une montre pour des effets plus prononcés. |
| Sans/Avec effet | Si vous utilisez l'UN-16 comme Insert d'effet, utilisez ce paramètre pour régler la balance entre le signal audio non traité (sans effet) et l'effet (avec effet).Si l'UN-16 est utilisé comme départ d'effet, il doit toujours être régle sur « Avec effet » uniquement, dans la mesure où vous pouvez régler la balance grâce aux contrôles des départs AUX du mixeur. |
Entree CV
Une entrée CV est disponible sur le panneau arrêté du module. Elle contrôle le paramètre Désaccordé.
Le compresseur COMP-01 nivelle l'audio en adoucissant lessons élevés. Pour compenser la perte de volume, le module possède un gain de sortie automatique qui augmente le niveau global de l'intensité appropriée. Les niveaux audio sont ainsi plus réguliers et les sons individuels ont plus de puissance et un maintainen plus long.
Utilisez le COMP-01 comme Insert d'effet soit d'un module instrumental unique, soit d'un mixeur complet (inséré par exemple entre un module de mixeur et l'interface matérielle). Ce module ne s'accompagne d'aucune entrée CV.
Paramètres
| Paramètre | Description |
| Rapport | Définit la quantité de réduction de gain appliquée aux signaux qui dépassent le seuil défini. Cette valeur s'exprime sous forme de rapport, de 1:1 (aucune réduction) à 16:1 (les niveaux au-dessus du seuil sont réduits par un facteur de 16). |
| Seuil | Il s'agit du niveau de seuil au-delà duquel la compression est définie. Les signaux avec des niveaux au-dessus du seuil seront affectés, contrairement aux signaux définis à des niveaux inférieurs. En pratique, cela signifie que plus le seuil est bas, plus l'effet du compresseur est important. |
| Attaque | Contrôle la vitesse à laquelle le compresseur applique son effet lorsque des signaux dépassant le seuil défini. Si vous augmentez cette valeur, la réponse sera plus lente, permettant plus facilement au signal de passer à travers le compresseur sans en être affecté. Habituellement, on l'utilise pour préserver les attaques des sons. |
| Relâchement | Lorsque le volume du signal tombe au-dessous du seuil défini, le relâchement déterminé le laps de temps nécessaire avant que le compresseur laisseisser passer le son sans le modifier. Définissez le relâchement sur des valeurs courtes pour obtenir des effets intenses de « montée en puissance » du compresseur, ou sur des valeurs longues pour obtenir un changement plus doux des dynamiques. |
| Affichage du gain | Indique la quantité de réduction ou d'accroissement de gain (en dB) généraee par la compression et le gain de sortie combinés. |
PEQ-2 Two Band Parametric EQ

Tandis que chaque canal du mixeur ne dispose que d'un simple égaliseur à deux bandes, le PEQ-2 vous offre un contrôle beaucoup plus précis sur la couleur des sons. Ce module est composé de deux égaliseurs indépendants totally paramétriques utilisés le plus souvent comme Insert d'effet, en mono ou en stéreo.
A propos des deux modules EQ
Les deux égaliseurs indépendants sontétiquêtes «A» et«B»
L'égaliser A est always actif (à condition que le module d'effet soit en mode « On » et que le gain soit défié sur une valeur différente de 0).
- Pour activer l'égaliseur B, cliquez sur le bouton situé à proximate des paramètres de l'égaliseur B afin d'allumer la LED.
Si vous n'utilise qu'un seul égaliseur, il est judieux de désactiver l'égaliseur B pour préserver la puissance de l'ordinateur.
Paramètres
Pour les deux égaliseurs (A et B), voici les paramètres disponibles :
| Paramètre | Description |
| Fréquence | Détermine la fréquence centrale de l'égaliser, par exemple à chaque fréquence le niveau doit décroître ou augmenter. La plage se situe entre 31 Hz et 16 kHz. |
| Q | Détermine la largeur de la zone affectée autour de la fréquence centrale définie. Plus la valeur est élevé, plus la plage de fréquences affectées est étroite. |
| Gain | Spécifie de combien le niveau de la plage de fréquences sélectionnée doit être augmenté (valeurs positives) ou réduit (valeurs négatives). La plage de gain est de ±18 dB. |
A propos de l'affichage graphique
L'affichage graphique situé à gauche dans le panneau du module indique la courbe de réponse de la fréquence telle que définie par les paramètres de l'égaliser. Il vous offre un feedback visuel et vous permet d'ajuster ces paramètres.
Entrées CV
Les entrées CV suivantes se trouvent sur le panneau arrêté du module :
- CV de fréquence 1.
Permet de contrôler la fréquence de l'égaliser A depuis un autre module, créé des balayages d'égaliser subtils ou importants, en fonction des paramètres Q et de gain.
- CV de fréquence 2.
Permet de contrôler la fréquence de l'égaliser B de la même manière.

REASON
Chapitre 38
Matrix Pattern
Sequencer
Introduction

Le Matrix désigne un module à pattern. Le Matrix ne génère pas de son par lui-même, mais doit être connecté à un autre module instrumental. Son principe de fonctionnement consiste à envoyer des données de pattern sous la forme de signaux CV de note (pitch) et Gate CV (note on/off et velocité) ou CV de courbe (pour un contrôle général des paramètres CV) à un module ou à un paramètre de module. Les patterns peuvent contérer jusqu'à 32 pas, et il existe 32 emplacements de mémoire pour stocker les données de pattern. Le Matrix est monophonique et peut contrôler une voix dans un module instrumental.
Contrairement à la plupart des autres modules dans Reason, l'interface utilisateur Matrix n'est pas inspirée d'un équivalent matériel. Les appareils qui pouraient avoir des fonctions similaires sont les séquences à pas analogiques, qui ont généralement des rangiées de boutons qui contrôlent la hauteur des notes et les valeurs de Gate pour chaque pas.
À propos des trois types de sortie

Les valeurs de CV de note et Gate CV.
Le Matrix peut produit trois types de sortie : CV de courbe, CV de note (Key) et Gate CV.
- Le CV de note contrôle normalement le pitch de la note.
Une fois connectée à l'entrée Sequence Control d'un module instrumental, les valeurs correspondant à des pas d'un demi-ton. - La sortie CV de Gate représentée une valeur de note on/off, ainsi qu'une valeur de volume (qui peut être liée à la velocité).
Ces deux sorties sont généralement connectées aux entrées Sequencer Control Gate et CV d'un module instrumental compatible. Par exemple, si vous créez un Matrix avec un autre synthétiseur (Subtractor, Malström) ou un sampler (NN-19, NN-XT) sélectionné, elles seront auto-routes de cette façon et contrôleront une voix dans le module.
- La sortie CV de courbe désigne une pattern séparée, programmese séparation des CV de notes et Gate CV.

Les valeurs CV de courbe (fenêtre supérieure).
Elle est utile pour programmer des courbes CV qui contrôleront d'autres paramètres, différents du pitch des notes (bien que vous puissiez le faire également). De cette façon, vous poursriez contrôler le pitch et le déclenchement de notes avec les sorties Note et Gate pour un module, puis ajouter une seconde pattern indépendante utilisant la sortie CV de courbe pour contrôler par exemple la fréquence de coupure du filtré.
Nous pourrions insister sur le fait que ces trois sorties peuvent etre utilisées de bien d'autres facons. Par exemple, vous pourriez utiliser le Gate CV pour déclencher une batterie dans le Redrum ou bien laisser le CV de courbe contrcler le parametre de feedback d'un delai, etc.
Programmation des patterns
Bases de la pattern
Le Matrix contient un séquenceur à pattern intégré. Contrairement au séquenceur principal de Reason, le séquenceur Matrix joue de façon répétée une pattern d'une longueur définie. L'exemple classique dans le « monde réel » (ainsi que dans Reason) est une boîte à rythmes qui joue des patterns de batterie, généralement d'une longueur d'une ou deux mesures.
Avoir la même pattern repétée tout au long d'un morceau peut convenir dans certains cas, mais souvent vous chercherez à avoir des variations. La solution consiste à créé différentes patterns et à programmer des changements de pattern (passage automatique d'une pattern à l'autre) à certains endroits du morceau.
Mode d'intégration du séquenceur à pattern Matrix au séquenceur principal
Le séquenceur à pattern intégré dans le Matrix interagit avec le séquenceur principal de Reason de la façon suivante :
- Le tempo défini dans le panneau de transport est utilisé pour la lecture.
Si la piste Tempo (voir "Enregistrement de l'automation du tempo") est utilisé, le Matrix la suivra. - Si vous lancez la lecture depuis le séquenceur principal (dans le panneau de transport), le Matrix commencerera également de façon automatique (en supposant que le séquenceur à pattern n'est pas désactivé - voir plus bas).
- Vous pouvez rendre muet ou solo les pistes de Matrix dans le séquenceur.
Si le Matrix compte une piste dans le séquenceur et que vous rendez cette piste muette, le Matrix sera automatiquement rendu muet lui aussi. Cela est montré par l'indicateur Muet sur le panneau du module. S'il existe plusieurs bandes de notes dans la piste Matrix, leur état respectif ne sera pas indiqué sur le panneau du module.
Vous pouvez également lancer le Matrix séparément (sans avoir à lancer le séquenceur principal) en cliquant sur le bouton Exécuter du panneau du module.
Cette opération lance le séquenceur intégré dans le module. Pour arrêtier la lecture, cliquez à nouveau sur le bouton Exécuter ou cliquez sur le bouton Stop du panneau de transport.
- Si vous lancez le Matrix séparément et que vous lancez la lecture du séquenceur principal, le module à pattern redémarrera automatiquement en synchronisation avec le séquenceur.
- Les changements de pattern peuvent être contrôlés par une bande de pattern dans le séquenceur principal.
En d'autres termes, vous pouvez enregistrer ou creer des changements de pattern dans le séquenceur principal et les faire apparaitre à la position voulue lors de la lecture.
Selection de patterns
Le Matrix dispose de 32 mémoires de pattern, divisées en quatre banques (A, B, C, D).

Les boutons Banque et Pattern du séquenceur à pattern Matrix.
Pour selectionner une pattern dans la banque actuelle, cliquez sur le bouton Pattern de votrechoix (1-8).
Pour selectionner une pattern dans une autre banque, cliquez sur le bouton de banque de votrechoix (A,B,C, D), puis sur le bouton Pattern.
Rien ne se produit tant que vous ne cliquez pas sur le bouton Pattern.
Les changements de pattern ne prennt effet que lors du premier temps de la mesure suivante (downbeat) en fonction de la signature temporelle définie dans le panneau de transport ou dans la piste de transport.
Le bouton d'activation de pattern

Le bouton d'activation de pattern.
En regard des boutons Banque et Pattern se trouve un autre bouton, qui est normalement activé. Si vous cliquez dessus pour le désactiver, la lecture de pattern est désactivée, en commencerant au premier temps de chaque mesure, exactement comme si vous aviez sélectionné une pattern vide (silencieuse). Par exemple, ce bouton peut être utilisé pour faire apparaitre et disparaitre les patterns de Matrix du mix lors de la lecture.
Pas
Les patterns de Matrix sont constituées d'un nombre de pas distincts. Pour chaque pas, vous pouvez entrair une note, une valeur CV et une valeur de courbe. Lorsque vous exécutez la pattern, chaque pas sera joué à tour de role et jouera un son ou enverra les informations programmées pour ce pas. Si vous avez déjà utilisé une boîte à rythmes, cela vous semblera évident.
Suppression d'une pattern
Pour supprimer (vider) une pattern, selectionnez-la et utilisez la commande Supprimer une pattern dans le menu Édition ou dans le menu contextuel.
! Notez que la suppression de la pattern n'afecte pas la longueur de la pattern, sa résolution ou son réglage de shuffle !
Utilisation des commandes Couper, Copier et Coller
En utilisant les commandes Couper, Copier et Coller du menu Édition ou du menu contextuel du module, vous pouvez déplacer ou dupliquer les patterns. Voici les règles qui régissant l'utilisation de ces fonctions :
Copier une pattern create une copie de la pattern selectionnee et place la copie dans le presse-papiers.
Couper la pattern déplace la pattern SéLECTIONNée dans le presse-papiers.
Cela revient à copier d'abord la pattern et la supprimer ensuite.
Coller la pattern copie la pattern figurant dans le presse-papiers à l'emplacement de pattern du module sélectionné.
Cela écrase la pattern Sélectionnée et la remplace par celle du presse-papiers.
Transfert des patterns entre les morceaux de Reason
Si vous voulez copier des patterns entre différents morceaux de Reason, vous doivent utiliser le copier-coller :
-
Sélectionnez la commande Copier la pattern du menu Édition du menu contextual du module.
-
Ouvrez les deux morceaux.
- Sélectionnéz la pattern que vous pouze copier.
Vouss pouze également maintainir enfoncée la touche [Command] (Mac) ou [Ctrl] (Windows) et appuyer sur [C] pour copier.
- Activez l'autre morceau.
Cette opération s'effectue en cliquant sur la fenêtre du morceau ou en sélectionnant le morceau dans le menu Affichage.
- Sélectionnez l'emplacement de la banque et de la pattern dans lequel vous poulez copier la pattern.
Notez que toute pattern déjà stockée à cet endroit sera écrasé !
- Sélectionnez Coller la pattern dans le menu Édition ou dans le menu contextual du module.
Vou puez également maintainir enfoncée la touche [Command] (Mac) ou [Ctrl] (Windows) et appuyer sur [C] pour copier.
Tutorial
La procédure de programmation du Matrix consiste à entrer des valeurs de note et de Gate dans les champs supérieur et inférieur de la fenêtre de pattern, respectivement. Vous pouvez entrer les valeurs enclinquant ou en faisant glisser dans la fenêtre de pattern. Procedez de la façon suivante :
1. Créez un synthétiseur Subtractor.
Vous ne devez pas utiliser le module Subtractor pour utiliser le Matrix, en fait vous ne devez utiliser aucun module instrumental du tout, mais pour ce tutoriel de base, nous utiliserons un réglage « standard ».
2. Une fois le Subtractor selectionné, créez un séquenceur à pattern Matrix.
Les sorties CV de note et Gate CV du Matrix seront auto-routées vers les entrées CV et Gate du Subtractor Sequencer Control, comme vous pouvez le voir en returnant le rack.

3. Assurez-vous que le bouton situé à gauche de la fenêtre de pattern est réglé sur « Notes »
Comme vous pouvez le voir, il existe deuxrangées de rectangles rouges. Celle compteant des rectangles horizontally en haut du champ inférieur de la fenetre de pattern représenté le pitch des notes pour chaque pas figurant dans une pattern. Pour le moment, elles sont toutes régles sur la même valeur. La rangée de rectangles verticaux dans le champ inférieur représenté des valeurs de velocité de Gate. Elles sont actuellement toutes régées sur une valeur de velocité de 100 pour tous les pas.

- Cliquez dans la grille supérieure de la fenetre de pattern du Matrix.
Une ligne de correspondance s'affiche dans la grille pour vous aider à tracer facilement la note souhaitée. Les rectangles rouges sont quant à eux placés à l'endroit exact où vous cliquez. Vous pouvez maintainir la touche de la souris enforcée pour saisir les valeurs de notes continues.

- Cliques et déplacez dans la zone inférieure de la fenêtre de pattern.
Vou puez creer des bandes verticales de velocite de Gate de differentes hauteurs. Plus la bande est haute, plus la valeur de velocite est elevée.

- Appuyez sur le bouton Lecture du Matrix.
La pattern que vous avez « programmee » dans les etapes precedentes est a present repetee. En haut de la fenetre de pattern, un rectangle rouge indique chaque pas de la pattern.
Si vous cliquez ou faites glisser dans la section de grille supérieure lors de la lecture de la pattern, vous pourrez entendre le changement des pitches de notes.
Le pitch de la note correspond au clavier affiché à gauche de la fenêtre de pattern, dans une octave. Comme mentionné précédément, une ligne de correspondance est visible lorsque vous cliquez ou faites glisser, ce qui vous aide à couver facilement le pitch de la note sur le clavier.
Si vous cliquez ou faites glisser dans la section inférieure de Gate lors de la lecture de la pattern, vous pourrez entendre les changements de timbre et de volume.
Si vous faites glisser certains rectangles verticaux vers le bas jusqu'à les faire disparaître de l'affichage, les pas correspondants de la pattern seront complètement silencieux.
En utilisant le bouton à 5 positions sous le bouton « Notes/Courbe», vous pouvez enter les notes dans les autres plages d'octaves (sur cinq octaves).
Il se peut qu'il n'existe qu'une seule note par pas dans la pattern.

- En utilisant une combinaison des méthodes décrites précédemment, vous pouvez programmer des valeurs de note appropriées pour chaque pas, decide quels pas seront joués et définiir leur velocité avec les valeurs de Gate.
Utilisation des patterns de courbe
Les patterns de courbe désignent des patterns indépendantes pouvant être appliquées séparément aux patterns de notes programmées en mode « Notes ». Si vous basculez le bouton Notes/Courbe à la position « Courbe», les notes, mais pas les pas de Gate, disparaisent de l'affichage et laissent la zone supérieure de la fenêtre vide. Vous pouvez alors commencer à programmer une pattern de courbe. Procedez de la façon suivante :
- Dessinez une courbe, en utilisant la même méthode que celle des notes et des Gates.
Comme you pouze le voir, la pattern de courbe ressemble à de grands pas de Gate verticaux.
Si vous jouez la pattern, rien n'a changé, c'est-à-dire que la pattern sonne exactement comme avant la création de la pattern de courbe.
Cela est dû au fait que la sortie CV de courbe n'a pas été encore connectée à un paramètre.
- Retournez le rack pour voir le panneau arrêté du Matrix.
- Connectez la sortie CV de courbe à l'entrée de modulation de fréquence du filtre 2 sur le Subtractor.
Àpresent,la pattern de courbe contrôle la fréquence du filtré du Subtractor.
Si I'effet n'est pas really visible, essayez d'augmenter le parametre de filtre Q et baissez la frquence du filtrre.
La sortie CV de courbe peut être connectée à toute entrée CV ou de modulation de module.
En réalité, les signaux CV de courbe peuvent également produit des déclenchements Gate (utilisés pour déclencher des samples ou des enveloppées, par exemple).
Un déclenchement Gate se produit pour chaque pas de pattern de courbe qui suit une valeur de « 0 ».
Si vous regardez la figure ci-dessous, les pas 2, 4 et 6 produit un déclenchement, car les pas 1, 3 et 5 sont régles sur zéro, mais ce ne sera pas le cas des autres pas de la pattern.

À propos des courbes unipolaires et bipolaires

Sur le panneau arrirée du Matrix, vous trouvez un bouton vous permettant de désir entre les courbes « unipolaires » et « bipolaires ». La différence est la suivante :
Une courbe unipolaire compte des valeurs commencer par « 0», puis augmentant.
« O » représentée la valeur produit par tous les pas lorsqu'ils sont « vides » (non visibles). Unipolaire désigne le mode par défaut de ce bouton lorsqu'un nouveau Matrix est créé.

Courbe unipolaire
Une courbe bipolaire est divisée par le « milieu », le milieu représentant la valeur de « 0 ».
C'est ce que la courbe reflète. Si aucune courbe n'a été dessinée et que vous passez en mode bipolaire, tous les pas s'étendent du bas jusqu'àu milieu de l'échelle affichée à gauche de la fenêtre de pattern. Ainsi, tous les pas sont à « 0 » et la courbe peut être dessinée à la fois au-dessus et en-dessous du milieu.

Courbe bipolaire
Les courbes bipolaires sont essentielles dans certains cas. Si vous voulez utiliser le Matrix pour contrôle par CV le paramètre panoramicique d'une voie de mixage par exemple, une courbe unipolaire devrait commencer à zéro - qui correspond à la position centrale du panoramicique. Cela signifie que vous ne pourriez utiliser la courbe pour changer le panoramicique que dans une seule direction par rapport à la position centrale. En revanche, une courbe bipolaire aura la valeur zéro au milieu, vous permettant de dessiner des courbes de panoramicique pour les deux directions. Les courbes bipolaires sont également utilisées pour contrôle les paramètres avec des valeurs positives et négatives.
Définition de la longueur de la pattern

Voussoushaiterdefinirla longueur de la pattern, c'est-à-direle nombre de pas que la pattern doit jouer avant de se repeter :
Le bouton fléché « Pas » permet de définir le nombre de pas que la pattern doit jouer.
La plage s'étend de 1 à 32. Vous pouze toujours étendre le nombre de pas ultérieurement, car cela n'ajoutera que des pas vides à la fin de la pattern d'origine. Vous pouze également la raccourcir, mais cela signifiérait (évidemment) que les pas que vous supprimez ne seront plus joués. Les pas que vous supprimez ne sont pas effacés pour autant, si vous reglez le nombre de pas sur le nombre précédent, tout ce qui a été enregistré avant la suppression des pas sera à nouveau joué.
Utilisation des notes liées
Si vous activez le bouton « Lie » à gauche de la fenêtre de pattern, vous pouvez创建工作 des notes plus longues (croches, doubles-croches, etc.). Un moyen rapide de dessiner des notes liées est de Maintenir enforcée la touche [Maj] lorsque vous entrez les valeurs de Gate.

Saisie des valeurs de Gates liées.
Chaque pas complenant une valeur de Gate liée aura une longueur double comparé à un pas normal.
Les pas de Gate liés sont indiqués par le fait qu'ils sont deux fois plus larges dans la fenêtre de pattern.
Si deux notes ou plus de même pitch sont liées ensemble, vous obtiendrez des notes encore plus longues.
Les notes liées sont également essentielles si vous pouvez创建工作 des lignes principales de type « Acid » du synthétiseur TB-303. Voir “Programmation des lignes de style « Acid »”.
Définition de la résolution de la pattern
Un Matrix vous permet de régler le tempo dans le panneau de transport, mais vous pouvez également faire en sorte que le Matrix joue des « résolutions » de tempo différents liées au réglage de tempo.
Shuffle de pattern
Le Shuffle désigne une fonction rhythmique qui donne à la musique une impression de swing plus ou moins prononcée. Elle fonctionne en ajoutant un début à toutes les doubles-croches note entre chaque croche.

Une pattern de doubles- croches régulières (visualisée dans le séquenceur).

La même pattern de doubles-croches après application du shuffle.
In Reason, you could activer ou désactiver le shuffle individuellement pour chaque pattern dans un module de pattern. Cependant, l'importance du shuffle est définie globalement par le contrôle Shuffle global dans le mixeur ReGroove. Le mixeur ReGroove est décrit dans "Le mixeur ReGroove".


Bouton d'activation et de désactivation du shuffle dans le Matrix et le contrôleur de shuffle de pattern dans le panneau de transport.
Pattern muette
Si vous désactivez le bouton « Pattern » au-dessus des boutons de selection de la Pattern, la lecture sera rendue muette, au premier temps de la prochaine mesure (exactement comme si vous aviez selectionné une pattern vide (silencieuse)). Par exemple, ce bouton peut être utilisé pour ajouter ou supprimer différents modules de pattern dans le mix lors de la lecture.
Si vous rendez la piste Matrix muette dans le séquenceur, celle-ci est rendue muette instantanément et l'indicateur Muet s'allume sur le panneau. Notez que toutes les pistes connectées au Matrix doivent être rendues muettes pour que cela fonctionne.
Fonctions de pattern
Lorsqu'un module à pattern est sélectionné, vous trouvez certaines fonctions de pattern spécifique dans le menu édition (et dans le menu contextual du module).
Déplacer la pattern à gauche/à droite
La fonction Déplacer la pattern déplace les notes et les valeurs de Gate correspondantes dans une pattern d'un pas vers la gauche ou vers la droite.
Déplacer la pattern vers le haut/le bas
! Ceson ne modie pas le cv de courbe. Cela est du au fait que les valeurs produites par le cv de courbe ne correspondant pas necessitiesairement a des pas de note d'un demi-ton.
Les fonctions de déplacement de pattern transposent toutes les notes d'une pattern d'un demi-ton supérieur ou inférieur.
Randomiser la pattern
La fonction Randomiser la pattern cree des patterns aléatoires. Celles-ci peuvent souvent constituer des points de départ très pratiques et vous aidar à avoir de nouvelles idées. Des valeurs CV de note, de Gate et de courbe seront alors créées.
Modifier la pattern
La fonction Modifier la pattern modifie des patterns existantes. Notez que la fonction doit pouvoir s'appliquer à quelques chose dans la pattern - son utilisation sur une pattern vide n'a aucun effet.
! Notez que les fonctions Randomiser et Modifier affectent les valeurs CV de Gate, de note et de courbe !
Chainage des patterns
Lorsque you aurez create plusieurs patterns liées, vous voudrez probabilité les faire jouer dans un certain ordre.
Activez simplement l'enregistrement pour la piste dans le Matrix comme destination dans le séquenceur et utilisez les boutons de pattern et de banque pour déterminer l'ordre de lecture lorsque le morceau est joué. Les patterns sont jouées dans leur intégrality avant le changement, vous n'vez pas besoin de vous inquieter outre mesure du « timing » des changements de pattern que vous entrez manuellement. Lorsque vous avez terminé, la piste du séquenceur contiendra les données de changement de patterns. Les patterns seront alors automatiquement modifiées en fonction de l'ordre définis lors de l'enregistrement. Vous trouvez de plus amples informations sur l'enregistrement des changements de patterns au chapitre "Enregistrement de l'automation de pattern".
Pour effectuer cette opération, vous pouvez également editor directement la bande Édition de la pattern dans le séquenceur.
L'edition de la bande de pattern est décrite dans le chapitre Séquenceur.
Conversion des données de patterns en notes dans le séquenceur principal
Vouse potvee cetir les patern de Matix en notes dans le squenceur principal. Cela you permet d'editor librement les notes, de creer des variations ou dutiliser la quantification Groove.
Fonction « Copier la pattern sur la piste »
Cette fonction est utile lorsqu vous avez créé une pattern unique dans le module Matrix et que vous souhaitez convertir les événements de notes individuels sur la piste d'un séquenceur.
! Les patterns de courbes ne peuvent pas etre converties en donnees de sequenceur ! Seules les patterns de notes et les valeurs de Gate seront converties.
Procedez de la façon suivante :
- Réglez les locateurs gauche et droit pour englober la section que vous pouze « replir » avec les notes de la pattern.
Vou devriez you assurer que l'espace entre les locateurs representation un multiple de la longueur de la pattern pour eviter de « couper » la pattern.
- Sélectionnez la piste sur laquelle vous poulez copier les notes.
Vou ne devriez pas copier les notes sur la piste du Matrix, mais sur la piste destinée au module contrôle par le Matrix (puisque le Matrix ne produit aucun son par lui-même). Vous pouvez également copier les notes sur une piste d'instrumentale si vous le souhaitez.
- Sélectionnez le module du Matrix dans le rack et désissez « Copier la pattern sur la piste » dans le menu Édition ou dans le menu contextuel du module.
La pattern est convertie en un clip de notes unique sur la piste avec les valeurs de note et de Gate (velocite). Si l'espace entre les locateurs est supérieur à la longueur de la pattern, cette derniere sera repétée dans le clip pour combler l'espace.
Si vous utilisez la fonction « Copier la pattern sur la piste » avec le Matrix, vous devriez constater ce qui suit :
- Une note sera créé pour chaque pas de pattern avec une valeur de Gate différente de zéro.
Les notes disposseront d'un pitch correspondant à la valeur CV de note pour chaque pas et la velocité dépendra de la valeur de Gate.
! Le CV de courbe ne sera pas copié.
- Vous pourriez pouvoir déconnecter voir supprimer le module Matrix après avoir exécuté cette fonction
si vous ne souhaitez pas que les notes du Matrix et du séquenceur jouent le module simultanément et doublent par conséquent les notes.
- La procédure ci-dessus transforme une seule pattern en notes dans le séquenceur. Si vous ave de changements automatiques de patterns, vous pouvez copier une piste de pattern complète en note, en prénant en compte tous les changements de pattern.
La fonction « Convertir une automation de pattern en notes »
Si vous avez enregistré ou dessiné une automation de pattern sur une piste Matrix, vous pouvez convertir l'ensemble de la piste en notes, et ce, de la façon suivante :
- Sélectionnez la piste avec l'automation de pattern.
- Sélectionnez « Convertir l'automation de pattern en notes » dans le menu Édition ou le menu contextual de la piste.
Pour chaque clip de pattern, la pattern correspondante est convertie en clips de notes sur la piste (en suivant les mêmes règles que pour la fonction « Copier la pattern sur la piste »). La piste est jouée exactement comme lorsque vous avez lu le module à pattern avec les modifications de pattern.
Avres cette opération, la bande de selection de pattern est desactivée.
Le bouton Pattern (Activer) figurant sur le module est automatiquement désactisé.
Lorsque you utilisez cette fonction avec un Matrix, you'vez deplacer les clips de notes vers la piste d'un module instrumental (généralement le module auquel le Matrix est connecté).
Cela est d'au fait que le Matrix ne génère pas de son par lui-même.
Exemples d'utilisation
Comme indiqué précédemment, le Matrix est un module très flexible. Vous trouvez ici quelques exemplés d'utilisation du séquenceur à pattern Matrix.
Utilisation du Matrix pour la modulation
Vouss pouvez effectivement utiliser le Matrix comme source de modulation, un peu comme un LFO. Tout comme les LFO dans les modules instrumentaux de Reason, le Matrix peut générer une modulation synchronisée au tempo, ce qui engende de nombreux avantages. Procedez de la façon suivante :
- Créez un synthétiseur (Subtractor ou Malström).
- Créée un séquenceur à pattern Matrix ou, s'il existe déjà, réglez-le sur une pattern vide.
- Retournez le rack et déconnectez les sorties Gate CV et CV de note.
GateCV/CV de note n'est pas utilisé dans cet exemple.
- Connectez la sortie CV de courbe à l'arrière du Matrix au niveau de l'entrée de modulation «Volume» du synthétiseur.
Ce paramètre est utilisé pour moduler le niveau de sortie (volume) du synthétiseur. La modulation de volume fait généralement liérence au trémolo. Vous pouvez utiliser une courbe unipolaire (voir "À propos des courbes unipolaires et bipolaires") pour cet exemple. - Retournez à nouveau le rack et basculesz l'affichage du Matrix en mode Courbe dans la fenêtre de pattern.
- Dessinez une courbe comme celle indiquée dans la figure ci-dessous.
Si vous utilisez un nombre inférieur ou supérieur à 16 pas ( comme indiqué dans la figure), dessinez simplement la courbe pour qu'elle ressemble plus ou moins à celle de la figure.

- Activez leciesurle panneau de transport.
-
Sélectionnez la piste qui est routée vers le synthétiseur pour que vous faisiez la jour depuis votre clavier MIDI.
-
Activez la lecture depuis le panneau de transport, puis maintenez un accord sur votre clavier.
Voudevriezmaintenantentendrela modulatardu volumeparla patterndecourbe.
10.Toujours en mode de lecture, vous pouvez utiliser le bouton Résolution pour changer la « fréquence » de modulation en fonction du tempo.
Pour chaque pas effectué dans le sens des aiguilles d'une montre, la vitesse de modulation est doublée et vice versa, mais elle sera toujours synchronisée avec le tempo.
Programmation des lignes de style « Acid »
Par lignes de style « acid», nous entendons des patterns qui utilisent une combinaison d'effets de legato et de glissements (ou portamento) pour produit le son hypnotique en « vagues » largement utilisé, produit par le Roland TB-303 original et recreated dans le logiciel de Propellerhead ReBirth. Pour obtenir un résultat proche de ce son classique via Reason, procédez de la façon suivante :
- Crééz un synthétiseur (Subtractor ou Malström).
- Créée un séquenceur à pattern Matrix ou, s'il existe déjà, réglez-le sur une pattern vide.
- Assurez-vous que les sorties CV de note et Gate CV sont connectées aux entrées Sequencer Control CV et Gate du synthétiseur, respectivement.
- Pour le Subtractor, Sélectionnez soit un patch d'initialisation, soit le patch « TB Synth » dans la catégorie Monosynth de la Factory Sound Bank.
Si vous utilisez un patch d'initialisation, il est important d'effectuer les réglages suivants :
- Réglez la polyphonie sur « 1 »
- Basculez en mode « Legato »
- Réglez une valeur de portamento d'environ « 50 »
- Créez une pattern dans le Matrix et laissez-la jouer en continu.
Si la fonction « Liée » (voir “Utilisation des notes liées”) est actuellement sélectionnée, la note sera liée à la suivante et le pitch « glissera » plusieurs jours jusqu'au pitch du pas suivant.
Veuillez notez que la fonction « Liée » devrait être activée sur la note à partir de laquelle vous pouze glisser et non de la note jusqu'à laquelle vous pouze glisser.
Si vous avez plusieurs notes liées, l'une à la suite de l'autre, elles seront jouées comme une seule longue phrase en legato. Cette fonction peut être utilisé pour creer des lignes « ondoyantes » avec des effets de Pitch Bend.
6. Essayez différentes valeurs de note, de lien et de Gate.
Si vous avez déjà utilisé un TB-303 ou ReBirth, vous devriez à partir commencer à comprendre comment vous pouvez créé des pattern dans ce style particulier en utilisant le Matrix avec un synthétiseur.
L'ajout de modules d'effets DDL-1 (délambda) et D-11 (distorsion) rendra le son encore plus proche de celui de « ReBirth», mais vous pouvez également obtenir une plus grande diversité de timbres par le biais d'autres sons et de fonctionnalités de modulation de Reason.
Déclencher des samples
La sortie Gate CV peut être utilisé pour déclencher des samples, soit dans Redrum, soit dans un sampler NN-19 ou NN-XT.
Connectez la sortie Gate CV du Matrix à l'entrée Gate (Sequencer Control) du NN-19/NN-XT ou à l'une des entrées individuelles de canaux Gate de Redrum.
Les valeurs Gate déclenchent à présent le sample à chaque pas avec des valeurs Gate supérieures à « 0 »

REASON
Chapitre 39
Arpégiateur RPG-8
Introduction

Un arpégiateur génére des patterns de notes rythmiques (arpèges) à partir de notes ou d'accords. L'arpégiateur RPG-8 ne génère pas de son de lui-même, mais doit être connecté à un autre module musical, tout comme le Matrix. Il fonctionne en convertissant les données de notes MIDI (entrées dans le RPG-8) en signaux Note CV (pitch) et signaux Gate CV (note on/off et velocité). Ces signaux CV/Gate sont envoyés aux entrées Sequencer Control correspondantes d'un module musical.
En plus des fonctions standard d'un arpégiateur, le RPG-8 est équipé d'un éditeur de pattern de 16 pas pour créé des variations rythmiques.
Le RPG-8 est monophonique et peut contrôler une voix dans un module instrumental connecté.
Utilisation du RPG-8
Configuration
La procédure de base consiste à entrer des données de notes, en live ou enregistrées, au module RPG-8. Ces données de notes sont ensuite envoyées vers un module cible via ses entrées CV/Gate Sequencer Control. La sortie réalisante du module cible peut alors être des arpèges ou simplement une réplique de ce qui est joué sur votre surface de contrôle. Procédez de la façon suivante :
- Crééz un module instrumental, par ex. un Subtractor.
Sélectionnez un patch approprié, de préférence avec un temps d'attaque réduit.
- Une fois le module instrumental sélectionné, créez un arpégiateur RPG-8.
Une piste de séquenceur avec un focus MIDI baptisé « Arp 1 » est créé pour le RPG-8. Les sorties Note et Gate CV du RPG-8 seront alors auto-routées vers les entrées Gate et CV Sequencer Control du module musical, comme vous pouvez le voir si vous returnez le rack. De plus, les sorties CV Roue de modulation et Pitch Bend sont elles aussi auto-routées vers les entrées de modulation correspondantes du module cible.

- Assurez-vous que le bouton Activation de l'arpégiateur (« On ») dans la partie supérieure du panneau est activé.

- Lorsque l'entrée du clavier maître est réglée dans la piste Arp 1 du séquenceur, jouez quelques notes.
Les notes dans les accords que vous jouez sont mises en arpège aussi longtemps que vous maintainez les touches enfoncées. L'arpège sera directement modifié si vous relâchez toutes les notes et jouez une autre note ou un autre accord. Si vous ajoutez des notes en maintenant un accord, l'arpège continues avec les notes ajoutées.

L'affichage montre les notes jouees par la pattern d'arpège, de petites barres indiquant le pitch de chaque pas. L'affichage est mis a jour en temps reel lorsque vous jouez.
L'arpège jouera de façon synchronisée avec le tempo du morceau par défaut dans les nouveaux modules RPG8.
- Vous n'avez pas besoin de lancer une lecture pour générer des arpèges.
Essayez de changer le mode d'arpégiateur en utilisant le bouton Mode.
Les différents modes gèrent la façon dont les notes sont mises en arpège. Par exemple « Vers le haut » signifie de la note la plus grave à la plus aigué, « Vers le haut + bas » de la plus grave à la plus aigué, puis à nouveau à la plus grave. Pour une description de tous les modes, voir “Déplacement de l’octave”.
En activant le bouton Maintien, l'arpège continuera d'être joué même si vous relâchez les touches.
Si vous jouez un nouvel accord, l'arpège continuera d'être joué, en utilisant les nouvelles notes. Pour arrêtier l'arpège, désactiver le bouton Maintien ou appuyez sur Stop dans le transport. Voir "Maintien On/Off".
Les boutons « Insert » peuvent être utilisés pour introduire des variations supplémentaires aux arpèges.
Voir "Boutons Insert".
Si vous modifiez le parametre Fréquence, la fréquence des notes en arpège suivra le tempo du morceau selon la valeur de résolution de note sélectionnée.
Les valeurs de note disponibles sont régulière, pointée ou triolet. L'arpégiateur peut également fonctionner librement, par ex. en étant non synchronisé au tempo - voir "Fréquence".
Le potentiometre Longueur Gate yous permit d'ajuster la longueur des notes de I'arpège.
Si le potentiametre est tourné complètement dans le sens des aiguilles d'une montre (« liée »), la gate sera toujours ouverte (les notes seront jouées legato). S'il est tourné complètement dans le sens inverse des aiguilles d'une montre, la gate est fermée (aucun son). Voir "Boutons Insert".
En utilisant les boutons Octave à côté du potentiamètre Mode, vous pouvez augmenter ou diminuer l'etendue d'octaves de l'arpege.
Si you selectionnez « 1 Oct», les notes de l'arpège seront celles que vous enforcez sur le clavier. Si « 2 Oct» est seLECTIONné, la plage sera étendue de façon à ce que les notes de l'arpège soient jouées sur deux octaves, et ainsi de suite - voir “Boutons d'etendue d'octave”.
Vous pouvez transposer l'arpège d'une octave plus haute ou plus BASSE en utilisant les boutons Déplacement de I'octave.
Voir "Déplacement de l'octave".
En utilisant le potentiometre Velocite, vous pouze definir la valeur de velocite à laquelle sera joue l'arpège (valeur comprise entre 1 et 127) pour toutes les notes. Tourner le potentiometre complètement dans le sens des aiguilles d'une montre jusqu'à la position « Manuel » signifie que les notes de l'arpège utiliseront la même velocite que celle des notes MIDI en entrée.
En utilisant le mode Manuel et en variant la velocité des notes individuelles, l'arpège deviendra plus animé et rythmique. Voir "Velocité".
Cela couvre les principes de base du réglage et de l'utilisation du RPG-8 pour créé des arpèges pour les notes que vous jouez en temps réel. Cependant, pour bénéficier pleinement du RPG-8, voici de nombreuses applications supplémentaires :
Vous pouvez bien entendu enregistrer et modifier les notes que vous entrez.
Vousepuzeeglementtransformerla sortiearpoge «versla piste» pourobtenirun controlecompletparlesecquenceurdotesgencereesparleRPG-8-voir“Transformererlesnotesenarpoge surla piste".
Vous pouvez introduire des pauses pour des arpèges plus rythmiques et plus complexes en utilisant l'éditeur de pattern.
Voir "Fréquence" pour une plus ample description.
Vous pouvez utiliser le RPG-8 comme un convertisseur de MIDI à CV qui vous permet également d'assigner librement des contrôleurs MIDI de performance courants comme une roue de modulation et l'Aftertouch aux paramètres de contrôle - voir "Utiliser le RPG-8 comme convertisseur MIDI vers CV".
Enregistrer des données de notes MIDI pour le RPG-8 - tutoriel simplifié
Les notes que vous envoyez dans l'arpégiateur peuvent être enregistrées et éditiones dans le séquenceur. Cela fonctionne en gros comme lorsque l'on enregistre ouédite normalement, mais avec quelques différences qu'il faut connaître.
Dans cette section nous verrons les principes fondamentaux de l'enregistrement de données MIDI. comme plusieurs fonctions sont décrites plus loin dans ce chapitre (par.ex. l'éditeur de pattern) nous n'aborderont que des concepts simples dans ce tutoriel.
Pour enregistrer les notes que vous jouez dans le the RPG- 8, procedez de la façon suivante :
- Reglez l'entrée du clavier maître sur la piste « Arp »
Assurez-vous que le RPG-8 est connecté au module instrumental cible comme déscrit dans "Configuration".
- Assurez-vous que le bouton « On » de l'arpégiateur est activé.
Si vous jouez un accord, il sera alors accompagné d'un arpège.
- Reglez le RPG-8 pour qu'il joue les arpèges comme vous le souhaitez.
Pour des descriptions précises de tous les paramètres, voir "Paramètres du RPG-8".
-
Notez que si un arpège est joué avant le début de l'enregistrement, les notes qui ont génééré cet arpège ne seront pas enregistrées! Cela est dû au fait que les « note-ons » ont déjà été envoyées avant l'enregistrement - seules les notes que vous entrez après le début de l'enregistrement seront enregistrées.
-
Cliquez sur le bouton Enregistrement dans le séquenceur principal et commencez à jouer.
-
Appuyez sur Stop lorsque vous avez terminé l'enregistrement.
Un clip a ete ajouted a la piste Arp contenant les notes que you aves enregistrées. Si you lisez le clip depuis le debut, l'arpège sera joué comme you l'avoz enregistré.
Si vous passez au mode Édition pour la piste Arp, vous verrez que seules les notes que vous avez entrées dans le RPG-8 ont ete enregistrées - pas les vraies notes de l'arpège générées par le RPG-8 et envoyées dans le module cible.

L'arpège que vous avez « enregistré » est en réalité générale只不过 que lu. La seule différence est qu'à créé l'arpège est général par les notes que vous avez enregistrées sur la piste只不过 que par les notes que vous jouez en live. Ainsi, si vous modifiez un paramètre du RPG-8 comme la fréquence ou le mode, cela modifies l'arpège que vous entendez.
Lorsque you utilisez cette méthode, notez les points suivants :
- Il sera impossible d'editor les notes individuelles générées par l'arpégiateur, uniquement les notes sources que vous jouvez.
Cela peut vous convenir en fonction de la situation. Si vous avez simplement jour de mauvaises notes, vous pouvez facilement les modifier dans le séquenceur comme d'habitude.
- Si vous utilisez Maintien pendant l'enregistrement (ou que vous l'actez durant la lecture) l'arpège jouera aussi longtemps que le séquenceur est en mode Lecture ou jusqu'à ce que Maintien soit désactivé.
Il vaut généralement mistrés desactiver Maintien lors de l'enregistrement.
En fonction de la situation, les limitations ci-dessus peuvent ou non poser problème. Mais il existe une solution efficace et rapide pour tous ces problèmes : la fonction « Transformer les notes en arpège sur la piste » (voir "Transformer les notes en arpège sur la piste").
Utiliser plusieurs bandes
Vouse pouvez enregistrer des données de notes sur plusieurs bandes de la piste du RPG-8 (Arp). Si vous faites cela, toute note superposée sera mélangée et ne jouera pas d'arpège séparé. La piste Arp produit toujours une sortie monophonique quel que soit le nombre de bandes superposées qu'elle contient.
Si vous souhaitez utiliser des arpèges simultanés distincts, chacun contrôlant une voix dans un module,vous devez utiliser la fonction « Notes en arpège sur la piste » (voir "Transformer les notes en arpège sur la piste") pour séparer les bandes dans la piste du module cible.
Générer des arpèges à partir de pistes déjà enregistrées
Le RPG-8 peut également être utilisé pour générer des arpèges à partir de notes copiées/déplacées depuis d'autres pistes :
- Copiez le(s) clip(s) contenant les notes qui doivent générer l'arpège.
Vouss pouze également effectuer un glisser-deposer des clips entre les pistes pour ce faire. - Coller le(s) clip(s) sur la piste « Arp »
- Activez l'arpégiateur et la lecture.
- Si vous pouze seulement entendre l'arpège, rendez muette la piste/bande du séquenceur à partir de laquelle vous avez copié les données source.
Si vous la laissez non muette, vous entendrez à la fois les accords originaux et l'arpège.
Transformer les notes en arpège sur la piste
Cette fonction vous permet de transformer l'arpège généré par le RPG-8 sur la piste du module cible. La sortie de l'arpège - plutôt que les seules notes sources générant l'arpège - apparaitra sous la forme de notes permettant un contrôle complet de l'édition par le séquenceur.
Après cette opération, la piste du module cible aura un clip avec les notes de l'arpège et la piste du RPG-8 devrait être rendue muette pour que les réglages de paramètres de l'arpège ne puissant pas été modifiés - seules les notes réelles peuvent êtreéditées. Vous pouvez bien sur toutes revenir à la piste Arp d'origine, modifier les paramètres de l'arpégiateur et renouveler la transformation à tout moment.
Pour réaliser cette transformation, procedez ainsi :
- Tout d'abord, enregistrez quelques notes dans le séquenceur.
La piste Arp doit être sélectionnée lors de l'enregistrement, comme d'habitude. - Définissez les locateurs gauche et droit à la plage ou à la longueur désirée.
Si la plage définie est plus importante que celle de la ou des pattern(s) de l'arpège, les données sont répetées pour correspondre à la plage. - Sélectionnez la piste du séquenceur à laquelle le RPG-8 est connecté, c.a.d. la piste cible, pas la piste « Arp »
- Sélectionnez le module RPG-8 pour lequel vous souhaitez copier l'arpège/les arpèges dans le rack.
- Sélectionnez « Notes en arpège sur la piste » dans le menu Édition ou le menu contextual du RPG-8.
A present les notes seront créées dans la piste du module cible entre les locateurs gauche et droit, en fonction de l'arpège sélectionné.
- Rendez muette la piste Arp utilisée à l'origine pour générer l'arpège. Si vous activez à présent la lecture depuis le transport, l'arpège sera lu comme des données de notes (le RPG-8 est inactif).
Si vous entrez en mode Édition du séquenceur pour la piste du module cible, vous pouvez éoperator librement les notes de l'arpège.


Les données de performance (par ex. Pitch Bend ou roue de modulation) enregistrées sur la piste Arp ne sont pas comprises dans l'opération « Notes en arpège sur la piste »
Si vous souhaitez dire des données de performance avec l'arpège, vous devez les copier manuellement sur le clip de notes transformé.
Paramètres du RPG-8
Paramètres de conversion MIDI-CV

La section Convertisseur MIDI-CV à gauche contient les paramètres qui affectent la sortie CV du RPG-8, que la section Arpégiateur soit activée ou non. Les paramètres suivants sont disponibles :
Velocité
Le potentiometre Velocité peut etre utilise pour definir une valeur de velocite fixe pour les notes de sortie via les jacks de sortie Gate CV à l'arriere du RPG-8. Si vous reglez le potentiometre Velocite sur une valeur entre « 0 » et « 127 », la sortie Gate CV sera fixe (à la valeur definite) quelle que soit la valeur de velocite des notes MIDI entrantes.
En tournant le potentiemetre complètement à droite, on définit le mode manuel (« Man.», une LED s'allume lorsqu'il est activé). En mode Manuel, les niveaux de velocité sont envoyés via la sortie Gate CV avec la même valeur de velocité qu'en entrée, c'est-à-dire, « ce qui entre, sort ». Il s'agit du mode par défaut des nouveaux modules.
Une entrée « Velocité CV » est également présente à l'arrière. Si elle est connectée à une source de contrôle (une sortie de modulation de LFO par exemple), la sortie sera un mélange entre le réglage de velocité et la modulation CV appliquée par le LFO - voir “Entrées CV”.
Maintien On/Off
Si ce paramètre est activé (bouton allumé), un arpège continue a jour même lorsque vous relâcherez les touches. Il continuera l'arpège des dernières notes jouées jusqu'à la réception d'une nouvelle note-on.
- Si vous continuez de maintainir au moins l'une des dernières touches lorsque Maintien est activé, toute nouvelle note sera ajoutée à l'arpège existant sans relancer un nouvel arpège.
- Si la section Arpégiateur est désactivée, et que la fonction Maintien est activée, il n'y aura pas de note-off pour les notes entrantes jouées (c'est-à-dire que CV Gate reste ouverte).
- Le statut Maintien On/Off répond aux messages de pédale de sustain - Maintien est activé tant que la pédale est pressée.
Déplacement de l'octave
Cela vous permet de transposer la sortie CV de la note du RPG-8 en pas d'octaves. Vous pouvez déplacer l'octave de trois octaves supérieures ou inférieures.
Le déplacement de l'octave peut également être contrôle par CV.
Paramètres de l'arpégiateur

La section du milieu contient les paramètres de l'arpégiateur qui géront la façon dont l'arpège est joué. Les paramètres suivants sont disponibles :
Bouton « On » de l'arpégiateur
Active ou désactive l'arpégiateur.
Bouton Mode
Détermine la direction des notes de l'arpège.
| Mode | Description |
| Haut | Génére un arpège de la note la plus BASSE à la plus haute. |
| Haut+Bas | Les notes sont jouées de la plus BASSE à la plus haute, puis de la plus haute à la plus BASSE. Les notes de l'arpège les plus basses et les plus hautes ne sont pas répétées. En d'autres termes, l'arpégiateur joue la note la plus BASSE venant après la deuxième note la plus haute, puis la note la plus haute venant après la deuxième note la plus BASSE. |
| Bas | Les notes sont jouées de la plus haute à la plus BASSE. |
| Aléatoire | Les notes entrées sont mises en arpège aléatoirement. |
| Manuel | Les notes sont mises en arpège dans le même ordre qu'elle sont jouées en entrée. |
Boutons d'etendue d'octave
Les boutons Octaves you permittent de regler l'etendue d'octave de l'arpège.
Utilisez-les comme suit :
| Étendue d'octave | Description |
| 1 Oct | Les notes de l'arpège seront celles que vous jouez sur le clavier. |
| 2 Oct | Si vous scélectionnez cette option, l'arpège sera étendu à deux octaves, c'est-à-dire que la pattern d'arpège est jouée puis repétée une octave au dessus. En mode aléatoire, les notes que vous entrez sont jouées aléatoriumment sur deux octaves. |
| 3 Oct | A les mêmes fonctions que 2 Oct mais étendues à trois octaves. |
| 4 Oct | A les mêmes fonctions que 2 Oct mais étendues à quatre octaves. |
Boutons Insert
Insert peut être utilisé pour ajouter des variations à l'arpège en répétant certaines notes dans un ordre prédéterminé.
Cela fonctionne de la façon suivante :
| Mode Insert | Description |
| Off | Aucune répétition d'Insert. |
| Inf. | La plus BASSE note est répétée entre chaque seconde note dans l'arpège. |
| Sup. | La plus HAUTE note est répétée entre chaque seconde note dans l'arpège. |
| 3-1 | L'arpège jouera trois notes en avance, puis une en retard puis à nouveau trois en avance etc. |
| 4-2 | L'arpège jouera quatre notes en avance, puis deux en retard puis à nouveau quatre en avance etc. |
Fréquence
Définit la fréquence de l'arpège. Il y a deux modes classiques pour le paramètre Fréquence :
Si Sync est activé, l'arpégiateur jouera de façon synchronisée avec le tempo du séquenceur. En modifiant Fréquence, vous pouvez decide de faire jour l'arpégiateur avec une résolution de tempo différente en relation avec le réglage de tempo.
Les valeurs de notes « régulière », « pointée » ou « triollet » sont disponibles dans les résolutions 1/2 à 1/16. De plus, des résolutions de notes (régulières) 1/32, 1/64 et 1/128 sont également disponibles.
Si le bouton « Disponible » est activé, la fréquence de l'arpège est libre et non synchronisée au tempo.
La fréquence peut être comprise entre 0.1 et 250Hz.
Longueur Gate
Détermine la longueur des notes de l'arpège. La valeur minimale est 0 (Gate fermée - aucune sortie). La valeur maximale est « Liée » significant que la Gate est toujours ouverte. Ce paramètre peut être contrôle via CV.
Répéter une note simple
Definit le comportement de l'arpegiateur lorsque des notes simples ou des lignes monophoniques sont jouees.
Lorsque Repeter une note simple est activé, une note simple redéclenche la Gate, ce qui signifie que la note sera répetée.
Si le réglage d'octave est de 1 Oct, la note sera simplement répétée (si le réglage Longueur Gate n'est pas défini sur « Lée »). Si le réglage d'octave est différent, la note sera répétée selon les réglages Octave, Mode et Insert.
Lorsqu'il est désactivé, les notes simples ne seront pas répétées et le RPG-8 jouera des arpège lorsque l'utilisateur jouera plus d'une note (accord).
Shuffle
Shuffle est une fonction rhytmique qui donne à l'arpège une impression de swing plus ou moins prononcée. Elle fonctionne en ajustant un-delai à toutes les doubles-croches note entre chaque croche.
Dans le the RPG-8 you possvez activer ou désactiver le shuffle en utilisant le bouton correspondant. Cependant, l'intensité du shuffle peut être définie globalement (pour tous les modules qui incluent cette fonction) avec le contrôle du shuffle global du mixeur ReGroove.


Le bouton Shuffle on/off dans le RPG-8 et le contrôle du shuffle global dans le mixeur ReGroove.
L'éditeur de pattern

L'éditeur de pattern vous permet d'introduire des pauses pour les pas d'arpège ce qui permet de produit des résultats plus rythmiques. L'éditeur de pattern dispose de 16 boutons de pas en haut, et un affichage principal en forme de grille où les notes de l'arpège sont représentées sous forme de barresizontales pour chaque pas dans l'arpège. Le pitch des notes de l'arpège est affchéé sur l'axe vertical. Les notes situées dans l'étendue d'octave C-1 à C-7 sont affichées. Les notes ne peuvent pas être éditiones dans cet affichage qui n'est qu'une représentation visuelle de l'arpège.
L'éditeur de pattern est activé avec le bouton « Pattern »
Lorsqu'il est activé, le bouton Pattern et les 16 boutons Pas s'allument.
Lorsque you jouez un accord (ou si vous avez des notes enregistrées, lorsque you lance la lecture) l'arpège jouera selon les paramètres de l'arpège actuels, comme d'habitude.
La seule différence et qu'une pattern sera repétée dans l'affichage de façon à ce que les 16 pas jouent la pattern.

Un accord de trois notes avec Pattern off...

...et avec Pattern on.
Si vous cliquez sur l'un des boutons de pas, il s'estint. Cela signifie que ce pas ajoutera une pause dans la pattern d'arpège.
Notez qu'aucune note de l'arpège n'est « ignoree ». Insérer une pause signifie que le pas sera silencieux et que le pas actif suivant jouera la note suivante dans la pattern d'arpège.
Les boutons « Pas - / + » peuvent être utilisés pour définir le nombre de pas dans l'éditeur de pattern.
Par ex. si vous appuyez sur le bouton « Pas - » quatre fois, les quatre derniers boutons de pas s'eteindront et le cycle de l'éditeur de pattern redémarrera après le douzième pas.
Fonctions de pattern
Lorsque l'éditeur de pattern est activé, vous trouvrez des fonctions de pattern spécifiques dans le menu Édition (et dans le menu contextuel du module). Les voici :
| Fonction | Description |
| Modifier la pattern | Cette fonction modifie les pas de pattern existants. Notez qu'il faut qu'il y ait une pattern sur laquelle se baser - utiliser cette fonction si tous les boutons de pas sont activés (ou désactivés) ne produit aucun effet. |
| Randomiser la pattern | Cette fonction creée des patterns aléatoires. |
| Inverser la pattern | Inverse la pattern, c'est-à-dire que les pas actifs deviennent des pauses et vice versa. |
| Déplacer la pattern à gauche/à droite | Ces fonctions déplacent la pattern un pas à gauche ou à droite. |
Automatisier l'éditeur de pattern
Pour automatiser les boutons de pas du RPG-8, un peu de préparation est nécessaire.
Dans le séquenceur, chaque point d'automation représentée toutes les combinaisons possibles pour le statut on/off de chacun des 16 boutons de pas, le nombre de possibilités devient alors étourdissant (65535 variations sont possibles).
Cela rend difficile le contrôle de l'automation en dessinant des événements dans le séquenceur puisque chaque position représentée une combinaison différente des statuts on/off de tous les boutons.
Vous pouvez bien surl automatiser les boutons manuellement lors de l'enregistrement mais ce n'est pas toujours une bonne solution puisque vous pouvez pouvoir modifier le statut on/off de plusieurs boutons simultanement.
La solution à ces deux problèmes consiste à enregistrer des « instantanés » de l'éditeur de pattern:
- Reglez les boutons comme vous le souhaitez pour le début du morceau, par ex. tous les boutons « on »
Cela correspond à votre « valeur statique » active dés le département. - Faites un cli-croit sur les boutons et selectionnez « Editor l'automation » dans le menu contextuel.
Une bande d'automation de pattern est créé et les boutons de pattern auront un rectangle vert autour d'eux indiquant qu'ils sont automatisés.

- Lancez le séquenceur en mode de lecture et réglez les boutons comme vous le souhaitez (sauf un - voir cédssous) pour la nouvelle combinaison de patterns.
Notez que l'indicateur Écrasement de l'automation dans le transport s'allume, mais cela est tout à fait normal.
Pour enregistrer le statut du bouton, vous devez appuyer sur au moins un bouton après être entrez en mode Enregistrement. Vous devez donc enregistrer un « dernier » bouton sur lequel appuyer durant l'enregistrement pour automatiser l'éditeur de pattern à une combinaison exacte parmi les 16 statuts on/off.
- Entre en mode d'enregistrement et appuyez sur le « dernier » bouton où vous souhaitez voir se l'automation se produit. Continue l'enregistrement aussi longtemps que vous poulez voir jour la pattern, puis cliquez sur Stop.
Un clip a été ajusté dans la bande d'automation de pattern.
- Si vous ouvrez le clip en double-cliquant dessus en mode Arrangement vous pouvez voir que le clip a un point d'automatisation.
Notez que c'est le clip qui gère le département et la durée de l'automation, pas le point lui-même.
Si l'automation instantanée n'est pas à la bonne position temporelle, vous pouvez simplement repositionner le clip pour qu'il commence là où vous souhaitez voir apparaître la modification en utilisant les méthodes habituelles.
Lorsque le clip que vous avez enregistré se termine, les boutons reviennent à la valeur statique que vous avez définitie à l'étape 1.
- En utilisant cette méthode générale, vous pouvez continuer à ajouter d'autres clips dans la bande de pattern, chacun contenant un « instantané » des boutons de l'éditeur de pattern.
Connexions CV

A l'arrière du RPG-8 se trouvent plusieurs connecteurs CV très utiles. Les voici :
Entrées CV
Il y a cinq entrées CV, parmi lesquilles quatre peuvent être utilisées pour contrôler les paramètres du RPG-8 qui ont des contrôleles associés sur le panneau avant. Ces paramètres sont Longueur Gate, Velocité, Fréquence et Déplacement de l'octave.
Si vous utilisez une source externe pour moduler ces parametes, le CV entrant est fusionné aux réglages définis à l'avant du module.
Exemple : La velocité est définie sur 50 à l'avant du panneau. Une Matrix (courbe bi-polaire) qui varie entre +- 20, avec un potentiamètre de voltage régle sur 64 (50 %) est connectée à l'entrée CV Velocité. La velocité résultat variera entre 40 et 60.
En plus des entrées CV ci-dessus se trouve un connecteur « Lancement du déclenchement de l'arpège en entrée ». Cela relance la figure d'arpège au premier pas lorsque cette entrée recoit un déclencheur Gate. Voir “Automatiser l'éditeur de pattern” pour un conseil concernant son utilisation. Si celui chose est connecté à cette entrée, le RPG-8 ne généra pas d'arpège à moins de receivevoir un déclencheur Gate.
Remarque: Si vous moduliez l'arpège en utilisant les jacks d'entrées CV, cela n'affectora pas les notes de l'arpège.

Sorties CV
Les sorties CV suivantes sont disponibles :
Sortie CV (Velocité) transmet une valeur de Gate/velocité qui correspond au paramètre de velocationdéfini. Elle est normalement auto-routee vers l'entrée Gate Sequencer Control d'un module instrumental.
- La sortie Note CV transmet les notes générées par l'arpégiateur (ou si celui-ci est désacté, les notes que vous entrez dans le RPG-8). Elle est normalement auto-routee vers l'entrée CV Sequencer Control d'un module instrumental.
- Les sorties Roue de modulation/Pitch Bend se connectent normalement aux entrées correspondantes du module instrumental contrôle par le RPG-8.
- Les contrôleurs de performance MIDI classiques Aftertouch/Expression/Souffle peuvent etre utilisés pour contrcler tout parametre à l'aide de ces sorties CV.
Lancement du déclenchement de l'arpège en sortie - chaque fois que les figures d'arpège recommend, cette sortie enverra un signal Gate.
Peut etre uisie pour declencher une enveloppe de filtre, d'amplitude ou de modulation dans d'autres modules, par ex.Subtractor. La longueur de cette Gate est la meme que la longueur de la premiere note de l'arpège.
Sortie Gate de la pedale de sustain - la pédale de sustain peut être utilisé pour déclencher des enveloppés dans d'autres modules.
Si vous branchez un cable dans la sortie « Sortie Gate de la pédale de sustain », la connexion normale de la pédale vers le paramètre Maintien est rompue et la fonction de la pédale de sustain est modifiée pour envoyer un signal Gate avec une velocité égale au réglage du potentiamètre Velocité (si le mode Manuel est activé, la velocité sera par défaut de 100).
Trucs et astuces
Utiliser le RPG-8 pour la modulation
Vouss pouvez utiliser le RPG-8 comme source de modulation, un peu comme un LFO. Le RPG-8 peut générer une modulation par pallier qui est à la fois synchronisée au tempo et contrôle par l'entrée de notes. Dans cet exemple et les suivants, nous supposerons qu'un RPG-8 est connecté à un module instrumental.
Le RPG-8 étant sélectionné dans le rack, créez un Spider CV Merger/Splitter.
Les sorties du RPG-8 Note et Gate CV sont auto-routées vers les entrées Spider Split A et B, et les sorties Spider Note et Gate sont connectées au module instrumental ( comme elles l'étaient avant la création du Spider).
Vouaves aient deux sorties additionnelles Note et Gate CV (et une inversee) via le Spider.
Essayez d'utiliser les sorties divisées Note CV pour moduler d'autres paramètres dans le module instrumental, par ex. la fréquence de filtré.
La fréquence du filtre suivraès lors les notes générées par l'arpégiateur.
Voussoupiez bien sur également connecter les sorties Note CV à divers paramétres de n'importe quel module, pas seulement le module connecté au RPG-8.
Vous pouvez connecter les sorties divisées du Spider CV/Gate aux entrées correspondantes Sequencer Control CV d'un autre module instrumental pour que le RPG-8 contrôle deux modules (ou plus). (This can of course also be done by connecting the RPG-8 to a Combinator device.)
Déclencher des arpèges
A l'arrière du panneau se trouve un connecteur CV « Lancement du déclenchement de l'arpège en entrée ». Cela relance la figure d'arpège au premier pas lorsque cette entrée recoit un déclencheur Gate. Vous pouvez l'utiliser de la façon suivante :
Une ou plusieurs sorties Gate de canaux Redrum peuvent réinitialiser la pattern de pas pour créé des patterns rhythmiques synchronisées.
Vous peuvent utiliser le Matrix de la même façon - chaque signal Gate positif relancera la figure d'arpège.
! Notez qu'aucun arpège ne sera generé à moins qu'un déclencheur Gate soit reçu lorsque celui que chose est connecté au connecteur CV « Lancement du déclenchement de l'arpège en entrée »
Déclencher des samples
La sortie Gate CV peut être utilisé pour déclencher des samples, soit dans Redrum ou Kong, soit dans le sampler NN-19 ou NN-XT.
Connectez la sortie Gate CV du RPG-8 à l'entrée Gate (Sequencer Control) d'un NN-19/NN-XT ou à l'une des entrées de canal individuelles Gate de Kong ou Redrum.
Les valeurs Gate déclenchent à prisnt le sample à chaque pas avec des valeurs Gate supérieures à « 0 »
Utiliser le RPG-8 comme convertisseur MIDI vers CV
Vouss pouze également utilise le RPG-8 comme un convertisseur MIDI vers CV autonome sans générer d'arpèges. Dans ce mode (Arpégiateur désacté) vous pouze jour des modules instrumentaux comme si l'entrée MIDI était directement connectée au module cible.
L'avantage principal de ce mode est que vous pouvez utiliser le pitch et la velocité des notes pour contrôler des paramètres, non seulement dans le module cible mais dans n'importe quel module.

REASON
Chapitre 40
Machine d'entrée
ReBirth
(Windows uniqueness)
Introduction

La machine d'entrée ReBirth est un module dédié à la réception audio depuis le logiciel de Propellerhead « ReBirth RB-338 » (version 2.01 ou supérieure). La technologie ReWire (voir "ReWire"), dans laquelle Reason fonctionne en tant que maître et ReBirth en tant que module esclave, rend une telle'utilisation possible. Si ReBirth n'est pas installé sur votre ordinateur, vous ne pouvez pas utiliser ce module. Si vous avez la version Windows de ReBirth sur votre ordinateur, vous pouvez utiliser la machine d'entrée ReBirth dans les cas suivants :
Recevoir en temps réel jusqu'à dix huit canaux depuis ReBirth dans Reason.
Vousspuvezcrier davantage de machines d'entree ReBirth,mais une seule peut etre active a la fois.
Réaliser le sample d'une synchronisation précise de l'audio dans les deux logiciels.
Les deux logiciels peuvent partager la même carte son et tirer avantage des multiples sorties de cette carte.
! Notez que ReBirth est uniquement disponible pour Windows, ce qui signifie que la machine d'entrée ReBirth est uniquement disponible dans les versions Windows de Reason.
Préparatifs
Pour que la machine d'entrée ReBirth puisse fonctionner correctement avec ReBirth, l'ordre de lancement et de fermetre est très important. Procedez de la façon suivante :
Lancement
-
Lorsque ReBirth est lancé, Sélectionnez Reason comme application cible.
-
Lancez Reason.
- Creezune machine d'entree ReBirth.
- Lancez ReBirth.
Si les deux indicateurs « Reason dans le maître Rewire » et « Actif » de la machine d'entrée ReBirth sont allumés, c'est que la procédure de lancement a été correctement effectué et que Reason et ReBirth sont à présent verrouillés et synchronisés.

- Si seul l'indicateur « Actif » est allumé, soit l'ordre de lancement n'a pas été respecté, soit ReBirth n'est pas installé correctement.
- Activate la lecture dans le panneau de transport de Reason.
ReBirth et Reason sont verrouillés en parfaite synchronisation et suivront les commandes de transport de l'un ou de l'autre logiciel.
! Notez qu'il n'y a pas de relation maître/esclave pour les contrôles de transport lorsque vous utilisez ReWire, du fait que chaque module contrôle le transport de l'autre. L'audio, cependant, est envoyé de ReBirth à Reason ; de ce point de vue, Reason est le module maître.
Fermeture
- Fermez d'abord ReBirth.
- Fermez ensuite Reason.
Routage
Lorsque les deux programmes sont synchronisés, vous pouvez router n'importe laquelle des dix huit sorties disponibles dans ReBirth pour séparer les canaux dans un mixeur Reason ou vers l'interface matérielie pour une connexion directe à une sortie physique de votre carte son.
Si vouseturnezle rack,voysverrezune rangée de 18 sorties audio,les sorties G/D Mix etant auto-routees vers.
votremixeur ou l'interface matérielle.
Quel signaux sont aux sorties ?
Mix-G et Mix-D
Il s'agit des sorties Master classiques du ReBirth RB-338. Ce sont les seuls canaux stéreo, tous les autres canaux étant en mono.
Si aucun autre canal n'est utilisé, celui-ci transporte alors tout le son provenant de ReBirth.
Les signaux qui sont activés séparément sont supprimés de ce mix.
Si par exemple la voie de mixage 909 est activée, les sorties Mix-G et Mix-D transportent tout le son du ReBirth RB-338 à l'exception du 909, qui apparaître sur sa propre voie.
Les sorties individuelles sont décrites plus précisé dans le chapitre ReWire du manuel de ReBirth.

REASON
Chapitre 41
Menu s et boites
de dialogue
Cet élément du menu ouvre une boîte de dialogue qui vous informe sur la version du programme et les personnes qui l'ont développé.
Preférences...
Cet élément du menu ouvre la boîte de dialogue Préférences. Voir “Préférences – Général”, “Préférences – Audio”, “Préférences – Claviers et surfaces de contrôle”, “Préférences – Contrôle avancé” et “Préférences - Langue et clavier d'ordinateur” pour plus d'informations sur les fonctions et les réglages de cette boîte de dialogue.
Services
Le menu Reason contient l'objet standard des services Mac OS X. Consultez l'aide Macintosh pour obtenir des descriptions de ces services.
Afficher/masquer
Il s'agit des options standard Afficher/masquer de Mac OS X, qui vous permettent de selectionner ce que vous souhaitez voir.
Quitter Reason
Cette commande vous permet de quitter le programme. S'il existe des documents ouverts avec des modifications non enregistrées, le système vous demande si vous souhaitez enregistrer ces modifications avant de quitter.
Menu Fichier
Nouveau
Lorsque vous sélectionnez cette commande, un nouveau morceau apparait. Le contenu exact de ce morceau est déterminé par vos réglages dans Préférences (voir "Morceau par défaut").
Ouvrir...
Pour ouvrir un morceau, procédez comme suit :
- Déroulez le menu Fichier et Sélectionné Ouvrir.
La fenêtre du navigateur de morceaux Reason apparait.
- Utilisez le navigateur pour localiser le dossier recherché sur votre disque dur ou dans un ReFill.
- Lorsque vous avez trové le fichier du morceau, sélectionnez-le et cliquez sur Ouvrir (ou double-cliquez sur le fichier).
Le morceau apparait dans sa propre fenetre de document.
Si you le souhaitez, you pouze ouvr plusieurs morceaux en meme temps. Cela you permit de copier et coller des clips de notes et d'automation, des pistes, des modules, des et des patches entre les morceaux. Cependant, tous les morceaux ouverts consomment une partie de la memoire et des performances ; il est donc preferable de fermer les morceaux dont vous n'vez pas besoin.
Voir "Ouvrir un morceau" pour plus de détails.
Fermer
Sélectionnez «Fermer » pour fermer la fenêtre active.
Si la fenêtre est une fenêtre de document du morceau et qu'elle contient des modifications non enregistrées, le système vous demande si vous souhaitez enregistrer ces modifications.
Lorsque vous fermez la dernière fenêtre de document du morceau ouverte, vous quittez Reason (sous Windows uniquement).
Enregister
Cette commande enregistre sur le disque le document de morceau actif.
- Si le document de morceau n'a pas encore eté enregistré, la boîte de dialogue « Enregistrer sous » apparait et vous demande d'entrée un nom de fichier et d'indiquer un emplacement sur le disque (voir "Enregistrer sous...").
- Si le document a déjà été enregistré au moins une fois, le document sera simplement enregistré sans aucune question.
Enregister sous...
Cette commande enregistre le document de morceau actif sur le disque. Une boîte de dialogue standard Enregistrer sous apparait et vous demande d'entrée un nom de fichier et d'indiquer un emplacement sur le disque.
- Vous pouvez faire en sorte que les samples ReFill utilisés dans le morceau soient inclus dans le fichier du morceau lui-même en indiquant des réglages autonomomes (voir “À propos des morceaux autonomomes”).
Informations sur le morceau...
Une boîte de dialogue apparaît, vous permettant d'ajouter des informations quant au contact, des commentaires concernant votre morceau, etc.
Voir "Insérer des informations sur le morceau" pour plus d'informations.
Publier un morceau...
Si vous souhaitez rendre vos morceaux disponibles au public, par ex. en téléchargement sur Internet, un format de fichier spécial existe à cette fin. Un morceau publié de Reason (extension de fichier Windows « .rps ») est un peu comme un morceau autonome, mais avec les restrictions suivantes :
- L'utilisateur ne peut enregistrer aucune modification apportée au morceau.
- Les fonctions Copier, Couper et Coller sont désactivées.
- Il est impossible d'utiliser la fonction Exporter le morceau/la boucle en fichier audio si le morceau a ete modifie de quelerque facon que ce soit.
En un mot, les morceaux publiés sont « verrouillés ». Vous pouze les éditer librement, mais vous ne pouze pas enregistrer ni exporter toutes les modifications effectuees. De plus, un morceau publié contient les informations concernant les ReFills requis (le cas échéant).
Pour creer un morceau publié (.rps) :
- Déroulez le menu Fichier puis selectionnez Morceau publié.
- Indiquez un nom et un emplacement pour le morceau publié dans la boite de dialogue du fichier qui apparait, puis cliquez sur Enregister.
- Notez que vous n'avez pas à faire de réglages d'autonomie : tous les fichiers seront automatiquement inclus.
Réglages du morceau autonome...
Si vous que vous souhaitez ouvrir votre morceau sur un autre ordinateur ou l'envoyer à un autre utilisateur Reason, vous doivent également fournir les samples et les fichiers REX utilisés par les modules Reason dans le morceau. Pour rendre cela plus simple, Reason vous permet de créé des morceaux « autonomes ». Un morceau autonome contient non seulement les références aux samples et fichiers REX utilisés, mais également les fichiers eux-mêmes. En sélectionnant les « Réglages du morceau autonome», vous pouvez sélectionner les fichiers à inclure dans votre morceau.
Voir "À propos des morceaux autonomes" pour plus d'informations.
Importer un fichier MIDI...
Reason peut importer des fichiers MIDI standard (SMF). Cela vous permet d'importer des données MIDI dans Reason depuis d'autres applications. En selectionnant « Importer des fichiers MIDI...», vous ouvrez la boîte de dialogue Navigateur de fichiers MIDI, à partir de laquelle vous pouvez selectionner les fichiers MIDI à importer dans des pistes instrumentales de Reason.
Voir "Importation de fichiers MIDI standard" pour plus d'informations.
Exporter un fichier MIDI...
Reason peut exporter des fichiers MIDI standard (SMF). En selectionnant « Exporter des fichiers MIDI...», vous ouvrez la boîte de dialogue Exporter un fichier MIDI, à partir de laquelle vous pouvez exporter toutes les pistes instrumentales et d'automation dans le séquenceur Reason comme fichier MIDI standard (SMF).
Voir "Exportation de fichiers MIDI standard" pour plus d'informations.
Enregistrer le patch de module sous...
Cet élément est disponible pour un module sélectionné qui peut enregistrer des patches. Le nom de l'élement du menu reflète le type de module sélectionné (par exemple, « Enregistrer le patch Combinator sous... »).
Bien que les réglages du module soient stockés dans le morceau, il se peut que vous souhaitiez enregistrer un réglage que vous avez effectué pour un module comme fichier de patch séparé. Cela vous permet d'utiliser le patch dans d'autres morceaux et d'essayer d'autres patches dans votre morceau sans risquer de perdre votre son d'origine.
- Les différents types de fichiers de patch ont des extensions de fichier différentes.
Les voici :
.cmb (fichiers de patch Combinator)
.zyp (fichiers de patch Subtractor)
«.thor » (fichiers de patch Thor)
.xwv (fichiers de patch Malstrom))
. .smp
.sxt (fichiers de patch NN-XT)
.drp (fichiers de patch Redrum)
«.drex » (fichiers de patch Dr. Octo Rex)
«.drum » (fichiers de patch Kong)
«.kong » (fichiers de patch du kit Kong)
.rv7 (fichiers de patch RV7000)
.sm4 (fichiers de patch Scream 4)
- Si vous avez sélectionné un patch, que vous l'avez modifié et que vous pouvez l'enregistrer avec les modifications, vous pouze soit enregistrer une version modifiée et distincte du patch (avec un nouveau nom), soit simplement écraser l'ancien fjichier du patch sur le disque.
Comme d'habitude, il vous sera demandé de confirmer le remplacement du fichier de patch existant.
- Vous pouvez également enregistrer un patch en cliquant sur le bouton en forme de disquette sur le panneau du module.
- Vous peuvent enregistrer un patch sous le même nom et emplacement (sans que la boite de dialogue d'enregistrement n'apparaisse) en maintainant la touche Alt ou Option enfoncée et en cliquant sur le bouton en forme de disquette sur le panneau du module. Notez que cette opération écrase le patch original!
Exporter le morceau/la boucle en tant que fichier audio...
Lorsque you've created un morceau complet, you pouze en efectuer un mixage final dans un fichier audio WAV ou AIFF pour que d'autres personnes puissant le dire (sans utiliser Reason). You pouze exporter le morceau complet ou uniquement la boucle (la section comprise entre l'indicateur gauche et l'indicateur droit dans le séquenceeur).
Voir "Exportation de morceaux ou de parties de morceaux" pour plus d'informations.
Exporter REX en tant que fichier MIDI...
Cet élément est disponible uniquement si un module Dr. Octo Rex est sélectionné dans le rack. Si vous avez chargé un fichier REX dans un module Dr. Octo Rex et que vous souhaitez lui la boucle via MIDI (généralement depuis un autre séquenceur), procédez de la façon suivante :
- Sélectionnez le module Dr. Octo Rex dans le rack.
- Sélectionnez « Exporter REX en tant que fichier MIDI... » dans le menu Fichier.
- Enregistrez le fichier MIDI sur le disque.
- Dans l'autre application, ouvrez le fichier MIDI que vous venez de creator.
- Reglez l'autre application pour qu'elle mise le fichier MIDI sur la sortie MIDI et le canal MIDI appropriés (la sortie et le canal sur lesquels le module Dr. Octo Rex recoit les données).
Quitter (Windows)
Cette commande vous permet de quitter le programme. S'il existe des documents de morceau ouverts avec des modifications non enregistrées, le système vous demande si vous souhaitez enregistrer ces modifications avant de quitter.
Menu Édition
Annuler
Quasiment toutes les actions dans Reason peuvent être annulées. Cela inclut la création, la suppression ou la réorganisation des modules dans le rack, le réglage des valeurs de paramètres, l'enregistrement et l'édition dans le séquenceur et les régages du tempo/de la signature rythmique. Vous pouvez annuler jusqu'à 30 actions.
! Les commandes du transport du séquenceur ne peuvent pas être annulées.
Pour annuler la dernière action, Sélectionnez « Annuler » dans le menu Édition ou maintenez Ctrl ou Cmd enforcé et appuyez sur [Z].
L'action à annuler est indiquée à côté de la commande Annuler dans le menu Édition. Par exemple, si vous dernière action a été de supprimer un ou plusieurs module(s) du rack, le menu Édition affiche « Annuler suppression des modules ».
Voir "Annuler et Rétablit" pour plus d'informations.
Rétabir
Pour rétablit une action annulée (« annuler l'opération d'annulation »), Sélectionnez « Rétablit » dans le menu Édition ou maintenez Ctrl ou Cmd enforcé et appuyez sur [Y].
L'action à rétablit est indiquée à côté de la commande Rétablir dans le menu Édition. Vous pouvez annuler/Rétablier jusqu'à 30 actions.
Voir "Annuler et Rétablit" pour plus d'informations.
Couper/Couper les modules et les pistes
Cette commande prend le ou les élément(s) sélectionné(s), les supprime et les place dans le presse-papier (un emplacement de stockage invisible) depuis lequel ils pourront être collés ultérieurement.
Cette fonction s'applique aux modules et à leurs pistes de séquenceur, clips de séquenceur, notes et points d'automation.
! Si le paramètre « Groupement automatique de modules et de pistes » est sélectionné dans le menu Options, tous les modules du groupe de modules sont coupés - voir «À propos des groupes de modules».
Copier/Copier les modules et les pistes/Copier le patch
Cette commande prend le ou les élément(s) sélectionné(s), les copie et place leur copie dans le presse-papier (un emplacement de stockage invisible) depuis lequel ils pourront être collés ultérieurement.
Cette fonction s'applique aux modules et à leurs pistes de séquenceur, clips de séquenceur, notes, points d'automation et patches de module. Les patches individuels Kong Drum peuvent également être copiés et collés d'un pad sélectionné à un autre.
! Si le paramètre « Groupement automatique de modules et de pistes » est sélectionné dans le menu Options, tous les modules du groupe de modules sont copés - voir “À propos des groupes de modules”.
Coller/Coller les modules et les pistes/Coller le patch
Cette commande prend les éléments que vous avez coupés ou copiés dans le presse-papier et les colle dans le document.
Lorsque you collez une piste de sequencer, son module est collé en meme temps (et vice-versa si le module a une piste).
Les pistes et modules collés sont insérés respectivement sous la piste actuellément Sélectionnée dans la liste des pistes et sous le module sélectionné dans le rack.
! Si le paramètre « Groupement automatique de modules et de pistes » est sélectionné dans le menu Options, tous les modules du groupe de modules sont collés - voir «À propos des groupes de modules».
Si rien n'est seLECTIONné, les éléments collés apparaissent en bas de la liste des pistes ou du rack.
- Si vous copiez et collez plusieurs modules, les connexions qui leslient sont conservées.
Si vous maintainez la touche [Maj] enforcée lorsque vous collez un module, Reason essaie de le router automatiquement.
Par exemple, coller un module instrumental avec [Maj] le connecte à la ou aux première(s) entree(s) libre(s) du module de mixeur se trouvant au-dessus de lui dans le rack.
Vous pouvez également coller le module et la piste dans un autre morceau, y compris toutes les données de séquenceur et les réglages des modules.
Lorsque you collez des clips de sequencer, ils apparaissent a la position du morceau, sur leur(s) piste(s) originale(s).
Si vous avez supprimé les pistes originales ou les avez collées dans un autre document de morceau Reason, le clip est collé à la position du morceau sur la piste sélectionnée (si le type de piste est le même que l'original). Sinon, d'autres pistes sont créées. Si le clip désigne un clip de notes, une nouvelle piste du Combinator est créé.
- Les notes ou points d'automation sont collés à la position du morceau sur la piste sélectionnée (si les types de pistes sont compatibles).
- Les patches individuels Kong Drum peuvent être copiés et collés d'un pad sélectionné à un autre.
Supprimer/Supprimer les modules et les pistes
Cet élément du menu est utilisé pour supprimer les éléments sélectionnés. Si vous supprimez une piste de séquenceur avec cet élément du menu (alors appelé « Supprimer les modules et les pistes »), son module est également supprimé.
! Si le paramètre "Groupement automatique de modules et de pistes" est sélectionné dans le menu Options, une alerte vous demande si vous souhaitez supprimer uniquement le module sélectionné ou tout le groupe de modules - voir "À propos des groupes de modules".
Supprimer les pistes
Supprime la ou les piste(s) de séquenceur actuellément sélectionnées sans supprimer le(s) module(s) du rack correspondant(e/s).
Dupliquer les modules et les pistes
Cette commande duplique le module et la piste sélectionnés, y compris tous les paramètres et enregistements/ événements. Les éléments dupliqués apparaissent respectivement sous le module ou la piste sélectionné.
! Si le paramètre « Groupement automatique de modules et de pistes » est sélectionné dans le menu Options, tous les modules du groupe de modules sont dupliqués - voir «À propos des groupes de modules».
Sélectionner tout/Sélectionner tous les modules/Sélectionner tous les canaux
Cette commande seLECTIONne tous les modules du rack, toutes les pistes de la liste des pistes ou tous les clips ou toutes les notes ou points d'automation dans un clip ouvert. Le résultat dépend de la zone (rack, liste des pistes, etc.) qui est la cible de l'édition. Cela est indiqué par un cadre fin autour d'une zone dans la fenêtre du document.
Pour définir la cible de l'édition, cliquez quelque part à l'intérieur.
Vous pouvez utiliser cet élément du menu pour appliquerrapidement une commande à tous les éléments sur lesquels vous travailliez, par exemple supprimer tous les modules du rack (cliquez sur Sélectionner tous les modules et appuyez sur [Suppr]) ou pour quantifier toutes les notes d'un clip ouvert (cliquez sur Tout sélectionner puis sur le bouton Quantifier de la fenêtre Outils).
Tout sélectionner dans un groupe de modules
Cette commande seLECTIONne tous les modules dans le groupe de modules du module seLECTIONné. Voir "À propos de la seLECTION de tous les modules dans un groupe de modules".
Trier les groupes de modules selectionnés
Vouvelezutiliser cette fonction si vous souhaitez reorganiser des modules, ou pistes de séquenceur conformément à l'ordre de la seLECTION actuelle. Par exemple, si vous souhaitez reorganiser les modules du rack conformément à l'ordre de la piste de séquenceur actuel, vous pouvez selectionner tous les modules du séquenceur puis «Trier les groupes de modules selectionnés » pour réorganiser les modules du rack.Voir "A propos de la fonction «Trier les groupes de modules selectionnés »' pour plus d'exemples.
Router automatique le module
Le routage automatique consiste à router automatiquement les connexions audio et CV/Gate des modules en fonction de règles par défaut. Le routage automatique est généralement effectué lorsque :
- Un nouveau module est créé.
- Des modules sont déplacés, dupliqués ou collés en maintainant la touche [Maj] enforcée.
Cependant, si un module est déjà dans le rack, vous pouvez « forcer » son routage automatique en le sélectionnant puis en sélectionnant cet élément du menu.
Pour plus d'informations concernant les règles de routage automatique, voir "Routage automatique".
Déconnecter un module
Cette commande déconnecte toutes les connexions audio et CV/Gate du ou des module(s) sélectionné(s).
Grouper/Dégrouper
En sélectionnant plusieurs modules dans le rack puis enCHOIsant « Grouper », vous creez un module Combinator contenant les modules selectionnés.
En selectionnant le Combinator (ou un ou plusieurs modules contenus dans un Combinator) puis en cliquant sur « Dégrouper», vous supprimez les modules du Combinator et les remettez dans le rack.
Si tout le Combinator est selectionné, il est supprimé et les modules qu'il contient sont déplacés dans le rack.
Voir "Le Combinator" pour plus de détails.
Initialiser le patch
Il est parfois utile de « partir de zéro » lors de la creation d'un son de synthétiseur, de batterie ou d'un patch de sampler. Cela s'effectue en selectionnant Initialiser le patch dans le menu contextual du module ou dans le menu Édition. Tous les paramètres sont définis sur une valeur « standard ». L'initialisation des modules NN-19, NN-XT, Dr. Octo Rex ou Kong supprime également les samples du module, vous permettant ainsi de partir de zéro.
Couper la pattern
Déplace la pattern actuelle dans le Redrum ou le Matrix sélectionné dans le presse-papier. La pattern est ensuite effacée.
Copier la pattern
Copie la pattern actuelle dans le Redrum ou le Matrix sélectionné dans le presse-papier.
Coller la pattern
Copie la pattern du presse-papier vers l'emplacement de la pattern actuelle dans le module Redrum ou Matrix sélectionné. Cela écrase la pattern actuelle et la remplace par celle du presse-papier. Notez que cela peut être utilisé pour transférer des patterns entre différents morceaux Reason.
Effacer la pattern (Record+Reason)
Cet élément du menu efface (vide) la pattern actuelle du module à pattern (Redrum ou Matrix) sélectionné.
Parcourir les patches de module...
Cet élément du menu vous permet de sélectionner un nouveau patch pour un module. Cet élément du menu reflète quel module est sélectionné - en d'autres termes, vous doivent sélectionner le module pour que l'élement Parcourir les patches apparaissé dans le menu Édition.
Lorsque you selectionne z element du menu, la boite de dialogue du navigateur apparait et you permect de localiser et de selectionner le patch, sur le disque ou dans un ReFill.
Lorsque you selectionnez un patch, les parametes du module sont definis en fonction des valeurs stockées dans le patch et le nom du patch est visible dans l'affichage du nom du patch. Comme pour toute autre modification, cette opération peut etre annulée.
! Les réglages de paramètres que vous effectuez sur le panneau du module après avoir sélectionné un patch n' affecte pas le fichier de patch lui-même (pour cela, vous veez de nouveau enregistrer le patch).
- Si les samples de références manquent
Les patches pour les modules Redrum, Combinator (si un module de samples fait partie du Combi), NN-19, NN-XT Kong et Dr. Octo Rex contiennent des références à des samples. Tout comme les patches, les samples peuvent être des fichiers indépendants sur le disque dur ou des éléments d'un ReFill ou d'un SoundFont. Cependant, si les fichiers de sample ont été déplacés ou renommés après l'enregistrement d'un patch, les références au fichier de sample dans le patch ne sont plus correctes.
Si tel est le cas lorsque vous seLECTIONnez un patch, le programme vous l'indiquera. Vous pouze alors désirait soit de localiser manuellement les fichiers manquants, soit de laisser le programme les searcher dans tous les emplacements et ReFills stockés, soit de continuer sans lessons manquants.
Parcourir les bocles...
Cet élément du menu est utilisé pour ajouter une boucle au module Dr. Octo Rex sélectionné. Les fichiers peuvent être importés au format REX, RCY ou RX2.
Le chargement d'un nouveau fichier REX remplace tout autre fichier actuellément chargé à l'emplacement de boucle sélectionné.
Parcourir les samples...
Cet élément du menu vous permet de charger des samples dans les modules qui les utilisent : Redrum, NN-19 et NN-XT. Les fichiers de sample peuvent être chargés aux formats suivants :
Wave (.wav)
Il s'agit du format audio standard de la plateforme PC.
- AIFF (.aif)
Il s'agit du format audio standard de la plateforme Mac.
- Samples SoundFont (.sf2)
Il s'agit d'un format standard ouvert pour l'audio synthetisée à tables d'ondes, développé par E-mu Systems et Creative Technologies.
- Slices de fichiers REX (.rx2, .rex, .rcy)
Les fichiers REX sont des bocles musicales créées dans le programme ReCycle. Ce programme « découpe » des bocles en plusieurs samples. Ces samples - ou slices - peuvent être chargées dans les modules mentionnés.
Redrum :
Pour utiliser cet élément du menu afin de charger un nouveau son de batterie dans Redrum, procédez de la manière suivante :
- Sélectionnez un canal de la boîte à rythme, en cliquant sur son bouton Sélectionner.
- Sélectionnez Parcourir les samples.
Le navigateur de sample Redrum s'ouvre.
- Allez à un emplacement contenant n'importe quel format de sample indiqué ci-dessus, sélectionnez-en un et cliquez sur Ouvrir.
NN19:
Cet élément du menu peut également être utilisé pour ajouter un sample à une zone de clavier dans l'assignation de touches du sampler NN19.
- Sélectionnez une zone de clavier.
Elle peut être vide ou partager un sample - cela n'a pas d'importance pour le moment.
- Utilisez le navigateur pour ajouter un ou plusieurs sample(s) (voir ci-dessus).
Les actions suivantes ont lieu :
Si la zone contenait un sample avant le chargement, il est remplaced à la fois dans la zone et dans la mémoire de sample, à moins que le sample soit également utilisé dans une autre zone de clayier.
Si vous avez chargé plusieurs samples, l'un des samples (le dernier sample seLECTIONné dans la liste du navigateur) est chargé dans la zone de clavier et les autres samples sont chargés dans la mémoire de sample
NN-XT:
Cet élément du menu est utilisé pour ajouter un ou plusieurs sample(s) à une zone de clavier dans NN-XT :
- Assurez-vous que le panneau Remote Editor est déplié enclinquant sur la petite flèche dans le coin inférieur gauche.
Si le panneau Remote Editor est replié, vous ne pourrez parcourir que des patches NN-XT.
- Utilisez le navigateur de samples pour ajouter un ou plusieurs sample(s).
Le samples sera placé dans des zones séparées et assigné dans la même zone de jeu.
Si une zone est selectionnée lorsque vous parcourez les samples, le sample est chargé dans cette zone, remplaçant le sample précédent.
Le remplacement des samples de cette façon est possible uniquement si vous ne chargez qu'un seul sample.
Affecter les samples
Cet élément du menu s'applique au sampler NN19. Si vous disposez de plusieurs samples qui vont Ensemble mais qui ne sont pas affectés à des zones de clavier, vous pouvez utiliser la fonction « Affector les samples automatiquement ». Elle s'utilise de la façon suivante :
- Sélectionnez tous les samples qui vontienne et chargez-les en une seule fois en utilisant le navigateur des samples.
L'un des samples est chargé dans une zone de clavier recouvrant toute la plage et les autres sont placés dans la mémoire de sample.
- Sélectionnez Affecter les samples automatique dans le menu Édition.
Àpresent,les samplesse trouvant en mémoire sont automatiquement organises,de façon à ce que:
- Chaque sample soit place correctement en fonction de sa note fondamentale et soit accordé en fonction de l'information du fichier de sample.
La plupart des programmes d'edition audio peuvent enregistrer l'information de note fondamentale dans le fichier. - Chaque sample occupe la moitié de l'étendue de note jusqu'à la note fondamentale du prochain sample.
La note fondamentale est toujours au milieu de chaque zone, la zone s'étendant de chaque côte (vers le haut et vers le bas) en relation avec la position fondamentale. De ce fait, aucune limite supérieure ou inférieure de zone de clavier n'a besoin d'être définie manuellement!
Affectation de samples sans note fondamentale ni information concernant l'accordage :
Certsains samples ne disposent pas d'informations concernant la note fondamentale ou l'accordage stocké(e) dans leur fichier (ni indiqué(e) dans le nom du fichier). Si tel est le cas, vous pouvez toujours utiliser la fonction Afferter automatiquement :
- Sélectionnez tous les samples qui vontienne et chargez-les en une seule fois en utilisant le navigateur de samples.
L'un des samples est chargé dans une zone de clavier recouvrant toute la plage et les autres sont placés dans la mémoire de sample. - Définissez manuellement la note fondamentale et ajustez la molette de réglage si le sample a besoin d'un accordage plus précis.
Si aucune information n'est stockée dans le fichier ou si le nom du fichier n'indique pas la note fondamentale, vous devrez faire cet accordage à l'oreille. Jouez le sample à travers diverses zones du clavier et déterminez l'endroit où ilSONNELE plus « naturel »Tant que vous estes dans le zone generale de la note fondamentale correcte,le résultat doit convenir. Vous pourrez always corriger cet accordage ulterieurement. - Sélectionnez le sample suivant en utilisant le potentiomètre Sample et repêtez l'étape précédente.
Procedez de la sorte jusqu'à ce que vous ayez défini la note fondamentale pour tous les samples. - Sélectionnez « Affector les samples automatiquement » dans le menu Édition.
Les samples sont automatiquement affectés selon leurs positions de note fondamentale définies !
Supprimer le sample/Supprimer le sample
Redrum :
Pour supprimer un sample d'une boite à rythme Redrum, Sélectionnez son canal de son de batterie puis sélectionnez « Supprimer le sample » dans le menu Édition.
Le sample est supprimé du canal de son de batterie et de la mémoire de sample.
NN19:
Pour supprimer un sample de la mémoire d'un sampler NN19, Sélectionnez la zone à laquelle il apparait et sélectionné « Supprimer le sample » dans le menu Édition.
Le sample est supprimé de la zone et de la mémoire de sample.
NN-XT:
Pour supprimer un sample de la mémoire d'un sampler NN-XT, Sélectionnez la zone à laquelle il appartient et Sélectionnez « Supprimer les samples » dans le menu Édition.
Le sample est supprimé de la zone et de la mémoire de sample. Cependant, la zone ne disparait pas. Pour supprimer une zone, vous doivent utiliser l'option « Supprimer les zones »
Supprimer les samples inutilisés
Cet élément du menu est utilisé pour le sampler NN19. Lorsque vous le scélectionnez, tous les samples qui ne sont pas affectés à une zone de clavier sont supprimés de la mémoire de sample.
De cette façon, vous pouvez vous assurer de ne pas gaspiller de mémoire de sample pour des samples dont vous ne vous servez pas.
Diviser la zone de clavier
Cet élément du menu est utilisé pour le sampler NN19. Il divise la zone de clavier actuellement sélectionnée au milieu. La nouvelle zone est la moitié supérieure de la division et elle est vide. Le point de division a une « poignée » au-dessus.
Supprimer la zone de clavier
Cet élément du menu est utilisé pour le sampler NN-9. Il supprime la zone de clavier actuellement sélectionnée de l'assignation de touches.
Recharger les samples
Cet élément du menu est utilisé avec le sampler NN-XT. Lorsque vous le sélectionnez, toutes les modifications que vous avez effectuees sur un sample charged en utilisant les parametes de sample (note fondamentale, réglages de boucle, etc.) sont immédiatement annulées et les réglages retrouvent leur valeur d'origine.
Ajouter une zone
Cet élément du menu est utilisé avec le sampler NN-XT. Il est utilisé pour ajouter une zone vide à l'assignation de touches. Il est possible de modifier, déplacer ou éoperator la taille d'une zone vide de la même façon que pour les zones contenant des samples.
Une zone vide est indiquée par le texte « Aucun sample ». ÀpRES avoir ajouté une zone vide, vous pouvez y affecter un sample.
Copier des zones
Cet élément du menu est utilisé avec le sampler NN-XT. Il copie la ou les zone(s) séLECTIONnée(s) et tous les réglages - y compris les références à tout sample éventuellesment contenu - et la (les) place dans le presse-papier. Vous pouvez ensuite sélectionner « Coller les zones » pour créé une nouvelle zone qui est la réplique exacte de la ou des zones copié(e)(s). Notez qu'il est également possible de copier/coller des zones entre modules NT-XT distincts.
Coller des zones
Cet élément du menu est utilisé avec le sampler NN-XT. Si vous avez utilisé la commande « Copier les zones », avec un certain nombre de zones séLECTIONnées, vous pouze créé des doubles exacts de ces zones en utilisant la commande « Coller les zones ». Les zones collées sont ensuite ajoutées sous toutes les zones existantes dans l'assignation de touches.
Dupliquer les zones
Cet élément du menu est utilisé avec le sampler NN-XT. Il vous permet de dupliquer autant de zones déjà existantes que souhaité (contenant des samples ou vides).
- Sélectionnez la ou les zone(s) que vous poulez copier.
- Sélectionnez « Dupliquer les zones »
Les zones selectionnées sont alors copiees et automatiquement insérées sous la dernière zone dans l'affichage de l'affection de touches.
Les zones dupliquées contiennent des références aux mêmes samples que les zones originales. Elles ont également les mêmes tessitures et réglages de paramètres.
Supprimer les zones
Cet élément du menu est utilisé avec le sampler NN-XT. Cette option supprime à la fois les zones sélectionnées et tous les samples qu'elles peuvent contir.
Selectionner toutes les zones
Cet élément du menu est utilisé avec le sampler NN-XT. Cette option sélectionne automatiquement toutes les zones de l'assignation de touches.
Copier les paramètres vers les zones sélectionnées
Cet élément du menu est utilisé avec le sampler NN-XT. Il vous permet de copier facilement les réglages de paramètres depuis une zone vers une ou plusieurs autres. Procedez de la façon suivante :
- Sélectionnez toutes les zones que vous poulez intégrer à l'opération,
c'est-à-dire la zone avec les réglages que vous poulez copier et la ou les zone(s) vers lesquelles vous poulez copier ces réglages.
- Assurez-vous, en cliquant dessus, que la zone qui contient les réglages que vous pouze copier est la cible d'édition.
La cible est indiquée par une cordure épaisse.
- Sélectionnez « Copier les paramètres vers les zones sélectionnées »
Toutes les zones sélectionnées ont à prisnt les mêmes réglages de paramètres.
! Remarquez queILA ne s'applique qu'aux parametes de synthetiseur (LFO, enveloppes, etc.). Les parametes de sample (note fondamentale, plaque de velocite, etc.) ne peuvent pas etre copies.
Trier les zones par note
Cet élément du menu est utilisé avec le sampler NN-XT. Cette option vous permet de trier automatiquement les zones sélectionnées dans un groupe en ordre décroissant en fonction de leur tessiture. Lorsque vous utilisez cette option, les zones sélectionnées sont triées de haut en bas dans l'affichage, en commençant par celle qui a la tessiture la plus BASSE. Si deux zones ou plus ont la même tessiture, elles seront alors triées en fonction de leur plage de velocité.
Trier les zones par velocité
Cet élément du menu est utilisé avec le sampler NN-XT. Cette option vous permet de trier automatiquement les zones sélectionnées dans un groupe en ordre décroissant en fonction de leur valeur supérieure ou inférieure de velocité.
Lorsque you utilisez cette option, les zones selectionnées sont triées de haut en bas, en commençant par celle qui a la plus haute valeur « Lo Vel » (velocité inférieure).
Si deux zones ou plus ont la même plage de velocité, elles sont alors triées en fonction de leur tessiture.
Grouper les zones sélectionnées
Cet élément du menu est utilisé avec le sampler NN-XT. Il vous permet de placer plusieurs zones sélectionnées ensemble dans un groupe.
Le groupement des zones est pratique pour deux raisons :
→ Cela vous permet de sélectionner rapidement plusieurs zones qui « vont Ensemble »
Par exemple, si vous avez créé un son superposé constitué de piano et de cordes, vous pouzemettre tous les samples de cordes dans un groupe et tous les samples de piano dans un autre groupe. Vous pouze ensuite sélectionner tous les samples de piano et effectuer des réglages en ajustant un paramètre.
→ Cela vous permet de groupe des zones qui doivent partager les mêmes réglages de groupe.
Par exemple, vous pouvez définir un groupe pour le legato et le mode monophonique et ajouter du portamento pour pouvoir jouer une partie dans laquelle vous glissez entre les notes.
Procedez de la façon suivante :
- Sélectionnez les zones que vous voulez grouper.
Il n'est pas nécessaire que les zones soient contiguës pour pouvoir être groupées. Quelle que soit leur position d'origine dans la colonne des samples, elles sont toutes réunies les unes à la suite des autres.
- Sélectionnez « Grouper les zones sélectionnées »
Les zones sont groupées.
Notez qu'il y a toujours au moins un groupe, puisque les zones que vous creez sont toujours groupées ensemble par défaut.
Définir les notes fondamentales à partir de la détction de pitch
Cet élément du menu est utilisé avec le sampler NN-XT. Tous lessons des instruments ont un pitch inherent.
Lorsque you jouez un sample d'un tel son sur le clavier, les notes que you jouez doivent correspondre à ce pitch.
Par exemple, vous pouvez enregistrer un piano jouant la note « C3 ». Lorsque vous l'associez à l'assignation de touches NN-XT, vous devez effectuer les réglages pour que le sample lise le sample à son pitch original lorsque vous appuyez sur la touche C3. Cela est effectué en ajustant la note fondamentale.
Le NN-XT intègre une fonction de détention du pitch pour vous aider à définir les notes fondamentales des samples charges. Cela est utile si vous chargez par exemple un sample que vous n'avoz pas enregistré vous-même et pour lequel vous n'avez aucune information sur le pitch d'origine.
Procedez de la façon suivante :
- Sélectionnez toutes les zones auxquelles vous souhaitez appliquer la détction de pitch.
- Sélectionnez « Définir les notes fondamentales avec la détéction de pitch »
Les samples de toutes les zones sélectionnées sont alors analysés et les notes fondamentales détectées sont automatiquement définies.
! Notez que pour que cela fonctionne correctement, les samples doivent avoir une forme de pitch perceptible.
S'il s'agit du sample d'un discours ou d'une caisse claire par exemple, il n'y a probablement pas de pitch perceptible.
Afferter automatiquement les zones
Cet élément du menu est utilisé avec le sampler NN-XT. La fonction d'aftection automatique peut être utilisée pour creer rapidement une affectation de touches ou pour effectuer d'autres réglages sur une affectation de touches.
L'affection automatique fonctionne dans l'hypothèse où vous souhaitez créé une affectation de touches pour un instrument complet, par exemple plusieurs samples d'un piano, tous à des pitches différents.
- Chargez les samples que vous souhaitez affecter automatiquement.
You avez alors trois options :
Considerer que l'information de note fondamentale des fichiers est déjà correcte.
Ajuster manuelles le notes fondamentales (et la tonalité) pour tous les samples.
Utilize « Définir les notes fondamentales à partir de la détéction de hauteur » pour définir automatiquement les notes fondamentales.
- Sélectionnez toutes les zones que vous souhaitez affecter automatiquement.
- Sélectionnez Affector automatiquement les zones.
Toutes les zones sélectionnées sont alors automatiquement organisées de la façon suivante :
Les zones sont triées dans l'affichage (de haut en bas - en commencerant par la note la plus BAS) en fonction des notes fondamentales.
Des tessitures sont affectées aux zones en fonction des notes fondamentales.
Les tessitures sont définies de telle sorte que la division entre deux zones soit l'exact milieu entre les notes fondamentales de ces zones. Si deux zones ont la même note fondamentale, elles se voient affecter la même tessiture.
Afferter automatique les zones de maniere chromatique
Cet élément du menu est utilisé avec le sampler NN-XT. Il affecte chromatiquement les zones sélectionnées (une zone par demi-ton) en commençant par C2 et en montant. Cela est pratique si vous affectez des éléments sans pitch (par exemple des samples de batterie ou de percussion) et que vous poulez dispose d'un sample par note. Avant de selectionner Afferter automatiquement les zones chromatiquement, vous doivent ajuster l'ordre des zones car cela déterminée qu'elle zone est affectée à chaque touche.
Créer des fondus de velocité
Cet élément du menu est utilisé avec le sampler NN-XT. Il est utilisé pour régler automatiquement des fondus de velocité pour des transitions douces entre des zones superposées. Pour configurer les fondus, ajustez les valeurs de fondu en sortie et de fondu en entrée pour les zones superposées.
Example :
Deux zones sont definies pour jouer sur l'ensemble de la plage de velocité de 1-127.
La zone 1 a une valeur de fondu en sortie de 40.
Cela signifie que cette zone est jouée à son niveau maximal avec des valeurs de velocité inférieures à 40. Avec des valeurs de velocité supérieures, elle est progressivement fondue en sortie.
La zone 2 a une valeur de fondu en entrée de 80.
Cela signifie que lorsque vous jouez des valeurs de velocité jusqu'à 80, cette zone est progressivement fondue en entrée. Avec des valeurs supérieures à 80, elle est jouée à son niveau maximal.
Plutôt que de régler manuellement un fondu, vous pouvez laisser NN-XT le faire à votre place. Procedez de la façon suivante :
- Définissez les zones pour que les plages de velocité soient superposées comme vous le souhaitez.
- Sélectionnez les zones.
Vou puez selectionner autant de zones que you le souhaitez, pas seulement deux zones superposées.
- Sélectionnez « Créer des fondus de velocité »
NN-XT analyse les zones superposées et définit automatiquement les valeurs de fondu en entrée et en sortie qu'il estime appropriées pour ces zones.
Tenez compte des points suivants :
Cette opération ne fonctionne pas si les deux zones ont des plages de velocité complètes.
Au moins l'une des zones doit avoir une plage de velocité partielle (voir "À propos des plages de velocité complètes et partielles").
Cette opération ne fonctionne pas si les zones sont complètement superposées.
Copier la boucle sur la piste
Cet élément du menu est utilisé pour le module lecteur de boucle Dr. Octo Rex. Pour que votre boucle REX puisse démarrer en même temps que d'autres données de séquenceur ou de pattern, vous doivent « convertir » les slices de la boucle en clips de notes dans le séquenceur :
- Sélectionnez la piste du séquenceur pour le module Dr.Rex.
- Définissez les indicateurs pour qu'ils englobent la section que vous souhaitez replir de clips REX.
Assurez-vous que cette zone ne contientaucun clip de notes,afin d'eviter une superposition des clips.
- Sélectionnez l'emplacement de la boucle de votrechioix dans le lecteur Dr. Octo Rex.
- Déroulez le menu Édition et sélectionnez « Copier la boucle sur la piste »
Le programme cree als one note pour chaque slice, positionnee en fonction du timing des slices. Les notes seront agencees par pas d'un demi-ton, la preme note sur C1, la seconde sur C#1 et ainsi de suite, avec un demi-ton pour chaque slice. Si la plage entre les indicateurs est plus longue que la boucle, les notes de la boucle sont repétées pour replir la boucle.
Vou puez à prsent reorganiser, écraser et, de toute façon, editor les données de notes dans les bandes d'edition du séquenceur.
Copier la pattern sur la piste
Cet élément du menu est utilisé par la boîte à rythme Redrum et le séquenceur à pattern Matrix. Il convertit la pattern Sélectionnée en notes dans une piste du séquenceur. Procedez de la façon suivante :
- Sélectionnez une piste du séquenceur.
Lorsque you travailliez avec un Redrum, you veez selectionner la piste pour le module Redrum. Pour le Matrix, you veez generalement selectionner la piste pour le module cible du Matrix (le module instrumental auquel le Matrix est connecté). Cela est d'au fait que le Matrix ne produit pas de son par lui-même, les notes n'ont doncaucun intérêt pour la piste du Matrix.
- Définissez les indicateurs sur la plage ou la longueur souhaïée.
Si la plage définie est plus importante que celle de la ou des pattern(s), les données sont répetées pour correspondre à la plage. - Sélectionnéz le module à pattern.
- Déroulez le menu Édition et Sélectionnez « Copier la pattern sur la piste »
Les clips de notes sont créés entre l'indicateur gauche et l'indicateur droit, en fonction de la patternselectionnee.
! Lorsque vous copiez des patterns Matrix, seules les valeurs Gate et Notes sont incluses !
Si vous avez copie une pattern Redrum, vous nevez désactiver le bouton « Activer la section pattern » avant de dire les nouvelles données de la piste.
Dans le cas contraire, le séquenceur principal et le séquenceur à pattern jouent les sons de batterie simultanément.
Si vous avez copie une pattern Matrix, vous devez déconnecter le Matrix (ou même le supprimer) pour éviter que les notes soient jouées en même temps par le séquenceur et le Matrix.
Si vous avez automatise des modifications de pattern pour votre module à pattern, vous pouvez convertir toutes les patterns en notes en une seule fois, en utilisant l'objet du menu « Convertir la piste de pattern en notes ».
Voir "Convertir l'automation de pattern en notes".
Déplacer la pattern à gauche/à droite
Ces éléments du menu sont utilisés pour Redrum, Matrix, Thor (appele « Déplacer la pattern du séquenceur à gauche/à droite ») et l'arpégiateur RPG-8 (lorsque l'éditeur de pattern est activé).
Les fonctions de déplacement de pattern déplacent les notes d'une pattern d'un pas vers la gauche ou vers la droite.
Déplacer la batterie à gauche/à droite
Ces éléments du menu sont utilisés pour Redrum.
Les fonctions de déplacement de batterie déplacent les notes pour l'instrument sélectionné d'un pas vers la gauche ou vers la droite.
Déplacer la pattern vers le haut/le bas
Ces éléments du menu sont utilisés par le Matrix.
Les fonctions de déplacement de pattern transposent toutes les notes d'une pattern d'un demi-ton supérieur ou inférieur.
! Cette fonction ne modifie pas le CV de courbe.
Randomiser la pattern du séquenceur
Cet élément du menu est utilisé pour le synthétiseur Thor. Il affecte des valeurs aléatoires aux pas de la pattern du séquenceur, mais seulement pour la propriété selectionnée avec le bouton Édition. Par exemple, si « Note » est la propriété Editedée, seule les pitches de notes sont randomisées, faisant les valeurs de velocité, les longueurs, les durées et les courbes intactes.
Les pitches de notes randomisées restent dans la plage définie par le bouton Octave.
Le réglage « Pas » (longueur de la pattern) n'est pas modifié par la randomisation.
Les pas en dehors de la longueur actuelle de la pattern ne sont pas modifiés.
Randomiser la pattern
Cet élément du menu est utilisé pour Redrum, Matrix et l'arpégiateur RPG-8 (lorsque l'éditeur de pattern est activé).
La fonction Randomiser la pattern cree des patterns aleatoires. Celles-ci peuvent souvent constituer des points de depart tres pratiques et vous aider a avoir de nouvelles idees.
! Notez que pour le Matrix, la randomisation modifie le CV Gate, de note et de courbe !
Randomiser la batterie
La fonction Randomiser la batterie cree des patterns aleatoires pour le canal de son de batterie selectionne dans la boite a rythme Redrum.
Modifier la pattern
Cet élément du menu est utilisé pour Redrum, Matrix et l'arpégiateur RPG-8 (lorsque l'éditeur de pattern est activé).
La fonction Modifier la pattern modifie des patterns existantes. Notez que la fonction doit pouvoir s'appliquer à chaque chose dans la pattern - son utilisation sur une pattern vide n'a aucun effet.
! Notez que pour le Matrix, la modification affecte les CV Gate, de note et de courbe !
Modifier la batterie
Cette fonction modifie les patterns existantes pour le son de batterie selectionné dans Redrum. Notez que la fonction doit pouvoir s'appliquer à chaque chose dans la pattern - son utilisation sur une pattern vide n'a aucun effet.
Inverser la pattern
Cet élément du menu est utilisé pour le module de l'arpégiateur RPG-8, lorsque l'éditeur de pattern est activé. Il inverse la pattern, pour que les pas actifs deviennent des pauses et vice-versa.
Notes en arpège sur la piste
Cet élément du menu est utilisé pour transformer l'arpège d'un RPG-8 en clips de notes réelles. Pour que cela fonctionne, vous doivent enregistré des accords ou des notes sur la piste du RPG-8 et définir les indicateurs (afin qu'une arpège soit généraee lorsque vous lancez la lecture depuis l'indicateur gauche).
« Notes en arpège sur la piste » create a clip de notes entre les indicateurs sur la piste sélectionnée, contenant les notes d'arpège générées. Vous pouvez donc le(s) clip(s) de notes original(aux) de la piste du RPG-8 mulet(s) et éoperator les notes d'arpège converties comme d'habitude.
Créer une piste pour.../Supprimer la piste pour...
Un module du rack peut avoir ou non une piste de séquenceur. Les modules instrumentaux sont, par défaut, créés accompagnés d'une piste de séquenceur alors que les modules d'effet, les mixeurs, etc. sont créés sans piste.
Si un module sans piste de séquenceur est sélectionné, cet élément du menu est appelé « Créer une piste pour [nom du module] ».
Selectionnez-le pour creer une piste de séquenceur vide pour le module.
Si le module selectionné possède une piste de séquenceur, cet élément du menu est appelé « Supprimer la piste pour [nom du module] ».
Il supprime la piste de séquenceur et tout ce qu'elle contient, mais laisse le module intact.
Aller à la piste de
Un module sélectionné dans le rack permet de selectionner « Aller à la piste de [nom du module] » pour faire apparaitre la piste du séquenceur correspondant au module.
Insertion de mesures entre les indicateurs
! Pour que cette commande soit disponible, la cible d'édition doit se couver dans le séquenceur.
Cette fonction insère une zone vide entre les indicateurs dans le séquenceur principal. Tous les événements après l'indicateur gauche sont déplacés vers la droite pour « faire de la place » pour la zone insérée. Voir “Insertion de mesures” pour plus d'informations.
Suppression de mesures entre les indicateurs
! Pour que cette commande soit disponible, la cible d'édition doit se couver dans le séquenceur.
Cette fonction supprime tous les éléments entre les indicateurs dans le séquenceur principal. Tous les événements après l'indicateur droit sont déplacés vers la gauche pour « combler » l'espace vacant après la section supprimée. Voir "Supprimer des mesures" pour plus d'informations.
Convertir l'automation de pattern en notes
Si vous avez enregistré ou dessiné des changements de pattern sur une piste Redrum ou Matrix, vous pouvez convertir toute la piste en notes de la façon suivante :
- Sélectionnez la piste avec les changements de pattern.
- Sélectionnez « Convertir l'automation de pattern en notes » dans le menu Édition ou le menu contextual de la piste.
Pour chaque clip de pattern, la pattern correspondante est convertie en clips de notes sur la piste (en suivant les mêmes règles que pour la fonction « Copier la pattern sur la piste »). La piste est jouée exactement comme lorsque vous avez lu le module à pattern avec les modifications de pattern.
Avec cette opération, la bande de selection de pattern est désactivée.
Les boutons « Activer la section pattern » (Redrum) et Activer la pattern (Matrix) sont automatiquement désactivés.
Lorsque you utilisez cette fonction avec un Matrix, you'vee zéplacer les clips de notes vers la piste d'un module instrumental (généralement le module auquel le Matrix est connecté).
Cela est d'au fait que le Matrix ne génère pas de son par lui-même.
Convertir la piste des blocs en clips de morceaux
Cet élément est uniquement disponible si la piste des blocs est activée. La sélection de cet élément convertira l'ensemble des clips d'automation de blocs figurant sur la piste de blocs en clips réguliers sur les pistes et bandes respectives du morceau.
Respecter le groove
Cette fonction est disponible si la liste des pistes est la cible et qu'une ou plusieurs bande(s) de notes de la piste sélectionnée dispose(nt) de voies de mixage ReGroove affectées.
Respecter le groove déplace toutes les notes (sur toutes les bandes de notes de la piste sélectionnée) vers leur position « groovée » et réinitialise les réglages de groove sur « Aucun canal » pour les bandes de notes. En d'autres termes, cela rend le groove « permanent » - la piste est jouée exactement comme avant, mais vous pouvez à présent voir et éoperator les notes groovées.
Automation des paramètres...

La boîte de dialogue Automation des paramètres vous permet d'ajouter ou de supprimer des bandes d'automation pour la piste du séquenceur sélectionné.
Les cases à cocher à gauche déterminent si une bande est affichée ou non.
Pour ajouter une bande, cochez sa case.
La colonne Automatisé indique s'il y a des données d'automation (clips) sur la bande.
Si vous décochez la case pour un paramètre automatisé, cela supprime les données d'automation. Cela est indiqué par le symbole d'automation avec une poubelle.
Si la case « Afficher uniquement les fréquents » est cochée, seuls les paramètres d'automation les plus courants sont affichés.
Pour voir tous les paramètres, décochez la case.
Nouvelle bande de notes
Ajoute une nouvelle bande de notes aux pistes sélectionnées. Cela revient au même que de cliquer sur le bouton "+" Bandes" au-dessus de la liste des pistes.
Fusionner les bandes de notes sur les pistes
S'il y a plusieurs bandes de notes sur la piste selectionnée, cet élément du menu fusionne tous les clips de notes de toutes les bandes en une seule bande.
S'il y a plusieurs clips contenant les mêmes contrôleurs de performance (par exemple une roue de modulation) aux mêmes positions dans le morceau, seules les données du contrôleur de performance pour la bande supérieure sont conservées.
Il s'agit de la même règle que durant la lecture - les données du contrôleur de performance de la bande supérieure sont prioritaires.
Obtenir le groove depuis le clip
Cela nécessite de ne selectionner qu'un seul clip de notes. La fonction parcourt les notes dans le clip et en extrait le groove. Vous pouvez appliquer ce groove à d'autres bandes de notes ou l'enregistrer comme un patch pour l'utiliser ultérieurement.
- Crééz ou enregistrez une « pattern » de notes rythmiques quelconque.
Vouse puez par exmaple enregister une patern de batterie ou utilise les notes jouees dans les slices d'une boucle REX.
Pour que le groove soit utile dans les styles musicaux les plus courants, il est préférible que le clip ait un nombre exact de mesures en longueur - de préférence 1, 2, 4 voire 8 mesures.
- Ouvrez le ReGroove Mixer depuis le panneau de transport et selectionnez un canal d'edition (en cliquant sur le bouton Édition correspondant).
C'est la que vous retrouvrez votre groove personnelisé -CHOISISSEZ un canal inutilisé si vous ne souhaitez pas spécialement remplaçer un groove.
- Àpèras avoir sélectionné le clip de notes, sélectionnez « Obtenir le groove depuis le clip » dans le menu Édition ou le menu contextuel du séquenceur.
Le groove est affecté à la voie de mixage du ReGroove en tant qu'« Utilisateur ». En sélectionnant cette voie de mixage de ReGroove pour d'autres bandes de notes, vous pouvez faire en sorte que la musique corresponde à votre groove personnelisé.
- Sélectionnez l'onglet Groove dans la fenêtre Outils.
Vou posses ici ajuster la façon dont le groove affecte le timing, la velocite et la longueur des notes et egalament enregister le groove en tant que patch de ReGroove (y compris les réglages des curseurs de la fenêtre).
Pour en savoir plus, voir "Le mixeur ReGroove".
Joindre les clips
Cela nécessite de selectionner plusieurs clips de la même bande. Joindre les clips réunit les clips sélectionnés.
! Si des clips de notes ou d'automation contiennent des événements masqués dans la plage entre les clips, ces événements seront effacés. De plus, si les clips de notes ou d'automation sont superposés, tout événement caché sera effacé- voir "Joindre les clips".
Rendre les clips muets/non muets
Si un ou plusieurs clips non muets sont selectionnés, cet élément du menu est appelé « Rendre les clips muets ». Les clips muets (affichés avec des hachures et des bordures estompées) ne sont pas lus mais peuvent êtreédités et réorganisés comme d'habitude.
Si seuis des clips muets sont selectionnés, cet element du menu est appelé « Clips non muets ». Le raccourci clavier pour ces commandes est [M].
Réduire les événements aux clips
Les notes ou les événements d'automation peuvent être positionnés avant le début ou après la fin d'un clip. Par exemple, cela peut arriver si vous avez changé la taille d'un clip après l'enregistrement. Les notes en dehors du clip sont masquées et ne sont pas jouées lors de la lecture mais vous pouvez les voir et les editor si vous ouvrez le clip.
Le fait de selectionner « Réduire les événements aux clips » supprime de tels événements externes du ou des clip(s) sclectionné(s). Si des pistes sont scélectionnées dans la liste de pistes, cette fonction s'applique à tous les clips de la ou des piste(s) scélectionnée(s). Voir “À propos des enregistements et des événements masqués” pour plus de détails.
Ajouter des étiquettes aux clips/Supprimer les étiquettes des clips
Cette commande vous permet de donner un nom aux clips sélectionnés.
Les clips avec des étiquettes de nom (ainsi que leurs bandes) sont affichés de façon légèrement plus élevé, afin de faire de la place pour les étiquettes.
Si vous choisissez « Ajouter des étiquettes aux clips » en scélectionnant un seul clip, une étiquette « sans nom » est ajoutée et une zone de texte s'ouvre pour éoperator l'étiquette.
Si plusieurs clips sont selectionnés, l'étiquette « sans nom » est ajoutée aux clips sélectionnés. Pour éditer le nom des clips, vous doivent double-cliquer sur chaque étiquette.
Si tous les clips sélectionnés ont déjà une étiquette, cet élément du menu est appelé « Supprimer les étiquettes des clips ».
Voir "Nommer des clips" pour plus d'informations.
Couleur du clip
Vouper de chisir une couleur pour le ou les clip(s) selectionne(s).Voir "Coloriage des clips" pour plus de details.
Couleur de la piste
Vous peut de selectionner une couleur pour la ou les piste(s) selectionnee(s). La couleur selectionnee est affichee dans la liste des pistes et est ensuite affectee a tous les nouveaux clips que vous creez dans la piste. Cependant, les clips qui sont deja sur la piste ne sont pas modifiés - pour modifier la couleur de clips existants, selectionnee les clips et utilisez le reglage « Couleur du clip »
Si « Couleur automatique pour les nouvelles pistes du séquenceur » est activé dans le menu Options, les pistes obtiennent automatiquement une couleur lors de leur création.
Voir "Couleur des pistes".
Ajuster des clips étrangers à la bande
Si un clip d'automation a eté déplace vers une bande pour un paramètre ayant une plage différente (par exemple si vous utilisez la recherche croisée pour un autre type de module), il est affiché comme étranger et n'est pas lu.
En fonction des données, vous pouze eventulement corriger cela en selectionnant le clip puis la commande «
Ajuster des clips etrangers à la bande ». Cela met les données d'automation du clip à l'échelle pour correspondre à la plage de la bande actuelle.
! S'il n'est pas possible demettre les données à l'échelle, une boîte d'alerte apparait pour vous en informer.
Voir "À propos des clips étrangers" pour plus d'informations.
Quantifier les notes
Dans Reason, vous utilisez la fonction de quantification de la façon suivante :
- Sélectionnéz les notes que vous voulez quantifier.
Vouse puez selectionner des notes a l'intérieur de clips de notes ouverts ou un ou plusieurs clips de notes fermes (pour quantifier toutes les notes quils contiennent). La selection d'une ou plusieurs pistes quantifie toutes les notes de tous les clips de toutes les bandes de notes de ces pistes.
-
Ouvrez la fenêtre Outils et sélectionné l'onglet Outils du séquenceur.
-
Définissez la valeur de quantification (le menu pop-up Valeur de la section Quantification).
Cela détermine à quelles valeurs de notes les notes seront déplacées lors de la quantification. Par exemple, si vous sélectionnez 1/16, toutes les notes seront déplacées sur (ou au plus pres de) la position de la double croche la plus proche.
- Sélectionnez une valeur dans le menu pop-up Quantité.
Il s'agit d'un pourcentage qui détermine l'importance du déplacement de chaque note. Si vous Sélectionnez 100% , les notes seront déplacées jusqu'à la position de quantification la plus proche. Si vous Sélectionnez 50% , elles ne seront déplacées qu'à mi-chemin, etc.
- Si vous le souhaitez, vous pouvez rendre la quantification moins exacte en ajoutant une valeur Aléatoire.
Il s'agit d'une variation aléatoire mesure en marqueurs. Si elle est réglé sur 10, les notes quantifiées sont distribuées aléatoirement de + / - 10 marqueurs autour de la grille de valeurs de quantification.
- Cliquez sur le bouton Appliquer, Sélectionnez « Quantifier les notes » dans le menu Édition ou maintenez la touche Ctrl ou Cmd enforcée et appuyez sur [K].
Les notes sont quantifiées.
Éditer les raccourcis clavier...
Cette commande du menu est disponible lorsque le mode Édition des raccourcis clavier est sélectionné. Une boîte de dialogue s'ouvre, dans laquelle vous pouvez assigner un raccourci clavier à un paramètre sélectionné. Voir "Édition des raccourcis clavier" pour plus d'informations.
Supprimer les raccourcis clavier
Cette commande du menu est disponible lorsque le mode Édition des racccourcis clavier est seLECTIONné. Elle supprime le racccourci clavier pour le paramètre affecté sélectionné. Voir "Édition des racccourcis clavier" pour plus d'informations.
Supprimer tous les raccourcis clavier du module
Cette commande du menu est disponible lorsque le mode Édition des raccourcis clavier est sélectionné. Elle supprime tous les raccourcis clavier que vous avez définis pour le module sélectionné. Voir “Édition des raccourcis clavier” pour plus d'informations.
Éditer les assignations de substitution...
Cette commande du menu est disponible lorsque le mode Édition des assignations de substitution a été activé dans le menu Options. Elle ouvre une boîte de dialogue dans laquelle vous pouvez affecter une assignation de substitution au paramètre sélectionné. Voir “Assignations de substitution”.
Supprimer les assignations de substitution
Cette commande du menu est disponible lorsque le mode Édition des assignations de substitution a été activé dans le menu Options. Elle supprime les assignations de substitution pour un paramètre sélectionné. Voir “Assignations de substitution”.
Supprimer toutes les assignations de substitution pour le module
Cette commande du menu est disponible lorsque le mode Édition des assignations de substitution a été activé dans le menu Options. Elle supprime toutes les assignations de substitution que vous avez définies pour le module sélectionné. Voir "Assignations de substitution".
Copier/Coller les assignations de substitution
Ces commandes du menu sont disponibles lorsque le mode Édition des assignations de substitution a été activé dans le menu Options. Vous pouze les utiliser pour copier des assignations de substitution depuis un module et les coller dans un module du même type.
Si le module sur lequel vous les copiez se trouve dans le même morceau que le module depuis lesquels vous les avez copiées, l'opération remplace les assignations existantes. Voir "Assignations de substitution".
Preférences - Général

Sensibilité de la molette de souris
Vous permet d'ajuster la sensibilité de reponse des diverses molettes Reason lors de leur manipulation avec la souris. Une sensibilité plus elevée permét d'obtenir un degré de précision plus important. Vous pouvez désirer entre Normal, Precis et Très précis.
Niveau de nettoyage de l'automation
Le réglage du nettoyage de l'automation réduit le nombre de points d'automation lorsque vous enregistrez ou dessinez une automation. Ajustez ce réglage si vous trouvez que l'enregistrement ou le dessin creé trop ou trop peu de points d'automation.
- Vous pouvez également effectuer cette opération manuellement dans la fenêtre Outils (onglet Outils du s) - voir "La fonction « Nettoyage de l'automation » dans la fenêtre Outils".
Déclenchement de notes lors de l'édition
Lorsque cette commande est selectionnée, le fait de transposer des notes en les déplaçant manuellement à l'aide de l'outil Sélection déclenché les notes - et les fait sonner. Cela est pratique dans la mesure où vous savez quand les notes atteignent le bon pitch.
OptionRéduire l'encombrement des câbles
L'alternative selectionnée détermine la manière dont les cables situés à l'arrière du rack doivent être affichés lorsque
« Réduire l'encombrement des câbles » est sélectionné dans le menu Options :
Sélectionnez « Afficher uniquement les modules sélectionnés » pour afficher uniquement les cables des modules sélectionnés.
Tous les autres câbles (non sélectionnés) affichent des câbles « transparents » afin de faciliter la distinction des câbles des modules sélectionnés.
→ Sélectionnez « Masquer les câbles auto-routés » pour afficher uniquement les câbles routés manuellement.
Tous les modules avec cables auto-routés affichent des cables « transparents » afin de faciliter la distinction des cables routés manuellement.
→ Sélectionnez « Masquer tous les câbles » pour masquer tous les câbles auto-routés et routés manuellement.
Toutes les connexions câblées des modules seront indiquées par des points de couleur à l'intérieur des jacks sans qu'aucun cable ne soit affché.
Voir "Apparance d'un cable" pour plus de détails.
Animation des câbles
Les câbles dans Reason sont animés de façon réalisée lorsque l'on returne le rack et que l'on effectue des connexions. Si vous le souhaitez, vous pouvez désactiver l'animation du mouvement des cables en décochant cette case.
Afficher la bulle d'aide des valeurs de paramètres
Normalement, si vous maintainez le curseur de la souris sur un paramètre dans le panneau d'un module pendant un instant, une bulle d'aide apparait et affiche le nom et la valeur actuelle du paramètre. Si vous decochez cette option, les bulles d'aide ne sont plus affichées.
Afficher l'indication d'automation
Si un paramètre est automatisé dans le séquenceur, cela est indiqué par défaut par un cadre vert autour du paramètre dans le panneau du module. Si vous décochez cette option, l'automation n'est pas indiquée.
Morceau par défaut
Il est possible d'indiquer un morceau précis qui s'ouvrira automatiquement en tant que « modèle » à chaque fois que vous sélectionnerez « Nouveau » dans le menu « Fichier ». Il peut s'agir d'un document vide, d'un morceau que vous avez créé précédemment ou d'un livre avec le produit. Voir “Configurer le morceau par défaut” pour plus d'informations sur la manière de selectionner le morceau par défaut.
Charger le dernier morceau au démarrage
En cochant cette option, vous ouvre automatiquement le dernier morceau enregistré à chaque fois que vous lancez Reason.
Cochez la case pour ouvrir le dernier morceau enregistré la prochaine fois que vous lancerez Reason.
Liminé d'utilisation du processeur
Reason est un programme très puissant, concu pour solliciter le moins de puissance de calcul possible - sans alterer la qualité sonore. Néanmoins, plus vous utilisez de modules et de dans votre morceau, plus les ressources de votre ordinateur sont sollicitées.
Le réglage de la limite d'utilisation du processeur vous permet de définir la limite d'utilisation du processeur pour la création de l'audio. La puissance restante est réservée à l'interface utilisateur et à l'affichage graphique.
Définisse ce paramètre pour pouvoir utiliser le logiciel de façon comfortable, même lorsqu'un morceau nécessitant beaucoup de puissance est en cours de lecture.
Charger un son par défaut dans les nouveaux modules
Lorsque you activez cette option et que you createz un nouveau module (d'un type qui prend en charge les patches), un patch par défaut est charged. De cette façon, you you assurez que le module generé un son tout de suite. Le son par défaut déterminé également l'emplacement par défaut de la Factory Sound Bank lorsque you recherche des patches pour le nouveau module.
Si vous désactevez cette option, tous les modules sont initiaisés - les parametres sont réinitialisés à leur valeur par défaut et aucun sample n'est chargé dans les modules à base de sample.
! Notez que « Son » implique également des patches pour modules d'effets, tels que le RV7000 et Scream 4.
À propos de la transformation audio MultiCore
Reason prend entitrement en charge la transformation audio MultiCore. Cela signifie que si vous ordinateur a des noyaux de processeurs multiples (Dual Core ou Quad Core par exemple), ou bien des processeurs multiples, les performances de Reason en sont grandement améliorées. Si vous ordinateur a des noyaux de processeurs multiples ou des processeurs multiples, la transformation audio MultiCore est active par défaut.
Voir "Principes de l'audio" pour plus d'informations sur la façon dont Reason gère l'audio.
Créer samples autonomies PDT charg. à p. disque
Une fois cette fonction activée, tous les samples que vous chargez dans un module de samples à partir du disque deviendra automatiquement autonome et sera enregistré avec le reste des données du morceau lors de l'enregistrement de votre morceau.
Preférences - Audio

Tonalité générale
Cette commande vous permet d'ajuster la tonalité générale dans Reason. La tonalité standard est un « la » à 440 Hz. Vous pouvez ajuster cette valeur à +/- 100 centièmes. Le réglage de la tonalité générale affecte l'accordage de toutes les sources de son dans Reason. Il affecte également l'accordage de Redrum et du lecteur de boucle Dr. Octo Rex.
Pilote de carte son - Windows
Ce menu affiche la liste de tous les pilotes de carte son disponibles sur votre système et vous permet de désirir celui que Reason doit utiliser. L'option可以选择 dépend du matériel audio :
- Si vous utilisez un matériel audio pour lequel il existe un pilote ASIO spécifique, selectionnez-le.
Avec un pilote ASIO développement spécialément pour votre matériel audio, vous obtiennent des latences plus faibles (voir ci-dessous), une prise en charge de fréquences d'échantillonnage plus haute (jusqu'à 192 kHz en 24 bits/32 bits de résolution à virgule flottante), VOIRE une meilleure prise en charge des fonctions matérielles supplémentaires comme les sorties multiples. - S'il n'y a pas de pilote ASIO spécifique, vous devez selectionner un pilote ASIO générique pour le matériel audio.
! Reason requiert un pilote ASIO pour la carte son sous Windows, si vous souhaitez utiliser à la fois l'entrée et la sortie audio. Les pilotes Direct X et MME ne prennt pas uniquement en charge la sortie audio.
Module audio - Mac OS X
Ce menu affiche la liste de tous les modules audio disponibles sur votre système et vous permet de désirir celui que Reason doit utiliser. L'option可以选择 dépend du matériel audio :
- Si vous utilisez un matériel audio pour lequel il existe un pilote Core Audio spécifique, sélectionnez-le.
Avec un pilote Core Audio développé spécialément pour votre matériel audio, vous obtienda des latences plus faibles (voir ci-dessous), une prise en charge de fréquences d'échantillonnage plus haute (jusqu'à 192 kHz en 24 bits/32 bits de résolution à virgule flottante), voire une meilleure prise en charge des fonctions matérielles supplémentaires comme les sorties multiples.
Fréquence de sample
Reason gère tout le traitement interne de l'audio à une résolution de 32 bits à virgule flottante. Cependant, la résolution de l'audio en entrée et sortie est déterminée par l'interface matérielle audio. Cela signifie que si vous avez une carte son 24 bits, Reason enregistre et restitue le son en 24 bits, et si vous avez une carte son 20 bits, le son est enregistré et lu en 20 bits.
La fréquence d'échantillonnage peut être indiquée sous l'onglet Audio de la boîte de dialogue Préférences. Voir "Réglages de la fréquence d'échantillonnage pour l'enregistrement et la lecture" pour plus de détails.
Taille du tampon
Laaille du tampon détermine la latence d'entrée et de sortie du son. En général, plus laaille du tampon est réduite, plus la latence est basse. Cependant, un réglage de taille de tampon trop bas peut engendrer des clics, des claquements, des coupures, etc. dans le son. De ce fait, laaille du tampon doit être réglée sur une valeur « optimale »只不过 que sur la valeur la plus basse. Voir “Paramétrage de laaille du tampon” pour plus d'informations.
Optimisation et latence de sortie
La latence d'entrée est le décai entre « l'envoi » du son à partir d'un microphone ou instrument connecté et le moment où Reason le recoit et le détecte. La latence de sortie est le décai entre « l'envoi » du son depuis Reason et le moment où vous l'entendez. Les latences d'un système audio dépendant du matériel audio, de ses pilotes et de leurs réglages
Lorsque you selectionnez un pilote, ses valeurs de latence sont automatiquement notees et affichees dans l'onglet Audio de la boite de dialogue Preférences - Audio. En fonction du matériel audio et du pilote, vous pouvez ajuster ces valeurs :
- Si vous utilisez un pilote ASIO développement spécialement pour votre matériel audio sous Windows, vous pouvez dans la plupart de cas effectuer des réglages pour le matériel en cliquant sur le bouton Panneau de contrôle.
Cette action ouvre le panneau de contrôle du module du matériel ASIO, qui peut ou non contenir des paramètres pour ajuster la latence. Généralement, cela s'effectue en changeant le nombre et/ou la taille des tampons audio plus les tampons audio sont petits, plus la latence est faible. Veuillez vous reporter à la documentation de votre matériel audio et de ses pilotes ASIO pour plus de détails !
D'accord, mais dans ce cas pourquoi ne pas simplement regler la latence à sa valeur la plus faible? Le problème est qu'une latence trop faible engendre généralement des problèmes de lecture (clics, claquements, coupures, etc.). Plusieurs raisons techniques expliquent cela, la principale étant qu'avac des tampons plus petits (latence faible), le processeur sera sollicité de façon plus importante. Cela signifie également que plus le morceau Reason est gourmand en calculs (c'est-à-dire plus vous utilisez de pistes et de modules), plus la latence minimale requise pour éviter ces problèmes de lecture est importante.
Voir "À propos de la latence" pour plus d'informations.
Décalage de la synchronisation externe
Ce contrôle doit normalement être ajusté uniquement lorsque Reason est synchronisé avec une horloge MIDI externe.
Du fait du problème de latence, il se peut que vous ayez besoin d'ajuster la lecture de Reason en fonction de la synchro principale, pour qu'ils soient en parfaite harmonie. Le tempo ne diffère pas entre les deux, mais Reason peut jourer en avance ou en retard par rapport à l'autre application. Il se peut que vous deviez ajuster cela. Cependant, c'est une chose que vous ne devez faire qu'une fois. Le réglage est stocké avec vos autres préférences, ainsi vous n'aurez plus à le refaire ultérieurement.
Voir "Ajustement de la latence" pour plus d'informations.
Canaux d'entrée et de sortie actifs
Affiche le nombre de canaux audio d'entrée et de sortie pris en charge par le matériel audio actuellément sélectionné. Si vous carte son a des entrées et/ou des sorties multiples et qu'un pilote qui les prend en charge est sélectionné, le bouton « Canaux... » est disponible. Lorsque vous cliquez sur ce bouton, une fenêtre contenant des case à cocher pour toutes les entrées et sorties disponibles apparaît. En cochant ces cases, vous Sélectionnez les canaux d'entrée et/ou de sortie qui doivent être actifs.

Les entrées et sorties actives sont également indiquées par des DEL jaunes et vertes dans l'interface matérielle. Reason - voir "Comment Reason communique avec votre matériel audio".
Source horloge (ASIO seulment)
Si vous utilisez un pilote ASIO pour votre matériel audio, vous avez la possibilité de selectionner une source horloge. Elle est utilisée pour déterminer la source à laquelle la fréquence d'échantillonnage de la lecture audio doit être synchronisée. Si avez une carte son et un pilote qui la prend en charge, vous pouvez désir d'effectuer une synchronisation avec des sources externes.
Panneau de contrôle
Si vous avez selectionné un pilote ASIO ou Core Audio, ce bouton fait apparaitre une fenêtre de panneau de contrôle dédiée à ce matériel audio. Elle peut containir les réglages de tampon, les options de routage, les alternatives de synchronisation, etc.
Préférences - Claviers et surfaces de contrôle

C'est ici que vous configurez votre matériel MIDI, vos claviers et vos surfaces de contrôle.
La liste des « Surfaces attachées » au milieu affiche les surfaces/claviers MIDI actuellement ajouté(e)s.
La sélection d'une surface dans la liste vous permet d'éditer ses réglages ou de la supprimer de la liste en cliquant sur les boutons « Éditer » ou « Supprimer » correspondants.
En cliquant sur le bouton « Auto-detector les surfaces», vous lancez une recherche des surfaces de contrôle connectées.
Cela nécessite une connexion USB ou une connexion MIDI dans les deux sens. Notez que toutes les surfaces de contrôle ne prennt pas en charge l'auto-détction - cependant, vous pouvez toujours ajouter des surfaces de contrôle manuellement.
→ Si vous avez des surfaces ajoutées dans la liste « Surfaces attachées » que vous ne souhaitez pas utiliser avec Reason, vous pouvez découvert la case « Utiliser avec Reason »
Le bouton « N'utiliser aucun clavier maître » vous permet de désactiver l'entrée de notes MIDI dans le séquenceur.
La surface désignée comme clavier maître ne peut pas être verrouillée sur un module spécifique – elle suit toujours l'entrée du clavier maître du séquenceur. En selectionnant la surface du clavier maître dans la liste des surfaces attachées et enclinquant sur ce bouton, vous pouvez utiliser le verrouillage de surface bien que vous ne puissiez pas pouvoir le module. Voir "Verrouiller une surface" dans le chapitre Contrôle à distance pour plus de détails.
Ajouter ou éoperator une surface de contrôle
Pour ajouter une surface de contrôle, cliquer sur le bouton « Ajouter » afin d'ouvir la boîte de dialogue Surfaces de contrôle. Si vous souhaitez éditer les paramétrages d'une surface de contrôle existante, cliquez sur le bouton « Édition ». Procedez ensuite de la façon suivante :
- Sélectionnez le fournisseur de votre surface de contrôle dans le menu pop-up Fournisseur.
Si vous ne le trouvez pas dans le menu, reportez-vous ci-dessous.
- Sélectionnéz le modèle de votre surface de contrôle dans le menu pop-up Modèle.
Si vous ne le trouvez pas dans le menu, reportez-vous ci-dessous.
- Une image du modele de la surface de contrôle selectionné est affichée, souvent accompagnée d'un texte d'information : lisez-le attentivement.
Pour certaines surfaces de contrôle, vous doivent seLECTIONner un préréglage spécifique pour utiliser la surface avec Reason : c'est indiqué ici.

- Utilisez le menu pop-up Entrée MIDI pour selectionner le port d'entrée auquel est connectee la surface.
En cas de doute, vous pouvez cliquer sur le bouton « Trouver » et bouger un bouton ou jouer une touche de la surface de contrôle pour que Reason trouve le port d'entrée MIDI correspondant.
- Certainly surfaces de contrôle peuventContainir plusieurs menus pop-up Entrée MIDI.
Voudevez selectionner desportsdans tous les menus pop-up Entree MIDI.
- Certains surfaces de contrôle ont également un menu pop-up Sortie MIDI.
Dans certains cas, il est étiqueté « Optionnel » - vous n'avez alors pas besoin de faire une sélection. Dans les autres cas, une sortie MIDI est nécessaire. C'est le cas si la surface de contrôle utilise le feedback MIDI : fader motorisé, affichages, etc.
-
Si vous le souhaitez, vous pouvez renomer votre surface de contrôle dans la zone Nom.
-
Cliques sur OK pour ajouter la surface.
Selon le modele de surface, des alertes peuvent apparaître, vous rappelant deLECTIONner un préréglage spécifique, etc.
Dans certains cas, Reason peut restaurer à votre place un préréglage de la surface de contrôle sur sa valeur par défaut. Si tel est le cas, vous en serez informé.
Enfin, vous returnez dans la page Préférence Claviers et Surfaces de contrôle, dans laquelle vous surface de contrôle ajustée apparait à présent.
Si vous modèle de surface de contrôle n'apparaît pas dans la liste
Si vous ne pouvez pas tracerer toute surface de contrôle dans le menu pop-up Fournisseur ou Modèle lorsque vous essayez de l'ajouter, cela signifie qu'il n'este pas de prise en charge intégrée pour ce modèle. Cependant, le programme supporte les claviers et contrôleurs génériques. Voici ce que vous devez faire :
Sélectionnez « Autre » dans le menu pop-up Fournisseur et Sélectionnez ensuite l'une des trois options dans le menu pop-up Modèle.
Ou, si le fournisseur apparait mais pas votre modèle spécifique :
→ Sélectionnez l'une des trois options « Autre » dans le menu pop-up Modèle :
Dans les deux cas, les options sont les suivantes :
- Clavier de contrôle MIDI
Selectionnez cette option si vous avez un clavier MIDI avec des potentiamétres, des boutons ou des curseurs programmables. Vous doivent configurer votre surface de contrôle pour que les contrôleurs envoient les messages MIDI CC corrects, en fonction du module Reason que vous pouze contrôler - vérifie le diagramme d'implantation MIDI dans la documentation Reason. Si votre surface de contrôle a des modèles ou des prééglages pour différents modules Reason 2.5, ils peuvent être utilisés.
- Surface de contrôle MIDI
Selectionnez cette option si vous avez un contrôle MIDI avec des potentiamètres, boutons ou curseurs programmables (mais sans clavier).
Encore une fois, vous doivent désigné les personnes qui ne sont susceptibles de l'encephalitis.
- Clavier MIDI (aucun contrôle)
Selectionnez cette option si vous avez un clavier MIDI sans potentiemètres, boutons ou curseurs programmables. Elle est uniquement utilisée pour jouer (y compris les contrôleurs de performance comme le Pitch Bend, la roue de modulation, etc.): vous ne pouvez pas ajuster les paramètres de modules Reason avec ce type de surface de contrôle.
Sous le fournisseur « Autre», se trouvent également deux options, « Clavier MIDI multicanal » et « Contrôleur MIDI multicanal » Utilisez-les si les contrôles de votre clavier/ surface de contrôle envoient le même message MIDI mais sur différents canaux MIDI. Voir “Ajouter une surface de contrôle ou un clavier” dans le chapitre Contrôle à distance.
Après avoir sélectionné un modèle, poursuivez avec la sélection de l'entrée MIDI comme décrit précédemment.
À propos du clavier maître
L'une des surfaces de contrôle peut être le clavier maître. Elle est comme les autres surfaces de contrôle, mais elle doit avoir un clavier et ne peut pas être verrouillée sur un module Reason spécifique (en d'autres termes, elle suit toujours l'entrée MIDI du séquenceur). C'est la surface que vous utilisez pour joguer les modules instrumentaux dans Reason.
La première surface avec un clavier qui est ajoutée (ou trouvée par l'auto-détection) est automatiquement sélectionnée pour être le clavier maître.
Cela est indiquedans la liste des surfaces attachées dans la page Preférences.
Si vous poulez utiliser une autre surface comme clavier maître, Sélectionnéz-la dans la liste et cliquez sur le bouton « Définir comme clavier maître »
Il ne peut y avoir qu'un seul clavier maitre.
Si vous ne foulez utiliser aucun clavier maître, Sélectionnéz la surface clavier maître actuelle et cliquez sur le même bouton (qui est à créé étiqueté « N'utiliser aucun clavier maître »).
Réglages d'entrée du clavier maître
Cela détermine comment définiir l'entrée du clavier maître dans le séquenceur : vers qu'elle piste et quel module leclavier maître doit être dirigé (quelle piste jouer depuis votre clavier) :
- En mode « Standard», la piste sélectionnée obtient automatiquement l'entrée du clavier maître.
De cette façon, vous n'avez plus qu'a cliquer n'importe ou sur une piste de la liste des pistes pour la sélectionnner et la jour (ou utiliser les touches de direction pour passer d'une piste à l'autre dans la liste).
- En mode « Séparé», vous doivent cliquer directement sur l'iconde du module à gauche dans la liste des pistes pour définiir l'entrée du clavier maître.
Cela est pratique si vous travailliez avec des sélections multiples dans la liste des pistes ou si vous pouze seLECTIONner différentes pistes pour l'edition sans changer le module joué à partir de votre clavier.
L'entrée du clavier maître est indiquée par une cordure rouge autour de l'icone du module dans la liste des pistes.
Sur les pistes instrumentales, un petit clavier est également affiché sous l'icône du module. Sur les autres types de piste, une petite surface de contrôle est affichée en-dessous de l'icône du module.
Préférences - Contrôle avancé

Entrées de bus de contrôle externes
Les entrées de bus externes fournissant jusqu'à 64 canaux d'entrée MIDI divisés en quatre bus, chacun contenant 16 canaux.
- Ces entrees MIDI seront à contrôler individuellement les modules Reason depuis un séquenceur externe. Il peut s'agir d'un séquenceur matériel externe ou d'un séquenceur logiciel installé sur le même ordinateur que Reason. Voir le chapitre "Synchronisation et MIDI avancé" pour plus de détails.
Synchronisation horloge MIDI
Lorsque you utilisez une horloge MIDI, you pouze rendre Reason esclave (synchronise) des modules externes (enregistreurs à cassette, boite à rythme, séquenceur autonome, station de travail, etc.) et des autres programmes informatiques fonctionnant sur le même ordinateur ou sur un autre. L'horloge MIDI est un signal de « métronome » très rapide pouvant être transmis via MIDI. Parmi les standards de l'horloge MIDI se trouvent les indications de départ, de fin et de localisation des doubles croches.
En selectionnant d'abord l'entrée MIDI appropriée à l'aide du menu pop-up Horloge MIDI puis en selectionnant « Synchronisation horloge MIDI » dans le menu Options, vous préparez Reason à receiveoir une synchronisation horloge MIDI.
Voir le chapitre "Synchronisation et MIDI avancé" pour plus de détails.
Preférences - Langue et clavier d'ordinateur

Langue (Windows uniqueness)
Reason est traduit en plusieurs langues. Le réglage de langue modifie les menus, les boîtes de dialogue, les bulles d'aide et certains textes affichés, mais généralement pas les textes des panneaux des modules. Si vous executez Reason sous Windows, vous pouvez selectionner la langue sur cette page.
! Notez que vous devez redémarrer Reason pour que le changement de langue soit pris en compte.
! Sous Mac OS X, Reason utilise la langue sélectionnée dans le système d'exploitation.
Touches de piano à l'écran
Dans cette section, vous pouvez spécifique quelles touches de clavier d'ordinateur doivent être utilisées pour la fonction Touches de piano à l'écran.
Pour modifier les attributions de touches, cliquez sur une touche dans la fenetre et appuyez sur une autre touche disponible sur le clavier d'ordinateur pour l'attribuer.

- Comme beaucoup de touches du clavier sont déjà « verrouillées » pour d'autres fonctions et commandes dans Reason, il n'est pas réellement possible de réaffecter toutes les touches de « notes ». Il est plus utile de réaffecter les touches Octave et Velocité (numériques).
Cliquez sur le bouton Restaurer les valeurs par défaut pour revenir aux affectations des touches de clavier prérglées.
Voir le chapitre "Touches de piano à l'écran" pour plus d'informations sur la façon d'utiliser les touches de piano à l'écran.
Menu Créer
Création d'un instrument..../Création d'un effet...
Selectionner cette fonction ouvre le navigateur de patch, dans lequel vous pouvez rechercher des patches quel que soit le type de module. En fonction de l'élément de menu choisi, le navigateur est défini pour afficher soit les patches d'instrument, soit les patches d'effet uniquement.
La sélection d'un patch dans le navigateur cree automatiquement un module du type correspondant dans Reason, avec le patch selectionné chargé.
Listedesmodules
Pour creer un nouveau module, selectionnez I'ellement desiredans le menu Creer.
En fonction du type de module que vous créez, le résultat peut être différent. Voir "Création de modules" pour une description complète de ce qui se passé lorsque vous créez différents types de modules.
Menu Options
Synchronisation interne/Synchronisation horloge MIDI/Synchronisation ReWire
Ces trois options sont utilisées pour définirquel type de synchronisation tempo vous souhaitez utiliser :
Synchronisation interne
Lorsqu'elle est activée, le programme n'est plus synchronisé à une source externe. Il joue selon le tempo défini dans le panneau de transport.
- Synchronisation horloge MIDI
Lorsque cette option est activée, le programme est synchronisé à une horloge MIDI externe, comme défini dans la boîte de dialogue Préférences. Le réglage du tempo dans le panneau de transport n'a plus d'importance ; Reason joue en effet sur le tempo des signaux entrants de l'horloge MIDI. Voir “Synchronisation et MIDI avancé” pour plus de détails.
- Synchronisation ReWire
Lorsque cette option est activée, Reason est synchronisé à une autre application via ReWire. Vous ne pouvez pas activer ce réglage vous-même, il est automatiquement activé lorsque le programme est en mode esclave ReWire. Voir “ReWire” pour plus de détails.
Activer les raccourcis clavier
Lorsque cette option est activée, les touches du clavier peuvent être utilisées pour contrôler des modules, comme définir par la fonction Édition des raccourcis clavier. Voir "Édition des raccourcis clavier" pour plus d'informations.
Mode Édition des raccourcis clavier
Pour avoir une vue d'ensemble des paramètres pouvant être contrôlés par le clavier, Sélectionnez « Mode Édition des raccourcis clavier » dans le menu Options.
Chaque module que vous selectionné affiche un symbole en forme de flèche jaune à côté des paramètres pouvant être affectés.
Si vous cliquez sur un parametre pouvant etre affecte pour le selectionner, vous pouez ensuite的选择ir « Edition des raccourcis clavier » dans le menu Edition.
Une boite de dialogue s'ouvre alors et vous permet de selectionner un raccourci clavier pour ce parametre.
Vouss pouvez utiliser une touche ou une combinaison [Maj] + touche.
Appuyez simplement sur la touche (ou la combinaison de touches) que vous pouze utiliser pour contrôler le paramètre à distance.
La zone « Touche proposée » indique momentanément qu'elle « apprend » la ou les touche(s), puis la boîte de dialogue affiche le nom de la touche que vous avez pressée. Si [Maj] a été utilisé, la case située à côté du mot Maj est cochée dans la boîte de dialogue.
Voussoupiezegalementdouble-cliqueur surlaflèche pour un paramètre pouvant être affectéafin dedéfinirleracccourciclavier:
Un rectangle jaune tournant sur lui-même apparait, indiquant le mode Apprentissage. Appuyez sur la touche (ou la combinaison de touches) que vous pouze utiliser pour contrôler ce paramètre à distance.
La rotation s'arrête et le rectangle affiche alors la touche ou la combinaison de touches utilisé.
! Notez que le panneau de transport utilise le pavé numérique pour diverses commandes. Si vous affectez un paramètre à une seule touche du pavé numérique, la fonction de transport correspondante est écrasée !
Une autre façon d'assigner une commande du clavier est de désélectionner « Mode Édition des raccourcis clavier » dans le menu Options, et de simplement cliquer droit (Windows) ou [Ctrl]-cliquer (Mac) sur le paramètre que vous pouze contrôler via le clavier.
Cela ouvre un menu pop-up, dans lequel l'une des options est « Édition des raccourcis clavier ». Cette sélection ouvre la boîte de dialogue Raccourcis clavier. Ainsi, vous n'avez pas besoin d'activer/de désactiver le mode Édition du menu Options si vous savez qu'un paramètre peut être affecté.
! Si vous essayez d'affector un raccourci clavier qui est déjà utilisé, vous serez alerté et il vous sera demandé si vous VOULEZ changer l'affection actuelle.
Voir "Édition des raccourcis clavier" pour plus d'informations.
Mode Édition des assignations de substitution
Tous les modules de surfaces de contrôle pris en charge ont des « assignations standard » pour chaque module. Si vous souhaitez modifier ces assignations, vous pouvez le faire de la façon suivante :
- Pour avoir un aperçu des paramètres auxquels peuvent être affectées des assignations de substitution, Sélectionnez « Mode Édition des assignations de substitution » dans le menu Options.
Chaque module que vous sélectionnez affiche un symbole en forme de flèche bleue à côté de chaque paramètre auquel une assignation de substitution peut être affectée. Les assignations standard sont marquées par des symboles en forme de bouton jaune (seulément affichés lorsque le module a l'entrée MIDI). Les assignations affectées sont indiquées par un symbole d'éclair. - Si vous cliquez sur un paramètre pouvant être assigné pour le sélectionner (les paramètres sélectionnés sont de couleur orange), vous pouvez alors sélectionner « Éditer les assignations de substitution... » dans le menu Édition.
Cela a pour effet d'ouvrir la boîte de dialogue dans laquelle vous pouvez effectuer cette assignation. - Assurez-vous que la case « Apprendre depuis l'entrée de la surface de contrôle » est cochée.
- Tournez simplement la molette (ou déplacez le curseur, etc.) que vous pouze affecter pour affecter l'assignation de substitution pour ce paramètre.
La zone « MIDI propose » clignote momentanément lorsque vous tournez la molette, puis la boîte de dialogue affiche le module de la surface de contrôle et le contrôleur que vous avez utilisés.
Voussupportéquéglementeffectuerles assignationsde substitutionmanuillagement:
Sélectionnez un module dans le menu pop-up Surface de contrôle dans la boîte de dialogue, puis sélectionnez un contrôle dans le menu pop-up Contrôle.
Le menu pop-up Contrôle presente tous les contrôlles de la surface de contrôle sélectionnée.
- Cliquez sur « OK » pour quitter la boite de dialogue.
Le paramètre sélectionné est à présent marquéd'un symbole en forme d'éclair, indiquant une assignation de substitution.
- Pour sortir du mode Édition des assignations de substitution, désélectionnez-le dans le menu Options.
Vou n'avez pas toujours besoin d'utiliser cette méthode - voir ci-dessous.
Si le mode Édition des assignations de substitution est activé dans le menu option, les paramètres assignés sont « marqués », et les indicateurs en forme de flèche montrent les paramètres pouvant être affectés. Dans ce mode cependant, vous ne pouvez pas utiliser Reason normalement. Le mode Édition des assignations de substitution est avant tout une prévisualisation des paramètres disponibles et de leurs assignations actuelles.
Une autre façon d'assigner une commande à distance consiste à désélectionner « Mode Édition des assignations de substitution » dans le menu Options, et de simplement cliquer droit (Windows) ou [Ctrl]-cliquer (Mac) sur le paramètre que vous poulez contrôle.
Cela ouvre un menu pop-up dans lequel l'une des options est « Édition des assignations de substitution MIDI ». La sélection de cette option ouvre la boîte de dialogue « Édition des assignations de substitution ». Ainsi, vous n'avez pas besoin de selectionner le mode Édition dans le menu Options si vous savez déjà qu'un paramètre peut être assigné.
Voir "Assignnations de substitution" pour plus d'informations.
Assignnations de substitution supplémentaires...
La sélection de cette fonction ouvre une boîte de dialogue avec des fonctions à distance qui ne peuvent pas être assignées en utilisant le mode Édition des assignations de substitution, comme le basculement entre les pistes cible, Annuler/Rétablir, etc.
Voir "Assignations de substitution supplémentaires..." pour plus de détails.
Verrouillage d'une surface...
Ouvre une boîte de dialogue dans laquelle vous pouvez verrouiller une surface de contrôle pour un module spécifique.
Cela signifie que le module verrouillé est toujours « réglable »,quelle que soit la piste qui a l'entrée MIDI dans le séquenceur. Cela vous permet de jourer et d'enregistrer des notes sur un module tout en contrôle simultanément les paramètres d'un autre module depuis une surface de contrôle.
Par exemple, vous pouvez verrouiller une surface de contrôle pour contrôle le mixeur principal afin de pouvoir contrôler à tout moment les niveaux généraux tout en lisant/réglant d'autres modules.
Le clavier maître ne peut pas etre verrouillé!
Si vous sélectionné le clavier maître dans les Préférences, vous pouvez cliquez sur le bouton « N'utiliser aucun clavier maître ». Vous pouvez alors verrouiller cette surface de contrôle pour un module et utiliser ses contrôleurs pour régler les paramètres, mais vous ne pourrez pas journé le module.
Chaque surface de contrôle peut etre verrouillée pour un module à la fois (mais vous pouvez verrouiller plusieurs surfaces de contrôle pour le même module).
Ce module verrouillé est toujours contrôle par la surface de contrôle sélectionnée, jusqu'à ce que vous déverrouilliez le module ou verrouilliez la surface pour un autre module. Vous pouvez verrouiller autant de modules que vous le souhaitez, tant que vous disposez de suffisamment de surfaces de contrôle.
Les modules verrouillés peuvent utiliser des assignations de substitution, tout comme les modules non verrouillés.
En d'autres termes, même si un module est verrouillé pour une surface de contrôle, certains paramètres peuvent être modifiés pour pouvoir être contrôlés par une autre surface de contrôle, ou certains contrôlés de la surface verrouillée peuvent être assignés à un autre module.
Voir "Verrouiller une surface" pour plus de détails.
Retourner le rack
Permet de basculer entre les vues des panneaux avant et arriere du rack. Une façon plus rapide consiste à utiliser la touche [Tab].
Réduire l'encombrement des câbles
Si Reason compte de nombreuses connexions, les câbles peuvent parfois obscurir l'affichage, rendant dificile la lecture du texte imprimé sur le panneau arrière des modules. Les câbles peuvent etre affichés en mode « normal » et en mode « Réduction de l'encombrement des câbles »
→ Sélectionnez « Réduire l'encombrement des cables » dans le menu Options pour « masquer » les câbles selon le réglage que vous avez effectué dans la section « Apparence » de la page « Général » dans les Préférences.
Voir "Apparance d'un cable" pour plus d'informations sur la maniere d'utiliser cette fonction.
Groupement automatique de modules et de pistes
Un groupe de modules est une série de modules interconnectés qui « vont Ensemble ». Un groupe de modules peut par exemple être constitué d'un module instrumental connecté via un module d'effet à un module de mixer. Si l'option « Groupement automatique de modules et de pistes » est sélectionnée, les opérations déplacer/couper/ copier/duplier et coller un module dans un groupe de modules sont effectuées sur tous les modules du groupe de modules.
Voir "À propos des groupes de modules" pour plus de détails.
Suivre la lecture du morceau
Lorsque cette option est activée, les panneaux Arrangement et Édition du séquenceur défilent automatiquement en même temps que le pointeur de la position du morceau, lors de la lecture. Lorsque cet élément est désactivé, les panneaux Arrangement et Édition restent fixes.
Afficher les clips de blocs dans la vue Morceau
Lorsque cette option est activée, le contenu du clip d'automation de blocs s'affiche de manière dédoublée dans le panneau Arrangement. Une fois cette option désactivée, seul le clip d'automation de blocs s'affiche sur la piste de blocs.
Conserver les événements dans le clip lors de l'édition
Cette fonction détermine la façon dont les événements de note et d'automation se comportent s'ils sont dessinés, déplacés ou collés en-dehors des limites du clip ouvert en mode Édition dans le séquenceur.
Lorsque « Conserver les événements dans le clip lors de l'edition » est selectionné, les événements dessinés, déplacés ou collés en-dehors des limites du clip ouvert appartiennent toujours au clip original - mais sont masqués.
Lorsque « Conserver les événements dans le clip lors de l'édition » est selectionné, le clip ouvert s'étend pour contir les événements dessinés, déplacés ou collés - ou, si cela n'est pas possible, les événements sont placés dans un clip existant ou nouveau.
Voir "À propos du dessin de notes en dehors d'un clip ouvert", "À propos du déplacement de notes en dehors ou entre des clips" et "Collage d'événements en dehors d'un clip ouvert" pour des exemples détaillés.
Couleur automatique des nouvelles pistes du séquenceur
Lorsque cette option est activée, une couleur sera automatiquement affectée à la nouvelle piste du séquenceur lorsque vous la créerez. Tous les nouveaux clips créés sur une piste auront la même couleur que la piste.
Enregisterl'automation en clips de notes
Lorsque cette option est activée, toute automation de paramètre de module sera automatiquement enregistrée dans les clips de notes sous « Contrôleurs de performance » et non pas sur des bandes d'automation de paramètres séparées. (Dans les versions précédentes du programme, cette fonction était nommée « Enregistrer l'automation sous Contrôleurs de performance » et pouvait être activée dans le panneau de transport.)
Nombre de mesures de pré-comptage
Vouselectionnez ici le nombre de mesures de pre-comptage a utiliser lorsque le bouton « Pre » du panneau de transport est activé. Si vous effectuez un enregistrement dans le séquenceur avec le bouton « Pré » activé, l'enregistrement commence après le nombre défini de mesures de pre-comptage.
→ Sélectionnez « Une », « Deux », « Trois » ou « Quatre » mesures à partir du sous-menu qui apparait.
Entrer en mode Édition/Entrer en mode Arrangement
Cette éléments vous permet de basculer le séquenceur entre les modes Arrangement et Édition.
Basculer sur la vue Bloc/Morceau
Cette option vous permet de passer en mode Arrangement du séquenceur entre les vues Blocs et Morceau.
Menu Fenêtre (version Windows)
Toujours au premier plan
Lorsque cette fonction est activée, la fenêtre Reason est toujours affichée au premier plan par rapport aux fenêtes des autres logiciels.
Découpler/Intégrer la fenêtre du séquenceur
La selection de cette option permet de découvert le séquenceur et de l'ouvrir dans une fenêtre séparée. La selection de cette option avec le séquenceur découvert permettra de le réintégrer à la fenêtre principale Morceau.
Afficher/Masquer la fenêtre Outils
La sélection de cet élément affiche ou masque la fenêtre Outils flottante ; vous pouvez également appuyer sur la touche [F8]. Elle contient l'onglet Palette de modules (pour créé de nouveaux modules), l'onglet Outils du séquenceur (pour éoperator les données du séquenceur), l'onglet Réglages du Groove (pour ajuster les réglages et enregistrer des patches ReGroove) et l'onglet Samples de morceaux pour éoperator et gérer les samples du morceau.
Afficher/Masquer les touches de piano à l'écran
La sélection de cet élément affiche ou masque la fenêtre flottante Touches de piano à l'écran ; vous pouvez également appuyer sur la touche [F4]. Voir “Touches de piano à l'écran” pour plus d'informations sur comment utiliser la fenêtre Touches de piano à l'écran.
Listedesdocumentsouverts
Cette liste affiche toutes les fenêtres de documents de morceaux ouvertes. Sélectionner l'une d'entre elles la rend active. Si les morceaux ont des zones découvertes dans des fenêtres séparées, elles sont incluses comme éléments séparés dans la liste des documents ouverts. La fenêtre actuellément active est indiquée par une coche à gauche du nom de la fenêtre :

Dans la figure ci-dessus, la fenêtre « Fredriks Second Song.rns (Rack) » désigne la fenêtre actulement active et le morceau « Fredriks Second Song.rns » est par conséquent le morceau actulement actif. Le séquenceur de ce morceau est pour le moment découvert dans une fenêtre séparée. Les astérisques (*) à droite de certaines fenêtes indiquent que le morceau contient actulement des éditions non enregistrées.
Menu Fenêtre (version Mac OS X)
Réduire
Réduit la fenêtre du document de morceau sélectionnée.
Loupe
Cela permet de faire basculer la fenêtre SéLECTIONNée entre la taille et la position par défaut et celles qui ont été définies par l'utilisateur, conformément aux instructions d'Apple. Pour les fenêtres du mixeur et du rack découplées, la taille par défaut correspond à un agrandissement sur tout l'écran.
Toutmettreaupremierplan
Cette commande fait apparaitre toutes les fenêtres Reason devant toutes les autres fenêtres d'applications ouvertes.
Découpler/Intégrer la fenêtre du séquenceur
La selection de cette option permet de découvert le séquenceur et de l'ouvr dans une fenêtre séparée. La selection de cette option avec le séquenceur découvert permettra de le réintégrer à la fenêtre principale Morceau.
Afficher/Masquer la fenêtre Outils
La selection de cet élément affiche ou masque la fenêtre Outils flottante ; vous pouze également utiliser la touche [F8]. Elle contient l'onglet Modules (pour creer de nouveaux modules), l'onglet Outils (pour editor les données du séquenceur) et l'onglet Groove (pour ajuster les réglages et enregistrer des patches ReGroove).
Afficher/Masquer les touches de piano à l'écran
La sélection de cet élément affiche ou masque la fenêtre flottante Touches de piano à l'écran ; vous pouze également presser la touche [F4]. Voir “Touches de piano à l'écran” pour plus d'informations sur comment utiliser la fenêtre Touches de piano à l'écran.
List des documents ouverts
Cette liste affiche toutes les fenêtres de documents de morceaux ouvertes. Sélectionner l'une d'entre elles la rend active. Si les morceaux ont des zones découvertes dans des fenêtres séparées, elles sont incluses comme éléments séparés dans la liste des documents ouverts. La fenêtre actuellement active est indiquée par une coche à gauche du nom de la fenêtre :
Afficher les touches de piano à l'écran
F4
Demo Song (Rack)
Demo Song (Sequenceur)
- Turbotito - Sydney Heat.rps [Reason 4 Demo Song] (Rack)
- Turbotito - Sydney Heat.rps [Reason 4 Demo Song] (Sequencer)
Dans l'image ci-dessus, la fenêtre « Demo Song (Rack) » représentée la fenêtre actulement active et, par conséquent, le morceau actuèment actif. Le séquenceur de ce morceau est actuèment découvert dans des fenêtes séparées et réduit, comme indiqué par les symboles situés à gauche. Les points ronds à gauche de certaines fenêtes indiquent que le morceau contient actuèment des éditions non enregistrées.
Menu Aide
Reason Aide...
Cet élément de menu ouvre le système d'aide en ligne. Le système d'aide s'ouvre dans l'application d'affichage de l'aide Propellerhead, qui offre un affichage HTML personnelisé. L'aide Reason contient des informations détaillées sur toutes les fonctions dans Reason. Vous pouvez rechercher des informations via le navigateur à partir de la table des matières (TdM), des onglets Index et Recherche dans le système d'aide.
Tutorial video...
Cette fonction ouvre la page Tutorials video dans l'application d'affichage de l'aide Propellerhead. À partir de cette page, vous pouvez selectionner n'importe quel tutoriel proposé. Les tutoriels comprend des explications orales en Englais et des sous-titres disponibles en allemand, Englais, français ou japonais.
Aller sur le site de Propellerhead...
Cette commande vous amène sur la page principale du site Web de Propellerhead.
Télécharger des morceaux Reason
Cette commande vous amène dans nos archives de morceaux où vous pouvez télécharger et utiliser les fichiers.
Vous pouvez également proposer vos propres créations!
Télécharger des ReFills Reason
Vou amène dans nos archives de fichiers ReFill avec les dernières offres en matière de sons Gratisents pour Reason !
Si vous avez un problème ou une question technique, c'est là qu'il faut vous rendre!
Enregisterer Reason maintenant
Cette option vous amène sur les pages d'enregistrement du logiciel de Propellerhead. Une fois enregistré, vous pouvez télécharger dessons Gratis, discuter en ligne avec d'autres utilisateurs de Reason et proposer vos morceaux aux autres!
Vérifier les mises à jour...
Cette commande vous amène sur la page permettant de rechercher les dernières mises à jour.
A propos de Reason (Windows uniquement)
Cet élément du menu ouvre une boîte de dialogue qui vous informe sur la version du programme et les personnes qui l'ont développé.

REASON
Index
A
À propos de la transformation audio MultiCore 57
À propos de la transformation audio multicœur
(Préférences) 362
Abréger 172
Accordage 58
Activer l'enregistrement
Automation de pattern 104
Automation des paramètres 104
Piste instrumentale 103
Pistes de séquenceur 102
Activer la lecture de la boucle (Dr. Octo Rex) 590
Activier la section pattern (Redrum) 612
Activer les raccourcis clavier (Remote) 341
Activez la section pattern 613
ADSR 420
Affectation de batterie (Kong) 627
Affectations de touches
NN-19 505
NN-XT 537
Afferter automatique les zones 551,787
Afferter automatique les zones chromatiquement 788
Afferet les samples automatique 507, 783
Affichage d'entrée (modules d'effet) 716
Affichage de la longueur (clips) 125
Affichage de la position (clips) 124
Affichage de la position du morceau (panneau transport) 97
Affichage de la signature (panneau transport) 97
Affichage du tempo (panneau transport) 97
Affichage du temps (panneau transport) 97
Affichages des indicateurs (panneau transport) 99
Afficher la bulle d'aide des valeurs de paramètres 798
Afficher la fenêtre Outils
Version Mac OS X 815
version Windows 814
Afficher les touches de piano à l'écran
Version Mac OS X 815
version Windows 814
Afficher uniquement les modules selectionnés (câbles) 253
Aide 816
Ajouter desétiquettes aux clips 135,795
Ajustements du legato (fonction de la fenêtre Outils) 159
Ajuster des clips étrangers à la bande 133, 795
Aller à l'indicateur Gauche/Droite (panneau de transport) 99
aller à la piste de... 791
Alt
Sur pistes instrumentales 111
Alterer des notes (fonction de la fenetre Outils) 163
Annuler 45, 779
Multiple 45
Apparence (cables) 253
Application hôte (ReWire) 345
Assignnations de substitution
Assignnaton 336
Mode Édition 335, 810
supplémentaires 339
Assignation 340
Assignnations de substitution supplémentaires... 339
Assignnlation 340
Audio
Importation vers des modules Reason 272
Afficher dans le panneau des modules 798
Dessin d'événements 181
Édition 177
Édition en mode Édition 179
Édition en mode Morceau/Bloc 177
Egalisation 194
Signature rythmique 189
Déplacement, redimensionnement et
duplication de clips 190
Suppression de clips 190
Suppression d'événements 181
Tempo 188
Automation comme Ctrl Perf 114
Automation de la signature rythmique 189
Déplacement, redimensionnement et duplication de clips 190
Suppression de clips 190
Automation de pattern
Activier l'enregistrement 104
Déplacement, redimensionnement et duplication de clips 187
Dessin 186
Edition 185
Enregistrement dans le séquenceur 120
Suppression de clips 187
Automation des paramètres
Activier l'enregistrement 104
Enregistrement dans le séquenceur 115
En mode boucle 117
Par-dessus des clips existants 117
Sur plusieurs pistes 119
Automation du contrôleur de performance
Création de nouvelles bandes 183
Édition 182
Enregistrement dans le séquenceur 113
Par-dessus des clips existants 115
Suppression de bandes 183
Automation du tempo
Dessin d'événements 188
Édition 188
Enregistrement dans le séquenceur 121
Auto-routage 255
Modules d'effet 256
Modules instrumentaux 255
Signaux CV/Gate 256
B
Bande d'edition de la velocité (clips de notes) 149
Bande d'edition de notes (clips de notes) 149
Bande de velocité 174
Bandes
Ajouter/creer 84
Rendre muets 90
suppression 87
Bandes d'automation de paramètre 149
Ajouter/crier 85
Plier/déplier 83
Rendre muets 90
suppression 87
Bandes d'édition du contrôleur de performance (clips de notes) 149
Bandes de notes
Ajouter/crier 84
Déplacer 89
Dupliquer/copier 89
Rendre muets 90
suppression 87
Bandes de pattern
Créer 86
suppression 88
basculer sur la vue Bloc 813
basculer sur la vue Morceau 813
blocs
couleur 201
définir la longueur sur... 200
renomer 200
selectionner en vue de l'edition 199
vue générale 197
boîte de dialogue Automation des par
boîte de dialogue Automation des param
793
Boucles Dans les samples 506 Dans les samples de batterie 616
Boucles Dr.Rex Ouverture dans Dr. Octo Rex 577
Boucles REX
Chargement 579
Création de notes de séquenceur 581
Édition des slices 584
Édition du son 591
Lecture dans Dr. Octo Rex 578, 581
Bouton Alt (panneau de transport) 98
Bouton Avance rapide (panneau de transport) 97
Bouton Blocs (panneau de transport) 96
Bouton Boucle On/Off (panneau de transport) 98
Bouton Bypass/On/Off (sur les modules d'effet) 716
Bouton Cible d'entree MIDI (interface matierelle) 355
Bouton Cible MIDI (interface matierelle) 355
Bouton Declin/Gate 616
Bouton Dub (panneau de transport) 98
Bouton Enregistrement (panneau de transport) 98
Bouton Executer 608
Bouton Executer (Redrum) 606
Bouton Lecture (panneau de transport) 98
bouton Magnetiser le debut/la fin du sample avec les ephemeres (fenetre Editor le sample) 287
Bouton P (mixeur 14-2) 395
Bouton Retour rapide 97
Bouton Solo (S) (dans le sequenceur) 81
Bouton Stop (panneau de transport) 98
Bouton Tap Tempo (panneau de transport) 96
Boutons de contrôle S1/S2 (Redrum) 615
Boutons de déclenchement (Redrum) 604
Boutons Mute (M) 80
Boutons rotatifs 36
Boutons Trim 260
Bulles d'aide 41, 798
C
Cables
Apparce 253
Connexion par glisser 258
Connexion via des menus pop-up 259
Couleur 255
Déconnexion 259
Désactiver l'animation 798
Faire defiler jusqu'au module connecté 254
Masquage et affichage 253
Routage automatique 255
Routage manuel 257
Vérification des connexions 254
Cables de patch 255, 257
Caisse claire physique (Kong) 649
Caisse claire synthetique (Kong) 651
Canal
à propos 326
Ajouter une surface de contrôle/un clavier 327
Assignnations standard et de substitution 331
Boite de dialogue Verrouillage de surface 333
Déverrouiller une surface de contrôle 334
Exemples de configurations 330
Principes de base 330
Variations d'assignation 331
Verrouiller une surface 332
Verrouiller une surface de contrôle 333
Canaux 8 & 9 exclusifs 618
Canaux d'entrée actifs (dans les préférences) 802
Canaux de sortie actifs (dans les préférences) 802
CF-101 Chorus/Flanger 719
Chaine (Kong) 660
Channel Strips
Sort Selected Device Groups 220
Charger un son par défaut dans les nouveaux modules 799
Charley synthétique (Kong) 652
Chorus 719
Claviers (MIDI) 803
Clic
Bouton 96
Niveau 96, 105
Clic et Pré-comptage 104
Clipping (écretage) (audio) 58
Clips
À propos de la superposition... 134
Affichage de la longueur 125
Affichage de la position 124
Ajuster des clips étrangers à la bande 133
Couleur 136
Couper, copier et coller 135
Creer 153
Décalage 132
Déplacer 132
Division 136
Duplication de parties de clips 137
Dupliquer 134
Égaliser les valeurs 140
Etrangers 133
Jonction 138, 794
Masquage d'enregistements ou d'evénements
dans... 128
Mise à l'échelle du tempo 130
Nommer 135
pistes 795
Redimensionnement 127
réduire 794
Rendremuets139,794
Renommer 135
Répéter 135
Sélection
Multiple 125
Sélection avec les touches de direction 126
Selectionner 124
Supprimer 126
Supprimer les étiquettes de... 136
Clips d'automation
Ouverture 147
clips d'automation de blocs
combiner avec des clips de morceau 208
convertir en clips de morceau 206
creer 201
redimensionner 203
rendre des bandes muettes dans... 204
Clips de notes
Fusion de bandes de notes sur les pistes 140
Ouverture pour l'edition 145
Clips étrangers 133
Clips non muets 794
Coller des zones 540
Coller un patch 227
Collerune pattern 743
Combinator
Affection des touches 386
Ajout de modules 379
Bypass de tous les effets 383
Connexions CV internes 391
Creation de modules 379
Creation en parcourant les patches 375
Creer 375
Définition des plages de velocité pour les modules instrumentaux 387
Dégroupage des modules 382
Exécuter les modules à pattern 383
Groupage de modules 375
Ligne d'insertion 379
Réception de notes 387
Routage externe 377
Sélectionner l'apparence du panneau de contrôle... 384
Utilisation du programmeur 385
Utilisation du routage de modulation 388
Comp-01 Compressor 737
Compresseur (Kong) 657
Conserver les événements dans le clippendant l'édition 156, 162, 163, 165
Contrôles de phase (Subtractor) 411
Convertir une automation de pattern en notes 188
Matrix 750
Redrum 614
Copier des zones 540
Copier la boucle sur la piste 789
Copier la boucle sur la piste (Dr. Octo Rex) 581
Copier la pattern sur la piste 789
Matrix 750
Redrum 613
Copier les paramètres vers les zones sélectionnées 786
Copier un patch 227
Couleur automatique des nouvelles pistes du
sesquenceur 812
Couleur de la piste 795
Couleur du clip 136, 795
Couperunepattern743
courbe (Matrix) 746
à propos 740
courbes bipolaires (Matrix) 746
courbes unipolaires (Matrix) 746
Creation de
Activier l'enregistrement 103
Configuration 108
Creer 76
Créer des fondus de velocité 788
Creer samples autonomies pdt charg. à p. disque 799
Creer un effet 242
Créer un effet... (Élément de menu Créer) 808
Creer un instrument 242
Créer un instrument... (Élément de menu Créer) 808
creer une piste pour... 791
CRETE (Big Meter) 372
Décalage de la synchronisation externe 362
Décalage VU (Big Meter) 371
Déclenchement de boucle (Kong) 644
Déclenchement de fragment (Kong) 645
Déclenchement de notes lors de l'édition 798
Déclenchement de slice (Kong) 646
Déclencher la boucle suivante (Dr. Octo Rex) 578
Déconnecter
Cables 259
Module 256, 260
découpler la fenêtre du séquenceur
Version Mac OS X 815
version Windows 814
Défilament dans la fenêtre du morceau 33
Défilément et zoom avec une souris à molette 35
définir la boucle (fenêtre Éditer le sample) 293
définir le début/la fin du sample (fenêtre Éditer le sample) 288
Définir les notes fondamentales à partir de la détéction du pitch 787
Délai 718
Départs
Redrum 615
Départs d'effets
Mixeur 14-2 395
Départs post-fader (mixeur 14-2) 395
Déplacer
Pattern (Matrix) 749
Pattern (Redrum) 612
Pattern (RPG-8) 764
des pistes
Activier l'enregistrement 102
Couleur 79
Creer 76
de pistes 73
Déplacer 77
Dupliquer et copier 78
Mettre en solo 81
pistes 79
Plier/déplier 80
Rendre muets 80
Router l'entrée du clavier maître vers 72
Sélection 77
suppression 78
Device Groups
About 213
Cut, Copy and Paste 221
Duplicating 220
Sort Selected Device Groups 220
Devices
Creating 215
Cut, Copy and Paste 221
Deleting 218
Device Groups 213
Duplicating 220
Folding/Unfolding 222
Naming 221
Dans les fichiers audio exportés 273
Dr. Octo Rex
A propos de 576
Ajout deb Boucles REX 579
Copier la boucle sur la piste 581
Édition des slices 584
Lecture de slices de boucle REX 581
Lecture depuis le séquenceur 581
Lecture des bocles REX 578
Paramètres du panneau 591
Dub
Sur pistes instrumentales 110
Dupliquer les modules et les pistes 780
Dynamiques 609
E
ECF-42 Envelope Filter 730
Échelle du tempo (fonction de la fenêtre Outils) 173
Écho à bande (Kong) 660
Ecouter
Patches (dans le navigateur) 240
Samples (dans le navigateur) 240
Édition
Boutons 37
Faders et curseurs 36
Valueurs d'affichage 38, 39
Édition des assignations de substitution 336
Enregistrement dans le séquenceur
Annuler 107
Automation de pattern 120
Automation des paramètres 115
En mode boucle 117
Par-dessus des clips existants 117
Sur plusieurs pistes 119
Automation du contrôleur de performance 113
Par-dessus des clips existants 115
Automation du tempo 121
Notes 108
En mode boucle 108
Par-dessus des clips existants 109
Procedure générale 106
Enregister des morceaux 264, 775
enregister l'automation en clips de notes 812
Enregister l'automation dans un clip de notes 114
enregister l'automation sous Contrôleurs de
performance 812
Enregister le patch de module sous... 777
Enregister Reason maintenant 816
Entrée audio (vers application) 54
Entrée CV du programmeur (Combinator) 389, 391
Entrée du clavier maitre 72,806
Bypass 357
Entrer en mode Arrangement 813
Entrer en mode Édition 813
RV7000 Réverbération avancée 684
EQ améliorés (mixeur 14-2) 396
EQ compatible (mixeur 14-2) 396
EQ paramétrique (Kong) 658
Exporter REX en tant que fichier MIDI 778
Exporter un fichier MIDI 269, 777
Exporter un morceau en fichier audio 272
Exporter une boucle en fichier audio 272
F
Factory Sound Bank 228
Faire defiler jusqu'au module connecté 254
Fenetre du morceau 26
Défilament dans le... 33
Redimensionnement de zones 32
Fenetre Outils 30
Fenetre Touches de piano à l'écran 49
Ouverture 48
Redimensionnement 48
Fermer des morceaux 263, 775
FFT (vocodeur) 697
Fichiers MIDI
Charger dans le Dr.Rex 577
Charger dans le NN-19 500
Charger dans le NN-Nano 640
Charger dans le NN-XT 525
Charger dans Nurse Rex Loop Player 644
Charger dans Redrum 605
Fichiers SoundFont 250
Filtre
Dr. Octo Rex 594
Malstrom 479
Module d'effet 730
NN-19 510
NN-XT 566
Subtractor 415
Filtre (Kong) 658
Filtre contrôle par pattern : exemple 731
Flam (Redrum) 610
flanger 719
FM 413
fondu en entrée/en sortie (fenêtre Éditer le sample) 290
fondus enchaines de boucle 294
Format de morceaux RPS 776
Formats de fichiers 249
Fréquence d'échantillonnage
Réglages 56
Fréquence de sample
Pour la lecture 363
Fusionner les bandes de notes sur les pistes 140, 793
G
Gate
/CV746
a propos 252
programmer dans le Matrix 745
Routage 260
Gate (Matrix) 740
Gate (RV7000 Réverbération avancée) 685
Générateur de tonalité (Kong) 654
Générateurs de bruit (Kong) 653
Générateurs de support (Kong) 653
Graphiques de flot du signal (sur les modules d'effet)
717
Groove
Affectation aux bandes de notes 317
Creer depuis les clips 321
Extraire 794
Paramètres du mixeur 307
Patches de factory 323
Réglages dans la fenêtre Outils 314
respecter 792
Grosse caisse physique (Kong) 649
Grossecaisse synthetique (Kong) 651
Groupe de pads (Kong) 630
Groupe de remplacement (Dr. Octo Rex) 585
Grouper les zones selectionnées 787
Groupes
NN-XT 541
H
Horloge MIDI 352
1
Image splash 265
Importer un fichier MIDI 268
Indicateurs de boucle 95
informations et support technique 816
Informations sur le morceau 776
Insérer 264
Initialiser le patch 228, 781
Insertion de mesures entre les indicateurs 142, 791
Inspecteur
Édition de l'automation dans... 191
Édition de notes dans... 191
Instruments
Creer 242
intégrer la fenêtre du séquenceur
Version Mac OS X 815
version Windows 814
Interface matérielle 54, 368
Interpolation
Dr. Octo Rex 598
Interpolation haute qualité
NN-XT 527
Redrum 618
Inverser
Pattern (RPG-8) 764
inverser (fenêtre Éditer le sample) 290
J
Joindre les clips 138, 794
K
Kong 624
Affectation de note MIDI 625
Copier et coller des batteries 628
L
Latence 60
Compensation 353, 361
Optimisation et réduction 360
Le bouton Lie (Matrix) 747
Limin d'utilisation du processeur 57, 799
Line Mixer 6-2
À propos de 402
Connexions 403
Départ et回头 AUX 403
Paramètres de canal 402
Listedes documents ouverts
Version Mac OS X 815
version Windows 814
Listedesfavorisnavigateur)237
Longueurs de notes (fonction de la fenetre Outils) 158
Loupe (Mac OS X) 815
M
Machine d'entrée ReBirth 770
Magnetisation 94
Malstrom
à propos 472
Filtres 479
Modulateurs 477
Oscillateurs 474
Routage 485
Routage de l'audio exter ne vers 495
Shaper 483
Tables de grains 475
Marqueur de fin du morceau 95
Masquer la fenêtre Outils
Version Mac OS X 815
version Windows 814
Masquer les cables auto-routés 253
Masquer les touches de piano à l'écran
Version Mac OS X 815
version Windows 814
Masquer tous les câbles 254
Matériel audio 54
Matrix
à propos 740
Exemples d'application 751
programmer 741
MClass Compressor 669
MClass Equalizer 667
MClass Mastering Suite Combi 666
MClass Maximizer 672
MClass Stereo Imager 668
Menu Aide 816
Menu Creer 808
Menu Édition 779
Menu Fenêtre
Version Mac OS X 815
version Windows 814
Menu Options 809
Menu Record (Mac OS X) 774
Menu contexts 42
Pour le rack 44
Pour le séquenceur 44
Pour les modules 43
Pour les paramètres 42
Mesures
Insertion (dans le séquenceur) 142
Suppression (dans le séquenceur) 142
Contrôleurs de bande de canal 395
Flot du signal 396
Section Retour auxiliaire 397
Mixeur ReGroove
Affectation aux bandes de notes 317
Creer des patches ReGroove 321
Paramètres 307
Patches de factory 323
Réglages dans la fenêtre Outils 314
Rendre les grooves permanents 320
Mode Boucle 106
Enregistrement de l'automation des paramètres en ... 117
Enregister la piste instrumentale en ... 108
mode Boucle (fenetre Éditer le sample) 291
Mode Édition
Pour des clips d'automation 144
Pour des clips de notes 144
Mode Édition de la batterie (clips de notes) 152
Mode Édition de notes (clips de notes) 151
Mode Édition de REX (clips de notes) 152
Mode Édition de slice (Dr. Octo Rex) 586
Mode Édition des raccourcis clavier (à distance) 341, 809
Mode Gate (Redrum) 616
Mode Souris (Touches de piano à l'écran) 49
Modèle (morceau par défaut) 799
Modes Édition de notes 150
Modifications de pattern
Conversion de patterns en notes 188
Modifier
Pattern (Redrum) 612
Pattern (RPG-8) 764
modifier la pattern (Matrix) 749
Modulateur en anneaux (Kong) 659
Modulation en anneau (Subtractor) 414
Modulation externe (Subtractor) 429
ModuleMIDIavancé (interfacematérielle)355,370
Modules
Déconnexion 260
Dupliquer et copier avec leurs modules 78
Plier/deplier 37
Routage 255
Supprimer des modules avec leurs pistes 78
Mono
Considerations 363
Morceau de démarrage 262
Morceau par défaut 263, 799
Morceaux
autonomous... 266
Configurer le morceau par défaut 799
Creer 263, 775
enregistrement 264
Exportation en fichier audio 272
Fermer 263, 775
Formats de fichiers 249
Image splash 265
Optimisation 363
Ouverture 244, 262, 775
par défaut 263
Morceauxautonomes266
Muet
Redrum 614
Mute
Mixeur 402
Mixeur 14-2 395
N
Navigateur
a propos 229
Emplacements et favors 237
Listedesfavoris237
Recherche 243
Nettoyage de l'automation
a propos 184
Dans le menu Préférences 184
Fonction de la fenêtre Outils 184
Niveau de nettoyage de l'automation 798
Niveaux de volume audio 58
NN-19
a propos 498
Charger des samples 501
Paramètres 509
NN-Nano Sampler (Kong) 640
NN-XT
à propos 522
Charger des samples 524
Groupes 541
Panneau principal 526
Panneau Remote Editor 529
Paramètres de groupe 560
Paramètres de sample 557
Paramètres de synthétiseur 562
Plages de velocité 553
normaliser (fenetre Éditer le sample) 289
Note vers emplacement (Dr. Octo Rex) 588
Notes
Altiération 163
Collage en dehors d'un clip ouvert 165
Couper, copier et coller 164
Décalage 163
En dehors d'un clip ouvert 163
Déplacer 161
En dehors ou entre des clips 162
Dessin 156
En dehors d'un clip fermé 157
En dehors d'un clip ouvert 156
duplication 164
Édition de la velocité 174
Égalisation 192
Enregistrement dans le séquenceur 108
En mode boucle 108
Par-dessus des clips existants 109
Extraction vers des bandes 170
Quantification 166
Aléatoire 168
En shuffle 168
Redimensionnement 158
Sélection 155
suppression 155
Transposition 163, 169
notes (Matrix) 740
Notes en arpège sur la piste 791
Nouveau (morceau) 263, 775
Obtenir le groove depuis le clip 794
onglet Samples de morceaux (fenetre Outils) 282
Optimisation de l'utilisation de la RAM 365
Optimisation de votre ordinateur 362
Optimisation des morceaux 363
Outil Crayon 91
Dessin de notes 156
Outil Gomme 91
Outil Ligne (edition de la velocite) 175
Outil Loupe 92
Outil Muet 92
Outil Rasoir 91
Outil Rasoir (clips audio) 91
Outil Sélection 91
Outils de la barre d'outils 91
Raccourcis clavier 95
Remplacement 93
Outils de remplacement 93
Outils du séquenceur (fenêtre Outils) 154
Outils du séquenceur de la fenêtre Outils 154
Ouvrir des morceaux 262, 775
Ouvrir le dernier morceau au démarrage 262
Overdrive/Résonateur (Kong) 661
P
Pads (Kong) 625
Panneau arrête (rack) 257
Panneau de contrôle (Preférences - Audio) 803
Panneau de contrôle ASIO 361
Panneau de transport
Raccourcis clavier 99
Parametre Bus d'effets 1 & 2 655
Paramètre Effet maître 1 & 2 655
Parametric EQ 738
parcourir les boucles 782
parcourir les patches 782
parcourir les samples 782
Paste Devices and Tracks 221
Patch d'initialisation
Redrum 605
Subtractor 406
Patch initial
Kong 627
Patches
a propos 224
Copier et coller 227
Écouter (dans le navigateur) 240
enregistrement 226
exportation 777
Formats de fichiers 249
Initialiser 228, 781
Kong 624
NN-XT 524
Ouverture 244
parcourir 782
Recherche croisée 241
Redrum 604
RV7000676
Scream 4 688
Sélection 225
Sons manquants 226, 782
Subtractor 406
Patches Combi 374
Patches de kit 624
Activation du mode Mute dans le Matrix 742
Couper, copier et coller 743
Execution 606
Redrum 606
Rendre muet dans Redrum 611
Sélection dans le Matrix 742
Sélection dans Redrum 607
PEQ-2 EQ 738
Péripétrique agrégé (Mac) 62
PH-90 Phaser 734
Phaser 734
Piste d'automation des paramètres
Creer 76
Plage du Pitch Bend (Kong) 639
Plier/déplier les panneaux de modules 37
Plus d'audio (interface matérielle) 370
Poignées de valeur statique 149
Point d'ancrage (mixeur ReGroove) 308
Pointeur de position du morceau 95
Polyphonie
Dr. Octo Rex 598
Malstrom 490
NN-19 517
NN-XT 560
Subtractor 428
PPM (Big Meter) 371
Pré-alignment (mixeur ReGroove) 312
Pre-écoute (Dr. Octo Rex) 579
Preférences
(Langue et) clavier d'ordinateur 807
Audio 800
Claviers et surfaces de contrôle 803
Contrôle avancé 806
Général 797
Publier un morceau 776
Publier un morceau... 266
Q
Q Enr. 98
Qualité audio 55
Quantifierdesnotes166,795
Aleatoire 168
En shuffle 168
Quantiser lors l'enregistrement 169
Quitter
Mac OS X 774
Windows 778
R
Raccourcis clavier
Panneau de transport 99
Syntaxe 23
Raccourcisclavier(Remote)341
Édition 341
Rack
Detaching 213
Device Groups 213
Navigating 212
Resizing 213
Retournement 257
RAM 365
Randomiser
Pattern (Redrum) 612
Pattern (RPG-8) 764
Randomiser la pattern (Matrix) 749
Randomiser la pattern du séquenceur 790
Recharger les samples 785
Recherche croisée
Patches 241
Samples et fichiers REX 243
Rechercher (dans le navigateur) 243
ReCycle 576
Redimensionnement de zones de la fenetre du morceau 32
Redrum
Notes MIDI pour 619
Paramètres 614
Patches 604
Programmer des patterns 606
Sorties individuelles 620
Réduction des aigus 517
Réduction des aigus (Dr. OctoRex) 599
réduire (fenêtre Éditer le sample) 289
Réduire (Mac OS X) 815
Réduire l'encombrement des cables 253
Réduire les événements aux clips 130, 794
ReFills
a propos 228
manquants 246
Télécharger depuis le navigateur 248
Réglages audio 56
Réglages de pads (Kong) 627, 629
Règle 95
Réinitialisation (Automation) 118
Réinitialisation de l'écrasement de l'automation 118
Réinitialiser le niveau des bandes (Vocodeur) 702
Rendre les clips muets 139, 794
Rendre un groove
permanent 320
Résolution (pattern Redrum) 609
Respecter le groove 320, 792
Rétablir 45, 779
Multiple 45
Retourer le rack 257, 811
Reverb
RV7000 676
Réverb
RV-7 727
Réverb de la pièce de la batterie (Kong) 656
ReWire
avecReBirth 770
Configuration 345
Contrôles de transport et de tempo 346
Convert les canaux ReWire en pistes audio 349
Latence 61
Router de l'audio dans l'application hote 347
Router de MIDI dans l'application hote 348
Router l'audio Préparations dans Record 347
Synchronisation avec l'hote 345
Routage (cables)
Automatique 255
Manuel 257
Router automatiquement le module 256
RPG-8
A propos de 754
Notes en arpège sur la piste 759
Paramètres de conversion MIDI-CV 760
Paramètres de l'arpégiateur 761
Réglages 755
Écouter (dans le navigateur) 240
edition 284
enregistrement 294
exportation 301
Extraire depuis des morceaux autonomies 267
fondu en entrée/en sortie 290
fondus enchânés 294
Formats de fichiers 249
Insérer des morceaux autonomies 266
inversion 290
manquants 245, 247
mise en boucle 291
NN-19 501
NN-XT 531
normalisation 289
Ouverture 244
parcourir 782
Recherche croisée 243
Redrum 603
réduire 289
renommer 294
suppression 296
samples affectés 295
samples non affectés 295
Sampling
Kong 638
sampling 279
a propos 276
réglages 277
Scream 4 688
Sélecteur de l'automation du contrôle de performance 149
Sélecteur du mode d'édition de notes (clips de notes) 149
Selectionner la slice via MIDI (Dr. Octo Rex) 584
Sensibilité de la molette de souris 36, 797
Sequenceur
Ajuster des clips étrangers à la bande 133
Bypass de l'entrée du clavier maître 357
Inspecteur 191
Shaper éphémère (Kong) 656
Shuffle
Global 308
Mixeur ReGroove 311
Réglage des modules à pattern 308
Shuffle (Redrum) 610
Shuffle de pattern 610
Shuffle global 308
Slices
A propos de 576
Creation de notes de séquenceur 581
Réglages (Dr. Octo Rex) 585
Sélection 584
Slide (mixeur ReGroove) 310
SMF (Standard MIDI Files) 268
Solo
Mixeur 402
Mixeur 14-2 395
Redrum 614
Sons
manquants 245, 247
Sons manquants 245, 247
Boite de dialogue 262
Parcourir manuellement 248
Rechercher dossier 248
Rechercher emplacements 248
Télécharger ReFill 248
Sort Selected Device Groups 220
Sortie audio (de Record) 54
Sortie de batterie (Kong) 633
Sortie de départ (Redrum) 615
SoundFonts
Kong 623
NN-19 502
NN-XT 524
Redrum 603
Source horloge (Preférences - Audio) 802
Souris à molette
Défilément et zoom avec... 35
Sous-marqueurs
Dans l'affichage Position du morceau (panneau
transport) 97
Dans l'inspecteur 100
Spider
Suivre la lecture du morceau 812
Suppression de mesures entre les indicateurs 142, 791
supprimer la piste de... 791
Supprimer les étiquettes des clips 136
Supprimer les raccourcis clavier 796
Supprimer les samples inutilisés 506
Supprimer tous les raccourcis clavier du module 796
Surfaces de contrôle
Ajouter et configurer 803
Synchro
À propos de 352
Configuration 352
Interne/horloge MIDI/ReWire 809
Latence 353
Synchronisation du LFO
Dr. Octo Rex 597
NN-19 514
Subtractor 424
T
Taille du tampon
Curseur 361
Réglages 57
Télécharger des morceaux Reason 816
telecharger des ReFills Reason 816
Télécharger ReFill 248
Tempo
Mise à l'échelle 173
Thor
Contrôleurs affectables 435
Section Oscillateur 440
Utilisation du programmeur 436
Timing aléatoire (mixeur ReGroove) 316
Tonalité générale 58, 800
toujours au premier plan 814
Trier les zones par note 786
Trier les zones par velocité 786
Tutoriels video 816
Valeur statique (pour un paramètre d'automation) 179
Variations d'assignation (Remote) 331
Velocité
Édition 174
Velocité de la note (fonction de la fenêtre Outils) 176
Velocité des notes (fonction de la fenêtre Outils) 176
Verrouillage d'une surface (à distance) 332, 811
Veuillez insérer le disque (ReFill manquant) 246
Vide (morceau par défaut) 799
Vocodeur
A propos de 696
Fonctionnement 696
Paramètres 702
Réglages 697
Utiliser comme égaliseur 700
VU (Big Meter) 371
Vue générale du clip
Clips de notes 148
Z
Zone du rack 27
Zone du séquenceur 28
Zones de jeu
NN-19 502
NN-XT 523
Zoom dans le séquenceur 34
Notice Facile